Багатомірна класифікація нового об’єкта методами дискримінаційного аналізу
Багатомірна класифікація
нового об’єкта
методами дискримінаційного
аналізу
ЗМІСТ
дискримінаційний
класифікація стратифікація множина
Вступ
Розділ І. Методико-теоретичні аспекти класифікації
.1 Поняття класифікації та групування
1.2 Принципи формування груп
.3 Проста і перехресна класифікація і
стратифікація
Розділ ІІ. Багатомірна класифікація нового об’єкта
.1 Специфікація показників якості й типологія шкал
вимірювання
2.2 Показник потужності класифікованої множини
.3 Показник потужності стратифікованої множини
.4 Показник потужності класифікованої і
стратифікованої множини
Розділ ІІІ. Визначення показника потужності
класифікованої і стратифікованої множини
Висновки
Список використаної літератури
ВСТУП
Поділ сукупностей на групи, однорідні в тому чи іншому
розумінні, пов'язаний з такими діями, як систематизація, типологія,
класифікація, групування. Традиційно зазначений поділ виконують за такою
схемою: із множини ознак, які описують явище, добирають розмежувальні, а потім
сукупність поділяють на групи та підгрупи відповідно до значень цих ознак.
За визначенням класифікація - це поділ певної сукупності на
класи. Поняттю класифікації у соціологічних дослідженнях відповідають поняття
генеральної і вибіркової сукупностей елементів будь-якої природи, зокрема
соціальні сукупності, елементами яких є люди. Згідно з наведеним визначенням
класифікацію описують три показники - номінал, кількість і ступінь.
Особливу актуальність має вивчення багатомірної класифікації
в сучасних умовах, коли постійно відбуваються різноманітні соціальні процеси,
що являють собою важливу функцію діяльності політиків, соціологів. Вивчення
механізму класифікації показників, зв'язків, вплив сучасного суспільства на
соціальний стан людей, формування соціальної свідомості та інших якісних
показників має першорядне значення для прогнозування соціальної кон'юнктури та
рішення багатьох питань.
Зважаючи на актуальність даної проблеми, ми обрали наступну
тему курсового дослідження: «Багатомірна класифікація нового об’єкта методами
дискримінаційного аналізу».
Об’єкт дослідження - методи дискримінаційного аналізу.
Предмет дослідження - багатомірна класифікація нового
об’єкта.
Мета дослідження - розглянути поняття класифікації,
групування та стратифікації, а також дослідити класифікацію об’єктів за
допомогою методів дискримінаційного аналізу.
Згідно з метою і предметом дослідження було визначено такі
завдання:
1) розглянути теоретико-методичні аспекти класифікації;
2) охарактеризувати просту і перехресну класифікацію і
стратифікацію;
) дослідити багатомірну класифікацію нового об’єкта;
) визначити показник потужності класифікованої і
стратифікованої множини.
Методи дослідження. Для розв’язування поставлених завдань
використано такі методи наукового дослідження: теоретичний аналіз наукових літературних
джерел, синтез, узагальнення, порівняння, конкретизація.
Структура дослідження. Курсова робота складається із вступу,
трьох розділів, висновків, списку використаної літератури. Список використаних
джерел включає 14 найменувань. Робота викладена на 33 сторінках друкованого
тексту.
РОЗДІЛ І. МЕТОДИКО-ТЕОРЕТИЧНІ АСПЕКТИ КЛАСИФІКАЦІЇ
.1 Поняття класифікації та групування
Головний принцип будь-якого поділу ґрунтується на двох
положеннях:
1) в один клас, групу об'єднуються елементи певною мірою подібні
між собою;
2) ступінь подібності між елементами, які належать до одного
класу, значно вищий, ніж між елементами, що належать до різних класів.
У кожному конкретному дослідженні вирішуються три питання:
1) що взяти за основу групування;
2) скільки груп, позицій необхідно виокремити;
3) як розмежувати групи [3, 31].
Основою групування може бути будь-яка атрибутивна чи
кількісна ознака, що має градації. Таку ознаку називають групувальною. Залежно
від складності масового явища (процесу) та мети дослідження групувальних ознак
може бути одна, дві й більше.
У статистичній практиці часто вдаються до розбиття
сукупностей за атрибутивними ознаками - класифікації та номенклатури, їх
розробляють міжнародні й національні статистичні органи та рекомендують як
статистичний стандарт. Здебільшого йдеться про багатоступеневу класифікацію з
докладною номенклатурою груп і підгруп, із чітко визначеними вимогами та
умовами віднесення елементів сукупності до тієї чи іншої групи.
У міжнародній статистиці відома галузева класифікація видів
економічної діяльності, стандартна класифікація занять, стандартна торговельна
класифікація. Різновидом класифікації є товарні номенклатури, наприклад
Брюссельська митна номенклатура.
Кожній класифікаційній позиції надається код (шифр), який замінює
її назву і є постійним засобом ідентифікації під час передавання інформації по
каналах зв'язку, комп'ютерної обробки тощо. Так, згідно з міжнародним
стандартом галузевої класифікації, розробленої статистичною комісією ООН, код
виду економічної діяльності складається з чотирьох цифр. Наприклад, 15 5 2
означає:
15 - код галузі обробної промисловості «Виробництво продуктів
харчування та напоїв»;
5 - виробництво напоїв;
2 - виробництво вин.
Кожна класифікація є сталою, забезпечуючи порівнянність даних
у просторі та часі.
Поряд з класифікацією для висвітлення певних аспектів
конкретного дослідження використовують групування, на яке покладаються такі
аналітичні функції [3,
32]:
) вивчення структури та структурних зрушень;
2) визначення типів соціально-економічних явищ, виокремлення
однорідних груп і підгруп;
3) виявлення взаємозв'язків між ознаками.
Згідно з цими функціями розрізняють три види групувань:
структурне, типологічне, аналітичне.
Структурне групування характеризує склад однорідної
сукупності за певними ознаками. Наприклад, склад населення регіону за місцем
проживання (табл. 1). За даними таблиці з 5,3 млн населення регіону в містах
проживає 3,5 або 2/3 загальної кількості. На одного сільського жителя
припадають двоє міських. Кожна група характеризується також кількістю та
часткою населення працездатного віку, і це поглиблює аналіз структури.
