Анализ карбоновых кислот в воздухе

  • Вид работы:
    Курсовая работа (т)
  • Предмет:
    Экология
  • Язык:
    Русский
    ,
    Формат файла:
    MS Word
    103,36 Кб
  • Опубликовано:
    2012-09-08
Вы можете узнать стоимость помощи в написании студенческой работы.
Помощь в написании работы, которую точно примут!

Анализ карбоновых кислот в воздухе

ВВЕДЕНИЕ

Карбоновые кислоты С1 - С3 относятся к веществам общетоксического действия, широко распространены в природе, являются антропогенными загрязнителями окружающей среды в химической, кожевенной, текстильной, целлюлозно-бумажной, пищевой промышленности. Содержание их паров в воздухе рабочей зоны опасно для здоровья человека не только при концентрациях на уровне предельно допустимых (ПДКр.з.), но и вследствие эффекта куммулятивности при более низких концентрациях. Содержание кислот С1 - С3 в воздухе рабочей зоны строго контролируется и является одним из важнейших показателей качества продуктов питания (животные и кулинарные жиры, растительные масла, маргарины, молочные и кисломолочные продукты, майонез, ликероводочная продукция и др.).

Определение паров карбоновых кислот С1 - С3 в воздухе традиционно проводят хроматографическими методами. Перспективна разработка альтернативных методов с общим аппаратурным оформлением и единым методологическим подходом, позволяющих проводить анализ не только в лабораторных условиях.

Глава 1. Свойства, способы получения и применения карбоновых кислот

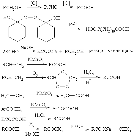
Общепринятым методом синтеза карбоновых кислот является окиcление первичных спиртов или альдегидов. Однако прямое окисление первичных спиртов хромовой кислотой зачастую дает плохие выходы [2], так как и образующегося в качестве промежуточного соединения альдегида и не прореагировавшего спирта может получиться полуацеталь, который очень быстро окисляется в эфир. Прямое окисление пероксидом никеля осуществляется без подобных осложнений. Однако при окислении алифатических спиртов наблюдается падение выхода при уменьшении их растворимости в воде. Следовательно, во многих случай более предпочтительно окисление хлорохроматом пиридиния в альдегиды, а затем перманганатом калия в присутствии катализатора межфазного переноса или оксидом хрома (VI) в кислоты. Аллиловые спирты очень легко окисляются оксидом серебра (II) в присутствии цианид-ионов в a,b-ненасыщенные карбоновые кислоты. С хорошими выходами осуществляется озонолиз циклических ацеталей в эфиры карбоновых кислот.

Окисление метил- или алкилароматических соединений, содержщих a-Н (PhCHR2 -> PhCOOH), перманганатом калия в щелочной среде позволяет получать ароматические карбоновые кислоты. С этим способом сравнимо радикальное хлорирование метилароматических соединений в трихлорметилароматические производные с последующим их гидролизом (PhCH3 -> PhCCl3 -> PhCOOH).

В синтезе карбоновых кислот большое значение приобрели методы введения карбоксильной группы в качестве С1-единицы при взаимодействии металлоорганических соединений (например, реактив Гриньяра) с твердым диоксидом углерода и замещение галогеналканов цианидом натрия с образованием нитрилов и последующим их гидролизом.

С хорошим выходом протекает и карбоксилирование метилмагнийкарбонатом СН-кислотных кетонов в a-положение с образованием b-кетокарбоновых кислот (осторожно! при выделении продукты легко декарбоксилируются!). Интересным вариантом является прямое карбоксилирование трианионов 2,4,6-трикетосоединений в положение 1 с образованием поли-b-кетокислот.

Кетоны и олефины можно превратить в карбоновые кислоты путем расщепления С-С-связи. Так, например, окисление циклогексанона перманганатом калия дает адипиновую кислоту. Окислением циклических олефинов перманганатом калия в присутствии катализатора межфазного переноса при определенных условиях можно получить 1,2-диолы илиa,w-биальдегиды. Если кетоны вводят в реакцию с надкислотами, то в результате перегруппировки получают эфиры карбоновых кислот (окисление по Байеру-Виллигеру). При взаимодействии метилкетонов с галогенами (Х2) в щелочной с отщеплением метильной группы (в виде СНХ3) образуются соответствующие карбоновые кислоты (галоформная реакция). В качестве промежуточного соединения образуется a-тригалогенметил кетон (R-СО-СН3 -> R-СО-СХ3 -> R-COOН + СНХ3).

Арилкетоны, вступая в реакцию с морфолинполисульфидом с пoследующим гидролизом, дают фенилалкил-w-карбоновые кислоты с сохранением углеродного скелета. Особенно элегантно протекает превращение алкиларилкетонов в производное арилуксусной кислоты под действием нитрата таллия (III) на носителе.

В щелочной среде 1,2-дикетоны подвергаются бензильной перегруппировке (R-CO-CO-R -> RRC(OH)-COOH). Синтетический интерес представляет также превращение в монооксим с последующей перегруппировкой по Бекману.

Расщепление 1,3-дикарбоновых соединений и перегруппировка Фаворского также пригодны для синтеза карбоновых кислот. Постоянно возрастает и количество гетероциклов, привлекаемых для синтеза (в особенности для энантиоселективного) замещенных карбоновых кислот.

Кроме того, карбоновые кислоты получают гидролизом хлорангидридов и ангидридов кислот, сложных эфиров и амидов. Но сами эти соединения чаще всего получают из карбоновых кислот. Синтетическое значение имеет ферментативный гидролиз диэфиров мезомерных дикарбоновых кислот с образованием энантиомерно чистых соединений (например, с использованием эстеразы из свиной печени).

Гидролиз


 

Окисление

 

Карбоксилирование и карбоксиметилирование металлорганических соединений


 

Конденсация

 

Щелочное расщепление


 

Замещение и присоединение


 

Перегруппировки


Глава 2. Карбоновые кислоты в воздухе

Газохроматографический анализ таких полярных соединений, как карбоновые кислоты, связан с техническими трудностями. Для предотвращения необратимой адсорбции микропримесей исследуемых веществ насадку хроматографичёской колонки и коммуникации хроматографа предварительно обрабатывают 5%-ной фосфорной кислотой [246], а затем кондиционируют в течение нескольких часов при высокой температуре. Можно рекомендовать ввод в хроматограф непосредственно перед анализом 3 мкл 40%-ной муравьиной кислоты для дезактивации активных центров носителя и пассивации всех внутренних поверхностей хроматографа, с которыми соприкасается проба при анализе.

Кислый характер анализируемых веществ позволяет использовать щелочные растворы для селективного улавливания карбоновых кислот из загрязненного воздуха, что значительно облегчает последующую хроматографическую идентификацию компонентов пробы. Для этой цели применяют раствор щелочи, импрегнированный щелочью фильтр из стекловолокна [247] или водный раствор карбоната натрия [246]. Собранную в ловушке кислоту регенерируют фосфорной или соляной кислотой и экстрагируют летучим органическим растворителем, а после концентрирования экстракта часть его анализируют методом газовой хроматографии. Основные потери анализируемых примесей кислот в этом случае связаны с экстракцией пробы, которая тем не менее достигает 901.

