Проект коммутационного аппарата постоянного тока
Содержание
Введение
. Исходные данные
. Предварительный расчет
. Окончательный расчет
. Расчет магнитной цепи
. Определение максимальной
температуры
. Конечные результаты
. Расчет контактов
. Расчет контактной пружины
. Расчет возвратной пружины
Список литературы
Введение
Коммутационный аппарат - это электрический
аппарат, предназначенный для коммутации электрической цепи и проведения тока.
Современные летательные аппараты снабжены большим количеством разнообразного
электрооборудования, в том числе коммутационной и защитной аппаратурой.
Коммутационная аппаратура применяется также в пилотажно-навигационном
оборудовании и системах обеспечения полёта, взлёта и посадки летательных
аппаратов.
Специфические условия работы устройств
коммутационной аппаратуры и предъявляемые к ним высокие требования в отношении
минимальной массы и объёма, эксплуатационной надёжности, точности и
стабильности характеристик обуславливают высокие требования к технологичности
их конструкций и процессам изготовления.
Как показывает опыт эксплуатации, к
электротехническим требованиям, определяющим в конечном счёте безотказность и
долговечность работы коммутационной аппаратуры, относятся следующие:
. Механическая долговечность.
. Износоустойчивость контактов при включении
тока.
. Износоустойчивость контактов при отключении
тока.
. Стойкость контактов против сваривания.
. Надёжность контактирования (обеспечение
величины контактного усилия в заданных пределах и связанной с ней величины
переходного сопротивления на контактах и контактных соединениях).
. Стабильность характеристик срабатывания.
. Способность изоляции сохранять свои свойства
(обеспечение достаточной величины сопротивления и электрической прочности
изоляции, а также ограничение водопоглощаемости изолирующими деталями).
. Работоспособность, а также термическая и
динамическая устойчивость.
Эти требования, предъявляемые к коммутационной
аппаратуре, в основном определяют её надёжность, а следовательно, и
работоспособность.
В эксплуатации коммутационная аппаратура
подвергается воздействию большого количества факторов, которые целесообразно
объединить в две большие группы:
первая группа: величина тока и напряжения, род
тока, характер нагрузки, частота срабатывания, продолжительность включения и
т.п.;
вторая группа: окружающая температура, давление,
влажность воздуха, агрессивные газы (пары), радиация, ударные нагрузки,
вибрации (внешние), ускорения, действия обслуживающего персонала.
Диапазон изменения воздействующих факторов очень
широк, и совместное воздействие этих факторов встречается в самых различных
сочетаниях.
Суммарное воздействие той или иной комбинации из
перечисленных факторов вызывает большую или меньшую интенсивность отказов.
Изделия коммутационной аппаратуры, изготовленные
в строгом соответствии с техническими условиями, при правильной эксплуатации
надёжно работают в пределах гарантированного срока службы. При этом
существенного изменения основных электрических параметров не наблюдается.
Отступление от требований технических условий и правил, изложенных в
инструкциях по эксплуатации, приводят к нарушению нормальной работы или
преждевременному выходу изделия из строя: в этом сказывается в основном
воздействие факторов, относящихся к первой группе.
В процессе эксплуатации необходимо
предусматривать меры предосторожности, исключающие случаи механических
повреждений (особенно это относится к выключателям, переключателям,
микровыключателям и кнопкам) и резкого изменения параметров коммутируемой
нагрузки и источников питания.
1.
Исходные данные
коммутационный аппарат постоянного тока.
1) Начальное тяговое усилие: 
н =23 (кг)
) Ход якоря: δн = 0,52
(см)
) Установившаяся температура
перегрева θу=75 (°С)
) Температура окружающей среды: θокр.среды=25
(°С)
) Напряжение катушки электромагнита:
Uко=48 (В)
) Коммутируемый ток: 
к =475 (А)
) Режим работы τ=0,1
8) Количество цепей: n=3
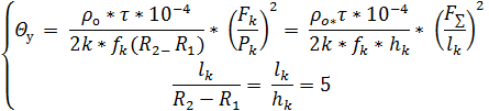
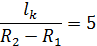
2. Предварительный
расчет
) Величина полезной работы
Апол=
н* δн= 23 * 0,52
=11,96 ( кг*см)
) Величина конструктивного фактора
КФ=
( 
)
По полученному значению конструктивного фактора
(КФ) на основании данных табл. 1.1 устанавливаем тип электромагнита:
втяжной с коническим стопом α
=45°;а
по графику на фигуре 1,8 находим
Вδ = 11000 (гс)
При τ<1 величину
Bδ необходимо
увеличить по сравнению с данными в графиках на 15 - 20 %, следовательно Вδ
= 13200 (гс)
) Приведём силы тяги и хода якоря к
эквивалентным значениям для плоского стопа.
δпл = δн
* cos2α
=0,52 * cos245°=0,26(cм)
Qпл =
= 
=46 (кг)
) Определение радиуса сердечника
R1 = 
(см)
коммутационный пружина
тяга якорь
5) Определение суммарной
намагничивающей силы.
∑ =
,
где Kст -
коэффициент стали.
Принимаем падение намагничивающей
силы в стали магнитопровода 18%, а в фиксированном зазоре 10% от
намагничивающей силы воздушного зазора. Тогда:

