Агроекологічні аспекти застосування мікробіологічних препаратів на посівах тритикале озимого

  • Вид работы:
    Дипломная (ВКР)
  • Предмет:
    Сельское хозяйство
  • Язык:
    Украинский
    ,
    Формат файла:
    MS Word
    5,78 Мб
  • Опубликовано:
    2012-12-23
Вы можете узнать стоимость помощи в написании студенческой работы.
Помощь в написании работы, которую точно примут!

Агроекологічні аспекти застосування мікробіологічних препаратів на посівах тритикале озимого

Міністерство аграрної політики ТА продовольства України

Білоцерківський національний аграрний університет

Екологічний факультет

Кафедра прикладної екології

Напрям підготовки 6.040106 "Екологія, охорона

навколишнього середовища та збалансоване природокористування"

кваліфікаційного рівня "Бакалавр"



Кваліфікаційна робота

на тему: "Агроекологічні аспекти застосування мікробіологічних препаратів на посівах тритикале озимого"











Біла Церква

Зміст

Реферат

Вступ

1. Господарське та екологічне значення тритикале (огляд літератури)

1.1 Значення та перспектива вирощування тритикале озимого в агроекосистемах України

1.2 Особливості синергетичної взаємодії автотрофного блоку - сільськогосподарські культури та гетеротрофного - асоціативних мікроорганізмів у агроекосистемі

1.3 Характеристика та механізм дії мікробіологічних препаратів на рослини тритикале озимого

. Умови, матеріали та методика досліджень

.1 Погодно-кліматичні та ґрунтові характеристики господарства

.2 Матеріали досліджень

.3 Методика та методи проведення досліджень

. Ефективність мікробіологічних препаратів на посівах тритикале озимого (результати досліджень)

.1 Вплив мікробіологічних препаратів на фітопродуктивність посівів тритикале озимого

.2 Ефективність мікробіологічних препаратів щодо регулювання збудників хвороб у посівах тритикале озимого

.3 Екологічна безпека агроекосистеми у разі застосування мікробіологічних препаратів на посівах тритикале озимого

. Охорона праці

Висновки

Пропозиції виробництву

Список використаної літератури

Додатки

Реферат

на випускну кваліфікаційну роботу студента 4 курсу 2 групи екологічного факультету П.С. Баласа за темою: "Агроекологічні аспекти застосування мікробіологічних препаратів на посівах тритикале озимого", що викладена на ____ стор. комп’ютерного тексту, містить ____ таблиць, _____ рисунка, ____ бібліографічних джерел.

Кваліфікаційна робота виконана на ____ сторінках комп’ютерного набору, яка вміщує ____ рисунків. Використано ____ літературних джерела. Робота виконана за результатами власних польових і лабораторних досліджень. В роботі надано комплексну агроекологічну оцінку біологічному процесу азотфіксації та фосфатмобілізації за допомогою аналітичного огляду результатів досліджень відомих вчених в цій області, а саме: Патики В.П., Білітюка А.П., Каленської С.М. та багатьох інших.

Виходячи з вищезазначеного об’єктом досліджень є біоагенти мікробіологічних препаратів - діазобактерину та альбобактерину, сорти тритикале озимого. Предмет досліджень - взаємодія азотфіксуючих та фосфатмобілізуючих мікроорганізмів і тритикале озимого у системі: мікроорганізми-рослина.

Мета кваліфікаційної роботи - забезпечити формування високопродуктивної злаково-мікробної системи "Triticosecale Wittmack ex. A. Camus- Azospіrіllum brasilense+Achromobacter album 1122" шляхом застосування високоактивних азотфіксуючих і фосфатмобілізуючих мікроорганізмів мікробіологічних препаратів - діазобактерину та альбобактерину на посівах тритикале озимого за умов центральної частини Лісостепу.

Ключові слова: азот- та фосфатмобілізація, злаково-мікробна система, тритикале озиме, екологічні фактори, біологічні препарати, продуктивність.

Вступ

Однією з пріоритетних проблем сучасного сільськогосподарського виробництва в Україні залишається підвищення родючості ґрунтів, забезпечення сільськогосподарських культур поживними речовинами, зокрема азотом, фосфором і калієм. Значним резервом поліпшення азотного, фосфорного живлення рослин є використання азотфіксуючих і фосфатмобілізуючих мікроорганізмів, які є діючими агентами мікробіологічних препаратів. Завдяки цим препаратам, можна значною мірою розв’язати питання про підвищення родючості ґрунтів та зростання урожайності та якості сільськогосподарських культур.

Ефективність застосування біопрепаратів суттєво залежить від розв’язання проблеми інтродукції мікроорганізмів у навколишнє природне середовище. Їх використання пов’язано з урахуванням екологічних факторів: ґрунтово-кліматичних характеристик регіону, взаємовідносин мікроорганізм-рослина, взаємодії аборигенних та інтродукованих мікроорганізмів (Патика В.П. та ін., 2004).

Отже, пошук шляхів формування високопродуктивних злаково-мікробних систем, які б забезпечували значне зростання урожайності сільськогосподарських культур, покращанні якості рослинницької продукції та збереження родючості ґрунтів є досить актуальним і заслуговує на увагу.

1. Господарське та екологічне значення тритекале (огляд літератури)

1.1 Значення та перспектива вирощування тритикале озимого в агроекосистемах України

Тритикале - новий ботанічний рід у родині тонконогових, створений селекціонерами схрещуванням пшениці й жита. Зерно крупне з високим вмістом білка і незамінних амінокислот (лізин, триптофан). Має високу потенціальну врожайність, невимогливе до умов вирощування.

Назва культури походить від з'єднання початку назви пшениці (Triticum) і закінчення латинської назви жита (Secale).

Вміст білка на 1-2 % вищий ніж у пшениці, і на 3-4 % - ніж у жита. Вміст клейковини як у пшениці і більше (25-38 %), але через геном жита якість її (еластичність, розтяжність) нижча. Зерно тритикале за протеїновою поживністю перевищує зерно пшениці на 9,5 %, а ячменю і кукурудзи - майже на 40 %.

Зерно використовується для випікання хліба, у кондитерській, пивоварній та спиртово-горілчаній промисловості. Це високоякісний компонент у виробництві комбікормів.

Вважається, що зерно тритикале не забезпечує високої якості хлібних виробів через низьку якість клейковини. Проте білий хліб майже такий самий, як і пшеничний із високоякісного борошна, має приємний смак та аромат. Розроблені технології заводської випічки сортів хліба із суміші тритикале і пшениці. Нові сорти забезпечують високу якість хліба.

Кормові сорти тритикале висівають для одержання зеленого корму, силосу, сіна. Солома використовується на корм тваринам, як підстилка для худоби, придисковується в якості органічного добрива.

Тривалий час тритикале було лише цікавим біологічним об'єктом і не мало прямого практичного використання в сільськогосподарському виробництві. Основна причина цього - недостатня його продуктивність. Селекція нової культури розпочалась зовсім недавно, перші сорти ярих та озимих тритикале з'явилися 30 років тому.

Нині створені нові сорти, які відзначаються вищою якістю зерна.

Тритикале можна вирощувати в тих регіонах, що й озиму пшеницю і жито. Сорти тритикале мають високу агроекологічну пластичність до різних фунтово-кліматичних умов, за зимостійкістю переважають сорти озимої пшениці. Характерна властивість тритикале - висока стійкість проти захворювань та пошкодження шкідниками. Тому це перспективна культура для екологічно чистих технологій. Вирощують тритикале в Україні переважно в Поліссі і Лісостепу. Урожайність зерна 50-60 ц/га і вище, зеленої маси - 400-500 ц/га.

.2 Особливості синергетичної взаємодії автотрофного блоку - сільськогосподарські культури та гетеротрофного - асоціативних мікроорганізмів у агроекосистемі

В процесі еволюції ґрунтова біота і рослини знаходилися у безпосередньому контакті, пристосовуючись один до одного. В результаті цього тривалого процесу сформувалися динамічно стійкі екосистеми. Зростаюче антропогенне навантаження створює загрозу швидкої деформації усіх параметрів ґрунту і погіршення місця існування живої матерії. Для ґрунтових екосистем аграрної галузі це може мати негативні наслідки. Тому необхідно представляти реальні можливості впливу агротехнічних прийомів сучасного землеробства на компоненти ґрунтових екосистем.

