Модели пенсионной схемы
ВВЕДЕНИЕ
Актуарные исследования в постсоветских странах
начали развиваться лишь с начала 90-х годов. За такой короткий период ни одно
научное направление не может достичь сколько-нибудь серьезного развития.
Возникновение научных школ, традиций - весьма долгий процесс, занимающий
десятилетия. Довольно естественно поэтому, что отечественные актуарные
разработки развивались за это время в основном в русле усвоения и переработки
западных, в основном английских и американских источников.
Актуарным базисом называют совокупность исходных
данных, принимаемых для выполнения актуарных расчетов. При его построении
делаются предположения о величинах будущих статистических показателей,
необходимых для расчета пенсий, например, о смертности, о заработной плате, а
также предположения о будущей отдаче от инвестирования активов. Задачи
актуарных расчетов связаны с оцениванием частот случайных событий и поэтому
основываются на математических моделях теории вероятностей и статистики.
Исследования, выполненные в последнее десятилетие
в области актуарной математики, в основном относятся к страхованию. Внимание,
уделяемое в актуарной литературе пенсионным расчетам, значительно меньше,
особенно это касается новых исследований.
Целью данной работы является построение модели
пенсионной схемы. Предмет исследования - методы и модели формирования
пенсионных схем на примерах государственных и негосударственных пенсионных
фондов, как отечественных, так и западных.
Существуют два основных метода формирования
пенсионных схем: метод «закрытого фонда» (closed fund) и «открытого фонда»
(open fund). При первом методе схема условно закрывается для вступления новых
членов и рассматривается достаточность имеющихся резервов и будущих поступлений
для выполнения обязательств, уже взятых схемой на себя.
Объектом данного исследования является процесс
формирования открытого пенсионного фонда. При методе «открытого фонда»
учитывается также будущее вступление новых членов, в частности, новых
возрастных когорт.
Основной чертой современного состояния этой области
можно назвать поистине огромный разрыв, существующий между теорией и практикой.
В нашей стране выполняются, с одной стороны, отдельные теоретические
исследования высокого уровня, с другой, математический аппарат большинства
прикладных работ примитивен. Крайне мало таких работ, где достаточно передовые
теоретические разработки были бы доведены до практической реализации; даже
демонстрации их применения единичны, не говоря уже о систематическом
использовании. Исходя из этой проблемы, главной задачей данной работы является
разработка инструментальных средств моделирования пенсионного фонда. Применение
данной разработки позволит проанализировать основные модели открытого
пенсионного фонда и получить на практике результаты исследования.
1. АНАЛИЗ СОСТОЯНИЯ ПРОБЛЕМЫ.
ПОСТАНОВКА ЗАДАЧИ ИССЛЕДОВАНИЯ
.1 Финансовые исследования
пенсионный фонд программный модель
Комитетом по международным стандартам финансовой
отчетности (КМСФО, IAS Board) в Лондоне были разработаны Международные
стандарты финансовой отчетности (МСФО) или International Accounting Standards
(IAS). Они имеют рекомендательный характер и представляют собой как бы «базу»
для создания национальных стандартов учета на их основе. В то же время,
стандарты эти весьма серьезные и подробно проработанные.
МСФО были созданы с целью стандартизации
практики учета и обеспечения пользователей информации (в частности, акционеров)
адекватными данными о финансовом состоянии компаний. Показателем международного
признания МСФО является их широкое принятие для котировки бумаг на крупнейших
фондовых биржах. Так, например, Международная организация комиссий по ценным
бумагам рекомендовала с 1998 г. признавать IAS для целей листинга на всех
международных рынках (включая Лондонскую, Нью-Йоркскую и Токийскую фондовые
биржи).
Постановлением Правительства РФ от 6 марта 1998
г. № 28_ «Об утверждении Программы реформирования бухгалтерского учета в
соответствии с международными стандартами финансовой отчетности» были
утверждены цели, задачи и основные направления перехода на Международные
стандарты финансовой отчетности (МСФО) в России. Переход на МСФО отвечает
требованиям повышения прозрачности российских компаний, предъявляемым
серьезными международными инвесторами. Он важен, с этим согласны все аналитики,
для привлечения инвестиций в российскую экономику.
В 2005 г. Государственная Дума РФ приняла во
втором чтении законопроект, согласно которому консолидированная бухгалтерская
отчетность общественно значимых компаний должна составляться в соответствии с
МСФО. Действие закона распространяется на кредитные организации, а также на
компании, ценные бумаги которых допущены к обращению на торгах фондовых бирж и
иных организаторов торговли ценными бумагами. В настоящее время крупнейшие
российские компании уже предоставляют консолидированную отчетность по
международным стандартам (МСФО, US GAAP). Пока они делают это добровольно, в
инициативном порядке. Обычно заинтересованы в этом компании, чьей целью
является привлечение инвестиционного капитала путем выхода на фондовые рынки,
российские и международные. В России также применяются стандарты US GAAP.
Методы учета пенсионных и социальных программ по GAAP (в частности, стандарту
FAS 87) очень близки к требованиям МСФО 19.
Внедрение международных стандартов учета в
России встречает определенные трудности - прежде всего, кадровые. Необходимы
значительные усилия и инвестиции в интеллектуальный потенциал для их освоения и
обучения специалистов. Одними из наиболее сложных и малоизвестных являются
актуарные нормы МСФО [1].
Международные стандарты финансовой отчетности
включают в себя определенные нормы, принципы и методики актуарных расчетов для
оценки обязательств перед работниками. Применение этого стандарта требуется во
всех компаниях, развивающих свои собственные пенсионные и социальные программы.
Любой нормативный документ всегда основывается
на каких-то принципах, которые никогда не могут быть полностью разъяснены в
рамках самого документа. Это в значительной мере касается стандартов МСФО
(прежде всего, МСФО 19), которые «заимствуют» определенные понятия и методы
актуарной математики, адаптируя их к целям учета, но, конечно, не могут и не
преследуют цели полностью эти понятия и методы объяснить и уложить в должную
перспективу. Это задача, скорее, учебной и «комментаторской» литературы.
Стандарт МСФО 19 «Вознаграждения работникам»
регламентирует учет обязательств компаний-работодателей в отношении выплат
работникам и порядок признания таких обязательств. Стандарт выделяет пять видов
выплат («вознаграждений»):
краткосрочные, такие, как заработная плата;
вознаграждения по окончании трудовой
деятельности (post-employment benefits), такие, как пенсии, затраты на
страхование жизни и медицинское обслуживание по окончании трудовой
деятельности;
другие долгосрочные вознаграждения работникам
(other long-term benefits), включая премии к юбилеям;
выходные пособия;
выплаты долевыми инструментами (например,
акциями компании).
Краткосрочные вознаграждения признаются
немедленно, никаких проблем при этом не возникает, так как их размеры известны.
То же относится к выходным пособиям (МСФО 19.1_7). Для выплат долевыми
инструментами требования стандартом не устанавливаются (МСФО 19.145).
В отношении отсроченных («долгосрочных» в
русском переводе МСФО 19) выплат, которые производятся не немедленно (точнее,
более чем в течение 12 месяцев после возникновения оснований для них), причем
часто только с определенной вероятностью, применяются актуарные методы оценки.
Это относится, в частности, к вознаграждениям по окончании трудовой
деятельности, размеры которых обычно зависят от зарплаты, стажа, а кроме того,
само их получение обусловлено тем, что данный работник останется работником
компании и будет иметь право на данный вид пособия (например, он может
уволиться, умереть, стать инвалидом и прочее - все эти события происходят только
с некоторой вероятностью).
Нужно отметить, что МСФО 19 требует от компаний
учитывать не только юридические правовые обязательства, но и любые традиционные
обязательства, вытекающие из практики компании.
Например, различные благотворительные программы
оказания помощи работникам тоже могут требовать оценки обязательств, даже если
эти обязательства не формализованы.
Отличие МСФО от методов бухгалтерского учета,
применяющихся в настоящее время в нашей стране, - метод учета не по фактической
оплате, а на основе принципа, называемого по-английски accrual basis. Вот как
определяет это последнее понятие «Новый англо-русский банковский и
экономический словарь Б.Г. Федорова» [2].
Принцип наращивания (начисления): принцип
бухгалтерского учета, при котором доходы и расходы учитываются в момент
возникновения права на них, хотя соответствующие суммы могут быть еще не
получены или не оплачены (наиболее распространенный метод учета в
противоположность методу учета при фактическом получении или платеже денег).
Если работа в какой-либо компании дает право на
пенсии или какие-то пособия со стороны работодателя, то такое право возникает
постепенно, а именно в течение срока работы (стажа) в данной компании. Согласно
принципам МСФО, к каждому периоду (году) работы в компании должно быть отнесено
соответствующее обязательство работодателя по оплате «заработанных» (earned) за
год прав. Как велики эти права? Обычными «бухгалтерскими» методами их нельзя
оценить. Ввиду сложности такой оценки, она осуществляется актуарными методами.
Согласно МСФО 19.57, привлечение компанией для выполнения этой оценки
квалифицированного актуария приветствуется, хотя и не требуется в обязательном
порядке.
Итак, актуарные оценки требуются в отношении
«пособий по окончании трудовой деятельности» и «других долгосрочных пособий».
Классификация выплат между этими двумя видами четко не определена. В МСФО 19.16
существуют косвенные указания на то, что к пособиям по окончании трудовой
деятельности относятся те выплаты, право на которые обусловлено службой работника
в компании и выплата которых является определенной (при выполнении, конечно,
некоторых условий, таких, как минимальный стаж). Пособия же, выплата которых
является неопределенной, т.е. зависит не только от службы работника в компании,
относятся к «прочим». Например, это пособия по нетрудоспособности (disability
benefits). Они относятся к «прочим» и не называются пенсиями - пенсиями
называются только выплаты первого типа, т.е. выплаты по окончании трудовой
деятельности.
Впрочем, в нашей стране само понятие
«квалифицированного актуария» пока не ясно. Сложившегося стандарта актуарного
образования не существует, тем более такого, который включал бы оценку
обязательств по МСФО.
МСФО определяет пенсионные планы следующим
образом. Соглашения, в соответствии с которыми компания обеспечивает
вознаграждения по окончании трудовой деятельности, называются планами
вознаграждений по окончании трудовой деятельности. Компания использует
настоящий Стандарт применительно ко всем подобным соглашениям независимо от
того, предполагают ли они учреждение отдельного юридического лица для получения
взносов и осуществления пенсионных выплат.
То есть независимо от того, производится ли
выплата пенсий при помощи отдельного пенсионного фонда (как делается в
российской практике) или же без его посредства. В последнем случае пенсионный
план функционирует как определенное резервирование внутри
компании-работодателя, средства учитываются на специальных счетах. Такая
практика распространена в ряде западных стран, например, в Великобритании. В
других странах, например, в США, применяются и та, и другая формы организации
пенсионных планов.
На самом деле, с того момента, когда вводится
само понятие пенсионного плана, как базовое понятие актуарного и учетного
регулирования, форма его организации становится уже не такой существенной. В
западных странах понятие пенсионного плана вводится на законодательном уровне,
и именно это понятие является основным в регулировании, учете и в актуарном
оценивании. В этом, пожалуй, и состоит основное отличие западного подхода от
современного российского: в российском законодательстве и нормативных актах нет
понятия пенсионного плана или аналогичных ему. Существующее российское
законодательство и нормативные акты нацелены только на регулирование
деятельности пенсионных фондов как организаций. Это, по нашему мнению, одна из
основных трудностей на пути приближения российских актуарных стандартов и
вообще норм регулирования к международным.
