Проблемы управления знаниями в ООО 'Рога и копыта'

  • Вид работы:
    Курсовая работа (т)
  • Предмет:
    Менеджмент
  • Язык:
    Русский
    ,
    Формат файла:
    MS Word
    179,9 Кб
  • Опубликовано:
    2012-11-09
Вы можете узнать стоимость помощи в написании студенческой работы.
Помощь в написании работы, которую точно примут!

Проблемы управления знаниями в ООО 'Рога и копыта'















Проблемы управления знаниями в ООО "Рога и копыта"

Содержание

Введение

Глава 1. Понятие и система управления знаниями

.1 Содержание и основные подходы к управлению знаниями

.2 Модели управления знаниями

Глава 2. Методика оценки управления знаниями

.1 Требования к методике оценки управления знаниями

.2 Система показателей управления знаниями

Глава 3. Система управления знаниями в ООО «Рога и Копыта»

.1 Характеристика корпоративной системы управления знаниями

.2 Оценка системы управления знаниями в ООО «Рога и Копыта»

Заключение

Список использованной литературы

управление знание методика оценка

Введение

Актуальность темы исследования. На современном этапе знания и интеллектуальный капитал компании становятся основой эффективного развития и одним факторов конкурентоспособности национальных экономик. Сегодня конкурентоспособной может быть только экономика, основанная на знаниях, главным принципом которой является распространение и использование знаний для обеспечения своего роста и развития. Инновации становятся основным источником экономического роста, растет значение человеческого капитала, происходит развитие и широкомасштабное использование информационно-коммуникативных технологий.

Изменения произошли и на уровне предприятия. Процессы усложнения систем управления организациями и производственными отношениями обуславливают необходимость анализа интеллектуального капитала компании и его компонентов. Стали очень актуальными вопросы оценки и совершенствования управления нематериальными активами, которые не учитываются в бухгалтерском балансе, но являются ключевыми факторами конкурентоспособности и дают значительный экономический эффект. При этом в разных компаниях соотношение между материальными и нематериальными активами является различным и определяет инновационные возможности внутрифирменного управления интеллектуальным капиталом как стратегическим ресурсом организации, что и предопределило выбор темы и логику исследования.

Современная стадия развития российских компаний связана с необходимостью формирования собственных неформальных систем управления организационным знанием. Это определяет новые требования к системам бизнес - образования, призванным не только обеспечивать эффективное непрерывное образование работников, но создавать и управлять организационным знанием компаний, и увеличивать тем самым, человеческий капитал и интеллектуальный капитал компании в целом.

Стратегии управления знаниями направлены на то, чтобы создать новую стоимость, реализованную в продуктах, людях и процессах с помощью рационального формирования и использования знаний в организациях.

В настоящее время существует практика оценки нематериальных активов и компонентов интеллектуального капитала, но далеко не все методы исследованы до конца и применимы к российской практике.

Управление знаниями - это непрерывный процесс, направленный на создание, накопление и применение знаний в компании. Критерием его эффективности является возможность сотрудника компании своевременно получить требуемое знание.

Для того чтобы постоянно сокращать дефицит знаний, организации должны решать такие важнейшие задачи, как:

·        приобретение знаний - использование уже имеющихся в мире знаний и их приспособление для нужд организации (например, при помощи режима открытой торговли, привлечения иностранных инвестиций и заключения лицензионных соглашений), а также получение новых знаний путем ведения научно-исследовательских и опытно-конструкторских работ;

·        усвоение знаний (например, обеспечение всеобщего начального образования, создание возможностей для обучения на протяжении жизни и развитие системы высшего образования);

·        передача знаний - использование новых информационных и телекоммуникационных технологий, соответствующее нормативно-правовое регулирование и обеспечение доступа к информационным ресурсам.

В условиях революционных изменений в производственных и информационных технологиях формируется новая функция управления, в задачу которой входит аккумулирование интеллектуального капитала, выявление и распространение имеющейся информации и опыта, создание предпосылок для распространения и передачи знаний.

Цель работы состоит в раскрытии эффективных инструментов и разработке научно-практических рекомендаций по управлению знаниями. Для достижения поставленной цели выбраны следующие задачи:

.        проанализировать теоретические подходы к управлению знаниями;

.        определить цели, задачи и особенности управления знаниями в современной российской компании;

.        оценить эффективность влияния формальных и неформальных инструментов управления знаниями капитал современной консалтинговой компании с учетом уровня деловой репутации при использовании системы поддержки клиентских отношений (CRM -система);

.        разработать метод оценки системы управления знаниями в компании.

Объектом исследования является интеллектуальный капитал компании.

Предметом исследования выступают организационно-экономические отношения, возникающие в процессе управления и развития интеллектуального капитала и системы управления знаниями

Глава 1.Понятие и система управления знаниями


1.1 Содержание и основные подходы к управлению знаниями


Наряду с осязаемыми активами любой организации, которые отражаются в балансах и могут быть оценены, есть еще один неосязаемый и трудно поддающийся оценке актив - это знания, которыми она обладает. Несмотря на то, что именно уникальные знания фирмы всегда были ключевым фактором в достижении конкурентного преимущества, до сих пор большинство организаций не управляло этим активом интенсивно. С формальным выделением в начале 90-х годов XX в. набора разрозненных методологий и технологий в отдельную дисциплину под названием «теория управления знаниями» организации задумались о методах создания благоприятных условий для практического применения накопленного теоретического багажа.

С точки зрения теории управление знаниями (англ. «knowledge management») - это процесс, в ходе которого как осознанно, так и неосознанно создается, структурируется и используется знание организации. Многие крупные компании имеют специально выделенные для этой задачи группы сотрудников, в небольших фирмах за это может отвечать и один человек - на ранних этапах развития дисциплины они были подотчетны отделам информационных технологий или управления персоналом, однако в настоящее время отмечается тенденция к созданию специальных подразделений в организационной и функциональной структуре организации. Как правило, эта зона ответственности в руководстве представлена директором по управлению знаниями (англ. «chief knowledge officer», или «СКО»).

Отметим, что задача экономической оценки эффекта от внедрения информационных систем сложна и до настоящего времени не имеет общепринятой методологической базы. Ситуация с оценкой эффекта от создания системы управления знаниями еще сложнее: подобных специфических методов нет, а существующие для других классов системы не могут быть в должной мере адаптированы, в силу чего каждый проект по внедрению такой системы требует отдельной детальной оценки экономической эффективности таких систем. Ввиду подобной сложности для оценки экономического эффекта от внедрения системы управления знаниями предлагается подход, не претендующий на возможность точного количественного выражения полученного экономического эффекта, но позволяющий примерно оценить экономическую эффективность внедрения решения.