Стан мікробного співтовариства може виражатися загальним поняттям "Біологічна активність ґрунту", яка характеризується кількісним і якісним складом мікробоценозу та інтенсивністю біохімічних процесів, зумовленою в ґрунті певним пулом ферментів. Ця рухлива біологічна система в умовах агроценозів схильна до дії як природних чинників, так і антропогенних у вигляді різноманітних прийомів технологій, що змінюють в тій або іншій мірі водне повітря, тепловий, харчовий режими ґрунту. Очевидно, що існують складні форми зв'язку між окремими елементами технологій, їх поєднаннями і діяльністю різних груп мікроорганізмів, що здійснюють трансформацію різних речовин. Встановлення цих зв'язків, окрім виявлення прийомів спрямованого поліпшення біологічних властивостей, дає можливість прогнозувати зміну рівня окультуреності ґрунту під впливом елементів технологій, що важливо і для повнішого наукового обґрунтування їх застосування.

Одним із завдань землеробства є повніше використання азотфіксуючої здатності мікроорганізмів. Нині більшій мірі вивчено проблему симбіотичної та несимбіотичної азотфіксації, фосфат - та каліємобілізації.

Кількість прижиттєвих кореневих виділень рослин, основне джерело енергії азотфіксуючої асоціативної мікрофлори, залежить від фази розвитку рослин і інтенсивності фотосинтезу. Розміри асоціативної фіксації атмосферного азоту в умовах помірного клімату за вегетаційний період складають 25-55 кг/га і можуть максимально досягати 150 кг/га [1].

Як відмічає М.М. Умаров, асоціативна азотфіксація здійснюється змішаною популяцією різних мікроорганізмів - гетеротрофів, що мають високу азотфіксуючу активність, яку можливо ще посилити шляхом підвищення фотосинтетичної діяльності рослин і за рахунок оптимізації екологічних факторів [2, 3].

Мікробна трансформація мінералів ґрунтоутворюючої породи є складною частиною ґрунтоутворення і відбувається постійно упродовж усього еволюції ґрунтів. Мікрофлора ризоплани відіграє визначальну роль в забезпеченні рослин доступними сполуками азоту, фосфору і калію [4].

Розробка заходів практичного використання асоціативних діазотрофів, фосфатмобізуючих мікроорганізмів ґрунтується на комплексному їх впливі на рослини: поліпшенні азотного живлення, дії гіберелінів, цитокінінів і ауксинів, що продукуються мікроорганізмами, і інтенсивнішому використанні елементів мінерального живлення [1].

Бактеризація природними азотфіксуючими та фосфатмобілізуючими мікробними асоціаціями насіння сільськогосподарських культур сприяє підвищенню їх продуктивності на 10-30 %. Окрім цього, алохтонні мікроорганізми зумовлюють живлення рослин азотом і шляхом трансформації органічних сполук азоту та фосфору в ґрунті, які практично не можуть бути безпосередньо використані рослинами, і тільки в результаті діяльності амоніфікуючих і нітрифікуючих бактерій вони піддаються мінералізації і переходять в доступні для рослин аміак і нітрати. Швидкість процесів амоніфікації і нітрифікації залежить від зовнішніх чинників - ступеня окультурення ґрунту, гідротермічних умов, особливостей органічних сполук, реакції ґрунтового середовища та ін. На рівень несимбіотичної азотфіксації впливає включення в сівозміни багаторічних трав, використання проміжних культур редьки маслянистої і ріпаку ярого, проведення поверхневого обробітку ґрунту [5-13].

Можливість регулювання процесів трансформації біологічного азоту та фосфору в конкретних умовах у разі вирощування сільськогосподарських культур показана багатьма дослідниками. Так, відомо, що в цілому внесення фосфорних добрив посилює розмноження азотфіксаторів. Особливості у дії на мікрофлору мають не лише мінеральні добрив, але і їх форми: суперфосфат пригнічує діяльність нітрифікаторів спочатку після внесення, а фосфорне борошно стимулює; азотні аміачні добрива сприяють процесу нітрифікації, а у формі нітратів - процесу денітрифікації [10, 11]. На мікробіологічну трансформацію азоту впливають навіть форми аміачного азоту і їх поєднання з фосфорними і калійними добривами. Так, зіставлення чисельності мікроорганізмів і кількості нітратів вказувало в модельному досвіді на вірогідність більшого біологічного закріплення азоту через 90 днів при використанні сульфату амонію, чим у разі внесення сечовини. Систематичне застосування мінеральних добрив призводить до зниження азотфіксуючої активності [14].

Важливе місце у функціонуванні мікроорганізмів займають їх складні і різноманітні взаємини з рослинами. Вони зумовлені різноманітністю властивостей мікроорганізмів, з яких складаються співтовариства епіфітної і ризосферної мікрофлори, різним складом продуктів їх обміну, складом мікробоценозів, видом рослин. Роль ґрунтових мікроорганізмів в житті рослин, як позитивна, так і негативна, полягає коротко в наступному. Мікроорганізми переводять в доступну для рослин форму складні з'єднання ґрунту і добрив; здійснюють пересування поживних речовин з ґрунту до коріння; акумулюють в мікробних клітинах поживні речовини; відновлюють нітрати до газоподібного азоту і зв'язують азот атмосфери; синтезують стимулюючі і антибіотичні речовини, а також накопичують продукти обміну, зухвалі токсикоз ґрунти; споживають і руйнують кореневі виділення рослин. Мікроорганізми чинять й негативну дію на рослини, змінюючи агрономічно важливі властивості ґрунту, які визначають його родючість: інтенсивність мінералізації гумусу, зміну структури ґрунту та ін. [15, 16].

Багаторічні дослідження, проведені на території ННДЦ Білоцерківського НАУ дозволили сформувати науково-обґрунтовані висновки щодо ефективності застосування мікробіологічних препаратів - альбобактерину та діазобактерину в посівах тритикале озимого в умовах центральної частини Лісостепу.

.3 Характеристика та механізм дії мікробіологічних препаратів

Однією з гострих екологічних проблем України є погіршення екологічного стану орних земель, а саме - забруднення їх токсичними речовинами різного походження, зниження ґрунтової родючості.

Ґрунт - складна біологічна система, в якій одним із основних факторів ґрунтоутворення, родючості, самоочисної здатності і кругообігу речовин є життєдіяльність мікрофлори. Ґрунтові мікроорганізми здатні чутливо реагувати на зміну умов середовища, екологічного стану ґрунту при дії на нього засобів хімізації, обробітку, іншого антропогенного навантаження, що супроводжується перебудовою в мікробному ценозі і його функціональній діяльності [17-19].

Коли ми говоримо про здоровий ґрунт, то маємо на увазі, що у чайній ложці ґрунту має бути 600 млн. клітин бактерій, 10 тис. простіших мікроскопічних організмів - протозоа, 20-30 корисних нематод, біля кілометра гіфів грибів. Якщо ці мікроорганізми присутні у ґрунті, то він має властивість пригнічувати хвороби рослин, і тоді немає потреби в застосуванні фунгіцидів, бактерицидів та нематоцидів.

Що відбувається, коли вносяться у ґрунт пестициди? Перш за все, гинуть мікроорганізми, що перетворюють органічні сполуки в неорганічні, які доступні рослині. Гинуть бактерії, що переводять азот повітря в азотні сполуки, які живлять рослину природним способом. Рослина перестає нормально живитися через нестачу доступних сполук, а недоступні речовини разом з пестицидами ідуть у ґрунтові води, попадають у водойми, і, врешті-решт, у наші водоканали. Для живлення культурних рослин вносять легкодоступні сполуки - мінеральні азотні добрива. Від засолення ґрунту гине мікробіота, втрачається родючість, гіршають врожаї, і потреба у добривах зростає [18].

Після застосування пестицидів значно знижується кількість мікроорганізмів, що захищають рослини від патогенних бактерій, грибів та нематод-коренеїдів. В окремих наших ґрунтах нараховується не більше 100 клітин бактерій у грамі ґрунту і практично немає корисних грибів і нематод, лише патогенні. Врожаї гинуть через хвороби, збудники яких призвичаїлися до пестицидів, і господарі застосовують нові пестициди. Так земля стає "наркоманом".

