Организационные структуры предприятия
СОДЕРЖАНИЕ
ВВЕДЕНИЕ
ГЛАВА
1. «ПОНЯТИЕ И ВИДЫ ОРГАНИЗАЦИОННОЙ СТРУКТУРЫ ПРЕДПРИЯТИЯ»
.1 Понятие
организационной структуры предприятия
.2 Виды
организационной структуры предприятия
ГЛАВА
2. «СОВЕРШЕНСТВОВАНИЕ ОРГАНИЗАЦИОННОЙ СТРУКТУРЫ ПРЕДПРИЯТИЯ КАК ОСНОВНОЙ ФАКТОР
ПОВЫШЕНИЯ ЕЕ ЭФФЕКТИВНОСТИ»
.1
Анализ организационной структуры предприятия
.2
Оценка организационной структуры предприятия
ГЛАВА
3. РАСЧЕТНАЯ ЗАДАЧА
ЗАКЛЮЧЕНИЕ
СПИСОК
ИСПОЛЬЗУЕМОЙ ЛИТЕРАТУРЫ
ВВЕДЕНИЕ
Постоянно меняющаяся рыночная ситуация, необходимость
внедрения новых технологий и освоения новой продукции, весьма слабая доля
вероятности результатов прогнозирования заставляют многих специалистов
скептически относиться к организационным схемам и настойчиво требовать их
постоянной корректировки. Функционирование системы управление без четко
продуманной структуры практически невозможно, да и потребность в периодической
корректировке структурных схем очевидна.
Управление должно обеспечивать выживаемость
предприятия, перспективное развитие, а также достойную оплату труда и
социальные гарантии его работникам. Поэтому возрастает актуальность
рассмотрения вопросов связанных с проектированием и анализом современных
организационных структур управления Структура влияет и на технологию
управления, ставит задачи оптимального распределения информации, использования
управленческой техники при подборе и расстановке кадров.
Структура организации - это основной элемент
любой организации, не только характеризующий её, но и представляющий собой сам
механизм построения и функционирования организации. Правильный выбор
организационной структуры - необходимый фактор успешного функционирования
предприятия, фирмы или организации. Цель данной работы - исследование
эффективности различных видов организационных структур. В соответствии с
поставленной целью были определены следующие задачи: охарактеризовать структуры
организаций с позиций их сложности, степени формализации, степени
централизации, их конфигурации; рассмотреть и проанализировать виды
организационных структур, в частности, такие как: линейные (и их модификации),
функциональные, их комбинацию (линейно-функциональные) и гибкие структуры.
Объектом исследования в работе выступает эффективность структуры организации.
Предметом исследования - совокупность характеристик. Информационной базой для
написания курсовой работы послужили труды отечественных и зарубежных учёных по
общим принципам устройства и функционирования организации, социальным аспектам
и связям в организациях.
В первой главе работы содержится общетеоретическая
информация по теме работы: краткая характеристика организационной структуры
предприятия и ее виды.
Во второй главе работы описывается анализ
организационной структуры предприятия и оценка ее эффективности. Вторая глава
носит более практический характер.
В третьей главе приводится расчетная таблица.
Основные выводы сделаны в заключении.
организационный структура
эффективность
ГЛАВА 1. ПОНЯТИЕ И ВИДЫ ОРГАНИЗАЦИОННОЙ
СТРУКТУРЫ ПРЕДПРИЯТИЯ
.1 Понятие организационной структуры
предприятия
Структура - это организационная характеристика
системы; совокупность устойчивых, системообразующих связей и отношений,
обеспечивающих стабильность и равновесие системы, взаимодействие,
соподчиненность и пропорциональность между составляющими ее элементами.
Организационная структура управления - это состав, взаимосвязь и
соподчиненность самостоятельных управленческих подразделений и отдельных
должностей, выполняющих функции управления. Организационная структура
управления определяется составляющими ее звеньями и уровнями управления. Эта
структура должна обеспечивать устойчивость связей между элементами управления и
надежность функционирования системы в целом.
Звеном управления может выступать отдельное
подразделение, выполняющее часть функции управления, всю функцию управления или
совокупность функций управления. К звену управления относят и руководителей. На
одном уровне могут находиться несколько звеньев управления. Из западного
менеджмента в наш профессиональный лексикон пришло понятие «департаментизация»,
означающее процесс организационного обособления, выполнения отдельных работ,
выделения особых подразделений, процесс деления компании на отдельные блоки
(отделения, отделы, сектора) с четко определенными задачами и обязанностями.
Отношения между звеньями управления поддерживаются благодаря связям,
взаимоотношениям, коммуникациям. По содержанию и функциональному назначению
связи и отношения, составляющие структуру организации, подразделяются на три
группы:
Ø связи непосредственного
взаимодействия, обеспечивающие формирование у системы новых системных свойств,
отсутствующих у отдельных составляющих ее элементов;
Ø отношения соподчиненности,
устанавливающие иерархическую зависимость в организации и определяющие
«этажность» строения организации;
Ø соотношения, устанавливающие
пропорциональность строения организации и обеспечивающие взаимное соответствие
количественных и качественных параметров отдельных составляющих системы.
По ориентации связи разделяются на
горизонтальные и вертикальные
Горизонтальные связи - связи кооперации и
координации равноправных звеньев управления. Они носят характер согласования.
Их основное назначение - способствовать наиболее эффективному взаимодействию
подразделений, находящихся на одном уровне при решении возникающих между ними
проблем.
Вертикальные связи - связи руководства и
подчинения, субординационные и иерархические связи. Необходимость в них
возникает при наличии нескольких уровней управления. Эти связи служат каналами
передачи распорядительной и отчетной информации. Вертикальные связи могут
носить линейный или функциональный характер.
§ Линейные связи - связи подчинения по всему кругу
вопросов. Это отношения, предполагающие, что руководитель реализует свои
властные полномочия и осуществляет прямое и единоличное руководство
подчиненными по всем функциям управления.
§ Функциональные связи - связи подчинения в
пределах реализации определенной функции управления. В зависимости от принятых
в организации принципов управления и вида организационной структуры они могут
носить совещательный, рекомендательный или информационный характер.
.2 Виды организационной структуры предприятия
Схема организационной структуры управления
отражает статическое положение подразделений и должностей и характер связи
между ними.