Эволюция развития управления знаниями подтверждает неоспоримую значимость данного вида деятельности в современных социально-экономических условиях. Как бизнес-сообщество, так и представители научного мира рассматривают знания как экономическую категорию, составляющую основу интеллектуального капитала компаний.

С точки зрения менеджмента, система управления знаниями испытывает в значительной степени влияние со стороны корпоративной культуры, поскольку именно корпоративная культура закладывает те основные принципы и методы управлением знаниями как определенным свойством персонала. Сама по себе система управления знаниями должна преследовать следующую цель - максимально использовать потенциал персонала предприятия с целью повышения качества представляемых услуг.

Поскольку система управления знаниями тесно связана с ценностями человека, корпоративной культурой, видом менеджмента и конкретными методами организации работы и управления, эти вопросы нужно рассматривать совместно. Можно предложить широкую систему мероприятий по совершенствованию системы управления знаниями сотрудников и развития корпоративной культуры на предприятии.

Эта система включает такие направления работы:

·        создание определенного центрального руководства с достаточными полномочиями для принятия решений, способного действовать энергично и целеустремленно;

·        определение и четкое формулирование целей, выделение расхождений между старым и новым, описание изменений;

·        оценка экономии, что должна быть достигнута в связи с внедрением предложенных методов управления корпоративной культурой и системой управления знаниями;

·        своевременное обучение лиц, выделенных для работы над проектами направленными на совершенствование функционирования всего предприятия;

·        выделение необходимых человеческих и финансовых средств для осуществления запланированных изменений в системе управления знаниями и корпоративной культуры;

·        необходимо позаботиться о том, чтобы проведенные изменения отвечали интересам большинства работников;

·        обеспечение наличия в проекте таких аспектов, которые заинтересовали бы всю организацию в целом и каждого отдельно взятого работника;

·        поддержка коллектива в курсе дел относительно реализации проекта путем довольно подробной информации;

·        обеспечение наличия консультационной и информационной сети с четким размежеванием и способностью решать конфликтные ситуации (не оставлять без внимания наименьшие сигналы);

·        постоянный контроль за узкими местами в проекте и быстрое реагирование на возникающие сложности;

·        постоянная коррекция хода реализации проекта (планирование, согласование, информация и обучения);

·        коррекция временного графика;

·        постоянный контроль по полученным результатов, систематическая оценка хода реализации изменений в культуре предприятия и системе управления знаниями.

Подавляющее большинство специалистов, занимающихся как практическими разработками, так и теоретическими исследованиями в области управления знаниями, убеждены в том, что стандартных схем, позволяющих эффективно управлять знаниями в любой компании, не существует. У каждой организации имеется свой метод формирования корпоративной системы управления знаниями. Тем не менее, можно выделить два общепринятых подхода к данной проблеме, которые формулируются следующим образом:

·        планомерное управление знаниями во всей компании на основе регулярной операционной деятельности;

·        управление знаниями на основе реализации разнообразных проектов с последующим распространением их результатов по всей компании.

При использовании первого подхода компания последовательно и поэтапно формирует корпоративную систему управления знаниями (далее - СУЗ). Преимущества от использования корпоративных СУЗ бесспорны, так как они обеспечивают существенное улучшение как финансовых, так и нефинансовых показателей деятельности компании. Однако при общей положительной оценке данного подхода к управлению знаниями, он имеет ряд ограничений, сдерживающих его применение на практике. Действительно очень немногие отечественные компании могут позволить себе формирование полноценных систем управления знаниями. По большей части это крупные компании и холдинги, обладающие возможностями финансирования такого рода функциональной деятельности как управление знаниями. Как правило, на практике мы наблюдаем лишь отдельные элементы управления знаниями, что не позволяет полноценно осуществлять эту деятельность и получить ожидаемый эффект.

Практика показывает, что подход, основанный на реализации отдельных проектов по управлению знаниями в компании, лишен перечисленных ограничений.

Проектное управление знаниями предполагает интеграцию двух составляющих:

.        управления знаниями как отдельного вида функционального управления;

.        проектного управления как особого вида управленческой деятельности.

Кросс-функциональный характер проектного управления дает возможность применять его в различных сферах функциональной деятельности (см. рисунок), т.е. он применим к проектам в любой сфере деятельности, в том числе и к управлению знаниями.

Безусловно, концепция проектного управления знаниями базируется на теоретических основах проектного менеджмента. Вместе с тем существуют принципиальные различия, позволяющие назвать его самостоятельным видом управленческой деятельности. Для идентификации данных отличий необходимо рассмотреть два вида деятельности, традиционно выделяемых в проектном менеджменте:

.        управление предметной областью проекта;

.        управление проектно-ориентированной деятельностью.

Проектно-ориентированное управление одинаково для всех типов проектов. В то время как управление предметной областью будет существенно отличаться в зависимости от сферы деятельности, в которой осуществляется проект.

Рассматривая данный вид управления через призму субъектно-объектных отношений, можно выделить его субъекты и объекты. Объектами проектов по управлению знаниями являются знания, информация и данные, воплощенные в продуктах, услугах, бизнес-процессах, инновациях, профессиональных компетенциях сотрудников и т.п. К субъектам относятся физические лица, подразделения или организации, непосредственно участвующие в проекте. Относительно участников следует также отметить, что работы, выполняемые ими при реализации проекта, направлены как на предметно-ориентированную деятельность, так и на проектно-ориентированное управление.

При всем многообразии определений проектов все они базируются на трех основных характеристиках: уникальная цель; ограниченность во времени; ограничение по ресурсам. Что касается проектов по управлению знаниями, то можно отметить, что такие характеристики, как ограниченность во времени и ограничение по ресурсам, остаются неизменными. Цели проектов при сохранении уникального характера всегда будут лежать в области управления знаниями. Именно эта специфическая особенность отражена в определении проекта по управлению знаниями: проект по управлению знаниями - это временное предприятие, связанное с затратами ресурсов и включающее системный комплекс плановых мероприятий, направленных на достижение уникальной цели в области управления знаниями.

Таким образом, проектное управление знаниями заключается в создании и реализации проектов посредством применения комплекса специальных методик. Другими словами, все задачи, касающиеся деятельности по управлению знаниями, решаются путем выполнения соответствующих проектов.

