Законы Кирхгофа. Общие свойства линейных цепей

  • Вид работы:
    Контрольная работа
  • Предмет:
    Физика
  • Язык:
    Русский
    ,
    Формат файла:
    MS Word
    160,69 Кб
  • Опубликовано:
    2012-11-29
Вы можете узнать стоимость помощи в написании студенческой работы.
Помощь в написании работы, которую точно примут!

Законы Кирхгофа. Общие свойства линейных цепей

Задание 1. Законы Кирхгофа. Общие свойства линейных цепей. Расчет цепей с последовательным, параллельным и смешанным соединениями резистивных элементов. Метод пропорциональных величин

Зако́ны Кирхго́фа (или правила Кирхгофа) - соотношения, которые выполняются между токами и напряжениями на участках любой электрической цепи. Правила Кирхгофа позволяют рассчитывать любые электрические цепи постоянного и квазистационарного тока. Имеют особое значение в электротехнике из-за своей универсальности, так как пригодны для решения любых электротехнических задач. Применение правил Кирхгофа к цепи позволяет получить систему линейных уравнений относительно токов, и соответственно, найти значение токов на всех ветвях цепи.

Для формулировки законов Кирхгофа, в электрической цепи выделяются узлы - точки соединения трёх и более проводников и контуры - замкнутые пути из проводников. При этом каждый проводник может входить в несколько контуров.

В этом случае законы формулируются следующим образом.

Первый закон (ЗТК, Закон токов Кирхгофа) гласит, что алгебраическая сумма токов в любом узле любой цепи равна нулю (значения вытекающих токов берутся с обратным знаком):


Иными словами, сколько тока втекает в узел, столько из него и вытекает. Данный закон следует из закона сохранения заряда. Если цепь содержит p узлов, то она описывается p − 1 уравнениями токов. Этот закон может применяться и для других физических явлений (к примеру, водяные трубы), где есть закон сохранения величины и поток этой величины.

Второй закон (ЗНК, Закон напряжений Кирхгофа) гласит, что алгебраическая сумма падений напряжений по любому замкнутому контуру цепи равна алгебраической сумме ЭДС, действующих вдоль этого же контура. Если в контуре нет ЭДС, то суммарное падение напряжений равно нулю:

для постоянных напряжений

;

для переменных напряжений


Иными словами, при обходе цепи по контуру, потенциал, изменяясь, возвращается к исходному значению. Если цепь содержит m ветвей, из которых содержат источники тока ветви в количестве mi, то она описывается m - mi - (p-1) уравнениями напряжений. Частным случаем второго правила для цепи, состоящей из одного контура, является закон Ома для этой цепи.

Законы Кирхгофа справедливы для линейных и нелинейных цепей при любом характере изменения во времени токов и напряжений.


На этом рисунке для каждого проводника обозначен протекающий по нему ток (буквой «I») и напряжение между соединяемыми им узлами (буквой «U»)

Например, для приведённой на рисунке цепи, в соответствии с первым законом выполняются следующие соотношения:


Обратите внимание, что для каждого узла должно быть выбрано положительное направление, например здесь, токи, втекающие в узел, считаются положительными, а вытекающие - отрицательными.

В соответствии со вторым законом, справедливы соотношения:


Если направление тока совпадает с направлением обхода контура (которое выбирается произвольно), перепад напряжения считается положительным, в противном случае - отрицательным.

Законы Кирхгофа, записанные для p - 1 узлов и m - (p - 1) контуров цепи, дают полную систему линейных уравнений, которая позволяет найти все токи и напряжения.

Существует мнение, согласно которому «Законы Кирхгофа» следует именовать «Правилами Кирхгофа», ибо они не отражают фундаментальных сущностей природы (и не являются обобщением большого количества опытных данных), а могут быть выведены из других положений и предположений.

Последовательным называется такое соединение элементов, когда условный конец первого элемента соединяется с началом второго, конец второго - с началом третьего и т. д. Характерным для последовательного соединения является один и тот же ток во всех элементах.

