Промышленная безопасность и охрана труда на предприятиях агропромышленного комплекса
МЕЖДУНАРОДНАЯ ПРОМЫШЛЕННАЯ АКАДЕМИЯ
Кафедра инженерного обеспечения
Курсовая работа
слушателя программы профессиональной переподготовки
на тему:
«Промышленная безопасность и охрана труда на предприятиях
агропромышленного комплекса»
Выполнил Шитов Владимир Александрович
Москва, 2007
Содержание
1. Вводная часть
. Краткая характеристика объекта
. Расчет взрыворазрядных устройств норий рабочей башни элеватора
ОАО «Булгарпиво»
. Соответствие норий обязательным требованиям нормативно-правовых
документов по промышленной безопасности
. Отклонения от общих требований взрывобезопасности. Предложения
по выполнению требований правил в части взрыворазрядителей
Список используемой литературы
промышленный взрывобезопасность
элеватор
1. Вводная часть
Производственное оборудование, в
котором возможно возникновение источника зажигания пылевоздушной смеси,
защищают от разрушения и максимального выброса из него горючих веществ в
производственное помещение.
Взрыворазрядные устройства
устанавливаются на нориях, молотковых дробилках, фильтр-циклонах,
рециркуляционных зерносушилках с камерами нагрева, шахтных зерносушилках с
камерами нагрева и на каскадных нагревателях.
Примечание. Допускается не
устанавливать взрыворазрядные устройства:
а) на нориях и дробилках подачи и
измельчения минерального сырья;
б) на нориях со свободным объемом
менее 0,25 м3, дробилках с объемом рабочей зоны и выпускного (поддробильного)
бункера менее 0,3 м2 и фильтр-циклонах со свободным объемом менее 0,5 м3.
Допускается, по согласованию с
Госгортехнадзором России, вывод взрыворазрядительных устройств в
производственное помещение с установкой на них огнепреграждающих устройств,
снижающих температуру выбрасываемых продуктов взрывного горения и подавляющих
пламя.
. Краткая характеристика объекта
Технологическое оборудование
элеватора ОАО «Булгарпиво» предназначено для приема, подработки (отбора и
очистки) зерна; очистки и дробления солода.
Технологическое
оборудование расположено в рабочей башне, подсилосном и надсилосном этажах
силосного корпуса элеватора. Общий перечень технологического оборудования
(технических устройств) элеватора представлен в таблице 1; принципиальная
технологическая схема - в приложении Б. Обозначения позиций ТУ, принятые в
технологической схеме соответствуют указанным в таблице 1.
|
ПОЗ.
|
Наименование оборудования
|
Марка (тип)
|
Место расположения оборудования
|
Кол. шт.
|
|
1
|
2
|
3
|
4
|
5
|
|
Отделение приема зерна с железнодорожного транспорта
|
|
|
46,47
|
Бункер приемный
|
-
|
-
|
2
|
|
44,49
|
Конвейер ленточный
|
ПК 5050-80
|
Под сил. этаж
|
2
|
|
52
|
Нория ленточная ковшовая
|
11-2x100/24
|
Рабочая башня
|
|
|
55
|
Бункер надвесовой
|
-
|
РБ. 3-ий этаж
|
|
|
56
|
Весы автоматические порцион.
|
Д-20
|
РБ. 3-ий этаж
|
|
|
57
|
Бункер подвесовой
|
-
|
РБ. 3-ий этаж
|
|
|
53
|
Нория ленточная ковшовая
|
11-2x100/24
|
Рабочая башня
|
|
|
58,59
|
Конвейер скребковый
|
ТСЦ-100/25
|
5
|
|
45
|
Силос зерновой
|
-
|
Силосн. корп.