1.2 Пенсионные схемы
Деление пенсионных схем на планы с
установленными взносами (defined contribution, DC) и планы с установленными
выплатами (defined benefit, DB) определяется в МСФО 19 следующим образом
(19.7).
Пенсионные планы с установленными взносами -
планы пенсионного обеспечения, предполагающие, что компания осуществляет
фиксированные взносы в отдельный фонд и не будет иметь каких-либо юридических
правовых или традиционных обязательств по уплате дополнительных взносов, если
фонд не будет иметь достаточных средств для выплаты всех вознаграждений
работникам, причитающихся за услуги, оказанные ими в текущем и предшествующих
периодах.
Пенсионные планы с установленными выплатами -
планы пенсионного обеспечения иные, чем пенсионные планы с установленными
взносами.
Таким образом, за основу классификации берется
возникновение (юридических или традиционных) обязательств компании по выплате
пенсий. Если такие обязательства возникают (в любой форме), то план нужно
считать планом с установленными выплатами. Последнее означает, что для такого
плана оценка обязательств производится актуарными методами, исходя из величин
будущих пособий, в то время как для пенсионных планов с установленными взносами
актуарной оценки обязательств не требуется.
Интересно сравнить эти определения с
определениями МСФО 26.8.
Пенсионные планы с установленными взносами - это
планы пенсионного обеспечения, в соответствии с которыми размеры пенсий,
подлежащих выплате, определяются на основе взносов в пенсионный фонд и прибыли
на эти вложения.
Пенсионные планы с установленными выплатами -
это планы пенсионного обеспечения, в соответствии с которыми размеры пенсий,
подлежащих выплате, определяются по формуле, в основе которой обычно лежит
размер вознаграждения, получаемого работником и/ или выслуга лет.
Аналогичные определения были даны в прежней
версии 19-го стандарта, однако от них было решено отказаться. Определение МСФО
26 можно назвать «актуарным», так как оно берет за основу правила расчета
пенсий, тогда как определение МСФО 19 берет за основу наличие обязательств,
поэтому его можно назвать «юридическим». Принципы актуарных методик, заложенных
в МСФО, коренятся в теории и практике методов финансирования пенсионных планов
с установленными выплатами.
Нужно, прежде всего, иметь в виду два аспекта
актуарных расчетов в целях МСФО.
Во-первых, актуарный расчет производится
периодически. Как правило, он производится по состоянию на начало каждого
календарного года. Этот момент будем называть моментом актуарной оценки.
Во-вторых, все актуарные величины рассчитываются
на основе актуарных предположений (допущений, гипотез) - например, о будущей
норме доходности инвестиций, о смертности в различных возрастах и т.п. Эти
предположения являются упрощенными и никогда в точности не совпадают с
реальностью, представляя собой лишь некоторые оценки; кроме того, в момент
следующей актуарной оценки они могут быть изменены. Совокупность исходных
данных для актуарного расчета, включая статистические данные о настоящем и
прошлом, а также предположения о будущем, называется актуарным базисом (basis;
в русском переводе МСФО - «база») расчета.
Основным результатом актуарной оценки является
расчет сумм, которые требуется внести в план с установленными выплатами -
взносов, если речь идет о расчетах в целях финансирования (фондирования) плана,
или величин, признаваемых в отчетности, если речь идет о расчетах в целях этой
отчетности. Методы МСФО, конечно, решают вторую задачу. И конечно, реальное
финансирование и реальные взносы могут отличаться от признаваемых величин.
1.3 Основные актуарные величины
Актуарные обязательства (Accrued Actuarial
Liability) AL - понятие, аналогичное понятию пенсионных обязательств в
отечественной практике; измеряет сумму активов плана, которые «в идеале» должны
иметься в наличии на дату оценки для покрытия будущих выплат.
Нормальный платеж (Normal Cost) NC - сумма
взноса, при выполнении актуарных предположений достаточная для финансирования
роста обязательств в течение заданного периода.
Фондированные обязательства (Funded Liability) F
- сумма обязательств, оплаченных вкладчиком, или, проще говоря, чистый остаток
(резерв) по данному плану. Равны суммарной оценочной стоимости активов плана.
Нефондированные обязательства (Unfunded
Liability) UL - сумма, определяющая актуарный дефицит (профицит) плана как
разница между обязательствами и фондированными обязательствами, UL = AL - F.
Общая схема оплаты пенсионных обязательств
называется актуарным методом финансирования или фондирования плана (funding
method, cost method). Первое подразделение пенсионных планов или схем по
методам их финансирования - деление на фондируемые и нефондируемые.
Планы, в которых через какое-то время после
«запуска» плана предусматривается выход на полное фондирование, т.е. такое
состояние, что F ≥ AL, называют фондируемыми (funded). Нужно заметить,
что «новые» планы обычно бывают частично фондированными, пока не ликвидирован
начальный актуарный дефицит IUL. Например, нормы американского законодательства
предусматривают ограничения на сроки погашения начального дефицита (скажем, для
планов одного корпоративного работодателя - не более 15 лет).
Противоположность фондируемым схемам -
нефондируемые схемы, которые по-английски называют pay-as-you-go (PAYG), а
по-русски иногда - схемами выплат «с колес» (и то, и другое, конечно,
жаргонизмы). Это DB схема, в которой средства, необходимые для выплат пенсий,
вносятся вкладчиком незадолго до момента выплаты. По PAYG принципу
финансируются, как известно, государственные пенсионные системы большинства
стран (в том числе России), где ставка пенсионных отчислений (налога)
фиксирована. Часто смешивают такое финансирование с распределительным -
финансированием по принципу DC схемы, где поступившие средства пенсионных
отчислений распределяются между пенсионерами.
Принцип полного фондирования является общим
принципом регулирования частных пенсионных фондов во многих странах Европы, США
и Канаде. Однако МСФО, будучи только стандартом учета, не мог бы требовать
фондирования, т.е. оплаты, пенсионных обязательств. Этого могут требовать
только нормы пенсионного регулирования тех или иных стран. (Например,
российские нормативные акты не содержат не только никаких требований к
фондированию, но и самого этого слова.) По этим причинам МСФО 19 требует лишь
показывать пенсионные обязательства в виде пассивов компании, указывая, что DB
планы могут быть нефондируемыми либо полностью или частично фондируемыми.
Как оплачивать (фондировать) свои пенсионные
обязательства - это дело компании, в которой могут существовать различия между
системами фондирования и учета в отношении нефондируемых пенсионных планов, а
также, разумеется, в отношении частично и полностью фондируемых.
Однако пенсионные обязательства при этом
признаются в балансовом отчете компании-работодателя в полном объеме, то есть в
том объеме, полная оплата которого означала бы полное фондирование согласно методу,
допустимому в рамках МСФО 19. Это так называемый unit-credit метод, описанный
ниже. Суммы, равные нормальным платежам этого метода, признаются в составе
расходов в отчете о прибылях и убытках. МСФО 26 предполагает более широкий
спектр методов.
Имея в виду указанное различие между учетом и
фактическим фондированием плана, будем ниже называть актуарным методом способ
расчета обязательств и нормальных платежей [2].
1.4 Индивидуальные актуарные методы
При индивидуальных актуарных методах для каждого
индивидуального участника оцениваются величины нормальных платежей NCi и
обязательств ALi. Рассчитав эти величины, их суммируют по всем участникам,
чтобы получить NC и AL для плана в целом.
Индивидуальные методы могут быть разными, так
как обязательства ALi могут рассчитываться по-разному в период накопления, то
есть до достижения пенсионного возраста R. К моменту достижения этого возраста
пенсия становится «гарантированной» (vested), точнее - назначенной, и
обязательства ALi становятся равными сумме, достаточной для финансирования этой
пенсии, или, как говорят актуарии, актуарной современной стоимости (actuarial
present value, APV) пенсии. Индивидуальные методы, с актуарной точки зрения,
различаются способом распределения оплаты пенсии по годам периода накопления.
Два крайних случая - начальное фондирование, при котором будущая пенсия
оплачивается в момент начала приобретения пенсионных прав, и конечное
(терминальное, terminal) фондирование, при котором пенсия оплачивается в момент
выхода на пенсию. Начальное фондирование на практике по понятным причинам
обычно не применяется, а конечное, хотя и применяется в России, не считается
хорошей практикой на Западе (например, в США оно прямо запрещено законом), так
как не обеспечивает социальной защищенности работников на случай отказа
работодателя (или невозможности) финансировать план. Все актуарные методы,
применяемые на практике, предусматривают какое-либо «разложение» оплаты пенсии
по годам стажа. При этом они основаны на различных принципах, как будет видно
ниже.
МСФО 19 (но не МСФО 26) предписывает конкретный
индивидуальный метод оценки пенсионных обязательств и расчета нормальных
платежей - так называемый метод накопленных прав (accrued benefit method; в
русском переводе МСФО 19 - «метод накопленного вознаграждения»).
Данный метод основан на вычислении пенсионных
прав - пенсии, «заработанной» на определенный возраст. Математически пенсионные
права выражаются некоторой функцией
,
если
-
возраст участника.
«Классический» метод накопленных прав был
разработан для пенсионных планов, в которых каждый год стажа позволяет
определить соответствующую ему «прибавку» к пенсии (планы, определенные выше
как тип I).
В МСФО используется такое актуарное понятие, как
current service cost - «стоимость текущего стажа» (или «текущих услуг»). Под
стоимостью текущего стажа работников понимаются обязательства, которые
возникнут за период от момента настоящей оценки
до
момента следующей оценки
. Эта стоимость
равна нормальному платежу
метода накопленных
прав. МСФО 19 требует признания этой величины в составе расхода
компании-работодателя. Соответственно, прошлый стаж - от момента начала
приобретения пенсионных прав до момента, по состоянию на который сделана
последняя оценка, будущий - после момента, по состоянию на который делается
настоящая оценка, до достижения пенсионного возраста. Однако нужно иметь в
виду, что понятие стоимость прошлого стажа (past service cost) употребляется не
по аналогии с понятием стоимости текущего стажа. Оно означает увеличение
обязательств по прошлым периодам в связи с изменением условий плана в текущем
периоде (МСФО 19.7).
Будем говорить о простейшем случае - пенсии по
старости, назначаемой с определенного («нормального») целого пенсионного
возраста
.
Пусть некоторый участник начал приобретать пенсионные права с целого возраста
.
Будем считать, что в момент настоящей оценки
участник
находится в возрасте
. Обозначим через
приращение
пенсионных прав в течение периода текущего стажа, т.е. годовое приращение
функции
,
, (1.1)
и наоборот,
определяется
как сумма приращений пенсионных прав по годам:
. (1.2)
Правила расчета нормальных платежей и
обязательств при этом методе просты и очевидны. Нормальные платежи
рассчитываются
как суммы, достаточные для оплаты пенсионных прав в размере
,
т.е. как актуарная (т.е. средняя, ожидаемая) современная (т.е. приведенная к
настоящему моменту времени с помощью дисконтирования) стоимость пенсии в таком
размере (постоянном или, например, начальном, если схема предполагает
индексацию пенсий). Обязательства пенсионного плана
в
отношении участника могут быть вычислены как актуарная современная стоимость
пожизненной пенсии «заработанного» размера.
Актуарные современные стоимости условимся
обозначать аббревиатурой APV (actuarial present value).
Далеко не всегда пенсионные схемы строятся так,
что можно определить приращения пенсии, даваемые данным годом стажа работника.
Для этого случая метод накопленных прав (accrued benefit) получил развитие: был
изобретен так называемый unit-credit метод.