Различают связи:
Ø линейные (административное
подчинение),
Ø функциональные (по сфере
деятельности без прямого административного подчинения),
Ø межфункциональные, или
кооперационные (между подразделениями одного и того же уровня).
В зависимости от характера связей выделяются
несколько основных типов организационных структур управления:
Ø линейная;
Ø функциональная;
Ø линейно-функциональная;
Ø матричная;
Ø дивизиональная;
Ø множественная.
В линейной структуре управления каждый
руководитель обеспечивает руководство нижестоящими подразделениями по всем
видам деятельности. Достоинство - простота, экономичность, предельное
единоначалие. Основной недостаток - высокие требования к квалификации
руководителей. Сейчас практически не используется.
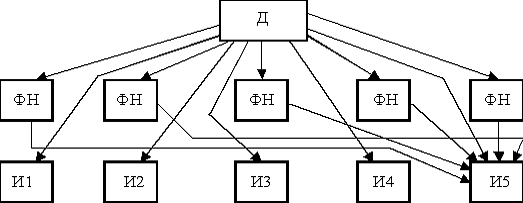
Функциональная организационная структура
реализует тесную связь административного управления с осуществлением
функционального управления. В этой структуре нарушен принцип единоначалия и
затруднена кооперация. Практически она не используется (Рис.1).
Рис.1. Функциональная структура управления
ФН - Функциональные начальники, И - Исполнители
Линейно-функциональная структура - ступенчатая,
иерархическая. При ней линейные руководители являются единоначальниками, а им
оказывают помощь функциональные органы. Линейные руководители низших ступеней
административно не подчинены функциональным руководителям высших ступеней
управления. Она применялась наиболее широко. Иногда такую систему называют
штабной, так как функциональные руководители соответствующего уровня составляют
штаб линейного руководителя (Рис. 2).
Рис.2 Линейно-функциональная структура
управления
Д - директор, ФН - Функциональные начальники, ФП
- функциональные подразделения, ОП- подразделения основного производства
Дивизиональная или филиальная структура.
Дивизионы (филиалы) выделяются или по области деятельности или географически
(Рис.3).
Рис. 3 Дивизионная структура управления
Матричная структура характерна тем, что
исполнитель может иметь двух и более руководителей. Такая схема давно
применялась в управлении НИОКР, а сейчас широко применяется в фирмах, ведущих
работу по многим направлениям. Она все более вытесняет из применения
линейно-функциональную.
Рис.4 Матричная структура управления,
ориентированная на продукт
Множественная структура объединяет различные
структуры на разных ступенях управления. Например, филиальная структура
управления может применяться для всей фирмы, а в филиалах -
линейно-функциональная или матричная (Рис.5).
Рис. 5 Множественная структура управления по
проектам
ГЛАВА 2. СОВЕРШЕНСТВОВАНИЕ ОРГАНИЗАЦИОННОЙ
СТРУКТУРЫ ПРЕДПРИЯТИЯ КАК ОСНОВНОЙ ФАКТОР ПОВЫШЕНИЕ ЕГО ЭФФЕКТИВНОСТИ
.1 Анализ организационной структуры
предприятия
При анализе организации ее
структура может быть охарактеризована тремя основными параметрами - сложностью,
степенью формализации и централизацией.
Сложность структуры
организации.
Сложность считается одним из
самых основных параметров структуры и в свою очередь определяется двумя
параметрами - дифференциацией и интеграцией.
Дифференциация - наиболее
важный показатель сложности организации - характеризует разнородность
организации, ее многофункциональность, различия в достигаемых целях. Существуют
три основных типа дифференциации:
1. Горизонтальная
дифференциация показывает степень разделения труда в организации, наличие
специализации в деятельности подразделений. Горизонтальная дифференциация может
быть осуществлена по пяти параметрам:
б) разделение по числу
работников представляет собой простейший способ группировки внутри организации.
Например, если в организации работают 30 работников и три руководителя, то
можно просто разделить эту организацию на три подразделения по 10 человек в
каждом. Этот подход чаще всего используется в малых организациях или при
выполнении простых работ, не нуждающихся в применении труда узких
специалистов-профессионалов;
в) разделение по виду
производимого продукта или услуги наиболее эффективно при осуществлении
управленческого процесса в крупных организациях. Например, если организация
имеет ряд филиалов или очень крупных подразделений, которые достаточно
автономны, то каждая из этих системных единиц решает задачу выполнения полного
цикла по производству конкретного товара или услуги;
г) разделение по типу клиентуры
является наиболее эффективной основой для организационной деятельности с точки
зрения эргономики. Например, крупная фирма, специализирующаяся на выпуске
аэрокосмической продукции, может иметь подразделения сбыта, ориентированные на
разных заказчиков: военные ведомства, коммерческие и государственные
учреждения, частных клиентов, приобретающих авиационную технику. Такой вид
разделения целесообразен в организации, работающей с весьма разнородным рынком
сбыта продукции, когда интересы и запросы клиентов весьма разнообразны;
д) разделение по
технологическому процессу возможно в тех случаях, когда технологический процесс
состоит из ряда достаточно самостоятельных технологических комплексов,
образующих самостоятельные производства. Например, нефтяная промышленность
ориентируется на производство различных видов топлива (керосин, мазут и т.д.),
и для каждого из них может быть выделено отдельное производственное
подразделение.
Требования горизонтальной
дифференциации накладывают отпечаток на поведение членов организации. Обычно
наблюдается следующее явление: чем больше горизонтальная дифференциация, тем
меньше сплоченность организации, больше трудностей в управлении организацией,
ниже уровень интеграции.
. Вертикальная дифференциация
говорит о глубине организационной иерархии в организации и обычно
характеризуется количеством уровней управления в организационной структуре,
следовательно, является показателем степени и характера контроля за действиями
подчиненных со стороны руководителей. Высокая степень вертикальной
дифференциации свидетельствует о стремлении руководства организации к
минимизации числа подчиненных у руководителей низового звена и к созданию
большого количества уровней контроля. Низкая степень вертикальной
дифференциации характерна для небольших организаций, а в крупных организациях
служит показателем слабого управленческого контроля, рассчитанного в основном
на самоконтроль со стороны исполнителей.