|
20
|
|
Технические устройства транспортировки солода ранспортиров ки
солода
|
|
|
50
|
Конвейер винтовой
|
УШ4 32-25
|
Под си л. этаж
|
2
|
|
51
|
Конвейер ленточный
|
ПК 5050-80
|
Подсил. этаж
|
1
|
|
54
|
Нория ленточная ковшовая
|
1-2x10/30
|
Рабочая башня
|
1
|
|
60
|
Бункер надвесовой
|
-
|
РБ. 4-ый этаж
|
1
|
|
72
|
Конвейер винтовой
|
УШ4 32-25
|
РБ. 5-ый этаж
|
1
|
|
64
|
Бункер для неполиров, солода
|
-
|
РБ. 4-ый этаж
|
2
|
|
Отделение сортировки солода ировки солода
|
|
|
65
|
Машина полировочная
|
СП-54
|
3-ий этаж
|
4
|
|
66
|
Нория ленточная ковшовая
|
1-10/12
|
Рабочая башня
|
|
|
67
|
Бункер для полиров, солода
|
-
|
3-ий этаж
|
|
|
55
|
Бункер надвесовой
|
-
|
РБ. 2-ой этаж
|
|
|
69
|
Весы автоматические порцион.
|
Д-20
|
РБ. 2-ой этаж
|
|
|
57
|
Бункер подвесовой
|
-
|
РБ. 2-ой этаж
|
|
|
71
|
Бункер наддробильный
|
-
|
РБ. 2-ой этаж
|
|
|
82
|
Дробилка солода вальцовая
|
6VM 125А
|
1
|
|
|
88
|
Смеситель дробленого солода
|
-
|
Варочное отд.
|
1
|
|
|
83
|
Нория ленточная ковшовая
|
1-10/6
|
Рабочая башня
|
1
|
|
|
86,87
|
Конвейер винтовой
|
УШ4 32-25
|
Варочное отд.
|
2
|
|
|
Отделение сортировки ячменя овки ячменя
|
|
|
77
|
Сепаратор для зерна
|
зсм
|
РБ. 5-ый этаж
|
|
|
|
76
|
Бункер для ячменя
|
-
|
РБ. 4-ый этаж
|
|
|
|
73
|
Весы автоматические порцион.
|
Д-20
|
РБ. 3-ий этаж
|
|
|
|
74
|
Бункер подвесовой
|
-
|
РБ. 3-ий этаж
|
|
|
|
78
|
Дробилка риса вальцовая
|
вмп
|
РБ. 3-ий этаж
|
|
|
|
79
|
Бункер дробленого ячменя
|
-
|
РБ. 2-ой этаж
|
|
|
|
81
|
Конвейер винтовой
|
УШ4 32-25
|
РБ. 2-ой этаж
|
|
|
|
63
|
Конвейер винтовой
|
УШ4 32-25
|
РБ. 4-ый этаж
|
|
|
|
|
|
|
|
|
|
|
Обеспыливание
технологического оборудования элеватора ОАО «Булгарпиво» осуществляется
аспирационными установками АС1 - АС6. Установки состоят из центробежных
вентиляторов, циклонов-пылеотделителей и воздуховодов аспирации. Назначение
каждой установки указано в таблице 2.
|
Сеть
|
Аспирируемое оборудование
|
|
1
|
2
|
|
АС-1
|
Сепаратор для зерна (поз. 77); нория (поз. 53); конвейер
винтовой (поз. 72).
|
|
АС-2
|
Нория (поз. 66); машина солодополировочная (поз. 65) - 4 шт.
|
|
АС-3
|
Нория (поз. 52).
|
|
АС-4
|
Нория (поз. 54); конвейер винтовой (поз. 86); конвейер винтовой
(поз. 87).
|
|
АС-5
|
Конвейер ленточный (поз. 44, 49) - 2 шт.
|
|
АС-6
|
Конвейер скребковый (поз. 58, 59) - 4 шт.
|
2. Расчет взрыворазрядных устройств
норий рабочей башни элеватора ОАО «Булгарпиво»
Расчет взрыворазрядных устройств
норий выполнен в соответствии с Инструкцией РД 14-568-03 с учетом величины
защищаемого объема, допустимого давления взрыва, статического давления вскрытия
мембраны, формы проходного сечения, длины отводящего трубопровода, количества и
величины углов поворота трубопровода (п. 1.8).
Взрыворазрядными
устройствами (фото 1,2,3) оснащены нории 11-2x100 (поз. 52, 53), 1-2x10 (поз.
