Бетонная водосливная плотина на нескальном основании
Курсовой проект
По дисциплине: «Речные гидротехнические сооружения»
Тема: «Бетонная водосливная плотина на нескальном основании»
1. Компоновка гидроузла
Разработка компоновочных решений гидроузлов
представляет собой сложную инженерную задачу.
Гидроузел, как правило, представляет собой
комплекс гидротехнических сооружений общего (плотина, водосбросы) и
специального (здание ГЭС, шлюз, судоприемники т.п.) назначения.
Первый вопрос, который необходимо решить - это
размещение сооружений в намеченном створе, компоновка гидроузла. Под
компоновкой гидроузла понимается такое взаимное расположение входящих в него
сооружений, которое наиболее эффективно обеспечивает решение намечаемых
народнохозяйственных задач.
При заданном составе сооружений гидроузла существенное
влияние на компоновку оказывают следующие факторы:
·
инженерно-геологические
особенности створа;
·
объем
земляных и бетонных работ должен быть как можно меньше;
·
возможность
пропуска строительных расходов и перекрытия русла;
·
обеспечение
условий судоходства в нижнем бьефе (если в составе гидроузла есть шлюз);
·
вопросы
организации производства работ.
Поскольку для каждого гидроузла эти факторы
имеют свою специфику, то компоновку сооружений гидроузла в реальном проекте
также приходится решать индивидуально, руководствуясь конкретными природными и
экономическими условиями намечаемого района строительства гидроузла,
результатами изысканий, проектных проработок и лабораторных исследований.
Однако в проектах при выборе состава сооружений,
их типов и вариантов компоновок проектировщики по возможности анализируют
предшествующий опыт проектирования, строительства и эксплуатации существующих
гидроузлов и используют имеющиеся проектные решения в качестве аналогов.
В проектируемый гидроузел входят: ГЭС, водосливная
бетонная плотина, грунтовая плотина и судоходный шлюз. Располагаем их в
заданном створе от левого берега в следующем порядке: ГЭС, водосливная бетонная
плотина, грунтовая плотина и судоходный шлюз. Такая компоновка выбрана из
экономико-технических соображений. ГЭС удобнее располагать у берега, т.к. туда
необходимо привозить тяжелое оборудование. Судоходный шлюз располагают на
противоположном берегу от ГЭС, т.к. за ГЭС образуются большие пульсации, что
будет мешать нормальной эксплуатации шлюза.
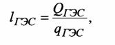
2.
Выбор удельного расхода
Удельный расход воды через плотину
принимается в зависимости от величины максимального расчётного расхода, от
напора на сооружении и от инженерно-геологических условий.
Для больших плотин целесообразно
принимать большие удельные расходы. В случае нескального основания до 70 м3/(с.м).
Для низконапорных плотин при сравнительно небольших максимальных расчётных
расходах целесообразно принимать удельный расход меньше - до 7 - 5 м3/(с.м).
Изучение опытных данных показало,
что для предварительного определения удельного можно определить по следующему
соотношению:
q =(2,1 - 2,5) ∙ VH, h=1∙
(2.1)
где q - удельный расход воды через
плотину, м3/(с.м);
VH, h=1 - неразмывающая
скорость потока для грунтов в нижнем бьефе при глубине равной 1,0 метру [л.1;
таб.№2.5, стр.67];
h нб - бытовая глубина воды в реке при пропуске максимального расхода, м.
Глубина воды определяется по
материалам задания:
h нб = ▼УНБmax - ▼дна (2.2)
где УНБmax - уровень в нижнем бьефе при максимальном расходе (см.
кривую Q=f(Н), по заданию 87,0м.) м;
▼дна - отметка дна реки, м.
(по заданию 77,0м).
h нб = 87,0 - 79,0 = 8,0 [м],
q = 2.2 · 0.7· 8,0 1,2 =
18,67 [м3/(с м)] ,
8.67 · 1.8 = 35.0 [м3/(с
м)]
3. Определение основных размеров
сооружения
Для компоновки гидроузла необходимо определить
длины составных частей (плотины и ГЭС) по следующим соотношениям:
Где
(3.1)
ГЭС - расход воды на ГЭС, м3/с;пл - расход воды
проходящий через водосливную плотину, м3/с; max - максимальный расход
воды, м3/с (см. задание 6050 м3/с)
Ν = 8 · QГЭС · НТ, (3.2)
(3.3)
где Ν - мощность ГЭС (по заданию 50 МВт);
НТ - напор на
гидротурбинах.
НТ = ▼НПУ - ▼УНБср,
(3.4)
Где ▼НПУ - нормальный
подпорный уровень (по заданию 95,0 м);
▼УНБср - уровень в
нижнем бьефе при среднем расходе (см. кривую Q=f(Н) по заданию принимаем 84,0
м.).
НТ = 95,0- 84.0 =11,0
[м], ГЭС =
(3.5)
где
-
длина ГЭС, м;
- расход воды на
ГЭС, м3 / с;
- удельный расход
воды на ГЭС , м3 / (с.м),
=(12...16)м3/(с.м). ГЭС =
[м]
(3.6)
lпл - длина плотины в
створе, м.пл - расход воды через плотину, м/с;
ℓпл - длина плотины
в створе, м;max - максимальный расход воды через плотину (по заданию 6050 м3/с)
qпл - удельный расход воды
через плотину, (м3/с)
[м3/с]
плотина гидроузел профиль затвор
4. Определение напора на
водосливе
Для определения напора используется основная
формула водослива:
(4.1)
где m
- коэффициент расхода водослива:
- коэффициент
подтопления;
Н0 - полный напор на водосливе, м.
