Разработка двигательной установки для коррекции орбиты спутника
Введение
орбита космический
аппарат электроракетный
Решение многих задач космонавтики в настоящее время связано с широким
использованием космических электроракетных двигательных установок (ЭРДУ),
исполнительными органами которых являются электрические ракетные двигатели
(ЭРД).
Удельные массы современных космических энергоустановок достаточно велики,
поэтому отношение силы тяги к массе космического корабля оказывается невысоким.
Вместе с тем разделение источников энергии и рабочего вещества в ЭРД и
использование электростатического ускорения позволяют значительно (на Один-два
порядка) увеличить удельный импульс, а соответственно и экономичность ЭРД. В
плазменных и электростатических ускорителях рабочее вещество может быть
разогнано до скоростей от десятков до сотен километров в секунду, что
исключается в тепловых ускорителях. Это предопределяет области применимости
ЭРДУ для космических летательных аппаратов с большими временами активного
функционирования.
Отличительной особенностью ЭРДУ является высокое значение удельных
импульсов, т.е. высокая экономичность, возможность получения малых единичных
импульсов, большой ресурс, большое число включений.
Одним из основных классов электрических ракетных двигателей являются
электростатические движители, к числу которых принадлежит и плазменно-ионный
движитель (ПИД).
Техническое
задание
Спроектировать электрореактивную двигательную установку коррекции орбиты
космического аппарата, предназначенного для дистанционного зондирования
поверхности Земли.
Исходные данные:
· Время
функционирования КА:
;
· Время
функционирования ДУ:
;
· Удельный
импульс ЭРД:
;
· Тяговый КПД:
ηт=0.6;
· Орбита
круговая. Высота орбиты h=450км;
· Наклонение
орбиты i=105°.
Разработка циклограммы
энергопотребления
На чертеже
(ХАИ.441.10.ДУ.08.СХ.00.01) представлена циклограмма нагрузки, которая
характерезует зависимость мощности, потребляемой нагрузкой от времени на
протяжении некоторого повторяющегося цикла.
Основные исходные данные для построения циклограммы [5].
Nсеанс1 = 134 Вт 13 мин 1 раз за виток -
первая сеансная нагрузка;
Nсеанс2 =112 Вт 12 мин 1 раз за виток -
вторая сеансная нагрузка;
NЭРД = 134 Вт 10 мин 1 раз за виток -
нагрузка ЭРД;
Nдеж = 45 Вт - дежурная нагрузка
(мощность потребления в отсутствие сеансной нагрузки);
В соответствии с высотой орбиты и ее наклонением принимаем такие
параметры расчетного витка:
· период обращения 93 мин;
· длительность теневого участка 35 мин;
· длительность светового участка 58 мин.
Циклограмму энергопотребления нагрузки строим на основе данных.
Тп=93 мин
Тосв=58 мин
Ттень=35 мин
Включение двигателя осуществляем на теневом участке орбиты. Время работы
двигателя составляет 10% от времени существования КА.
Определим среднюю потребляемую мощность нагрузки на интервале осреднения
(длительности витка Тп) Wср по
формуле:
Для определения необходимой мощности БФ, в первоначальном приближении
пренебрегая потерями при передачи энергии от генератора к нагрузке, можно
записать, что
=92.6
(Вт), (1.2)
где WБФ ср - средняя мощность генератора на интервале Тп.
Принимаем мощность, генерируемую солнечной батареей на конец ресурса WБФ=97 Вт. С учетом коэффициента
деградации БФ на 9лет
(Kдег БФ=0.57) WБФ на начало ресурса 170Вт.
Определение
оптимальной скорости истечения рабочего тела, расчет тяги, массового расхода и
общего запаса рабочего тела
Движение КА зависит от возмущающих сил, которые постепенно изменяют
элементы орбиты. Главные возмущения спутниковых орбит вызваны несферичностью
Земли, сопротивлением атмосферы.
Включение бортовой двигательной установки на базе ЭРД позволяет
компенсировать эти возмущения. Если ЭРД будет работать непрерывно в течение
всего срока функционирования КА на орбите, то требуемая тяга должна быть равна
величине сопротивления атмосферы на заданной орбите.
В действительности для выполнения своей задачи ЭРД включаются
периодически, и время их работы составляет несколько процентов от tКА. В нашем случае время работы ЭРД
на орбите равно 10% от нахождения КА на орбите.
При движении КА в космическом пространстве, где силы гравитационного
взаимодействия малы, по сравнению с силами других воздействий
(электромагнитного излучения, потоков частиц), требуется оптимальная скорость
истечения рабочего вещества.
Определим оптимальную скорость истечения рабочего вещества по формуле
[1]:
где α=(20…80)кг/кВт; β=(5…20)кг/кВт;
Выбираем минимальные значения α и β, исходя из соображений необходимости
вычисления максимальной оптимальной скорости истечения рабочего вещества. Чем
меньше значения этих коэффициентов, тем больше значение оптимальной скорости
истечения.
Подставляем выбранные значения в (2.1) и получаем:
Считаем, что с целью поддержания К А на
круговой орбите тяга Э Р Д
должна компенсировать только потерю скорости К А за счет преодоления сопротивления воздуха на орбите:
,
где: Сх=2;
- характерная скорость космического аппарата. Для
орбиты с высотой 450 км. плотность атмосферы:
,
Для
начального этапа расчета эффективную площадь можно определить из следующего
выражения:
Где
Имея
все данные, посчитаем эффективную площадь:
Отсюда
Так
как Э Р Д работает не постоянно, а промежуток времени на каждом витке, равный
10 %, то тягу Э Р Д, чтобы выполнить ту же работу необходимо увеличить в 10
раз:
По
рассчитанным значениям тяги ЭРД и оптимальной скорости истечения выбираем
плазменно-ионный движитель.