Таблиця 1
Поділ населення регіону, млн. осіб, за місцем проживання
|
Місце проживання
|
Усе населення
|
У тому числі у
працездатному віці
|
|
Міста
|
3,5
|
2,1
|
|
Сільська місцевість
|
1,8
|
0,9
|
|
Разом
|
5,3
|
3,0
|
Різновидом структурних групувань є ряди розподілу.
Типологічне групування - це поділ якісно неоднорідної
сукупності на класи, соціально-економічні типи, однорідні групи. Основне
завдання такого групування - ідентифікація типів. Вибір групувальної ознаки та
кількісних міжгрупових меж ґрунтується на всебічному теоретичному аналізі суті
явища, його характерних рис та особливостей формування в конкретних умовах часу
та простору.
Дані табл. 2 характеризують процес зубожіння населення
Болгарії на початку 90-х років.
Таблиця 2
Динаміка зубожіння населення Болгарії, %, по роках
|
Ступінь зубожіння
|
1990
|
1994
|
|
Бідність
|
13,8
|
62,3
|
|
Злиденність
|
2,0
|
32,7
|
Якщо 1990 року за межею бідності перебувало 13,8%, то 1994
року - 62,3%, а у злиденних умовах - 32,7%.
Як бачимо, структурні й типологічні групування описові; вони
характеризують структуру сукупності, виокремлюють характерні риси та
особливості, але різняться за рівнем якісних відмінностей між групами.
Скориставшись групуванням, можна також виявити наявність та
напрям зв'язку між ознаками, з яких одна розглядається як результат, інша - як
фактор, що впливає на результат. Висновок про наявність зв'язку можна зробити
на підставі комбінаційного поділу за цими ознаками згідно з характером
розміщення частот. Так, за даними табл. 3 намір змінити професію найближчим
часом мають переважно незадоволені умовами праці (15 із 22), і, навпаки, серед
задоволених більшість (26 із 35) зовсім не планує змінювати свій професійний
статус [3, 34].
Таблиця 3
Комбінаційний поділ робітників
|
Ступінь
задоволеності умовами праці
|
Чи маєте намір
змінити професію?
|
|
Так, найближчим
часом
|
Так, у перспективі
|
Ні
|
Разом
|
|
Задоволений
|
-
|
20
|
26
|
46
|
|
Не визначився
|
7
|
18
|
9
|
34
|
|
Незадоволений
|
15
|
5
|
-
|
20
|
|
Разом
|
22
|
43
|
35
|
100
|
Якщо результативна ознака кількісна, для кожної групи за
факторною ознакою можна визначити середнє значення результативної ознаки. За
наявності зв'язку між ознаками групові середні результативної ознаки
систематично змінюються від групи до групи (збільшуються чи зменшуються). Таке
групування називається аналітичним. Очевидно, аналітичне групування докладніше
й виразніше, ніж комбінаційний поділ, описує зв'язок між ознаками. Приклад
аналітичного групування наведено в табл. 4. Основа групування - термін збирання
врожаю озимої пшениці після настання повної стиглості зерна (факторна ознака).
Кожна група характеризується розміром посівної площі, з якої зібрано врожай, та
середньою врожайністю (результативна ознака). Таблиця показує: чим більший
термін збирання врожаю, тим менша врожайність і більші втрати зерна. Різниця
врожайності між першою і третьою групами становить 20 ц/га.
Таблиця 4.
Залежність урожайності озимої пшениці від терміну збирання
|
Термін збирання
|
Збиральна посівна
площа, га
|
Урожайність, ц/га
|
|
Своєчасно
|
330
|
42
|
|
3 незначним
запізненням
|
550
|
36
|
|
Зі значним
запізненням
|
120
|
22
|
|
У цілому по
сукупності
|
1000
|
35
|
Зауважимо, що поділ групувань на три види певною мірою
відносний. Адже часто групування універсальні: одночасно виділяються типи,
визначається склад сукупності й виявляється взаємозв'язок між ознаками.
.2 Принципи формування груп
Якщо групувальна ознака неперервна, постає питання про
кількість груп та межі кожної з них. Кількість груп залежить від ступеня
варіації групувальної ознаки та обсягу сукупності. Так, для дискретної ознаки,
діапазон варіації якої обмежений (кількість дітей у сім'ї, тарифний розряд
тощо), груп, як правило, стільки, скільки варіант ознаки. У разі значної
варіації дискретної ознаки (кількість працюючих на підприємстві, кількість
укладених на біржі угод), як і неперервної (стаж роботи працівника,
собівартість продукції), діапазон варіації розбивається на m iнтервалів.
Орієнтовно оптимальна кількість груп визначається за
стандартними процедурами, зокрема за формулою Стерджеса [3, 35]:
де n - обсяг сукупності; m - число інтервалів.
Інтервали являють собою каркас групувань. На практиці їх
утворюють за трьома формальними принципами: рівності інтервалів; кратності
інтервалів, рівності частот.
У структурних і аналітичних групуваннях найчастіше
застосовують принцип рівності інтервалів. Ширина кожного інтервалу залежить від
діапазону варіації ознаки х та обґрунтованого числа груп (інтервалів) m:

Якщо діапазон варіації ознаки надто широкий і поділ значень
нерівномірний, беруть нерівні інтервали, зокрема сформовані за принципом
кратності, коли ширина кожного наступного інтервалу в k раз більша (менша), ніж
попереднього.
Припустимо, що прибутковість активів комерційних банків
коливається від 1 до 42%, а прибутковість капіталу - від 11 до 165%. За кожною
ознакою утворимо чотири групи (m = 4), скориставшись за прибутковістю активів принципом рівних
інтервалів, тобто h = (42 - 1) : 4 = 10, а за прибутковістю капіталу -
принципом кратності інтервалів (k = 2). Варіанти розбиття на групи ілюструє табл. 5 [5, 36].
Перший та останній інтервали (або один із них) відкриті,
тобто мають лише одну межу (верхню чи нижню). За допомогою відкритих ознаки, що
варіює, зводяться в одну групу, завдяки чому групування стає компактним.
Межі інтервалів визначаються по-різному. У першому варіанті
групування верхня межа j-го інтервалу збігається з нижньою межею (j + 1)-го інтервалу. Правило віднесення
межових значень ознаки до відповідного Інтервалу задають слова, що стосуються
відкритих інтервалів. Зокрема, слово «до» в першому інтервалі означає, що нижню
межу слід уважати належною, а верхню - не належною інтервалу.
У другому варіанті групування верхня межа j-го інтервалу і нижня межа (j + 1)-го інтервалу різняться між
собою. У цьому разі обидві межі вважаються такими, що належать інтервалу.
