Организационные структуры управления

  • Вид работы:
    Дипломная (ВКР)
  • Предмет:
    Менеджмент
  • Язык:
    Русский
    ,
    Формат файла:
    MS Word
    433,69 kb
  • Опубликовано:
    2011-12-21
Вы можете узнать стоимость помощи в написании студенческой работы.
Помощь в написании работы, которую точно примут!

Организационные структуры управления















Организационные структуры управления

СОДЕРЖАНИЕ

ВВЕДЕНИЕ

1. ТЕОРЕТИЧЕСКИЕ ОСНОВЫ ОРГАНИЗАЦИОННЫХ СТРУКТУР УПРАВЛЕНИЯ

1.1 Понятие и принципы построения организационных структур

1.2 Виды организационных структур управления

2. АНАЛИЗ ОРГАНИЗАЦИОННОЙ СТРУКТУРЫ УПРАВЛЕНИЯ НА ПРИМЕРЕ КОММЕРЧЕСКОГО ПРЕДПРИЯТИЯ ООО «ДОНСТРОЙ»

.1 Характеристика и основные показатели коммерческой деятельности ООО «ДонСтрой»

.. Исследование организационной структуры управления ООО «ДонСтрой»

ЗАКЛЮЧЕНИЕ

СПИСОК ИСПОЛЬЗОВАННЫХ ИСТОЧНИКОВ

ВВЕДЕНИЕ

Актуальность темы. Построение структуры управления организацией - это важная составная часть общей функции управления - организовывания, одной из центральных задач которой является создание необходимых условий для выполнения всей системы планов организации. Ее реализация может потребовать реструктуризации, как самой организации, так и ее управляющей системы, а также создания условий для формирования высокочувствительной к изменениям культуры организации.

Выполнение функций управления возможно при использовании различных организационных структур. Важно, чтобы они наилучшим образом соответствовали содержанию и методам выполнения работ и способствовали повышению их эффективности. Каждая организация, независимо от ее размера, базируется на формально и точно определенных взаимоотношениях между ее членами, что представляет собой организационную структуру управления.

Организационная структура управления - совокупность специализированных функциональных подразделений, взаимосвязанных в процессе обоснования, выработки, принятия и реализации управленческих решений. Графически чаще всего изображается в виде иерархической диаграммы, показывающей состав, подчиненность и связи структурных единиц организации.

Из всего многообразия организационных структур управления четко выделяются две большие группы. Это иерархические и адаптивные организационные структуры.

Степень разработанности темы. Организационные структуры управления исследовали такие ученые как Албастова Л.Н., Ансофф И., Виханский О.С., Друкер П.Ф., Игнатов В.Г., Кнорринг В.И., Лапыгин Ю.Н., Либкинд Е.В., Рябикова Н.Е., Румянцева З.П., Яськов Е.Ф. и др.

Цель курсовой работы заключается в рассмотрении теоретических основ организационных структур управления на примере коммерческого предприятия ООО «ДонСтрой».

Для достижения поставленной цели необходимо решить следующие задачи:

раскрыть понятие и принципы построения организационных структур;

изучить виды организационных структур управления;

дать характеристику и привести основные показатели коммерческой деятельности ООО «ДонСтрой»;

провести исследование организационной структуры управления ООО «ДонСтрой».

Объект исследования - организационные структуры управления.

Предмет исследования - понятие, принципы построения и виды ОСУ.

Структура работы. Курсовая работа состоит из введения, двух глав, заключения и списка использованных источников.

Во введении обосновывается актуальность темы исследования, определяется ее цель, выявляются задачи, которые необходимо решить в процессе разработки проблемы.

В первой главе рассмотрены теоретические основы организационных структур управления, раскрыты сущность, понятие и принципы построения организационных структур, виды ОСУ.

Во второй главе проведено исследование организационной структуры управления коммерческого предприятия ООО «ДонСтрой», дана характеристика и основные показатели коммерческой деятельности ООО «ДонСтрой»; произведен анализ ОСУ ООО «ДонСтрой».

В заключении приводятся выводы, полученные в процессе исследования.

В списке использованных источников дан перечень учебной, периодической и другой литературы, изученной в процессе разработки проблемы.