Степень вертикальной
дифференциации определяется показателем, который в теории организации носит название
«объем управления» и равен числу подчиненных, находящихся в непосредственном
подчинении у руководителя. Объем управления закладывается при проектировании
организаций и зависит прежде всего от степени зрелости подчиненных (степени
профессионализма и желания выполнять порученные им задания) и необходимости
проведения управленческого контроля. Объем управления может быть значительно
увеличен в случае повышения зрелости членов коллектива (когда члены коллектива
знают, как выполнять задания, и желают их выполнять на высоком качественном
уровне). При этом глубокий и всесторонний контроль оказывается ненужным,
благодаря чему сокращается число руководителей в организации и уменьшается
количество уровней управления, а, следовательно, издержки на управление.
. Пространственная
дифференциация показывает степень пространственного разделения структурных
единиц организации. Низкая пространственная дифференциация говорит о большой
концентрации ресурсов, как правило, в одном месте. Высокая степень
пространственной дифференциации свидетельствует о распылении ресурсов по многим
регионам и в то же время - о распространении влияния данной организации, охвате
этим влиянием ряда географических областей. Мерами пространственной
дифференциации могут быть:
) количество географических
точек, где располагаются производства и службы организации;
) среднее расстояние между
расположенными по отдельности подразделениями организации;
) численность работников,
занятых в отдельно расположенных подразделениях, по сравнению с численностью
административно-управленческого персонала. В целом сложность организации
возрастает с увеличением количества пространственно разбросанных структурных
организационных единиц.
При любом увеличении степени
пространственной дифференциации неизбежно возрастает функциональная автономия
отдельных подразделений, что приводит к ослаблению контроля и возможностей
использования властных полномочий со стороны центральных органов управления
организацией. В этих случаях особое внимание следует уделять подбору руководителей
пространственно отделенных производств, отделов и служб.
Интеграция - второй показатель
сложности структуры организации - характеризует степень взаимосвязанности между
отдельными структурными единицами в организации. Оценка этого показателя
происходит по трем основным параметрам:
. Количество взаимосвязей между
отдельными структурными единицами. Чем больше взаимосвязей между
подразделениями, тем выше сложность организации. Например, лаборатория или
отдел реагируют только на указания высшего руководства организации и при этом
минимально контактируют с другими подразделениями (только ситуационные
взаимодействия); этот вид интеграции не увеличивает сложности организации, так
как количество взаимосвязей минимально и они легко контролируются. В то же время
деятельность других подразделений может осуществляться только в ходе тесного
взаимодействия с рядом подразделений. Перетекание материальных, информационных,
финансовых, кадровых и прочих ресурсов предполагает наличие большого количества
интеграционных связей. При интеграции такого рода сложность организации резко
увеличивается.
. Нормативная основа
интеграционных связей является прежде всего показателем прочности связей. Нормы
взаимоотношений, принятые в организации, могут быть жесткими, когда информация,
передаваемая по каналам связи, обязательна для исполнения. Обычно такие связи
формальные и легко выявляются в структуре организации; при этом степень
интеграции возрастает, но носит официальный характер. Наоборот, изменчивость
норм или их неофициальный характер, основанный на коалициях и неформальном
лидерстве, увеличивают сложность организации и изменяют характер интеграции.
. Характер интеграционных
связей представляет собой показатель основного вида властного, информационного,
культурного или какого-либо другого ресурса, который может быть передан через
данную связь. Можно выделить следующие основные типы связей по данному
показателю:
· интеграция на основе отношений
власти и подчинения;
· интеграция на основе
материальной взаимозависимости;
· интеграция на основе
следования единым нормам (культурная интеграция);
· интеграция на основе обмена
информацией;
· интеграция на основе
неформальных отношений (уважения, духовной близости, родства, признания заслуг
и т.д.).
Интеграция, основанная на
различных по характеру связях, может в значительной степени повысить сложность
организации.
Степень
формализации структуры организации.
Различают формальные и
неформальные структуры. Между этими основными полюсами можно выделить
промежуточные состояния, которые отражают степень формализации организационной
структуры: полуформальные, неформальные, неформальные с наличием элементов
формальных связей и др.
Формальная структура
организации. Любая организация стремится к формализации своей структуры.
Формальная структура организации представляет собой организационное построение,
основанное на жесткой стандартизации организационных норм и отношений между
отдельными структурными единицами. Условия жесткой стандартизации норм и
отношений состоят в существовании следующих моментов:
обязательного
для выполнения всеми участниками формального кодекса организации, в котором
декларируются рамки организационных норм и тщательно разработанная система
санкций, применяемых в случае их нарушения;
иерархической
системы ролей и статусов, жестко закрепленных за членами организации (выход за
пределы роли ограничен соответствующими нормами и по крайней мере не
поощряется);
тщательно
разработанной системы поощрений за выполненные задания;
бюрократического
аппарата для осуществления контроля и управления организацией и ее
подразделениями;
системы вертикальных
коммуникаций, горизонтальные коммуникации слабо разработаны или отсутствуют.
Подобная структура представляет
собой идеальную модель управления, т.е. показывает, как организация должна
работать, как следует выполнять работу. Такая структура применяется в основном
для решения проблем управления. Формальная структура организации схематично
представлена на схеме 1 (приложение 1).
В формальной структуре
организации все линии коммуникации и полномочий соединяют позиции иерархии
вышестоящих руководителей и нижестоящих. В этой структуре запрещены
горизонтальные коммуникации, т.е. попытки обсуждать свои проблемы с коллегами,
обмениваться информацией между подразделениями без ведома вышестоящего
руководства.
Незащищенность отдельного
работника, вынужденного общаться только с руководством, приводит по крайней
мере к двум последствиям:
v руководители стараются
максимально использовать прерогативы власти и контроля;
v работники стремятся избегать
общения с руководством и налаживать неформальные социальные контакты.
Формальная организация может быть признана
полезной только при выполнении условий, что нет альтернатив принятия
управленческих решений и не возникает существенных побочных факторов,
оказывающих влияние на деятельность руководителей. При соблюдении этих условий
формальная организация позволяет достаточно быстро и без двусмысленностей
доводить до подчиненных свои решения, а также реализовать необходимый контроль.
Но в других случаях формальная структура может быть признана малоэффективной.