Схема электрических цепей с последовательным соединением резистивных элементов

Пример: последовательно с приемником r часто включается резистор rр для регулирования напряжения, тока и мощности приемника. Для расширения пределов измерения вольтметров последовательно с ними включают добавочные резисторы rд. С помощью реостата, включаемого последовательно в различные ветви цепи двигателя постоянного тока, производят изменение его пускового тока или частоты вращения.

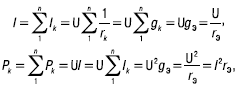
В общем случае при последовательном соединении n резистивных элементов ток в цепи, напряжения на элементах и потребляемые ими мощности определяются следующими соотношениями:


где k = 1, 2,..., n - номер элемента;

- эквивалентное сопротивление цепи.

Напряжение и мощность всей цепи:


Соотношение между напряжениями, мощностями и сопротивлениями элементов:


где l = 1, 2,..., n - номер элемента.

Приемники электрической энергии последовательно, как правило, не соединяются, так как при этом требуется согласование номинальных данных приемников, исключается возможность независимого их включения и отключения, а при выходе из строя одного из приемников отключаются также остальные приемники. Чаще их включают параллельно.

Параллельным называется такое соединение резистивных элементов, при котором соединяются между собой как условные начала всех элементов, так и их концы. Характерным для параллельного соединения является одно и то же напряжение U на выводах всех элементов. Параллельно соединяются различные приемники электрической энергии и другие элементы электрических цепей, рассчитанные на одно и то же напряжение. При параллельном соединении не требуется согласовывать номинальные данные приемников, возможно включение и отключение любых приемников независимо от остальных, а при выходе из строя какого(либо приемника остальные остаются включенными.

Схемы электрических цепей с параллельным соединением резистивных элементов

Параллельное соединение применяется часто для расширения пределов измерения амперметров: если ток I в электрической цепи превышает номинальный ток Iном амперметра, параллельно с ним включают шунтирующий резистор rш. Нередко параллельное соединение используют для уменьшения эквивалентного сопротивления какого-либо участка электрической цепи.

Токи и мощности параллельно соединенных ветвей при U = const не зависят друг от друга и определяются по формулам:


Ток и мощность всей цепи:


Где - эквивалентная проводимость;э = 1 / gэ - эквивалентное сопротивление.

Соотношения между токами, мощностями, проводимостями и сопротивлениями:


При увеличении числа параллельно соединенных ветвей эквивалентная проводимость электрической цепи возрастает, а эквивалентное сопротивление, соответственно, уменьшается. Это приводит к увеличению тока I. Если напряжение остается постоянным, то увеличивается также общая мощность P; токи и мощности ранее включенных ветвей не изменяются.

Под соединением треугольником понимается такое, при котором вывод К1 одного из элементов соединяется с выводом Н2 второго, вывод К2 второго - с выводом Н3 третьего, а вывод К3 третьего - с выводом Н1 первого элемента. Узловые точки a, b и c подключаются к остальной части электрической цепи.

Схема соединения резистивных элементов треугольником (а) и звездой (б)

Для упрощения анализа и расчета некоторых электрических цепей, содержащих соединения резистивных элементов треугольником, целесообразно заменить их эквивалентными резистивными элементами, соединенными звездой. Примером подобных электрических цепей являются мостовые цепи. Как видно, в мостовой цепи резистивные элементы образуют два смежных треугольника (rab, rbc, rca и rbc, rbd, rdc) и нет ни одного элемента, который был бы соединен с другими последовательно или параллельно. Это осложняет расчет и анализ электрической цепи. Если заменить, например, резистивные элементы rab, rbc и rca, соединенные треугольником, эквивалентными элементами ra, rb и rc, соединенными звездой, получим цепь со смешанным соединением резистивных элементов.

Схема мостовой цепи (а) и соответствующая ей схема после замены одного из треугольников звездой (б)

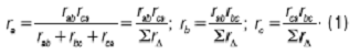
Замена треугольника резистивных элементов эквивалентной звездой должна производиться таким образом, чтобы после указанной замены токи в остальной части цепи, а также напряжения между точками ab, bc и ca остались без изменения.

