Загрязнения электрической изоляции

  • Вид работы:
    Реферат
  • Предмет:
    Безопасность жизнедеятельности
  • Язык:
    Русский
    ,
    Формат файла:
    MS Word
    1010,16 Кб
  • Опубликовано:
    2012-09-30
Вы можете узнать стоимость помощи в написании студенческой работы.
Помощь в написании работы, которую точно примут!

Загрязнения электрической изоляции

Введение

Современное развитие промышленности приводит из года в год к увеличению степени загрязненности и отходов производства. В свою очередь рост электрических сетей создает условия, когда в большей мере возможно загрязнение изоляции той или иной части линий электропередачи и отдельных распределительных устройств, находящихся вблизи промышленных производств или природных источников выделения солей (моря, солончаковые пустыни и т.д.). Загрязнения снижают электрическую прочность изоляции и как следствие в некоторых случаях вызывают поверхностное перекрытие, тем самым нарушая нормальное электроснабжение или разрушая аппаратуру.

Актуальность данного вопроса вытекает из анализа опыта эксплуатации воздушных линий и открытых распределительных устройств. Этот опыт показывает, что перекрытия в изоляции вследствие внутренних перенапряжений практически отсутствуют.

Перекрытия изоляции при атмосферных перенапряжениях (разряды молнии) в большинстве случаев сопровождаются успешным автоматическим повторным включением и не приводят к перерыву в электроснабжении. В то же время в ряде энергосистем зарегистрировано большое количество перекрытий изоляции в нормальном эксплуатационном режиме вследствие загрязнений, причем в некоторых случаях такие перекрытия сопровождались повреждением оборудования и длительными перерывами в электроснабжении.

Таким образом, нарушения работы линий электропередач и открытых распределительных устройств в нормальном эксплуатационном режиме, обусловленные загрязнением изоляции, по своим последствиям являются более серьезными, чем воздействия перенапряжений. В связи с этим должны приниматься меры по повышению надежности работы линий электропередач и распределительных устройств в нормальном эксплуатационном режиме - защиты изоляторов от загрязнений и чрезмерного увлажнения.

Механизм развития разряда

Частицы пыли, осаждаясь из воздуха, создают на поверхности изолятора слой загрязнения. Содержащиеся в загрязнении вещества (кислоты, соли, щелочи), соединяясь с атмосферной влагой, осевшей на изолятор, образуют электролит, вследствие чего увеличивается поверхностная проводимость изолятора. Обобщение данных о работе изоляции при загрязнении электрических установок указывает, что следующие основные предпосылки и условия способствуют перекрытиям:

а) моросящий дождь, туман или мокрый снег, т. е. осадки, выпадающие в количестве менее 0,3-0,5 мг/см2/мин. В этих случаях происходит увлажнение поверхностного слоя загрязнителя, который не смывается, т. е. не возникает самоочистки поверхности изолятора;

б)   наличие положительной температуры, но близкой к нулю или во время резкого потепления. В этом случае на холодной поверхности изоляции возможна конденсация влаги воздуха, насыщающей загрязнитель;

в)   неблагоприятное направление ветра, т. е. когда может односторонне усиленно заноситься поверхность изолятора грязью или пылью;

г)   количество загрязнителя, одновременно оседающего на поверхности изоляторов, при этом особо опасны интенсивные выбросы, зачастую происходящие при нарушении технологического цикла промпредприятий.

д)   равномерность загрязнения по поверхности и его вида, т. е. пылеобразного легко смываемого, пылеобразного, но цементирующегося или жирного (смолистого);

е)   электрические характеристики загрязнителя, главным образом его проводимости, что в наибольшей мере связано с возможной степенью растворения солей загрязнителя во влаге.

Разряд вдоль загрязненной поверхности

Загрязненный воздух может содержать примеси в виде газов, взвешенных частиц (пыли) и т. д.