Неформальная структура
организации. Для того чтобы понять предназначение неформальной структуры в
современной организации, можно представить себе такую организацию, в которой
все производственные и личные проблемы и вопросы решаются с помощью формальной
структуры, основанной только на вертикальных иерархических связях, т.е. они
решаются бюрократическим путем через посредничество вышестоящих руководителей
разных уровней. При этом возникают трудности, которые невозможно преодолеть в
рамках формальной организационной структуры, например:
· неудобство использования
вертикальных связей и потеря времени в ходе решения множества постоянно
возникающих повседневных проблем, которые гораздо проще решать путем
договоренностей или обмена, используя горизонтальные коммуникации;
·руководители высокого уровня не
могут знать обстановку в подразделениях в деталях, они не в курсе мелких
проблем подчиненных (в чем, собственно, у них нет необходимости), но, согласно
правилам формальной структуры, исполнители должны поставить в известность
руководство об отсутствии любой мелкой детали или услуги, о любом нарушении
(которые могут в значительной степени затормозить производство), используя
вертикальные коммуникативные связи, что требует времени и может понизить
эффективность производственного процесса;
· изначальная ориентация на
статусы, а не профессиональные знания или личностные качества членов
организации может привести к серьезной проблеме мотивации наиболее
профессионально подготовленных работников;
· из-за отсутствия
горизонтальных коммуникаций члены организации не могут удовлетворить свои
потребности в общении друг с другом (при решении собственных личных проблем, не
связанных напрямую с производством, но зависящих от членов социальных групп
организации).
Все эти проблемы позволяет
решить неформальная структура организации.
Неформальная организация
построена на системе социальных обменов, осуществляемых на межличностном уровне
или уровне первичных социальных групп, которые не включены в иерархические
формальные связи. Ценностные ориентации членов организации в системе
неформальных связей принципиально иные, нежели в рамках формальной структуры.
В процессе функционирования
неформальной структуры члены организации ориентируются не на занимаемый ими
статус и выполнение целевых функций, а на следующие личностные качества:
Ø особые знания,
навыки и интуицию, приписываемые определенным личностям независимо от их
статуса (общение с экспертом);
Ø качества наиболее
удобного партнера по деловому сотрудничеству (территориальная близость,
владение информацией, наличие необходимых деловых связей и т.д.);
Ø качества
инструментального лидера, которые заключаются во владении ресурсами,
необходимыми для достижения целей партнеров;
Ø качества
эмоционального лидера, которые заключаются в обаянии, наличии других
привлекательных личностных качеств.
Неформальная структура
распадается практически на две сферы - делового сотрудничества и
социально-психологического межличностного общения.
Первая сфера связана с
достижением целей организации или ее подразделений, носит ярко выраженный
деловой характер. В данном случае неформальная структура служит для того, чтобы
решать те проблемы деятельности организации, которые невозможно решать с
помощью формальных связей.
Вторая сфера неформальной
структуры основана на межличностных связях, формирующихся на основе чувства
приязни или неприязни, чувстве принадлежности к одной группе (например, по
принципу одной национальности, землячества, общих интересов и т.д.), чувстве
превосходства или, наоборот, ущербности и т.п. Эта сфера не ориентирована на
достижение организационных целей, и ее основу составляют прежде всего эмоции и
личностные интересы (социально-психологические моменты). Хотя эти сферы
неформального общения различаются, в реальных ситуациях они, как правило,
неразрывно связаны.
Одним из важных последствий
функционирования неформальной структуры можно считать создание неформальных
ассоциаций членов организации - коалиций, представляющие собой первичные
социальные группы; они основаны на межличностных отношениях, а их члены связаны
взаимными обязательствами. Коалиции могут быть чрезвычайно активны и
действовать как единое целое, преследуя достижение целей неформальных лидеров
или только членов данной коалиции. При взгляде со стороны действия коалиций
часто непонятны и не поддаются объяснению с точки зрения формальной структуры
организации. Например, члены коалиции, которую составляют руководители
подразделений, могут заблокировать важное и нужное решение руководства
организации только потому, что оно не устраивает одного из членов коалиции
(остальные будут голосовать в поддержку «своего» человека). Кроме того, такая
коалиция способна оправдать неправильные и опасные для организации действия
одного из своих членов. Коалиции часто представляют опасность для престижа
высокого руководства организации.
Но неформальные ассоциации
могут быть и весьма полезны для достижения организацией своих целей. Например,
постоянное общение специалистов между собой в рамках неформальной структуры
может привести к выработке важных управленческих решений, созданию новых видов
продукта или услуг, повышению мотивации и усилению неформального контроля за
деятельностью отдельных работников.
Степень
централизации.
С точки зрения принятия и
реализации управленческих решений централизация представляет собой важную
характеристику структуры и определяется степенью концентрации возможностей
официального принятия решений на индивидуальном или групповом уровнях, что в
свою очередь определяет возможности участия работников в принятии решений,
влияющих на их деятельность.
Высокая степень централизации
фиксируется в тех случаях, когда решения «навязываются сверху», а у низших
уровней не может быть собственного взгляда на принятие решения и какой-либо
свободы при его исполнении, т.е. решение полностью подготовлено на верхнем
уровне, оно не обсуждается и должно быть исполнено в точности без малейших
отклонений, даже если ситуация требует коррекции. Для этой цели в организациях
с высокоцентрализованной структурой существует механизм формализации,
рассчитанный на ограничение свободы действий работников низшего уровня и
включающий в себя систему жестких норм, регламентирующих до мелочей поведение
работников в различных ситуациях. Это позволяет обойти проблемы, связанные с
исполнением распоряжений руководителей, так как в распоряжениях нельзя полностью
предусмотреть все возможные ситуации, в которых могут оказаться подчиненные.
Для функционирования механизма
формализации в высокоцентрализованной организации необходимо наличие двух
взаимосвязанных систем - высокоэффективной системы коммуникации и системы
всеобъемлющего контроля. Например, руководитель организации, который в условиях
высокой централизации держит все нити управления и своих руках, должен
принимать большое количество управленческих решений, используя при этом
коммуникативные каналы управления и обратной связи. Для всеобъемлющего контроля
за ходом процесса нужен большой объем информации и ее постоянная оценка и
сравнение с нормами, эталонами и целями. В связи с этим в процессе управления
неизбежно происходит фильтрация информации, сокращение ее объема, обобщение,
выборочное исключение, что приводит к потере информации и ее искажению. Из-за
того что руководитель не может справиться со всей информацией, иерархические
единицы структуры организации начинают использовать неполноту информации в своих
целях.