54). Тип установленных взрыворазрядных устройств - разрывные предохранительные
мембраны с шиберным креплением, круглой формы проходного сечения.
Взрыворазрядные устройства расположены на головках норий (см. фото, рисунок В1)
и имеют горизонтальный выход за пределы помещения.
Геометрический
объем норий и размеры расположенных внутри них устройств рассчитаны по данным
ГОСТ 10190-70 (таблицы В1 и В2). В таблице ВЗ приведены данные расчетов
занимаемых объемов внутренних устройств и свободного объема норий.
В соответствии с
данными таблицы В1 на нории 1-10 (поз. 83) взрыворазрядное устройство
допускается не устанавливать, т.к. ее свободный объем V< 0,25 м3 (п. 1.5).
Для нории 1-10
(поз. 66) в случае расположения взрыворазрядного устройства на головке его
диаметр должен составлять D - 0,285 м (п. 3.5);

при расположении
взрыворазрядителя на норийных трубах - D = 0,2 м. Толщина разрывной
полиэтиленовой мембраны в обоих случаях расположения взрыворазрядителей - 5 =
0,05 мм.
Таблица В-1.
Основные параметры и размеры норий
|
Нория Параметр
|
11-2x100 (поз. 52)
|
11-2x100 (поз. 53)
|
1-2x10 (поз. 54)
|
1-10 (поз. 66)
|
1-10 (поз. 83)
|
|
1
|
2
|
|
4
|
5
|
6
|
|
Высота, м
|
24
|
24
|
30
|
12
|
6
|
|
Ширина сечения труб, м
|
0,746
|
0,746
|
0,394
|
0,197
|
0,197
|
|
Длина сечения труб, м
|
0,257
|
0,257
|
0,197
|
0,197
|
0,197
|
|
Толщина стенок, мм
|
1,6
|
1,6
|
1,2
|
1,2
|
1,2
|
|
Ширина ленты, мм
|
600
|
600
|
300
|
150
|
150
|
|
Шаг ковшей, мм
|
180
|
180
|
260
|
260
|
260
|
|
Число ковшей, шт.
|
532
|
532
|
230
|
46
|
23
|
|
Диаметр барабанов, мм
|
750
|
750
|
400
|
400
|
400
|
|
Длина барабанов, мм
|
640
|
640
|
340
|
170
|
|
Геометрический объем, м3
|
4,60
|
4,60
|
2,33
|
0,46
|
0,23
|
|
Таблица В2. Основные размеры ковшей норий
|
|
Ширина ленты Параметр
|
|
|
300
|
|
600
|
|
|
1
|
|
|
5
|
|
4
|
|
|
Ширина ковша, м
|
|
|
0,260
|
|
0,260
|
|
|
Вылет ковша, м
|
|
|
0,150
|
|
0,175
|
|
|
Высота ковша, м
|
|
|
0,160
|
|
0,185
|
|
|
Высота наружной кромки,
|
м
|
|
0,100
|
|
0,115
|
|
|
Радиус закругления дна, м
|
|
|
0,040
|
|
0,0450
|
|
|
Толщина стенок, мм
|
|
|
1,4
|
|
2,0
|
|
|
Объем ковшей, m3
|
|
|
0,056
|
|
0,219
|
|
|
Таблица ВЗ. Результаты расчета свободного объема норий расчета
свободного вободного объема норий
|
|
Объём
|
Нория
|
11-2x100 (поз. 52)
|
11-2x100 (поз. 53)
|
(
|
1-2x10 поз. 54)
|
|
I
|
|
2
|
|
3
|
|
4
|
|
Встроенных устройств, m3
|
|
0,5
|
|
0,5
|
|
0,1
|
|
Свободный, м3
|
|
4,1
|
|
4,1
|
|
2,23
|
|
|
|
|
|
|
|
|
|
|
Исходные данные для
выполнения поверочного расчета взрыворазрядных устройств, установленных на
нориях поз. 52, 53 и 54 представлены в таблице В4. Отводящие трубопроводы
состоят из входа с острой кромкой, плавного поворота, прямолинейного участка и выхода
с косым срезом (для норий поз. 52 и 53). Выход отводящего трубопровода
взрыворазрядителя нории поз. 54 выполнен в виде короткого патрубка.