Определим по найденной оптимальной скорости
движителя секундный массовый расход рабочего тела:
Для обеспечения работы ЭРДУ в течение необходимого времени ЭРДУ должна
включать в себя запас рабочего тела. Для того чтобы определить этот запас,
необходимо знать расход рабочего тела через движитель. Частично ответ на этот
вопрос может дать величина ионного тока. Однако не весь расход, превращаясь в
ионы, покидает движитель в виде ионной струи. Часть нейтральных атомов рабочего
тела не ионизируется в ГРК и проходит через электроды ИОС. Это учитывает
коэффициент запаса рабочего тела: К=1.03.
Разработка
и описание схемы размещения ЭРДУ на космическом аппарате
На чертеже (ХАИ.441.10.ДУ.08.СХ.00.02) приведен космический аппарат (1),
представляющий собой цилиндр и фотоэлектрическую батарею. Фотоэлектрическая
батарея (2) ориентирована на Солнце и представляет собой 2 панели. В любом
положении КА солнечные батареи обеспечивают потребную мощность. Космический
аппарат предназначен для коррекции орбиты.
Двигательная установка (3) расположена таким образом, что вектор тяги
проходит через центр масс аппарата, и лежит на одной прямой с вектором
направления движения. По условиям задания КА должен двигаться по круговой
орбите на высоте h=450 км, и в
любом месте орбиты продольная ось аппарата должна быть направленной по
касательной к орбите. Движитель размещен таким образом, чтобы элементы КА не
попадали в поток плазмы. Время функционирования КА составляет tКА.=2.83´108 с. Для выполнения
данной задачи достаточно применения одного движителя.
Разработка и описание структурной схемы двигательной
установки
Функциональная схема, представленная на чертеже ХАИ.441.10.ДУ.08.СХ.00.03
представляет собой совокупность основных структурных единиц движительного блока
и связей которые проявляются между ними. Движительная установка состоит из
следующих блоков:
1. Система управления летательным аппаратом (СУЛА);
2. Источник электроэнергии (ИЭЭ);
. Система управления двигательной установкой (СУДУ);
5. Система хранения и подачи рабочего тела (СХПРТ);
6. Электрореактивный движитель (ЭРД).
СПЭЭ снабжает энергией все элементы двигательной установки. Она не
является объектом разработки в данной курсовой работе, но без нее работа
движителя невозможна. Она имеет прямые и обратные связи с системой управления.
СУДУ имеет связи почти со всеми элементами схемы. Это объясняется тем,
что она играет главную роль в работе движителя - координирует работу других
систем.
Система хранения и подачи рабочего тела обеспечивает хранение рабочего
тела во время полета, а также дальнейшую его подачу в ДУ через систему
датчиков, которые регулируют как количество, так и давление рабочего тела в
трубопроводе и в клапанах, которые используют для своевременной подачи или
отключения подачи рабочего тела в полость трубопровода или на его выходе и т.д.
Инженерный расчёт ПИД. Принцип работы ПИД и схема его расчета
Для проведения инженерного расчёта ПИД изучен механизм, определяющий его
работу и конструктивные особенности. Рисунок 5.1 иллюстрирует процессы,
включающие в себя рождение и ускорение ионов. Электроны, эмитируемые катодом,
ускоряются электрическим полем (возникающим благодаря напряжению, приложенному
к электродам) и соударяются с нейтральными частицами рабочего вещества,
ионизируя его. В результате таких столкновений образуются ионы и электроны.
Ионы под действием электростатических полей движутся к ИОС, а электроны к
аноду. Для увеличения времени жизни электронов, в ГРК движителя создают
магнитные поля осевой, радиальной или пристеночной конфигурации. Степень
ионизации зависит от энергии электронов и их концентрации в рабочем объёме ГРК,
а также от концентрации рабочего вещества. Для получения необходимой тяги
обеспечивается концентрация рабочего вещества, которая является функцией
массового расхода. Энергия электронов зависит от тока и разрядного напряжения.
Рисунок - 5.1 Схема столкновений в ГРК ПИД.
На рис. 5.1 чёрными точками обозначены первичные электроны, которые при
столкновении с нейтральными атомами (обозначенные буквой n в кружочке) образуют пару
электрон-ион. Под действием электростатических сил электроны движутся к аноду,
а ионы к ИОС. Столкновения электронов с нейтральными частицами рабочего тела
приводит к появлению вторичных электронов и перераспределению между ними
энергии. В ПИД первичные и вторичные электроны находятся совместно.
Ионизация атомов рабочего тела происходит выбиванием электронов из
основного состояния. Движение ионов в ГРК определяется главным образом
электрическим полем. При этом магнитное поле имеет небольшое влияние на
направление движения ионов, поскольку величина ларморовского радиуса ионов как
минимум на порядок превышает характерный размер движителя.
Ион-ионные столкновения слабо влияют на общее направление движения ионов,
т.к. ионы ускоряются в основном в направлении градиента потенциала плазмы, а,
следовательно, все ионы в заданной точке двигаются в одном общем направлении.