Рост пенсионных прав по годам при этом методе
предполагается линейным от возраста начала приобретения пенсионных прав
до
пенсионного возраста
,
, (1.3)
где
-
«расчетная пенсия», которая представляет собой некоторый отправной размер
пенсии, принимаемый в расчетах. Величины прав
и
пенсии
можно
считать в тех единицах, в каких это удобно: считать их размером месячной
пенсии, годовой пенсии, или же актуарной стоимости пенсии.
Если
имеет
вид (1.3), то
(1.4)
Смысл этой формулы очень простой: каждый год
зарабатывается одинаковая часть расчетной пенсии, или, другими словами,
финансирование расчетной пенсии раскладывается равномерно по годам стажа.
Различают две «модификации» unit-credit метода:
Accrued benefit unit-credit метод, называемый
также «традиционным» или «обычным» (regular) unit-credit;
Projected benefit unit-credit метод, называемый
также projected unit-credit, или projected unit методом, а в русском переводе
МСФО19 - «методом прогнозируемой условной единицы», - метод, совмещающий
методологию определения накопленных прав с прогнозированием или
«проектированием» пенсии.
Эти два метода отличаются способом определения
величины расчетной пенсии
. «Обычный»
unit-credit предполагает, что
рассчитывается по
условиям пенсионного плана на дату оценки. Например, пусть пенсия в плане
рассчитывается по правилу конечной зарплаты (final salary rule), т.е. как
фиксированная доля
от зарплаты за
последний год перед выходом на пенсию. Тогда расчетная пенсия
для
возраста
должна
быть определена как такая доля от зарплаты за год, предшествующий оценке
(обозначим эту зарплату
),
.
Этот метод для таких планов и вообще планов типа
II, однако, имеет один важный недостаток. Дело в том, что зарплаты, как
правило, растут от года к году стажа. Поэтому и величина расчетной пенсии
растет.
Это значит, что предполагаемая в момент настоящей оценки величина
пенсии,
которая будет заработана на возраст
,
как правило, будет меньше величины, действительно рассчитываемой в момент
следующей актуарной оценки. Поэтому появляется актуарный дефицит, вызванный
«отставанием» нормальных платежей от роста зарплаты. Этот эффект называется
back-loading.
Чтобы исключить такой нежелательный эффект, и
был введен projected unit-credit - метод «прогнозируемой условной единицы».
Согласно этому методу, расчетная пенсия p вычисляется не на основе текущей
зарплаты, а на основе прогнозируемой картины зарплаты до момента выхода
работника на пенсию. Расчетная пенсия представляет собой прогнозируемую пенсию.
Из методов равномерных взносов распространены
два:
нормальный возраста вхождения (Entry Age Normal,
EAN);
индивидуальный равномерных премий (Individual
Level Premium, ILP).
При методах равномерных взносов нормальные
платежи рассчитываются исходя из правила их равенства либо в абсолютном
выражении, либо (чаще) как доли от зарплаты.
1.5 Постановка задачи
. Анализ моделей и методов формирования
открытого пенсионного фонда
. Определение основных параметров математической
модели открытого пенсионного фонда
. Разработка алгоритмической модели открытого
пенсионного фонда
. Разработка программного обеспечения для
анализа пенсионных схем открытой формы.
Формализация представления: динамика развития
пенсионного фонда представлена на рисунке 1.1.
Рисунок 1.1 - Динамика развития пенсионного
фонда
Цель работы - построение модели пенсионной
схемы.
Предмет исследования - методы и модели
формирования пенсионных схем.
Объект исследования - процесс формирования
открытого пенсионного фонда.
В данном разделе было проанализировано состояние
проблемы, рассмотрены методы решения задачи, а также сформулирована постановка
задачи, определен объект исследования и поставлены цели исследования.
2. РАЗРАБОТКА МАТЕМАТИЧЕСКОЙ МОДЕЛИ
ОТКРЫТОГО ПЕНСИОННОГО ФОНДА
.1 Описание математической модели
открытого пенсионного фонда
При индивидуальных методах расчеты производятся
отдельно для каждого участника.
Задача актуария состоит в составлении плана
внесения взносов в пенсионную схему и выплаты пенсий. На практике актуарий
обычно делает это для коротких периодов. Для наглядности производится расчет на
длительный период (100 лет).
Работники, вносящие взносы в пенсионную схему, и
пенсионеры, получающие из нее пенсии, называются участниками или членами схемы.
Все используемые модели дискретны, т.е. расчеты (выплаты пенсий, внесение
взносов) производятся в целые моменты времени, а именно в начале каждого года.
Пенсии выплачиваются в начале каждого года всем достигшим пенсионного возраста
(по умолчанию - 60 лет). Например, в момент времени 0 выплачиваются пенсии
участникам, достигшим 60 лет в этот момент, в момент времени 1 - пенсии
достигшим 60 в этот момент и пенсии дожившим до 61 из тех, кто вышел на пенсию
в момент 0, и т.д. Пенсионный возраст одинаков для мужчин и женщин.
Дисконтирование при актуарном расчете производится по постоянной процентной
ставке. Число участников уменьшается за счет смертности (миграция рабочей силы,
инвалидность и др. причины выбытия не принимаются во внимание).
2.2 Уравнение баланса
Пусть
-
время в годах. Пусть
- фонд пенсионных
накоплений (или, точнее, стоимость активов пенсионной системы) на момент
(до
внесения взносов и выплаты пенсий);
-
пенсионный взнос,
- суммарные пенсии,
выплачиваемые в момент
. Как взнос, так и
пенсия состоят из распределительной и накопительной составляющих:
(2.1)
Распределительная составляющая взноса
немедленно
выплачивается в виде пенсий,
. Она
рассчитывается умножением месячной распределительной пенсии
на
12 и число работников
,
Размер пенсионного фонда
определяется
равенством
(2.2)
где
-
предполагаемая актуарием ставка доходности инвестиций.
В случае схемы с определенными взносами (DC)
взносы
являются
заданными, а пенсии
подлежат расчету;
в случае схемы с определенными выплатами (DB)
заданы,
а
вычисляются
актуарием [3].
В основе метода открытого фонда лежит уравнение
баланса актуарных текущих стоимостей взносов и выплат:
+
(2.3)
где
-
предполагаемый «индивидуальный фонд» («накопленная ответственность», accrued
liability) работника на момент 0,
- время в годах,
- предполагаемый
индивидуальный взнос («нормальная цена», normal cost),
- вероятность
того, что лицо возраста
проживет еще
лет,
- коэффициент
дисконта,
- пенсионный
возраст,
- годовая
накопительная пенсия.
Для работника возраста
(вновь
вступившего в схему) следует считать накопленную ответственность нулевой.
Уравнение (2.3) написано для участника, вступающего в схему в момент 0 в
возрасте
.
Для других лет и возрастов оно записывается по очевидной аналогии.
При EAN (entry-age normal) методе для DB схемы в
уравнение (2.3) подставляется
и вычисляется
ставка взноса
.
При unit-credit методе для DB схемы
в
(2.3) вычисляются исходя из правила 
.
В DB схемах суммарная нормальная цена для года
вычисляется
суммированием нормальных цен всех индивидуальных участников. Суммарная
накопленная ответственность для года
вычисляется
суммированием величин накопленной ответственности для всех индивидуальных
участников.
В DB схемах может возникать дефицит средств
(«нефинансируемая ответственность») по сравнению с расчетным, согласно (2.3).
Нефинансируемая ответственность возникает по двум причинам:
на момент создания схемы многие участники
находятся в возрастах выше начального возраста
,
то есть их нормальные цены
за ряд лет не
внесены;
набор предположений для актуарного оценивания
может измениться, в силу чего нормальные цены
предыдущих
лет окажутся недостаточными (или избыточными).
Наличие нефинансируемой ответственности
выражается отличием накопленной ответственности
от
фактически имеющегося фонда
. Обозначим нефинансируемую
ответственность через
.
Начальная нефинансируемая ответственность
есть
нефинансируемая ответственность, возникшая по первой причине. Для коррекции
нефинансируемой ответственности в размер пенсионного взноса включается
дополнительный платеж
[4].
Таким образом,
. (2.4)
Пенсии
могут
вычисляться различными способами. Можно задать либо (пенсии без индексации)
, (2.5)
где
-
заданное значение (начальная пенсия), либо (пенсии с индексаций)
, (2.6)
где
- предполагаемая
актуарием норма инфляции, либо (т.н. правило средней зарплаты за последние годы
стажа)
, (2.7)
где
-
ставка (норма) замещения.
При индивидуально-страховой DC схеме в уравнение
(2.3) подставляется
, где
задана,
и вычисляется пенсия согласно (2.5) или (2.6), т.е. с индексацией или без. Если
в схеме имеется некоторый начальный фонд, то он распределяется между участниками
пропорционально числу лет стажа.
При индивидуально-страховой DВ схеме может
применяться также агрегатный метод финансирования пенсий. При этом методе
актуарий рассчитывает норму
взносов в
пенсионный фонд как величину постоянной доли от фонда заработной платы,
внесение которой позволит профинансировать пенсии:
, (2.8)
2.3 Смертность и размер когорт
Нормы смертности для имитации задаются таблицей
«реальной» смертности.
Число умирающих
из
когорты численностью
имитируется
биномиальной случайной величиной с параметрами
и
(актуарная
вероятность смерти для возраста
). Для ускорения
вычислений в данной версии программы используется нормальное приближение этой
биномиальной величины. При этом величины
моделируются
как
,
где величины
стандартно
нормальны и независимы для различных
и
.
При переходе к следующему году размер когорты изменяется как
. (2.9)
При актуарном расчете, как описано выше,
актуарий предполагает среднюю смертность, без случайных отклонений. При этом
.
2.4 Инвестиции и инфляция
Пусть
-
уровень инфляции согласно стохастической модели. Логарифм
подчиняется
процессу авторегрессии первого порядка:
(2.10)
Случайные возмущения
стандартно
нормальны и независимы.
Инвестиционная доходность
определяет
процент, начисляемый на остаток пенсионного фонда в году с номером
,
начиная с момента 0. Например, после выплаты из фонда пенсий и внесения взносов
в момент 0, остаток умножается на
,
что и дает размер фонда на конец года. Общая модель инвестиционной доходности
включает четыре актива.
Доходность первого актива
, (2.11)
где
соответствует
сценарию,
- уровень
инфляции.
Доходность второго актива
(2.12)
где
следует
процессу
(возмущения
независимы
и стандартно нормальны). Коэффициенты
отвечают
за запаздывающее влияние инфляции. Игнорировать инфляцию можно, обнулив их
Доходность третьего актива
(2.13)
где
следует
процессу
где возмущения
независимы
и стандартно нормальны.
Доходность четвертого актива
(2.14)
где
следует
процессу
где возмущения
независимы
между собой, стандартно нормальны и коррелированны с возмущениями в модели
доходности третьего актива с коэффициентом корреляции
.
Игнорировать инфляцию можно, обнуляя коэффициенты
.
Обозначим через
,
k=0,2,3,4 относительные веса, т.е.
,
где
.
Инвестиционная доходность:
.
2.5 Зарплаты
Уровень прироста зарплат
показывает
относительное приращение зарплаты одного члена пенсионной схемы в данном году
по отношению к прошлому году (так, годовая зарплата, выплаченная одному
работнику в момент 1, равна зарплате, выплаченной в момент 0, умноженной на
).
Моделировать прирост зарплат можно следующим
способом.