Проект по управлению знаниями существует только в течение определенного периода, т.е. на протяжении своего жизненного цикла. Признак «ограниченности во времени» является одним из самых значимых аспектов, отличающих проектное управление от регулярной управленческое деятельности, которая осуществляется на протяжение всего периода существования компании. В свою очередь длительный срок реализации и размытость конечных целей, присущих регулярной деятельности, не дают возможности быстро ощутить полученный эффект. Совершенно иначе обстоит дело при проектном управлении знаниями. Цель, являющаяся основанием инициации проекта по управлению знаниями, содержит в себе данные о предполагаемом результате. Проект всегда инициируется с целью достижения определенного результата, поддающегося измерению и оценке. Иными словами, ограниченный срок и наличие легко измеримого результата позволяют оперативно оценить эффект от реализации любого проекта по управлению знаниями.

Управление знаниями на основе регулярной деятельности подразумевает одновременное выполнение большого объема работ по всем направлениям в данной области. Такая масштабность обусловлена тем, что создается СУЗ, обеспечивающая решение комплекса задач, касающихся деятельности по управлению знаниями.

Как правило, любая деятельность, осуществляемая на регулярной основе, в том числе и операционное управление знаниями, требует вовлечения всех ресурсов компании. Реализация проекта, напротив, всегда осуществляется в условиях ограниченных ресурсов. Это является одним из характерных признаков проектов, в том числе и по управлению знаниями. Причем следует отметить, что количество вовлекаемых ресурсов далеко не хаотично, оно всегда планируется на стадии инициации проекта. На основании запланированного уровня качества, которое нужно получить в результате реализации проекта, определяется количество необходимых ресурсов.

Для регулярной деятельности по управлению знаниями следует сформировать разветвленную инфраструктуру, обусловленную специализацией различных направлений в данной сфере. Возникает потребность в создании отдельного структурного подразделения с соответствующим штатом сотрудников, обладающих набором профессиональных компетенций, которые требуются для реализации всех функций по оперативному управлению знаниями.

Инициируя проект по управлению знаниями, необходимо сформировать команду, состоящую из руководителя и участников. Причем в команду проекта могут входить сотрудники различных уже существующих структурных подразделений компании, т.е. отсутствует потребность в создании дополнительного штата сотрудников. Безусловно, при проектном управлении знаниями также может потребоваться формировать определенное структурное подразделение, но масштабы его гораздо скромнее, чем при традиционном подходе.

Все перечисленные аспекты, характеризующие традиционное управление знаниями, требуют существенных финансовых затрат. Иными словами, формирование СУЗ и поддержание ее функционирования можно отнести к высокобюджетным направлениям деятельности компании. При проектном управлении знаниями любой проект всегда осуществляется в рамках изначально выделенных затрат, т.е. бюджет заранее предопределен и ограничен.

Таким образом, проектное управления знаниями имеет ряд неоспоримых преимуществ, что еще раз подтверждает целесообразность практического применения данного подхода. Однако этот факт нисколько не умаляет всех достоинств управления знаниями на основе регулярной операционной деятельности. Напротив, он лишь свидетельствует о том, что расширение управленческого репертуара компании новыми подходами в области менеджмента знаний позволит существенно повысить эффективность достижения поставленных целей.

1.2 Модели управления знаниями


В теории управления знаниями разделяются понятия данных, информации и знания, что наиболее ясно представлено в ставших уже классическими моделях знания: SECI и DIKW.

Модель SECI (так же известная как модель Нонака-Такеучи) является моделью жизненного цикла знания, получившей свое название от четырех основных квадрантов - состояний знаний: социализации (S), экстериоризации (Е), комбинации (С) и интериоризации (I).

На первом этапе социализации знания остаются неявными и передаются между членами сообщества через процессы экспериментального наблюдения, имитации и практики.

На этапе экстериоризации знания превращаются из неявных в явные с помощью диалога или коллективной рефлексии, для чего применяются аналогии, метафоры и модели; накопленные знания отчуждаются путем перевода в документы и процедуры.

При комбинации знания остаются явными, но их полученные описания перестраиваются с помощью сортировки, добавления, комбинирования и категорирования процессов; знания распространяются внутри сообщества.

На последнем этапе интериоризации происходит обратный относительно социализации процесс - накопленные знания сообщества переводятся в неявное знание или, проще говоря, в личный опыт его членов.

Модель DIKW получила свое название как аббревиатура четырех основных составляющих: данные (D), информация (I), знания (К), мудрость (W). Составляющие слои выстроены по нарастанию сложности и по порядку происхождения: информация основывается на данных, знания - на информации, а мудрость - на знаниях. Сама модель ведет свои истоки от работ философа Мортимера Адлера, однако впервые в приложении к теории управления знаниями она была формализована Николя Анри. В качестве дополнения в 1989 г. Расселом Акоффом было предложено расширение этой модели слоем «understanding» (понимание): понимание требует анализа и предопределения, благодаря чему оно помещено между знанием и мудростью. Относительно временного распределения слоев он указывает на краткость жизненного цикла информации по сравнению с жизненным циклом знания; понимание считается непостоянным, а мудрость принимается за константу.

Среди подходов к концепциям можно выделить ориентированные в качестве основных параметров на технологическую платформу либо на сотрудников организации.

Концепция управления знаниями IBM Lotus идентифицирует четыре основные задачи бизнеса, решение которых ведет к улучшению деятельности организации через управление знаниями: инновация, восприимчивость (быстрота реагирования), производительность, компетенция. Инновации - поиск и развитие новых идей, объединение людей в виртуальных командах, создание форумов для «мозговых штурмов» и сотрудничества; это основное условие достижения превосходства над конкурентами. Восприимчивость (скорость реакции) - это обеспечение сотрудников необходимой информацией в нужный момент для максимальной эффективности и адаптации к изменениям. Производительность - эффективность повторного использования массивов знаний; именно поэтому большая часть усилий по управлению знаниями сосредоточена на документировании, каталогизации и распространении корпоративных информационных ресурсов. Компетенция - это развитие организационного знания.

Концепция, рассматривающая знание как интеллектуальный капитал организации, предполагает, что оно состоит из следующих активов: рыночные, человеческие, инфраструктурные и интеллектуальная собственность. Рыночными активами являются нематериальные активы, связанные с рыночными операциями. Под человеческими активами подразумевается совокупность коллективных знаний сотрудников предприятия, их творческих способностей, умения решать проблемы, лидерских качеств, предпринимательских и управленческих навыков. Инфраструктурные активы -это технологии, методы и процессы, которые в принципе делают возможной работу предприятия. Интемектуальная собственность включает патенты, авторские права, торговые марки товаров и услуг, ноу-хау, коммерческую тайну и др.

Постоянно растущая значимость интеллектуального капитала отражает все большую зависимость организации от нематериальных активов и соответственно актуальность данной концепции. Более того, возникают организации нового типа, располагающие только нематериальными активами и производящие исключительно нематериальные продукты. Это СМИ, консалтинговые и прочие организации, основным ресурсом которых являются знания.