Как показали исследования Томсона, частицы пыли в воздухе и влаги (тумана) могут иметь диаметр от 1 до 100мк, а степень их концентрации варьируется в широких пределах. На эти частицы воздействуют силы: кинетические, тяжести, электрические и ветра (аэродинамические) .

Силы тяжести определяют выпадение осадка на горизонтальных плоскостях изоляторов (если нет воздействия ветра).

Электрические силы при переменном напряжении оказывают малое влияние на осаждение частиц загрязнителя, но имеют большее значение для мест, где поле неравномерно, что бывает почти во всех конструкциях изоляторов. Наличие напряжения, создающего повышенные градиенты на поверхности изолятора, способствует удержанию частиц загрязнителя.

Осаждающиеся на поверхности изолятора частицы делают ее шероховатой, что усиливает дальнейшее скопление новых частиц. Практически загрязнения, осаждающиеся на поверхности изоляторов, имеют весьма разнообразный характер, а в количественном отношении зависят от степени удаленности электроустановки от источника загрязнения, количества выбросов и метеорологических факторов таких, как сила и направление ветра и т. д.

Сухой слой непроводящего вещества, загрязняющего поверхность изолятора, в весьма малой степени ухудшает разрядные характеристики. Однако в большинстве случаев загрязнитель при увлажнении его создает уже проводящий слой. В силу того, что количество попавшего загрязнителя на единицу поверхности в разных местах изолятора может быть различно, удельное сопротивление отдельных участков поверхности неодинаково. Следовательно, на поверхности загрязненного изолятора образуются зоны с различной плотностью тока. Такой процесс в значительной мере определяется конструктивными особенностями изолятора- его формой.

В местах наибольшей плотности тока, а именно у переходов от малых диаметров к большим, сопротивление слоя загрязнения выше, чем у остальных частей проводящей цепочки. На подобных участках падение напряжения больше, чем на остальных, а, следовательно, происходит большее выделение тепла, приводящее к подсыханию увлажненного слоя и увеличению его сопротивления.

Дальнейшее развитие процесса зависит от способности слоя загрязнения к высыханию, что главным образом зависит от количества влаги, поступающей из атмосферы. Если содержание влаги меньше критического, то произойдет подсыхание слоя и ток утечки упадет почти до нуля. Если содержание влаги выше критического, то подсыхание слоя не произойдет и протекание тока утечки будет прерывистым, скачкообразным с возникновением поверхностных дуг.

Прерываемость тока утечки определяется тем, что после образования сухих зон главным образом у стержня, где плотность тока наибольшая и испарение наиболее интенсивное, увеличение тока утечки станет возможным после повторного увлажнения слоя загрязнения до той критической величины тока, при которой не может поддерживаться дуга в местах разрывов на .подсушенном слое.

Броски тока разрядов могут в 20-30 раз превышать ток утечки, обусловленный поверхностным сопротивлением, что связано с частичной шунтировкой поверхностного слоя дугой. Существование частичных дуг на поверхности изолятора представляет опасность, так как вполне вероятно,

что дальнейшее развитие процесса может привести к перекрытию всей поверхности.

Основным конструктивным фактором, влияющим на разрядное напряжение увлажненного изолятора, является длина пути утечки, которая может регулироваться в широких пределах. Поэтому для увеличения минимального разрядного напряжения.нормируется длина пути утечки, которая связывается с проводимостью слоя загрязнения и его удельной электропроводностью. Нормируется минимально допустимая длина пути утечки изоляции lут.

Необходимо чтобы, выполнялось неравенство:

 ,

где Lут.эф - эффективная длина пути утечки изоляции (с учетом поправочного коэффициента kут£ 1);

Uф - рабочее фазное напряжение.

В сетях с изолированной нейтралью увеличивается удельная длина пути утечки на 15…30 %. Это объясняется тем, что вероятность совпадения однофазных замыканий Uв.р. в этой сети и неблагоприятных погодных условий небольшая. Интенсивные загрязнения поверхности изолятора ведут также к снижению Up при коммутационных и грозовых импульсах.