Пусть
-
уровень прироста зарплат. Положим
(2.15)
2.6 Активы пенсионного фонда
Ежегодное приращение фонда равно
(2.16)
где
-
фонд прошлого года,
- доходность
инвестиций за период
, т.е. за год с
номером
,
-
взнос данного года в пенсионный фонд,
-
выплаченные в данном году пенсии. Ежегодный взнос
рассчитывается
путем умножения актуарной нормы взносов
для
данного года, на фонд заработной платы (т.е. среднюю зарплату данного года,
умноженную на число работающих членов пенсионной схемы):
.
Сумма пенсий
вычисляется путем
умножения пенсии на число пенсионеров для данного момента,
.
При моделировании пенсионного фонда вместо
расчетных параметров, используемых актуарием, подставляются смоделированные для
данного года
согласно описанным
выше моделям параметры смертности
,
инфляции
,
инвестиционной доходности
и прироста зарплат
[5].
В этом разделе была описана математическая
модель для дальнейшей ее программной реализации. Практическая реализация
использует модели и методы формирования открытого пенсионного фонда. Выделены
параметры, которые могут подлежать статистическому оцениванию.
3. РАЗРАБОТКА АЛГОРИТМИЧЕСКОЙ МОДЕЛИ
ОТКРЫТОГО ПЕНСИОННОГО ФОНДА
.1 Входные данные
Рассмотрим так называемую «стационарную» или
«зрелую» популяцию (stationary, mature population) участников - как работающих,
так и пенсионеров - некоторого пенсионного фонда (пенсионной схемы). Под
стационарной популяцией в демографии понимают популяцию устойчивой численности
с
соотношениями численностей поколений (возрастных когорт), совпадающих с
соотношениями чисел доживших, взятыми из актуарной таблицы смертности. В модели
стационарной популяции современное состояние популяции как бы «замораживается»,
демографические тенденции (например, будущее старение населения) не
учитываются.
Рассмотрим дискретную модель, в которой как
время
,
так и возраст
, в котором могут
находиться участники схемы, принимают целые неотрицательные значения (в годах).
Пусть
-
число участников пенсионной схемы, в момент t находящихся в возрасте
.
Если популяция стационарна, то для любого
-
функции дожития, т.е. числу членов популяции, доживших до возраста
;
-
доля тех, кто, достигнув возраста
,
проживет еще
лет - совпадает с
актуарной вероятностью дожития
. Будем считать,
что все участники вступают в схему в начальном возрасте
лет
и выходят на пенсию в возрасте
лет. Смертность
членов пенсионной схемы восполняется ежегодным вступлением новых членов
возраста
.
Рассмотрим пенсионную схему с определенными
пособиями, в которой пенсии участников (например, работников некоторой
компании) зависят от уровня их заработной платы. Введем годовую ставку
безынфляционной инвестиционной доходности
.
Расчеты будут автоматически вестись в реальных ценах, учитывая индексацию
пенсий и зарплаты в соответствии с инфляцией. Для простоты предположим, что
единственная причина выбытия из популяции - смертность, единственный вид пенсий
- пенсии по старости, выплачиваемые начиная с возраста
(одинакового
для мужчин и женщин). Последние упрощения, как будет ясно из дальнейшего,
несущественны для нашей цели - изучения методов финансирования, поскольку метод
финансирования пенсии никак не зависит от ее природы и методов расчета.
Единственное, что фактически требуется знать - это актуарная современная
стоимость будущего пособия, в которую при необходимости могут быть включены нужные
слагаемые (например, пенсии по инвалидности, утрате кормильца, выходные
пособия, льготы малообеспеченным и т.д.). Однако это потребовало бы учета
частот (вероятностей) получения того или иного пособия, то есть усложнило бы
актуарный базис [4].
3.2 Расчет основных параметров
Предположим, что правила расчета пенсий по
старости одинаковы для всех членов схемы. Например, пенсия может составлять
одинаковую для всех долю
от заработка за
некоторый период (последний год работы, последние несколько лет, вся карьера,
несколько лучших лет). В этом случае пенсии не зависят от дифференциации
заработной платы среди работников одного возраста, и можно считать, что в
начальный момент (
) все работающие
участники схемы одного возраста
получают
одинаковую (среднюю) заработную плату
.
Для последующих лет предусмотрим ежегодное повышение заработной платы всех
возрастов в связи с ростом производительности труда: плата работника возраста
в
момент
есть
,
.
Для простоты будем считать будущую пенсию
постоянной и выплачиваемой в форме аннуитета с выплатами в начале каждого года
жизни, начиная с момента достижения пенсионного возраста
.
Тогда
пенсии
одного работающего («активного») индивидуума, вступившего в схему в момент 0,
на момент достижения им возраста
лет
есть
,
где
-
коэффициент дисконтирования,
- годовая
пенсионная выплата участника, вступающего в схему в момент 0 и достигающего
пенсионного возраста в момент
,
-
пожизненный аннуитет [5]. Здесь и ниже в отношении индивидуальных
взносов/пенсий используется схема обозначений Бауэрса; так, символ
слева
от основного символа обозначает отношение к активным (работающим) участникам
(не путать с возрастом вступления
).
Размер пенсии
зависит
от момента вступления (или выхода на пенсию), так как пре·полагается изменение
всех зарплат со временем.
Взносы в пенсионную схему могут вноситься как
работающими участниками, так и спонсором (работодателем); для краткости мы
будем говорить просто о взносах, обозначая
суммарный
взнос, вносимый в момент
. Обозначим
пенсии,
выплачиваемые из фонда в момент
,
-
величину накопленного пенсионного фонда на момент
(до
выплаты пенсий и поступления взносов). Тогда
(3.1)
Это основное соотношение, описывающее динамику
фонда.
Ключевыми понятиями теории пенсионного
финансирования являются понятия нормальной цены (normal cost)
и
накопленной ответственности (accrued liability)
.
Представим себе схему, которая не имеет никаких проблем с финансированием, т.е.
обладает безгранично богатым спонсором, всегда готовым вносить в схему деньги.
Нормальная цена и накопленная ответственность представляют собой,
соответственно, взнос, который актуарий попросил бы спонсора внести при
выбранном методе финансирования, и размер фонда, который бы он поддерживал.
Нормальная цена и накопленная ответственность дают, таким образом, «идеальные»
значения
и
.
Они должны, конечно, удовлетворять уравнению (3.1), т.е.
. (3.2)
Это уравнение иногда называют уравнением
равновесия; оно выражает «идеальный» баланс фонда. На каждый момент времени
накопленная ответственность может быть вычислена как разность
будущих
пенсионных пособий и
будущих нормальных
цен.
В реальности пенсионные схемы не имеют ни
бесконечно богатых спонсоров, ни «идеальных», т.е. стационарных и полностью
предсказуемых демографических и экономических условий. По первой причине
планируется постепенный выход на «идеальный» режим финансирования или
приближение к нему. Разность
(3.3)
называется нефинансируемой ответственностью
(unfunded liability) схемы. Значение
называется
начальной нефинансируемой ответственностью (initial unfunded liability). Это
сумма, которую в принципе требуется внести в схему при ее организации. Актуарий
планирует ее постепенное погашение, таким образом, в схеме может существовать
«плановая» нефинансируемая ответственность. С другой стороны, различные
отклонения параметров от прогнозных актуарных значений могут приводить к
возникновению дополнительной, так сказать, «незапланированной» нефинансируемой
ответственности. Оба вида нефинансируемой ответственности могут трактоваться
как совместно, так и отдельно. При первом подходе (традиционном для
Великобритании) актуарий разрабатывает план дополнительных платежей всей суммы
,
независимо от ее источников. Второй подход, принятый в Северной Америке,
состоит в выделении актуарного убытка (actuarial gain/loss) за период
(3.4)
и выработке отдельного плана его погашения.
Здесь под «плановым» значением
понимается
ожидаемое актуарное значение, рассчитанное в момент
.
Это значение, которое возникло бы при точном выполнении всех актуарных
предположений. При индивидуальных методах пенсионного финансирования
вычисляются нормальные цены для каждого участника в отдельности. Если нужно определить,
например, нормальную цену работодателя, то она получается суммированием
индивидуальных нормальных цен, подлежащих внесению за каждого из работников.
Рассмотрим индивидуального участника, вступающего в схему в момент
в
возрасте
.
Пусть
-
нормальная цена (идеальный взнос) этого участника для возраста
лет;
будем считать, что взносы всех участников вносятся после каждого полного
проработанного года, т.е. если
- возраст
вступления в пенсионную схему, то первый взнос вносится в возрасте
.
Согласно актуарному принципу эквивалентности взносов и обязательств, для
получения адекватного уровня взносов
взносов
одного участника нужно приравнять
пособий:
(3.5)
(здесь
вычисляются
на момент вступления).
В левой части (3.5) стоит сумма слагаемых,
каждое из которых показывает «вклад» в сумму пенсии, даваемый данным годом.
Иногда эти величины называют ценой страхового года [6]. Индивидуальные методы
финансирования удобно описывать в терминах относительных величин этих
слагаемых, или «долей» общей пенсии. Следуя данным рассуждениям, введем
величину
,
где коэффициент
определяется
из условия нормировки
(3.6)
Тогда сумма
показывает долю пенсии, подлежащую оплате, или
«покупке», на момент достижения возраста
;
поэтому Купер и Хикмен (1967) называют
кумулятивной
функцией покупки пенсии (cumulative pension purchase function). При этом
-
доля пенсии, «покупаемой» в возрастной год
,
т.е. интенсивность покупки пенсии. Как легко видеть, нормальная цена
,
а накопленная ответственность
.
Для получения последней формулы можно
воспользоваться тем, что актуарная современная стоимость на момент
взноса
.
Метод нормального возраста вхождения (EAN, entry
age normal). Простейшими индивидуальными методами пенсионного финансирования
являются нормальные возраста вхождения (entry age normal, EAN) и индивидуальные
с равномерными премиями (individual level premium, ILP), при которых взносы
раскладываются по годам равномерно (
)
либо (чаще) как постоянная доля от заработной платы. В первом случае
(3.7)
во втором
(3.8)
(коэффициенты
в
этих формулах различны и определяются, как и выше, из условия нормировки
(3.6)).
Различие между EAN и ILP методами состоит в
подходе к участникам, вступающим в схему в возрастах, больших
.
При ILP сумма, необходимая для финансирования будущей пенсии, просто
раскладывается равномерно по оставшимся до выхода на пенсию годам. При EAN же
нормальные цены для вступающих позже начального возраста считаются так же, как
для прочих работающих; при необходимости заработная плата «проектируется» назад
к возрасту
, т.е. как бы
считается, что участник работал с возраста
.
При этом возникает, конечно, нефинансируемая ответственность, способ покрытия
которой не регламентируется данным методом и зависит от правил пенсионной
схемы. Так как в нашей упрощенной модели все участники вступают в возрасте
,
различий между EAN и ILP методами нет, поэтому ниже говорится только о EAN
методах.
Названные выше методы - представители семейства
так называемых методов возраста вхождения (entry age), называемых также
методами проектируемых пособий (projected benefit cost methods). Дело в том,
что на практике будущий размер пенсии обычно зависит от заработной платы в
течение карьеры и поэтому не известен заранее. Указанные методы основаны на
«проектировании» пенсии и затем «раскладке» ее оплаты по годам карьеры. Однако
в случае отклонений заработной платы от проектируемых значений возникают
проблемы недо- или перефинансирования пенсий. Как правило, на практике не
удается сохранять пенсионные отчисления на уровне, например, постоянного
процента от заработной платы.