При анализе карбоновых кислот и других полярных органических соединений лучше всего применять стеклянные колонки и полярные неподвижные фазы [247] или полимерные сорбенты, обработанные фосфорной кислотой [246]. Для детектирования микропримесей карбоновых кислот используют ПИД, чувствительность которого на уровне 10_7%, а точность анализа может быть не ниже 10%, [247]. Разделение нелетучих высших карбоновых кислот можно осуществить на стальной капиллярной колонке с версамидом 930 [248]. Этот метод (связанный с превращением кислот в эфиры) сложен. Поэтому при анализе смесей загрязнителей, содержащих высшие карбоновые кислоты Ci7-С29 (например, при исследовании состава летучих продуктов, выделяющихся в воздухе при разложении канифоли в процессе панки металла), проще определять их колориметрическим методом, а для определения карбоновых кислот с меньшей молекулярной массой - применять метод газовой хроматографии [249}. Хроматографическое разделение этих кислот, а также присутствующих в загрязненном парами канифоли воздухе альдегидов и спиртов, осуществляли на капиллярной колонке со скваланом, а для идентификации компонентов пробы применяли сочетание газовой хроматографии (методика вычитания, анализ на неподвижных фазах различной полярности) с химическим анализом пробы на некоторые функциональные группы. Хроматографический анализ смоляных кислот в объектах окружающей среды описан в работе [250]. Для определения в воздухе микропримесей муравьиной кислоты ее превращали в этилформиат [251], а при анализе изомеров масляной и валериановой кислот их извлекали из воздуха в ловушке с графитирован-ной сажей, которая была обработана небольшим количеством фосфорной кислоты и SP-1000 [252].

Методом ГХМС проведено исследование одорантов различной химической природы (амины, меркаптаны, сульфиды, спирты, кислоты и др.) в помещении животноводческих ферм и фабрик по производству костной муки [253]. В воздухе свиноводческих ферм обнаружены примеси 29 свободных кислот, 14 спиртов, 7 эфиров, 8 карбонильных соединений, 4 фенолов, а также нафталин, индол и скатол. Методом газовой хроматографии анализировали воздух, загрязненный продуктами термического распада сульфофрезола, применяемого в качестве смазочно-охлаждающей жидкости в машиностроении [254]. Газовую хроматографию использовали для быстрого определения в воздухе оксида этилена, использующегося в качестве стерилизующего и инсектицидного препарата [255], а также для определения в воздухе микропримесей стероидных гормонов, идентификацию которых осуществляли методом ГХМС и по чистым веществам [256].

Глава 3. АНАЛИЗ КАРБОНОВЫХ КИСЛОТ В ВОЗДУХЕ

Фотометрическое определение суммы одноосновных карбоновых кислот группы c1 - c9 в воздухе производственных помещений

. Определение основано на переведении карбоновых кислот в метиловые эфиры, взаимодействии последних с гидроксиламином и хлорным железом с образованием окрашенного гидроксамового комплекса.

. Предел обнаружения 10 мкг в анализируемом объеме раствора.

. Предел обнаружения в воздухе 0,25 - 5,0 мг/куб. м (расчетная).

. Определению не мешают: минеральные кислоты, спирты, ацетон, динил, сложные летучие эфиры карболовых кислот.

. Предельно допустимые концентрации в воздухе:

муравьиной кислоты - 1 мг/куб. м; уксусной кислоты - 5 мг/куб. м; пропионовой - 20 мг/куб. м; масляной - 10 мг/куб. м; валериановой - 5 мг/куб. м; капроновой - 5 мг/куб. м.. Реактивы и аппаратура

. Применяемые реактивы и растворы.

Стандартный раствор N 1 готовят из перегнанной кислоты следующим образом: в мерную колбу вместимостью 25 мл вносят 10 - 15 мл метанола и взвешивают на аналитических весах. Добавляют 0,2 - 0,3 мл определяемой кислоты и вновь взвешивают. Объем раствора доводят до метки метиловым спиртом и перемешивают. По разности между вторым и первым взвешиванием определяют навеску кислоты и рассчитывают содержание ее в 1 мл.

Стандартный раствор N 2 с содержанием 0,1 мг в 1 мл готовят соответствующим разбавлением раствора N 1 метанолом.

Раствор устойчив в течение двух дней.

Метанол, х.ч., ГОСТ 6996-67, осушенный металлическим магнием. В круглодонную колбу с обратным холодильником помещают 0,5 г йода, 5 г магния и 50 - 75 мл метанола. Смесь нагревают на водяной бане с помощью закрытой плитки, так как в результате реакции выделяется водород. Если при этом не происходит бурного выделения водорода, то добавляют еще 0,5 г йода и нагревают смесь до тех пор, пока весь магний не превратится в метилат магния. Затем прибавляют еще 900 мл метанола и смеси кипятят с обратным холодильником в течение 30 мин., метанол отгоняют, предохраняя от влаги. Хранят в склянке с хорошо притертой пробкой.

Йод, ГОСТ 4159-64.

Спирт этиловый 96°, ГОСТ 5963-67, обработанный едким кали. Для этого к 100 мл спирта добавляют 20 г едкого кали, перемешивают и оставляют стоять 2 ч. Затем перегоняют при 78 °C.

Кали едкое, ГОСТ 4203-65.

Серная кислота, ГОСТ 4204-66.

Гидроксиламин гидрохлорид, ГОСТ 5456-65, 4 н раствор.

Натр едкий, ГОСТ 4328-66, 4 н раствор и 0,05 н водно-спиртовой раствор (1:1).

Соляная кислота, ГОСТ 3118-67, 4 н раствор.

Железо треххлористое 6-водное, ГОСТ 4147-74, 1,6-процентный раствор в 0,5 н соляной кислоте.

Фенолфталеин, ГОСТ 5850-72, 0,5-процентный спиртовой раствор.

Силикагель марки АСМ с величиной зерен 0,5 - 2 мм.

Силикагель обрабатывают разведенной соляной кислотой (1:1) при нагревании (60 - 80 °C), периодически помешивая. Кислоту меняют, пока последняя не будет бесцветной. Затем силикагель отмывают водой от ионов хлора, сушат при 105 °C и активируют в течение 30 мин. при 200 - 250 °C. Хранят силикагель в посуде с хорошо притертой пробкой.

. Применяемые посуда и приборы.

Аспирационное устройство.

Видоизмененные поглотительные приборы Зайцева.

Колбы мерные, ГОСТ 1770-74, вместимостью 10, 25, 50 и 100 мл.

Пипетки, ГОСТ 20292-74, вместимостью 1, 2, 5, 10 мл с делениями на 0,01 и 0,1 мл.

Пробирки колориметрические плоскодонные из бесцветного стекла, с притертыми пробками высотой 120 мм и внутренним диаметром 15 мм.

Чашки выпарительные, d = 4 - 6 см.

Водяная баня.

Круглодонная колба на 2 л.

Обратный холодильник.

Холодильник Либиха прямой.

Дефлегматор.