Централизованные
структуры могут считаться целесообразными и полезными в
случаях, когда:
) ситуация требует
ответственных (например, стратегических) решений, не допускающих сомнений и
двойных толкований;
2) централизованные решения могут привести к
экономии и сокращению издержек благодаря быстроте их принятия, однозначности и
ориентации на детальный контроль;
3) требуется принятие
специфических решений (финансовых, юридических и др.), которые позволят
обеспечить выживание организации и ее адаптацию к внешней среде;
) деятельность организации
осуществляется в условиях стабильной и гомогенной (однородной) внешней среды.
Поведение работников в
централизованных структурах обусловливается отношениями односторонней
зависимости подчиненных и руководителей, отсутствием свободы в принятии решений
и постоянным ожиданием контролирующих действий со стороны руководителей.
Снижение степени централизации
организационных структур и формирование децентрализованных структур считаются
эффективными в тех случаях, когда:
) руководители не могут четко
воспринимать потоки информации по контролируемым параметрам объекта управления;
передав право принятия решений на более низкие структурные иерархические
уровни, они тем самым повышают степень свободы подчиненных;
) происходят частые изменения
во внешней среде или в структурных единицах организации, что приводит к
невозможности централизованного учета всех возможных альтернатив действий;
) достигается мотивация
работников через участие в управлении, в принятии управленческих решений;
) возникает необходимость более
полного использования интеллектуальных возможностей членов организации;
) осуществляется повышение
эффективности социализации работников к условиям творческой работы.
В децентрализованных структурах
поведение работников определяется прежде всего чувством ответственности за
порученное дело, ориентацией на цели организации, освоением ролей других
работников, стремлением к нововведениям и высокой степенью адаптации к
изменениям во внешней среде.
Конфигурация представляет собой
характеристику организации, которая дает представление о взаимном расположении
структурных единиц (подразделений) относительно друг друга как по вертикали,
так и по горизонтали. Основные типы конфигураций представлены в графическом
виде на схеме 3 (приложение 2).
а) Треугольник. Представляет
собой конусообразную структуру с широким основанием, что указывает на высокую
степень специализации, разделение по функциям низовых руководителей и
исполнителей, а также на слабый социальный контроль за действиями исполнителей.
Такая конфигурация предполагает децентрализованную структуру, поэтому основное
внимание уделяется повышению квалификации подчиненных и их ответственности за
выполнение целевых организационных функций.
б) Пирамида. Наиболее
характерная для российских организаций конфигурация. Отличается высокой
степенью централизации власти, жесткими нормами единоначалия и низким уровнем
специализации. Основным достоинством данной конфигурации следует считать
высокий уровень социального контроля. Она наиболее уместна в случае устойчивого
и мало изменяющегося характера производства продукта. При такой конфигурации
большую роль должны играть традиции организационной культуры, что повышает
управляемость организации.
в) Трапеция. Та же пирамида, но
высшая власть принадлежит не одному лицу (например, генеральному директору или
президенту), а команде управляющих (совету директоров, исполнительному совету и
т.д.).
г) Ромб. Весьма своеобразная
конфигурация организации, которая в основном ориентирована на подготовку
решений об изготовлении продукта или конструировании самого продукта.
Характеризуется, во-первых, тем, что число исполнителей меньше числа
управляющих и разработчиков, и, во-вторых, высокой степенью специализации, где
все направлено на изготовление ограниченной номенклатуры сложных продуктов.
д) Шахта. Конфигурация с
коллективным высшим органом управления и повышенным вниманием к контролю за
поведением подчиненных. Шахта, как правило, имеет вытянутую форму, что означает
наличие многих уровней управления. Очень часто при такой конфигурации основной
функцией руководителя является контроль за одним или двумя подчиненными.
.1 Оценка организационной
структуры предприятия
Оценка эффективности деятельности фирмы - это
центральная тема об актуальности оценки эффективности. М. Мейер пишет: «Я
полагаю, нам следует принять как данное, что оценка эффективности трудна сама
по себе. Если бы это было не так, эта проблема не стояла бы сегодня так остро».
Практическая значимость оценки эффективности огромна. Важнейшие направления ее
практического использования: оценка успешности менеджмента фирмы; формирование
имиджа фирмы; оценка доступа на рынки капитала; целесообразность капитальных
вложений.
В общем случае экономическая эффективность - это
отдана в форме доходов различных ресурсов фирмы, находящихся в ее распоряжении.
Эффективная деятельность предполагает получение максимального результата за
счет имеющихся ресурсов или получение определенного результата с минимальными
расходами ресурсов. Если сопоставить готовую продукцию с величиной затраченных
факторов производства, то получим уровень эффективности, выраженный в категории
производительности. Это наиболее распространенный подход к оценке эффективности
деятельности фирмы, а сам подход получил название ресурсный.
Ресурсный подход позволяет оценивать
деятельность фирмы с двух сторон (в зависимости от единицы измерения результата
и затраченных ресурсов). Если требуется оценить процесс производства независимо
от стоимостной оценки результата и затраченных на его достижение средств
производства, тогда речь пойдет о производительности. Такой подход используется
для оценки технической эффективности производства. Если необходимо оценить
экономическую эффективность производства, то используется соотношение доходы/расходы
или продукция/издержки. Производительность отражает эффективность использования
ресурсов в процессе создания стоимости на рынке.
Повышение производительности труда и фондоотдачи
как результат осуществления продуктивных капиталовложений - главные условия
роста объема производства и занятости. В рамках любого рынка более
производительное предприятие обычно является и более прибыльным, если оно не
подвержено воздействию дополнительных неблагоприятных факторов в отношении
затрат. Более производительное предприятие производит те же объемы продукции с
меньшими затратами и, таким образом, получает затратные преимущества. Низкая
стоимость ресурсов на местном рынке может оградить от многих проблем
неэффективные фирмы. Однако финансовые издержки (стоимость капитала) - одна из
важнейших составляющих затрат - выравниваются между разными странами в условиях
ослабления государственного регулирования и глобализации мировой экономики.
Таким образом, единственно надежный путь
повышения прибыльности фирмы состоит в постоянном повышении производительности.