; (4.2)
где Н - напор на водосливе, м;
- коэффициент
Кариолиса, принимаемый равным 1.1;
- скорость потока
в верхнем бьефе, м / с;
(4.3)
Где
-
глубина в Водохранилище, м.
Коэффициент расхода для водослива практического
профиля можно принять равным m=0.48.
Полагая в первом приближении
= 1 и
=
О, находим Н и определяем отметку гребня водослива, отнимая Н от отметки
нормального подпорного уровня - (НПУ) [л. 9; рис. 1. стр. 5].
(4.4)
.
▼ГВ=▼НПУ-Н, (4.5)
Где ▼ГВ - отметка гребня водослива, м
▼НПУ - отметка нормального подпорного
уровня, м;
Н - напор на водослив, м.
▼ГВ=95.0-6.5=88.5
Далее сравниваем уровень нижнего бьефа(УНБ) и
отметку гребня водослива (ГВ).
▼УНБ=87.0 [м]
▼УНБ=87.0 м
▼ГВ=88.5 м
Так как отметка уровня нижнего бьефа оказалась
ниже отметки гребня водослива, то водослив практического профиля будет не
подтоплен.
Глубину в нижнем бьефе над
креплением принимают несколько большей глубины в реке:
(4.6)

Следует проверить, обеспечивается ли
при этой глубине затопление гидравлического прыжка. Прыжок будет затоплен при
условии:
(4.7)
Где
- вторая сопряженная глубина по отношению к сжатой hc.
Для определения
- необходимо вычислить критическую глубину воды:
; (4.8)
Где
-
коэффициент Кариолиса, принимаемый равным 1.1;
q - удельный расход воды через плотину, (м3/с);
g - ускорение свободного падения, м/с2;
hкр - критическая глубина.
Далее определяем полный напор
относительно дна нижнего бьефа:
E0 = ▼НПУ - ▼УНБ
+ hр,
(4.9)
Где E0 - полный напор относительно дна нижнего бьефа, м;
▼НПУ - отметка нормального
подпорного уровня, м;
▼УНБ - отметка уровня нижнего
бьефа, м (см. кривую Q=f(Н) по заданию принимаем 79,0 м.).
hр - глубина в нижнем бьефе
над креплением, м.
E0=95.0 - 79.0 + 11.2 =
27.2
Находим относительное значение
полного напора:
(4.10)
Где
- относительное значение полного напора;
E0 - полный напор
относительно дна нижнего бьефа, м;
hкр - критическая глубина.
Затем по графику связи относительных
величин
,
=
и
=
[л. 3, рис.12-5, стр. 456] определяется
=1,85 и
=0,48
далее определяем hс и
;
hc = 0,48 5,3 = 2,5 [м]
Так как условие (4.7) выполняется,
то в проектировании водобойного колодца нет необходимости.
11,2
9,8.
Определяем отметку рисбермы:
▼Р = ▼УНБ - hр; (4.11)
▼Р = 87,0 - 11,2 = 75,6 [м]
5. Выбор числа и ширины
пролетов плотины
Суммарная сжатая ширина всех
пролетов водосливной плотины в первом приближении определяется по формуле:
(5.1)
Где
- суммарная сжатая ширина всех пролетов водосливной плотины в
первом приближении, м.
Q - расход воды через плотину, м3/с.
q - удельный расход воды через плотину м3/(с.м).
=
Ширина каждого пролета назначается с
учетом возможности пропуска через плотину льда и в соответствии с требованиями
норм [л.5; прил. 6, стр. 51]. Рекомендуется назначать ширину так, чтобы
соотношение b/Н было в пределах
При
соответствующем обосновании допускается отступление от размеров отверстий,
приведенных в таблице. За пролет отверстий принимается минимальный размер между
боковыми вертикальными гранями.
Число пролетов водосливной плотины
определяется делением:
(5.2)
Где п - число пролетов водосливной
плотины, шт.
-
суммарная сжатая ширина всех пролетов водосливной плотины в первом приближении,
м.
b - ширина пролета водосливной плотины, м.
При дробном п принимается ближайшее
целое число. Для удобства эксплуатации и повышении надежности плотины не
рекомендуется принимать п=1.
Приняв окончательно п и b уточняют напор в соответствии с
формулами:
(5.3)
Где
- коэффициент сжатия;
-
коэффициент сопротивления быков и устоев (для быков с циркульным оголовком
=0.7);
Н - напор на водосливе, м.
b - ширина пролета водосливной плотины, м.
(5.4)
Где
- уточненная суммарная сжатая ширина всех пролетов водосливной
плотины в первом приближении, м.
-
коэффициент сжатия;
п - число пролетов водосливной
плотины, шт.
b - ширина пролета водосливной плотины, м.
=0.96·8·20=153.6
, (5.5)
Далее по уточненному напору
окончательно определяют отметку гребня водослива (4.5):
▼ГВ=95.0-6.6=88.4
Уточнив ранее напор на водосливе,
можем теперь уточнить удельный расход на водосливе по формуле приведенной выше
(3.1):
6. Конструирование
водосливного профиля
Исходными данными для
конструирования водосливного профиля являются НПУ, УНБ и отметка гребня
водослива.
Теперь мы можем приступить к
построению водосливной грани.
Построение водосливной грани
Оголовок водослива строится по
специальным координатам, которые приводятся в справочной литературе. Для
построения водослива с безвакуумным криволинейным профилем воспользуемся
координатами Кригера-Офицерова приведенными в [л. 2; табл. №6.12, стр. 66].
Сопряжение водосливной грани с дном рисбермы осуществляется по дуге окружности
радиуса R. Рекомендации по выбору R содержаться в [л. 2; табл. №6-14, стр.66]. между криволинейным
оголовком и дугой проектируется прямолинейная вставка. Работа выполняется в
следующей последовательности [л. 9; рис. 3, стр. 8]:
1.