В США и Канаде популярны более гибкие методы
заработанных пособий (accrued benefit cost methods), основанные на расчете
«заработанной части» будущих пенсий. В наиболее «чистом» виде этого метода
«заработанной» в возрасте
считается пенсия,
размер которой рассчитывается путем применения существующих правил пенсионной
схемы. Например, пенсия может рассчитываться путем умножения числа лет стажа на
финальную (среднюю, среднюю по некоторым годам) заработную плату с некоторым
коэффициентом. В дальнейшем остановимся на первом принципе (финального
заработка). Обычно методы финансирования все-таки используют элементы
«проектирования» (projecting). Так, наращивание «заработанного» пособия
пропорционально числу лет стажа приводит к популярному методу стандартного
кредита (unit-credit method) [7].
Метод стандартного кредита (Unit - credit
method). При этом методе
постоянна, а
именно
, (3.9)
то есть за каждый год «зарабатывается» одна и та
же доля пенсии. При этом
.
Если же считать функцию
пропорциональной
не только числу лет стажа, но и заработной плате:
,
то получим
. (3.10)
Предлагая различные формы функции
,
можно «конструировать» различные методы финансирования, отвечающие тем или иным
желаемым свойствам. Рассмотрим эти методы.
Линейный метод (Linear method)
(3.11)
Экспоненциальный метод с увеличением
(Exponential accelerating method)
. (3.12)
Экспоненциальный метод с уменьшением
(Exponential decelerating method). Если взять коэффициент в показателе
экспоненты отрицательным, то получится метод с уменьшением (decelerating), т.е.
с уменьшением темпа «покупки пенсии» (3.12). Интересно отметить, что
EAN-методы, описанные выше, при которых вносятся равномерные в течение всей
карьеры взносы, на самом деле относятся к методам с «замедлением», т.е. пенсия
покупается наиболее интенсивно в начале карьеры.
Построить «чистый» accrued benefit метод, т.е.
совсем без использования проектирования зарплаты, можно, например, следующим
образом. Возьмем за основу unit-credit метод. Будем вычислять современную
стоимость пенсии на основе текущей (а не «спрогнозированной») зарплаты, полагая
,
где
-
некоторый коэффициент (он может зависеть от стажа).
Будем вычислять нормальные цены, руководствуясь
unit-credit методом, как описано выше. Взнос за первый год (вносимый в момент
)
вычислим согласно этой нормальной цене. В случае, например, повышения зарплаты
в следующем году возникнет нефинансируемая ответственность, так как взнос
,
поступивший в предыдущий год, уже не соответствует переоцененной нормальной
цене
.
Другими словами, фактический фонд одного участника на момент
(до
внесения взноса) должен составлять
,
а на самом деле он составляет
.
Разность равна
Можно покрыть этот дефицит в течение нескольких
лет; однако самый простой путь состоит во включении его во взнос уже года
(т.е.
немедленном покрытии). Для последующих лет также вычислим «дефициты» - разности
между накопленной актуарной ответственностью, соответствующей unit-credit
методу, и фактическими фондами, и включим их во взносы того же года:
…,
, (3.13)
.
Кроме указанных, необходимо отметить два
«крайних» метода финансирования: начальное финансирование (initial funding),
при котором вся необходимая сумма для обеспечения пенсии работника вносится в
момент его вступления в схему (т.е. в возрасте
)
и терминальное финансирование (terminal funding), когда эта сумма вносится в
момент выхода на пенсию (в возрасте
).
Если
и
-
соответственно нормальная цена и накопленная ответственность одного участника
при том или ином индивидуальном методе, то суммарная нормальная цена и
накопленная ответственность получаются, как сказано выше, суммированием по всем
участникам:
Полезно сравнить различные методы финансирования
на численном примере. Примем за начальный момент времени (
)
начало 2001 года. Ниже приведены результаты расчетов, выполненных для
стационарной популяции членов некоторого пенсионного фонда численностью 10 000.
Численность поколений рассчитана по таблице
продолжительности жизни населения России за 1995 г. (мужчины и женщины), построенной
по данным Госкомстата. Указанные данные содержали информацию о численности
возрастных групп в возрасте до 80 лет, поэтому была сделана экстраполяция с
помощью закона Гомпертца до возраста 100 лет. Как сказано выше, все расчеты
велись в рублях 2001 года; ставка безынфляционной доходности инвестиций
годовых.
Значение коэффициента ежегодного роста заработной платы за счет повышения
производительности труда выберем 1,025 (рост всех зарплат на 2,5% в год). Таким
образом, годовая заработная плата индивидуума возраста
,
вступившего в схему в момент 0,
,
где
-
функция, показывающая распределение заработной платы по возрастам на начальный
момент. Распределение заработной платы по возрастам в России и в других странах
анализировалось Баскаковым и Баскаковой [6]; в данной работе взята более или
менее типичная кривая, показанная на рисунке 1. Средняя месячная зарплата по
популяции на начальный момент 2894,64 руб., что примерно соответствует данным
по Москве на начало 2001 г.
Расчеты производились для поколения (когорты)
участников, вступающих в момент 0 (начало 2001 года). Возраст вступления в
схему
,
пенсионный возраст
лет. Правило
вычисления пенсии: правило конечной зарплаты с нормой (коэффициентом) замещения
,
т.е.
. (3.14)
Например, месячная пенсия выходящих на пенсию в
конце 2001 года равна 1070,30 руб. Период капитализации - один год, т.е.
месячные зарплаты и пенсии получаются простым делением годовых на 12. На
рисунке 2 показаны графики доли покупки пенсии
в
виде непрерывных кривых. Видно, в частности, что EAN методы являются методами с
«замедлением». На рисунке 3 показаны накопленные фактические резервы для
когорты участников по годам. Можно сравнить темпы накопления для различных
методов [3].
Рисунок 3.1 - Среднемесячная заработная плата
(руб. 2001 г.) в зависимости от стажа
,
лет: начальная возрастная структура (функция
),
с ежегодным ростом на 2,5%
Из рисунка 3.3 видно, что EAN методы
обеспечивают наиболее быстрый рост пенсионных накоплений. Однако, с другой
стороны, эти методы определенно меньше отвечают интересам работодателей (спонсоров),
а именно работодатели часто определяют дизайн пенсионных планов. Не следует
забывать, например, о том, что многие работодатели стремятся так или иначе
использовать приобретение пенсионных прав для стимуляции работников.
Действительно, руководитель компании вряд ли посчитает справедливым и нужным
вносить одинаковые отчисления за молодого работника, проработавшего 2 года, и
работника, проработавшего уже 20 лет. По многим причинам прогрессивный рост
отчислений кажется более предпочтительным для работодателя. Эти соображения
отчасти объясняют популярность unit-сredit метода, занимающего (рис. 3.3)
«среднее» положение по темпам роста фондов и при этом дающего прогрессивное
увеличение отчислений. Этот метод, что немаловажно, прост для расчетов, а кроме
того отвечает представлениям о справедливости: каждый проработанный год
позволяет «заработать» или «купить» одну и ту же долю будущей пенсии (рис.
3.2).
Рисунок 3.2 - Функция «покупки пенсии»
:
А - unit-сredit метод (9); В - EAN метод с постоянными взносами (7); С - EAN
метод с постоянным процентом от заработной платы (8); D - экспоненциальный с
ускорением (12); Е - линейный (11); F - метод (10)
Accrued benefit метод (13) хорош тогда, например,
когда есть трудности в прогнозировании заработной платы и будущих пенсий,
однако темпы накоплений для него (рис. 3.3) невысоки, т.е. он имеет тенденцию
«переносить» взносы на более позднюю часть карьеры. С другой стороны, в
условиях неопределенности экономической ситуации есть вероятность обесценивания
пенсионных накоплений, поэтому может оказаться разумным накапливать их
медленнее. В условиях нестабильной экономической ситуации просто невозможно
охватить все соображения, которые могут играть свою роль при выборе метода
финансирования пенсионной схемы.
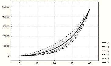
Рисунок 3.3 - Фонд пенсионных накоплений
поколения работников (тыс. руб. 2001 г.) в зависимости от стажа (лет): А -
unit-сredit метод (9); В - EAN метод с постоянными взносами (7); С - EAN метод
с постоянным процентом от заработной платы (8); D - экспоненциальный с
ускорением (12); Е - линейный (11); F - accrued benefit без проектирования (13)
В данном разделе были рассмотрены основные
принципы методов решения поставленной задачи, приведены основные характеристики
и допущения, необходимые для дальнейших расчетов.
4. ОПИСАНИЕ
ПРОГРАММНОГО ПРОДУКТА и результатов моделирования пенсионного фонда
.1 Проектирование программного
обеспечения для численного моделирования открытого пенсионного фонда с помощью
Rational Rose
Rose - предназначено для автоматизации этапов
анализа и проектирования ПО, а также для генерации кодов на различных языках и
выпуска проектной документации. Rational Rose использует синтез-методологию объектно-ориентированного
анализа и проектирования. Универсальная нотация для моделирования объектов (UML
- Unified Modeling Language) претендует на роль стандарта в области
объектно-ориентированного анализа и проектирования. Rational Rose - мощное
CASE-средство для проектирования программных систем любой сложности. Любая
задача программируется при помощи определенных диаграмм.
Диаграммы способов использования. В диаграммах
используются следующие потоки:
а) основной: оптимизация суммарных взносов с
учётом таких параметров, как инфляция, инвестиционная доходность, заработная
плата и смертность, загружаемых из файла.
б) альтернативный: сбой в работе программы -
выводится сообщение о сбое. Сбой при анализе данных - выводится сообщение о
некорректности данных.
Рисунок 4.1 - Диаграмма способов использования
Диаграммы деятельности. Диаграммы вариантов
использования отражают набор функций системы, а не последовательность их
выполнения. Чтобы представить более полно процесс взаимодействия пользователей
с системой применяются диаграммы деятельностей (activity diagrams), которые
отражают взаимосвязь и порядок выполнения функций системы (рис. 4.2 - 4.4).
Первая диаграмма описывает прецедент «Загрузка и
расчет данных» (рис. 4.2). Прецедент начинается, когда пользователь вводит
данные с помощью интерфейса программы. После ввода данные проверяются и
устанавливаются в объект исходных данных.
Вторая диаграмма описывает прецедент «Анализ
полученных результатов». Прецедент начинается, когда пользователь совершает
анализ полученных результатов с помощью интерфейса программы (рис. 4.3).
Третья диаграмма описывает прецедент
«Формирование отчетов». Прецедент начинается, когда пользователь выводит
графическое изображение с помощью интерфейса программы. После выполнения данной
операции возможно осуществить анализ графиков и сформировать отчет (рис. 4.4).
Рисунок 4.2 - Диаграмма «Загрузка и расчет
данных»
Рисунок 4.3 - Диаграмма «Анализ полученных
результатов»
Рисунок 4.4 - Диаграмма «Формирование отчетов»
Диаграммы классов. Общая диаграмма классов
приведена на рисунке 4.5, а описание всех классов - на рисунке 4.6.
Рисунок 4.5 - Общая диаграмма классов
Рисунок 4.6 - Диаграмма классов
4.2 Разработка модели программных
средств
Для разработки программных модулей можно
воспользоваться несколькими средами разработки: A - C#, B - Delphi, C - MatLab.
Проанализируем их с помощью метода вариантных
сетей. Сравнительный анализ представлен в таблице 4.1.