При всей простоте логики ресурсного подхода разрешить проблему соизмерения
отдачи разнородных ресурсов науке до сих пор не удалось. Возможно, единственным
выходом из этой ситуации является определение уровня производительности при
заданном уровне эффективности капитала. Уровень эффективности использования
капитала характеризуется прежде всего соотношением продуктивности бизнеса и
средней ставкой процента, которые, в свою очередь, находятся под воздействием
уровня ликвидности и риска в хозяйстве. Эти обстоятельства вынуждают
практикующих экономистов при оценке уровня эффективности хозяйственной
деятельности фирмы выйти за рамки традиционного ресурсного подхода и попытаться
оценить эффективность других сторон бизнеса, и прежде всего финансовую и
инвестиционную.
В таком понимании эффективность компании принято
рассматривать в следующих аспектах:
v с позиций собственников;
v с точки зрения высшего менеджмента;
v с позиций внешнего инвестора,
v с кредиторов;
v с позиций акционера.
Чистый денежный поток (ЧДП) является одним из
важнейших показателей финансовой эффективности.
Чистый денежный поток определяется по формуле:
ЧДП =Чистая прибыль ± Изменение оборотного +
Амортизация основных средств
Изменение долгосрочного долга - Капитальные
вложения ЧДП - основа стоимости корпорации, ее финансовой эффективности,
экономическое выражение интересов менеджмента, акционеров, аудита, контрольных
и рейтинговых органов. При этом размер чистой прибыли зависит от ряда факторов:
политики управления издержками, выбора концепции сохранения стоимости, влияния
транзакционных издержек, тяжести налогового бремени.
Изменения оборотного капитала зависят от
оборачиваемости оборотных средств, характера финансовых разрывов в корпорации,
изменения стоимости оборотного капитала, уровня финансового нормирования.
Таким образом, под эффективностью бизнеса
понимается величина доходов, генерируемых бизнес-процессами компании, за
вычетом расходов, необходимых для их осуществления. В такой трактовке следствием
роста эффективности является повышение устойчивости бизнеса и его стоимости.
Логика повышения эффективности заключается в том, что качество продукта
повышает уровень удовлетворенности клиентов, что ведет к росту доли рынка. В
свою очередь, увеличение доли рынка увеличивает рентабельность за счет
повышения доходов и снижения удельных издержек производства; рентабельность
ведет к росту цен на акции. Последнее приводит к более высокой преданности
сотрудников и новым инвестициям и в результате сказывается на росте качества
продукта.
С другой стороны, эффективность - это
результативность действий сотрудников, определяющих будущие финансовые
результаты, выраженные в денежных потоках. Однако люди обычно работают ниже
верхней границы эффективности (теория Х-эффективности). Двойственная природа
эффективности бизнеса потребовала переосмысления всей теории эффективности.
«Современное понятие эффективности, являющееся по сути экономическим, не
признает возможности полного измерения эффективности. Современная концепция
оценки эффективности базируется на оценке будущих денежных потоков и их
дисконтировании к текущей стоимости. Иначе говоря, мы предполагаем, что
компания - это актив, который обладает способностью генерировать денежные
потоки - как в настоящем, так и в будущем. Денежные потоки в будущем нельзя
точно измерить по определению. Мы не можем также измерить долгосрочную
устойчивость и эффективность компании. Реально мы можем оценить текущие
денежные потоки (финансовые результаты), оценить факторы, влияющие на денежные
потоки в будущем (нефинансовые показатели), и дать приблизительные оценки самих
будущих денежных потоков (цены на акции)».
Эффективность бизнеса проявляется во внешней
среде, на рынке. Чем выше эффективность, тем лучше рыночная позиция фирмы. С
другой стороны, внешняя среда изменчива, причем динамизм этих изменений
постоянно усиливается. Удержать завоеванную рыночную позицию в таких условиях
может лишь та фирма, которая обладает определенным потенциалом и умеет им
управлять в динамике. Динамическому управлению отвечает лишь потоковый подход.
С другой стороны, рыночный потенциал фирмы предопределяет сегодня его
капитализация. Из этого следует, что рост стоимости бизнеса посредством
наращивания его капитализации есть фундаментальный критерий его эффективности.
Профессионализм экономиста заключается в умении
оценить потенциал фирмы и определить пути его реализации с максимальной
эффективностью. Под потенциалом фирмы понимается совокупность ресурсов и
возможностей бизнеса, определяющих ожидаемые характеристики его развития при
различных сценариях изменения внешней среды. Именно поэтому главная цель
деятельности предприятия заключается в наращивании его потенциала при условии
удовлетворения ожиданий всех сотрудничающих с предприятием индивидов и
экономических институтов. Научные представления о потенциале фирмы менялись
вместе с эволюцией продукта, организационных структур и эффекта бизнеса.
Эволюция национального хозяйства, как и фирмы,
есть результат ее продвижения к высшей эффективности. «Чтобы технологические
сдвиги привели к сдвигам общественным, новый тип предприятия должен был
оказаться экономически более эффективным. Только в силу этого он смог выжить в
конкурентной борьбе и превратиться в доминирующую силу в своих отраслях»1.
Модные в последние десятилетия феномены слияний и поглощений фирм, нарастание
популярности концепции стоимости компании преследуют, в конечном счете, одну и
ту же цель - наращивание финансово-экономической мощи компании, или ее
потенциала.
ГЛАВА 3. РАСЧЕТНАЯ ЗАДАЧА
Задача №1, вариант №2
Исходные данные:
. Стоимость ОПФ на начало года (тыс.сом)
в т.ч
Здания - 341313
Сооружения - 65010
Рабочие машины - 378430
Силовые машины - 18460
Транспортные средства - 22150
Прочие - 15691
. Введено в ОПФ в течение года - 20980
тыс.сом
. Ликвидировано в ОПФ в течение года -
800 тыс.сом
. Ежегодная норма амортизации:
Для активной части ОПФ - 18%
Для пассивной части ОПФ - 6%
. Объем товарной продукции за год - 1278
млн.сом
. Объем реализованной продукции (без
учета косвенных налогов ) за год - 1877 млн.сом
. Среднегодовая стоимость оборотных
средств - 230 млн.сом
. Численность ППС (чел.)
