Проектирование гидравлической системы плотины

  • Вид работы:
    Контрольная работа
  • Предмет:
    Физика
  • Язык:
    Русский
    ,
    Формат файла:
    MS Word
    1,32 Мб
  • Опубликовано:
    2012-11-29
Вы можете узнать стоимость помощи в написании студенческой работы.
Помощь в написании работы, которую точно примут!

Проектирование гидравлической системы плотины

Постановка и анализ задачи моделирования

Структурная схема


Внешние силы, в частности, потоки воды из водохранилища оказывают воздействие на турбины, проходя через гидравлическую систему плотины.

Функциональная схема


Гидравлическая система (Рис.1) подвода воды через плотину к турбинам гидроэлектростанции 6 из водохранилища 1 включает напорный туннель 2 и трубопровод 4, между которыми расположен цилиндрический уравнительный резервуар 3. При регулировании заслонкой 5 подвода воды к турбинам уравнительный резервуар уменьшает колебания давления в системе.

Рис. 1

При закрытой заслонке уровни H1 и H3 воды соответственно в водохранилище и уравнительном резервуаре, отсчитываемые от уровня расположения турбин, одинаковы. При неизменном положении открытой заслонки объемный расход Q4 воды и ее давление (напор H6) перед турбинами постоянны. При этом ρg(Н1 - H3) = QŘ2 где ρ- плотность воды, g - ускорение свободного падения, Ř2 - гидравлическое сопротивление туннеля. Но изменение положения заслонки приводит к возникновению переходного процесса, связанного с изменением Q4, H3 и H6 во времени t.

Обозначим Ř4 и Ř5 - постоянное и регулируемое гидравлические сопротивления напорного трубопровода и заслонки соответственно, Ř6 - гидравлическое сопротивление турбин. В силу электрогидравлической аналогии сопротивления Ri, i = 2, 4, 5, 6, резисторов эквивалентной схемы рассматриваемой гидравлической системы должны быть пропорциональны соответствующим гидравлическим сопротивлениям Ř3 емкость С3 конденсатора - гидравлической емкости  уравнительного резервуара с поперечным сечением площадью S3, а индуктивности L2 и L4 - гидравлическим индуктивностям Ĺ2 = ρl2/S2 и L4 = ρl4/S4 напорных туннеля и трубопровода с поперечными сечениями площадью S2 и S4 соответственно. Напряжение U1 источника пропорционально давлению р1 = ρgН1 на входе в напорный туннель, которое благодаря большому объему водохранилища можно считать постоянным.

Рис. 2

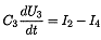
Согласно первому закону Кирхгофа, для узла эквивалентной схемы с напряжением U3, пропорциональным давлению p3 = ρq воды в месте соединения туннеля и трубопровода запишем:

(1)    

где I2, I4 - силы токов в ветвях схемы, пропорциональные текущим значениям объемных расходов Q2 и Q4 через туннель и трубопровод соответственно. Используя второй закон Кирхгофа для каждого из двух контуров схемы (Рис. 2) при их обходе по ходу часовой стрелки, получаем

(2)    

Теперь от уравнений (1) и (2) можно перейти к нормальной системе трех ОДУ:

(3)  

относительно p3, Q2 и Q4. Если исключить p3 то получим систему двух ОДУ второго порядка относительно Q2 и Q4. Для ее решения следует использовать в качестве начальных условий равенства Q2=Q4=0 при t=0.

Решение системы ОДУ в среде Maple 6

> restart; sys:=diff(q2(t),t)=(p1-q2*r2)/L2, diff(q4(t),t)=-q4*(r4+r5+r6)/L4;

> fn:={q2(t),q4(t)};

> dsolve({sys,q2(0)=0,q4(0)=0},fn);


После нахождения зависимостей Q2 и Q4 от t можно получить формулу расчета напора воды перед турбинами. Зависимость Q4 от t:

(4)  

Гидравлическое сопротивление R находится по формуле

(5) ,

Где μ - коэффициент вязкости воды, l - длина участка трубы, a - длина стороны квадратного сечения трубы, т.к. в предыдущих расчетах использовалась площадь сечения S, заменим эту величину и в этой формуле, тогда она примет вид

(6)

Гидравлическая индуктивность L4 напорного трубопровода с поперечным сечением площадью S и длиной трубопровод l4:

(7)

Окончательная формула расчета напора воды перед турбинами:

(8)

что при подстановке зависимости Q4(t) (c учетом подстановки L4 и всех присутствующих R, а также того, что l6, l5 - неучитываемые величины) дает

(9)

Из формулы (9) видно, что для системы моделирования нужно оперировать следующими данными:

Входные параметры:

·        Коэффициент вязкости воды

·        Площадь сечения трубы

·        Ускорение свободного падения

·        Плотность воды

Выходные параметры:

·        Напор воды перед турбинами

Контролируемые параметры:

·        Коэффициент вязкости воды (Различен при разных температурах)

·        Площадь сечения трубы

·        Плотность воды

Неконтролируемые параметры:

·        Ускорение свободного падения

Граничные условия:

·        Время

Целью моделирования является прогнозирование напора воды, прошедшей через плотину с заданными параметрами.

Варьирование входных параметров:

ρ = 0,9..1.2 кг/м³;

μ = 1..1,792 мПа∙с

S = 1..3 м²

Программа экспериментов

№ Эксперимента

Контролируемые параметры

Выходные параметры


ρ

μ

S

t

υкр

1-3

1

1 - 3 (∆=2)

0..60

+

3-10

0.99

1 - 1.792 (∆=0,792)

2

0..60

 +

10-13

0.9 - 1.2  (∆=0.3)

1

2

0..60

 +


Разработка моделирующей программы

Для каждой серии экспериментов строится трёхмерный график по исходным данным.

>restart;h:=4*t*mu^2/(9.8*ro^2*s^2);mu:=1;ro:=0.99;plot3d(h,s=1..3,t=0..60);

>restart;h:=4*t*mu^2/(9.8*ro^2*s^2);s:=2;ro:=0.99;plot3d(h,mu=1..1.792,t=0..60);

>restart;h:=4*t*mu^2/(9.8*ro^2*s^2);mu:=1;s:=2;plot3d(h,ro=0.9..1.2,t=0..60);

Интерпретация результатов моделирования

1. График зависимости напора воды перед турбинами от времени и площади сечения труб:


Напор воды перед турбиной обратно пропорционален площади сечения труб, зависимость параболическая.

. График зависимости напора воды перед турбинами от времени и коэффициента вязкости воды:


Напор воды перед турбиной прямо пропорционален коэффициенту вязкости воды, зависимость параболическая.

. График зависимости напора воды перед турбинами от времени и плотности воды:

Напор воды перед турбиной обратно пропорционален плотности воды, зависимость параболическая.

Список использованной литературы

Зарубин В.С. Математическое моделирование в технике. Учебник для вузов.- М: МГТУ, 2001. - 171-176 с.


Не нашли материал для своей работы?
Поможем написать уникальную работу
Без плагиата!
Без нейросетей!