В качестве основы для построения системы управления знаниями необходима инфраструктура трех типов: организационная; социальная; технологическая.

Организационная инфраструктура - это набор регламентов, реализующих формальную сторону обработки информации в организации. Например, нередко препятствием для внедрения системы управления знаниями является внутренняя конкуренция в организации: немногие привыкли делиться знаниями с коллегами, считая это невыгодным для себя. Если в организации есть база знаний, то каждый сотрудник всегда рискует, что его идея или ноу-хау будут похищены или присвоены, поэтому данные вопросы нуждаются в четкой регламентации.

Социальная инфраструктура основана на корпоративной культуре. Именно качество взаимодействия сотрудников организации максимально важно для распространения и совместного использования знаний. Рабочие группы должны быть способны распространять необходимую информацию как между собой, так и внутри себя. Сотрудники должны иметь доступ ко всем видам информации со своего рабочего места. Кроме того, для организации в целом крайне важна способность приобретения новых знаний (т.е. способность извлекать их без значительных затрат времени и труда).

Технологическая инфраструктура должна поддерживаться архитектурой поиска, так как невозможно управлять интеллектуальным капиталом в отсутствие быстрого и легкого доступа к нему. Также управление знаниями не может осуществляться за счет простой инсталляции и запуска «коробочных» или подобных приложений - как правило, это сложный программно-аппаратный комплекс. Если знание извлечено, то возникает вопрос о месте и способе его хранения. Методология подразумевает создание хранилища, которое содержит организационное знание. В отличие от традиционных баз данных такое хранилище основано не на информации, а на задачах и их решении. База знаний должна быть организована таким образом, чтобы поиск предоставлял наиболее релевантные результаты, готовые к немедленному использованию.

Как правило, трудности возникают вследствие ошибок при подготовке одного из типов инфраструктуры к реализации проекта по построению системы управления знаниями. В частности, это могут быть ошибки при проектировании технической платформы - решение подобных проблем происходит легче всего как для исполнителей, так и для организации, поскольку программно-аппаратная реализация баз знаний слабее всего привязана к бизнес-процессу либо социальным структурам организации в отличие от двух других типов инфраструктуры: организационной и социальной. Проблемы, связанные с задачами, реализуемыми на базе организационной инфраструктуры, зачастую вызваны такими факторами, как недостаточная скорость реакции ответственных подразделений на требуемые изменения в регламентации основной деятельности либо слишком высокая культурная энтропия организации в целом. К проблемам, вызванным социальной инфраструктурой организации, можно отнести разобщенность коллектива, отсутствие сформировавшихся сообществ, в том числе и сообществ практик.

В идеале система управления знаниями должна выполнять несколько функций, в том числе:

·        экспорт - выборка знаний из внешних хранилищ, сортировка по тематике, выявление аналогов;

·        исполнение - формулировка проблемы или темы, поиск соответствующих знаний, которые могут переформатироваться и предоставляться в более удобном виде с несколькими уровнями интерпретации;

·        посредничество - оценка скрытых знаний. Сопоставляя интересы пользователя с проведенной ранее работой, система может связать между собой людей, работающих над одной и той же проблемой, для обмена знаниями. Функция осушествляется с помощью группового программного обеспечения, интранет-порталов, системы поддержки потоков работ и управления документами;

·        познание - использование всех полученных знаний. Для решения этой задачи может применяться искусственный интеллект, позволяющий системе самостоятельно принимать решения.

Портальный вариант реализации решения по управлению знаниями наиболее популярен и в России, и на Западе. Обычно он представляет собой ресурс, интегрированный с различными информационными системами и приложениями. Фактически это корпоративная библиотека, разделенная на тематические отделы, информация в которых обновляется в режиме реального времени. Особенностью портала является возможность персонализации - выбора пользователем приложений, необходимых для его работы в настоящий момент.

Динамика развития бизнеса и острая экономическая ситуация предъявляют особые требования к безопасности инвестиций в новые системные решения. Программное и аппаратное обеспечение должно быть масштабируемым, т.е. должно иметь возможность развиваться по мере изменений в организации. Кроме того, системы должны быть максимально открытыми, т.е. поддерживать обмен данными с другими системами для того, чтобы различные операции с внешними партнерами могли быть включены в процессы обмена информацией с минимальными издержками.

В настоящее время во многих случаях вопрос о том, разрабатывать или приобретать новое программное обеспечение, уже не возникает: покупка нового программного обеспечения для бизнеса, как правило, означает приобретение стандартной программной среды, в то время как разработка индивидуальных приложений имеет смысл только в очень специфических областях.

Деятельность информационных центров, создающих и распространяющих различные виды ресурсов, т.е. информационное пространство, имеет особое значение для его организации. Кроме того, интенсивно развивающиеся информационные технологии оказывают существенное влияние на работу библиотек по сбору, обработке, хранению, накоплению, организации доступа к электронным ресурсам.

Существуют разные подходы к трактовке информационного пространства. В разных источниках оно определяется как «современная информационная среда», «информационно-коммуникативное пространство», «информационная инфраструктура». Однако с точки зрения системного подхода информационное пространство - это структура, состоящая из повторяющихся на иерархически соотнесенных уровнях взаимосвязанных компонентов, к которым специалисты относят:

·        ресурсы (банки, базы данных и знаний, документальные информационные потоки, потоки сведений и др.);

·        организации (инфраструктура производства и распространения информации);

·        участников коммуникации;

·        средства и технологии (вся совокупность технических, телекоммуникационных средств, а также каналов и средств создания и передачи информации).

Карту информационного пространства и его покрытия средствами информационно-коммуникационных технологий можно представить следующим образом.

.Информационная база:

·        ресурсы (массивы данных);

·        инфраструктура (информационные системы архивов, библиотек, систем научно-технической информации, СМИ, правовой информации).

.Коммуникационная база:

·        участники коммуникации (субъекты, производящие и передающие информацию, а также субъекты, получающие и использующие информацию);

·        каналы коммуникации (как синхронные, так и асинхронные).

.Технологическая база:

·        телекоммуникационная инфраструктура (средства связи и телекоммуникации);

·        технические средства (устройства ввода/вывода, а также передачи, обработки и хранения информации);

·        программные средства (передачи, обработки и защиты информации);

·        организационно-методическое обеспечение (регулирующие нормативно-правовые акты, стандарты, организационно-технологическая документация).

Система управления знаниями организации должна покрываться полем информационной базы описываемого пространства.