Інтервали типологічного групування формуються не за
математичними принципами, а за соціально-економічним змістом. Межа інтервалу
розглядається як умовна межа переходу кількості в нову якість. Число груп
залежить від кількості існуючих типів. Наприклад, групуючи чоловіків за ознакою
працездатності, застосовують вікові групи, років [5, 36]:
-15 - особи допрацездатного віку;
16-59 - працездатного;
60 i більше - старші за працездатний вік.
Принцип рівних частот використовують нечасто і переважно в
аналітичних групуваннях, щоб уникнути зважування групових середніх
(дисперсійний аналіз результатів експерименту).
Групування за однією ознакою називається простим, за двома і
більше ознаками - комбінаційним. У комбінаційних групуваннях ознаки ієрархічно
впорядковуються за змістом чи за вагомістю.
Групи, утворені за першою ознакою, поділяються на підгрупи за
другою, а ті, у свою чергу, можуть поділятися на підгрупи за третьою ознакою і
т. д. На кожному етапі поділу використовується лише одна ознака, тобто
відбувається послідовне описування груп. Кількість підгруп дорівнює добутку
числа групувальних ознак на число градацій за кожною з них. У разі трьох і
більше групувальних ознак сукупність стрімко подрібнюється, групи виявляються
нечисленними, а характеристики груп - ненадійними.
Альтернативою комбінаційному групуванню є багатовимірне, коли
групи утворюються за певною множиною ознак одночасно. Мірою подібності
елементів є різні критерії і, як наслідок, - різні методи багатовимірної о
групування. Найпростішим серед них є групування за інтегральним показником,
наприклад за рейтинговою оцінкою. У такому разі багатовимірне групування
зводиться до простого.
Іноді доводиться перегруповувати дані, передусім щоб
забезпечити порівнянність структур двох сукупностей за однією і тією самою
ознакою. Результат перегрупування називають вторинним групуванням.
Перегрупування виконують або об'єднанням, або розбиттям інтервалів первинного
групування.
Якщо межі інтервалів первинного і вторинного групувань
збігаються, частоти (частки) об'єднувальних інтервалів просто підсумовуються.
Коли виконується розбиття інтервалу первинного групування, частоти поділяються
між новоутвореними групами пропорційно до співвідношення частин довжини
початкового інтервалу. Припускається, що всередині інтервалу поділ рівномірний.
Техніку перегрупування даних розглянемо на прикладі поділу
працюючих за розміром середньомісячної заробітної плати у двох галузях
промисловості (табл. 6) [11, 67].
Таблиця 6
Поділ працюючих за рівнем середньомісячної заробітної плати
|
Галузь А
|
Галузь В
|
|
Заробітна плата,
грн.
|
Частка працюючих, %
|
Заробітна плата,
грн.
|
Частка працюючих, %
|
|
До 160 160-180
180-200 200-220 220-240 240 і більше
|
15 20
26 23 9 7
|
До 160 160-190
190-220 220-250 250-280 280 і більше
|
12 30 21 18 13 6
|
|
Разом
|
100
|
Разом
|
100
|
Результати первинного групування безпосередньо порівняти не
можна, оскільки інтервали групування різні: у галузі А ширина інтервалу 20, у
галузі В - 30 грн. Перегрупуємо дані, утворивши п'ять груп з інтервалом h = 40 грн. Очевидно, інтервали поділу
в галузі А потрібно об'єднати, а в галузі В - розбити. Результати вторинного
групування ілюструє табл. 7 [11, 69].
Таблиця 7.
Вторинне групування працюючих за рівнем середньомісячної
заробітної плати
|
Заробітна плата,
грн.
|
Частка працюючих, %
|
|
|
Галузь А
|
Галузь В
|
До 160 160-200 200-240 240-280
280 і більше 15 20 + 26 = 46 23 + 9
= 32 7 - 12 30 +
21
= 37
21 +
18
= 26
18 + 13= 19
Порівнявши частки вторинного групування, побачимо, що в
галузі В сукупність працюючих за рівнем заробітної плати більш диференційована.
Перегрупуванням даних можна перейти від структурного групування до
типологічного.
.3 Проста і перехресна класифікація і стратифікація
Кожну множину-якість можна розглядати як компонент у
структурі родовидового дерева. Така множина називається класом. Якщо елементи
множини мають спільний родовий номінал і різні видові номінали, то цю множину
можна поділити на класи за видовими ознаками або номіналами, і такий поділ
називається класифікацією. Перелік номіналів видових якостей зі спільним
родовим номіналом утворює номінальну, або класифікаційну, шкалу, згідно з якою
родова множина може бути класифікована на видові множини. Так, випускники вузу
становлять клас за родовою ознакою "випускники", який ділиться на два
класи за видовими ознаками: "бакалавр" і "магістр" [13, 78].
Така класифікація є простою і являє собою одне родовидове
розгалуження, вилучене з родовидового дерева. В іншому випадку це
розгалуження-класифікація є розрізом багатомірної перехресної класифікації.
Елементи певної множини можна характеризувати кількома родовими номіналами, за
кожним з яких здійснюється певна видова класифікація. Отже, утворюється
багатомірна перехресна класифікація. Наприклад, для обгрунтування
репрезентативності вибірки в соціологічних дослідженнях використовують
перехресні класифікації за соціально-демографічними показниками респондентів,
скажімо, за статтю - чоловіки і жінки, за професією - лікарі, інженери, за
національністю - українці, молдавани. Окремий клас респондентів у такій
перехресній класифікації об'єднує, наприклад, жінок-інженерів-українок.
Кожну множину-якість можна розглядати як модифікацію цієї
якості в ранжованому ряді інших модифікацій, які різняться ступенями
інтенсивності якості. Така множина називається стратою. Отже, множину, яка має
різну інтенсивність (густину), можна поділити на модифікації-страти за
ступенями інтенсивності, і такий поділ називається стратифікацією. Ранжування
страт за ступенями інтенсивності утворює ординальну, або стратифікаційну,
шкалу, згідно з якою нерівноінтенсивну множину можна стратифікувати.
Така стратифікація так само є простою і має вигляд розрізу
багатомірної перехресної стратифікації. У загальному випадку елементи деякої
множини можуть характеризуватись певними значеннями ступенів інтенсивності за
кількома інтенсивними властивостями, за кожною з яких здійснюється своя
стратифікація. Отже, утворюється багатомірна перехресна стратифікація.