на чертеже в соответствующем масштабе наносят отметки гребня
водослива и дна рисбермы;
2.
по координатам Кригера-Офицерова
строят кривую АА,;
Вычисление координат для построения
водосливной грани
|
х
|
у
|
хН
|
уН
|
|
1
|
2
|
3
|
4
|
|
0.0
|
0.126
|
0.00
|
1.30
|
|
0.1
|
0.036
|
1.03
|
0.37
|
|
0.2
|
0.070
|
2.06
|
0.72
|
|
0.3
|
0.000
|
3.09
|
0.00
|
|
0.4
|
0.006
|
4.12
|
0.62
|
|
0.5
|
0.027
|
5.15
|
0.28
|
|
0.6
|
0.060
|
6.18
|
0.62
|
|
0.7
|
0.100
|
7.21
|
1.03
|
|
0.8
|
0.146
|
8.24
|
1.50
|
|
0.9
|
0.198
|
9.27
|
2.04
|
|
1.0
|
0.256
|
10.3
|
2.64
|
|
1.1
|
0.321
|
11.33
|
3.31
|
|
1.2
|
0.394
|
12.36
|
4.06
|
|
1.3
|
0.475
|
13.39
|
4.89
|
|
1.4
|
0.564
|
14.42
|
5.81
|
|
1.5
|
0.661
|
15.45
|
6.81
|
|
1.6
|
0.764
|
16.48
|
7.87
|
. из точки В проводят кривую BD касательную к криволинейной поверхности. Выбор точки В зависит от
проектировщика: чем выше её расположить, тем распластаннее будет водослив;
. прямую ВС сопрягают с
горизонтальной прямой DE дугой окружности. Точка Е должна лежать на границе между
водосливом и водобоем, от нее отсчитывается длина водобоя и рисбермы.
Проектирование гасителей энергии
потока
Гасители в виде установленных на
водобое препятствий оказывают на поток реактивное, диссипативное и
распределительные воздействия.
В результате реактивного действия
гасителей происходят уменьшение длины прыжка и его затопление, что позволяет
уменьшить длину водобоя и избежать устройства водобойного колодца или уменьшить
его глубину.
Диссипативная роль гасителей
характеризуется интенсивностью рассеивания той части энергии, которая
сосредоточена в турбулентных вихрях. При равной реактивной способности двух
гасителей большей диссипативной способностью обладает тот, который разбивает
поток на более мелкие струи, вызывая их интенсивное перемешивание. Два и более
рядов гасителей обеспечивают большее снижение пульсационной энергии, чем один с
такой же реактивной способностью.
Распределительная роль гасителей
выражается в переформирование эпюры осредненных скоростей потока в плане и по
глубине, выравнивании удельных расходов по ширине русла, отклонение потока по
необходимости к какому-либо берегу. С этой целью применяют гасители
рассекатели.
Пирсы и шашки
Этот тип гасителей энергии
представляет собой ряд выступов. Если высота этих выступов больше их длины и
ширины, то их называют пирсами, в противном случае - шашками. При выборе числа
рядов шашек на первый взгляд может показаться, что с увеличением их
гидравлическая структура потока в нижнем бьефе будет все больше улучшаться.
Однако это не совсем так. В ходе опытов выяснилось, что для полного
переформирования гидравлической структуры потока в желательном направлении
вполне достаточно двух рядов хорошо подобранных шашек, расставленных в
шахматном порядке. При правильном подборе двух шашек придонные скорости в
потоке за ними на столько малы, что последующие ряды просто не будут работать,
следовательно, их установка экономически не выгодна, что подтверждают опыты.
Шашечные гасители создают поверхностные режимы течения на рисберме, уменьшают
взвешивающее давление на участке водобоя, способствуют лучшему
пространственному растеканию потока. Вследствие отсутствия донного вальца за
шашками скорости в потоке распределяются более равномерно, поэтому здесь
наблюдается меньшие пульсации и меньшая размывающая способность потока. За шашечными
гасителями почти полностью отсутствует волнообразование на свободной
поверхности. Параметры шашек
Высота шашек с является одним из
наиболее важных параметров определяющих работу гасителя, поэтому и другие
размеры гасителя часто выражаются через высоту шашек.
Высота шашек определяется по
следующему выражению:
,
Где с - высота шашек, м.
-
первая сопряженная глубина, м.
= 2,5
[м]
Ширину шашек можно определить исходя
из следующего выражения:
Где с - высота шашек, м;
b - ширина шашек, м.
b=1·2.0=2.o
расстояние между подошвами гасителей
определяем по следующему выражению:
Где
- расстояние между подошвами гасителей, м.
с - высота шашек, м;
Расположение шашек вблизи самой
плотины нежелательно, так как в этом случае увеличивалась бы опасность
возникновения кавитации на поверхности шашек. Поэтому при значительных
скоростях потока в сжатом сечении во избежание разрушения шашек кавитацией, а
так же ударами льда и плавающих тел, приходится несколько отодвигать место
расположения шашек от плотины в область меньших придонных скоростей.
Далее определяем, на каком
расстоянии от подошвы плотины будут расположены гасители:
Где а - расстояние от подошвы
плотины до гасителей, м.
-
сжатая глубина, м.
Расстояние между рядами шашек
принимаем равным ширине шашек.
Определение толщины водобойной плиты
Водобойную плиту выполняют в виде
массивной армированной бетонной плиты. Плита водобоя под действующими на нее
силами может всплыть, опрокинуться в сторону нижнего бьефа или сдвинуться. Из
условий устойчивости плиты водобоя против опрокидывания и сдвига определяют ее
толщину.