Электрическая плитка закрытая.

Спектрофотометр или фотоэлектроколориметр.. Отбор пробы воздуха

. Воздух аспирируют со скоростью 1 л/мин. через видоизмененный поглотительный прибор Зайцева, наполненный 2 г силикагеля. Для определения 1/2 ПДК муравьиной кислоты следует отобрать 40 л воздуха; для уксусной, валериановой, капроновой - 8 л, для масляной - 4 л, для пропионовой - 2 л.. Описание определения

. Силикагель переносят в пробирку с притертой пробкой, заливают 6 мл этанола и оставляют на 60 мин., периодически встряхивая. Для анализа 3 мл прозрачного раствора помещают в выпарительную чашку. Кислоты переводят в натриевые соли путем осторожной нейтрализации пробы 0,05 н водно-спиртовым раствором (1:1) едкого натра в присутствии 1 капли фенолфталеина. Чашку помещают на водяную баню, нагретую до 90 - 95 °C для удаления растворителя. Вместе с растворителем испаряются и летучие сложные эфиры, если они присутствуют в пробе.

Сухой остаток солей карбоновых кислот подсушивают в эксикаторе (2 - 3 ч) или в сушильном шкафу при 80 °C (30 мин.), растворяют в 1,5 мл метанола с добавлением 1 капли серной кислоты (дробными порциями) и переносят в колориметрическую пробирку с притертой пробкой. Раствор в пробирке оставляют на 30 мин. при комнатной температуре для образования метилового эфира. По истечении указанного времени вносят по 0,2 мл 4 н раствора гидроксиламина, 0,6 мл 4 н раствора едкого натра и оставляют на 15 мин. для образования гидроксаматов. Затем добавляют по 1 капле фенолфталеина и нейтрализуют содержимое 4 н раствором соляной кислоты. Далее во все пробирки вносят по 2,5 мл 1,6-процентного раствора хлорного железа, перемешивают и фотометрируют при длине волны 490 нм в кюветах с толщиной слоя 10 мм относительно контроля, который готовят аналогично пробам.

Фотометрическое измерение концентраций соли карбоновых кислот (с18-c20) и моноэтаноламина в воздухе рабочей зоны


где R - радикал с 18-20 атомами углерода.

М. м. 390,0

В воздухе находится в виде паров и аэрозоля.

Обладает общетоксическим действием.

ПДК в воздухе - 2 мг/м3.

Характеристика метода

Методика основана на экстракции хлороформом окрашенного ионного ассоциата соли карбоновых кислот (C18-С20) и моноэтаноламина с метилоранжем при рН = 2,0-3,0 и последующим фотометрировании экстрактов при 420 нм.

Отбор проб проводится с концентрированием в этиловый спирт и на фильтр.

Нижний предел измерения содержания соли смеси карбоновых кислот и моноэтаноламина в анализируемом объем: пробы - 20 мкг.

Нижний предел измерения в воздухе - 1,5 мг/м3 (при отборе 13 л воздуха).

Диапазон измеряемых концентраций - 1,5-15,4 мг/м3.

Определению не мешают: жирные кислоты таллового масла и моноэтаноламин.

Суммарная погрешность измерения не превышает ±25 %.

Время выполнения измерения, включая отбор проб, - 2 ч 30 мин.

Отбор пробы воздуха

Для определения аэрозоля ИКБ-4 ТМ воздух аспирируют со скоростью 2 л/мин через фильтр, помещенный в фильтродержатель.

Для определения паров ИКБ-4 ТМ воздух аспирируют со скоростью 1 л/мин через систему, состоящую из фильтра и соединенных с ним 2-х поглотительных сосудов, содержащих по 4 мл этилового спирта.

Поглотительные сосуды во время отбора пробы помещают в охлаждающую смесь измельченного льда с хлористым натрием. Анализируют лишь содержание поглотительных приборов.

Для определения 0,5 ПДК ИКБ-4 ТМ необходимо отобрать в этиловый спирт 20 л воздуха и на фильтр 40 л воздуха.

Пробы анализируют в день отбора.

Проведение измерения

Фильтр с отобранной пробой помещают в пробирку с пришлифованной пробкой и заливают 8 мл этилового спирта. Выдерживают 2 часа, перемешивают, отбирают на анализ 4 мл, помещают их в делительную воронку, приливают 4 мл воды и далее анализируют аналогично градуировочным растворам.

Раствор в поглотительном приборе перемешивают, смывая адсорбировавшееся вещество со стенок входной трубки этим же раствором с помощью резиновой груши. Затем полностью переносят в делительную воронку, промывая поглотитель дважды 2 мл воды и далее анализ проводят аналогично градуировочным растворам.

Количественное определение содержания ИКБ-4 ТМ (в мкг) в анализируемой пробе проводят по предварительно построенному градуировочному графику.

Расчет концентрации

Концентрацию ИКБ-4 ТМ «С» в воздухе (мг/м3) вычисляют по формуле:

, где

а - содержание вещества в анализируемом объеме пробы, найденное по градуировочному графику, мкг;

б - объем пробы, взятой для анализа, мл;

в - общий объем раствора пробы, мл;

V - объем воздуха, отобранного для анализа и приведенного к стандартным условиям, л (см. приложение <#"584993.files/image010.gif">=2,0-3,0 мг/см). 20-30 см 10% раствора гидроксида тетраэтиламмония помещают в мерную колбу вместимостью 50 см, добавляют 100-150 мг карбоновой кислоты (С1-С6) и доводят объем до метки дистиллированной водой. Срок хранения раствора - 1 месяц.

Рабочий раствор кислоты (С1-С6) для градуировки (=0,02-0,03 мг/см). 1,0 см исходного раствора кислоты помещают в мерную колбу вместимостью 100 см, доводят объем до метки 0,1% раствором гидроксида тетраэтиламмония. Срок хранения раствора - 1 месяц.

Исходный раствор изомасляной кислоты (внутренний стандарт) для градуировки. 20-30 см дистиллированной воды помещают в мерную колбу вместимостью 100 см, добавляют 100-120 мг изомасляной кислоты и доводят объем до метки дистиллированной водой. Срок хранения раствора - 1 месяц.

Рабочий раствор изомасляной кислоты (внутренний стандарт) для градуировки. 1,0 см исходного раствора изомасляной кислоты помещают в мерную колбу вместимостью 100 см доводят до метки дистиллированной водой. Полученный раствор переливают в стаканчик вместимостью 150 см и титруют гидроксидом тетраэтиламмония до рН 10-11. Хранят раствор внутреннего стандарта в колбе с притертой пробкой до 1 месяца.

Тетраэтиламмоний гидроксид 10% раствор. 10 г тетраэтиламмония гидроксида растворяют в 100 см дистиллированной воды.

Тетраэтиламмоний гидроксид 2% раствор. 2 г тетраэтиламмония гидроксида растворяют в 100 см дистиллированной воды.

Тетраэтиламмоний гидроксид 0,1% раствор, 1,0 см 10% раствора помещают в мерную колбу вместимостью 100 см, доводят до метки дистиллированной водой.