Наприклад, знову ж таки для обгрунтування репрезента-тивності вибірки в
соціологічних дослідженнях використовують перехресні стратифікації за
соціально-демографічними показниками респондентів, скажімо, за освітою -
початкова, середня, вища; за кваліфікацією робітників за спеціальностями
(токарі, столяри, слюсарі тощо) - І, II, НІ, IV, V, VI тарифний розряд. Окрема страта
респондентів у такій перехресній множині об'єднує, наприклад, столярів V розряду із середньою освітою [13, 79].
Узагальнюючи викладене, зазначимо, що кожну неоднорідну й
нерівноінтенсивну багатомірну перехресну множину можна класифікувати і
стратифікувати на однорідні й рівноінтенсивні підмножини, кожна з яких (клас і
страта одночасно) характеризується комплексом номіналів і ступенів
інтенсивності.
РОЗДІЛ ІІ. БАГАТОМІРНА КЛАСИФІКАЦІЯ НОВОГО ОБ’ЄКТА
2.1 Аналіз
об’єкта
Справедливість наукових гіпотез щодо вивчення тих чи інших
явищ підтверджується емпіричними та експериментальними даними. Постає питання
про порівняльний аналіз результатів досліджень одного й того самого явища,
здійснених у різний час різними дослідниками за різними методиками. Для цього
потрібно, щоб вибрані для дослідів речі (у якісному розумінні) описувались
певним комплексом властивостей, які вимірювалися б однаковими мірами. Саме так
здійснюють експеримент у природничих науках: скажімо, фізичні тіла описують
певним комплексом властивостей, які вимірюють еталонними мірами.
Але такі порівняння можна здійснити тоді, коли
множини-якості, які лежать в основі екстенсивних й інтенсивних властивостей,
приведені до граничних родових (первинних) дискретних або неперервних,
матеріальних або ідеальних субстанцій. Енергія, кількість руху, кількість
електричних зарядів, ентропія, інформація, вартість - приклади таких граничних
субстанцій.
У дослідженнях фізичних явищ, що вивчені найглибше, так само
існують проблеми стандартизації мір певних властивостей і порівняння
результатів вимірювання. Але особливо гостро постає проблема порівняльного
аналізу досліджень у нефізичній сфері, зокрема в соціології й соціальній
психології. Ці проблеми пов'язані з визначенням насамперед соціальних якостей
або якостей інших явищ гуманітарної природи та соціальних "речей".
Зазначимо, що соціальні якості мисляться як родові граничні матеріальні чи
ідеальні субстанції, які "містяться" у соціальних "речах".
Насправді ж дослідник має справу з видовими соціальними утвореннями (що
різняться номіналами) і модифікаціями цих якостей (що різняться ступенями
інтенсивності). Якість, як відомо, суть множина тотожних елементів, а реально
елементи множин різняться і видовими ознаками (номіналами), і ступенями
інтенсивності (модифікаціями). Отже, на основі таких неоднорідних і
нерівноінтенсивних множин не можуть бути утворені відповідні екстенсивні та
інтенсивні властивості й неможливо порівняти результати досліджень за
ідентичними показниками. Тому завдання полягає в тому, щоб привести цю множину
елементів до множини тотожних елементів, що уможливило б введення еталонної
міри і здійснення процедури визначення номіналів та вимірювання екстенсивних й
інтенсивних величин. Ця процедура здійснюється на основі третьої концепції
кваліметрії.
Ідея третьої концепції полягає у визначенні показника
потужності класифікованої і стратифікованої реальної множини нетотожних
елементів, що різняться номіналами й ступенями інтенсивності якостей, на основі
приведення класів і страт до однорідної й рівноінтенсивної множини умовних
тотожних одиниць - очок, балів. Зауважимо, що для подальшого виконання
аналітичних операцій при обчисленні показника потужності N класифікованої й
стратифікованої множини її елементи позначаються літерою а з двома індексами,
один з яких означає приналежність до і-го класу, другий - до j-ї страти: aij.
Визначимо показники потужності класифікованої та
стратифікованої множин кожної окремо і разом.
.2 Показник потужності класифікованої множини
За визначенням множина в математиці характеризується
показником потужності. Потужність є екстенсивною величиною, що вимірюється
підрахунком кількості елементів множини. При цьому елементи множини можуть бути
однаковими, і тоді величина потужності множини визначається їх кількістю. Так,
чисельність будь-якої бригади робітників суть потужність цієї множини.
У складнішому випадку робітники можуть поділятись за видовою
ознакою - за спеціальністю: токарі, слюсарі тощо, але спільною у них є
характеристична (родова) ознака: робітник. За цією спільною ознакою різні за
спеціальністю робітники розглядаються як тотожні, і показник потужності множини
визначається їх кількістю.
У загальному випадку, як зазначалося, для позначення
елементів класифікованої та стратифікованої множини використовують два індекси,
але на разі йдеться лише про класифікацію множини за першим індексом, і
оскільки другий індекс не використовується, ставитимемо замість нього точку: aj.
Неоднорідну, але рівноінтенсивну множину можна класифікувати, тобто
поділити на k класів, що різняться видовими ознаками
елементів із загальною родовою ознакою в родовидовій структурі "по
горизонталі" (тобто розподілити за класифікаційною шкалою). У загальному
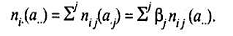
випадку визначення показника потужності Ni.
множини різнорідних, або точніше, різновидових елементів ai. потребує попередньої класифікації множини на k
класів. У цьому разі потрібно привести різновидові елементи ai/ до спільних елементів а
ai. за допомогою коефіцієнтів
,
так щоб ai. =
а i. Але якщо йдеться про рівноінтенсивну множину,
то її елементи розміщені на одній еквіпотенціальній поверхні, різняться лише
видовими номіналами і їх можна привести до однакових елементів за родовим
номіналом. А це означає, що перевідні коефіцієнти між елементами різних класів
рівні між собою і дорівнюють одиниці
,
а видові номінали замінюються спільним родовим номіналом: ah = ... = ак= а. Тоді величина потужності класифікованої множини N (
) дорівнює сумі потужностей k класів
, тобто є рівновеликою потужності однорідної множини
[13, 81]:
(1)
Нехай бригада включає робітників різних спеціальностей: токарів,
слюсарів, фрезерувальників, стругальників, тобто маємо множину, яка складається
з чотирьох класів. Нехай
- кількість робітників а
i-го класу: 2 токарі, 4 слюсарі, 3
фрезерувальники, 7 стругальників, і при цьому вони співвідносяться так: 1 токар
= 1 слюсар = 1 фрезерувальник = 1 стругальник
1
робітник. Оскільки не йдеться про ранжування робітників за кваліфікацією, то
потужність кожного класу визначається кількістю робітників відповідного
номіналу, тобто кількістю токарів, слюсарів, фрезерувальників, стругальників, а
величина потужності бригади дорівнює сумі величин потужностей названих класів
[13, 82]:
Отже, при класифікації різні за видовими номіналами, але однакові за
ступенями інтенсивності елементи ототожнюються, внаслідок чого величина
потужності класифікованої множини дорівнює величині потужності рівновеликої
множини однакових за родовою ознакою елементів.