Для предварительных расчетов толщину
водобойной плиты можно назначить по эмпирической формуле В.Д. Домбровского:
Где
- толщина водобойной плиты, м.
-
скорость воды в сжатом сечении, м.
-
толщина струи в сжатом сечении, м.
Где
- скорость воды в сжатом сечении, м.
-
коэффициент скорости, учитывающий потери напора в пределах сооружения, м.
-
полный напор относительно дна нижнего бьефа, м
-
толщина струи в сжатом сечении, м.
Дренажные отверстия (колодцы) в
плите водобоя располагают от начала плиты не ближе ¼ ее длины, в два, три
ряда и не более. Не помещают дренажные отверстия перед гасителями во избежание
передачи через отверстия значительной пульсационной нагрузки на подошву
водобоя.
Конструкция рисбермы
Расположенный за водобоем участок
крепления русла называется рисбермой. На рисберме происходит уменьшение
осредненных скоростей и пульсации скоростей. Рисберму выполняют в виде
крепления, постепенно облегающегося по течению. Обычно крепление устраивают из
бетонных плит, иногда армированных. Толщину плит в начале рисбермы принимают
равной или несколько меньше толщины водобоя, в конце рисбермы толщина плит
снижается до 0.5-1.5 м. Плиты бетонируют на месте, в плане они прямоугольные
или квадратные со стороной от 2 до 20 метров. Крепление из плит меньшего
размера может быть сборным. Плиты рисбермы имеют дренажные отверстия, под
плитами предусматривают обратный фильтр.
Определение длины водобоя и рисбермы
Общая длина горизонтального участка
крепления конструктивно состоит из двух частей - водобоя и рисбермы. За
горизонтальным участком рисбермы для защиты ее от подмыва устраивают концевое
крепление (ковш, глубокий зуб, гибкое крепление и др.).
Поток покидает пределы водобоя,
обладая значительной пульсационной энергией. Чем больше пульсационная энергия,
тем большей размывающей способностью обладает поток. Уменьшение пульсационной
энергии происходит в пределах рисбермы. За креплениями водобоя и рисбермы
образуется яма размыва, глубина которой при достижении некоторой величины
стабилизируется.
Удлинение крепления сверх той
величины, при которой образуется наименьшая яма размыва, не имеет смысла. Более
того целесообразно принимать несколько меньшую длину крепления, идя на больший
размыв русла, что оправдывается экономически. При наличии гасителей может быть
рекомендовано крепление длиной (водобой и рисберма):
Где
- длина крепления, м.
-
глубина в нижнем бьефе над креплением, м. (11,2 м)
Так как длина водобоя составляет
46.0 м., путем простых арифметических вычислений получаем длину рисбермы равной
54,8 м.
Концевой участок
Концевой участок рисбермы заглубляют
с уклоном 1:4 - 1:6, в результате чего образуется ковш, предназначенный для
защиты рисбермы от подмыва. Для определения размеров элементов концевого
крепления (глубина ковша, зуба, объем камня для защиты крепления от подмыва) и
оценки надежности сооружения от подмыва при отсутствии крепления необходимо
знать глубину и очертания ямы размыва за водосбросными сооружениями. Глубину
ожидающегося размыва можно определить по формуле:
Где
- глубина ожидающегося размыва, м.
-
удельный расход воды через плотину, м3/(с.м);
-
неразмывающая скорость потока для грунтов в нижнем бьефе при глубине равной 1.0
метру [л.1; табл. №2.5, стр. 67].
Зная глубину размыва можем
определить глубину ковша:
(▼УНБ-▼Р),
Где
- глубина ковша, м.
- глубина ожидающегося размыва, м.
▼УНБ - отметка уровня нижнего
бьефа, м, (см кривую Q=f(H));
▼Р - отметка рисбермы, м.
Длину наклонной части ковша
принимаем равной 22м.
. Конструирование
водосливной плотины
Проектирование быка
Быки разбивают весь водосливной фронт на
отдельные отверстия.
Быки часто выполняют троякую роль:
+ служат опорами для затворов, перекрывающих
отверстия плотины;
+ служат опорами для транзитных и служебных
мостов;
+ на них располагают стационарные подъемные
механизмы затворов.
Высота быков должна быть достаточна для того,
чтобы закрепить затвор в поднятом состоянии (в случае поднимающихся затворов).
Толщину и длину быков назначают обычно из
условий:
+ размещения на них стационарных подъемных
механизмов (если таковые имеются), а также опор мостов;
+ устройства в них пазов (ниш) для опорных
частей затворов;
+ обеспечения их прочности.
Ориентировочно толщину неразрезного быка можно
назначать по графику [л. 1; рис. 9.18., стр.256]. Минимальная конструктивная
толщина неразрезного быка равна 2-2.5м.
Очертание быков в плане, как правило, должно
быть плавным, чтобы:
коэффициент расхода отверстия между быками был
возможно большим;
плавающие тела (лед и т.п.) не задерживались в
отверстии.
Принимаем толщину неразрезного бьика равной 2.7
м, а разрезного 3.5 м.
Устройство и применение плоских затворов
Плоский затвор состоит из пролетного строения,
опорно-ходовых частей, уплотнений и подвесных устройств.
В зависимости от размеров перекрываемого
отверстия, назначения гидротехнического сооружения и условий его эксплуатации
применяют разные типы плоских затворов: одиночные, сдвоенные, секционные, с
клапанами.