Часть ионов, которая движется к электродам ИОС, пересекает плазменный
слой около экранирующего электрода и, ускоряясь напряжением в несколько
киловольт, покидает электроды ИОС ПИД, создавая тягу движителя.
Функциональная схема ПИД (ХАИ.441.ДУ.08.СХ.00.04) дает представление о
процессах, происходящих в движителе.
Выбор рабочего тела для ПИД
На первичном этапе разработки ПИД в качестве рабочих тел использовали
металлы. Их выбор был связан в основном с самими ускорителями, а не определялся
всей проблемой КА в целом. Металлы предпочтительны из-за своего большого
атомного веса, высокой плотности рабочего тела, а в случае цезия - из-за
низкого потенциала ионизации. Однако при использовании металлических рабочих
тел возникает проблема их конденсации на КА, а в случае применения больших
космических ЭРДУ существенным является и цена рабочего тела. В связи с этим
появляется интерес к газообразным рабочим телам. При выборе рабочего тела
необходимо принимать во внимание весь комплекс требований, предъявляемых к
рабочему веществу. Не одно рабочее тело не обладает такими свойствами, которые
одновременно удовлетворяли бы всем предъявляемым к нему требованиям. Поэтому
при выборе рабочего тела следует учесть классификацию требований по их
значимости для проектируемого движителя, которые определяются конструктором.
В расчёте данного движителя предпочтение отдаётся газообразным рабочим
веществам, что связано с простотой СХПРТ, работающем на газообразном рабочем
теле, и его малой массой, а также высокой надёжностью ЭРДУ в целом. При выборе
рабочего тела необходимо учитывать его удельные и энергетические
характеристики. Желательно использовать такие вещества, у которых низкий
потенциал ионизации в сочетании с большой молекулярной массой. Низкий потенциал
ионизации определяет минимальные затраты энергии подводимой на катод для
ионизации рабочего вещества. Масса иона рабочего тела определяет тяговые
характеристики движителя, а также объём рабочего вещества, который необходимо
запасти для функционирования движителя в течение заданного промежутка времени.
Из всех газообразных веществ, используемых в качестве рабочего тела для
ЭРД, в данном проекте выбирается инертный газ ксенон, который имеет малый потенциал
ионизации при высокой молекулярной массе иона.
Расчет параметров ионно-оптической системы ПИД
Удельный импульс для ионного движителя равен (для однократно заряженных
ионов):
где е = 1.6∙10-19 Кл;- напряжение между электродами
ионно-оптической системы, В.
Для
ксенона
.
Так
как Iуд
рассчитан выше, то из формулы (5.1) определяем необходимое ускоряющее
напряжение:
Выражение
для тяги ионного движителя с однократно заряженными ионами запишем так[3]:
Из
выражения (5.3) можем определить ток ионного пучка Ii, необходимый
при заданном напряжении U для получения тяги F:
Ионно-оптическая
система является одним из основных узлов, определяющих работу плазменно-ионного
движителя. Точные расчеты, проектирование и изготовление ее электродов
увеличивает тяговый КПД движителя и его ресурс.
Плотность
тока для случая одномерного течения однозарядных ионов между плоскими
параллельными электродами записывается следующим образом:
где
εо = 8.85∙10-12
Ф∙м-1;
По
рекомендуемым диапазонам толщин ускоряющего и экранного электродов δэ=(0.1÷1)∙10-3 м; δу=(1÷1.5)∙10-3 м [1], принимаем δэ=1∙10-3
м, δу=1.2∙10-3
м .
Выбор
расстояния между электродами d зависит от нескольких факторов: во-первых, так
как к электродам ИОС приложены различные потенциалы, то действует электростатическая
сила схлопывания; во-вторых, неравномерные тепловые потоки вызывают
температурные напряжения в сетках, которые приводят к их деформации (в
результате этого локальное изменение зазора может быть очень большим);
в-третьих, так как между электродами ИОС приложено высокое напряжение, то
уменьшение зазора может привести к нарушению диэлектрической прочности и, как
следствие, к высоковольтному пробою, что нарушает работу движителя и может
вывести его из строя. Из предложенного диапазона допускаемых напряженностей
электрического поля Еmax=(1÷5)´106 [1], выберем Еmax=106
Вт/м. Таким образом, зная напряжение между электродами ИОС и выбрав
допустимую величину Еmax, можем определить зазор между электродами:
Из
технологических соображений принимаем межэлектродный зазор равным 10-3м.
Плотность тока для случая одномерного течения однозарядных ионов между
плоскими параллельными электродами записывается следующим образом (закон
интенсивных течений Ленгмюра):
Таким образом, подсчитав плотность тока в ионном пучке, определим
эффективную площадь сечения:
Полная площадь сечения ПИД:
где χ - прозрачность электродов, показывающая, какую часть от
полной поверхности электрода составляет суммарная площадь всех отверстий.
Из формулы (5.6) видно, что чем больше χ, тем более совершенна
ионно-оптическая система. Однако максимальная величина χ ограничена двумя факторами:
во-первых, ресурсом, во-вторых, технологическими возможностями. Более
существенным является второй фактор. Следствием большой прозрачности является
малая толщина перемычки между отверстиями. В случае получения отверстия методом
сверления максимальная прозрачность будет равна χ =0,7 и отверстия будут расположены в
шахматном порядке [1]. Примем максимально возможную величину.
