Возможность получения экстракционных реагентов

  • Вид работы:
    Курсовая работа (т)
  • Предмет:
    Химия
  • Язык:
    Русский
    ,
    Формат файла:
    MS Word
    916,32 Кб
  • Опубликовано:
    2012-09-04
Вы можете узнать стоимость помощи в написании студенческой работы.
Помощь в написании работы, которую точно примут!

Возможность получения экстракционных реагентов

Введение

Актуальность: Экстракционные методы извлечения, разделения и концентрирования ионов металлов приобретают все более широкое значение и используются в аналитической химии, гидрометаллургии редких и цветных металлов, а также при решении экологических проблем. Прогресс в области экстракции в значительной степени определяется наличием высокоэффективных реагентов. Поиск новых экстракционных реагентов путем скрининга известных органических соединений нерационален. Наиболее перспективен направленный синтез новых органических экстракционных реагентов с заданными характеристиками на основе выбора подходящих функциональных групп и прогнозирования их свойств как функции строения. Влияние строения реагентов на экстракционную способность изучено на примере отдельных классов соединений (нейтральных фосфорорганических реагентов, алифатических аминов и других). Однако отсутствие универсальной теории действия, позволяющей априори предсказывать свойства органических экстракционных реагентов, оставляет актуальным изучение влияния строения реагентов на их экстракционную способность.

Основания Шиффа или по-другому азометины, это важные органические реагенты имеющие два реакционных центра - нуклеофильный атом азота и электрофильный атом углерода. В данной работе будет исследована возможность получения новых экстракционных реагентов из антипирина, замещением водорода при электрофильном атоме углерода азометинов.

Цель работы: Исследовать возможность получения экстракционных реагентов

1. Шиффовые основания (литературный обзор)

.1 История открытия, определение и физические свойства

Впервые азометины были получены итальянским химиком Г. Шиффом в 1864 году, открывшим реакцию конденсации ароматических аминов с альдегидами и исследовавшим её продукты, отсюда и их название - основания Шиффа.

Основания Шиффа (азометины) - органические соединения, содержащие функциональную группу -N=C-. Шиффовы основания - маслообразные или кристаллические вещества; в воде не растворяются, но растворяются в органических растворителях. Простейшие Шиффовы основания бесцветны, более сложные имеют определенную окраску и относятся к классу азометиновых красителей. Слабые основания, рКа обычно на 2-3 единицы меньше, чем для исходного амина. ИК спектр имеет характеристическую полосу поглощения (группа -С=N-) в области 1690-1640 см-1.

1.2. Получение шиффовых оснований

Обычно Шиффовые основания получают конденсацией первичных аминов с альдегидами и кетонами (оптимальное. значение pH=4)

(1)

Шиффовые основания, полученные из алифатических альдегидов и кетонов (например, СН2О, СН3СНО), неустойчивы и легко полимеризуются, полимеризация протекает по типу альдольной конденсации.

В качестве катализатора в синтезе оснований Шиффа иногда используется соляная кислота.

(2)

.3 Химические свойства

Характерные свойства Шиффовых оснований связаны с полярностью группы -C=N-, строение которой может быть описано резонансом структур, это свидетельствует о том, что у группы -C=N- два центра: нуклеофильный и электрофильный:

(3)

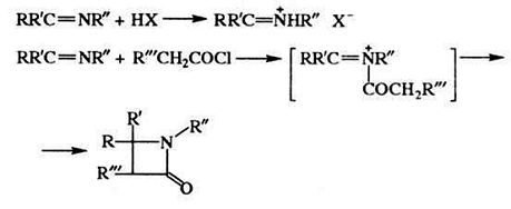
Электрофильные реагенты реагируют с Основаниями Шиффа по атому азота. С сильными кислотами и алкилгалогенидами образуются иминиевые соли (реакцию проводят в безводной среде из-за быстрого гидролиза последних); с хлорангидридами и ангидридами кислот - продукты присоединения, которые в присутствии триэтиламина превращаются в азетидиноны:

(4)

(5)

Реакции с нуклеофилами протекают по атому углерода. В присутствии разбавленных кислот основания Шиффа гидролизуются до аминов и кетонов; в щелочной среде большинство устойчиво; присоединяют амины; с реактивами Гриньяра и литийорганическими соединениями реагируют аналогично карбонильным соединениям:

(6)