Плоские стальные затворы получили наибольшее
распространение благодаря их универсальности. Плоские затворы на водосливных
отверстиях плотин и водосбросов применяют в качестве основных, аварийных,
ремонтных, аварийно-ремонтных и строительных. Плоские затворы судоходных
отверстий вододелителя в дельте Волги имеют уникальные, самые крупные в мире
пролеты по 110 м при высоте затвора около 14 м. Затворы выполнены в виде
пустотелой конструкции с обтекаемыми нижней и верхней частями и имеющими
обшивки со стороны верхнего и нижнего бьефов. В верхней части затвор усилен
сегментной фермой.
Плоские затворы обладают следующими
достоинствами:
их можно применять на водосливе любого
очертания;
они не требуют строительных конструкций больших
размеров вдоль потока;
ими можно перекрывать отверстия значительного
пролета и большой высоты;
их можно поднимать из пролета и транспортировать
из пролета в пролет и в затворохранилище, что облегчает их осмотр и ремонт, а
также и монтаж;
простота их конструкций обеспечивает
относительную легкость изготовления;
стоимость изготовления плоских затворов на 10 -
15 % ниже стоимости изготовления сегментных и секторных затворов;
разнообразие конструкций плоских затворов
позволяет подобрать наиболее удобный тип для заданных условий эксплуатации.
Недостатки плоских затворов:
значительные подъемные усилия при больших
габаритах перекрываемых отверстий и вследствие этого высокая стоимость
подъемных механизмов;
относительно большие необходимые толщина и
высота (при необходимости подъема затвора для его ремонта) быков, а также
применение специальных устройств при использовании затворов в суровых
климатических условиях.
Проектирование подземного контура плотины
При проектировании плотины любого типа наиболее
приемлемым решением будет такое, которое соответствует нормативным требованиям
прочности и устойчивости сооружения и основания, отвечает целесообразному в
этих условиях способу возведения сооружения, требованиям эксплуатации и
является наиболее экономичным.
Условно все элементы плотины можно разделить на
две части - нижнюю, заглубленную в основание, - фундаментная плита, а также
понур, водобой, рисберма и ее концевое крепление, шпунты, и верхнюю,
расположенную выше фундаментной плиты, - водослив, быки, служебные и
транспортные мосты.
Плотины на нескальном основании имеют, как
правило, развитый в горизонтальном направлении подземный контур и обязательно
конструкции в нижнем бьефе, предназначенные для гашения избыточной кинетической
энергии воды (сбрасываемой в нижний бьеф) и защищающие русло от опасных для
устойчивости сооружений размывов. Существенное значение имеет выбор удельного
расхода воды, пропускаемый через плотину: чем больше удельный расход, тем
короче водосбросной фронт плотины, но тем больше длина крепления нижнего бьефа,
массивней устройства для гашения энергии, больше глубина водобойного колодца, а
следовательно, и глубже заложение ее подошвы, длиннее и выше подпорные стенки,
защищающие берега и примыкающую к бетонной плотине грунтовую плотину.
Массивная плотина проще для возведения, ее масса
принимается из условия устойчивости против сдвига. для облегченной плотины
требуется меньший объем бетона, но она более насыщена арматурой. для
обеспечения устойчивости облегченной плотины применяют ряд конструктивных мер,
усложняющих ее возведение. Оптимальное решение находится в результате
экономического сопоставления вариантов.
Проектирование анкерного понура
Анкерный понур предназначен не только для
развития непроницаемого подземного контура, но и для восприятия части силы,
сдвигающей плотину. Он представляет собой железобетонную плиту толщиной 0.4 -
0.7 м, арматура которой соединена с арматурой фундаментной плиты плотины.
Водонепроницаемость железобетонной плиты обеспечивается оклеенной или литой
гидроизоляцией ее поверхности и слоем глинистого грунта. Узел сопряжения понура
с плотиной выполняется в виде гибкой конструкции, воспринимающей разность
осадок понура и плотины без нарушения его водонепроницаемости. Глиняная
пригрузка понура защищается бетонным покрытием из зернистого материала.
Вертикальные преграды фильтрационному потоку
выполняются в виде шпунтовых стенок.
Соединение шпунтов с фундаментом плотины
выполняют следующим образом: головы (верхняя часть) шпунтовых стенок заделывают
в специальные гидроизоляционные шпонки, размещенные в бетоне фундамента. Эти
шпонки залиты пластичными мастиками. При осадке плотины мастика вытесняется из
шпонки шпунтом в резервные колодцы, устраиваемые через 4-5 м. шпонки являются
весьма ответственной конструкцией. Образование трещин в мастике вследствие
старения и расстройство контакта могут привести к протечкам воды через шпонку и
вывести из строя шпунтовую завесу как противофильтрационную конструкцию.
Принимаем длину анкерного понура равной 27м.
Определение среднего градиента напора
Критерием достаточности длины подземного контура
является средний градиент напора, который должен быть меньше допустимого.
Определяется средний градиент по формуле:
Где Im
-
средний градиент напора;
L - длина подземного
контура, м.
Чтобы вычислить средний градиент напора нам
необходимо определить расчетную глубину залегания водоупора. Определение этого
значения исходит из понятия активной зоны, такой, когда при дальнейшем
увеличении глубины залегания водоупора эпюра противодавления, значения
выходного градиента, расход не изменяются.
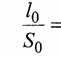
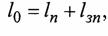
Если обозначить через ℓ0 и Sо
проекции подземного контура на вертикальную и горизонтальную плоскость, то мы получим:
где ℓ0 - проекция подземного
контура на горизонтальную плоскость, м;
ℓп - длина анкерного понура, м;
ℓзп - длина зуба плотины, м.
где $0 - проекция подземного контура
на вертикальную плоскость, м;
ℓ0 - длина шпунта, м;
вп - толщина анкерного понура, м.