Основные рабочие - 220
Вспомогательные рабочие - 100
Служащие - 23
Специалисты - 10
Руководители - 5
. Годовой фонд рабочего времени - 1850
часов
. Внереализационные расходы - 24 тыс.сом
.Внереализационные доходы - 22 тыс.сом.
Рассчитать:
. Структуру ОПФ на начало года;
. Коэффициенты воспроизводства (движения)
ОПФ;
. Фондоотдачу, фондоемкость,
фондовооруженность труда;
. Годовую сумму амортизации;
. Коэффициент оборачиваемости оборотных
средств, коэффициент загрузки и длительность одного оборота;
. Выработку на одного рабочего и одного
работающего;
. Технологическую, производственную и
полную трудоемкость производства продукции;
. Структуру кадрового состава;
. Прибыль от реализации продукции,
балансовую и чистую прибыль;
. Рентабельность производства и
рентабельность продукции.
Решение:
. Рассчитаем структуру ОПФ на начало
года
|
Группа
ОПФ
|
Стоимость
на начало года (тыс.сом)
|
|
Здания
|
341313
|
40
|
|
Сооружения
|
65010
|
8
|
|
Рабочие
машины
|
378430
|
45
|
|
Силовые
машины
|
18460
|
2
|
|
Транспор.
средства
|
22150
|
3
|
|
Прочие
|
15691
|
2
|
|
Всего
|
841054
|
100
|
Здания 
*100%=40%
Сооружения 
*100%=8%
Рабочие машины 
*100%=45%
Силовые машины 
*100%=2%
Транспортные средства 
*100%=3%
Прочие 
*100%=2%
. Чтобы рассчитать коэффициенты
воспроизводства ОПФ, нужно рассчитать стоимость на конец года:

841054+20980-800=861234 тыс.сом
Коэффициент обновления
рассчитывается как отношение стоимости введенного ОПФ к стоимости ОПФ на конец
года:
. 

=0,024
Коэффициент выбытия рассчитывается как отношение
стоимости Ликвидированного ОПФ к стоимости ОПФ на начало года:
2. 
=0,0009
Коэффициент пригодности рассчитывается как
отношение разницы стоимости введенного и ликвидированного ОПФ к стоимости ОПФ
на конец год
3. 

=0,023
3.Для того чтобы рассчитать фондоотдачу,
фондоемкость и фондовооруженность труда, нужно рассчитать среднегодовую
стоимость ОПФ:


= 851144 тыс.сом
Показатель фондоотдачи показывает на
сколько выпущенной продукции приходится на 1 сом стоимости основных
производственных фондов, этот показатель рассчитывается как отношение объема
выпущенной продукции к среднегодовой стоимости ОПФ.
. 

= 1,5, имеет тенденцию к
увеличению;
. Показатель фондоемкости
показывает сколько стоимости основных производственных фондов снимается с 1
сома выпущенной продукции, этот показатель рассчитывается как отношение
среднегодовой стоимости ОПФ к объему выпущенной продукции
. 

, имеет тенденцию к уменьшению
Показатель фондовооруженности труда
рассчитывается как среднегодовая стоимость ОПФ к среднесписочной численности
работников на предприятии.
4. 

= 237,имеет тенденцию к увеличению
4. Рассчитаем годовую сумму амортизации:
Активная часть ОПФ (рабочие машины, силовые
машины, транспортные средства):
*18%= 75427
Пассивная часть ОПФ (здания, сооружения,
прочие):
*6%= 25320
Годовая сумма: 75427+25320=100747 тыс.сом
. Рассчитать коэффициент оборачиваемости
оборотных средств, коэффициент загрузки и длительность одного оборота:
Коэффициент оборачиваемости оборотных средств
показывает сколько оборотов совершили оборотные средства за отчетный период,
проходя 3 стадии кругооборота, этот коэффициент рассчитывается как отношение
объема реализованной продукции к среднегодовой стоимости оборотных средств.
1. 

=8,16 оборота;
Коэффициент загрузки показывает сколько
оборотных средств в тыйынах необходима для производства 1 сома продукции, этот
коэффициент рассчитывается как отношение среднегодовой стоимости оборотных
средств к объему реализованной продукции.
2.
= 12,2 тыйына
Длительность оборота показывает
сколько дней длится 1 оборот, она рассчитывается как отношение количество
рабочих дней в отчетном году к коэффициенту оборачиваемости.
.Рассчитаем выработку на одного
рабочего и одного работающего:
Показатель выработки показывает
сколько выпущенной продукции приходится на одного среднесписочного работника на
предприятии.
Выработка на одного рабочего
рассчитывается как отношение объема выпущенной продукции к одному
среднесписочному рабочему:
В 
=3,9 млн./рабочего
Выработка на одного рабочего
рассчитывается как отношение объема выпущенной продукции к одному
среднесписочному работающего:
В 
млн./работающего
. Рассчитать технологическую,
производственную и полную трудоемкость производства продукции:
Трудоемкость выпущенной продукции
отражает количество трудовых затрат на выпуск единицы продукции.
Технологическая трудоемкость
учитывает трудозатраты только основных рабочих, она рассчитывается как
отношение произведение годового фонда времени и количества основных рабочих к
объему выпущенной продукции:
Техн.труд 
= 318,4 чел.час/млн.сом
Производственная трудоемкость
учитывает трудозатраты основных и вспомогательных рабочих, она рассчитывается
как отношение произведение годового фонда времени и количества основных,
вспомогательных рабочих к объему выпущенной продукции:
Произв.труд 
= 463,2 чел.час/млн.сом
Полная трудоемкость учитывает
трудозатраты всех работающих на предприятии, она рассчитывается как отношение
произведение годового фонда времени и количества всех работающих на предприятии
к объему выпущенной продукции:
Полн.труд 
= 518,2 чел.час/млн.сом.