Следовательно, выбрав величину χ, можно определить полную площадь сечения
ГРК :
По полной площади сечения ПИД, находим диаметр ПИД:
Важной характеристикой фокусируемых пучков является их геометрический
параметр, равный отношению диаметра цилиндрического пучка 2∙ro
к расстоянию d между электродами ускорителя, в котором сфокусирован пучок:
Опыт создания фокусирующих систем показывает, что фокусировка интенсивных
пучков с геометрическим параметром, большим 1-3, представляет собой
трудноразрешимую задачу. При R>3-5 градиенты потенциала в направлении,
перпендикулярном оси пучка, становятся столь значительными, что формирование
параллельного пучка с помощью внешних фокусирующих электродов становится
практически невозможным. Исходя из вышесказанного, задаемся значением R=4.
Считаем, что диаметр отверстий в электродах ускоряющей системы ПИД равен
диаметру цилиндрического пучка, тогда получим:
Зная диаметр, а, следовательно, и площадь одного отверстия, находим их
общее число:
Наиболее оптимальной является сферическая конструкция ИОС. Её
преимуществом (по сравнению с плоской) является однонаправленное изменение
формы электродов под действием тепловых нагрузок, в результате чего
межэлектродный зазор меняется в процессе работы на незначительную величину.
Кроме того, сферические электроды обладают повышенной жёсткостью, что
увеличивает их резонансную частоту.
Большое значение для нормальной работы ИОС имеет правильный выбор
материала на основе сравнительного анализа наиболее важных характеристик и
свойств. Материал сеток должен обладать следующими свойствами: высокой
температурой плавления, хорошей теплопроводностью, максимальной работой выхода,
хорошей технологичностью, высоким значением предела прочности, высокой
термостойкостью, малым значением катодного распыления. Для изготовления
электродов выбираем сплав на основе титана, т.к. это один из наиболее
подходящих материалов, отвечающий перечисленным требованиям.
При конструировании электродов ИОС необходимо выполнять следующие
требования:
. Конструкция должна обеспечивать минимальное изменение величины
межэлектродного зазора с помощью юстировочных колец. В процессе работы ПИД
число высоковольтных пробоев должно быть сведено к минимуму.
. Масса конструкции должна быть минимальной.
. Резонансная частота сетки должна быть больше 200Гц.
Последнее требование вызвано наличием вибрационных нагрузок, которые
испытывает КА при старте с Земли, при выходе на орбиту. Уровень частот вибраций
лежит в пределах 130-180 Гц.
Расчет параметров газоразрядной камеры ПИД
Одним из главных параметров газоразрядной камеры (ГРК) является
напряжение разряда Up. Эта величина зависит от многих факторов и,
прежде всего, от первого потенциала ионизации рабочего тела φi. С учетом результатов экспериментальных исследований
различных моделей ПИД можно сделать следующий вывод:
Аналогичное выражение можно вывести для величины разрядного тока Ip,
основываясь на экспериментальной связи разрядного тока с током ионного пучка:

Зная Up и Ip, определяем цену иона Сi по
следующей формуле:
Одним из важных узлов ГРК является катодный узел. Катод должен быть
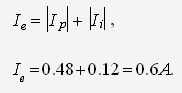
сконструирован и изготовлен так, чтобы он обеспечивал необходимый электронный
ток Ie в течение всего времени работы движителя.
Электронный ток с катода равен:
При
определении отдельных конструктивных и рабочих характеристик ПИД (например, при
расчете величины индукции магнитного поля) необходимо знать параметры плазмы в
объеме ГРК. Используем эмпирические соотношения, принятые в физике газового
разряда. Температуру группы медленных, максвелловских электронов принимаем
равной первому потенциалу возбуждения ксенона
, а
температуру первичных электронов - равной потенциалу ионизации рабочего тела
известно,
что 1эВ=11600К., то
Аналогично
и с температурой первичных электронов:
Так
как при нормальной работе движителя слои частиц устойчивы, то можно ожидать
выполнения критерия:
Получим
минимальную скорость ионов и электронов в ГРК:
Концентрация ионов и электронов определяются из следующих выражений:
Расчёт магнитного поля в ПИД
Наиболее важным фактором, определяющим работу ГРК ПИД, является магнитное
поле, его величина, форма силовых линий. Основная роль магнитного поля -
увеличить время существования электронов, что улучшает энергетический КПД.
Кроме того, магнитное поле оказывает влияние на распределение плотности плазмы
по сечению движителя перед экранным электродом ИОС.
Однородная плотность тока по сечению движителя является одним из условий
получения максимальной тяги, которая реализуется при работе всех отверстий
электродов ИОС при условиях максимального тока насыщения. Однородность ионного
пучка необходима для устранения локальной эрозии сетки ускорителя.
Интенсивность эрозии электродов ИОС является функцией скорости резонансной
перезарядки, которая пропорциональна местной плотности ионного тока. Для
большинства ПИД характерной является пиковая плотность потока и, как следствие,
максимальная эрозия электродов по оси движителя.
Исследования профиля ионного пучка в моделях ПИД с осевым магнитным полем
показали, что в пучке существует центральная область высокой интенсивности,
образованная плотным плазменным столбом, расположенным вдоль оси ГРК. Размер
этого столба в области пересечения с экранным электродом определяется диаметром
катода, индукцией и формой силовых линий магнитного поля.