=
= 1,28
Следовательно:
F∑ =
(А)
) Определяем длину катушки 
и высоту катушки hk.
Составим два уравнения.
Отсюда:


= 

- удельное сопротивление меди при
температуре окружающей среды 0° С

α- температурный коэффициент
сопротивления меди
α = 0,00445 

- максимальная температура
окружающей среды.
Следовательно:

= 
= 1,75 * [ 1 + 0,00445 * (75 + 25)
] * 102 =
=1,75 * [1 + 0,00445 * 100] * 10-2 =
1,75 * 1,44 * 10-2 = 2,52 * 10-2 
Удельное электрическое сопротивление
медного провода обмотки электромагнита при при максимальной рабочей температуре
( 75°С + 25°С = 100°С) составляет:
К = 1,13 * 10-3 (
)
К определяем по кривым фигуры 1.14
По кривой хорошего теплового контакта между катушкой и магнитопроводом для θу=75 (°С).
fk = 
- коэффициент заполнения окна
катушки медью - сначала задаёмся, затем заполняем.
Определяем 
:

=

= =
=

= 5,7 (см)
Определив 
находим R2

=> 
= 5R2 - 5R1

+ 5R1 = 5R2
R2 = 
(см)
R2 - наружный
радиус катушки.
) Определяем высоту катушки
hk = R2 - R1 = 2,59-
1,45= 1,14 (см)
) Определяем внешний радиус R3 исходя из
равенства площади сечения стержня и корпуса.
R3 = 
= 
= 
= 2,97 (см)
) Определяем диаметр провода обмотки
dr = 0,2*
= 0,2 * 
=
,2 * 
= 0,2 * 
= 0,2 *2,72=0,54
. Окончательный расчёт
) Уточнение окончательных размеров
магнитопровода и диаметра провода обмотки (по таблице 1.4):
|
Предварительные
данные
|
Окончательные
данные
|
|
R1 = 1,45
(см)
|
R1 = 1,4
(см)
|
|
R2 =  (см)R2 = 2,6 (см)
|
|
|
R3 = 2,97(см)
|
R3 = 3 (см)
|
|
 = 5,7 (см) = 5,7 (см)
|
|
|
hk = 1,14 (см)
|
hk = 1,1 (см)
|
|
dr = 0,54 (мм)
|
dr = 0,55(мм)
|
|
dиз = 0,6 (мм)
|
Площадь сечения провода

= 0,24 (мм2) = 0,0024 (см2)
) Определение количества рядов
обмотки; уточнение коэффициента заполнения катушки; сопротивление обмотки,
намагничевающией силы катушки и установившейся температуры перегрева обмотки.
а) Определяем число обмотки:
N1 = 
,
где D = 
+ b + c = 0,03 +
0,1 + 0,045 = 0,175
Здесь 
= 0,02…0,03 - толщина стенки
латунной трубки,
b = 0,1…0,2
(см) - толщина изоляции между катушкой, внутренней и внешней частями
магнитопровода.
с = 0,03…0,05(см) - допуск.