Розглянемо ще один випадок, коли потужність обчислюється кількістю не
реальних, а умовних елементів множини. Нехай у прикладі з бригадою робітників
останні ранжовані за кваліфікацією за шістьма розрядами, відповідно до яких
множина стратифікується на шість страт. Цінність кожного робітника визначається
кваліфікаційним розрядом і, нехай, пропорційною заробітною платнею: VI розряд - у шість разів, V розряд - у п'ять разів і т. д. оплачується
вище І розряду. Тоді всю множину робітників різної кваліфікації можна звести до
більшої еквівалентної множини робітників найнижчого першого розряду, кількість
яких визначається потужністю цієї множини.
Нерівноінтенсивну, але однорідну множину можна стратифікува-ти, тобто
поділити на модифікації різних за ступенями інтенсивності одиниць страт у
родовидовій структурі "по вертикалі" (тобто розподілити на
стратифікаційній шкалі). Потужність такої множини неможливо визначити через
відмінні за ступенями якості одиничні міри для кожної наступної страти. У цьому
зв'язку якісно стратифікованій множині треба знайти адекватну якісно
рівноінтенсивну й визначити потужність останньої за допомогою деякої приведеної
(тобто з урахуванням ступеня якості) одиниці.
Зауважимо щодо позначень елементів стратифікованої множини: з двох
індексів для позначення належності кожного елемента i-му
класу і j-й страті перший індекс не використовують і тому
замість нього ставитимемо точку: а
.
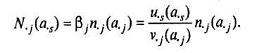
Потужність N.j(a.s) j-ї страти виражає
кількість умовних елементів a.s
а s-ї, наприклад, найнижчої (s = 1), І страти, у які були переведені n.j реальних елементів a. j за допомогою
коефіцієнта
. Цей коефіцієнт виражає ступінь якості елементів j-ї страти у формі пропорції екстенсивних величин
). Звідси
(a
)
= 
(
)., що означає, що кількість
елементів
j-ї страти еквівалентна кількості
елементів
a
. Отже, потужність N.j(a.s) j-ї страти, яка налічує
(
) елементів
,
дорівнює добутку інтенсивної величини
на
цю екстенсивну величину
(
) [13, 121]:
(2)
Якщо стратифікована множина складається з кількох "сортів"
цих одиниць (j = 1, ..., s, ..., l), то
сумарна потужність виразиться сумою потужностей l страт:
(3)
оскільки a
= a.
В економіці цим парам величин відповідає сорт у формі ціни
і
кількість товарів
(
) кожного сорту цього асортименту для вираження
вартості сукупного продукту. Подібно заробітну платню робітників можна
розглядати як ціну за працю відповідної кваліфікації. В економіці загальна
потужність господарства може підвищуватись за рахунок першого чи другого
співмножника у формулах, наведених вище, що дістало назву відповідно
інтенсивного й екстенсивного способів розвитку народного господарства. У
соціології цим парам величин відповідають, наприклад, інтенсивність певної
соціальної настанови й кількість осіб з різним ступенем її вираженості для
визначення потужності колективної настанови (потужності громадської думки).
У статистичному розподілі диференціальна функція розподілу ймовірностей
випадкової величини свідчить про стратифікацію якісно нерівноінтенсивної
множини за відповідною інтенсивною властивістю (за інтенсивністю соціальної
настанови, статусом, авторитетом, кваліфікацією тощо), а інтегральна функція
розподілу є способом приведення такої стратифікованої множини до якісно рівноінтенсивної
множини умовних одиниць. При цьому площа під кривою графіка густини
статистичного розподілу сукупності осіб з різним статусом дорівнює їх
кількості, а площа під інтегральною кривою розподілу дорівнює кількості умовних
індивідів з найнижчим статусом.
Так, у відомому прикладі про зв'язок інтенсивного показника влади на
військовій службі з екстенсивним показником чисельності підлеглих [5, 222]
припускається, що одиницею влади є командування одним солдатом і що єфрейтор
(капрал) становить 20 одиниць влади, оскільки командує 20 солдатами. Сержант,
якому підпорядковані два єфрейтори, кожний з яких командує двадцятьма
солдатами, володітиме 80 одиницями влади (40 солдатів по одній одиниці кожний і
2 капрали по 20 одиниць кожний). Отже, шкальні бали цих звань чи рангів можна
подати так:
Необхідно визначити потужність ієрархізованої множини складу роти під
командуванням старшини, якому підпорядковані 3 сержанти, кожному з яких
підпорядковані по 2 капрали, кожен з яких командує 20 солдатами.
Отже, загалом у складі роти 130 осіб. Однак потужність множини дорівнює
не кількості одиниць військовослужбовців, а згідно з формулою - кількості
умовних солдатів (у. с):
Особливо зауважимо, що одночасно шкальному балу відповідає ступінь
влади (І ступінь солдата, XX ступінь капрала, LXXX
ступінь сержанта й 480-й ступінь старшини) - значення інтенсивної величини
нульового рангу, що дорівнює відношенню двох екстенсивних величин, яке виражає
кількість умовних солдатів, що припадають на одного військовослужбовця з
відповідним званням.
Отже, стратифікований за ступенями влади армійський склад приводиться
до однорідної множини рівнозначних умовних солдатів, які становлять
"субстанцію" реального особового складу (подібно субстанції вартості
товару).