Для уменьшения градиента плотности плазмы в радиальном направлении можно
использовать, по крайней мере, четыре метода. Первый метод - увеличение
площади, с которой эмитируются электроны за счет увеличения площади катода,
либо несколькими катодами малого размера, что усложняет систему и увеличивает
потери мощности. Второй метод - использование в конструкции дефлектора, что
ведёт к механическому усложнению конструкции, затруднению зажигания разряда и
увеличению напряжения его горения. Третий метод - изменение формы силовых линий
магнитного поля таким образом, чтобы распределение плотности плазмы вдоль
экранного электрода было более однородным. Четвёртый метод - освобождение
объёма ГРК от силовых линий магнитного поля и сосредоточения их в пристеночных
областях.
Наиболее применяемые конструкции - это движители с расходящимся магнитным
полем, радиальным и пристеночным. Движитель с расходящимся магнитным полем -
наиболее отработанная модель. Она появилась в результате развития конструкции
движителя с осевым магнитным полем. При отработке этой модели было выявлено
важное правило проектирования магнитных полей в объёме ГРК: критические силовые
линии магнитного поля, т.е. линии, выходящие из крайних отверстий катодного
блока, не должны пересекать анод и экранирующий электрод. Однако в моделях ПИД
с расходящимся магнитным полем не было достигнуто однородности в распределении
плотности тока по сечению. Вместе с тем существует конструкция с осевым
магнитным полем, индукция которого зависит от радиуса так, что она (индукция)
мала в центре камеры и возрастает по мере приближения к аноду. Такая структура
поля даёт электронам возможность двигаться по траектории большего радиуса, но
заставляет их отражаться обратно, когда они достигают анода. Более однородное
распределение плотности ионного тока было получено у моделей ПИД с радиальным
магнитным полем. Поскольку коэффициент диффузии в направлении, параллельном
линиям магнитного поля, является намного большим, чем при нормальном, такая
компоновка должна уменьшить градиент плотности плазмы по радиусу. Магнитное
поле движителей с пристеночным магнитным полем сосредоточено у стенок. Его
силовые линии закрывают аноды, препятствуя быстрому прохождению электронов к
аноду. Поля рассеяния быстро спадают по мере удаления от полюсных наконечников,
и напряжённость магнитного поля становится пренебрежимо малой во всём объёме
ГРК. Выполнение этого условия обеспечивает свободное прохождение первичных
электронов, испускаемых катодом и создание однородной плазмы.
При проектировании магнитных систем ПИД необходимо учитывать, прежде
всего, два момента: первый - критические силовые линии магнитного поля не
должны пересекать анод и рабочую часть экранного электрода ИОС, второй -
величина индукции магнитного поля должна быть такой, чтобы ларморовский радиус
первичных электронов был значительно меньше характерного размера, а
ларморовский радиус ионов был больше характерного размера, т.е. должно
выполнятся следующее условие:
Зная
диаметр разрядной камеры (диаметр И О С) и исходя из опыта использования П И Д,
было установлено, что наиболее целесообразно применять движители, у которых
длина Г Р К составляет :
(5.24)
Используя
уравнение для определения силы Лоренца и второй закон Ньютона, а также
задавшись ларморовским радиусом электронов (принимаем ларморовский радиус
электронов на 2 порядка меньше, чем характерный размер камеры
м), определим необходимую индукцию магнитного поля:
(5.25)
Следовательно,
индукция магнитного поля будет определяться как:
(5.26)
Определив
необходимую индукцию магнитного поля, рассчитывается ларморовский радиус ионов:
(5.27)
Исходя
из полученных данных, мы можем видеть, что условия (5.23) выполняются:
Re<<L,
Ri>>L,
Исходя из того, что распределение плотности ионного тока у моделей П И Д
с радиальным магнитным полем более однородно, чем у движителя с расходящимся
или осевым магнитным полем, а, также учитывая, что создание движителя с
пристеночным магнитным полем достаточно сложно с технологической точки зрения,
по сравнению с созданием движителя с радиальным магнитным полем, для
проектируемого П И Д, выбирается схема с радиальным магнитным полем. На рисунке
5.2 приведена расчётная схема магнитной цепи для радиального поля.
В данном проекте выбирается схема магнитной цепи с внешними полюсами,
следовательно, расстояние от оси движителя до полюсных наконечников будет
определяться как:
(5.28)
Рис.
Исходя из опыта применения полых катодов в П И Д, а, также используя
рекомендации, предложенные в методическом пособии, рассчитывается радиус
наконечника катода, и ширина полюсных наконечников:
(5.29)
(5.30)
Ширина полюсных наконечников принимается равной от 2 до 5 ларморовских
радиусов электрона, так как это позволяет обеспечить минимум два соударения
электрона с ионизируемым рабочем телом, что позволяет обеспечить более высокую
плотность ионов на входе И О С, а, следовательно, и большую тягу движителя,
также выбор по такому критерию ширины полюсного наконечника увеличивает время
жизни электрона.
Таким
образом, используя закон Ома для магнитной цепи, определим число ампер-витков
необходимые для создания магнитного поля в объёме ГРК с индукцией В. Так как
магнитная катушка включена в разрядную цепь, то
,
,
.