С помощью законов Кирхгофа можно получить следующие формулы для определения сопротивлений эквивалентной звезды:


Иногда оказывается целесообразным заменить резистивные элементы, соединенные звездой, эквивалентным треугольником. Соответствующие формулы можно получить путем совместного решения выражений.

Метод пропорциональных величин. Согласно методу пропорциональных величин, в самой удаленной от источника ЭДС ветви схемы (исходной ветви) произвольно задаемся некоторым током, например током в 1 А. Далее, продвигаясь к входным зажимам, находим токи в ветвях и напряжения на различных участках схемы. В результате расчета получим значение напряжения Umn схемы и токов в ветвях, если бы в исходной ветви протекал ток в 1 А.

Так как найденное значение напряжения Umn в общем случае не равно ЭДС источника, то следует во всех ветвях изменить токи, умножив их на коэффициент, равный отношению ЭДС источника к найденному значению напряжения в начале схемы.

Метод пропорциональных величин, если рассматривать его обособленно от других методов, применим для расчета цепей, состоящих только из последовательно и параллельно соединенных сопротивлений и при наличии в схеме одного источника.

Однако этот метод можно использовать и совместно с другими методами (преобразование треугольника в звезду, метод наложения и т. п.).

Задание 2. Передаточная функция цепи и ее связь с импульсной, переходной и частотными характеристиками цепи. Связь передаточных функций с дифференциальными уравнениями цепи и частотами ее собственных колебаний

кирхгоф цепь резистивный ток

Тогда четырехполюсник может характеризоваться одним параметром, устанавливающим связь между выходным и входным напряжениями при пренебрежении током нагрузок. При синусоидальном сигнале такой характеристикой является передаточная функция цепи (коэффициент передачи), равная отношению комплексной амплитуды сигнала на выходе к комплексной амплитуде сигнала на входе: где - фазово-частотная характеристика, - амплитудно-частотная характеристика цепи.

Передаточная функция линейной цепи вследствие справедливости принципа суперпозиции позволяет анализировать прохождение сложного сигнала через цепь, разлагая его на синусоидальные составляющие. Другой возможностью использования принципа суперпозиции является разложение сигнала на сумму сдвинутых во времени d-функций d(t). Реакцией цепи на действие сигнала в виде d-функций является импульсная характеристика g(t), т. е. это сигнал на выходе, если сигнал на входе есть d-функция. при. При этом g(t) = 0 при t < 0 - выходной сигнал не может возникнуть ранее момента появления входного сигнала.

Экспериментально импульсную характеристику можно определить подавая на вход короткий импульс площадью единица и уменьшая длительность импульса при сохранении площади до тех пор, пока сигнал на выходе перестанет изменяться. Это и будет импульсная характеристика цепи.

Так как независимый параметр, связывающий напряжения на выходе и входе цепи, может быть только один, то между импульсной характеристикой и передаточной функцией имеется связь.

Пусть на вход подается сигнал в виде d-функции со спектральной плотностью. На выходе цепи будет импульсная характеристика, при этом все спектральные составляющие входного сигнала умножаются на передаточную функцию соответствующей частоты. Таким образом, импульсная характеристика цепи и передаточная функция связаны преобразованием Фурье:

Иногда вводят так называемую переходную характеристику цепи h(t), являющуюся откликом на сигнал, называемый единичным скачком:

I(t) = 1 при t ³ 0

I(t) = 0 при t < 0

при этом, h(t) = 0 при t < 0.

Ввиду связи между передаточной функцией и импульсной характеристикой, на передаточную функцию накладываются ограничения:

· Условие, что g(t) должна быть вещественной, приводит к требованию, что, т. е. модуль передаточной функции (АЧХ) есть четная, а фазовый угол (ФЧХ) - нечетная функция частоты.

· Условие, что при t < 0, g(t) = 0 приводит к критерию Пэли-Винера.