1. ТЕОРЕТИЧЕСКИЕ ОСНОВЫ ОРГАНИЗАЦИОННЫХ СТРУКТУР УПРАВЛЕНИЯ

.1 Понятие и принципы построения организационных структур

Организационная структура управления - это состав, взаимосвязь и соподчиненность самостоятельных управленческих подразделений и отдельных должностей, выполняющих функции управления [3].

Организационная структура управления определяется составляющими ее звеньями и уровнями управления. Эта структура должна обеспечивать устойчивость связей между элементами управления и надежность функционирования системы в целом.

ОСУ - это конструкционная основа управления. ОСУ отражает стабильные формы разделения управленческого труда.

ОСУ - это определенная упорядоченность задач, ролей, полномочий и ответственности, создает условия для осуществления предприятием своей деятельности и достижения целей.

ОСУ - это состав (специализация), взаимосвязь и соподчиненность самостоятельных управленческих подразделений и отдельных должностей, выполняющих функции управления.

Сложность организационной структуры определяется числом отделов, групп, высококвалифицированных специалистов и уровней иерархии.

Формализация характеризует масштабы использования правил и распоряжений для регулирования поведением людей.

Централизация характеризует распределение прав, обязанностей и ответственности по вертикали управления, а ее уровень показывает, в какой мере члены организации привлекаются к принятию управленческих решений.

Координация базируется на использовании механизмов интеграции разделенных ресурсов и действий, например, это может быть [7]:

создание специальных комиссий, комитетов, рабочих групп;

правила, графики, нормы;

разделение задач по иерархии управления.

Звено управления - это обособленное подразделение со строго очерченными функциями. В качестве звена управления может выступать отдельное подразделение, выполняющее часть функций управления, всю функцию или совокупность функций управления. К понятию «звено» относят также и руководителей.

Ступень управления - это совокупность звеньев, находящихся на определенном уровне иерархии управления. Отношения между звеньями управления поддерживаются благодаря связям (взаимоотношениям, коммуникациям), которые подразделяются на горизонтальные и вертикальные.

Горизонтальные связи (связи кооперации и координации равноправных звеньев управления) носят характер согласования и являются, как правило, одноуровневыми. Их основное предназначение - способствовать наиболее эффективному взаимодействию подразделений компании при решении возникающих между ними проблем. Вертикальные связи - разноуровневое расположение звеньев управления по общности их функций - представляет собой соподчиненность звеньев управления снизу доверху.

Средством для достижения нормальных взаимоотношений между уровнями управления является делегирование полномочий.

Делегирование означает передачу задач и полномочий сверху вниз лицу или группе, которые принимают на себя ответственность за их выполнение.

Цели делегирования [1]:

. Разгрузить вышестоящих руководителей, освободить их от текущей рутинной работы и создать наилучшие условия для решения стратегических и перспективных задач управления.

. Повысить дееспособность нижестоящих звеньев.

. Активизировать «человеческий фактор», как можно больше вовлечь и заинтересовать работников.

При этом необходимы такие объем и масштаб делегируемых полномочий, которые способствуют профессиональному росту сотрудников, мотивируют их, обеспечивают удовлетворенность содержанием труда. Оптимальный объем делегирования зависит от различных факторов и, прежде всего от возможностей реализации делегируемых полномочий данным работником; соответствия передаваемых работнику полномочий характеру принимаемых им задач. Существуют две основные концепции делегирования полномочий [14]:

классическая - передача полномочий сверху вниз. Полномочия считаются делегированными, когда они переданы руководителем подчиненному;

современная - принятие полномочий. Полномочия считаются делегированными, когда они приняты подчиненным. Исходя из этой концепции, подчиненный имеет право отклонить требования начальника.

Делегирование полномочий предполагает следующие методы:

поручение работникам индивидуальных конкретных заданий;

предоставление соответствующих полномочий и ресурсов подчиненным;

формулирование обязательств подчиненных выполнить порученные им задания.