Алкилирующий раствор. В пробирку П4-10 объемом 10,0 смотвешивают 110-120 мг свежеперегнанного хлористого бензила и добавляют 5,0 см обезвоженного над окисью кальция ацетона. Раствор хранят в пробирке П4-10 с притертой пробкой не более 5 дней.
 Дезактивирующий раствор. 25,0 мг хлорида калия помещают в мерную колбу вместимостью 50 см, добавляют 15,0 мг ПЭГ-20М и доводят объем до метки метанолом. Компоненты смеси растворяют при легком нагревании на водяной бане.

Неподвижная жидкая фаза для хроматографической колонки. 50,0 мг ПЭГ-20М, 250 мг СКТФТ-50Х взвешивают в мерной колбе вместимостью 50 см и добавляют до метки хлористый метилен. Полное растворение происходит при многократном нагревании на водяной бане до легкого кипения раствора и постоянном взбалтывании.

.2. Подготовка хроматографической колонки и сорбционной трубки

Хроматографическую колонку промывают горячей дистиллированной водой, 5,0 см метанола и заполняют дезактивирующим раствором. Один конец капиллярной колонки запаивают и растворитель выпаривают высокотемпературным статическим методом с помощью установки УНФ-1. Температуру термостата поддерживают 270 °С, а испарителя - 400 °С. Скорость движения капилляра через испаритель должна составлять 10-15 мм/сек. После того как весь капилляр войдет в термостат, колонку выдерживают в термостате 30 мин, затем обламывают запаянный конец и подсоединяют ее к току азота или гелия при давлении 0,1 мПа. Через 30 мин термостат охлаждают, а дезактивированную и охлажденную колонку заполняют раствором неподвижной фазы. Один конец колонки запаивают и производят нанесение неподвижной фазы с помощью установки УНФ-1 (температура термостата - 200 °С, испарителя - 400 °С), далее как при дезактивации колонки.

Готовую колонку устанавливают в термостат хроматографа, не подключая к детектору, кондиционируют при постоянном подъеме температуры от начальной - 70 до 220 °С со скоростью 4 °/мин. При температуре 220 °С колонку тренируют в течение 30 мин. После охлаждения колонки ее подключают к детектору, записывают нулевую линию в рабочем режиме. При отсутствии дрейфа нулевой линии колонка готова к работе.
 Сорбционную трубку промывают водой, высушивают при температуре 120-150 °С и обрабатывают раствором гидроксида тетраэтиламмония. Для этого конец трубки, содержащий стеклянные гранулы, опускают в пробирку с 2% раствором гидроксида тетраэтиламмония и засасывают резиновой грушей такое его количество, чтобы весь слой гранул оказался пропитанным. Выдувают в пробирку излишки раствора и удаляют его остатки с наружной поверхности трубки фильтровальной бумагой. Подготовленную трубку хранят в пробирке ПЧ-20 с плотно закрытой пробкой в течение 10 суток.

Градуировочную характеристику устанавливают методом внутреннего стандарта с учетом градуировочного коэффициента на градуировочных растворах карбоновых кислот. Она выражает зависимость площади пиков бензиловых эфиров кислот на хроматограмме (мм) от массы (мг) кислот и строится по 5 сериям растворов для градуировки. Для этого в пробирку ПЧ-10 вместимостью 10 см помещают 0,1 см рабочего раствора кислоты для градуировки, 1 см рабочего раствора внутреннего стандарта и проводят алкилирование. Пробирку подсоединяют к водоструйному насосу, ставят на холодную водяную баню. Нагреватель водяной бани немедленно подключают к электросети через автотрансформатор, установленный так, чтобы через 45 мин нагрева температура воды в бане достигла 65±5 °С. После того как вода выпарится, нагрев бани выключают, пробирку отсоединяют и, для удаления следов воды, в нее добавляют пипеткой 0,2 см обезвоженного ацетона, снова подключают к водоструйному насосу и помещают в нагретую водяную баню на 10 мин. К сухим солям кислот в пробирке пипеткой добавляют 0,1 см алкилирующего раствора, закрывают пробкой и встряхивают в течение часа. Ацетон под легким током азота выпаривают и в пробирку последовательно приливают 100 мм четыреххлористрго углерода и 500 мм дистиллированной воды.

Сорбционную трубку с пробой опускают в пробирку П4-10 концом, содержащим стеклянные гранулы, и вводят пипеткой внутрь трубки 1 см раствора внутреннего стандарта. Прокачивают раствор 4-6 раз через слой гранул с помощью резиновой груши, вытесняют его остатки, вынимают трубку из пробирки, экстракт алкилируют (см. п.7.3).

В испаритель прибора вводят 1,0 мм раствора и анализируют в условиях установления градуировочной характеристики. На хроматограмме определяют площади пиков бензиловых эфиров кислот и рассчитывают массу -й кислоты  (мг) в пробе по формуле:

карбоновый кислота спирт альдегид

,

Пьезосенсорный детектор для раздельного определения муравьиной и уксусной кислот в воздухе

В современном аналитическом приборостроении актуальна разработка миниатюрных, работающих в режиме реального времени устройств для определения вреднодействующих и токсичных веществ в воздухе, к которым, в частности, относятся муравьиная и уксусная кислоты, представляющие опасность для здоровья человека не только при концентрациях на уровне ПДК (1 - 5 мг/м3), но и вследствие эффекта кумулятивности при более низких концентрациях [1 - 4]. При чрезвычайных ситуациях источники муравьиной и уксусной кислот классифицируются как стойкие очаги быстрого поражения [2]. Их определение необходимо для прогнозирования и получения оперативных данных об опасных производственных объектах, возможных масштабах аварий и степени проявления неблагоприятных факторов, а также для диагностики на уровне ПДК в воздухе рабочей зоны. Для определения опасных веществ в воздухе широкое применение получил метод пьезокварцевого микровзвешивания.

Цель исследования - разработка чувствительного и селективного пьезосорбционного детектора к парам муравьиной и уксусной кислот, предназначенного для их раздельного определения в воздухе.

Исследования проводили на экспериментальной установке включающей блок питания, ячейку детектирования с жестко закрепленными пьезокварцевыми резонаторами (ПКР) объемных акустических волн, электроды которых предварительно модифицировали сорбентами, компрессор, двухканальный электронно-счетный частотомер, совмещенный с персональным компьютером. В работе применяли ПКР AT-среза с собственной резонансной частотой 10 - 15 МГц, материал электродов Аl2О3, диаметр 5 мм [5].

Массу пленки (mпл, мкг) рассчитывали по уравнению Зауэрбрея [6]. Эффективность сорбции оценивали по величине аналитического сигнала (максимальное изменение частоты колебаний сенсора при сорбции) [5, 7, 8 - 10]. Концентрацию кислот в ячейке детектирования до начала сорбции с учетом разбавления их насыщенных паров лабораторным воздухом рассчитывали по приведенному уравнению Менделеева - Клапейрона [5, 7, 8 - 10]. Чувствительность пьезосенсоров к сорбируемым кислотам рассчитывали как отношение отклика ПКР с пленкой (пьезоссенсор) к концентрации кислоты в газовой пробе [5]. Кинетические параметры сорбции оценивали по времени полной равновесной сорбции [9].