Для Шиффовых оснований характерны реакции циклоприсоединения. Так, с карбенами образуются азиридины (реакция 1), с кетенами --лактамы (2), с илидами фосфора (реакция протекает по типу реакции Виттига) - алкены и иминофосфораны (3), с 1,3-диполярными соединениями- пятичленные циклопродукты (4, 5):

(7)



(8)

(9)



(10)

(11)

Окисление Шиффовых оснований приводит к образованию карбонильных соединений, при низкой температуре может быть получены оксазиридины:

(12)







Шиффовые основания восстанавливаются до соответствующих аминов и при действии муравьиной кислоты. Полагают, что такого рода восстановление азометинов является ключевой стадией синтетически важного восстановительного алкилирования аммиака и аминов альдегидами и кетонами в присутствии муравьиной кислоты (реакции Лейкарта) или муравьиной кислоты в сочетании с формальдегидом (реакция Эшвайлера-Кларка).


(13)

(14)

.4 Применение

Шиффовые основания используют в органическом синтезе, главным образом для получения гетероциклических соединений и вторичных аминов; для защиты альдегидной группы, например, при циклизации терпенов; в аналитической химии - для идентификации альдегидов и первичных аминов. Основания Шиффа, известные как азометиновые красители, применяются для крашения ацетатного и синтетических волокон, а также используются в цветной фотографии для понижения светочувствительности фотографической эмульсии.

.5 Антипирин, понятие, свойства, применение

Антипирин (феназон; 2,3-диметил-1-фенил-3-пиразолин-5-он), молекулярная масса - 188,23; кристаллы горьковатого вкуса; температура плавления = 113°С, температура кипения 319°С. Хорошо растворим в воде, этаноле, хлороформе, ацетоне, плохо - в диэтиловом эфире, толуоле.

Слабое однокислотное основание, рКа 1,5. Антипирин способен к электрофильному замещению; легко конденсируется с альдегидами с образованием диантипирилметанов; с кетонами, содержащими электронодонорные заместители, дает так называемые антипириновые красители типа хромпиразолов; сочетается с диазосоединениями с образованием азокрасителей. Образует комплексные соединения с РЗЭ, переходными металлами и др. элементами.

Антипирин, применяется как жаропонижающее, противовоспалительное и болеутоляющее средство; для получения амидопирина, анальгина; в синтезе аналитических реагентов; реагент для гравиметрического определения Cd, Sc, W, нефелометрического - Hg, Cd, Bi, Sb, P, фотометрического - К, Са, Со, Fe, NO2, для экстракционного выделения Со, Pd, Au, In, Zr, Th. Особенно широко для фотометрического определения Mo(VI), Ge(IV), W(VI).

Впервые получен Кнорром в 1883 г. в результате поисков жаропонижающих средств для замены хинина.[7]

2. Экспериментальная часть

.1 Синтез промежуточных продуктов - оснований Шиффа

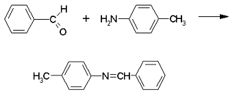
Синтез безилиден-пара-толил-амина проходит согласно уравнению:


В химическом стаканчике ёмкостью 50 мл готовилась эквимолярная смесь толуидина и бензальдегида. К полученой смеси добавляли минимальный объем обезвоженного этилового спирта и подогревали на плитке для полного её растворения (смесь хорошо перемешивалась стеклянной палочкой добавлялись каталитические количества соляной кислоты), затем охлаждали при комнатной температуре. Кристаллизация начиналась через несколько минут, выпадали плоские кристаллы. Для очистки полученного соединения его перекристаллизовывали

Образование (4-хлор-бензилиден)-пара-толил-амина проходит по следующей схеме:


В химическом стаканчике ёмкостью 50 мл готовилась эквимолярная смесь толуидина и хлорбензальдегида. К полученой смеси добавляли минимальный объем обезвоженного этилового спирта и подогревали на плитке до полного её растворения (смесь хорошо перемешивалась стеклянной палочкой добавлялись каталитические количества соляной кислоты), затем охлаждали при комнатной температуре. Смесь приобретала зеленоватый оттенок. Кристаллизация начиналась через несколько минут, выпадали плоские кристаллы. Для очистки полученного соединения его перекристаллизовывали. Полученный продукт белого цвета.

.2 Синтез целевого продукта

Далее полученые вещества были использованы для получения проищводных антипирина.