Наиболее эффективным вариантом реализации системы управления знаниями представляется приложение, доступное пользователям внутри организации, а также и пользователям сети Интернет, и является:

·        программным обеспечением, предназначенным для решения задач размещения, публикации, систематизации и каталогизации информационных ресурсов фирмы;

·        решением, интегрирующим ресурсы различных типов;

·        инструментом публикации описаний информационных ресурсов различных типов с возможностью размещения ресурсов как в центральном хранилище, так и в других источниках данных, доступных по различным каналам доступа.

Преимущества подобного решения с точки зрения бизнес-пользователя:

·        работа с ресурсами с учетом международных стандартов метаданных;

·        интеграция в международное образовательное пространство;

·        решение вопросов правового обеспечения, учета и регистрации авторских прав и прав на использование информационных ресурсов;

·        формирование и поддержка каталога информационных ресурсов.

Внедрение системы такого класса позволит получить следующие результаты:

·        создать основу для формирования единого информационного пространства фирмы;

·        повысить отдачу от использования информации;

·        накапливать и использовать знания;

·        создать ряд новых интерактивных сервисов для сотрудников;

·        подготовить базу для модернизации существующих информационных систем и повысить эффективность их использования.

В целом реализация системы управления знаниями способствует укреплению позиций организации на рынке, а также повышению эффективности ее деятельности в целом.

Глава 2.Методика оценки управления знаниями


2.1 Требования к методике оценки управления знаниями


Анализ фактических значений оценки формирует основу принятия управленческих решений, направленных на совершенствование управления интеллектуальным капиталом промышленного предприятия.

При оценке эффективности управления интеллектуальным капиталом промышленного предприятия наиболее приемлемым является использование стоимостного подхода, увязывающего стоимость интеллектуального капитала со стоимостью организации в целом. Подход к определению стоимости интеллектуального капитала предложенный экономистами Т. Стюартом и Дж. Тобином, определяет его стоимость как разность между акционерной (рыночной) стоимостью промышленного предприятия и балансовой стоимостью основных производственных фондов или стоимостью их замены. Однако, данный метод имеет ряд недостатков. В частности, в стоимость интеллектуального капитала, в соответствии с этим подходом, включена стоимость оборотных средств и нематериальных активов, которые не являются его составляющими, поэтому стоимостная оценка интеллектуального капитала при использовании данного метода является неточной.

Методический подход к оценке эффективности управления персонифицированными, клиентскими и марочными составляющими интеллектуального капитала недостаточно разработан в теории менеджмента. Персонифицированный капитал является ключевой составляющей интеллектуального капитала, наличие и эффективность использования которого определяет развитие других составляющих. Сущность персонифицированного капитала как функциональной составляющей интеллектуального капитала промышленного предприятия заключается в использовании в производственной деятельности знаний и умений, творческих способностей, образования, профессиональной квалификации, ценностных установок персонала, психометрических характеристик, интеллектуальной активности, выступающих как форма реализации интеллектуальных, этически- и культурно-ориентированных способностей человека к созданию нового знания, обеспечивающего интеллектуальную ренту и преимущества перед конкурентами.

Оценка эффективности управления персонифицированным интеллектуальным капиталом осуществляется на основе анализа показателей:

) характеризующих экономическую эффективность управления персонифицированным интеллектуальным капиталом: отдача от вложений в его развитие и коэффициент ее динамики, рентабельность персонифицированного капитала.

Практическое использование предложенной методики расчета позволяет осуществлять ориентацию промышленного предприятия на интенсивное развитие и достижение высокого уровня эффективности использования персонифицированного капитала, выявление резервов его совершенствования.

Выполненный анализ позволил установить, что содержание клиентского капитала определяет устойчивое позитивное отношение клиентов к организации и (или) ее продукции, которое является условием формирования дополнительного дохода и конкурентных преимуществ на рынке.

Оценку эффективности управления предлагается осуществлять на основе расчета и анализа следующих показателей:

) уровня предпочтения потребителей и степени их доверия к организации, удовлетворенности уровнем и качеством выполнения заказов, надежности клиентской базы (доля потребителей, повторно сделавших заказ, индекс доверия потребителей, доля постоянных потребителей в общем количестве потребителей, индекс надежности клиентской базы);

) прироста клиентской базы (индексы экстенсивного и интенсивного прироста, интегральный показатель прироста, средний темп роста и средний темп прироста);

) качества клиентского капитала (средний размер счета постоянного потребителя, индекс роста качества клиентского капитала);

) доходов промышленного предприятия от увеличения объема покупки постоянными потребителями и расходов на его увеличение (расходы на формирование и поддержание клиентского капитала, дополнительный доход, совокупный дополнительный доход и индекс прибыльности клиентского капитала);

5) обобщающих показателей эффективности управления клиентским капиталом (рентабельность, индекс роста рентабельности, интегральный показатель эффективности управления клиентским капиталом).

2.2 Система показателей управления знаниями


Использование системного подхода и инструментов экономического анализа позволяет выбрать методику оценки сравнительной эффективности управления интеллектуальным капиталом промышленного предприятия, включающей этапы:

·        определение для исследуемого предприятия числового значения скорректированного коэффициента Дж. Тобина (без учета стоимости нематериальных активов, не являющиеся составляющими интеллектуального капитала), показывающего стоимость интеллектуального капитала в общей стоимости предприятия (qпр);

·        определение аналогичного коэффициента для основного конкурента (определяется экспертным путем) (qконк);

·        расчет коэффициента относительной эффективности управления интеллектуальным капиталом промышленного предприятия К= q пр/qконк;

·        определение индекса относительной динамической эффективности управления интеллектуальным капиталом промышленного предприятия

Иодэ=К/К1,

где К - коэффициент относительной эффективности управления интеллектуальным капиталом в исследуемом периоде, а К1 - в базовом. Значение индекса больше единицы свидетельствует об эффективном управлении интеллектуальным капиталом, значение меньше единицы - о его неэффективном управлении.