Є щонайменше два шляхи відтворення ланів: дати відпочити землі і самоочиститися або направлено вносити мікробіоту з мікробіологічними препаратами, які не тільки відтворюють родючість ґрунту, але й сприяють вирощуванню чистих і багатих врожаїв. За даними медичних обстежень населення України, близько 20 % дітей потребує вживання лише екологічно чистих продуктів харчування. Такого харчування потребує і населення, що постраждало внаслідок аварії на ЧАЕС, хворі та старші люди. Від задоволення тим, що споживаєш здорову їжу, не відмовився б ніхто. Зрозуміло, що багато в чому харчова цінність рослинницької продукції залежить від технологій вирощування сільськогосподарських культур. Однак, насамперед, якість і незабрудненість продукції визначає екологічний стан ґрунту, на якому її вирощують [20, 21].

В результаті застосування препарату збільшується урожайність жита на 2-12 ц /га.

Загальні відомості. Препарат діазобактерин являє однорідну вологу масу темно-коричневого кольору. До складу біопрепарату входять специфічні асоціативні азотфіксуючі бактерії.

Дозування. На гектарну норму висіву насіння жита витрачається 200 г торф’яного препарату, який перед застосуванням розчиняють у 2 літрах води.

Спосіб застосування. Препарат використовується шляхом механізованої чи ручної обробки насіння.

Механізована обробка. 1-й спосіб. Для механізованої обробки застосовуються машини для протруєння насіння типу ПС-10.

Перед заправленням резервуару машини ПС-10 суспензію препарату необхідно процідити через фільтр з отвором 0,8-1,0 мм. Часто для цієї мети використовують складену вдвічі марлю.

Необхідна кількість препарату (виходячи з розрахунку 200 г на гектарну норму насіння) розводиться у воді з розрахунку 10 л суспензії на 1 т насіння.

Обробка проводиться аналогічно протруюванню.

-й спосіб. Для обробки насіння препаратом можливо використовувати бетономішалки, що забезпечують рівномірний розподіл препарату в масі зерна, не ушкоджуючи при цьому насіння.

Ручна обробка

-й спосіб. Гектарну норму торф’яного препарату (200 г) розчинити в двох літрах води.

Насіннєвий матеріал розмістити на брезенті чи на іншій рівній і чистій поверхні. Рівномірно зволожити насіння суспензією препарату за допомогою ранцевого оприскувача, постійно перемішуючи.

Після того, як зерно підсохне і стане сипучим можна проводити посів.

-й спосіб. Суспензія діазобактерину рівномірно наноситься на зерно, що вантажиться на машину за допомогою шнекових навантажувачів чи стрічкових транспортерів. При цьому біопрепарат добре перемішується.

Протипоказання. Протипоказань до застосування не встановлено. Препарат у рекомендованих дозах не має побічної дії на рослини. Препарат не має токсичної дії на організми людини, тварин, рослин (біологічно безпечний).

Застереження. Ґрунтові гербіциди бажано застосовувати по вегетуючих рослинах. Оброблене препаратом насіння має бути висіяне в той же день, або наступного дня у вологий ґрунт.

Умови зберігання. Готовий розчин препарату зберігають за температури +5-10°С не більше 24 год. Оброблене насіння має бути захищене від попадання прямого сонячного проміння. Незалежно від способу бактеризації, після обробки насіння потрібно підсушити до сипучого стану (для попередження втрати сипучості і можливого зниження норми висіву).

Мікробіологічний препарат альбобактерину. Препарат застосовується для бактеризації насіння ріпаку ярого та озимого з метою покрашення фосфорного живлення рослин, підвищення продуктивності та захисту рослин від фітопатогенних грибів.

Загальні відомості. Механізм дії препарату пов'язаний з властивістю бактерій Achromobacter album 1122 продукувати органічні кислоти та фосфатазу, що приводить до розчинення важкорозчинних мінеральних і органічних фосфатів ґрунту, внаслідок чого рослини в процесі свого розвитку одержують додаткове живлення фосфором з ґрунтових резервів, а також продукувати стимулятори росту рослин та вітаміни групи В. Бактерії Achromobacter album 1122 резистентні до ряду пестицидів.

Бактеризація підвищує схожість насіння на 5-12 %, зменшує пригнічуючи дію протруйників на проростання та розвиток проростків, покращує фосфорне живлення рослин (еквівалентне внесенню 15-30 кг д. р. мінеральних фосфорних добрив). Застосування препарату сприяє підвищенню урожайності насіння ріпаку ярого на 6,0-9,0 ц/га (35%), ріпаку озимого на 5,0-8,0 ц/га (34,6 %) зі збільшенням виходу олії на 2,1 %, загального збору олії на 3,46 ц/га (39,3 %).

Спосіб застосування. Розроблено спосіб бактеризації насіння ріпаку, що включає в себе завчасну обробку вказаним препаратом поєднано з фунгіцидами (Максим XL 035 FS, Ровраль ФЛО, Сарфун Т 65 DS) та інсектицидами (Космос 250, Круізер 350 FS, Фурадан 35 СТ, Хінуфур та іншими) в концентрації, яка застосовується в технологічній робочій суміші. Насіння обробляється впровадження 3-х місяців до посіву на насіннєвих заводах або підприємствах різної форми власності.

-й спосіб: механічна бактеризація насіння проводиться робочою сумішшю одночасно з протруєнням його фунгіцидами та інсектицидами в спеціальних машинах (ПС-10 або інших).

-й спосіб: ручна бактеризація проводиться робочою сумішшю на відкритому повітрі, в тіні. Бажано використовувати ранцевий оприскувач з негайним перемішуванням насіння. Після бактеризації насіння просушується шаром 7-10 см до повiтряно-сухого стану. Роботу з протруєним насінням вести в засобах індивідуального захисту (чоботи, респіратор, халат).

Дозування. Витрати препарату альбобактерину на одну гектарну норму насіння ріпаку складають 50 мл. На гектарну норму висіву насіння ріпаку робоча суміш складає 200 мл, в яку входять захисно-стимулюючі речовини, 50 мл бактеріального препарату, 150 мл води, 2 г NaKMЦ попередньо розчиненого у воді, яка входить в склад робочої суміші, для забезпечення кращого прилипання мікроорганізмів до насіння.

Форма випуску. Каністри поліетиленові ємністю 5 л, 10 л та поліетиленові флакони ємністю 1 л та 2 л. Ємкості не герметизують.

Застереження. Оброблене біопрепаратом насіння має бути захищеним від попадання прямого сонячного проміння для збереження бактерій.

Протипоказання. Протипоказань до застосування не встановлено. Препарат у рекомендованих дозах не має побічної дії на рослини. Препарат не має токсичної дії на організм людини, тварин, комах, рослин (біологічно безпечний) [21].

2. Умови, методи та методика проведення досліджень

2.1 Погодно-кліматичні та ґрунтові умови

Дослідне поле ННДЦ Білоцерківського НАУ знаходиться в північно-західній частині Білоцерківського району, Київської області. Господарство знаходиться на відстані 4 км від м. Біла Церква та 80 км від обласного центру.

Ґрунтово-рельєфні характеристики. Рельєф господарства рівнинно - хвилястий. Ґрунт дослідної ділянки - чорнозем вилугуваний малогумусний легкосуглинковий. Ґрунт дослідної ділянки придатний для вирощування багатьох сільськогосподарських культур. Його агрохімічні показники наступні: рН (сольове) - 5,7-6,0; гідролітична кислотність - 4,9 мг-екв/100г ґрунту; азот, що легко гідролізується - 119 мг/кг ґрунту; нітратний азот - 14 мг/кг ґрунту; амонійний азот - 26 мг/кг ґрунту; Р2О5 (за Чириковим) - 109 мг/кг ґрунту; К2О (за Чириковим) - 75,5 мг/кг ґрунту; гумус - 2,9 %; сума поглинутих основ - 11,2 мг-екв/100г ґрунту; ступінь насиченості основами - 72,4 %.

Погодні умови. Упродовж року опади випадають нерівномірно. Найбільша їх кількість припадає на липень-серпень, коли вони випадають у вигляді дощів, а інколи носять заливний характер. Найменша кількість опадів припадає на зимовий місяць - січень. Середньорічна відносна вологість повітря становить - 77 %. Переважаючими вітрами є західні і північно-західні. У травні інколи бувають і східні вітри, що викликають атмосферну посуху, яка погано переноситься посівами культурних рослин.

За середньомісячними багаторічними даними Київської метеорологічної станції клімат господарства характеризується як помірний (табл. 1).