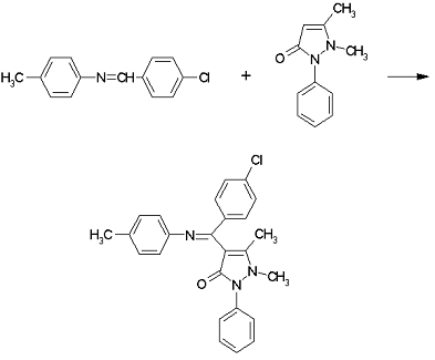
Синтез 4-[(4-[хлоро-фенил)-п-толилимино-метил]-1,5-диметил-2-фенил-1,2-дигидропиразол-3-она:


(4-хлор-бензилиден)-пара-толил-амин и антипирин смешивались в эквимолярных количествах в среде тетрахлорметана. Синтез длился около 24 часов после чего смесь приобретала коричневый цвет и осмолялась.

Синтез 1,5-диметил-2-фенил-4-(фенил-п-толилимино-метил)-1,2-дигидро-пиразол-3-она:


Безилиден-пара-толил-амин и антипирин смешивались в эквимолярных количествах в среде тетрахлорметана. Синтез длился около 24 часов после чего смесь приобретала коричневый цвет и осмолялась.

.3 Очистка полученных соединений

Полученные при синтезе вещества, как правило, содержат некоторое количество примесей (исходные вещества, не вступившие в реакцию, побочные продукты, растворители и др.). Чтобы избавиться от них, применяют различные методы очистки и выделения органических веществ. Эти методы довольно разнообразны: кристаллизация, возгонка, перегонка, экстракция и зависят, в основном, от агрегатного состояния соединения. Так как в нашей работе вещество твердое для полной очистки необходимо его перекристаллизация.

Кристаллизацией называют процесс образования и роста кристаллов из раствора, расплава или газовой среды. Метод основан на том, что получаемый при растворении очищаемого вещества раствор является пересыщенным по отношению к очищаемому веществу. После охлаждения его избыток начинает выкристаллизовываться, и примеси остаются в растворе.

При выборе растворителя необходимо учитывали следующие требования:

1)растворитель должен хорошо растворять вещество при повышенной температуре, плохо при низкой;

2)растворитель не должен химически взаимодействовать с очищаемым веществом;

3)растворитель должен хорошо растворять вещество при повышенной температуре, плохо при низкой;

5)растворитель нужно брать в количестве, необходимом для приготовления насыщенного раствора, при температуре близкой к температуре кипения раствора.

В данной работе в качестве растворителя использовался этиловый спирт, тетрахлорметан и бутиловый спирт. В химический стакан где проходил синтез добавляли небольшое количество растворителя и нагревали на плитке. После чего остужали, и выпавший осадок отфильтровывали под вакуумом, а кристаллы оставляли для просушивания.

.4 Определение температуры плавления

Температурой плавления называется та температура, при которой вещество из твердого состояния переходит в жидкое. Химически чистые вещества имеют строго определенную температуру плавления. По разнице между температурой начала плавления и температурой конца плавления можно судить о чистоте продукта. Поэтому при проведении технического анализа под температурой плавления подразумевают интервал температуры между началом плавления - появлением первых капель жидкости на стенках капилляра (или температурой, при которой вещество начинает "спадаться" в капилляре) и концом плавления - полным переходом вещества в расплавленное состояние.

Методика определения температуры плавления проста и заключается в следующем. Высушенное испытуемое вещество, предварительно растертое в ступке в тончайший порошок, помещали в запаянный с одного конца капилляр диаметром около 1 мм и длиной 50-70 мм. Для этого открытый конец капилляра погружали в испытуемое вещество. В капилляр, таким образом, попадает некоторое количество испытуемого вещества.

Для уплотнения вещества капилляр бросали несколько раз в стеклянную трубку диаметром 6-8 мм, длиной 50-60 мм, поставленную вертикально на стекло. Высота столбика вещества в капилляре после уплотнения должна быть около 3 мм. Затем капилляр с веществом помещали в прибор, рис №1 Капилляр располагали так, чтобы заключенное в нем вещество находилось на уровне середины шарика термометра. Вещество нагревалось до температуры на 10-20 С ниже предполагаемой температуры плавления вещества. Затем нагревание вели так, чтобы температура поднималась на 2-3С в минуту, а за 5С до ожидаемой температуры плавления на 0,5С в минуту. Внимательно наблюдали за состоянием вещества. Отметив появление первых капель жидкости вещества и зарегистрировали температуру начала плавления. Конец плавления отмечали, по исчезновению последних крупинок твердого вещества.