|
Таблица В4. Исходные данные для расчета взрыворазрядителей
эазрядителеи
|
|
Нория Параметр
|
11-2x100 (поз. 52)
|
11-2x100 (поз. 53)
|
1-2x10 (поз. 54)
|
|
1
|
2
|
|
4
|
|
Свободный объем нории, м
|
4,1
|
4,1
|
2,23
|
|
Избыточное давление вскрытия мембраны, кгс/см2
|
од
|
0,1
|
|
Коэффициент вскрытия мембраны
|
0.4
|
0,4
|
0,4
|
|
Допустимое внутреннее давление, кгс/см
|
1,0
|
1,0
|
1,0
|
|
Диаметр отводящего трубопровода, м
|
0,6
|
0,6
|
0,15
|
|
Длина отводящего трубопровода, м
|
10
|
о
|
6
|
|
Коэффициент сопротивления входного участка отводящего
трубопровода
|
0,5
|
0,5
|
0,5
|
|
Коэффициент сопротивления прямого участка трубопровода
|
0,246
|
0,049
|
0,835
|
|
Коэффициент сопротивления поворотного участка
|
0,25
|
0,25
|
0,412
|
|
Коэффициент сопротивления выходного участка
|
1
|
1
|
1
|
|
Суммарный коэффициент сопротивления
|
1,996
|
1,799
|
2,747
|
|
Коэффициент длины трубопровода
|
10,5
|
6
|
10,5
|
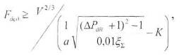
Площадь проходного
сечения FB3p круглой формы взрыворазрядного устройства определяется по
формуле:
где: V - свободный объем защищаемой нории;
а - коэффициент,
характеризующий давление вскрытия мембраны
взрыворазрядного
устройства;
ΔРдоп - допустимое внутреннее избыточное давление;
ξ Σ = ξ вх + ξ l + ξа + ξвых
суммарный
коэффициент гидравлического
сопротивления
отводящего трубопровода;
ξвх - коэффициент гидравлического сопротивления входного участка;
ξĹ - коэффициент гидравлического сопротивления прямолинейного
участка;
ξа- коэффициент гидравлического сопротивления поворотного участка;
ξвых - коэффициент гидравлического сопротивления выходного участка;
К - коэффициент,
характеризующий длину отводящих трубопроводов.
Результаты расчетов установленных на
нориях рабочей башни элеватора ОАО «Булгарпиво» взрыворазрядных устройств
представлены в таблице В5.
|
Таблица В-5. Результаты расчета взрыворазрядных ультаты расчета
взрыворазрядных
|
устройств норий
|
|
Нория Параметр
|
11-2x100 (поз. 52)
|
11-2x100 (поз. 53)
|
1-2x10 (поз. 54)
|
|
1
|
2
|
3
|
4
|
|
Площадь сечения взрыворазрядного устройства, м2
|
0,127
|
0,097
|
0,109
|
|
Диаметр мембраны взрыворазрядного устройства, м
|
0,352
|
0,372
|
Таким образом,
диаметр проходных сечений взрыворазрядителей норий II-2x100(поз.52 и 53)
достаточен и удовлетворяет требованиям промышленной безопасности.
Площадь и диаметр
проходного сечения взрыворазрядного устройства нории 1-2x10 (поз.54) занижен.
4. Соответствие норий обязательным
требованиям нормативно-правовых документов по промышленной безопасности
Производственное оборудование (ТУ)
элеватора ОАО «Булгарпиво» соответствует общим требованиям взрывобезопасности
Правил ПБ 14-586-03 (раздел 5.2) в части:
- Нории 11-2x100
(поз. 52, 53), 1-2x10 (поз. 54) защищены от разрушения путем установки
взрыворазрядных устройств (п.п. 5.2.1, 5.2.2). Нория 1-10 (поз. 83) не требует
установки взрыворазрядителя, т.к. имеет свободный объем V = 0,185 м3 < 0,25 м3
(п. 1.5 РД 14-568-03). Поверочный расчет установленных взрыворазрядных
устройств, выполнен в соответствии с Инструкцией РД 14-568-03;
- Система локализации
взрывов выполнена разделением общей технологической линии на более короткие
участки, локализованные огнепреграждающими (пламяотсекающими) устройствами,
роль которых выполняют винтовые конвейеры и порционные весы (п.п. 5.2.6 -г
5.2.8).