Мінусова температура спостерігається на протязі трьох місяців (грудень, січень, лютий), а самий теплий місяць - липень. Сама низька температура буває до мінус 33° С, а сама висока + 38° С. Пізні весняні паморозки тривають майже до 25 квітня, а ранні осінні паморозки починаються з 18 жовтня.

Таблиця 1 - Середня багаторічна температура повітря

Місяці

І

II

III

IV

V

VI

Температура

-5,7

-5,1

+0,8

+8,1

+15,3

+19

VII

VIII

IX

X

XI

XII

Середня за рік

+ 20

+ 19,6

+ 11,8

+ 9,4

+ 3,1

- 2,8

+8


Тривалість безморозного періоду звичайно триває 185 діб. Середня висота сніжного покриву не перевищує 6 см, ґрунт покритий снігом в середньому 40-60 діб на рік.

.2 Методи досліджень

В результаті проведення досліджень використовували такі методи:

- екосистемного підходу;

-        спостереження та аналізу;

-        метод біоіндикації;

-        порівняльно-розрахунковий;

-        математично-статистичний метод.

2.3 Методика досліджень

Порядок проведення роботи:

- вибір ділянки поля для закладання досліду;

- підготовка насіннєвого матеріалу - фасування, обробка біопрепаратами;

- сівба;

- фенологічний облік впродовж вегетації тритикале;

- відбір проб рослин тритикале та ґрунту для лабораторного аналізу.

Об'єктами досліджень у проведенні роботи слугували: біоагенти мікробних препаратів діазобактерину, альбобактерину, ґрунт дослідної ділянки, сорт рослини тритикале озимого: Августо, ДАУ 5, Ягуар, Славетне та ін.

Польові досліди із застосуванням мікробних препаратів діазобактерину та альбобактерину на посівах тритикале проводили в 2011 р. на дослідному полі ННДЦ БНАУ.

Схема досліду включала 4 варіанти для кожного з 6 сортів (рис. 2.3.1).


Попередниками тритикале озимого був зайнятий пар - вико-вівсяна сумішка на зелений корм. Загальна площа варіанту досліду складала 20 м2, облікова - 15 м2, розміщення ділянок - систематичне, повторність - дворазова. В ході проведення досліду дотримувались рекомендованої для умов Лісостепу технології вирощування тритикале озимого, з внесенням деяких корективів для конкретної мети.

Польові дослідження, фенологічні спостереження, визначення біометричних показників рослин, оцінку та облік урожаю проводили за методиками польового досліду [22, 23].

Біоіндикацію токсичності ґрунту проводили за методикою Красовського. Відомо, що ґрунтові мікроорганізми здатні утворювати речовини різної хімічної природи, що гальмують ріст рослин - фітотоксини. Крім цього, токсичність ґрунту може дуже сильно збільшуватися під час надходження в ґрунт різних речовин із повітря або з водою внаслідок господарської діяльності людини. Нагромадження в ґрунті токсинів, що мають різну природу й походження, визначає токсичні властивості ґрунту, зумовлені наступним методом.

У зв’язку з цим попередньо відбирали зразки ґрунту з верхнього горизонту, підданого різного ступеня антропогенному навантаженню. Відібраний нестерильний ґрунт у повітряно-сухому стані за допомогою пінцета звільняли від великих кореневих залишків, розтирають у ступці й просівали через сито діаметром 1 мм. Наважки 100-200 м поміщали у чашки Петрі (дослід проводили нестерильно) і зволожували дистильованою водою до 60 % від повної вологоємності й ретельно перемішують, потім за допомогою шпателя ущільнювали так, щоб утворилася рівна поверхня. На поверхні ґрунтової пластинки шпателем робили борозенки глибиною близько 0,5 см і розкладали 25 насінин тест-рослини - редису з білим корінчиком (залежно від їхнього розміру), замочених у водопровідній воді впродовж доби. Контрольне насіння розкладали на зволоженій ваті, покритій фільтрувальним папером. Приготовлені зразки інкубували у термостаті за температури 25°С впродовж 2-3 діб до повного проростання, фіксуючи щодня кількість пророслих насінин. Потім чашки Петрі переносили в приміщення лабораторії й витримували там впродовж 4-5 діб до повного розвитку проростків.

Ступінь токсичності ґрунту визначали за різницею кількості непророслого та пророслого насіння, довжини проростків та їхньої кореневої системи, кількості об'ємної й вагової продукції в варіантах досліду порівняно з контролем. Токсичними вважають ґрунти, які викликають пригнічення проростання насінин на 20-30 % і більше. Визначення фітотоксичності ґрунту рекомендується проводити на свіжих зразках ґрунту, тому що після тривалого зберігання зразків токсичність їх може значно змінюватися.

Математично-статистичну обробку даних проводили в середовищі пакету Statistica-5.5. Методологічною базою в написанні дипломної роботи обрано науковий, порівняльний методи, які сприяли системному аналізу проблематики досліджень, фундаментом якої є аспекти всебічності та науково-об’єктивного пізнання.

Проведення передпосівної інокуляції. Для інокуляції насіння тритикале озимого використовували мікробіологічні препарати, люб’язно надані Інститутом сільськогосподарської мікробіології НААНУ (м. Чернігів), а саме - діазобактерин і альбобактерином.

Мікробні препарати Альбобактерин та Діазобактерин застосовували для бактеризації насіння тритикале озимого, з метою покрашення азотного та фосфорного живлення рослин, підвищення продуктивності та захисту їх від фітопатогенних грибів.

Насіння тритикале обробляли робочою сумішшю на відкритому повітрі, в тіні. Використовувати ранцевий оприскувач з негайним перемішуванням насіння. Після бактеризації насіння просушували шаром 7-10 см до повiтряно-сухого стану.

Дозування. Витрати препарату альбобактерину та поліміксобактерину на одну гектарну порцію насіння пшениці складало 50 мл, робоча суміш складає 200 мл, в яку входили захисно-стимулюючі речовини, 50 мл бактеріальний препарат, 150 мл води, 2 г NaKMЦ попередньо розчиненого у воді.

3. Ефективність мікробіологічних препаратів на посівах тритикале озимого (результати досліджень)

3.1 Вплив мікробіологічних препаратів на фітопродуктивність посівів тритикале озимого

За результатами польових і лабораторних, проведених під осіннього кущення у посівах тритикале озимого, показано, що мікробіологічні препарати - діазобактерину та альбобактерину впливають інтенсивність розвитку кореневої системи, а саме на нагромадження сухої речовини, порівняно з контрольним варіантом. Цей факт свідчить про інтенсифікацію живлення рослин біологічним азотом, фосфором і нагромадження асимілюючих речовин, що сприятиме стійкості тритикале озимого до погодних аномалій зимово-весняного періоду, збудників грибкових хвороб.

Аналіз результатів щодо біометричних параметрів наземної маси тритикале озимого, сформованих до закінчення осінньої вегетації, показав, що рослин інокульовані азотфіксуючими Azospіrіllum brasilense діазобактерину та фосфатмобілізуючими мікроорганізмами Achromobacter album 1122 - альбобактерину достовірно нe змінювалися, порівняно з контролем.

Проведення аналізів під час фази кущення-трубкування дозволило провести чітку межу між варіантами досліду за біометричними показниками та щільністю посівів на одиницю площі. Показано, що моноінокуляція азотфіксуючими бактеріями діазобактерину та фосфатмобілізуючими - альбобактерину достовірно впливає на нагромадження сирої та сухої маси рослин тритикале озимого, зокрема більш суттєва зміна біопараметрів відмічена на варіантах комплексного застосування мікробіологічних препаратів (рис. 3.1.2-3.1.4).

Рис. 3.1.2. Вплив мікробіологічних препаратів на показники сирої маси рослин тритикале озимого (ННДЦ Білоцерківського НАУ, 2011 р.)

Рис. 3.1.3. Вплив мікробіологічних препаратів на показники сухої маси рослин тритикале озимого (ННДЦ Білоцерківського НАУ, 2011 р.)

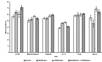
Також відмічено, що кожний сорт тритикале озимого по-різному чутливий на дію мікробіологічних препаратів. Найбільша контрастність за біометричними показниками як реакції на вплив мікробіологічних препаратів відмічено на посівах сортів АД 256, Славетне, Ягуар, Вівате Носівський. Рослини сорту ДАУ 5 більш краще реагували на застосування діазобактерину, а сорту Августо - альбобактерину (рис. 3.1.5, 3.1.6).