Рис №1 Прибор для определения температуры плавления ПТП(М1) ТУ 92-891.011-90

.5 Установка чистоты с помощью тонкослойной хроматографии

Для установления чистоты полученных соединений мы использовали тонкослойную хроматографию. В этом методе вещество проходит в тонком слое сорбента, нанесенного на твердую плоскую подложку. Разделение в основном происходит на основе сорбции-десорбции.

В тонкослойной хроматографии, в качестве подвижной фазы используют либо чистые вещества, либо смеси веществ в определенном соотношении. В своей работе в качестве подвижной фазы мы использовали этиловый спирт.

При подборе подвижной учитывали следующим правилам:

)        Необходимо выбирать такую систему, в которой разделяемые компоненты имеют небольшую растворимость (если растворимость вещества высокая, то вещества будут перемещаться с фронтом, при низкой растворимости - оставаться на старте). При распределительной хроматографии или при использовании обращенных фаз, растворимость веществ должна быть выше в подвижной фазе, чем в неподвижной.

)        Состав системы должен быть постоянным и легко воспроизводимым.

)        Растворитель или компоненты системы не должны быть ядовитыми или дефицитными.

)        Система должна полностью разделять вещества близкого строения.

)        Система не должна вызывать химические изменения разделяемых компонентов.

)        При выборе системы также необходимо учитывать природу разделяемых веществ.

Техника нанесения исследуемых растворов не такая сложная операция, но вместе с тем, она очень влияет на получаемые результаты хроматографирования. Поэтому необходимо всегда соблюдать ряд правил, серьезно влияющие на результаты разделения.

В своей работе нанесение пятен исследуемых веществ мы проводят на "линии старта" 2-3 мм от нижнего края пластинки. Это необходимо для того, чтобы при опускании пластинки в систему не происходило растворение в ней образцов, а все нанесенное вещество подверглось хроматографированию.

Нанесение растворов проводили капиллярами. Размер наносимого пятна не должен превышать 4 мм. Это связано с тем, что при большем размере пятна, происходит изменение формы под действием физических сил, и границы разделенных компонентов могут перекрываться.

После нанесения исследуемых веществ на пластинку, необходимо добиться полного удаления растворителей, так как даже небольшое содержание растворителя в исследуемом веществе может повлиять на разделение и даже изменить состав хроматографической системы.

Удаление растворителя проводили естественной сушкой пластин 5-10 мин. После чего ее помещали в среду чистого йода для проявления.

Заключение

По итогам проделанной работы можно сказать, что продуктивный синтез из антипирина и предложенных шиффовых оснований невозможен. Полученная смесь из веществ и растворителя осмолялась, по-видимому необходимо проводить реакции на холоде, или же подбирать другой растворитель.

шиффовый антипирин экстракционный реагент

Список литературы

1. Шифф [электронный ресурс]: энциклопедический словарь. - режим доступа: www.edudic.ru/be/71486/ (дата обращения - 03.06.12)

. Гуго Шифф [электронный ресурс]: кафедра физической и коллоидной химии Южного Федерального университета.- режим доступа: phychem.narod.ru/Source/History/Persones/Sciff.html. (дата обращения - 02.06.12)

. Шиффовые основания [электронный ресурс]: свободная энциклопедия. - режим доступа: http://ru.wikipedia.org (дата обращения - 02.06.12)

. Общая органическая химия, т.3. азотсодержащие соединения/под ред. акад. Н. К. Кочеткова (часть 8, азометины, Дж.Теннат)

. Шиффовые основания [электронный ресурс]: химическая энциклопедия. - режим доступа: www.chemport.ru/data/chemipedia/article_6508.html (дата обращения - 03.06.12)

. Шиффовые основания [электронный ресурс]: сайт о химии.- режим доступа: http://www.xumuk.ru/encyklopedia/2/5246.html (дата обращения - 02.06.12)

. Антипирин [электронный ресурс]: словари и энциклопедии на Академике. - режим доступа: http://dic.academic.ru/dic.nsf/meditem/148 (дата обращения - 03.06.12)

. Сергеева Г.С. Практикум по органической химии: Учебное пособие. / С.Г. Сергеева, В.И. Летунов. - Чита: ЧитГУ, 2005.-137с.

Похожие работы на - Возможность получения экстракционных реагентов

 

Не нашли материал для своей работы?
Поможем написать уникальную работу
Без плагиата!
Без нейросетей!