К числу основных принципов рационального делегирования в менеджменте относятся [11]:

единоначалие - сотрудник получает задания и отвечает за их выполнение перед одним начальником;

соответствие - состав задач должен соответствовать характеру полномочий сотрудника, и объем полномочий должен соответствовать делегированной ответственности;

организационный управление делегирование полномочия

- координация - состав полномочий должен динамично корректироваться в соответствии с новыми заданиями сотрудника;

достаточность - масштабы ответственности не должны превышать индивидуальные возможности сотрудника;

мотивированность - расширение ответственности должно мотивироваться повышением оплаты, влияния или лидерства.

Делегирование базируется на полномочиях и ответственности. Ответственность - это обязательство выполнить поставленные задачи и отвечать за их удовлетворительное решение. При делегировании полномочий ответственность не делегируется, не снимается с самого руководителя, хотя и распространяется на подчиненного.

Полномочие - это организационно закрепленное ограниченное право использовать ресурсы организации и направлять усилия ее работников на выполнение определенных задач. Полномочия являются именно ограниченным правом, так как имеют пределы, определяемые правилами, должностными инструкциями. Линейные полномочия - это полномочия, передаваемые непосредственно от начальника к подчиненному и далее другому подчиненному. Делегирование линейных полномочий (скалярный процесс) создает иерархию уровней управления организации, называемую цепью команд. Полномочия линейных руководителей дают право решать все вопросы развития вверенных им организаций и подразделений, а также отдавать распоряжения, обязательные для выполнения.

Рекомендательные полномочия штабного аппарата являются наиболее ограниченными и сводятся в основном к консультированию линейного руководства. Введение процедуры обязательного согласования обеспечивает расширение рекомендательных полномочий и обязывает линейное руководство согласовывать определенный круг решений со штабным аппаратом [9].

Параллельные полномочия представляют собой дальнейшее расширение штабных полномочий и включают право отклонять определенные решения линейного руководства.

Функциональные полномочия означают предоставление штабному аппарату прав как предлагать, так и запрещать определенные действия в пределах своей компетенции. В данном случае действует принцип полного распорядительства, означающий, что выполнение указаний функционального органа в пределах его компетенции обязательно для подразделений.

Дивизиональные полномочия предполагают предоставление руководителям структурных подразделений оперативно-производственной или сбытовой самостоятельности с перенесением на этот уровень ответственности за получение прибыли. Все другие связи и отношения установлены по привычной линейно-функциональной схеме.

Проектные (матричные) полномочия отличаются тем, что их принимают руководители временных целевых структур, в которых происходит их наложение на постоянную ОСУ, в результате чего возникают проблемы двойного подчинения, что порождает борьбу за власть.

Сетевые полномочия формируются при перенесении рыночных отношений внутрь организации. Все отношения строятся на эквивалентно-возмездной основе, то есть полномочия руководителя сводятся к полномочиям предпринимателя, отвечающего за прибыль в своем бизнесе.

Виртуальные связи и отношения являются феноменом информационного общества, в данном случае возникают партнерские отношения, предполагающие единый базовый уровень компетенции и учет взаимных интересов. Они организационно никак не закрепляются, поэтому могут быть весьма прочными и в то же время непостоянными и мимолетными.

Согласно классической теории организации процесс создания организационной структуры должен разворачиваться «сверху вниз» и включает последовательность действий из следующих основных шагов [2]:

) деление организации по горизонтали на широкие блоки, соответствующие важнейшим направлениям деятельности организации;

) осуществление соотношения полномочий различных должностей;

) определение должностных обязанностей как совокупности определенных задач и функций и передача их исполнение конкретным лицам.

Рациональная структура не возникает спонтанно. Существуют следующие принципы структуризации:

принцип иерархичности уровней управления - каждый нижестоящий уровень контролируется вышестоящим и подчиняется ему;

принцип целеполагания - ОСУ должна прежде всего отражать цели и задачи организации, а следовательно, быть подчиненной производству товаров или услуг;

принцип соответствия - в ОСУ должен реализовываться принцип соответствия полномочий и ответственности работников - с одной стороны, и квалификации и уровня культуры - с другой (именно с помощью ОСУ реализуется система ответственности и полномочий);

принцип разделения труда - ОСУ должна обеспечить оптимальное разделение труда между органами управления и объемом их полномочий;

принцип ограничения полномочий - полномочия руководителей ограничиваются миссией и целями организации, факторами внешней среды, уровнем культуры, традициями и нормами;

принцип адаптации - ОСУ должна быть достаточно гибкой и реагировать на внешние и внутренние изменения;

ОСУ должна быть адекватна социально-культурной среде организации.