Меры, предотвращающие перекрытия по поверхности изоляторов вследствие их загрязнения

К числу мер, предотвращающих перекрытие по поверхности изоляторов, вследствие их загрязнения, можно отнести:

1.   Очищение атмосферы (золоуловители, фильтры, повышение высоты дымовых труб, переход на газовое топливо).

2.       Увеличение длины пути утечки изоляторов и числа изоляторов в гирлянде.

.        Переход с открытых распределительных установок на закрытые.

.        Переход с воздушных линий на кабельные.

.        Очистка изоляции от загрязнений струей сжатого воздуха, струей воды под высоким давлением или импульсной струей воды с высокой удельной проводимостью воды.

.        Непрерывное дождевание изоляторов слабыми струями воды.

.        Защитное покрытие изоляторов гидрофобной пастой один раз в 3…6 месяцев.

.        Периодическое определение интенсивности загрязнения путем измерения тока утечки на изоляторе под рабочим напряжением и его нормирование (устанавливается предельное значение тока утечки).

Разряд вдоль увлажненной поверхности

Увлажнение атмосферной влагой увеличивает проводимость слоя загрязнения на поверхности изоляторов и тем самым снижает их изолирующую способность. Наряду с этим, атмосферная влага способствует повышению разрядных напряжений вследствие обмыва поверхности, т.е. уменьшения количества загрязнения, а так же вымывания из загрязняющего вещества растворимых проводящих примесей. Следовательно, поведение изоляторов в естественных условиях зависит от вида атмосферных осадков.

Дожди большой интенсивности (десятки и сотни миллиметров в час) не являются расчетным случаем при определении опасных ситуаций для работы изоляторов, т.к. они непродолжительны (не более 15 минут) и наблюдаются в редких случаях.

Длительность дождей с интенсивностью 10 мм/ч может достигать нескольких часов. Такие дожди могут считаться благоприятными, поскольку способствуют интенсивному смыванию загрязнений с поверхности изоляторов.

К числу наиболее опасных увлажнений  относятся: туман, роса и моросящие дожди. Эти явления имеют широкое распространение и могут достигать большой длительности.

Туман представляет собой взвешенные в воздухе капли воды, образовавшиеся при конденсации пара. Концентрация влаги мало изменяется с высотой,которая составляет в среднем 20-50м.

Так же широкое распространение имеет роса, представляющая собой продукт конденсации влаги на предметы, имеющие температуру ниже окружающего воздуха. Наиболее часто роса наблюдается в ночные и утренние часы в теплое время года и имеет относительно небольшую продолжительность. Увлажнение туманом и росой происходит равномерно по всей поверхности изолятора и в результате изолирующая способность снижается по сравнению с увлажнением от дождя.

Интенсивность моросящих дождей составляет 0,5-4 мм/ч. Их продолжительность может достигать нескольких часов. Дожди, в отличие от туманов и росы, могут охватывать обширные районы.

При увлажнении изоляторов мелкокапельной влагой, поверхность смачивается постепенно, и вымывание растворимых веществ происходит медленно и проявляется только при достаточном количестве влаги, накопившимся на поверхности. В этом процессе существенное значение имеет количество воды, осевшей на поверхность изоляторов. Предельным является увлажнение поверхности до насыщения. Такое состояние соответствует максимальному значению поверхностной проводимости. При слабых интенсивностях увлажнения, слой загрязнения не достигает насыщения, что приводит повышению разрядных напряжений изолятора, поскольку проводимость поверхностного слоя уменьшается из-за подсушки поверхности изолятора токами утечки.

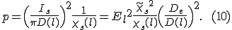
При увлажнении по изолятору протекает ток утечки, вызванный проводимостью пленки влаги.