Нории (поз. 52, 53,
54, 66, 83) оснащены датчиками подпора (п. 5.2.11);
Нории (поз. 52, 53)
оснащены автоматически действующими тормозными устройствами храпового типа,
предотвращающими обратный ход ленты при внезапном останове (п. 5.2.12);
. Отклонения от общих требований
взрывобезопасности. Предложения по выполнению требований правил в части
взрыворазрядителей
В процессе проведения анализа
выполнения требований ПБ-14-586-03 в части установки взрыворазрядителей на ТУ
элеватора ОАО «Булгарпиво» выявлены следующие отклонения от общих требований
взрывобезопасности производственного оборудования:
• Отсутствует
взрыворазрядное устройство на нории 1-10 (поз. 66)
(п. 5.2.2);
·
Площадь и диаметр проходного сечения взрыворазрядителя нории I-2x10 (поз. 54) не соответствует
требованиям РД 14-568-03 (занижен);
·
Отсутствуют огнепреграждающие (пламяотсекающие) устройства на
трубопроводе с головки нории (поз. 53) на цепной конвейер (поз. 59), через
который ведется загрузка силосов (п. 5.2.10(6)); на трубопроводах с головок
норий (поз. 52, 54) на надвесовые бункера (поз. 55, 60) (п. 5.2.10 (в));
·
На нориях (поз. 52, 53, 54, 66, 83) отсутствуют реле контроля
скорости и датчики сбегания ленты (п. 5.2.11);
- На нориях (поз.
54, 66, 83) отсутствуют автоматически действующие устройства, предотвращающие
обратный ход ленты при внезапном останове (п. 5.2.12);
Рекомендуется:
- установить второй
взрыворазрядитель (нории № 54) с диаметром мембраны не менее 200мм. Схемы
возможного расположения взрыворазрядных устройств представлены на рисунке В2;
- установить огнепреграждающие
(пламеотсекающие) устройства на трубопроводах с головки нории № 53 на
скребковый конвейер № 59, с головок норий №№ 52,54 в надвесовые бункера №№
55,60;
оснастить нории №№ 54,66,83
датчиками контроля скорости и сбегания ленты;
оснастить нории №№ 54, 66, 83
автоматически действующими тормозными устройствами.
Вывод:
Обследованные технические устройства
(нории) могут продолжать эксплуатироваться на установленных параметрах.
Для повышения уровня промышленной
безопасности ТУ необходимо ликвидировать отклонения от общих требований
безопасности, перечисленные в п.5.1 настоящей работы.
До оснащения транспортных устройств
(норий) необходимыми средствами взрывопредупреждения и взрывозащиты требуется
обеспечить регулярность проверок натяжения и хода норийной ленты, исключающие
возможность ее пробуксовки на барабане, задевание ленты и ковшей за норийные
трубы, кожухи головок и башмаков.
Список используемой литературы
1. Правила промышленной безопасности для взрывопожароопасных
производственных объектов хранения, переработки и использования растительного
сырья ПБ-14-586-03
. Инструкция по проектированию, установке и эксплуатации
взрыворазрядных устройств на оборудовании ОПО. Пост. Госгортехнадзора России от
05.06.03 № 53
. Гост 10190-70» Нории (элеваторы) ленточные ковшовые для зерна и
продуктов его переработки».
4. Гост 18501-73
«Оборудование подъемно-транспортное. Конвейеры, тали, погрузчики и штабелеры.
Термины и определения».
. Правила по охране труда при производстве спирта, водки, коньяка,
вин, пива и соков Приказ Минсельхоза РФ № 892 от 20.06.03г.