Рис. 3.1.4. Вплив мікробіологічних препаратів на показники висоти рослин тритикале озимого (ННДЦ Білоцерківського НАУ, 2011 р.)

Отже, відмічено, що мікробіологічні препарати - діазобактерину і альбобактерин - азотфіксуючих Azospіrіllum brasilense та фосфатмобілізуючих Achromobacter album 1122 мікроорганізмів достовірно впливають на інтенсифікацію ростових процесів у посівах тритикале, зокрема за комплексного їх застосування. За результатами аналізів щодо показників біометрії вегетативної маси, простежується сортова специфічність на дію конкретного мікробіологічного препарату. Тобто діючі агенти мікробіологічних препаратів - діазобактерину та альбобактерину відносно конкретного сорту мають певний рівень компліментарності. Показано, що за показниками біометрії рослин, різний прояв бактерій біопрепаратів на дію ексудатів (кореневих виділень) конкретного сорту (дод. А 1-7). Це факт свідчить, що для конкретного сорту тритикале озимого, у разі розробки під нього біологізованої агротехнології, необхідно підбирати мікробіологічний препарат, штам якого буде високо конкурентним, високо компліментарним і специфічним, тим самим забезпечуватиме продуктивність автотрофного блоку тритикале в структурі агроекосистеми.


У зв’язку з вищезазначеним нормально сформована рослина тритикале озимого для підтримки енергетичних процесів та конструктивного метаболізму має наявність оптимальних концентрацій рухомого азоту та фосфору, сприяє інтенсивності метаболічних процесів, що відбивається на збільшенні вегетативної маси. Аналіз результатів із визначення площі 1-го та 2-го листків підтверджує ефективність мікробіологічних препаратів діазобактерину та альбобактерину на посівах тритикале озимого.

Рис. 3.1.7. Вплив мікробіологічних препаратів на показники площі першого (прапорцевого) листка рослин тритикале озимого (ННДЦ Білоцерківського НАУ, 2011 р.)

Цей факт дозволяє сформувати припущення про інтенсивність фотосинтезу - процесу, який в подальшому визначатиме формування високої урожайності зерна, порівняно з контролем без застосування мікробіологічних препаратів.

Рис. 3.1.8. Вплив мікробіологічних препаратів на показники площі другого листка рослин тритикале озимого

Отже, для забезпечення сталого розвитку сучасних аграрних виробничих систем в умовах перехідного періоду і використання в обмежених обсягах хіміко-технологічних ресурсів виникає проблема їх часткової заміни альтернативними мало витратними заходами, що базуються на природних процесах самовідновлення. Одним з таких є розробка біологізованих елементів агротехнології під тритикале озиме, які сприяють біологічній азотфіксації та мобілізації фосфору з важкорозчинних сполук мінеральних і органічних комплексів ґрунтів та добрив.

.2 Ефективність мікробіологічних препаратів щодо регулювання збудників хвороб у посівах тритикале озимого

В екстремальних ґрунтово-кліматичних умовах тритикале озиме в своєму розвитку переважає пшеницю озиму, проте залежно від низки екологічних факторів досить складно регулювати ступінь ураження рослин збудниками фітопатогенних грибів. Зокрема це залежить не лише від потенціалу сорту тритикале озимого, а від погодно-кліматичних, ґрунтових та агротехнологій умов вирощування.

Потреба у вивченні фітопатогенного комплексу на посівах тритикале озимого постала з огляду на поширення цієї культури в структурі посівних площ. Й короткий термін вирощування цієї тритикале озимого потребує вивчення цього питання, з метою удосконалення технології вирощування та одержання високих і безпечних урожаїв. Результати досліджень, проведених на дослідному полі ННДЦ БНАУ впродовж 2010-2011 рр., показали, що тритикале озиме сортів АД 256, Августо уражується переважно тими самими хворобами, які зафіксовані були посівах пшениці озимої. Масового поширення й розвитку в посівах тритикале озимого, вищезазначених сортів, набули такі збудники таких хвороб: бурої листкової іржа, борошнистої роси, септоріозу листя, фузаріоз колоса, кореневі гнилі та снігова пліснява.


Якщо аналізувати ураженість кожного сорту окремо, то представниками, які домінували на посівах тритикале озимого сорту Августо були збудники септоріозу листя та снігової плісняви (рис. 3.2.9). Восени пікніди на посівах сорту Августо формувалися на листках, що схиляються до землі, оскільки розвитку хвороби сприяє підвищена вологість повітря, що було відмічено в кінці жовтня місяця 2010 р. Навесні 2011 р. плями розросталися, набували світло-бурого забарвлення й розпливчастого продовгуватого вигляду без чіткої облямівки. Хвороба поширювалася від основи рослини до прапорцевого листка. Максимального розвитку септоріоз листя набув у фазі молочної стиглості й перевищив 30 %. Уражене листя, зазвичай, всихало. На стеблах рослин ознак септоріозу не виявлено. У посушливий період червні місяця розвиток хвороби дещо гальмувався.

Снігова пліснява у посівах тритикале озимого сорту Августо проявилася рано навесні, після танення снігу (рис. 3.2.10).

тритикале агроекосистема сільськогосподарський мікроорганізм

На нижніх листках рослин з’являлися жовті плями, що згодом набували світло-коричневого забарвлення й були оточені "водяною" облямівкою. Листки подекуди склеювалися, всихали та відмирали. Тим самим впливаючи на зменшення фітопродукційного процесу у посівах цього сорту. Снігова пліснява ушкоджувала понад 45 % посівів тритикале озимого. Ми припустили, що основним джерелом інфекції на посівах сорту Августо були уражені рослинні рештки, так як ґрунт був неякісно підготовлений до сівби, і насіння, на яких збудники, ймовірно, зберігалися грибницею, конідіями і перітеціями.

У разі пригнічення посівів збудником снігової плісняви показники сирої та сухої маси рослин у фазі весняного кущення були на 6 та 10 % нижчими, порівняно з посівами застосування мікробіологічних препаратів.

Зниженню поширеності септоріозу листя та снігової плісняви у посівах тритикале озимого сорту Августо забезпечила сівба інокульованим мікробіологічними препаратами насінням, зокрема за комплексного застосування азотфіксуючих і фосфатмобілізуючих мікроорганізмів.

На посівах тритикале озимого сорту АД 256 найактивнішим збудником хвороб виступав збудник борошнистої роси (3.2.11).


Борошниста роса проявлялася на стеблах, листках і листкових піхвах у вигляді білого павутинного нальоту. Згодом наліт, фаза стеблування, набував борошнистого вигляду й розміщувався на органах рослини щільними ватоподібними подушечками, які у фазі колосіння набували жовто-сірого забарвлення з наявністю характерних дрібних чорних точок (плодових тіл збудника хвороби). Перші симптоми хвороби спостерігалися у фазі осіннього кущіння. Максимального розвитку хвороба набула у фазі молочної стиглості й сягала 20 %. Розвиток борошнистої роси значно варіював залежно варіанту досліду, зокрема пригнічення хвороби зафіксовано на варіантах застосування препарату азотфіксуючих бактерій діазобактерину.

Оцінка за бальною шкалою показала, що на всіх варіантах застосування мікробіологічних препаратів відмічено зменшення поширеності збудників хвороб (рис. 3.2.12, 3.2.13).

Рис. 3.2.12. Оцінка ураженості вегетативної маси тритикале озимого сорту Августо залежно від варіанту досліду за шкалою Страхова (ННДЦ БНАУ, 2011 р.)

Рис. 3.2.13. Оцінка ураженості вегетативної маси тритикале озимого сорту АД 256 залежно від варіанту досліду за шкалою Страхова (ННДЦ БНАУ, 2011 р.)

Отже, застосування мікробіологічних препаратів забезпечує регулювання поширеності збудників хвороб на посівах тритикале.