Величина тока утечки зависит от удельной электропроводности толщины водяной пленки (I = 5…100 мА). В местах наибольшей плотности тока (у электрода с минимальным радиусом) происходит выделение тепловой энергии. Под действием выделяющегося тепла происходит подсушивание поверхности изолятора. Это приводит к резкому возрастанию падения напряжения на подсушенном участке и его перекрытию. При этом опорная точка дуги располагается на краю водяной пленки и перемещается по мере ее высушивания (рис. 1).

Для образовавшейся цепи справедливо уравнение:

Eд(iут)l + iутR = Uo

где Eд(iут) - градиент напряжения на дуге, зависящий от тока утечки;

l - длина дуги (ширина подсушенной зоны);

R - сопротивлениенеперекрытой водяной пленки (Lут - l);

Lут - длина пути утечки.

Рис. 1. Образование частичной дуги на увлажненной поверхности изолятора: а) по увлажненной поверхности изолятора протекает ток утечки; б) высушенная зона (l) перекрыта дугой (4); 1, 2 - электроды; 3 - водяная пленка; 4 - дуга

Разрядное напряжение по поверхности изолятора при дожде называют мокрозарядным напряжением Uмр. Мокроразрядное напряжение тем ниже, чем меньше сопротивление утечки по поверхности изолятора.

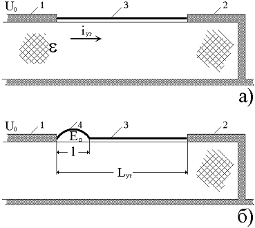
Сопротивление Rу определяется по формуле:

Rу = ρвlут/p·Δ·D,

где Δ - толщина слоя водяной пленки;

D - диаметр изолятора;

ρв - удельное поверхностное сопротивление водяной пленки;

lут - длина пути утечки. (Рис. 2.)

Рис. 2. Параметры гладкого циллиндрического изолятора

Как следует из этой формулы, на мокроразрядное напряжение влияют удельное сопротивление воды ρви интенсивность дождя, от которой зависит толщина водяной пленки Δ.


Меры, предотвращающие перекрытия по поверхности изоляторов вследствие их загрязнения

1.   Гидрофобное покрытие изоляции - нанесенная на поверхность изоляторов смазка, препятствующая образованию на этой поверхности сплошной пленки увлажнения

2.       Усиление изоляции ВЛ (добавление в гирлянду изоляторов того же типа, заменой изоляторов на изоляторы других типов).

3.       Использование изоляторов, конструктивные особенности которых препятствуют полному увлажнению поверхности (тарелочные изоляторы).

Образование частичных разрядов по поверхности загрязненных изоляторов при увлажнении

При увлажнении загрязнений на поверхности изолятора дождем, туманом или росой образуется электролит. Под действием рабочего напряжения через проводящий слой начинает протекать ток, называемый током утечки. Значение тока утечки определяется напряжением, проводимостью увлажненного слоя загрязнений и формой поверхности изолятора. Сопротивление увлажненного и равномерного слоя загрязнений на поверхности гладкого цилиндрического изолятора (рис. 2) определяется формулой:

перекрытие разряд загрязнение изолятор


где - удельное объемное сопротивление увлаженного слоя загрязнения;  - длина пути утечки по поверхности изолятора;  - диаметр изолятора;  - толщина слоя загрязнения;  и  - удельные поверхностные сопротивление и проводимость увлажненного слоя загрязнения, соответственно.

Ток утечки по поверхности изолятора при действующем значении напряжения на нем можно рассчитать по формуле:


из которой следует, что ток утечки пропорционален средней напряженности вдоль пути утечки , удельной поверхностной проводимости и диаметру изолятора .

Большинство изоляторов имеет более сложную форму, чем гладкий цилиндр. Сопротивление увлажненной поверхности изолятора сложной формы, например, тарельчатого изолятора, должно быть определено с учетом изменения диаметра изолятора вдоль пути утечки. Сопротивление бесконечно малого участка увлаженной поверхности вдоль пути утечки изолятора, в соответствии с формулой (1):


где  - линейная координата вдоль пути утечки;  и  - удельная поверхностная проводимость и диаметр изолятора при произвольной координате .