Таким образом, организационная структура управления - это состав, взаимосвязь и соподчиненность самостоятельных управленческих подразделений и отдельных должностей, выполняющих функции управления.

1.2 Виды организационных структур управления

Иерархические организационные структуры (называемые формальными, механическими, бюрократическими) характеризуются жесткой иерархией власти в компании, формализацией используемых правил и процедур, централизованным принятием решений, узко определенной ответственностью в деятельности [8].

Адаптивные организационные структуры (называемые органическими, гибкими) характеризуются размытостью иерархии управления, небольшим количеством уровней управления, гибкостью структуры власти, слабым или умеренным использованием формальных правил и процедур, децентрализацией принятия решений, широко определяемой ответственностью в деятельности.

К бюрократическому типу организационных структур относят линейную, функциональную, линейно-функциональную, линейно-штабную и девизиональную структуры управления организациями.

Принципы бюрократической организационной структуры [5]:

. Четкое разделение труда между работниками.

. Иерархия управления.

. Наличие норм и правил выполнения работ.

. Формальная обезличенность трудовых обязанностей.

. Найм в соответствии с квалификацией.

Главные признаки бюрократической структуры: 1. Рациональность. 2. Ответственность. 3. Иерархичность.

Недостатки: 1. Не реализует полностью возможности человека. 2. Нет коллективного разума. 3. Не гибко реагирует на изменение ситуации.

Линейная структура управления образуется в результате построения аппарата управления только из взаимоподчиненных органов в виде иерархической лестницы. Разделение системы управления на составляющие части осуществляется по производственному признаку с учетом степени концентрации производства, широты номенклатуры продукции и т.д. (рис. 1) [10].

Рис. 1. Линейная организационная структура управления

Функциональная специализация аппарата управления значительно повышает его эффективность, поскольку вместо универсальных менеджеров, которые должны разбираться в выполнении всех функций, этим занимаются высококвалифицированные специалисты (рис. 2) [4].

Рис. 2. Функциональная структура

Линейно-функциональная структура управления обеспечивает такое разделение управленческого труда, при котором линейные звенья управления осуществляют общее руководство и координацию, а функциональные консультируют, разрабатывают конкретные вопросы (рис. 3) [10].

Рис. 3. Линейно-функциональная структура: Ф - условное изображение руководителя функциональной службы

Линейно-штабная структура отличается от линейной наличием в структуре «штаба» - органа по анализу возникающих ситуаций, постановке проблем, выработке решений. Например, отдел экономического анализа, или коллегия при директоре, или просто функциональный отдел - отдел кадров (рис. 4) [10].

Рис. 4. Линейно-штабная структура

Потребность в применении дивизиональной структуры, возникла в связи с увеличением размеров предприятий, диверсификации их деятельности, усложнением технологических процессов.

Дивизиональное распределение полномочий по организации производства и реализации продукции организации сопровождается наделением дивизионов полномочиями по планированию, управлению финансами, учету и т.д. Это позволяет активизировать работу управляющих дивизионами и высвободить руководство организации для выработки стратегических решений (рис. 5) [15].

Рис. 5. Территориальная дивизиональная структура

Дивизионы представляют собой центры прибыли, т.е. подразделения организации, где создается новая стоимость, приносящая доход организации. Относительная самостоятельность дивизиона приводит к необходимости формировать его структуру по образцу линейно-функциональных структур управления.

Органическим называется такой тип структуры управления, который характеризуется индивидуальной ответственностью каждого работника за общий результат. К органическому типу организационных структур относят проектную, матричную, сетевые и виртуальные структуры управления организациями.

Проектная структура управления организацией нацелена на решение конкретных (временных) задач. Смысл ее состоит в том, чтобы собрать в одну команду самых квалифицированных специалистов для осуществления сложного проекта в установленные сроки с заданным уровнем качества и затрат. Когда проект завершен, команда распускается. Группы собираются только на время выполнения проекта (рис. 6) [10].