.3 Екологічна безпека агроекосистеми у разі застосування мікробіологічних препаратів на посівах тритикале озимого

Антропогенний вплив на ґрунти проявляється в стані агроекосистеми в цілому. Фітотоксична активність ґрунту зумовлена нагромадженням продуктів метаболізму ґрунтових мікроорганізмів, грибів, які інкубують ріст рослин та акумулюють у цьому субстраті ксенобіотики. Останні ж є похідними пестицидів, мінеральних добрив, солей важких металів, нафтопродуктів та ін. [24-26]. Активність мікробіологічного комплексу ґрунту залежить від сили антропогенного навантаження. Й для того щоб визначити та передбачити де градаційні процеси в ґрунті щодо мікробіологічної компоненти використовують біодіагностичну оцінку екологічного стану ґрунту на основі показників його фітотоксичної активності. Цей показник зумовлений погіршенням фітосанітарних властивостей ґрунту, нагромадженням фітопатогенних мікроорганізмів. Відомо, що фітотоксичними властивостями наділені бактерії роду Bacillus та Bacterium. Фітотоксини продукують й ґрунтові міксоміцети Аspergillus fumigatus, міксоміцети роду Penicillum, Trichoderma [27, 28]. Дослідниками [28-41] встановлено, що у разі застосування підвищених доз мінеральних добрив спостерігається збільшення вмісту міксоміцетів, серед яких зростає чисельність фітопатогенних і токсиноутворювальних видів, що призводить до появи мікробного токсикозу ґрунту.

Таким чином, фітотоксини ґрунтових мікроорганізмів можуть здійснювати істотний вплив на фізіологічно-біохімічні процеси у рослин, що відбивається на зниженні продуктивності сільськогосподарських культур та порушенні динамічної рівноваги в системі "ґрунту-рослини".

Отже, оцінка екологічного стану ґрунтів у агроекосистемі за показниками фітотоксичної активності може надати змогу оцінити спрямованість та ступінь антропогенного навантаження.

Отримані результати свідчать, що рівень фітотоксичності ґрунту залежить від антропогенного навантаження та підлягає динаміці проходження фенофаз розвитку тритикале озимого. Найнижчий рівень фітотоксичної активності відносно фаз розвитку посівів тритикале озимого припадає на фазу весняного кущення, цвітіння (рис. 3.3.14).

Рис. 3.3.14. Динаміка рівня фітотоксичності ґрунту залежно від фази розвитку посівів тритикале озимого сорту Славетне, ННДЦ БНАУ, 2010-2011 рр.

Найвищий рівень фітотоксичності ґрунту (% інгібування схожості насіння текст-культури) спостерігався в агроекосистемі на варіанті застосування на посівах тритикале озимого підвищених доз мінерального азотного добрива у дозі N90 й становив понад 50 %, що зумовлено нагромадженням фітотоксичних речовин - продуктів метаболізму ґрунтових мікроорганізмів. Тоді як на ґрунтах перелогу він складав менше 10 %. Нижчим показник фітотоксичної активності ґрунту, порівняно з варіантами без застосування добрив та застосуванням N90 був на варіантах застосування мікробіологічних препаратів (рис. 3.2.15, дод. Б 1-3).

Рис. 3.3.15. Рівень фітотоксичності ґрунту на посівах тритикале озимого сорту Славетне залежно від умов досліду, ННДЦ БНАУ, 2011 р.

Зокрема, у разі застосування препарату азотфіксуючих мікроорганізмів діазобактерину показник фітотоксичності ґрунту складав - 20 %, препарату фосфатмобілізуючих мікроорганізмів альбобактерину - 16 %, комплексного застосування цих двох препаратів - 13 %.

Отже, комплексне застосування мікробіологічних препаратів діазобактерину та альбобактерину на посівах тритикале озимого забезпечує кращий екологічний стан ґрунту за показниками його фітотоксичної активності.

4. Охорона праці

Управління охороною праці в ННДЦ Білоцерківського НАУ в цілому співпадає із загальною системою управління підприємством. На рівні господарства особою, що приймає рішення, є роботодавець (керівник підприємства); по галузях виробництва, цехах - керівники галузей, цехів, а на робочих місцях - керівники робіт. Забезпечення охорони праці є невід'ємною складовою частиною виробничої діяльності усіх посадових осіб підприємства. Роботодавець (керівник підприємства) несе відповідальність за стан умов праці, безпеку виробничих процесів, життя та здоров'я працівників, дотримання вимог чинного законодавства про охорону праці.

Безпосередньо відповідальність за забезпечення безпечних та нешкідливих умов праці, безпеку виробничих процесів на робочих місцях покладається на керівників робіт (бригадирів, майстрів, завідуючих, керуючих), які зобов'язані визначити працівнику робоче місце, забезпечити технічно справними засобами для виконання роботи (машинами, обладнанням, інструментами), засобами індивідуального захисту, мийними засобами, створити належні санітарно-побутові умови праці, проінструктувати працівників з питань охорони праці.

Порядок укладання на підприємстві колективного договору та перелік питань, що регулюються колективним договором, визначається Законом України "Про колективні договори та угоди" від 01 липня 1993 р. (із змінами та доповненнями).

Колективний договір укладається між адміністрацією підприємства в особі роботодавця (керівника підприємства) та профспілковою організацією в особі голови профспілкового комітету, який представляє інтереси трудового колективу, а за відсутності профспілки на підприємстві загальними зборами трудового колективу обирається уповноважений, який представляє інтереси трудового колективу.

У договорі регулюються питання організації виробництва, нормування та оплати праці, встановлення пільг, компенсацій, надбавок, грошових інвестицій, соціальних гарантій працівникам, встановлюється тривалість робочого часу та відпочинку працівників, тривалість відпусток, соціальне страхування працівників, встановлюються зобов'язання адміністрації забезпечити на робочих місцях безпечні та нешкідливі умови праці, дотримання вимог чинного законодавства, плануються заходи щодо поліпшення умов праці, підвищення рівня безпеки виробничих процесів, на які передбачаються відповідні кошти.

Організація та порядок проведення навчання посадових осіб і спеціалістів з питань охорони праці, порядок, приведення спеціального навчання працівників, зайнятих на роботах з підвищеною небезпекою, порядок проведення інструктажів з охорони праці та стажування працівників на робочому місці встановлюються "Типовим положенням про навчання з охорони праці", затвердженим Держнаглядохоронпраці 17.02.1999 р.

Види навчання та порядок його проведення встановлюється вищевказаним Типовим положенням, яким передбачено навчання посадових осіб та спеціалістів підприємства, працівників, які виконують роботи, що належать до переліку робіт з підвищеною небезпекою; навчання працівників у формі інструктажів з охорони праці та стажування на робочому місці.

Працівники підприємства, які виконують роботи, що належать до "Переліку робіт з підвищеною небезпекою", повинні пройти перед початком виконання роботи спеціальне навчання й перевірку знань правил безпеки при виконанні цих робіт та періодично раз на рік проходити перевірку знань правил безпечного виконання робіт. Також посадові особи, які керують виконанням робіт підвищеної небезпеки, повинні проходити раз на три роки перевірку знань правил безпечного виконання цих робіт.

З працівниками підприємства проводиться також навчання у формі інструктажів з охорони праці - вступного, первинного, повторного, позапланового та цільового. Перевірка знань під час проведення інструктажів здійснюється усним опитуванням.

Вступний інструктаж проводять з усіма працівниками, яких приймають на роботу на підприємство. Інструктаж проводить спеціаліст з охорони праці або інша особа, на яку ці обов'язки покладе керівник підприємства.

Первинний інструктаж проводять з працівником, який вперше стає на нове робоче місце чи починає виконувати нову роботу, або переведеним з іншого підрозділу. Інструктаж проводить безпосередній керівник робіт.

Повторний інструктаж проводять керівники робіт з усіма працівниками періодично раз у 6 міс., а на роботах підвищеної небезпеки - один раз у 3 міс. за програмою первинного інструктажу з метою поновлення знань працівників.

Позаплановий інструктаж проводять керівники робіт при порушенні працівником вимог нормативних актів із охорони праці, трудової, дисципліни; при перерві у виконанні роботи більш як на 60 діб, а для робіт підвищеної небезпеки більш як на 30 діб; при зміні машин, обладнання, технології виробництва; на вимогу органів державного нагляду.

Цільовий інструктаж проводять при виконанні працівниками разових робіт, що не пов'язані з трудовими обов'язками, та робіт, на які видається дозвіл чи оформляється наряд-допуск. Проводить інструктаж безпосередній керівник робіт.

З працівниками, які вперше починають виконувати роботу на новому робочому місці, проводиться стажування на робочому місці, що передбачає виконання роботи під наглядом досвідченого працівника упродовж неменше 2-15 робочих змін.