При постоянной вдоль пути утечки удельной поверхностной проводимости сопротивление всей поверхности изолятора рассчитывается по формуле:


где  и  - коэффициент формы и эквивалентный диаметр изолятора,


При переменной по длине пути утечки удельной поверхностной проводимости вводится понятие средней поверхностной проводимости, равной отношению коэффициента формы к полному сопротивлению поверхности изолятора:


На основании формул (2)-(7) для тока утечки по поверхности загрязненного и увлажненного изолятора произвольной формы можно получить следующее выражение:


При протекании тока через увлажненный слой загрязнений на единице поверхности и в единицу времени выделяется энергия:


где - напряженность электрического поля в элементарном объеме слоя;  - плотность электрического тока через элементарное сечение в слое, совпадающая по направлению с напряженностью электрического поля, и которая не равна средней напряженности электрического поля вдоль пути утечки.

С учетом (8) выражение для удельной энергии (9) принимает следующий вид:


В случае равномерного загрязнения и увлажнения поверхности изолятора выражение (10) принимает вид:


Отсюда следует, что энергия, рассеиваемая на единице поверхности изолятора в единицу времени, пропорциональна квадрату средней напряженности вдоль пути утечки, удельной поверхностной проводимости и квадрату отношения эквивалентного диаметра изолятора к диаметру при произвольной координате. Таким образом, даже при равномерном загрязнении и увлажнении изоляторов выделяемая мощность неравномерно распределена по поверхности: чем меньше диаметр, тем больше выделяемая мощность.

Осциллограмма частичного разряда.

Рисунок 1. Осциллограмма напряжения (1) и тока (2) на загрязненном изоляторе.

Условие развития частичного перекрытия в полное

Режим перемежающихся дужек, возникающий при увлажнениях загрязненной изоляции и не нарушающий нормальной эксплуатации воздушных линий, может иметь место лишь при правильном выборе изоляции. При определенных условиях частичное перекрытие поверхности изолятора быстро развивается в полное, что исключает возможность нормальной эксплуатации изоляции. Условие развития частичного перекрытия в полное может быть получено из сопоставления проводимостей дуги и неперекрытого дугой увлажненного слоя загрязнения. Сопротивление единицы длины дуги


т. е. обратно пропорционально току через дугу.

Сопротивление увлажненного слоя загрязнения на единицу длины пути утечки гладкого цилиндрического изолятора, согласно формуле


Полное сопротивление поверхности цилиндрического изолятора с учетом шунтирования подсушенного участка поверхности дугой


В зависимости от соотношения между rд и rп сопротивление поверхности изолятора при возникновении дуги может быть больше сопротивления ненарушенного подсушкой слоя загрязнения, (rд>rп), остаться неизменным (rд - rп) либо уменьшится (rд<rп

В первом случае (rд>rп) ток по поверхности изолятора


меньше тока по полностью увлажненному слою. Следовательно, энергия, выделяющаяся на поверхности изолятора, уменьшается, поверхность изолятора начинает насыщаться влагой. При случайном удлинении дуги сопротивление увеличивается еще больше, ток еще больше уменьшается. Увлажнение подсушенного слоя приводит к шунтированию дуги и к ее погасанию.

Напротив, при rд<rп возникновение дуги приводит к уменьшению сопротивления поверхности изолятора и соответствующему увеличению тока. Поэтому удельное сопротивление канала дуги уменьшается, что г

приводит к дальнейшему уменьшению полного сопротивления и росту тока. Случайное удлинение дужки приводит к дальнейшему уменьшению полного сопротивления и увеличению тока по поверхности изолятора. Таким образом, в отличие от режима перемежающихся дужек, приrд<rп возникает неустойчивый режим горения дуги, не препятствующий ее произвольному удлинению, причем скорость продвижения дуги нарастает по мере ее удлинения.