Таблица 4.1
|
Критерии
сравнения
|
Коэффициент
весомости bi
|
Абсолютное
значение показателей
|
Относительное
значение показателей
|
|
№
|
Название
|
Единица
измерения
|
|
A
|
B
|
C
|
A
|
B
|
C
|
|
|
|
|
|
|
|
kij
|
bi*kij
|
kij
|
bi*kij
|
kij
|
bi*kij
|
|
1
|
Требования
к ресурсам
|
Мб
|
0.15
|
170
|
280
|
450
|
1
|
0.09
|
0.6
|
0.084
|
0.6
|
0.096
|
|
2
|
Дружественность
к пользователю
|
Балл
|
0.09
|
5
|
3
|
4
|
0.85
|
0.102
|
0.73
|
0.078
|
1
|
0.09
|
|
3
|
Балл
|
0.12
|
3
|
4
|
5
|
0.6
|
0.09
|
0.8
|
0.12
|
0.55
|
0.06
|
|
4
|
Затраты
на адаптацию к данным пользователя
|
Балл
|
0.14
|
4
|
4
|
4
|
1
|
0.16
|
0.6
|
0.074
|
0.6
|
0.084
|
|
5
|
БД
|
Балл
|
0.17
|
5
|
3
|
4
|
1
|
0.14
|
0.8
|
0.128
|
0.6
|
0.09
|
|
6
|
Соответствия
современным технологиям
|
Балл
|
0.14
|
5
|
4
|
4
|
1
|
0.15
|
0.6
|
0.09
|
1
|
0.15
|
|
7
|
Изученность
пользователем
|
Балл
|
0.19
|
5
|
3
|
4
|
1
|
0.16
|
0.8
|
0.129
|
1
|
0.14
|
|
Итого
|
Балл
|
1
|
|
|
|
|
0.892
|
|
0.703
|
|
0.71
|
Выбор среды разработки программного обеспечения.
Расчетные формулы:
(4.1)
(4.2)
(4.3)
(4.4)
Исходя из формул (4.3) и (4.4), наш выбор: A -
C#. Разработка программного продукта с использованием среды разработки C#
предполагает использование объектно-ориентированного подхода, позволяющего
достичь простоты структуры и управляемости очень крупных программных систем.
4.3 Описание программного продукта
Главное окно программы представлено на рисунке
4.7.
Рисунок 4.7 - Главное окно программы
При нажатии кнопки «Загрузить (рассчитать)»,
загружается файл исходных данных (рис. 4.8). В случае некорректно введенного
файла появляется сообщение об ошибке (рис. 4.9). При моделировании пенсионной
схемы можно изменить значения коэффициентов в графах «Индексация» и «Ставка
инвестиционной доходности» (рис. 4.10). На рисунке 4.11 представлен результат
расчета функции накопления для участника пенсионной схемы по каждому из методов
финансирования, с помощью которого можно проанализировать, какой из методов
позволяет получить лучший результат.
Рисунок 4.8 - Загрузка и расчет исходных данных
Рисунок 4.9 - Сообщение об ошибке
Рост средств пенсионного фонда представлен на
рисунке 4.12. С помощью данного графика можно проанализировать, какой из
методов финансирования позволяет интенсивнее накопить средства пенсионного
фонда. На рисунке 4.13 представлен график пенсионных выплат. Анализируя данный
график, получаем представление о размере пенсионных выплат при различных
методах финансирования пенсионной схемы.
Рисунок 4.10 - Введение параметров
Рисунок 4.11 - График функции накопления
Рисунок 4.12 - График накопленного фонда
Рисунок 4.13 - График пенсионных выплат
Данный раздел посвящен описанию руководства
пользователя программного продукта и результатам, которые были получены
благодаря его реализации.
Рассмотрена и описана система проектирования
«Rational Rose», являющаяся мощным современным средством организации процесса
проектирования программного обеспечения.
5. БЕЗОПАСНОСТЬ ЖИЗНЕДЕЯТЕЛЬНОСТИ
.1 Анализ и выявление вредных и
опасных факторов
. Определение опасных и вредных факторов при
эксплуатации программного продукта, связанной с использованием ПК.
. Разработка мероприятий по уменьшению влияния
опасных и вредных факторов на пользователя ПК.
Для безопасности труда большое значение имеет
состояние воздушной среды помещений, их освещение, вентиляция, наличие
электромагнитных и радиоактивных излучений, вибраций, шума. Проведение анализа
вредных и опасных факторов при работе с компьютером, а также мероприятия,
направленные на ликвидацию или уменьшение этих факторов - цель раздела
безопасности жизнедеятельности.
Для обслуживания данной системы необходимо:
- рабочее место;
- помещение для разработчика.
.1.1 Анализ помещения для разработчика. Комната
разработчиков представляет собой помещение площадью 30м2 (6
5).
В ней находятся: стол, стул, ПЭВМ.
При работе с компьютером человек подвергается
воздействию ряда опасных и вредных производственных факторов: электромагнитных
полей, инфракрасного и ионизирующего излучения, шума и вибрации, недостаточного
освещения, статического электричества. Большое значение имеет рациональная
конструкция и расположение элементов рабочего места, что важно для поддержания
рабочей позы человека - разработчика [8].
5.2 Внедрение мероприятий по
снижению уровней влияния вредных и опасных факторов
Рассмотрим основные требования к помещениям, где
установлены компьютеры.
Освещённость. В помещении, где эксплуатируется
ЭВМ, освещение, как правило, смешанное. Если естественного освещения
недостаточно, дополнительно используется искусственное. Для освещения помещений
с мониторами и ЭВМ следует применять газоразрядные лампы и лампы накаливания с
зеркальными решетками, укомплектованные высокочастотными пускорегулирующими
аппаратами.
Для нормальной работы зрительного анализатора
необходимо выполнение основных требований к бытовому и производственному
освещению:
достаточная освещенность на рабочих местах,
которая должна соответствовать характеру зрительной работы;
равномерность освещения;
отсутствие резких теней на рабочих поверхностях;
в поле зрения должны отсутствовать прямой и
отраженный блеск;
величина освещенности должна быть постоянной во
времени;
оптимальная направленность светового потока;
выбор необходимого спектрального состава света;
все элементы осветительных установок должны быть
простыми и удобными.
Невыполнение вышеперечисленных требований
приводит к ухудшению самочувствия и зрения оператора. Местное освещение на
рабочих местах операторов обеспечивается светильниками, устанавливаемыми
непосредственно на рабочем месте или на вертикальных панелях специального
оборудования с вмонтированными в него экранами видеотерминалов. Если рабочее
место находится возле окна, необходимо избегать того, чтобы терминал был
обращён в сторону окна.
Микроклимат. Вычислительная техника является
источником существенных тепловыделений, что может привести к повышению
температуры и снижению относительной влажности в помещении. В помещении, где
установлены компьютеры, должны соблюдаться определенные параметры микроклимата
(табл. 5.1)
Таблица 5.1 - Параметры микроклимата
|
Период
года
|
Параметры
микроклимата
|
Величина
|
|
Холодный
и переходной
|
Температура
воздуха в помещении Относительная влажность Скорость движения воздуха
|
22-240С
40-60% до 0.1 м/с
|
|
Теплый
|
Температура
воздуха в помещении Относительная влажность Скорость движения воздуха
|
23-250С
40-60% 0.1-0.2м/с
|
Кроме этих основных параметров есть еще
атмосферное давление, которое влияет на парциальное давление основных
компонентов воздуха (кислорода и азота) и, как следствие, на процесс дыхания.
Нормирование параметров микроклимата
осуществляется по ГОСТ 12.1.005-76, который устанавливает оптимальные и
допустимые метеорологические условия для рабочей зоны помещения.
Одним из необходимых условий
высокопроизводительной деятельности человека является обеспечение чистого
воздуха. При недостаточной вентиляции у человека - разработчика затрудняется
дыхание, появляется сонливость, снижается внимание. Для подачи в помещение
воздуха используется система механической вентиляции и кондиционирования, а
также естественная вентиляция.
Задачи вентиляции: обеспечение чистоты воздуха и
заданных метеорологических условий в производственных помещениях.
Шум. С физиологической точки зрения шумом
является всякий нежелательный, неприятный для восприятия человека звук.
Повышенный уровень шума может вызвать у человека-разработчика, находящегося в
рабочей зоне, повышенную утомляемость, рассредоточение внимания и т.п.
Продолжительное воздействие вызывает кратковременную потерю работоспособности и
может стать причиной заболеваний органов слуха, повышения кровяного давления.
Уровень шума в помещении не должен превышать 65
дБА. Для снижения уровня шума стены и потолок помещения, где установлены
компьютеры, должны быть облицованы звукопоглощающими материалами.
Электробезопасность. Повышенное напряжение
питания представляет требования к ответственности оператора в вопросах техники
безопасности при работе. Повышенное напряжение может привести к поражению
человека - оператора электрическим током, а в случае короткого замыкания - к
пожару. Металлические части изделий, доступные для прикасания к ним
обслуживающего персонала, которые могут оказаться под напряжением в результате
повреждения изоляции и не имеющие других видов защиты, подлежат защитному
заземлению.
На видном месте этих изделий должны быть
предусмотрены четко различимые устройства для подключения защитного заземления
и обнуления.
Все внешние части изделий, находящиеся под
напряжением должны быть защищены от случайных прикасаний к ним во время работы.
Максимальный уровень рентгеновского излучения на
рабочем месте обычно не превышает 10 мкбэр/ч, а интенсивность ультрафиолетового
и инфракрасного излучений от экрана монитора лежит в пределах 10-100 млВт/м2.
Для снижения воздействия перечисленных видов
излучения на разработчиков рекомендуется применять мониторы с пониженной
излучательной способностью, устанавливать защитные экраны, а так же соблюдать
регламентированные режимы труда и отдыха.
В данной части дипломной работы были определены
опасные и вредные факторы, влияющие на пользователей ПЭВМ. Разработаны
мероприятия по уменьшению влияния опасных и вредных факторов на пользователей
компьютерной техники.
6. ЭКОНОМИЧЕСКАЯ ЧАСТЬ
.1 Описание программного продукта
Предлагаемое изделие - это программа для
практического использования в процессе формирования открытого коммерческого
пенсионного фонда. Основным преимуществом данного программного продукта является
то, что моделирование пенсионного фонда является оптимальным по затратам
времени расчетов на ЭВМ.
ПП разработан в среде C#. Для функционирования
ПП необходима ПЭВМ, удовлетворяющая следующим условиям: процессор 300 МНr; 128
Mb ОП; HDD - 20 Mb; дисковод. Данная конфигурация предложена из соображений
приемлемого времени выполнения. ПП, состоит из файлов с начальными данными и
программных модулей. Программа проста в использовании, удобна, имеет
дружественный пользовательский интерфейс.
.2 Оценка рынка сбыта
При оценке рынка сбыта проводят сегментирование.
В процессе сегментирования выявляются сегменты рынка. Сегмент - это группа
потребителей, одинаково реагирующих на товар. Основной характеристикой сегмента
является емкость - количество изделий, которые могут быть проданы за год.
Сегментирование должно проходить по следующим
правилам:
) выявление основных принципов и факторов
сегментирования для рассматриваемого изделия;
) сегментирование рынка: определение состава
групп потребителей, деление рынка на сегменты, описание профиля каждого
сегмента, расчеты полной потребности и общей годовой емкости сегментов и всего
рынка;
) оформление результатов в виде таблиц;
) анализ информации о сегментах, выбор сегментов
для дальнейшего анализа;
) позиционирование товара в выбранных сегментах,
определение целевой емкости.
Рассмотрим рынок сбыта, разделив его на
отдельные сегменты, и выделив группу потребителей, нуждающихся в нашей
продукции [9].
Определение полной потребности в товаре данного
вида:
, (6.1)
где
-
количество сегментов рынка;
- годовая емкость
-го
сегмента (коп/год).