Далее следуя формулам приведенным в [л. 1;
табл.№3.1, стр. 77] определяем:
Следовательно, схема подземного контура
промежуточная.
Сравнив с расчетным значением осредненного
критического градиента в основании сооружения с дренажом, равным 1.35 для глин
[л.7;, табл. №3], мы получаем: I = 0.32 = 1.35
. Определение нагрузок
Нагрузки и воздействия на гидросооружения бывают
постоянные, как например, вес самого сооружения, вес грунта, давление воды при
отсутствии сработки бьефа, и временные, действующие лишь в отдельные периоды
существования сооружения. Последние бывают длительно действующими (например,
статическое и фильтрационное давление воды, температурные воздействия),
кратковременными, как например, давление волн, плывущего льда, и особыми,
действующими в исключительных случаях, как, например, сейсмические нагрузки
(при землятресениях) и давление воды, льда, ветра при исключительных, катастрофических,
условиях.
В расчётах конструкций рассматриваются обычно
сочетания нагрузок и воздействий основных и особых.
Основные сочетания нагрузок образуются из
следующих сил: собственный вес сооружения, оборудования и устройств,
находящихся на нём: давление воды - статическое, динамическое, волновое,
фильтрационное, давление льда, давления грунта основания и берегов различных
засыпок, наносов отложившихся в верхнем бьефе: давление ветра: тяговые усилия
создаваемые подъёмными и транспортными механизмами: нагрузки от судов (в
транспортных сооружениях).
Нагрузки рассчитываются на одну секцию плотины.
В их число входят следующие величины.
Собственный вес сооружения, гидростатическая
нагрузка в верхнем бьефе, гидростатическая нагрузка в нижнем бьефе,
взвешивающее усилие, сила фильтрационного противодавления, удерживающая сила,
создаваемая анкерным понуром.
Определение собственного веса сооружения.
Собственный вес сооружения в расчёте на одну
секцию представляет собой сумму собственного веса бетонной водосливной плотины
и быков и определяется по следующему выражению;
Gсоор =
Gпл
+ Gб (8.1)
Где Gсоор
- собственный вес сооружения, Кн;
Gпл
- собственный вес бетонной водоливной плотины, Кн;
Gб
- собственный вес быков, Кн;
Собственный вес бетонной водосливной плотины определяется
следующим образом:
Cпл
= Vпл Yбет
(8.2)
где Cпл
- Собственный вес бетонной водосливной плотины, Кн;
Vпл
- объём бетонной водосливной плотины, м3;
Yбет -
удельный вес бетона, равный 23,5 Кн/м3.
Gб
=
(8.3)
Где Gб
-
собственный вес быков, МН.
-
собственный вес неразрезного быка, м3.
- собственный вес
разрезного полубыка, МН.
Gсоор =
17,6 28 40 23,5 + 3 6 40 23,5 + 2(34 28 3) 23,5 = 614 392 кН.
Определение гидростатической нагрузки в верхнем
и нижнем бьефах.
Определение гидростатической нагрузки в верхнем
бьефе сводится к определению вертикальной и горизонтальной нагрузок.
Вертикальная гидростатическая нагрузка в верхнем бьефе определяется по
следующему выражению:
Wвб =
Sвб
Lсек
Yв
Wвб =
Sвб
Lсек
Yв
Где Wвб
- вертикальная гидростатическая нагрузка в верхнем бьефе, Кн: Wнб
- вертикальная гидростатическая нагрузка в нижнем бьефе, Кн;
Sвб
- площадь эпюры гидростатической нагрузки со стороны верхнего бьефа, м2;
Sвб
- площадь эпюры гидростатической нагрузки со стороны нижнего бьефа,м2;
Lсек
- длина секции, м.
Yв
- удельный вес воды, равный 9,81 Кн/м3;
В длину секции входят два полубыка, один бык и
две ширины водосливной плотины.
Lсек
= 2 1.5 + 3.0 + 2 20 = 46,0 (м)
Wвб =
=
кН;
Wнб =
=
18276
кН.
Определение взвешивающего усилия
Для определения взвешивающего усилия используем
следующее выражение:
Wвз
= Sвз
Lсек
Yв
Где Wвз
- взвешивающее усилие, Кн:
Sвз
- Площадь усилия взвешивающего усилия, м2;
Yв
- удельный вес воды, равный 9,81 Кн/м3;
Lсек
- длина секции, м.
Wвз
= 34 13 46 9,81 = 199457 кН
Определение силы фильтрационного противодавления
Сила фильтрационного противодавления
определяется следующим образом:
Wф
= Sф
Lсек
Yв
Где Wф
- сила фильтрационного противодавления, Кн:
Sф
- площадь эпюры фильтрационного противодавления, Кн:
Yв
- удельный вес воды, равный 9,81 Кн/м3;
Lсек
- длина секции, м.
Wф
=
кН.
Удерживающая сила, создаваемая анкерным понуром
Удерживающая сила, создаваемая анкерным понуром
определяется по следующему выражению:
Wпон
= Sэпюр Lсек
Yв;
Wпон
=
=
77842,5 кН.
Расчёт устойчивости плотины на сдвиг
В курсовом проекте требуется рассчитать плотину
на сдвиг в плоскости основания по схеме плоского сдвига. При этом следует
выяснить соблюдается ли условие:
;
Где Ylc
- коэффициент сочетания нагрузок, принимаемый для основного сочетания нагрузок
равным 1:
F - расчётное
значение сдвигающей силы, Кн:
R - расчётное
значение силы сопротивление сдвигу, Кн:
Yc
- коэффициент условия работы, принимаемый для бетонных плотин на нескальном
основании равным 1:
Yn
- коэффициент надёжности, учитывающий степень ответственности сооружений.