Подводя итог, можно сформулировать в общей форме условие развития перекрытия по поверхности загрязненных изоляторов при увлажнениях.

1.   Протекающий по поверхности изолятора ток утечки должен подсушивать увлажненный слой загрязнения; перекрытие подсушенных зон приводит к возникновению дужек на поверхности изолятора.

2.   Должно быть выполнено условие распространения дуги по увлажненной поверхности гдп.

о

При невыполнении одного из этих условий перекрытие изолятора невозможно, поэтому для исключения возможности перекрытия загрязненной изоляции при увлажнениях следует идти по пути исключения возможности выполнения лишь одного из условий.

Осциллограмма полного перекрытия.

Рисунок 2. Осциллограмма напряжения (1) и тока (2) на загрязненном изоляторе.

Эксплуатация изолирующих устройств, подверженных загрязнению и увлажнению

Форма изоляторов для загрязненных районов. Длительный опыт позволил установить общие требования к конструктивной форме изоляторов, работающих в загрязненных районах, которые могут быть охарактеризованы следующими положениями:

.     Поверхность изолятора в наибольшей мере должна самоочищаться при воздействии дождя и ветра.

2.       У изолятора загрязнениям должна подвергаться минимальная часть его поверхности.

Классификацию конструкций изоляторов, предназначенных для работы в условиях загрязнений см. Приложение 1.

Уход за изоляторами. Основным способом обеспечения безаварийной работы изоляции линий электропередач и распределительных устройств, расположенных в районах с загрязненной атмосферой, является усиление изоляции. Вместе с тем усиление изоляции не исключает периодической очистки ее от загрязнений. Усиление изоляции во многих случаях лишь удлиняет период между чистками. Какое-либо единое нормирование периодичности чисток невозможно. Периодичность чисток зависит от характера загрязнений и погодных условий. Лишь на основе местных условий для каждой установки в отдельности может быть определена периодичность планово-предупредительных чисток.

Самоочистка изоляции возможна при большой интенсивности дождей, если осадки на изоляторе не носят характера сцементировавшихся отложений.

Обычным средством ухода за загрязненными изоляторами в настоящее время все же является протирка их вручную тряпками, ветошью и т. д. Такой способ очистки, помимо его трудоемкости, требует отключения оборудования на время чистки, снижая надежность электроустановок.

Отдельные энергосистемы из-за сильно цементирующихся отложений применяют периодический демонтаж изоляторов, с тем, чтобы их обрабатывать в стационарных мастерских. Для улучшения работы изоляторов в загрязняемых районах предлагались способы, повышающие разрядные характеристики их на больший срок, чем у обычных. К таким способам относятся обогрев, гидрофобные покрытия и т.д.

Основным недостатком всяких консистентных гидрофобных паст, на основе солидола, вазелина, церезина и т. д. является то, что после испарения из них растворителей большие трудности представляет последующее их удаление, после того как они перестают быть эффективными из-за поверхностного и объемного загрязнения.

Как наиболее доступный во многих случаях способ принудительной очистки изоляторов от загрязнений еще с 1930 г. начал применяться и применяется до сегодняшнего дня - обмывка их водой под напряжением. Если в первоначальный период внедрения этого метода он получил широкое применение, то в дальнейшем значение этого способа несколько уменьшилось. Это было вызвано следующими причинами: необходимостью применять ряд

мер, обеспечивающих личную безопасность персонала, производящего обмывку, от поражения током, наличием условий возникновения перекрытия обмываемого изолятора и, наконец, необходимостью подавать относительно большое количество воды и дренировать его с территории открытых распределительных установок( Приложение 2).