Априори выбор сорбентов осуществляли с учетом критериев селективности по отношению к определяемым кислотам (константы Мак-Рейнольдса, коэффициенты Рошнайдера), а также природы сорбата и сорбента, их полярности. В качестве сорбентов нами изучены стандартные хроматографические фазы - полистирол (ПС), Тритон Х-100, эфиры полиэтиленгликоля - адипинат, сукцинат, себацинат, тетрабензоат пентаэритрита, поливинилпирролидон, Апиезон N, Апиезон L, сквалан, Тween-40 [11, 12].

Помимо хроматографических фаз для модификации электродов ПКР применяли b-аланин, глицин, натриевую соль этилендиаминоазобензолсульфокислоты (ЭДБСК), дибензо-18-краун-6, пчелиный клей, пчелиный воск [5]. Выбор этих соединений для модификации электродов ПКР обусловлен физико-химическими свойствами сорбентов и определяемых кислот.

Пленки на электродах ПКР формировали следующими способами:

cтатическое испарение капли раствора сорбента или послойное нанесение растворов двух сорбентов микрошприцем на поверхность электродов ПКР (I);

погружение ПКР в раствор сорбента (II) или в смесь растворов двух сорбентов (III).

В качестве растворителей применяли дистиллированную воду, ацетон и спирт классификации чда.

Выбор оптимального способа нанесения пленок на электроды ПКР осущест7вляли путем их формирования из растворов сорбентов одинаковой концентрации. Критерий оптимизации - воспроизводимость массы и сорбционной емкости пленок.

При формировании пленок способом II погрешность на стадии нанесения пленки модификатора ниже по сравнению со способом I. Поэтому для дальнейших исследований пленки формировали способом погружения электродов ПКР в растворы сорбентов, исключение составляют пленки аминокислот, которые растворяли в воде. Вследствие плохого смачивания водой кварцевой пластинки и электродов ПКР тонкую и равномерно нанесенную пленку получить невозможно. Пленки, сформированные из растворов аминокислот, дибензо-18-краун-6 и ЭДБСК, неустойчивы на воздухе, сигнал пьезосенсора без нагрузки нестабилен (более 100 Гц/мин), поэтому их закрепляли на полимерной основе, в качестве которой выбрали пленку полистирола, характеризующуюся стабильностью и минимальным дрейфом нулевого сигнала пьезосенсора. Пленки из растворов аминокислот и дибензо-18-краун-6 наносили способом I на предварительно сформированную подложку. Для формирования пленки ПС-ЭДБСК их растворы с концентрацией 10 мг/см3 предварительно смешивали в объемном соотношении 4 : 1, в полученный раствор погружали электроды ПКР. Избыток растворителя из пленок удаляли в сушильном шкафу. Оптимальные массы устанавливали экспериментально, они составляют 20 - 25 мкг. Объем вводимой пробы газовой фазы 3 см3 [8 - 10]. Условия детектирования предусматривают инжекторный ввод пробы в закрытую ячейку при температуре окружающей среды (20 ± 1 оС).

Примененные модификаторы характеризуются перекрестной избирательностью к муравьиной и уксусной кислотам, поэтому для их раздельного определения необходимы два пьезосенсора при условии, что один из них - селективный. Этому условию соответствуют сенсоры, электроды которых модифицированы пленками ПС - ЭДБСК (способ III) и ПС - b-аланин (способ I, послойно).

Установлено, что продолжительность сорбции муравьиной кислоты на пленке ПС - ЭДБСК в зависимости от ее концентрации составляет 20 - 175 с, уксусной - 40 - 215 с. При экспонировании пьезосенсора, модифицированного пленкой ПС - b-аланин, в парах кислот время сорбции практически не различается (5 - 10 с). Пределы обнаружения муравьиной кислоты пьезосенсорами с пленкой ПС - ЭДБСК - 10 мг/м3, с пленкой ПС - b-аланин - 1 мг/м3; уксусной кислоты - с применением обоих пьезосенсоров - 1,0 мг/м3. Пьезосенсор с пленкой ПС - ЭДБСК селективен по отношению к кислотам, т.к. его мольная чувствительность к муравьиной кислоте на порядок ниже, чем к уксусной [13].

При экспонировании ПКР, модифицированного пленкой ПС-b-аланин, в парах индивидуальных кислот имеются линейные участки, соответствующие концентрациям муравьиной и уксусной кислот 1 - 10 мг/м3. На пленке ПС - ЭДБСК, избирательной к уксусной кислоте, изотерма сорбции при экспонировании пьезосенсора в ее парах имеет два линейных участка соответствующих концентрациям 1 - 15 мг/м3 и 15 - 30 мг/м3. При экспонировании пьезосенсора на основе ПС - ЭДБСК в парах муравьиной кислоты в области низких концентраций также установлены два линейных участка при концентрациях 1 - 10 мг/м3 и 10 - 70 мг/м3.

Таким образом, раздельное определение кислот возможно как на уровне ПДК, так и при более высоких концентрациях. На уровне ПДК достаточно экспонировать пьезосенсоры в парах кислот 20 с, при определении более высоких концентраций кислот - 1,5 - 2 мин, т.к. при увеличении концентрации возрастает продолжительность сорбции уксусной кислоты на пленке ПС - ЭДБСК.

На основе уравнений регрессии, полученных при сорбции индивидуальных кислот и их смесей пьезосенорами, получены уравнения для расчета концентрации муравьиной и уксусной кислот в смеси.

Правильность определения кислот с применением пьезосенсорного детектора проверено методом ²введено-найдено². Для этого градуировали пьезосенсоры в парах индивидуальных кислот и вводили в полученные для расчета формулы коэффициенты регрессионных уравнений. Готовили смеси с известными концентрациями кислот в газовой фазе
(1 - 10 мг/м3), отбирали пробу равновесной газовой фазы и инжектировали ее в ячейку детектирования с двумя пьезосенсорами. После экспонирования пьезосенсоров в пробе воздуха в течении 20 с рассчитывали концентрации кислот по полученным уравнениям.

Измерение концентраций диоксацина (5,8-дигидро-8-5-этил-1,3-диоксоло(4,5)хинолин-7-карбоновая кислота) методом высокоэффективной жидкостной хроматографии в воздухе рабочей зоны

Диоксацин - (5,8-дигидро-8-5-этил-1,3-диоксоло(4,5)хинолин-7-карбоновая кислота) - кристаллическое вещество белого цвета. Не растворим в воде, метиловом и этиловом спиртах, серном эфире. Мало растворим в хлороформе. Хорошо растворим в водных растворах щелочей.

В воздухе находится в виде аэрозоля.

Обладает общетоксическим действием.

ОБУВ в воздухе - 1 мг/м3.

Характеристика метода

Метод основан на использовании высокоэффективной жидкостной хроматографии с применением УФ-детектора.

Отбор проб проводят с концентрированием на фильтр.

Нижний предел измерения диоксацина в хроматографируемом объеме пробы (4 мкл) - 0,02 мкг.