Предложенный метод оценки эффективности управления интеллектуальным капиталом, основанный на стоимостном подходе с учетом деятельности конкурентов, является более точным и учитывает недостатки применяемых ранее методов. Система показателей оценки эффективности управления персонифицированным и клиентским составляющими интеллектуального капитала создает информационную основу для совершенствования организационно-экономического механизма управления интеллектуальным капиталом промышленного предприятия. В частности, чистый дисконтированный доход от использования торговой марки определяется как разница между суммой текущих результатов за расчетный период, приведенных к моменту покупки торговой марки и первоначальных капиталовложений в нее. Применение методики сравнения с показателями предприятий-лидеров для оценки эффективности управления марочным капиталом является инструментом, адекватным рыночным условиям. Методика предполагает выполнение следующих этапов:

·        определение перечня торговых марок промышленного предприятия и торговых марок конкурентов; расчет добавленной стоимости, которая увеличивает цену товара промышленного предприятия и торговых марок конкурентов; определение дополнительного дохода и его удельного веса в стоимости единицы товара по каждой торговой марке предприятия и конкурентов;

·        определение расчетного дополнительного дохода от использования торговой марки, который создавался бы при условии, что эффективность управления ею совпадает со средней;

·        расчет коэффициента сравнительной эффективности управления марочным капиталом, как отношения дополнительного дохода, создаваемого всеми торговыми марками за отчетный период к расчетному дополнительному доходу. Если коэффициент больше единицы, то эффективность управления марочным капиталом выше средней эффективности предприятий-конкурентов; если меньше единицы, то управление марочным капиталом осуществляется на уровне ниже среднего;

·        определение индекса сравнительной динамической эффективности управления марочным капиталом как отношения коэффициентов сравнительной эффективности за исследуемый и базисный периоды. Этот индекс позволяет оценить сравнительную эффективность управления марочным капиталом в динамике. Показателем эффективности управления марочным капиталом является его капиталоотдача, которую предложено рассчитывать как отношение суммарной рыночной стоимости торговых марок к добавленной стоимости, которая ими создается за определенный период.

Глава 3.Система управления знаниями в ООО «Рога и Копыта»

 

.1 Характеристика корпоративной системы управления знаниями


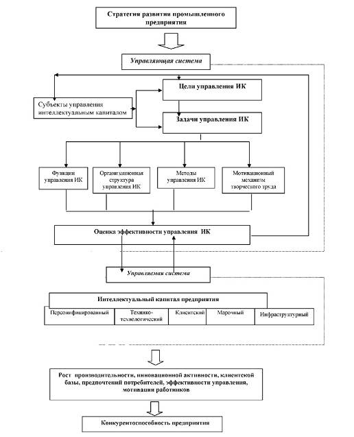
Организационно-экономический механизм управления знаниями ООО «Рога и Копыта» представляет собой систему элементов управления (субъекты управления; цели, функции, структура и методы управления; мотивационный механизм интеллектуального труда, а также критерии и методы оценки эффективности управления им), оказывающих воздействие на составляющие интеллектуального капитала как объекта управления, что позволяет получать дополнительные конкурентные преимущества (рис. 1). Регулирование организационно-экономического механизма управления знаниями обеспечивается путем использования обратной связи в соответствии с результатами оценки эффективности управления знаниями и его составляющими.

Для управления знаниями ООО «Рога и Копыта» используется проблемно-целевой подход к формированию организационной структуры управления с учетом принципов функционального подхода, при использовании которого структурные подразделения формируются с учетом проблем управления отдельными составляющими интеллектуального капитала. Применение такого подхода позволяет осуществить согласование составляющих интеллектуального капитала, что обеспечивает положительный синергетический эффект.

Рис. 1. Организационно-экономический механизм управления знаниями предприятия

По функциональному содержанию можно выделить следующие составляющие интеллектуального капитала: персонифицированный, инфраструктурный, клиентский, марочный, технико-технологический. Установлено, что составляющие интеллектуального капитала находятся в тесной диалектической взаимосвязи. Ключевым является персонифицированный интеллектуальный капитал, эффективность использования которого определяет формирование и возможности использования других его элементов.

1.       Работа со знаниями в компании включает все виды деятельности, в результате которых происходит движение, преобразование, создание знаний в компании. Вся работа со знаниями в компании может быть представлена в виде нескольких типовых процессов: создание, передача, сохранение, применение и удаление знаний. В свою очередь, перечисленные процессы реализуются с помощью нескольких типов средств: социальных, связанных с созданием возможностей для общения и совместной работы; технологических, связанных с созданием систем коммуникаций, обработки и хранения информации; рыночных, связанных с покупкой и продажей организационных знаний; организационных, связанных с изменением бизнес-процессов и структуры компании.

Процесс создания, как правило, сопровождается наибольшими рисками по сравнению с остальными процессами работы со знаниями. Для проектов, предполагающих создание новых знаний, календарное и ресурсное планирование крайне затруднено. Даже при получении готового знания извне потенциальные затраты на адаптацию и доработку могут быть непредсказуемыми. В связи с этим для повышения прогнозируемости и управляемости процесса создания знаний предложено применение практики внутреннего и внешнего дублирования. Данная практика предполагает параллельную работу над одной задачей нескольких отделов или сторонних компаний. Однако ведение одновременно нескольких проектов создания одного элемента знания может быть сопряжено с неоправданно высокими расходами для компании. Поэтому, целесообразно дублировать работу только в пределах неопределенности, сопровождающей создание нового знания в ходе реализуемого проекта. В ходе такого дублирования осуществляется разделение общей задачи, предполагающей создание знания, на ряд частных задач и сравнение результатов работы дублирующих групп или отделов по каждой выполненной частной задаче. Дублирование продолжается до момента, когда в результате сравнения происходит выбор и корректировка одного из решений, и дублирование последующих задач прекращается. В результате дублирования создается избыточное знание, что в условиях неопределенности является оправданным, когда стоимость возможной неэффективности решения больше, чем затраты на дублирование.

Большое количество знаний в компаниях теряется, особенно это касается скрытых знаний, когда увольняются сотрудники или когда эффективные знания не развиваются и не поддерживаются. Основной проблемой, связанной с важными элементами организационного знания, когда они находятся в форме знаний работников, является их фрагментация. Так как работники, обладающие ключевыми знаниями, как правило, не сосредоточены в рамках единой структуры, а принадлежат различным функциональным и территориальным единицам, то контроль над сохранением и применением этих знаний затруднен. Для сохранения организационных знаний в неявной форме в работе предлагается применение сценария реструктуризации, при котором в отдельную самостоятельную бизнес-единицу переводятся сотрудники, являющиеся носителями ключевых организационных знаний, и выделяются соответствующие бизнес-процессы. На практике реструктуризация в таком виде означает создание корпоративного «центра компетенций» в виде отдельной бизнес-единицы (компании), в которой будут сосредоточены ключевые бизнес-процессы и сотрудники. При этом возможно налаживание рыночных отношений как с другими бизнес-единицами, так и предоставление услуг, соответствующих ключевым организационным знаниям, сторонним потребителям. Учитывая, что все ключевые знания компании будут сосредоточены в рамках единых бизнес-процессов и единой структуры, это позволит не только более эффективно контролировать и применять их, но и развивать их путем обмена и совместного использования. В современной экономике примерами использования подобного сценария являются оболочечные компании, специализирующиеся на узких видах деятельности (дизайн, разработка, производство), в которых обладают отличительными знаниями по сравнению с конкурентами, и передающие на аутсорсинг остальные виды деятельности.