Например, рассмотрим идеальный фильтр низких частот ФНЧ с передаточной функцией.

Здесь интеграл в критерии Пэли-Винера расходится, как и для любой, обращающейся в нуль на конечном отрезке оси частот.

Импульсная характеристика такого фильтра есть, g(t) не равна нулю при t < 0, тем сильнее, чем меньше время задержки, которое определяет ее угол наклона. Это указывает на нереализуемость идеального ФНЧ, имеющего близкое приближение при достаточно больших

Задание 3. Для электрической схемы определить наиболее рациональным способом токи в ветвях, напряжение на каждом элементе, мощность элементов и приёмника в целом, режимы работы приёмников, их мощность, ток в одной из ветвей, пользуясь методом эквивалентного генератора

Дано : E1=30 В ; E8=15 В ; R1=1,2 Ом ; R2=0 ; R3=1,6 Ом ; R4=∞ ; R5=2 Ом ; R6=0 ; R7=1 Ом ; R8=1.8 Ом.

Найти : токи в ветвях цепи.

Решение.

Определим токи в ветвях цепи методом контурных токов. Выбираем направления токов в ветвях цепи, как показано на рисунке.


Выбрав направление контурных токов (рис 1), составляем три уравнения по второму закону Кирхгофа :

Ik1(R1+R3)-Ik2R3=E1

Ik1R3+Ik2(R3+R5+R7)-Ik3R7=0

Ik2R7+Ik3(R7+R8)=-E8

Подставляя в уравнения (1)-(3) заданные числовые значения сопротивлений и ЭДС, получим систему уравнений для определения контурных токов :


Решим, полученную систему по формулам Крамера :

Δ= ; Δ1=

Δ2= ; Δ3=

Находим контурные токи :

Ik1=A ;

Ik2= A ;

Ik3= A

Находим токи в ветвях цепи :

I1=Ik1=12,74 A ; I3=Ik1-Ik2=9,2 A ; I5=Ik2=3,54 A ;7=Ik2-Ik3=7,63 A ; I8=-Ik3=4,09 A.

Находим мощность приёмников :

Pпр=

 Вт

Находим мощность источников :

Pис=E1I1+E8I8=30×12.74+15×4,09=443,57 Вт

Составляем баланс мощностей :

Pпр=443,58 Вт=Pис=443,57 Вт

Таким образом, мощности приёмников и источников совпадают.

Находим напряжения на каждом элементе :

UR1=I1R1=12.74×1,2=15,29 В ;R3=I3R3=9,2×1,6=14,72 В ;R5=I5R5=3,54×2=7,08 В ;R7=I7R7=7,63×1=7,63 В ;

UR8=I8R8=4,09×1,8=7,36 В

Так как ток I1 совпадает по направлению с ЭДС источника Е1 и ток I8 совпадает по направлению с ЭДС источника Е8, то оба источника работают в режиме генератора.

Найдём ток в ветви с резистором R5 методом эквивалентного генератора. Для этого исключим резистор R5 и найдём напряжение Ubc между точками b и c цепи, равное ЭДС эквивалентного генератора и сопротивление пассивной части цепи относительно точек b и c цепи (рис 2).

Находим токи в цепи :

I1= A ;

I8= A

Находим напряжение между точками b и с цепи :

Ubc=I1R3-I8R7=16,29 В.

Находим эквивалентное сопротивление пассивной части цепи относительно точек b и с

Rbc= Ом.

Находим ток в ветви с сопротивлением R5 :

I5= А.

Ответ: I1=12.74 A ; I3=9,2 A ; I5=3,54 A ; I7=7,63 A ; I8=4,09 A ; UR1=15,29 В ; UR3=14,72 В ; UR5=7,08 В; UR7=7,63 В ; UR8=7,36 В ; P=443,58 Вт.

Похожие работы на - Законы Кирхгофа. Общие свойства линейных цепей

 

Не нашли материал для своей работы?
Поможем написать уникальную работу
Без плагиата!
Без нейросетей!