- диаметр провода с изоляцией

= 0,0006…0,02 - толщина бумажной
изоляции между рядами.
N1 = 
13,2
Принимаем N1 = 13 рядов
б) Определяем число витков в одном
ряду:
N2 = 
Принимаем N2 = 86, где 
= 0,2 - толщина щёк катушки
,95 - коэффициент плотности укладки
- потеря одного витка в конце
каждого ряда.
в) Определяем общее число витков
обмотки

(витка)

Определяем действительный
коэффициент заполнения окна обмотки медью
fk = 
д) Определяем сопротивление провода
обмотки
τΘ = 
,
где 
- общая длина или длина обмотки

Rср = 
= 2,01

= 2 *2,01 = 4,02
Следовательно,
τΘ =
е) Определяем ток обмотки при θу
IΘ = 
= 3,1 (A)
ж) Определяем действительную
намагничивающую силу катушки

= 
= 1118 * 3,1 = 3465,8 (A)
з) Определяем действительную
температуру перегрева
Θуд = 
= 
) Расчёт размеров 


= 0,5 (см) - задаётся из
конструктивных соображений
=
Gш=

=
. Расчёт магнитной цепи
По эскизу (фиг. 1.5) магнитной цепи
определим длину средних силовых линий для каждого участка магнитопровода:
а) якорь и стоп:
L1 = 
б) корпус:
2=
в) фиксированный зазор
сердечник-фланец:
L3=
Определяем площадь поперечного
сечения участков а) и б)
S = 
Принимаем величину магнитной
индукции в рабочем зазоре:
Определяем магнитный поток в рабочем
зазоре при заданных величинах магнитной индукции:

)
Определяем магнитный поток на
участках магнитопровода с учётом коэффициента рассеяния:
Определяем удельные намагничивающие
силы для данного материала (сталь 10) по графику (фиг. 1.11)
а1=12(А/см), а2=17(А/см),
а3=23(А/см)
Определяем падение намагничивающей
силы на участках магнитопровода:
а) якорь и стоп:
б) корпус:
в) фиксированный зазор
сердечник-фланец:
Определяем общую намагничивающую
силу при заданных значениях магнитной индукции:
Полученные данные сводим в таблицу
3. По данным таблицы строим характеристику намагничивания: 
(фиг.1.17).
Таблица 3
|
Части
магнитопровода
|
L, (см)
|
Sп (см)
|
Фδ (Вб)
|
σФδ (Вб)
|
а
(А/см)
|
F (А)
|
|
Якорь
|
5,9
|
6,15
|
|
|
1,3
|
12
|
|
|
Корпус
|
10,4
|
6,15
|
|
|
1,3
|
12
|
|
|
Зазор
|
0,03
|
-
|
|
|
-
|
12
|
|
|
|
|
|
|
|
|
|
|
Якорь
|
5,9
|
6,15
|
|
|
1,4
|
17
|
|
|
Корпус
|
10,4
|
6,15
|
|
|
1,4
|
17
|
|
|
Зазор
|
0,03
|
-
|
|
|
-
|
17
|
|
|
|
|
|
|
|
|
|
|
Якорь
|
5,9
|
6,15
|
|
|
1,5
|
23
|
|
|
Корпус
|
10,4
|
6,15
|
|
|
1,5
|
23
|
|
|
Зазор
|
0,03
|
|
|
-
|
23
|
|
|
|
|
|
|
|
|
|
Определяем величину проводимости рабочего
промежутка:
Определяем угол наклона рабочего луча.