Основной проблемой при передаче знаний внутри компании является сложность обмена знаниями между различными подразделениями и отделами, особенно территориально удаленными. Например, при росте компании за счет увеличения числа подразделений в других городах и странах, новые сотрудники могут не иметь возможности перенять скрытые организационные знания из центра, которые зачастую и содержат заведенный порядок работы и ключевые компетенции организации. В таком случае теряется связь между удаленными подразделениями и центром, работа подразделений перестает соответствовать единым корпоративным стандартам и стратегиям. Передача знаний в формализованной форме в виде документов и предписаний в таком случае неэффективна, т.к. сложно добиться должной интерпретации данных знаний на местах. Зачастую географически удаленные подразделения связаны между собой только формальными процедурами обмена отчетностью, таким образом, теряются возможности для кооперации в рамках ключевых бизнес-процессов (например, анализа рынка или адаптации продукции). В то же время передача знаний в новые структуры возможна естественным образом, если будут созданы объединяющие бизнес-процессы между центром и географически удаленными или функционально специализированными подразделениями. Данный механизм предполагает объединение работ в разных подразделениях в единую цепочку, что означает взаимоувязку задач, ресурсов, продуктов и результатов. Получается, что результаты деятельности различных структур становятся напрямую зависимыми, а значит, возникают условия для совместной работы. Таким образом, возникает больше связей между отдельными элементами организационной структуры, что также означает обмен знаниями между ними. В результате в ходе объединяющих бизнес-процессов знания передаются в новые подразделения в виде элемента обычной практики в рамках повседневной деятельности.

3.2 Оценка системы управления знаниями в ООО «Рога и Копыта»


На основе описанной выше методики оценки эффективности управления составляющими интеллектуального капитала проведен анализ использования персонифицированного капитала ООО «Рога и Копыта» (табл. 1). Данная организация развивается в соответствии с инновационной стратегией и является предприятием с вертикально интегрированной структурой, концентрирующим в себе научно-исследовательскую деятельность и производственные процессы. Подобная концентрация позволяет удешевить комплектующие изделия и обеспечить контроль качества на всех этапах производства.

Таблица 1. Показатели использования персонифицированного капитала ООО «Рога и Копыта»

Показатель

2005 г.

2006 г.

2007 г.

2008 г.

2009 г.

2010 г.

2011 г.

2012 г. оценка

Среднесписочная численность персонала, чел.

5279

5142

5378

5796

6570

6982

7026

6983

Количество сотрудников, которые внесли рацпредложение, изобретение и т.п., чел.

28

36

40

58

69

82

98

101

Уровень творческой активности персонала, %

0,53

0,7

0,74

1

1,05

1,18

1,39

1,45

Коэффициент роста творческой активности персонала

1,32

1,06

1,35

1,05

1,12

1,18

1,03

Количество рацпредложений, патентов, изобретений сотрудников, шт.

31

39

48

63

75

89

104

105

Количество рацпредложений, патентов, изобретений сотрудников, реально внедренных на протяжении года, шт.

27

36

45

58

67

83

96

98

Уровень номинальной результативности творческой активности персонала, %

0,59

0,76

0,89

1,09

1,14

1,27

1,47

1,48

Уровень реальной результативности творческой активности персонала, %

0,51

0,70

0,84

1

1,02

1,19

1,37

1,40

Коэффициент роста реальной результативности творческой активности персонала

н/д

1,37

1,2

1,19

1,02

1,17

1,15

1,18


Динамика использования персонифицированного капитала ООО «Рога и Копыта» носит стагнирующий характер. Отсутствие системного подхода к управлению персонифицированным знаниями, четких критериев оценки его использования и воспроизводства и целевых установок его функционирования, не позволяет достичь такого же уровня эффективности управления им как у основных конкурентов ООО «Рога и Копыта». Исходя из необходимо максимальное привлечение сотрудников предприятия к процессу поиска резервов повышения эффективности производственной деятельности и качества продукции.

-92 % рацпредложений находят свое применение на практике, но вопросы их коммерциализации носят второстепенный характер, практически отсутствует механизм обоснования и выплаты интеллектуальной ренты рационализаторам, в результате общая мотивация к творческой деятельности снижается. Кроме того, не проводится регулярная переоценка интеллектуального капитала, в результате этого отсутствует достоверная информация о его общей стоимости.

Управление марочным капиталом на предприятии, как целенаправленный процесс, находится на начальном этапе, что недопустимо в условиях жесткой конкуренции. Системная работа по позиционированию торговой марки, формирование и реализация марочной стратегии, оценка марочного капитала практически не ведется. Такая важнейшая для ООО «Рога и Копыта» функция как управление торговой маркой отсутствует в задачах какого-либо отдела или должностных обязанностях любого сотрудника, что говорит об отсутствии целостного механизма управления знаниями в организации.

Функции управления клиентским капиталом распределены преимущественно между сбытовыми и сервисными подразделениями, что вызывает проблемы согласования деятельности по управлению им. На предприятии слабо проводится работа по укреплению отношений с розничными потребителями, отсутствует обратная связь с ними, а «борьба» за постоянных потребителей носит декларативный характер, при этом экономическая ценность клиентской базы не оценивается. Полностью отсутствует мониторинг эффективности управления знаниями, который не дает возможности руководству предприятия видеть реальную картину, проблемы и возможные пути совершенствования организационно-экономического механизма управления им.

Возможны особые организационные формы управления знаниями на предприятии. В основу формирования подразделений по управлению знаниями положены принципы системного и функционального подходов и проблемно-целевого управления. Разработана новая организационная структура управления знаниями, как часть организационно-экономического механизма управления знаниями, определены основные задачи подразделений (дирекций, отделов, бюро, секторов), предложены квалификационные требования к должностным лицам, осуществляющим управление им.

Оценка эффективности управления клиентским капиталом была проведена по методу ABC- и XYZ- анализа, что позволило получить матрицу клиентской базы, которая отражает важность разных групп клиентов для ООО «Рога и Копыта», учитывая факторы «объема закупаемой продукции», и «регулярность закупок». Положительная динамика этих факторов говорит об эффективном управлении клиентским капиталом предприятия.

Для отбора наиболее важных для сотрудничества потребителей были использованы критерии: стратегическая важность, значимость потребителя, прибыльность и лояльность потребителя, что позволило сформировать однородные группы потребителей (табл. 2), являющиеся основой принятия решения по определению стратегии работы с ними.