Рис. 6. Схема проектной структуры управления

Преимущества: группа по проекту концентрирует все усилия на решении единственной задачи; учитывает влияние внешней среды.

Поскольку данная структура является временной, то возможны конфликты и неправильный подбор кадров. Матричная структура управления, представленная на рисунке 7, предполагает наличие нескольких групп проекта. Структура управления основана на принципе двойного подчинения [13].

Рис. 7. Схема матричной структуры управления

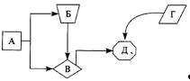
От процедур, координируемых иерархически, современные организации все больше переходят к использованию динамических сетей (рис. 8), ориентированных на рынок [10].

Рис. 8. Динамическая сеть

А - начало сети; Б, В, Г - промежуточные стадии; Д - конец сети; -> - дуги сети

Сеть представляет собой гибридное решение, сочетающее использование функциональных, дивизиональных и матричных структур. Сети проявляются как сочетание организаций, взаимодействие которых основано на договорных отношениях и механизмах рыночного регулирования. К сетевым организациям чаще всего относятся крупные производственные организации, рассредоточенные географически и технологически объединенные в единую производственную систему.

Построение ОСУ требует: группировки всех видов работ по функциям, обязанностям или задачам; формирования соответствующих отделов, рабочих групп и определения индивидуальных исполнителей; установления полномочий по принятию решений и отношений между отделами, рабочими группами и индивидами по поводу выполнения ими функций, обязанностей и задач; установления каналов коммуникаций и механизмов, обеспечивающих координацию и передачу решений по вертикали и горизонтали.

2. АНАЛИЗ ОРГАНИЗАЦИОННОЙ СТРУКТУРЫ УПРАВЛЕНИЯ НА ПРИМЕРЕ КОММЕРЧЕСКОГО ПРЕДПРИЯТИЯ ООО «ДОНСТРОЙ»

.1 Характеристика и основные показатели коммерческой деятельности ООО «ДонСтрой»

Компания «ДонСтрой» - строительная компания Ростова-на-Дону и Ростовской области. С 1999 года профессионально проектирует, строит, реализует недвижимость для жизни и для работы.

За это время ООО «ДонСтрой» возведено и находится на разных стадиях строительства более 30 жилых комплексов, домов и других объектов строительства в Ростове-на-Дону и Сочи общей площадью около 200 тысяч кв.м. Среди приоритетных направлений развития компании - комплексная застройка микрорайонов с жилыми домами, офисными, торговыми и развлекательными центрами, возведенными в соответствии с лучшими мировыми стандартами архитектуры и качества. Среди них такие масштабные строительные проекты как жилой комплекс «Ривьера» в Сочи и комплексная застройка микрорайона в Северном жилом массиве Ростова-на-Дону.

Компания ведет работу от проектирования и строительства до реализации квартир и последующей их эксплуатации. «ДонСтрой» активно развивает направление коммерческой недвижимости.

Основные направления строительного бизнеса:

строительство жилой недвижимости;

выполнение отдельных видов строительно-монтажных работ;

управление недвижимостью;

производство и реализация стройматериалов;

оказание услуг по проектированию объектов недвижимости.

Штат предприятия состоит из специалистов высокой квалификации. На сегодняшний день в компании работает около 580 сотрудников.

Миссия компании «ДонСтрой» - выполнение инвестиционно-строительных проектов с применением традиционных и инновационных технологий. Мы соединили отвечающее международным стандартам качество и доступность при создании объектов промышленного, жилищно-гражданского и социального назначения.

Генеральная цель компании - достижение на инвестиционно-строительном рынке устойчивого лидерства, основанного на мощных конкурентных преимуществах и системном подходе к реализации проектов. Уникальное сочетание технологий и качества позволяет нашей Компании реализовывать проекты не по дням, а по часам.

Компания «ДонСтрой» является обществом с ограниченной ответственностью («ООО») - коммерческая организация, относящаяся к хозяйственным обществам, учрежденная одним или несколькими юридическими и/или физическими лицами, уставный капитал которого разделен на доли, принадлежащие его участникам.