Оценка степени опасности загрязнения. По существу досего дня не предложено каких-либо прямых способов определения состояния загрязненного изолятора на данный момент. Имеется лишь большое число видов и способов косвенной оценки степени загрязнения, в числе которых может быть указано:

·        Контроль проводимости влаги и количества взвеси в чашке, установленной по соседству с работающими изоляторами. Данный метод применим только для районов, где температуры преимущественно положительные;

·        Определение уровня радиопомех, вызываемых поверхностными разрядами, интенсивность которых изменяется в зависимости от степени загрязненности. При этом указывается, что напряженность 1 500 - 5 ОООмкв/мхарактеризует опасное состояние;

·        визуальные наблюдения характера и степени распространенности разрядов на поверхности изолятора.

При визуальных наблюдениях состояние внешней загрязненной и увлажненной изоляции можно оценить следующими критериями:

·    Голубое свечение на поверхности изолятора и синиетонкие искры (стримеры) еще не представляют опасности с точки зрения перекрытия;

·        Темно-желтые и короткие разряды характеризуют сильное загрязнение изолятора, но немедленное перекрытие еще невозможно.

·        Образование на поверхности плотных желтых или белых частичных дуг, сильных кистевых разрядов желто-беловатого цвета, охватывающих значительную часть изолятора, указывает на то, что он работает на пределе и может быть перекрыт в ближайшее мгновение.

Ликвидация аварийных положений. Из повседневной практики ликвидации аварий, вызванных загрязнением изоляции, известно, что зачастую перекрытия могут возникать с небольшими разрывами но времени в нескольких точках подстанций. Неблагоприятные метеорологические условия, при которых возможны перекрытия, порой продолжаются длительно - 2-4 дня.

При неблагоприятной ситуации, когда возникает возможность перекрытий, персонал обязан принять меры, которые определены местными инструкциями (предупредить диспетчера и вышестоящий персонал, внести изменения в схему, предупреждающие возможность полного обесточивания, вызвать ремонтных рабочих для чистки и т. д.).

Известны случаи, когда при неблагоприятных условиях возникала необходимость мобилизации всего персонала цеха или даже станции для работ по очистке аппаратуры.

На сильно загрязненных подстанциях с большим числом аппаратуры, в отдельных случаях, создаются постоянные бригады, производящие поочередную систематическую чистку изоляции присоединений.

Заключение

Развитие промышленности и интенсификация производства во многих странах приводят к росту аварийности в сетях, обусловленной перекрытиями загрязненной изоляции при рабочем напряжении. При этом наиболее опасно полное перекрытие, так как оно создает аварийный режим и может привести к порче дорогостоящего оборудования подстанций и линий электропередачи. В связи с этим в энергосистемах производится периодическая очистка или обмывка изоляторов, что связано с большими затратами ручного труда. Увеличение интервалов между очистками достигается при помощи покрытия изоляторов гидрофобными смазками (трансформаторное масло, солидол, специальные пасты), что исключает увлажнение загрязненных слоев и образование проводящего слоя на поверхности.

Так же для уменьшения загрязнения используются методы очистки атмосферы, такие как установка пылеулавливателей и газификация котельных. Таким образом, обслуживание и проектирование электротехнического оборудования напрямую связано с экологией. И для того, чтобы предотвратить загрязнение изоляторов необходимо развивать сферу проектирования линий электропередач с учетом всех окружающих факторов: климатических условий, близкого расположения промышленных предприятий, уровня загрязнения воздуха.

Список литературы

1.   Воскресенский В.Ф. - Электрическая изоляция в районах с загрязненной атмосферой - М., «Энергия», 1971.

2.       Мерхалев С.Д., Соломоник Е.А. -Изоляция линий и подстанций в районах с загрязненной атмосферой - М., «Энергия», 1973.

.        Александров Г.Н., Иванов В.Л. - Электрическая прочность наружной высоковольтной изоляции - Л., «Энергия», 1969.

4.       <#"587863.files/image034.gif">

Похожие работы на - Загрязнения электрической изоляции

 

Не нашли материал для своей работы?
Поможем написать уникальную работу
Без плагиата!
Без нейросетей!