(5.31)
Для
дальнейшего расчёта магнитного поля П И Д необходимо выбрать материал для
катушек соленоида и диаметр провода. Как правило, в промышленности используют
проводники из алюминия или меди. Определяющими критериями в выборе материала
являются его плотность и электропроводность, так как плотность меди в 3-2 раза
выше плотности алюминия, поэтому при равных размерах катушка с обмоткой из
алюминия оказывается значительно легче, чем катушка из меди. Однако электропроводность
алюминия составляет только 60 % электропроводности меди, поэтому мощность,
потребляемая катушкой из алюминия, в 1,67 раза превышает мощность, потребляемую
катушкой из меди, создающей то же поле, если размеры катушки одинаковы. Исходя
из всего сказанного выше и учитывая повышенные требования, предъявляемые к
энергопотреблению движителя, проводник для катушки выбираем из меди. По
рекомендациям, предложенным в методическом пособии [2], плотность тока в
сечении проволоки катушки 
.
(5.33)
Таким образом, определив ток и задавшись диаметром проволоки соленоида, и
зная суммарное число ампер витков, можно сначала определить суммарное число
витков соленоида, которое обеспечит необходимую индукцию магнитного поля, а
затем, задавшись числом катушек (так для более равномерного распределения
магнитного поля в Г Р К П И Д и для упрощения конструкции П И Д принимаем число
катушек равным четыре (n=4).
(5.34)
Определим
число витков одной катушки:
(5.35)
Разработка
и описание теоретического чертежа движителя
Плазменный ионный движитель представляет собой устройство, в котором создание
тяги основано на принципе ускорения заряженных частиц.
Общий вид плазменно-ионного движителя представлен на чертеже ХАИ.441.10.ДУ.08.ТЧ.00.06. Заряженные частицы образуются в части движителя, которая
называется газоразрядной камерой (ГРК)(5). В состав ГРК входят катодный узел
(1), анод (2) и непосредственно корпус газоразрядной камеры (5). Из анода (2)
через отверстия коллектора в ГРК поступает рабочее тело - газ (Xe). Из
катодного узла (1) в ГРК испускаются электроны. Происходит процесс, при котором
электроны сталкиваются с нейтральными частицами рабочего тела и ионизируют их.
Для контроля над процессом ионизации и увеличения коэффициента полезного
действия движителя в конструкцию введены дополнительные элементы - наружный
магнитопровод (7) и полюсный наконечник (15), которые входят в состав магнитной
системы. Магнитная система создает в ГРК магнитное поле, генерируемое катушками
индуктивности (11), которое удерживает электроны в зоне ионизации и не
позволяет им оседать на стенки камеры.
Процесс ускорения заряженных частиц осуществляется при помощи
ионно-оптической системы (ИОС). ИОС представляет собой два разноименно
заряженных электрода. Благодаря наружному электроду (4) (т. е. ускоряющему
электроду происходит ускорение. Для защиты ускоряющего электрода от распыления
при прямом попадании на него ускоренных ионов используют так называемый
экранирующий электрод (3). Экранирующий электрод не только как „маска»
прикрывает поверхность ускоряющего, но и играет роль фокусирующего элемента,
концентрируя ионный пучок ближе к оси отверстия.
На выходном сечении движителя имеется катод - нейтрализатор (1),
установленный на специальном кронштейне. Задача катода- нейтрализатора -
понижение объемного заряда и нейтрализация ионного пучка на срезе движителя. К
катоду- нейтрализатору подается газ, в катоде образуются электроны, которые
испускаются и понижают объемный заряд. Рабочее тело на анод, основной катод и
катод - нейтрализатор подается по трубопроводам. Напряжение на элементы ГРК и
электроды подается по электропроводам. Дефлектор (6) предназначен для
направления движения нейтральных частиц в зону ионизации, таким образом,
предотвращая попадание их в отверстия ИОС. В конструкции также предусмотрен
узел для крепления экранирующего электрода к корпусу разрядной камеры и
электродов ИОС между собой.
Расчёт системы хранения и подачи рабочего тела. Разработка и
описание функциональной схемы системы хранения и подачи рабочего вещества
Функциональная схема системы хранения и подачи рабочего тела ПИД
представлена на чертеже ХАИ.441.10.ДУ.08.СХ.00.05. Блок системы подачи и
хранения рабочего тела предназначен для хранения и подготовки соответствующего
фазового состояния, а также для дозировки и подачи рабочего вещества в
движитель.
Система хранения и подачи состоит из трёх основных частей:
· система хранения;
· система дросселирования;
· система регулирования и распределения.
Система хранения обеспечивает сохранение рабочего вещества в определённом
фазовом состоянии с момента заправки в течение всего срока хранения и
эксплуатации ДУ в заданных условиях.
Система дросселирования служит для снижения давления рабочего вещества,
поступающего из бака, до определённого уровня и поддержания его на этом уровне
в заданных пределах.
Система регулирования и распределения предназначена для обеспечения
заданного расхода вещества и подачи его в движитель.
Основными элементами системы хранения являются:
а) бак, представляющий собой ёмкость сферической формы и предназначенный
для хранения рабочего вещества;
б) заправочный клапан - устройство для заправки рабочего вещества;
г) предохранительный клапан поддерживает предельно допустимое давление в
баке;
д) пусковой клапан отсекает систему хранения от системы подачи до начала
эксплуатации;
е) система фильтров обеспечивает очищение РТ от механических частиц.
Система дросселирования включает:
а) редуктор, предназначенный для понижения давления до заданного
значения;
б) ресивер - промежуточная ёмкость в магистрали подачи, в которой
поддерживается давление рабочего вещества на заданном определённом уровне;
в) датчик давления - прибор, контролирующий давление рабочего вещества в
ресивере;
г) электроклапан обеспечивает открытие и закрытие магистрали подачи РТ.