Участники ООО не отвечают по его обязательствам и несут риск убытков, связанных с деятельностью общества, лишь в пределах стоимости принадлежащих им долей (ограниченная ответственность). ООО является наиболее распространенной организационно-правовой формой коммерческих организаций в сфере среднего предпринимательства. Законодательство не требует существенной величины уставного капитала для ООО. В этой связи ООО является весьма привлекательной формой для организации бизнеса, но в то же время, является менее надежным субъектом экономических отношений для контрагентов, чем другие формы.

Кризис в строительной отрасли затронул все без исключения компании региона. Финансирование проектов, особенно многоквартирных домов, у всех застройщиков столкнулось с рядом сложностей: банки не кредитуют строительство, сделки на первичном рынке практически не совершаются, имеется большая дебиторская задолженность дольщиков по объектам. В этой ситуации стратегия финансирования проектов ООО «ДонСтрой» реализуется в следующих направлениях:

проведение гибкой маркетинговой политики, ориентирующейся на повышенный спрос на социальное жилье. Для этого в компании ведется работа по снижению себестоимости, нормы прибыли, чтобы сделать предложение для покупателей максимально привлекательным;

привлечение инвестиций, как иностранных, так и банковских.

В настоящее время ведется работа по включению проектов компании в следующие государственные программы:

Вступление в Национальное агентство малоэтажного и коттеджного строительства. НАМИКС - некоммерческое партнерство, объединяющее участников рынка малоэтажного строительства для содействия реализации приоритетного национального проекта «Доступное и комфортное жилье гражданам РФ», оператор проекта «Свой дом» партии «Единая Россия». Членство в НАМИКС обеспечит компании «ДонСтрой» лоббирование проектов на уровне государственных структур (включение в Федеральные и Ведомственные целевые программы, ориентированные на развитие жилищного строительства и сопутствующей инфраструктуры).

Программа по развитию малоэтажного строительства «Свой дом», разработанной партией «Единая Россия». Цель программы - способствовать обеспечению населения РФ малоэтажным жильем по доступным ценам. Программа «Свой дом» получила положительное заключение и была поддержана Министерством регионального развития РФ. Предложения программы вошли в долгосрочную стратегию массового строительства жилья для всех категорий граждан в РФ до 2025 года.

Областная целевая программа «Переселение граждан из ветхого и аварийного жилищного фонда в Ростовской области» на 2010-2012 годы.

«ДонСтрой» готовится к участию в ряде тендеров на строительство по государственным подрядам.

Основной задачей «ДонСтрой» на данный момент является выполнение компанией своих обязательств перед дольщиками. В нестабильных рыночных условиях это будет сопряжено с замедлением строительного цикла проектов. Тем не менее, компания предпринимает комплекс мер по выполнению своих обязательств в ходе ведения строительно-монтажных и других работ по объектам.

Таблица 1 - Основные экономические показатели ООО «ДонСтрой» 2008-2010

Показатель

2008

2009

2010

2010 к 2008 г.





Абс. изм.

Относ. изм. %

Среднегодовая численность работников, чел., в т.ч.:

500

550

580

8

116

- управленческий персонал; - производственный персонал; - мужчин; - женщин;

80 420 350 150

100 450 380 170

100 480 400 180

2 6 26 120

125 114,2 114,2 131,4

Средняя заработная плата, тыс. руб., в т.ч.

85

117

131

138

150,3

- управленческий персонал - производственный персонал

64 21

90 27

100 31

36 102

156,2 148,5

Производительность труда, тыс. руб.

909

1093

1189

280

131

Выручка от проданной продукции (работ, услуг)

45436

60141

68989

23553

151,8

Себестоимость проданной продукции (работ, услуг)

44056

57693

66294

22238

150,4

Валовая прибыль

1380

2695

1315

195,2

Прибыль (убыток) от продаж

1380

2448

2695

1315

195,2

Прибыль (убыток) до налогообложения

1237

1998

2440

1203

197,2

Чистая прибыль (убыток)

940

1518

1854

914

197,2


Из таблицы 1 видно:

наибольший удельный вес в составе работников предприятия составляют мужчины, женщины в основном заняты на работе в экономических службах (бухгалтерия, расчетно-плановый отдел) и в обслуживании производства (диспетчера, уборщицы);

все показатели численности персонала с каждым годом растут;

средняя заработная плата с каждым годом незначительно растет, так как увеличиваются объемы выручки;

производительность труда и заработная плата имеют положительную динамику в течение всего исследуемого периода.