Для комплектующих изделий годовая емкость
-го
сегмента определяется по формуле:
, (6.2)
где
-
количество предприятий;
- средняя годовая
программа одного предприятия;
- количество копий
ПП.
Потребителями
являются
государственный пенсионный фонд и негосударственные пенсионные фонды стран
Украины и России. На территории Украины таких фондов 3, а в России - 7. В
таблице 6.1 представлены результаты сегментирования рынка сбыта.
Таблица 6.1 - Результаты сегментирования рынка
сбыта
|
Страны
|
Количество
предприятий,
|
Средняя
годовая программа,
|
Комплектность
поставки,
|
Годовая
ёмкость,
|
|
Украина
|
3
|
1
|
1
|
3
|
|
Россия
|
7
|
1
|
1
|
7
|
|
Итого
|
|
|
|
10
|
Таким образом, целевая емкость производства
товара данного вида составляет 10 коп/год. Возможно увеличение производства
изделия до 30 коп/год за счет заключения договоров с другими странами. Целевая
емкость принимается равной годовой емкости.
6.3 Расчет себестоимости и цены
программного продукта
Для ведения всего проекта в целом и руководства
ходом работ необходима должность руководителя. Для создания оптимальных
алгоритмов программного пакета необходима должность разработчика алгоритмов.
Для проектирования подсистемы и ее последующей наладки и введения в
эксплуатацию необходимо участие программиста. Продолжительность рабочего месяца
в среднем считается 22 дня. Состав исполнителей приведен в таблице 6.2.
Рассчитаем продолжительность разработки по видам работ. Результаты расчетов
содержатся в таблице 6.3.
Таблица 6.2 - Состав исполнителей работы
|
Должности
|
Должностные
оклады, грн.
|
|
Месячные
|
Дневные
|
|
Руководитель
|
2200
|
100
|
|
Разработчик
алгоритмов
|
1760
|
80
|
|
Программист
|
1980
|
90
|
Таблица 6.3 - Расчет трудоемкости работ
|
Вид
работ
|
Трудоёмкость,
%
|
Трудоёмкость,
чел*день
|
Исполнители
|
Длительность
в днях
|
|
Техническое
задание (ТЗ)
|
Постановка
задачи
|
10
|
7
|
0.5
|
1
|
0.5
|
|
Выбор
методов решения задачи (предварительно)
|
|
13
|
4
|
1,2
|
2
|
|
Обоснование
необходимости разработки программы
|
|
14
|
0.5
|
1
|
0.5
|
|
Маркетинговые
исследования рынка
|
|
11
|
3
|
1
|
3
|
|
Разработка
бизнес-плана
|
|
16
|
2
|
1
|
2
|
|
Разработка
перечня и графика хода работ
|
|
11
|
1
|
1
|
1
|
|
Разработка
сметной калькуляции
|
|
6
|
0.5
|
1
|
0.5
|
|
Определение
требований к программе и техническим средствам
|
|
4
|
4
|
1,3
|
2
|
|
Разработка
ТЗ
|
|
11
|
3
|
1
|
3
|
|
Согласование
и утверждение ТЗ
|
|
7
|
4.5
|
1,2,3
|
1.5
|
|
Эскизный
проект (ЭП)
|
Уточнение
методов решения задачи
|
25
|
11
|
2
|
1,2
|
1
|
|
Определение
технических средств
|
|
14
|
4.5
|
1,2,3
|
1.5
|
|
Разработка
структуры входных и выходных данных
|
|
20
|
4
|
2,3
|
2
|
|
Разработка
алгоритма решения задачи
|
|
25
|
3
|
2
|
3
|
|
Уточнение
требований к программе
|
|
12
|
9
|
1,2,3
|
3
|
|
Разработка
пояснительной записки ЭП
|
|
19
|
3.5
|
1
|
3.5
|
|
Согласование
и утверждение
|
|
9
|
3
|
1,2,3
|
1
|
|
Технический
проект
|
Разработка
структуры программы
|
30
|
14
|
4
|
2,3
|
2
|
|
Разработка
программы
|
|
21
|
5
|
3
|
5
|
|
Отладка
программы
|
|
11
|
3
|
3
|
3
|
|
Разработка
программной документации (ПД)
|
|
16
|
12
|
2,3
|
6
|
|
Разработка
технологического процесса решения задачи
|
|
15
|
10
|
2
|
5
|
|
Испытание
программы (предварительно)
|
|
9
|
1
|
3
|
1
|
|
Корректировка
программы и ПД
|
|
8
|
8
|
2,3
|
4
|
|
Уточнённый
расчет затрат и ожидаемого экономического эффекта
|
|
6
|
1
|
1
|
1
|
|
Внедрение
|
Подготовка
объекта к внедрению задачи
|
35
|
21
|
9
|
1,2,3
|
3
|
|
Наладка
и испытание задачи
|
|
14
|
2
|
3
|
2
|
|
Опытная
эксплуатация задачи
|
8
|
2,3
|
4
|
|
Дополнительная
отладка, корректировка
|
|
19
|
6
|
2,3
|
3
|
|
Испытание
и сдача задачи в эксплуатацию
|
|
18
|
3
|
1,2,3
|
1
|
|
Расчёт
фактического экономического эффекта
|
|
11
|
1
|
1
|
1
|
|
Итого
|
100
|
|
|
81
|
|
Примечания:
Исполнитель 1 - руководитель Исполнитель 2 - разработчик алгоритмов
Исполнитель 3 - программист
|
Расчет себестоимости работ начнем с расчета
фонда основной заработной платы по стадиям и теме в целом. Вычислим основную
заработную плату разработчиков ПП, с учетом трудозатрат, количества
исполнителей и среднедневной заработной платы. Для этого количество дней,
отработанных отдельными исполнителями по стадиям, умножают на их дневные
оклады:
(6.3)
Рассчитаем стоимость материалов и комплектующих,
необходимых для написания программы (таблица 6.4).
Таблица 6.4 - Материалы и комплектующие
|
Материалы
|
Кол-во
|
Цена,
грн
|
Сумма,
грн.
|
Назначение
|
|
Диски
DVD-R
|
10
шт.
|
3.50
|
35
|
Хранение
резервных копий, перенос программы
|
|
Бумага
|
500
л.
|
30.00
|
30
|
Документация,
распечатки
|
|
Картридж
для HP DeskJet 690C
|
1
шт.
|
70
|
70
|
Различная
печать
|
|
Сканирование
материала
|
70
л.
|
0.50
|
35
|
Использование
готового материала в работе
|
|
Итого
|
170
|
Определим затраченное машинное время: будем
считать, что руководитель пользуется компьютером в среднем 3 часа за рабочий
день, разработчик алгоритмов - 4 часа в день, а программист,
следуя нормам охраны труда, - в среднем 5 часов. Получим
(6.4)
Стоимость часа машинного времени будем считать
равной
.
(6.5)
Накладные расходы примем в размере 20% от суммы
основной заработной платы. Расчет себестоимости и договорной цены приводим в
таблице 6.5.
Таблица 6.5 - Расчет себестоимости и цены ПП
|
№
п/п
|
Статьи
|
Затраты,
грн.
|
|
1
|
Основная
заработная плата
|
10790
|
|
2
|
Дополнительная
заработная плата (15 % от ОЗП)
|
1618.5
|
|
3
|
Начисления
на заработную плату
|
|
|
Пенсионный
фонд (33.2 % от ОЗП)
|
3582.28
|
|
Фонд
страхования по временной нетрудоспоcобности (1.5 % от ОЗП)
|
161.85
|
|
Фонд
безработицы (1.3 % от ОЗП)
|
140.27
|
|
Фонд
соц. страхования от несчастных случаев (0.2 % от ОЗП)
|
21.58
|
|
4
|
Амортизация
(20 % от ОЗП)
|
2158
|
|
5
|
Накладные
расходы (60 % от ОЗП)
|
6474
|
|
6
|
Материалы
и комплектующие
|
170
|
|
7
|
Стоимость
машинного времени
|
1488
|
|
Итого
себестоимость ПП
|
26904.48
|
|
Цена
ПП
|
32285.376
|
|
|
|
|
6.4 Расчет обобщенных показателей
качества
Поскольку, в классе задач моделирования
процессов кристаллизации и плавления простых кристаллов других аналогов не
обнаружено, то для оценки уровня качества используем существующие разработки,
выполняющие некоторые аналогичные функции, предоставляемых разработанным
программным продуктом и не удовлетворяющие пользователя по ряду причин
(интерфейс, достоверность выдаваемых данных и др.).
Можно рассмотреть гипотетический вариант,
имеющий максимальную оценку по всем выбранным показателям.
Перечень основных показателей качества:
количество функций;
) интерфейс;
) быстродействие;
) объём памяти.
Расчет обобщенных показателей качества проводим
по формуле:
, (6.6)
где
-
коэффициент веса.
Абсолютные значения показателей качества
рассчитываются по формуле:
, (6.7)
где
-
значение показателя собственного ПП,
- значение
показателя гипотетического ПП.
Расчет обобщенных показателей качества приведен
в таблице 6.6.
Таблица 6.6 - Расчет обобщенных показателей
качества
|
№
|
Показатели
качества
|
Коэф.
веса (bi)
|
Абсолютные
значения показателей
|
Относительные
значения показателей
|
|
Наименование
|
Един.
измер.
|
|
|
|
|
|
|
|
Собственный
ПП
|
Гипотетический
ПП
|
Собственный
ПП
|
|
1
|
Количество
функций
|
|
0.35
|
5
|
5
|
1
|
0.35
|
|
2
|
Интерфейс
|
|
0.2
|
4
|
5
|
0.8
|
0.16
|
|
3
|
Быстродействие
|
мс
|
0.3
|
4
|
5
|
0.8
|
0.24
|
|
4
|
Объём
памяти
|
МБ
|
0.15
|
5
|
5
|
1
|
0.15
|
|
|
|
|
K=0.9
|
Уровень качества нашего продукта составляет 0.9
по отношению к гипотетическому, т.е. наш продукт обладает 90% от возможностей
гипотетического программного продукта.
В данном разделе была рассчитана себестоимость и
цена программного продукта, рассчитаны обобщённые показатели качества
разработки. Программный продукт имеет хорошие показатели качества. Он обладает
высокой надёжностью, долговечностью, уменьшает временные затраты пользователей
при проведении исследований в данной предметной области.
ВЫВОДЫ
В работе была сформулирована и поставлена задача
разработки инструментальных средств моделирования пенсионного фонда открытого
типа.
Проанализирована математическая модель как
задача математического программирования. Разработан алгоритм построения
пенсионных схем различными методами формирования открытого пенсионного фонда.
На основании этого алгоритма создан программный продукт, реализующий этот
алгоритм. Программный продукт написан в среде С#.
Используя полученную модель, произведен анализ
рассмотренных индивидуальных актуарных методов расчета пенсионной схемы.
СПИСОК ИСПОЛЬЗОВАННЫХ ИСТОЧНИКОВ
1.
Международные стандарты финансовой отчетности. - M.: Аскери, 2005. - С. 9-21.
.
Новый англо-русский банковский и экономический словарь Б.Г. Федорова. - М.:
Лимбус-пресс, 2000. - С. 75.
.
Шоломицкий А.Г. Финансирование накопительных пенсий: актуарные методы и
динамические модели // Обозрение прикладной и промышленной математики. - 2002.
- Т. 9. - С. 544-577.
.
Чэдберн, Р. и Хэберман, С. Основы актуарной математики. - Пер. с англ. -
Кемерово, 1996. - С. 204-235.
.
Гербер Х. Математика страхования жизни. - М.: Мир, 1995. - С. 53-78.
.