Нормування робочого часу та відпочинку працівників встановлюється Кодексом Законів України про працю (КЗпП України). Порядок надання відпусток та їх тривалість встановлюють за Законом України "Про відпустки" від 15.11.1996 р. Конкретна тривалість відпусток на підприємстві затверджується в колективному договорі. Розпорядок робочого дня та вимоги трудової дисципліни для працівників визначають "Правилами трудового розпорядку на підприємстві".

Важливим питанням охорони праці є нормування "робочого "часу та відпочинку працівників. Кодексом Законів України про працю визначено, що тривалість робочого часу у працівників не може перевищувати 40 годин на тиждень, а на роботах із важкими та шкідливими умовами праці не більше 36 годин. Для осіб віком від 16 до 18 років - 36 год. на тиждень. Робочий тиждень має бути п'ятиденним з двома вихідними днями. Проте дозволяється на безперервно діючих виробництвах запровадити шестиденний робочий тиждень з одним вихідним днем. Тривалість робочого часу при п'ятиденному робочому тижні не повинна перевищувати 8 годин, при шестиденному - 7 годин, а останній шостий день скорочується на дві години. Для відпочинку працівникам надається щорічна основна та додаткова оплачувані відпустки. Тривалість відпустки згідно із Законом України "Про відпустки" повинна бути не менше 24 календарних днів, а для осіб до 18 років - 31 календарний день. Додаткова відпустка надається за роботу у шкідливих умовах праці певним категоріям працівників за результатами атестації робочих місць в середньому до 7 календарних днів та за особливий характер роботи і ненормований робочий день до 7 календарних днів.

Порядок забезпечення працівників засобами індивідуального захисту встановлюється "Положенням про порядок забезпечення працівників спеціальним одягом, спеціальним взуттям та іншими засобами індивідуального захисту", затвердженого наказом Державного Комітету України з нагляду за охороною праці від 29 жовтня 1996 р. № 170, і також регулюється КЗпП України. Норми безкоштовної видачі встановлюється "Типовими галузевими нормами видачі працівникам спеціального одягу, спеціального взуття та інших засобів індивідуального захисту".

Порядок проведення медичних оглядів працівників певних категорій встановлюється "Положенням про медичний огляд працівників певних категорій". З метою оцінки стану здоров'я, визначення придатності працівника до виконання певних видів робіт, запобігання розвитку професійних захворювань підприємство організовує медичні огляди - попередній та періодичний. Проводяться медичні огляди за кошти підприємства.

Попередній медичний огляд проводиться при прийнятті працівника на роботу для встановлення фізичної і психофізіологічної придатності його до виконання роботи за конкретною професією, спеціальністю, посадою та допуску до роботи осіб віком до 21 року. Направляє працівника на медичний огляд керівник підприємства, який приймає його на роботу.

Періодичні медичні огляди проводяться для осіб, що зайняті на важких роботах, роботах із шкідливими чи небезпечними умовами праці, відповідно до "Переліку шкідливих речовин, несприятливих виробничих факторів і робіт", для виконання яких обов'язкові медичні огляди працівників.

Органи, що здійснюють державний нагляд та контроль за охороною праці, визначено в Законі України "Про охорону праці". За станом охорони праці на підприємстві державний нагляд здійснюють державні інспекції по нагляду за охороною праці, органи прокуратури, санітарно-епідеміологічна служба, служби охорони праці державних адміністрацій. Громадський контроль за станом умов праці та безпекою виробничих процесів на підприємстві здійснюють профспілковий комітет та уповноважені трудових колективів. Адміністративний контроль здійснюють служба охорони праці підприємства, керівники та спеціалісти підприємства.

Забезпечення пожежної безпеки на підприємстві визначається Законом України "Про пожежну безпеку" та "Правилами пожежної безпеки в Україні".

Забезпечення пожежної безпеки є невід'ємною частиною виробничої діяльності підприємства і в цілому покладається на керівника підприємства та безпосередньо на керівників виробничих підрозділів, в обов'язки яких входить дотримання вимог правил пожежної безпеки, проведення протипожежних інструктажів, що здійснюються одночасно з інструктажами з охорони праці, обладнання виробничих приміщень первинними засобами гасіння пожежі. До первинних засобів гасіння відносять ручні вогнегасники, які розміщують із розрахунку один вогнегасник на 200 м2 площі приміщення. Також виробничі приміщення обладнують пожежними щитами, на яких розміщують ломи, сокири, лопати, багри, відра та біля них ящики з піском і бочки з водою.

Зважаючи на вищезазначене стає зрозуміло, що охорона праці в ННДЦ Білоцерківського НАУ, розміщеного на території Білоцерківського району, знаходиться на належному рівні й виконується згідно з законодавчо-нормативною базою України.

Висновки

Забезпечення сталого розвитку сучасних аграрних виробничих систем в умовах перехідного періоду і використання в обмежених обсягах хіміко-технологічних ресурсів виникає проблема їх часткової заміни альтернативними мало витратними заходами, що базуються на природних процесах самовідновлення. Одним з таких є розробка біологізованих елементів агротехнології під тритикале озиме, які сприяють біологічній азотфіксації та мобілізації фосфору з важкорозчинних сполук мінеральних і органічних комплексів ґрунтів та добрив.

. Показано, мікробіологічні препарати - діазобактерину і альбобактерин - азотфіксуючих Azospіrіllum brasilense та фосфатмобілізуючих Achromobacter album 1122 мікроорганізмів достовірно впливають на інтенсифікацію ростових процесів у посівах тритикале - сира та суха маса рослин за комплексного їх застосування збільшується на 1,3-2,3 та 1,8-2,5 рази, відповідно.

. Відмічено, що конкретний сорт тритикале озимого по-різному чутливий на дію мікробіологічних препаратів. Найбільша контрастність за біометричними показниками як реакції на вплив мікробіологічних препаратів відмічено на посівах сортів АД 256, Славетне, Ягуар, Вівате Носівський. Рослини сорту ДАУ 5 більш краще реагували на застосування діазобактерину, а сорту Августо - альбобактерину

. Комплексне застосування мікробіологічних препаратів діазобактерину та альбобактерину на посівах тритикале озимого забезпечує регулювання поширеності збудників хвороб, зокрема зменшує ураженість септоріозм листя в 9 разів, сніговою пліснявою - в 2,5 рази, борошнистою росою - в 4 рази, порівняно з варіантом без інокуляції.

. Показано, що найвищий рівень фітотоксичності ґрунту (% інгібування схожості насіння текст-культури) спостерігався в агроекосистемі на варіанті застосування на посівах тритикале озимого підвищених доз мінерального азотного добрива у дозі N90 й становив понад 50 %, що зумовлено нагромадженням фітотоксичних речовин - продуктів метаболізму ґрунтових мікроорганізмів. Тоді як на ґрунтах перелогу він складав менше 10 %.

. Застосування діазобактерину та альбобактерину на посівах тритикале озимого забезпечує кращий екологічний стан ґрунту за показниками його фітотоксичної активності, зокрема застосування діазобактерину зменшує фітотоксичну активність ґрунту в 1,7 разів, порівно з контролем без інокуляції та 2,5 разів, порівняно з фоном мінеральних добрив у дозі N90, а альбобактерину - 2,3 та 3,3 %, відповідно.

Пропозиції виробництву

Виробництву пропонується у разі вирощування тритикале озимого проводити передпосівну інокуляцію комплексом мікробіологічних препаратів - діазобактерину та альбобактерину, що забезпечує приріст сирої та сухої маса рослин за комплексного їх застосування в 1,3-2,3 та 1,8-2,5 рази, відповідно; зменшує ураженість септоріозм листя в 9 разів, сніговою пліснявою - в 2,5 рази, борошнистою росою - в 4 рази, порівняно з варіантом без інокуляції; зменшує фітотоксичну активність ґрунту в 1,7-3,3 рази, порівно з контролем без інокуляції та застосуванням мінеральних добрив у дозі N90. Це в свою чергу позитивно відіб’ється на збереженні динамічної рівноваги в автотрофному блоці агроекосистеми та сприятиме одержанню високих урожаїв зерна та зеленої маси тритикале озимого.

Список використаної літератури

1. Патыка В.П., Тихонович І.А., Філіп’єв І.Д. та ін. Мікроорганізми і альтернативне землеробство / Під ред. В.П. Патики. - К.: Урожай, 1993. - 176 с.