Нижний предел измерения концентраций диоксацина в воздухе - 0,5 мг/м при отборе 50 л воздуха).

Определению не мешает присутствие триметина и форидона.

Суммарная погрешность измерения не превышает ± 20 %.

Время выполнения измерения, включая отбор проб, - около 40 мин.

Приборы, аппаратура, посуда

Микроколоночный жидкостной

хроматограф «Милихром» или

другие модели с УФ-детектором

Хроматографическая колонка, длиной

мм и внутренним диаметром 2 мм,

заполненная сорбентом «Силасорб SPH С18»

с размером зерен 9 мкм (ЧСФР)

Стеклянная ректификационная колонна,

длиной 550 мм и внутренним диаметром

мм, флегмовое число 5 ТУ 25-1173.131-85

(или другая такого же типа)

Аспирационное устройство

Фильтродержатель ТУ 95-72-05-77

Микроскоп отсчетный типа МПБ-2 ТУ 3-3.821-78

Колбы мерные, вместимостью 100 мл ОСТ 1770-74

Пипетки, вместимостью 1, 10 мл ГОСТ 20292-74 <#"584993.files/image016.gif">8, с.12], на газовом хроматографе Хром-5, оснащенном пламенно-ионизационным детектором и насадочной колонкой с сорбентом Separon BD, для одновременного определения всех компонентов исследуемого раствора. При этом авторы признают, что имеет место низкая воспроизводимость результатов в связи с быстрым старением / необратимой потерей активности колонки.

Получение производных, дериватизация, относится к наиболее эффективным приемам при идентификации органических соединений, поскольку позволяет проводить химические реакции, селективно направленные на определение функциональной группы. Реакционная газовая хроматография позволяет переводить летучие вещества в более стабильные соединения, обладающие улучшенными хроматографическими свойствами. Таким образом, появляется возможность использования селективных детекторов, которые, в свою очередь, позволяют снизить пределы детектирования и повысить надежность идентификации соединений малой концентрации [Другов Ю.С., Родин А.А. Газохроматографическая идентификация загрязнений воздуха, воды и почвы. Практическое руководство //С.-Пб: изд. Теза, 1999, 622 с.].

Наиболее распространенным способом определения альдегидов является их превращение в производные 2,4-динитрофенилгидразина и последующий анализ методом газожидкостной хроматографии и/или высокоэффективной жидкостной хроматографии [Ж. анал. химии, 1993, Т. 48, 3, с.390; J. Chromatogr. А., 1976, V.120, р.379; Fresenins J. Anal. Chem., 2000, V.366, 8, p.781]. Основным способом определения карбоновых кислот является их этерификация в различных вариантах: метанолом в присутствии соляной, серной кислот или трехфтористого бора, диазометаном, диметилсульфатом, йодистым метилом. Также кислоты определяют в виде пропиловых, бутиловых, трет-бутил-диметилсилиловых, бром-фенациловых эфиров [J. Chromatogr. Sci., 1975, V.13, p.448; Зав. лаб., 1993, Т.59, 10, с.7; J. Chromatogr., 1988, V.446, р.237; J. High Resolut. Chromatogr. Commun., 1987, V.10, 9, p.522; J. Chromatogr., 1981, V.206, 1, p.89]. В случае оксокарбоновых кислот, при обработке их смесью метанол/BF3, альдегидная группа реагирует, образуя диацетали. Использование смеси бутанол/BF3 более удобно, поскольку образующиеся производные менее летучи и менее подвержены потерям при выделении [Environ. Sci. Technol, 2005, V.39, 9, p.7616]. Такие соединения, как щавелевая кислота, C2-C4 оксокарбоновые кислоты, глиоксаль, метилглиоксаль не детектируются в случае применения смеси метанол/BF3, но хорошо определяются методом газовой хроматографии при использовании смеси бутанол/BF3. Описан способ, по которому бутиловые эфиры моно- и дикарбоновых кислот синтезируют при взаимодействии индивидуальных соединений с трибутилборатом [Green Chem., 2005, V.7, p.870].

Известен способ определения оксокарбоновых кислот и C2-C3 -дикарбонильных соединений методом газовой хроматографии в виде производных, получаемых при дериватизации смесью бутанол/ВР3 [Anal. Chem., 1993, V.65, 23, p.3505] - прототип. Согласно данной методике, водный образец объемом 100 мл концентрируют на ротационном испарителе под вакуумом до 2 мл, остаток переносят в колбу вместимостью 25 мл и осушают в токе азота практически досуха. Добавляют смесь 14% BF3 в бутаноле, выдерживают при 100°С в течение 30 минут. Далее добавляют воду и ацетонитрил, экстрагируют трехкратно гексаном. Гексановый экстракт дважды промывают водой и концентрируют до 50 мкл. Затем проводят газохроматографический анализ полученного концентрата.

Основным недостатком этого способа является то, что смесь BF3/бутанол, будучи нестабильной, требует ежедневного приготовления. Дериватизацию проводят после длительного концентрирования исследуемой водной пробы досуха, что может привести к потерям летучих компонентов и, следовательно, увеличению ошибки при их количественном определении. Многократная экстракция и последующая обработка экстракта требуют больших затрат времени. Кроме этого, необходимо соблюдать меры предосторожности при приготовлении реагентов, поскольку трехфтористый бор является вредным и опасным соединением. Эти обстоятельства существенно затрудняют общее обеспечение анализа.

Задача настоящего изобретения состоит в разработке способа, позволяющего методом газовой хроматографии одновременно качественно и количественно определять карбоновые кислоты и альдегиды в водной среде, на примере анализа жидких продуктов парофазного каталитического синтеза глиоксаля из этиленгликоля, содержащих формальдегид, ацетальдегид, гликолевый альдегид, муравьиную, уксусную, щавелевую, глиоксиловую кислоты как побочные соединения.

Поставленная задача решается тем, что в способе одновременного качественного и количественного определения карбоновых кислот и альдегидов методом газожидкостной хроматографии в водной среде в качестве дериватизирующего агента используют трибутилборат в присутствии концентрированной соляной кислоты. Реакционную смесь обрабатывают насыщенным раствором гидрокарбоната натрия, экстрагируют гексаном при соотношении водной и органической фаз 5:1 в присутствии ацетонитрила и хроматографируют. Способ позволяет проводить дериватизацию непосредственно в исследуемой водной пробе. Этиленгликоль в этих условиях не оказывает влияния на химическое взаимодействие и ход анализа.

Химические схемы дериватизации исходных соединений представлены на фигурах 1, 2. Структуры полученных соединений подтверждены методом хромато-масс-спектрометрии. Установлено, что масс-спектры бутиловых эфиров кислот и производных альдегидов точно совпадают с масс-спектрами соответствующих соединений, согласно данных библиотеки NIST-05.

Методика анализа по предлагаемому способу отработана с использованием модельных водных смесей кислот и альдегидов. Количественную оценку проводят по методу внутреннего стандарта, в качестве которого используют додекан.