Анализируя динамику показателей, можно сделать вывод, что в целом предприятие ООО «ДонСтрой» работало в течение 2007-2009 гг. периода достаточно эффективно.

В 2008 году чистая прибыль ООО «ДонСтрой» составляла 940 тыс. руб., в 2009 г - 1518 тыс. руб., а в 2010 году - 1854 тыс. руб. Выручка от проданной продукции и себестоимость проданной продукции также увеличились вполовину и к 2010 г и составили 68989 тыс. руб. и 66294 тыс. руб. соответственно.

Таким образом, ООО «ДонСтрой» устойчиво развивается на протяжении всего жизненного цикла своего функционирования. Однако к основным характерным чертам функционирования ООО «ДонСтрой» в посткризисных условиях относятся падение спроса на недвижимость, снижение возможности получения кредитов, уменьшение заказов и др.

2.2 Исследование организационной структуры управления ООО «ДонСтрой»

Организационная структура ООО «ДонСтрой» позволяет выполнять комплекс обследовательских, проектных и строительно-монтажных работ, строительству зданий и сооружений гражданского и промышленного назначения в Ростовской области.

Инженеры-проектировщики и инженеры-строители ориентированы на общий конечный результат в виде восстановленного, отремонтированного, реконструированного или построенного здания или сооружения. Организационная структура дает нам возможность эффективно совмещать в интересах заказчика проектные работы со строительными, что позволяет значительно сократить общие сроки строительства.

Инженеры сопровождают реализацию своего проекта на протяжении всего этапа строительства для оперативного решения возникающих вопросов с учетом запросов заказчика.

Рис. 9. Схема организационной структуры компании «ДонСтрой»

Из рисунка 9 видно, что организационная структура управления ООО «ДонСтрой» - линейно-функциональная. Линейно-функциональная структура основана на тесном сочетании линейных и функциональных связей в аппарате управления. Она обеспечивает такое разделение труда, при котором линейные звенья принимают решения и управляют, а функциональные - консультируют, информируют, координируют и планируют хозяйственную деятельность.

Существуют линейные подразделения по основному производству (строительные участки №1 и № 2) и функциональные подразделения в зависимости от выполняемой функции (производственно-технический отдел, бухгалтерия, отдел персонала), вспомогательные производственные подразделения (отдел снабжения, производственная база), которые обслуживают линейные подразделения.

Вертикальные связи - это связи руководства и подчинения, например, связь между начальником предприятия и начальниками участков.

Горизонтальные связи - это связи коопераций равноправных элементов, например связь между инженером проектного бюро и инженером производственно-технического отдела.

Количество уровней управления определяет «этажность» организации. У ООО «ДонСтрой» четырехуровневая иерархия:

Уровень 1 - руководство организации - директор.

Уровень 2 - менеджеры - заместитель директора по научно-технической работе, заместитель директора по производству, руководитель СМК.

Уровень 3 - отделы, строительные участки.

Уровень 4 - склады, мастерские.

Реализация стратегических задач и планов развития, а также текущая производственно-хозяйственная деятельность Компании, обеспечивается посредством распределения полномочий и ответственности между директором и наделением исполнительными полномочиями зам. директоров по направлениям деятельности Компании. Делегирование полномочий сверху вниз обеспечивает сбалансированность системы управления, ее эффективность.

Делегирование полномочий обусловлено необходимостью быстро реагировать на все изменения, происходящие в компании. Сокращение средних уровней управления увеличило ответственность сотрудников за принятые ими решения.

Управление предприятием осуществляется в соответствии с уставом ООО «ДонСтрой».

ООО «ДонСтрой» директор, который организует всю работу предприятия и несет полную ответственность за его состояние и деятельность перед учредителями и трудовым коллективом. Директор представляет предприятие во всех учреждениях и организациях, распоряжается имуществом предприятия, заключает договора, издает приказы по предприятию, в соответствии с трудовым законодательством принимает и увольняет работников, применяет меры поощрения и налагает взыскания на работников предприятия, открывает в банках счета предприятия.