Правая часть формулы должна быть больше левой не
более чем на 20%. В противном случае следует признать, что сооружение
запроектировано с излишнем запасом, и внести изменения в проект.
Сдвигающая сила и сила сопротивления сдвигу
определяются по следующим формулам;
R = P tgφ + A c
F = Tв
- Tн
Где R
- расчётное значение силы сопротивления сдвигу, Кн:
P - сумма
вертикальных составляющих всех нагрузок, Кн:
tgφ - угол
внутреннего трения,
A - площадь подошвы
рассчитываемой секции, м2:
C - удельное
сцепление, МПа:
F - расчётное
значение сдвигающей силы, Кн:
Tв
- сумма горизонтальных составляющих действующих со стороны верхнего бьефа, Кн
Tн
- сумма горизонтальных составляющих, действующих со стороны нижнего бьефа, Кн
P = Wф
+ Wвз
+ Gсоор +
Wв
+ Wпон
Определение напряжений в основании плотины
Напряжение на контакте основания и плотины
определяются по формуле неравномерного сжатия;
Где
-
напряжения на контакте основания и плотины;
- сумма всех
вертикальных сил, действующих на одну секцию, Кн;
- ширина основания
(перпендикулярно оси плотины), м;
- длина секции
(вдоль оси плотины), М;
- сумма моментов
всех сил относительно центра сечения, Кнм.
Взяв в формуле знак плюс, получим напряжение под
низовой гранью плотины
, взяв знак минус
получим напряжение под верховой гранью
.
Расчёт выполняется для случая, когда в верхнем бьефе НПУ, а в нижнем -
минимальный уровень.
Отношение
должно
быть не намного больше единице (1,2.......1,5). Совершенно не допустимо
появление растягивающих напряжений под верховой гранью.
9. Мероприятия по производству работ
и технике безопасности
В 1997 году Госдумой был принят Закон РФ «О
безопасности гидротехнических сооружений». Термин «безопасность» применительно
ко всему многообразию технических объектов становится все более популярным при
рассмотрении вопросов их эксплуатационной надежности, оценки рисков,
экологических последствий их эксплуатации и аварий.
«Безопасность гидротехнических сооружений -
свойство гидротехнических сооружений, позволяющее обеспечивать защиту жизни,
здоровья и законных интересов людей, окружающей среды и хозяйственных
объектов».
С позиций системного анализа безопасности
технического объекта как интегральное свойство системы «человек - объект -
среда» складывается из социальной значимости, экономической эффективности,
экологической приемлемости, эстетической привлекательности, надежности объекта
и его аварийной опасности.
Техническая безопасность гидротехнических
сооружений
Оценкой технической безопасности
гидротехнического - сооружения является уровень безопасности системы, который
определяется состоянием сооружения и оценкой соответствия нормативным и
проектным требованиям компонентов системы: оборудования, зоны влияния, системы
эксплуатации, а также оценкой соответствия проектным прогнозам аварийной
опасности.
Состояние гидротехнического сооружения
определяется методами технической диагностики на основе анализа результатов
инструментального и визуального контроля свойств (качеств) сооружения и
проверки соответствия их нормативным и проектным требованиям.
Зона влияния гидросооружения представляет собой
часть окружающей природной среды, на которую распространяется влияние
сооружения при его эксплуатации, и изменение состояния, которой может оказать
влияние на состояние сооружения.
Оценка соответствия законодательству и положениям
действующих норм и правил системы эксплуатации выполняется путем проверки таких
факторов безопасности, как нормативных условий эксплуатации гидросооружения,
организации его эксплуатации и организации противоаварийной системы.
Для определения состояния сооружения
(работоспособное, предельно допустимое, предаварийное, недопустимое) ввели три
группы критериев состояния: К1 предельно допустимые, К2 ограниченно допустимые,
К3
На стадии проекта и начального периода
эксплуатации критерии состояния сооружения определяют проектировщики на основе
требования СПиН по недопущению предельных состояний первой и второй групп. В
период длительной эксплуатации критерии состояния назначают эксперты на основе
нормативных документов, обобщении результатов инструментальных и визуальных
наблюдений разработки прогнозных моделей в виде компьютерных программ
напряженно - деформированного состояния, фильтрации и др. или в виде
аппроксимирующих формул, таблиц или графиков с учетом погрешностей измерений и
вычислений.
Охрана труда в строительстве
Организация и выполнение работ в строительном
производстве, промышленности строительных материалов и строительной индустрии
должны осуществляться при соблюдении требований СНиП 12-ОЗ - 99.
Требования охраны и безопасности труда,
содержащиеся в производственно-отраслевых нормативных документах организаций,
не должны противоречить обязательным положениям СПиН 12 - ОЗ - 99, типовым
инструкциям по охране труда.
Участники строительства объектов (заказчики,
проектировщики, подрядчики и т.д.) несут установленную законом ответственность
за нарушения требований СНиП 12 - ОЗ -99 «Безопасность труда в строительстве».
Обязательства участников строительного и
промышленного производства по выполнению этих требований определяются
действующим законодательством, также устанавливаются сторонами при заключении
договоров подряда, доставки, аренды и других видов деятельности, а также
актов-допусков
Организация работы по обеспечению охраны труда
В соответствии с действующим законодательством
обязанности по обеспечению охраны труда в организации возлагаются на
работодателя. Работники должны выполнять обязанности по охране труда в
организации в объеме требований их должностных инструкций или инструкций по
охране труда, которые должны быть утверждены работодателем.
Должностные инструкции должны быть доведены до
работника под расписку при приеме на работу или назначении на новую должность.