С1 - рабочая точка электромагнита.
Фδн=8,5*10-4
Fδн =2735
По графику 1.17 определяем полезную
работу (формула Максвелла)
Апол= 
Fδн* Фδн* 
= 
* 2735 * 8,1 * 10-4 *
=0,05*2735*0,00081*
(кг * см)
Определяем начальную силу тяги
эквивалентного электромагнита с плоским стопом.
пл = 
= 
= 43,11 (кг)
Определяем начальную тяговую силу
действительного электромагнита с коническим стопом:
Qн = Qпл *
cos2α = 43,11 *
0,5 = 21,55 (кг)
Расчет веса электромагнита и
коэффициента весовой экономичности
а) Определяем вес меди:
меди = l0*qM*γM=
*0,0024 *8,4= 297,2(г) = 0,29 (кг),
где γM = 8,4 
- плотность меди
б) Определяем вес стали
магнитопровода:
Gст=Vст*γст,
где γст -
плотность стали 10, равная γ = 7,8
Vст =
SM*LM=6,15*16,3=100,2(см3),
где LM=L1+L2=5,9+10,4=16,3(см)
Следовательно,
Gст=
100,2*7,8=781,5(г) = 0,78(кг)
в) Определяем вес латунной трубки.
тр=Vтр* γтр=1,7*8,3=14,11
(г) = 0,014 (кг), гдетр=π(2R1+ΔШ)* ΔШ*(lк+b5)=
3,14* (2*1,4 + 0,03)*0,03*(5,7 + 0,55)= 8,88*0,03*6,25=1,7 (см3)
γтр= 8,3 
- плотность латуни
г) Вес изоляции и лака принимаем
Gиз=133(г)=0,133(кг)
д) Определяем общий вес
электромагнита
Gэл. магн = Gмеди + Gст + Gтр + Gиз =
0,29+0,78+0,014+0,133=1,21 (кг)
е) Определяем коэффициент весовой
экономичности.
Кэк = 
= 
= 0,1 
. Определение максимальной
температуры
) Определяем поверхность охлаждения.
Sох = Sц + Sт = 2*π*(R2+ΔШ+R1)*lк+2*π*[R22-(R1+ΔШ)2]=
=6,28*(2,6+0,03+1,4)*5,7+6,28*[6,76-(1,4+0,03)]=
=6,28*4,03*5,7+6,28*5,33=177,7 (см2),
где Sц - боковая
поверхность катушки
Sт - торцевая
поверхность катушки
) Действующее значение теплоемкости.
β = 
= 
= 2,07 
,
где Cст = 0,472 -
удельная теплоемкость стали
Соблюдается условие 1,25< β <4,65,
следовательно:
ν = 100-50*
= 100-50
= 88=0,88
) Определяем значение начальной
теплоемкости электромагнита
Gн = Gмеди * Gмеди + Gиз * Gиз + Gст * 0,55 * ν + Gтр * Gтр * 0,55 * ν=297,2*0,39+133*1,5+781,5*0,472*0,55*0,88+14,11*0,362*0,55*0,88=496,
где Gмеди = 0,39
- удельная теплоемкость меди
Gиз=1,5 -
удельная теплоемкость изоляции
Gтр = 0.362 -
удельная теплоемкость латуни
,55 - величина теплоемкости стали и
латуни от ее действительного значения
) Определяем установившуюся
температуру при длительном включении электромагнита
Θуст.длит = 
= 
= 744(єC),
где P=
=
К=1,13*10-3
) Определяем постоянную времени
нагрева электромагнита
Tн = 
= 
= 2480 (сек)
Определяем время включения
электромагнита до достижения заданной допустимой температуры