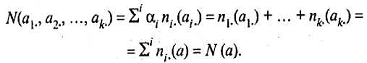
.4 Показник потужності класифікованої і стратифікованої множини
Потужність класифікованої і стратифікованої множини, що складається з k класів і l страт, об'єднує формули (1) і (3). Формула
(1) свідчить про кількість
елементів

нестратифікованого
i-го класу. Зважаючи на те, що кожний клас
стратифікований ще на l страт, виразимо потужність i-го класу сумою кількостей різних елементів
кожної із страт або сумою кількостей, приведених за
допомогою коефіцієнта
до однакових умовних елементів
(очок, балів, грошових одиниць):
Знаючи потужність одного стратифікованого i-го
класу, обчислимо потужність множини, підсумувавши наведений вираз за кількістю
класів:
Наприклад, показник потужності множини товарів у магазині дорівнює сумі
вартостей товарів N (а) кожного класу (тобто асортименту), які, у свою чергу,
дорівнюють сумам добутків цін
j-го сорту і кількостей товарів
кожного
сорту за стратами.
Визначення потужності множини соціальних об'єктів (якісно
класифікованих і ратифікованих колективів, класифікованої і стратифікованої
сукупності фактів тощо) і, отже, порівняльний аналіз різних соціологічних
досліджень можливі при зведенні класів і страт до множини однорідних та
рівноінтенсивних абстрактних одиниць (очок, балів, грошових одиниць), що суть
субстанція соціальної вартості подібно субстанції ринкової вартості економічних
множин предметів задоволення потреб суб'єктів ринку.
Якщо йдеться про визначення потужності колективної думки (настанови,
переконання) за кількома проблемами, то спочатку визначають потужність думок за
кожною проблемою як добуток інтенсивності думки на відповідну їй кількість
осіб, а потім результати підсумовують за кількістю проблем. Наприклад, якщо за
деяку ініціативу висловились 100 осіб без урахування інтенсивності думки, то
потужність колективної думки дорівнює 100 "голосам". Якщо вимірювати
інтенсивність колективної думки, скажімо, у трибальній системі, то опитувана
сукупність поділиться на три страти нерівноінтенсивних "голосів". Для
обчислень з метою здійснення порівняння результатів голосування потрібно ці
нерівноінтенсивні "голоси" привести до рівноінтенсивних умовних
"голосів". Так, якщо половина опитуваних осіб висловились з
інтенсивністю думки 3 бали / 1 особа, 40 осіб - з інтенсивністю 2 бали / 1
особа і решта - з інтенсивністю 1 бал /1 особа, то потужність колективної думки
Тим самим для всіх страт у натуральних одиницях знайдено загальну
множину умовних одиниць, кількість яких дорівнює її потужності.
Якщо голосування здійснювалось не з однієї, а з двох рівнозначних
ініціатив, тобто множину "голосів" становлять два класи, то загальна
потужність дорівнює сумі потужностей кожного класу: N = N1 + N2. Причому при обчисленні цих показників слід
також ураховувати інтенсивність думки, тобто стратифікацію множин.
Особливо часто вдаються до такого способу порівняння й об'єднання
видових множин у загальну родову множину одиниць соціальної вартості у
спортивних змаганнях з різних видів багатоборства. Показовою в цьому розумінні
є процедура визначення арбітрами призерів у сучасному п'ятиборстві. Арбітри
повинні відповісти на запитання "хто чого вартий?", чим і виправдовується
термін "соціальна вартість". Арбітри мають виразити в загальних
одиницях результати виступів кожного спортсмена у верховій їзді, фехтуванні,
плаванні й кросі. Для порівняння показників, виражених у різних натуральних
одиницях (номіналу якості "біг" відповідає множина одиниць часу,
номіналу "стрільба" - множина очок, яка визначає точність влучення в
мішень, номіналу "фехтування" - множина уколів), вводяться
еквіваленти, згідно з якими нараховуються очки кожному курсанту.
Подібну методику нарахування очок "соціальної вартості" у
спорті застосовують для оцінювання майстерності спеціалістів будь-якої
професії, будь-якого виду занять у сфері науки, мистецтва, педагогіки тощо.
Приведення видових соціальних якостей-множин до родової якості-субстанції і
модифікацій за ступенями якостей до рівноінтенсивної якості-субстанції, тобто
класів і страт до якості-субстанції соціальної вартості є основою концепції
вимірювання та порівняльного аналізу соціальної кваліметрії.
РОЗДІЛ ІІІ. ВИЗНАЧЕННЯ ПОКАЗНИКА ПОТУЖНОСТІ КЛАСИФІКОВАНОЇ І
СТРАТИФІКОВАНОЇ МНОЖИНИ
Щоб визначити показник потужності множини, її елементи мають
бути тотожними, тобто однорідними й рівноінтенсивпими. На практиці зазвичай
зустрічаються неоднорідні й нерівноінтенсивні множини, що складаються з
елементів або їх підмножин. Останні різняться як за номіналами, так і за
ступенями інтенсивності якості (наприклад, мінерали певної множини різняться
номіналами і ступенями твердості; до партії товарів входять вироби, що
різняться асортиментом і сортом; робітники підприємства різняться професією і
кваліфікацією; члени трудового колективу - родом занять і авторитетом; у
бібліотеці книги різняться назвами сюжетів і художньою або науковою цінністю
тощо). Потужність таких множин неможливо виразити кількістю елементів, оскільки
вони не еквівалентні ні за номіналами, ні за ступенями. Для того щоб визначити
потужність такої множини, необхідно звести всі її різнорідні й різноінтенсивні
елементи до тотожних елементів як за номіналами, так і за ступенями
інтенсивності. Отже, перш ніж виконувати арифметичні операції з елементами
множини, її треба спочатку класифікувати і стратифікувати з метою переходу до
абстрактних тотожних одиниць.
У фізичних, економічних і соціальних науках принципи
вимірювання й порівняння їх результатів за допомогою показника потужності
єдині.
Найрозвиненішими в такому розумінні є методи вимірювання
властивостей фізичних явищ. Це пов'язано з тим, що для явищ будь-якої природи
(механічних, теплових, електричних тощо), які можна подати у вигляді множин або
континуумів, родовим показником є енергія За допомогою коефіцієнтів
еквівалентності здійснюються переходи від одних видів енергії до інших,
наприклад від електричної енергії до механічної, теплової тощо. Величину
енергії як потужність для складної системи, куди входять різні види енергії
(електрична, теплова, механічна, ядерна тощо) і різного ступеня інтенсивності
(напруги, температури, сили, тиску тощо), обчислюють шляхом визначення
показника потужності для попередньо виокремлених класів і страт й обчислення
сумарного значення потужності. Справді, величина енергії (потужності
"множини") визначається добутком інтенсивної й екстенсивної величин:
теплової енергії Q - добутком температури Т на
ентропію S: Q = TS, механічної енергії U - добутком сили F на відстань l: U = Fl, електричної енергії Е - добутком
напруги V на кількість електричних
зарядів q: E = Vq тощо. Після обчислення цих величин у
калоріях, джоулях і ватах їх переводять до величини енергії у спільній одиниці
- джоуль. Одержані величини як адитивні підсумовують. Остаточний результат є
показником потужності класифікованої та стратифікованої "множини"
елементарних одиниць енергії - джоулів.