Система регулирования рабочего вещества состоит из следующих элементов:
а) электроклапана, обеспечивающего открытие и закрытие магистрали подачи
РТ;
в) термодросселя, регулирующего величину расхода за счет изменения
температуры подаваемого вещества;
г) жиклеров - устройств для снижения давления и разрыва обратной связи
между движителем и СХПРТ.
Расчет системы хранения и подачи рабочего вещества проводим по
методическому пособию [4].
Определение основных параметров бака для хранения рабочего
вещества
Бак рабочего вещества по своему размеру и массе составляет наибольшую
часть двигательной установки. Требования к материалу и конструкции бака
определяются видом выбранного рабочего вещества и схемой системы подачи.
Основные требования к баку:
а) малая масса;
б) прочность;
в) герметичность;
г) коррозионная стойкость;
д) совместимость с выбранным рабочим веществом.
В данной работе выбрана сферическая форма бака, которая значительно
упрощает расчет параметров СХПРТ. Подача рабочего тела в ГРК происходит за счет
перепада давления. В качестве материала бака выбираем титановый сплав ВТ5,
который хорошо сваривается и обладает следующими физико-механическими
свойствами[1]:
· плотность ρб=4400 кг/м3;
· предел текучести σт=700 МПа;
· степень черноты ε=0.63.
Рассчитаем объем бака и толщину его стенок.
Температура и давление при нормальных условиях Т0=293К, Р0=50
атм.
Запишем уравнение состояния газа, учитывая то, что газ при заправке
находился под давлением Ро и температуре То:
для ксенона μ=131.3·10-3 кг/моль
Определим из формулы (7.1) необходимый объем бака, т.е. объем рабочего
тела Vо:
Зная объем бака, найдем его диаметр dб:
Определим максимальное усилие, которое действует на стенки бака, если
изменились условия хранения газа в баке (т.е. То выросло до Ткр).
Уравнение состояния газа принимает следующий вид:
Величину максимальной температуры Тmax определим, исходя из
того, что в условиях космического пространства сферический бак может
разогреваться за счет потока энергии солнечных лучей (Nc≈1.36
кВт/м2). Охлаждение бака происходит исключительно за счет излучения
тепла в окружающую среду и определяется по закону Стефана-Больцмана. Считаем
температуру космического пространства равной 4 К. При расчете учтем, что в
сбросе тепла участвует вся поверхность бака Sб, в то время как солнечные
лучи греют только половину поверхности бака Sб/2. Тогда запишем:
где σ=5.67·10-8 Вт/м2·К4;
Найдем Тmax:
Зная величину Тmax, определяем Рmax:
Напряжения, возникающие в стенках бака из-за давления Р, определяются по
формуле:
Максимальные напряжения будут возникать в стенках бака при Р=Рmax:
Зная [σ], и учитывая то, что σmax≤[σ], вычисляем минимальную толщину стенки
бака:
принимаем кз=2.
Т.к.
минимальная толщина стенки бака
,
принимаем
. Плотность материала бака.
Масса
конструкции бака равна:
Масса
заправленного газом бака равна:
Важной характеристикой для СХПРТ, является коэффициент складирования,
который показывает, во сколько раз масса заправленного бака больше массы
хранящегося в нём рабочего тела.
Лучшей конструкцией бака считается конструкция, у которой γ принимаем наименьшее значение.
Следует учесть то, что в использованных формулах мы пренебрегали
изменением объема бака при расширении материала его конструкции при нагревании.
Расчет проектных параметров ресивера
Ресивер выполняет задачу промежуточной емкости в магистрали подачи газа,
в которой поддерживается давление рабочего тела на заданном определенном
уровне. Ресивер служит для сглаживания пульсаций давления при подаче рабочего
тела из бака и стабилизации параметров газа в магистрали.
Из бака газообразное рабочее тело поступает в ресивер. Перед ресивером
стоит электроклапан, который при открытии открывает доступ газу в ресивер.
Электроклапан открывается в том случае, когда давление газа в ресивере упало
ниже установленного значения. Как только давление в ресивере достигнет
требуемой величины, электроклапан закрывается. Давление в ресивере
устанавливается всегда таким, чтобы оно было всегда выше давления в движителе.
Величина Pрес min задается системой управления для обеспечения
расхода рабочего тела с заданной точностью. Система управления задает работу
СХПРТ таким образом, чтобы ΔМрес/Мрес<< 1. При постоянном расходе рабочего
тела давление в системе все время меняется.
Время цикла tцикла определяется следующим образом. Из
технического задания известно общее время работы движительной установки.
Электроклапан перед ресивером имеет гарантированное изготовителем число
включений и выключений nвкл, которое, как правило, равно 10000.
Учитывая это, получим:
Тогда определим величину ∆Мрес:
Выработка из ресивера рабочего тела за один цикл βк составляет:
Как показывают экспериментальные исследования величина βк, как правило, не должна превышать 3%. Примем
максимальное значение βк=0.03.
Уравнение состояния газа в ресивере запишется следующим образом:
Трес=const и равна 293К. Давление в ресивере обычно составляет
2Ì105 Па.