=342,2(сек)
) Определяем действительное значение τg
τg = 
= 
= 0,137
6. Конечные результаты
) Сила тяги Qн = 21,55
(кг)
) Напряжение катушки U = 48(В)
) Ток катушки IΘ = 3,1 (А)
) Мощность катушки P = 
(Вт)
) Установившаяся температура
перегрева τg = 0,137; Θу = 75єC
) Время включения tвкл=342,2
(с)
) Вес электромагнита Gэл.магн. =
1,21 (кг)
) Полезная работа Aпол = 
(кг)
) Коэффициент весовой экономичности
Кэк = 0,1 
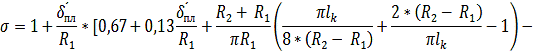
. Расчет контактов
Из конструкционных соображений и
удобства производства используем контакты цилиндрической формы (см. фиг 4.36.)
Определяем диаметр контакта:
Dk=C1*
,
где C1=0,8(мм*А(-1/2))
- коэффициент диаметра
Dk=17,4 (мм)
Высоту hk = 2,2 (мм)
принимаем, т.к. Ik>100A.
Сферическую часть принимаем h=0,2 (мм)
Определяем радиус сферической части
контакта.

+

=
=
Определяем контактный зазор:
δк
= δк0+С2*Ik
где δк0
= 1,2, при Ik = (50…600А)
С2 = 0,0023 
δк = 1,2+0,0023 *475=2,29(мм)
Определяем контактное давление:
Qk = Pk*Ik (кг),
где Pk=
(0,4….0,5)* 10-2 
- контактное давление на единицу
тока
Qk =
0,5*10-2*475=2,37 (кг)
Плотность тока в контакте:

=
=
. Расчет контактной пружины
Расчет контактной пружины ведется по известному
значению контактного давления:
где 

=
(кг)
Расчетную величину максимальной силы
сжатия контактной пружины 
берут с запасом:
Для пружин коммутационных аппаратов
принимается проволока ОВС (50ХФА - хромо - ванадиевая) с допустимым напряжением
на скручивание τкр=50
Для расчета берем τрасч=0,9* τкр = 45
) Определяем диаметр проволоки
d=
= 
=1,32(мм) 
(мм)
Dср = 5….10
Условие 
=(5………10), выполняется
) Определяем число витков
n=
= 
=
=6,8
7(витков),
где G=7800 
- модуль сдвига
Pk.max = 0,55 
- максимальная жесткость пружины из
таблицы 4
) Определяем максимальный прогиб
одного витка
fmax=
=
= 0,8 (мм)
) Определяем шаг обратной пружины
HK= (fmax+d)*1,15=(0,8+1,4)*1,15=2,53
(мм)
) Длина пружины в свободном
состоянии
Lк.св=HK*n+1,5*d=2,53*7+1,5*1,4=19,8
(мм)
) Длина пружины при начальном сжатии
Lтр=Lсв-
=19,8 -
=14,2 (мм)
) Размер окна под пружину
L=Lтр-δн=
14,2-0,52= 13,68 (мм)
. Расчет возвратной пружины
) Определяем максимальное усилие:
Так как 
=400(А),то по таблице 4 выбираем
значение:
|
Величина
 (А)   (кг)
|
|
|
|
|
До
100
|
0,35
|
1,3
|
0,1…..0,13
|
|
До
200
|
0,7
|
1,5
|
0,14…..0,2
|
|
До
400
|
2,2
|
0,2…..0,5
|
|
До
600
|
1,3
|
2,6
|
0,5…..0,58
|
Следовательно,

=2,6
) Для пружин коммутационных
аппаратов принимается проволока ОВС(50ХФА-хромо-ванадиевая) с допустимым
напряжением на скручивание 
.
Для расчета берем 
=0,9
Модуль сдвига G=7800
) Определяем диаметр проволоки
Условие
=(7…10)
d=
=
=1,2(мм)
) Определяем число витков
n=
=
=3,7
витков
) Определяем max прогиб
одного витка

=
=1,24 (мм)
) Определяем шаг обратной пружины.
) длина пружины в свободном
состоянии:
) длина пружины при начальном
сжатии:
) Размер окна под пружину:
L=
Список литературы
1.
В.А. Балагуров, Ф.Ф. Галтеев, А.В. Гордон, А.Н. Ларионов «Проектирование
электрических аппаратов авиационного оборудования. М.,1972г.»
.
В.И. Ануриев. « Справочник конструктора машиностроителя, том 3
.
Конспект лекций.