Анализ выполняют на газожидкостном хроматографе Shimadzu GC 2010, оснащенном пламенно-ионизационным детектором, кварцевой капиллярной колонкой ZB-5 (длина 30 м, диаметр 0,25 мм, толщина пленки 0,25 мкм, неподвижная фаза полидиметилсилоксан 5% фенильных групп) в следующих условиях хроматографирования. Начальная температура колонки 40°С (выдержка 3 мин), нагрев со скоростью 10°С/мин, конечная температура колонки 280°С (выдержка 2 мин). Температура испарителя 250°С, детектора 300°С. Расход газа-носителя (азота) через колонку 1,0 см/мин, деление потока 1:30.

Предварительно для каждого исследуемого компонента готовят водные растворы с концентрациями от 0,005 до 2,0%. Полнота протекания реакции (выход) зависит от нескольких факторов, оптимальным сочетанием которых являются следующие условия: температура 95-100°С, продолжительность 35-40 минут, объем анализируемого раствора 0,1 мл, концентрированной соляной кислоты 0,1 мл, трибутилбората 1,0 мл. После проведения реакции смесь охлаждают и приливают 10 мл насыщенного раствора гидрокарбоната натрия. Экстракцию полученных производных проводят гексаном при соотношении водной и органической фаз 5:1, в присутствии 0,5 мл ацетонитрила для улучшения разделения фаз. В испаритель хроматографа вводят 1,0 мкл гексанового экстракта.

Хроматограмма гексанового экстракта, полученного в результате обработки модельного раствора анализируемых соединений, представлена на Фигуре 3. В качестве исследуемых образцов используют технологические растворы, полученные в процессе каталитического дегидрирования этиленгликоля, разбавленного водяным паром и инертным газом в мольном соотношении не выше 1/13 при температуре от 400 до 700°С, с последующим поточно-каскадным бескубовым разделением парогазового оксидата на жидкие фракции в режиме дробной сепарации в интервале от 20 до 400°С (образцы 11-13).

Выход производных составляет от 85 до 98%. Отклик пламенно-ионизационного детектора имеет линейный характер в диапазоне рабочих/калибровочных концентраций. Для каждой концентрации, в серии измерений проводят не менее чем по три параллельных опыта. Предел определения всех анализируемых соединений составляет 0,01 мг/мл при погрешности определения не более 10%.

Пример 1 (модельный). В мерную пробирку вместимостью 15 мл вносят 0,1 мл водного раствора, содержащего муравьиную кислоту в концентрации 1,93% (образец 1), приливают 1,0 мл трибутилбората, добавляют 0,1 мл соляной кислоты; пробирку закрывают и встряхивают. Полученную смесь выдерживают 40 минут на кипящей водяной бане, охлаждают до комнатной температуры, добавляют 2 мл раствора додекана в гексане с концентрацией 0,5 мг/мл, приливают 0,5 мл ацетонитрила, 10 мл насыщенного раствора гидрокарбоната натрия, встряхивают 2 минуты. После расслоения фаз анализируют гексановый слой.

В результате, найдено муравьиной кислоты 1,86%. Таким образом, относительное среднее квадратическое отклонение составляет 2,5%.

Примеры 2-5 (модельные). Анализ проводят аналогично условиям примера 1, с той разницей, что концентрация муравьиной кислоты во вносимой пробе составляет от 0,09 до 0,97% (образцы 2-5).

Результаты анализа модельных водных растворов муравьиной кислоты для образцов 1-5 приведены в Таблице 1.

Примеры 6-10 (модельные). Анализ проводят аналогично условиям примера 1, с той разницей, что в качестве модельной смеси используют водный раствор формальдегида в диапазоне концентраций от 0,04 до 0,74% (образцы 6-10).

Результаты анализа модельных водных растворов формальдегида для образцов 6-10 приведены в Таблице 2.

Примеры 11-13 (рабочие). Анализ проводят в тех же условиях пробоподготовки, но в качестве исследуемых проб используют технологические растворы (образцы 11-13). После осуществления всех подготовительных операций, анализируют органический слой, содержащий производные глиоксаля, гликолевого альдегида, формальдегида, ацетальдегида, муравьиной, щавелевой, уксусной, глиоксиловой кислот.

Пример 14 (сравнительный). Анализ проводят аналогично условиям примера 1, с той разницей, что в качестве анализируемого образца используют 40% глиоксаль товарного качества, Alfa Aesar J.M.Co. U.S. или иной стандарт (образец 14).

Результаты измерений концентрации искомых компонентов в каждом исследуемом образце, включающие средние показатели в сериях параллельных опытов, приведены в Таблице 3.

Таким образом, разработан новый способ одновременного качественного и количественного определения муравьиной, щавелевой, уксусной, глиоксиловой кислот, формальдегида, ацетальдегида, гликолевого альдегида, глиоксаля методом газожидкостной хроматографии на примере анализа продуктов каталитического окисления этиленгликоля в глиоксаль. Способ отличается простотой технологического оформления методики. Для дериватизации используют аликвоту непосредственно анализируемого водного раствора без предварительного концентрирования. Дериватизацию проводят трибутилборатом в присутствии концентрированной соляной кислоты, обрабатывают водным раствором гидрокарбоната натрия и проводят однократную экстракцию гексаном. Газохроматографический анализ гексанового экстракта проводят без дополнительной подготовки. Предложенный способ сокращает продолжительность и трудоемкость пробоподготовки, исключает вредное и опасное влияние BF3.

ГЛАВА 4. АППАРАТУРНОЕ ОФОРМЛЕНИЕ

Газохроматографический фотоионизационный детектор хромдет-1020

Фотоионизационный детектор (ФИД) применяется при газохроматографическом анализе органических соединений: алифатических (кроме метана, этана и пропана), алициклических, непредельных, моно- и полиароматических углеводородов;· хлорированных непредельных и ароматических углеводородов, полихлорбифенилов; меркаптанов; серу- и фосфорсодержащих пестицидов; кетонов, альдегидов (кроме формальдегида), спиртов (кроме метанола), эфиров простых и сложных; гетероциклических соединений ; тетраэтилсвинца и др. Чувствительность ФИД к органическим соединениям в 10 - 50 раз выше, чем чувствительность пламенно-ионизационного детектора. ФИД может также использоваться для детектирования некоторых неорганических соединений (аммиака, оксида и диоксида азота, сероводорода и пр.). В то же время ФИД не дает отклика на большое число используемых в газовой хроматографии растворителей таких как, например, метанол и ацетонитрил


ПРИНЦИП ДЕЙСТВИЯ И УСТРОЙСТВО

Работа детектора основана на ионизации молекул анализируемых соединений вакуумным ультрафиолетовым (ВУФ)-излучением, источником которого является ВУФ-лампа. Получаемый токовый сигнал пропорционален концентрации определяемого соединения. ФИД ХРОМДЕТ-1020 может быть установлен на любом газовом хроматографе: приборах серии ЦВЕТ, модели 3700, КРИСТАЛЛ, Hewlett Packard и др.ФИД не требует дополнительных газов (например, водорода и воздуха), в качестве газа-носителя могут использоваться гелий, азот, аргон. Отсутствие герметизурующих уплотнений и применение изоляционных элементов из непористой керамики обеспечивают высокую рабочую температуру. Детектор работает как с насадочными, так и с капиллярными колонками.