. Рассчитаем структура кадрового
состава:
Количество
Работающих (чел)
|
Структура
(%)
|
|
Основные
рабочие
|
220
|
61
|
|
Вспомогательные
рабочие
|
100
|
28
|
|
Служащие
|
23
|
6
|
|
Специалисты
|
10
|
3
|
|
Руководители
|
5
|
1,5
|
|
Всего
|
358
|
99,5
|
Основные рабочие 
*100% = 61%
Вспомогательные рабочие 
*100% = 28%
Служащие 
*100% = 6%
Специалисты 
*1005 = 3%
Руководители 
*100%=1,5%
. Рассчитать прибыль от
реализации продукции, балансовую и чистую прибыль:
. Прибыль от реализации продукции -
это разница между объемом реализованной продукции и объемом товарной продукции:
Прибыль от реал.прод
1877млн.сом-1278млн.сом = 599 млн.сом
. Балансовая прибыль = Прибыль от
реализации продукции + внереализационные доходы - внереализационные расходы
Балан. прибыль 599 млн.сом
+22000-24000=557млн.сом
.Чистая прибыль = Балансовая прибыль
- (Балан.прибыль-10%)
Чистая прибыль = 557-(557-10%) =
557-55,7=501,3
. Рассчитать рентабельность производства
и рентабельность продукции:
Рентабельность продукции
рассчитывается как отношение прибыли от реализации к себестоимости продукции:
Р прод 
*100%=46,8%.
Рентабельность производства
рассчитывается как отношение балансовой прибыли к сумме стоимости ОПФ и
оборотных средств:
Р произв 
=*100%=52%.
ЗАКЛЮЧЕНИЕ
Итак, сделаем выводы: какова же
должна быть организационная структура того или иного предприятия? Исходя из
сформулированных нами требований наиболее эффективная структура для фирмы - это
та, которая позволяет:
1. эффективно взаимодействовать с внешней
средой;
. целесообразно распределять задачи среди
сотрудников и направлять их усилия для достижения основных целей.
Выбор организационной структуры основывается на
стратегии фирмы. Это означает, что структура фирмы должна быть такой, чтобы
обеспечить реализацию ее стратегии. Так как с течением времени стратегии
меняются, то могут понадобиться соответствующие изменения и в организационных
структурах - это важнейшая научная и практическая проблема. В настоящее время
успешно функционирующие предприятия и фирмы регулярно оценивают степень
адекватности своих организационных структур и изменяют их так, как этого
требуют внешние условия.
Существуют разнообразные альтернативные варианты
построения организационных структур. Можно выделить три крупные группы
. организационных структур - бюрократические
(механистические);
. дивизиональные
. программно-целевые.
Рассмотрим сущность, основные черты и
классификацию этих организационных структур.
Организационные структуры строятся по
определенным принципам, которые связаны с типом организации. Современный
менеджмент рассматривает прежде всего организации двух типов бюрократическую и
органическую. Критерием оценки эффективности совершенствования структуры
предприятия является повышение конкурентоспособности предприятия, то есть
повышение качества управления и достижение высоких конечных показателей
деятельности предприятия. Оценка эффективности деятельности фирмы - это
центральная тема.
Об актуальности оценки эффективности М. Мейер
пишет: «Я полагаю, нам следует принять как данное, что оценка эффективности
трудна сама по себе. Если бы это было не так, эта проблема не стояла бы сегодня
так остро». Практическая значимость оценки эффективности огромна. Важнейшие
направления ее практического использования: оценка успешности менеджмента
фирмы; формирование имиджа фирмы; оценка доступа на рынки капитала;
целесообразность капитальных вложений.
В общем случае экономическая эффективность - это
отдана в форме доходов различных ресурсов фирмы, находящихся в ее распоряжении.
Эффективная деятельность предполагает получение максимального результата за
счет имеющихся ресурсов или получение определенного результата с минимальными
расходами ресурсов. Если сопоставить готовую продукцию с величиной затраченных
факторов производства, то получим уровень эффективности, выраженный в категории
производительности.
СПИСОК ИСПОЛЬЗОВАННОЙ ЛИТЕРАТУРЫ
1. Каримов
И.А. Мировой финансово-экономический кризис, пути и меры по его преодолению в
условиях Узбекистана. Т.: 2009.-48.с
. Календарева
С.Г. «Организация производства на промышленном предприятии». Т.: 2004. -144с.
. Тухлиев
Н., Таксанов А. Национальная экономическая модель Узбекистана. - Т.: Укитувчи,
2000.
. Экономика
предприятия (фирмы): учебник /Под ред.проф. О.И. Волкова и доц. О.В.
Девяткина.- М.: 2006.
. Экономика
фирмы: Учебник / Под.общ.ред. проф. Н.П. Иващенко.- М.: 2006.
. Махмудов
Э.Х. Экономика предприятия. Т.: ТГЭУ, 2004.
. Югай
Л.П., Маххмудов Э.Х. Акционирование предприятий. Т.: ТГЭУ, 2004. Корниенко,
Олег Васильевич. Микроэкономика: 100 экзаменационных ответов: Учебное пособие/
О. В. Корниенко. - М.: ИКЦ "МарТ", 2003. - 304 с. Кирцнер И.М.
Конкуренция и предпринимательство. М.: 2005
. Экономика
предприятия./Под.ред. В.Я. Горфинкеля., Проф. В.А. Швандара.М.: 2002
9. Акбердин Р.З. Совершенствование
структуры, функций и экономических взаимоотношений управленческих подразделений
предприятий при разных формах хозяйствования. Учебное пособие. / Акбердин Р.
З., Кибанов А.Л. - М., 1993.
. Берг А.И. Организация и управление.
Вопросы теории и практики. / Берг А.И. - М., 1968.
11. Боумен
К. Основы стратегического менеджмента. / Боумен К. - М., 1997.
12. Виссема X.
Менеджмент в подразделениях фирмы. / Виссема X
- М., 1996.
. Герчикова И.Н. Менеджмент: Учебник. /
Герчикова И.Н. - М., 1995.
. Гончаров В.В. В поисках совершенства
управления. Руководство для высшего управленческого персонала: В 2 т. /
Гончаров В.В. - М., 1996.
. Джонсон Р. Системы и руководство. /
Джонсон Р. - М., 1991.
. Доблаев В.Л. Сборник учебных материалов
по курсу «Теория организаций». / Доблаев В.Л. - М., 1995.
. Мескон М. Основы менеджмента. / Мескон
М., Альберт М., Хедоури Ф. - М., 1994.
. Мильнер Б.З. Теория организаций. /
Мильнер Б.З. - М., 1998.
. Пригожин А.И. Современная социология
организаций. / Пригожин А.И. - М., 1998.
21. www.google.ru