Определим объем ресивера из формулы:
Определим основные размеры ресивера. Расчет на прочность стенок ресивера,
как правило, не проводится. Как показывает опыт толщина стенок 1-1,5 мм
полностью удовлетворяет условиям эксплуатации и обеспечивает стойкость формы ресивера.
Выбираем толщину стенки ресивера равной 1 мм. Принимаем соотношение его высоты
к диаметру равным 2.
Сферические днища применяем для уменьшения концентрации напряжений.
Рисунок 7.1. Параметры геометрической формы ресивера
Расчет термодросселя
Термодроссель применяют для регулирования требуемого расхода рабочего
вещества. В нем используют зависимость расхода газа от его температуры при
заданном перепаде давления и геометрических параметров капиллярной трубки.
Температура газа, в свою очередь, зависит от значения тока, пропускаемого через
трубку.
Секундный расход рабочего тела через термодроссель на анод определяется
по формуле:
, (7.20)
где:
P - усредненное давление (
);
; для
ксенона
; примем
;
R =63.29(Дж/кг·К)
- для ксенона.
-
массовый расход через анод.
Давление
на входе в термодроссель равно давлению в ресивере
. Для достижения необходимого давления на выходе из
термодросселя зададимся отношением:
. Отсюда
давление на выходе из термодросселя равно
.
Усредненное давление равно:
(7.21)
Разность
давлений равна:
(7.22)
Определим
внутренний диаметр термодросселя:
Расчет
проектных параметров жиклёров
Дальнейшее
снижение давления в системе подачи происходит в жиклёре, который представляет
собой пластинчатую шайбу с калибровочным отверстием. Особенность жиклера
заключается в том, что давление на выходе не зависит от давления на входе.
Площадь
жиклёра определяется по формуле :
Рассмотрим
случай, когда жиклер представляет собой систему из нескольких шайб, тогда
изменение расхода от давления определяется выражением:
Приведенная зависимость справедлива для закритического режима течения.
Определяем площадь отверстия жиклера из этого выражения:
Рассмотрим жиклер, который регулирует расход в ГРК, он потребляет 90% от
массового расхода. Массовый расход в данном случае будет равен:
Определим площадь отверстия жиклера по следующей формуле:
Определим диаметр отверстия жиклера:
Разработка и описание теоретического чертежа двигательной
установки
Двигательная установка включает систему хранения и подачи рабочего тела,
систему электроснабжения и непосредственно движитель.
На разработанном чертеже (ХАИ.441.10.ДУ.08.ТЧ.00.07) представлены система
хранения и подачи РТ и плазменно-ионный движитель.
К баку (2) приваривается заправочный (12), предохранительный (13) и
дроссельный (1) клапаны. Последний включает пусковой клапан, фильтр и
электроклапан. Цилиндрический ресивер (5) с помощью трубопровода подсоединяется
к редуктору (6). Трубопровод, с помощью распределителя разветвляется на три
канала: жиклер катода-компенсатора (8), жиклер основного катода (9),
термодроссель анода (11), за которым следует жиклер анода (10).
Заправка бака производится с помощью заправочного клапана (12).
К основанию корпуса присоединяется ПИД (14).
Рассчет
коэффициента полезного действия
Полезная мощность ионно-оптической системы определяется по формуле:
(9.1)
Потребляемая
мощность определяется по формуле (9.2):
Определяем
КПД плазменно-ионного движителя
(9.3)
Выводы
В
данной работе была разработана двигательная установка для коррекции орбиты
спутника.
В
качестве ЭРД выбран плазменно-ионный движитель.
В
конструкторской части произведен расчет параметров и геометрических размеров
плазменно-ионного движителя. Произведен выбор системы хранения и подачи
рабочего вещества (ксенона), расчет элементов системы (бак, ресивер,
термодроссель, жиклер). В соответствии с расчетами разработаны теоретический
чертеж ПИД и движительного блока, структурная схема ДУ, функциональные схемы
движителя, системы подачи и хранения рабочего вещества, циклограмма нагрузки,
схема размещения ЭРДУ на борту КА.
В рассчитанной курсовой работе были получены следующие важные
характеристики и конструктивные параметры ПИД, которые соответствуют
техническому заданию:
1. Тяга
ПИД
0,00656 Н.
. к.
п. д. ПИД
.
. Разность
потенциалов между экранирующим и ускоряющим электродами U =
1090 В.
. Диаметр
ИОС,
0.15
. ПИД
с радиальным магнитным полем.
. В
качестве рабочего вещества был выбран инертный газ ксенон.
. Удельный
импульс
. Время
работы движителя tраб = 2.83´107
. Время
функционирования КА tКА = 2.83´108
. Масса
РТ МРТ = 5.5кг.
. Объем
бака
Список литературы
. Анурьев В.
И., Справочник конструктора-машиностроителя: В 3-х т. Т. 1. - 6-е изд.,
перераб. и доп. - М.: Машиностроение, 1982. - 736 с.
2. Безручко К.В., Белан Н.В., Губин
С.В., Оценочные расчеты параметров ракетно-космических систем/ методическое
пособие, Харьков.
3. Белан Н.В., Глибицкий М. М.,
Степанушкин Н.П. Плазменно-ионные двигатели/методическое пособие, Харьков, ХАИ,
1983, 89с.
. Крупа Е.В.
Система энергоснабжения КА для дистанционного зондирования
Земли/расчетно-пояснительная записка к курсовой работе по курсу «Основы теории
и функционирования ЭУ», Харьков, 2010.