Аналогічно обчислюють показник потужності економічних явищ. У
ринковій системі множину становлять товари, що різняться асортиментом (видовими
номіналами) і сортом (ступенем інтенсивності якості). Згідно з теорією
граничної корисності родовою субстанцією щодо товарів і послуг є субстанція
корисності, яку називають вартістю Товари як "згустки" субстанції
корисності або блага купуються і продаються за їх вартостями. Дія ринку полягає
в постійному визначенні величини потужності класифікованих і стратифікованих
множин різноманітних товарів в умовних, тобто грошових, одиницях для здійснення
еквівалентних обмінів між суб’єктами ринку.
Як і для фізичних явищ потужність визначають шляхом
визначення еквівалентів між різними класами і обчислення добутків екстенсивних
та інтенсивних величин різних страт. Зауважимо, що поняття
"корисність", крім значення субстанції, вживається ще и у розумінні
ступеня корисності, тобто у значенні інтенсивної величини. Ступінь корисності,
або вартості (ступінь якості), конкретизується у формі відношення вартості до
кількості товару в натуральних одиницях, тобто у формі ціни.
Отже, вартість (показник потужності) деякої множини товарів,
які різняться асортиментом і ціною, розраховують шляхом класифікації і
стратифікації товарів.
Спочатку визначають вартість W кожного виду товару перемноженням
його кількості Кв натуральних одиницях на ціну С: W = С К. Потім одержані результати підсумовують. Остаточна вартість є
показником потужності класифікованої і стратифікованої множин товарів.
Найскладнішою проблемою є обчислення потужності соціальних і
психічних явищ. У цих та інших гуманітарних науках невирішеним є питання про
граничну родову множину умовних одиниць, або граничну субстанцію, до якої можна
було б зводити видові множини. При обговоренні концепції кваліметрії про
показник соціальної потужності множини таку граничну субстанцію у формі множини
балів (очок), що еквівалентна сукупності класів і страт, було запропоновано
назвати соціальною вартістю. Так, результати спортсменів-п'яти-борців на
змаганнях у кросі, фехтуванні, верховій їзді, плаванні й стрільбі, що
вимірюються в різних несумірних одиницях, визначають за кількістю очок, що суть
показник соціально-спортивної вартості. Тривалість збереження спортивної форми
(рівня майстерності) окремими спортсменами або спортивними командами порівнюють
за допомогою рейтингу, який нараховується в очках за результатами змагань із
суперниками протягом тривалого періоду. Наприклад, перед футбольними
чемпіонатами світу при жеребкуванні команд їх розсіюють за різними групами, щоб
уникнути зосередження в одній групі наймайстерніших команд. При цьому
застосовують показники рейтингу команд за результатами попередніх зустрічей
шляхом нарахування очок.
Розглянемо ще кілька прикладів визначення різновидів
показників соціальної вартості.
У соціології родовою субстанцією відносно суспільства або
його окремих регіонів можна вважати населення. Однак не будь-яка соціальна
множина зводиться до кількості індивідів. Якщо множини різняться статусом,
освітою, кваліфікацією, то для ототожнення їх елементів доводиться вдаватися до
використання еквівалентів подібно до того, як при підсумовуванні різні види
пального вимірюють в одиницях умовного палива, парк тракторів різної потужності
відповідних марок - в умовних одиницях 15-сильних тракторів. У найбільш
загальному випадку однорідні (номінал "трактор" стосується елементів
множини), але нерівноінтенсивні множини зводяться до множини однорідних і
рівноінтенсивних умовних одиниць (умовні трактори як елементи множини
відповідають рівноінтенсивному, скажімо, I ступеню інтенсивності, що відповідає
потужності 15 кінських сил).
В іншому випадку потрібно визначити потужність множини
одиниць з однаковим номіналом якості, але таких, що різняться ступенем якості.
Потужність стратифіковаиої мнозісини дорівнює сумі добутків інтенсивних і
екстенсивних величин за кількістю страт. Наприклад, множина слюсарів є множиною
з номіналом якості "слюсар". Однак загалом вона нерівноінтенсивна,
оскільки може охоплювати підмножини слюсарів з різними кваліфікаційними
розрядами. У цьому разі неправомірно визначати потужність множини кількістю
одиниць слюсарів, оскільки ці одиниці нееквівалентні: бригада слюсарів з VI кваліфікаційним розрядом не
еквівалентна (нерівнопотужна) бригаді слюсарів у тій же кількості, але з ///
кваліфікаційним розрядом. Якщо чисельності бригад однакові, скажімо, по 20
осіб, то потужність множини першої бригади слюсарів VI розряду
Потужність множини другої бригади слюсарів III розряду
Загальна потужність двох бригад
хоча кількість слюсарів у двох бригадах - 40 осіб.
Так само визначається потужність множини, стратифікованої за
суб'єктивною інтенсивністю колективної думки, переконання, соціального
напруження. Наприклад, невдоволення умовами праці на підприємстві може
призвести до соціального напруження, а у критичному стані - до соціального
вибуху. Так, здійснимо стратифікацію робітників підприємства на чотири
категорії щодо незадоволення умовами праці (табл. 8).
Таблиця 8
|
0 категорія
|
задоволені
|
оцінка: 0 балів /1
працівник
|
|
I категорія
|
незадоволені
|
оцінка: 1 бал /1
працівник
|
|
II категорія
|
незадоволені, які
готові до пікетувань
|
оцінка: 2 бали /1
працівник
|
|
|
III категорія
|
незадоволені, які
готові до страйків
|
оцінка: 3 бали /1
працівник
|
Припустимо, 1000 працівників цього підприємства в різні
періоди, як вказано в табл. 8, стратифіковані відповідно за цими категоріями, і
це дає можливість порівняти показники потужності в колективі внаслідок
соціальної напруженості (табл. 9).