2. Умаров. М.М. Асоціативна азотфіксація. - М.: Наука, 1986. - 131 с.

. Умаров М.М. Значення несимбіотичної азотфіксації в балансі азоту в грунті / Изв. АН СРСР. Сер. біол. наук - 1982. - № 4. - С. 95-105.

. Звягинцев Д.Г. Почва и микроорганизмы. М., 1987. - 256 с.

. Патика В.П. Біологічний азот: монографія / В.П. Патика, С.Я. Коць, В.В. Волкогон; за ред. В.П. Патики. - К.: Світ, 2003. - 424 с.

. Проскурін В.М. Оцінка сортів і мутантів ярого ячменю за ефективністюбіологічної фіксації азоту // Оптимізація структури агроландшафтів і раціональне використання ґрунтових ресурсів / В.М. Проскурін, Л.В. Подоба: Мат. наук.-вир. конф.; ред. В.П. Патика, О.Г. Тараріко, М.А. Лапа. (Київ 4-7 липня 2000 р.) - К., 2000. - С. 97-98.

. Рассохина В.В. Действие биопрепаратов и регуляторов роста на урожайность яровой пшеницы и микрофлору почвы // Агрохимия и экология: история и современность / В.В. Рассохина: Материалы междунар. науч.-прак. конф.; ред. В.И. Титова. (Н.Новгород, 15-18 апреля 2008 г.). - Н. Новгород, 2008. - Т. 2. - С. 176-179.

. Патыка В.Ф., Шерстобоева Е.В., Зарицкий Н.М., Круглых Д.Г., Тихосова А.А., Калиниченко В.И. Микробиологические препараты для биологизации земледелия // Промышленные технологии производства средств биологизации земледелия. Мониторинг энтомофагов (Материалы междун.симп., Одесса, 28 сент.-2окт., 1999 г.). - Одесса. - 1999. - Т. 2. - С. 23.

. Шерстобоєва О.В., Шерстобоєв М.К., Гармашов В.В. Індукована асоціативна азотфіксація як елемент екологічного землеробства //Онтогенез рослин, біологічна фіксація молекулярного азоту та азотний метаболізм (Матеріали Міжн. Наук. конф., 1-4 жовт. 2001р., м. Тернопіль) Тернопіль. - 2001. - С. 203-207.

. Мікробні препарати у землеробстві. Теорія і практика: Моногр. / В.В. Волкогон, О.В. Надкернична, Т.М. Ковалевська, Л.М. Токмакова, Є.П. Копилов. - К.: Аграр. наука, 2006. - 312 с.

. Сільськогосподарська мікробіологія - на допомогу аграрному виробництву: Зб. наук. пр. / В.П. Патика, Г.М. Панченко, М.М. Зарицький, О.В. Надкернична, В.В. Волкогон, Л.М. Токмакова; Ін-т с.-г. мікробіології УААН. - Чернігів, 2001. - 59 с.

. Роль біофосфору в підвищенні продуктивності рослин / Л.О. Чайковська, В.П. Патика // Вісн. аграр. науки. - 2000. - N 9. - С. 21-23.

. Малиновська І.М. Агроекологічні основи мікробіологічної трансформації біогенних елементів ґрунту: дис... д-ра с.-г. наук: 03.00.16 / Інститут агроекології та біотехнології УААН. - К., 2003. - 34с.

. Микробиологические препараты в системе земледелия / В.Ф. Патыка // Вісн. аграр. науки. - 1999. - N 1. - С. 18-23.

. Екологія мікроорганізмів: Посіб. / В.П. Патика, Т.Г. Омельянець, І.В. Гриник, В.Ф. Петриченко; Ін-т мікробіології і вірусології ім. Д.К.Заболотного НАНУ, Нац. авіац. ун-т. - К.: Основа, 2007. - 188 c.

. Агроэкологическая роль азотфиксирующих микроорганизмов в аллелопатии высших растений: Моногр. / В.Ф. Патыка, Г.Ф. Наумов, Л.В. Подоба, А.Н. Николаенко, Л.Н. Поташева; Харьк. нац. аграр. ун-т им. В.В.Докучаева, Ин-т агроэкологии и биотехнологии УААН. - К.: Основа, 2004. - 320 с.

. Добряк Д.О., Канаш О.П., Розумний І. А. Класифікація та екологічне використання сільськогосподарських земель. - К., 2001. - 309 с.

. Третяк А.М. Теоретичні основи землеустрою. - К.: Інститут землеустрою УААН, 2002. - 152 с.

. Методичні рекомендації оцінки екологічної стабільності агроландшафтів та сільськогосподарського землекористування. /Третяк А.М., Третяк Р.А., Шквар М.І., К.: Інститут землеустрою УААН, 2001. - 15с.

. Адамень Ф.Ф. Азотфіксація та основні напрями поліпшення азотного балансу ґрунтів / Ф.Ф. Адамень // Вісн. аграр. науки. - Аграр. наука. - 1999. - № 2. - С. 9-17.

. Мікробні препарати у землеробстві. Теорія і практика / В.В. Волкогон, О.В. Надкернична, Т.М. Ковалевська [та ін.]. - К.: Аграр. наука, 2006. - 312 с.

. Доспехов Б.А. Методика полевого опыта. - М.: Агропромиздат, 1995. - 352 с.

23. Методика государственного сортоиспытания сельскохозяйственных культур. - М.: Колос, 1971. - Вып. 2. - 239 с.

24. Емкова Е.С. Изменчивость почвенных микроорганизмов в агроценозе. - Ин-т микробиологии АН Республики Молдова. - Кишинев, 1998. - 175 с.

. Звягинцев Д.Г. Почва и микроорганизмы. - М.: Изд-во Моск. ун-та., 1987. - 256 с.

. Кудеярова Е.И. Разнообразие микробных сообществ при различных антропогенных нагрузках. - Кишинев: Высш. шк., 1999. - 273 с.

. Берестецкий О.А. Фитотоксины почвенных микроорганизмов и их роль // Фитотоксичные свойства почвенных микроорганизмов. - Л., 1978. - С. 7-30.

. Мирчинк Т.Г. Почвенная микробиология. Учебник. - М.: Изд-во МГУ, 1988. - 220 с.

. Берестецкий О.А., Патыка В.Ф., Надкерничный С.П. // Вопросы экологии и физиологии микроорганизмов, используемых в сельском хозяйстве. Л.: ВНИИ сельскохоз. микробиологии, 1976. - С. 56-60.

. Берестецкий О.А., Боровков А.В. // Микробиол. журнал. 1981. Т. 43. № 4. - С. 517-530.

. Белякова Г.А., Левкина Л.М. // Микология и фитопатология. 1990. Т. 24. № 2. - С. 128-136.

. Белякова Г.А., Левкина Л.М. // Микология и фитопатология. 1992. Т. 26. № 3. - С. 183-188.

. Билай В.И. Фузарии. - К.: Наукова думка, 1977. - 442 с.

. Боровков А.В., Берестецкий О.А. // Микология и фитопатология. 1983. Т. 17. № 4. - С. 349-358.

. Проценко М.А. // Микология и фитопатология. 1987. Т. 21. № 1. - С. 91-100.

. Филиппов В.В., Андреев Л.Н., Базилинская Н.В. Фитопатогенные грибы рода Verticillium. - М.: Наука, 1980. 447 c.

. Успенская Г.Д., Решетникова И.А. // Микология и фитопатология. 1975. Т. 9. № 4. - С. 355-357.

. Пегг Дж.Ф. Борьба с болезнями растений: устойчивость и восприимчивость. М.: Колос, 1984. - С. 20-37.

. Берестецкий А.О. Грибы и водоросли в биоценозах. Материалы межд. конф., посвященной 75-летию биологического факультета МГУ. М.: Макспресс, 2006. - С. 26.

. Симочко Л.Ю., Домбай І.В. Фітотоксична активність ґрунту різних екосистем в умовах низинної частини Закарпаття // Наук. вісн. Волинського державного університету ім. Лесі Українки. - Вип. 5. - 2007. - С. 254-258.

Додатки



Похожие работы на - Агроекологічні аспекти застосування мікробіологічних препаратів на посівах тритикале озимого

 

Не нашли материал для своей работы?
Поможем написать уникальную работу
Без плагиата!
Без нейросетей!