Таблица 2. Классификация однородных групп потребителей ООО «Рога и Копыта»

Классификации потребителей по критерию «доля участия в обороте»

Классификации клиентов по критерию «регулярность закупок»

 

Х

У

Z

ZZ

А

14

40

5

В

7

38

2

34

С

2

6

7

165


На основании таблицы 2 составлена матрица стратегии поведения для существующих и потенциальных потребителей (табл. 3).

Таблица 3. Стратегии поведения с потребителями


Стратегии поведения с потребителями

существующие потребители

приносящие прибыль

Поощрение 54 (14+40)

Усиление интереса 61 (14+7+38+2)


Не приносящие прибыль

Отслеживание динамики 124 (32+34+16+47)

Потеря интереса 165


 

приносящие прибыль

Не приносящие прибыль


 

Потенциальные потребители


Реализация стратегий поведения с различными группами потребителей позволила увеличить прибыль ООО «Рога и Копыта» в 2010 г. на 16,5%.

Заключение


Основные выводы по итогам исследования:

1.       Организационное знание состоит из индивидуальных знаний работников, из информации на материальных носителях (бумажных, компьютерных и прочих), а также из групповых знаний, выраженных в организационных процедурах и корпоративной культуре. Организационное знание в узком смысле предложено рассматривать как зафиксированную на материальных носителях сумму информации, собственником которой выступает компания. В организационном знании в широком смысле помимо суммы информации на материальных носителях присутствует сумма индивидуальных знаний работников, а также групповых знаний. Особенность управления организационными знаниями в широком смысле состоит в том, что оно в значительной степени осуществляется опосредованно. Понятие организационного знания является тесно связанным с понятиями интеллектуального капитала и нематериальных активов. Интеллектуальный капитал организации - это капитализируемая часть организационного знания, т.е. часть организационного знания, соответствующая ключевым компетенциям и конкурентным преимуществам компании. Организационные знания и интеллектуальный капитал в свою очередь являются частью нематериальных активов компании, которые помимо этого включают в себя интеллектуальную собственность, отношения (с покупателями, поставщиками) и человеческий капитал (мотивация, культура, обычаи).

2. Комплекс управления знаниями состоит из трех компонентов:

·        Управление ресурсами знаний компании, включающее в себя оценку наличия и потребности в организационных знаниях и целенаправленное развитие выбранных элементов организационного знания.

·        Управление работой со знаниями посредством организации создания, передачи, сохранения, применения и удаления организационных знаний.

·        Управление работниками посредством создания поддерживающей организационной культуры, развития мотивации обмена знаниями и повышения компетенций в коммуникациях и обработке информации.

3. Организационные средства, в рамках которых управление знаниями осуществляется с помощью изменения бизнес-процессов и структуры компании:

·        проектное дублирование, при котором ведется параллельная работа над одной задачей несколькими отделами или привлеченными коллективами, что снижает соответствующие риски;

·        объединение бизнес-процессов, предполагающее взаимную увязку задач, ресурсов и результатов деятельности подразделений, и, соответственно, передачу знаний между связанными подразделениями;

·        реструктуризация, при которой в самостоятельную бизнес-единицу переводятся носители ключевых организационных знаний и выделяются соответствующие бизнес-процессы, что позволяет сохранить и объединить ключевые организационные знания компании.

4.       Использование интеллектуального капитала и связанная с этим профессиональная компетенция кадров обеспечивают выживание и экономический успех компаний. Именно знания становятся источником высокой производительности, инноваций и конкурентных преимуществ. В конкретном приложении управление знаниями как функция и как вид управленческой деятельности охватывает:

·        практику придания дополнительной ценности имеющейся информации путем выявления, отбора, синтеза, обобщения, хранения и распространения знаний;

·        придание знаниям потребительского характера таким образом, чтобы они представляли собой необходимую и доступную для пользователя информацию;

·        создание интерактивного обучающего окружения, где люди постоянно обмениваются информацией и используют все условия для усвоения новых знаний.

Функция управления знаниями охватывает использование различных методов в зависимости от особенностей того или иного этапа организации приобретения и освоения новых знаний.

5. Механизмы мотивации работников в рамках работы со знаниями:

·        Стимулирующий, при котором работа со знаниями строится на привязке вознаграждений участвующих в ней работников к результатам данной работы.

·        Социальный, при котором главным мотиватором сотрудников для работы со знаниями является внутреннее удовлетворение от данной работы.

·        Нормативный, при котором работа со знаниями строится на правилах и распоряжениях.

6. Эффект проекта управления знаниями определяется на основе сравнения показателей деятельности компании до и после осуществления проекта, исключая эффекты от воздействия факторов, не связанных с изменением знаний. Эффективность проекта определяется на основе сопоставления эффекта и соответствующих затрат на осуществление данного проекта.

Список использованной литературы


1.       Магура М.И. Патриотизм персонала по отношению к своей организации - решающее конкурентное преимущество // Управление персоналом, 2008. - № 11. - С. 43.

2.       Мазур И.И., Шапиро В.Д., Ольдерогге Н.Г. Управление проектами. - М.: Омега-Л, 2006. - 400 с.

3.       Макаркин Н. П. Роль организационной культуры в эффективном менеджменте // Университетское управление: практика и анализ. - 2008. - № 5-6(33). - С. 152-162.

4.       Мариничева М.К. Управление знаниями на 100%. - М.: Альпина Бизнес-букс, 2008. -278 с.

5.       Материалы Первой международной конференции «Управление знаниями в современной экономике», состоявшейся 18.03.10 г.//Проблемы теории и практики управления. - 2010. - № 6.

6.       Полякова Ю.Н. IT - Инструментарий системы управления знаниями персонала организации // Военно - научный сборник - Вып.8. - Ульяновск: Ульяновское высшее военно - техническое училище (военный институт), 2006. - С. 14 - 21

7.       Полякова Ю.Н. Культура организации как инструмент создания системы управления знаниями: мотивационные составляющие сообществ практики //Экономика и Финансы - Вып.8. - Москва: Фонд научных публикаций, 2006. - С. 31 - 35

8.       Полякова Ю.Н. Управление знаниями персонала как главный фактор функционирования современного предприятия //Инноватика - 2006: Труды Всероссийской научно - практической конференции. - Том 1. - Ульяновск: Ульяновский государственный университет, 2006. - С. 42

9.       Попов Э.В. Корпоративные системы управления знаниями // Новости искусственного интеллекта. 2008. № 1. С. 14-25.

10.     Фунтов В.Н. Основы управления проектами в компании:. -СПб.: Питер, 2006.-280 с.

Похожие работы на - Проблемы управления знаниями в ООО 'Рога и копыта'

 

Не нашли материал для своей работы?
Поможем написать уникальную работу
Без плагиата!
Без нейросетей!