ЭЛЕКТРОМЕТР / ИСТОЧНИК ПИТАНИЯ ФИД ХРОМДЕТ-1020

Для измерения сигнала ФИД ХРОМДЕТ-1020 может использоваться обычный электрометр, предназначенный для пламенно - ионизационного детектора. Питание лампы и ионизационной камеры детектора обеспечивается с помощью специальной платы, поставляемой вместе с детектором.

При фотоионизационным детектировании ионизации подвергаются лишь те соединения, чьи потенциалы ионизации ниже энергии фотонов, излучаемых ВУФ-лампой. Выбирая источник, излучающий фотоны с определенной энергией, можно изменять селективность детектирования, а также подбирать растворитель, не дающий отклика (или небольшой отрицательный) при этой энергии излучения. Это особенно важно при анализе следовых количеств соединений с небольшими временами удерживания, которые плохо отделяются от “хвоста” пика-растворителя при использовании других детекторов.

Благодаря зависимости селективности от типа используемой ВУВ-лампы, ФИД с различными ВУФ-лампами используются для идентификации анализируемых соединений в многокомпонентной смеси.

Научно-производственное объединение «Химавтоматика»

УФ - детектор МОДЕЛЬ 132

Высокочувствительный фотометрический прибор предназначен для работы в составе жидкостных хроматографов серии «ЦветЯуза». Принцип работы устройства основан на измерении поглощения света в УФ области спектра, пропускаемого через аналитическую кювету. Прибор выполнен по двухлучевой оптической схеме.

Впервые в конструкции детектора используются современные малошумящие источники излучения (светодиоды) и фотоприёмники (производство Япония), имеющие низкие фотометрические шумы и обеспечивающие низкий предел детектирования. Волоконно-оптические технологии позволили изготовить уникальную аналитическую кювету объемом 9 мкл с увеличенной длиной оптического пути до 20 мм, что также повышает чувствительность детектора. В настоящее время, эта кювета отечественных аналогов не имеет.

Электронная система управления длиной волны излучения светодиодов дает возможность легко и быстро, всего за 0,2 сек, менять до семи длин волн в спектральном диапазоне 200 - 400 нм, а также проводить автоматическую установку нулевой линии.

Микроконтроллер детектора управляет работой светодиодов, тестирует их оптические параметры и обрабатывает результаты измерений с последующим выводом на PC. Программное обеспечение предоставляет расширенные возможности для управления прибором с РС в сканирующем режиме.

ОТЛИЧИТЕЛЬНЫЕ ОСОБЕННОСТИ:

–       двухлучевая оптическая схема;

–       при замене источника излучения юстировка не требуется;

–       уникальная волоконно-оптическая микрокювета с длиной оптического пути 20 мм;

–       автоматическая система управления и смены длины волны в спектральном диапазоне 200 - 400 нм, в том числе в процессе измерения (регистрации хроматограммы);

–       автоматическая установка нулевой линии.

ОБЛАСТИ ПРИМЕНЕНИЯ:

Фотометрический УФ - детектор МОДЕЛЬ 132 в составе жидкостного хроматографа «ЦветЯуза» (модификация - 04) находит широкое применение в контроле загрязнений окружающей среды, пищевых продуктов и напитков, в медицине, в биологии, в фармацевтике, в судебной и судебно-медицинской экспертизе.

Возможно использование детектора для технологического контроля в различных отраслях промышленности, в энергетике и других областях.

По техническим характеристикам детектор сопоставим с лучшими зарубежными аналогами, а по стоимости в 2-3 раза ниже их.

ТЕХНИЧЕСКИЕ ХАРАКТЕРИСТИКИ

УФ-светодиоды

Оптическая диспергирующая система:

3 интерференционных фильтра (для коррекции спектральных характеристик светодиодов)

Длины волн интерференционных фильтров:

254; 280; 310 нм (220 нм - планируется)

Полуширина спектральной линии:

10 нм

Время одного скана из 3-х спектральных точек

0,2 сек

Фотометрический шум:

не более ± 2,5 х 10-5 AU (на длине волны 254 нм, при постоянной времени 1 с)

Дрейф нулевой линии:

не более 2,5 х 10-4 AU/час

Проточная микрокювета:

объем - 9 мкл; длина оптического пути - 20 мм

Питание:

220 В / 50 Гц

Габаритные размеры:

330 х 110 х 270 мм

Вес:

не более 3 кг

СПИСОК ЛИТЕРАТУРЫ

1.       Химическая энциклопедия: Т.3. М.: Большая Рос. энцикл. - 1992. - 639 с.

2.       Беспамятнов Г.П, Кротов Ю.А. Предельно допустимые концентрации химических веществ в окружающей среде: Справочник. Л.: Химия. - 1985. - 528 с.

.        Перегуд Е.А., Быховская М.С., Гернет Е.В. Быстрые методы определения вредных веществ в воздухе. М.: Химия. - 1970. - 360 с.

.        Золотов Ю.А, Иванов В.М., Амелин В.Г. Химические тест-методы анализа. М.: Едиториал УРСС. - 2002. - 304 с.

.        Кочетова, Ж.Ю. Определение легколетучих органических соединений в газовой фазе с применением пьезосорбционных сенсоров на основе синтетических и природных полимеров: дис. … канд. хим. наук. Саратов. - 2002. - 180 с.

6.       Sauerbrey G. G. // Z. Phys.- 1964. - Bd. 178. - № 2. - S. 457 - 463.

7.       Кучменко Т.А., Кудинов Д.А., Коренман Я.И. Изучение сорбции алкилацетатов и кетонов на тонких полимерных пленках методом пьезокварцевого микровзвешивания // Сорбц. и хромат. проц. - 2001.- № 5. - С. 1092 - 1100.

.        Силина, Ю.Е. Определение легколетучих компонентов строительных материалов в воздухе помещений с применением масс-метрических преобразователей: дис. … канд. хим. наук: Саратов. - 2005. - 166 с.

.        Коренман Я.И., Кучменко Т.А., Сулейманов С.М., Смагина Н.Н. Кинетика и механизм сорбции карбоновых кислот С1 - С3 на эфирах полиэтиленгликоля // Сенсор. - 2005. - № 1. - С. 27 - 29.

.        Коренман Я.И., Кучменко Т.А., Смагина Н.Н. Исследование сорбции карбоновых кислот С1 - С4 на эфирах полиэтиленгликоля с применением пьезосенсоров // Сенсор. - 2005. - № 2. - С. 19 - 24.

.        Коцев Н., Пецев. Н. Справочник по газовой хроматографии: Справочник. М.: Мир. -1987. - 260 с.

.        Король А. Н. Неподвижная фаза газожидкостной хроматографии. Киев: Наукова думка. - 1969. - 252 с.

.        Кучменко Т.А. Применение метода пьезокварцевого микровзвешивания в аналитической химии. Воронеж: Воронеж. гос. технол. акад., 2001. 280 с.


Не нашли материал для своей работы?
Поможем написать уникальную работу
Без плагиата!
Без нейросетей!