Организация производственных территорий,
участков работ и рабочих мест.
Производственные территории, участки работ и
рабочие места должны быть подготовлены для обеспечения безопасного производства
работ.
Окончание подготовительных работ на строительной
площадке должно быть принято по акту о выполнении мероприятий по безопасности
труда.
Производственные территории, участки работ и
рабочие места должны быть обеспечены необходимыми средствами коллективной
защиты работающих, первичными средствами пожаротушения, а также средствами
связи, сигнализации и другими техническими средствами обеспечения безопасных
условий труда, в соответствии с требованиями действующих нормативных документов
и условиями соглашений.
Охрана труда в строительстве представляет собой
систему взаимосвязанных мероприятий - организационных, технических,
санитарно-гигиенических и законодательных, цель которых обеспечить безопасные
условия труда при выполнении всех строительно-монтажных работ.
Организационно-технические мероприятия -
обучение безопасным методам труда, разработка безопасных механизмов, средств
труда и на базе их безопасных строительных процессов.
Санитарно-гигиенические - направлены на создание
нормальных условий груда и отдыха на строительной площадке.
Законодательные мероприятия - регламентируют
режим рабочего времени и отдыха, условия труда женщин и подростков, правила
приема, перевода и увольнения рабочих, взаимоотношения между рабочими и
администрацией.
Как памятка производителям работ основные
мероприятия по охране труда на строительной площадке излагаются в проекте
производства работ IIIIР и технологических картах.
10. Экологическая безопасность
водных объектов
Загрязнение водных источников стало острейшей
проблемой современности, для решения которой необходимы сложные организационные
и мероприятия. Эта проблема сейчас коснулась всех экономически развитых стран.
В настоящее время в угрожающем положении оказались
Волга, дон, Урал, Терек, ряд озер и водохранилищ Российской Федерации.
Концентрация ряда загрязненных веществ в этих водных объектах превышает
предельно допустимый уровень в 10 и более раз.
Экологическая безопасность строительных
технологий
Одним из требований, предъявляемых к
современному строительству, является обеспечение экологической безопасности.
Это означает, что при совершенствовании существующих и создании новых объектов
на всех этапах, исключая проектирование, сооружение и эксплуатацию должны учитываться
требования и критерии, позволяющие обеспечить максимальную совместимость
данного объекта и окружающей природной среды, сохранить экологическое
равновесие. Реализация принципа экологической безопасности базируется на
системном подходе анализа воздействий и прогнозе последующих изменений и
последствий, которые могут возникнуть в природных экосистемах и биосфере.
Виды воздействий на окружающую среду при
производстве строительных работ:
+ воздействия на социальную среду;
+ землепользование;
+ воздействия на грунтовую среду;
+ воздействия на водную среду;
+ воздействия на воздушную среду;
+ воздействия на растительность;
+ влияние на уровень безопасности конструкции;
+ влияние на безопасность человека и др.
Экологическая экспертиза - система комплексной
оценки всех возможных экологических и социально - экономических последствий
осуществления проектов и реконструкций, направленная на предотвращения их
отрицательного влияния на окружающую среду и на решение намеченных задач с
наименьшими затратами.
Главной целью экологической экспертизы является
оценка соответствия объекта экспертизы требованиям охраны окружающей среды и
экологической безопасности, которая осуществляется на принципах научной
обоснованности и законности выводов.
Финансирование и выполнение проектов проводится
только при наличии положительного заключения государственной экологической
экспертизы. Государственная экологическая экспертиза назначается уполномоченным
органом государства в области охраны окружающей природной среды. Ее выводы имеют
силу надведомственного документа, обязательного к исполнению.
Наряду с государственной экологической
экспертизой существует и ведомственная экологическая экспертиза, которая может
проводится по приказу соответствующего ведомства. Ее результаты сохраняют силу
внутри соответствующей ведомственной структуры, если они не противоречат
выводам государственной экологической экспертизы.
В конце отметим, что субъектами государственной
экологической экспертизы должны выступать три стороны: заказчик, подрядчик,
потребитель.
Экологическое страхование
Экологическое страхование стало особым видом
страхования, сравнительно недавно появившемся в России. Страховым событием
экологического страхования является непреднамеренное нанесение ущерба
окружающей среде в результате каких - либо аварий или катастроф. Как правило,
возможные причины страховочных событий, перечень загрязняющих веществ и
возможный ущерб оговариваются при заключении договора.
Цель экологического страхования предоставление
страховой защиты имущественных интересов третьих лиц от непреднамеренного и
неожиданного.
Важным для развития экономического страхования
является финансовая поддержка государства, а для этого должен быть принят закон
об обязательном экологическом страховании, позволяющий предприятиям относить
эти расходы на себестоимость продукции. Без этого широкомасштабное развитие
экологического страхования будет не возможно.
Список используемый литературы
1. Гришин
М.М. Гидротехнические сооружения. Ч.1., 1979 г.
2. Справочник
по гидравлическим расчётам. Под. Ред. Киселёва П.Г., М. «Энергия», 1972 г.
3. Чугаев
Р.Р. Гидравлика. Л.: «Энергоиздат», 1982 г.
. Рассказов
Л.Л., Гидротехнические сооружения. Ч.1., М.: «Стройиздат», 1996 г.
. Чугаев
Р.Р. Гидротехнические сооружения и водосливные плотины. М.: «Высшая школа»,
1978 г.
. Беляшевский
Н.Н. Расчёты нижнего бьефа за водосливными сооружениями на нескальных
основаниях. Киев, 1973 г.
. СНиП
2.06.01. - 86. «Гидротехнические сооружения речные. Основные положения
проектирования».