Баскаков, В.Н. и Баскакова, М.Е. Пенсии для мужчин и женщин. - Москва,
Московский философский фонд, 1998. - С. 168-195.
.
Михайлов А.В., Харченко О.В. Моделирование и актуарный расчет корпоративных
пенсионных программ. - М.: Просвещение, 2000. - С. 395-417.
.
Охрана труда в отрасли. Безопасность труда при работе на ПЭВМ: Учеб. пособие/
В. В Вамболь., Н. И. Меркулова, Л. И Кротенко Харьков, 2002. - 23 с.
.
Гавва В.Н., Голованова М.А. Экономическая оценка инженерных решений, Харьков,
1990. - С.69-85.
ПРИЛОЖЕНИЕ
Листинг программы
.cs
using
System;System.Collections.Generic;System.Windows.Forms;pensia
{class Program
{
/// <summary>
/// The main entry point for the
application.
/// </summary>
[STAThread]void Main()
{.EnableVisualStyles();.SetCompatibleTextRenderingDefault(false);.Run(new
Form1()); }}}_Calc.csSystem;System.Collections.Generic;System.Text;System.IO;pensia
{Pensia_Common
{double F0, FirstPay, vCoeff,
index;int a, R;List<double> Px, PayT, mt;double s(int t)
{ss = 1;(int i = 0; i < t; i++)*=
Px[i];ss;
}List<double> Funds,
Pensias;List<double> GetPX()
{Px;
}void LoadData(string FileName)
{DataStream = new
StreamReader(FileName);= new List<double>();= new List<double>();=
new List<double>();= new List<double>();= new
List<double>();(int i = 0; i < 100 - a;
i++).Add(Convert.ToDouble(DataStream.ReadLine()));.Close();
}void Init(double F0, double
FirstPay, double vCoeff, int a, int R, double index)
{.F0 = F0;.FirstPay =
FirstPay;.vCoeff = vCoeff;.a = a;.R = R;.index = index;
}List<double> GetPayFunction()
{mt;
}double P(int t, int x)
{p = 1;(int i = x - a; i < x + t
- a; i++)*= Px[i];p;
}double ListSumm(List<double>
lst)
{summ = 0;(int i = 0; i <
lst.Count; i++)+= lst[i];summ;
}void CalcPensia()
{b = 0;(int i = R; i < 100;
i++)+= Math.Pow(1 + index, i - R) * P(i - a, a);Pens0 = CalcFullFunds() /
(vCoeff * b);(int i = 0; i < 100 - R; i++).Add(Pens0 * Math.Pow(1 + index, i
- R));
}double CalcFullFunds()
{Funds = F0;(int i = 0; i < R -
a; i++)+= PayT[i]; //P(i,a) * PayT[i] * vCoeff;Funds;
}void CalcFunds()//t- натуральное
исчисление(
от
а
до
100)
{();
// double Funds = 0;.Add(0);(int i =
1; i < R - a; i++).Add(Funds[i - 1] + PayT[i - 1]); //P(i, a) * PayT[i] *
vCoeff;(int i = R - a; i < 100 - a; i++).Add(Funds[i - 1] - Pensias[i - R +
a]); } }Pensia_Uni_Credit : Pensia_Common
{void Calc()
{ss = R - a;Sigma = 1 / ss;(int i =
0; i < R - a; i++) //uni-credit
{.Add(Sigma);.Add(FirstPay);
}(); } }Pensia_Linear :
Pensia_Common
{void Calc()
{Sigma = 1 / ((R - a) * (1 + 0.15 *
(R - a))); //линейный.Add(Sigma);.Add(FirstPay);Fnds
= PayT[0] / mt[0];(int i = 1; i < R - a; i++)
{.Add(Sigma * (1 + 0.3 * i));.Add(Fnds
* mt[i]);
}();
}
}Pensia_Exp_Inc : Pensia_Common
{void Calc()
{coeff = (Math.Exp(0.05) + 1) /
(Math.Exp(0.1) - 1);Sigma = 1 / (coeff * (Math.Exp(0.05 * (R - a + 1)) - 1));
//экспоненциальный
c ускорением.Add(Sigma);.Add(FirstPay);Fnds
= PayT[0] / mt[0];(int i = 1; i < R - a; i++)
{.Add(Sigma * Math.Exp(0.05 *
i));.Add(Fnds * mt[i]);
}();
}
}Pensia_Exp_Des : Pensia_Common
{void Calc()
{coeff = (Math.Exp(-0.05) + 1) /
(Math.Exp(-0.1) - 1);Sigma = 1 / (coeff * (Math.Exp(-0.05 * (R - a + 1)) - 1));
//экспоненциальный
c замедлением.Add(Sigma);.Add(FirstPay);Fnds
= PayT[0] / mt[0];(int i = 1; i < R - a; i++)
{.Add(Sigma * Math.Exp(-0.05 *
i));.Add(Fnds * mt[i]);
}(); } }Pensia_EAN : Pensia_Common
{void Calc()
{coeff = 0; //EAN(int i = 0; i <
Px.Count; i++)+= s(i);Sigma = 1 / (coeff * vCoeff);.Add(Sigma *
vCoeff);.Add(FirstPay);Fnds = PayT[0] / mt[0];(int i = 1; i < R - a; i++)
{.Add(Sigma * vCoeff *
s(i));.Add(Fnds * mt[i]);
}(); } }Pensia_Calc
{Pensia_Uni_Credit PUC = new
Pensia_Uni_Credit();Pensia_Linear PL = new Pensia_Linear();Pensia_Exp_Inc PEI =
new Pensia_Exp_Inc();Pensia_Exp_Des PED = new Pensia_Exp_Des();Pensia_EAN PE =
new Pensia_EAN();void LoadData(string FileName)
{.LoadData(FileName);.LoadData(FileName);.LoadData(FileName);.LoadData(FileName);.LoadData(FileName);
}void Init(double F0, double
FirstPay, double vCoeff, int a, int R, double index)
{.Init(F0, FirstPay, vCoeff, a, R,
index);.Init(F0, FirstPay, vCoeff, a, R, index);.Init(F0, FirstPay, vCoeff, a,
R, index);.Init(F0, FirstPay, vCoeff, a, R, index);.Init(F0, FirstPay, vCoeff,
a, R, index);
}void CalcAll()
{.Calc();.Calc();.Calc();.Calc();.Calc();
}
}
}.csSystem;System.Collections.Generic;System.ComponentModel;System.Data;System.Drawing;System.Text;System.Windows.Forms;System.IO;ZedGraph;pensia;pensia
{partial class Form1 : Form
{R;a;_Calc Pensias;Form1()
{();
}void btn_Close_Click(object sender,
EventArgs e)
{();
}[] GetColumn(DataGridView Grid, int
Col)
{[] c = new
double[Grid.RowCount];(int i = 0; i < Grid.RowCount; i++)[i] =
Convert.ToDouble(Grid[Col, i].Value);c;
}void button1_Click(object sender,
EventArgs e)
{=Convert.ToInt16(text_R.Text);=Convert.ToInt16(text_a.Text);F0
= Convert.ToDouble(text_F0.Text);FirstPay =
Convert.ToDouble(text_FirstPay.Text);index = Convert.ToDouble(text_index.Text);=
new Pensia_Calc();.Init(F0,FirstPay, 1 / (Convert.ToDouble(text_rCoeff.Text) +
1),a,R,index);(openFileDialog1.ShowDialog() !=
DialogResult.OK);.LoadData(openFileDialog1.FileName);<double> px =
Pensias.PE.GetPX();_Px.Rows.Add(Pensias.PE.GetPX().Count);(int i = 0; i <
px.Count; i++)
{_Px[0, i].Value = i+a;_Px[1,
i].Value = px[i];
}.CalcAll();();();();
}DrawFunds()
{MyGr2 = zg2.GraphPane;Chart21 = new
PointPairList();Chart22 = new PointPairList();Chart23 = new
PointPairList();Chart24 = new PointPairList();Chart25 = new
PointPairList();.CurveList.Clear();(int i = 0; i < R-a ; i++).Add(i + a,
Pensias.PE.Funds[i]);(int i = 0; i < R - a; i++).Add(i + a,
Pensias.PED.Funds[i]);(int i = 0; i < R - a; i++).Add(i + a, Pensias.PEI.Funds[i]);(int
i = 0; i < R - a; i++).Add(i + a, Pensias.PL.Funds[i]);(int i = 0; i < R
- a; i++).Add(i + a, Pensias.PUC.Funds[i]);.XAxis.Title.Text = "Год
участия";.YAxis.Title.Text
= "Накопленный
фонд";
MyGr2.Title.Text = "График накопленного
фонда";
MyGr2.AddCurve("E",
Chart21, Color.Red, SymbolType.None);.AddCurve("ED", Chart22,
Color.Blue, SymbolType.None);.AddCurve("EI", Chart23, Color.Black,
SymbolType.None);.AddCurve("L", Chart24, Color.Green,
SymbolType.None);.AddCurve("UC", Chart25, Color.Gold, SymbolType.None);.AxisChange();.Invalidate();
}DrawMX()
{MyGr = zg1.GraphPane;Chart1 = new
PointPairList();Chart2 = new PointPairList();Chart3 = new
PointPairList();Chart4 = new PointPairList();Chart5 = new
PointPairList();.CurveList.Clear();(int i = 0; i < R - a; i++).Add(i + a,
Pensias.PE.mt[i]);(int i = 0; i < R - a; i++).Add(i + a,
Pensias.PED.mt[i]);(int i = 0; i < R - a; i++).Add(i + a,
Pensias.PEI.mt[i]);(int i = 0; i < R - a; i++).Add(i + a,
Pensias.PL.mt[i]);(int i = 0; i < R - a; i++).Add(i + a, Pensias.PUC.mt[i]);.XAxis.Title.Text
= "Год
участия";.YAxis.Title.Text
= "Функция
накопления";
MyGr.Title.Text = "График функции
накопления";
MyGr.AddCurve("E", Chart1,
Color.Red, SymbolType.None);.AddCurve("ED", Chart2, Color.Blue,
SymbolType.None);.AddCurve("EI", Chart3, Color.Black,
SymbolType.None);.AddCurve("L", Chart4, Color.Green,
SymbolType.None);.AddCurve("UC", Chart5, Color.Gold,
SymbolType.None);.AxisChange();.Invalidate();
}DrawPensias()
{MyGr = zg3.GraphPane;Chart1 = new
PointPairList();Chart2 = new PointPairList();Chart3 = new
PointPairList();Chart4 = new PointPairList();Chart5 = new
PointPairList();.CurveList.Clear();(int i = 0; i < 100 - R; i++)
{ .Add(i + R,
Pensias.PE.Pensias[i]); .Add(i + R, Pensias.PED.Pensias[i]); .Add(i + R,
Pensias.PEI.Pensias[i]);.Add(i + R, Pensias.PL.Pensias[i]);.Add(i + R,
Pensias.PUC.Pensias[i]);
}.XAxis.Title.Text = "Год
участия
(пенсионер)";.YAxis.Title.Text
= "Пенсия";
MyGr.Title.Text = "График пенсионных
выплат";
MyGr.AddCurve("E", Chart1,
Color.Red, SymbolType.None);.AddCurve("ED", Chart2, Color.Blue,
SymbolType.None);.AddCurve("EI", Chart3, Color.Black,
SymbolType.None);.AddCurve("L", Chart4, Color.Green,
SymbolType.None);.AddCurve("UC", Chart5, Color.Gold,
SymbolType.None);.AxisChange();.Invalidate();
}void button2_Click(object sender,
EventArgs e)
{();
} } }