Таблиця 9
|
Категорія
|
І період
|
ІІ період
|
|
|
Кількість
працівників (частка цілого)
|
Потужність
|
Потужність
|
|
0 = 0 балів / 1
працівник I = 1 бал / 1 працівник II
= 2 бали / 1 працівник ІІІ = 3
бали / 1 працівник
|
100(10%) 200(20 %)
300 (30 %) 400 (40 %)
|
0 200 600 1200
|
600 (60 %) 300 (30
%) 100(10%) 0 (0 %)
|
0 300 200 0
|
|
Разом
|
1000 (100 %)
|
2000
|
1000 (100 %)
|
500
|
З урахуванням оцінок інтенсивності за категоріями працівників
потужність соціального напруження в періоди І і ІІ відповідно
Отже, за період ІІ соціальне напруження знизилося в 4 рази
порівняно з періодом І.
Привести якісно відмінні страти (модифікації якості) до
єдиної множини тотожних одиниць у соціальній сфері дуже важко, що пов'язано з
об'єктивними і здебільшого суб'єктивними показниками індивідуальної свідомості,
які важко піддаються фіксації й обліку. Деякі з цих показників у процесі
навчання, виховання та соціалізації особистості набувають деякої стійкості, що
фіксується в документах (диплом або атестат про освіту, посвідчення про
обійману посаду, кваліфікаційні книжки робітників про тарифний розряд тощо).
Інші показники, що пов'язані переважно з вивченням громадської думки,
потребують періодичних вимірювань через змінюваність за інтенсивністю в часі.
Через зазначені особливості соціальних властивостей
впровадження кваліметричних методів у соціології пов'язане з удосконаленням,
по-перше, способів документальної фіксації рівнів інтенсивності показників
якості особистості, колективу, організації, по-друге - методик вираження
соціальних класифікованих і стратифікованих множин натуральних одиниць, що
різняться номіналами й ступенями інтенсивності якостей, в одиницях соціальної
вартості (подібна проблема вираження множин товарів, виміряних у натуральних
одиницях, в одиницях вартості актуальна і в економіці).
ВИСНОВКИ
Курсова робота досліджувала одну з актуальних проблем
сучасної обробки соціологічної інформації - багатомірну класифікацію нового
об’єкта. Дослідження та аналіз низки літературних джерел дали змогу зробити
такі висновки і узагальнення.
Кожну множину-якість можна розглядати як компонент у
структурі родовидового дерева. Така множина називається класом. Якщо елементи
множини мають спільний родовий номінал і різні видові номінали, то цю множину
можна поділити на класи за видовими ознаками або номіналами, і такий поділ
називається класифікацією.
Перелік номіналів видових якостей зі спільним родовим
номіналом утворює номінальну, або класифікаційну, шкалу, згідно з якою родова
множина може бути класифікована на видові множини. Така класифікація є простою
і являє собою одне родовидове розгалуження, вилучене з родовидового дерева. В
іншому випадку це розгалуження-класифікація є розрізом багатомірної перехресної
класифікації. Елементи певної множини можна характеризувати кількома родовими
номіналами, за кожним з яких здійснюється певна видова класифікація. Отже,
утворюється багатомірна перехресна класифікація.
Кожну неоднорідну й нерівноінтенсивну багатомірну перехресну
множину можна класифікувати і стратифікувати на однорідні й рівноінтенсивні
підмножини, кожна з яких (клас і страта одночасно) характеризується комплексом
номіналів і ступенів інтенсивності.
Кожна класифікація є сталою, забезпечуючи порівнянність даних
у просторі та часі.
Поряд з класифікацією для висвітлення певних аспектів
конкретного дослідження використовують групування,
Типологічне групування - це поділ якісно неоднорідної
сукупності на класи, соціально-економічні типи, однорідні групи. Основне
завдання такого групування - ідентифікація типів. Вибір групувальної ознаки та
кількісних міжгрупових меж ґрунтується на всебічному теоретичному аналізі суті
явища, його характерних рис та особливостей формування в конкретних умовах часу
та простору.
Якщо групувальна ознака неперервна, постає питання про
кількість груп та межі кожної з них. Кількість груп залежить від ступеня
варіації групувальної ознаки та обсягу сукупності. Так, для дискретної ознаки,
діапазон варіації якої обмежений (кількість дітей у сім'ї, тарифний розряд
тощо), груп, як правило, стільки, скільки варіант ознаки. У разі значної
варіації дискретної ознаки (кількість працюючих на підприємстві, кількість
укладених на біржі угод), як і неперервної (стаж роботи працівника,
собівартість продукції), діапазон варіації розбивається на m iнтервалів.
Орієнтовно оптимальна кількість груп визначається за
стандартними процедурами, зокрема за формулою Стерджеса:
При класифікації різні за видовими номіналами, але однакові
за ступенями інтенсивності елементи ототожнюються, внаслідок чого величина
потужності класифікованої множини дорівнює величині потужності рівновеликої
множини однакових за родовою ознакою елементів.
СПИСОК ВИКОРИСТАНОЇ ЛІТЕРАТУРИ
1. Батыгин Г. С. Обоснование научного вывода в прикладной
социологии. - М., 1986.
3. Головач А.В., Єріна A.M., Козырев О.В. Статистика:
Підручник. - К.: Вища школа, 1993. - 464 с.
. Гончарук А.Г. Основи статистики: Навч. посібник.-К.: ТОВ „Центр учбової
літератури", 2004. - 148 с.
. Головач А. В., Ерииа А. М., Трофимов В. П. Критерии
математической статистики в экономических исследованиях. - М., 1973.
5. Дубров А. М. Обработка статистических данных методом главных компонент.
- М., 1978.
6. Клюєнко Е. Вимірювання політичної участі //
Соціологія: теорія, методи, маркетинг. - 2005. - № 4. - С. 58 - 71.
. Количественные методы в исторических исследованиях. - М.,
1984.
8. Лебег А. Об измерении величин. - М., 1960.
9. Митропольский А. К. Техника статистических вычислений. - М., 1971.
0. Табин М. Математические модели социальной диффузии и возможности их
приложения // Социология и математика. - Новосибирск, 1970.
. Степаненко Н.В. Статистика: Навч. посібник.-К.: Вища школа, 1991.-205 с.
12. Циба В. Т. Соціологія особистості: системний підхід. - К., 2000.
. Циба В.Т. Математичні основи соціологічних
досліджень: кваліметричний підхід. - К., 2003. - 248 с.
. Цыба В, Т. Метод главных компонент // Анализ
социологической информации с применением ЭВМ. - М., 1975. - Ч. II. - С. 158-180.