При существующей структуре управления руководителю предприятия непосредственно подчиняются:

заместитель директора по научно-технической работе;

заместитель директора по производству;

главный бухгалтер;

руководитель СМК.

Производственно-технический отдел отвечает за подготовку проектной документации объекта, согласование проектной документации, сдачу объектов. Возглавляет отдел начальник ПТО, который подчиняется главному инженеру.

Проектное бюро ведет непрерывную исследовательскую деятельность, для внедрения в строительство и проектирование новых систем, изделий, конструкций и материалов и починяется заместителю директора по научно-технической работе.

На строительном участке роль начальника выполняет прораб, который осуществляет оперативный контроль за ходом строительных работ, следит за соблюдением календарного графика работ, устраняет причины, нарушающие нормальный режим работы, осуществляет контроль за качеством готовых объектов, разрабатывает предложение по предупреждению и уменьшению отклонений от проекта. Осуществляет также подачу распоряжений мастерам по ходу работы. Качество продукции является определяющим в общей оценке результатов деятельности трудового коллектива.

Мастера несут основную производственную нагрузку и заняты выполнением строительных работ. Отвечают за соответствие выполняемых работ на объектах строительным чертежам, актам выполненных работ и расчетам потребности материалов, отвечают за своевременное проведение технических осмотров, ремонтов оборудования, соблюдение техники безопасности вверенным персоналом, проведение технической учебы и т.д.

Главный бухгалтер осуществляет учет средств предприятия и хозяйственных операций с материальными и денежными ресурсами, устанавливает результаты финансово-хозяйственной деятельности предприятия и др., руководит работой по планированию и экономическому стимулированию на предприятии, повышению производительности труда, выявлению и использованию производственных резервов улучшению организации производства, труда и заработной платы, организации хозрасчета и др.

Бухгалтерия осуществляет учет средств предприятия и хозяйственных операций с материальными и денежными ресурсами, устанавливает результаты финансово-хозяйственной деятельности предприятия и др.

Инспектор по кадрам руководит отделом персонала, организует прохождение медосмотра персонала предприятия и т.п.

При информационном взаимодействии с сотрудниками решаются такие ключевые задачи, как делегирование полномочий, воспитание чувства гордости за свою компанию. Росту доверия к компании способствуют: своевременная и регулярная коммуникация; демонстрация доверия к сотрудникам; привлечение сотрудников к разрешению проблемных ситуаций, выяснение их мнений.

В компании «ДонСтрой» накоплен богатый опыт в сфере коммуникаций: отработана и хорошо функционирует система электронного документооборота, внедряется система управления и оценки по ключевым показателям эффективности, проведена большая работа по делегированию полномочий на разных уровнях ответственности. Информация о деятельности компании распространяется во всех местных СМИ. В систему корпоративных коммуникаций вовлечен весь персонал предприятия: компания готовит и рассылает блок информационных сообщений о компании, положении дел в отрасли, достижениях и проблемах, назревших в регионе присутствия компании. Для информирования сотрудников необходимо использовать все информационные каналы и инструменты коммуникации. Для решения этой задачи служба персонала совместно с руководством компании разработала специальный проект, цель которого - своевременное и регулярное информирование всех сотрудников о направлениях деятельности компании, ее стратегии, социальной политике, о новых проектах и задачах, об изменениях, происходящих в компании и обществе, а также обеспечение обратной связи.

Для налаживания коммуникаций внутри компании используются информационные стенды, буклеты, плакаты, доклады, ящики обратной связи, выступления руководителей в СМИ, тематические страницы в местных газетах (с вопросами и ответами), планерки и совещания, встречи с коллективами, интернет (внутренний объединенный сайт компании).

Информационные стенды размещены в городе. Рядом с ними расположены места для раздаточного материала (буклетов, газет, копий коллективных договоров и др.).

Безусловно, в компании сделано еще не все для того, чтобы в полной мере решить проблему информированности сотрудников. Новые идеи и предложения рассматриваются и активно обсуждаются, наиболее перспективные из них будут реализованы в компании.

В компании принят демократический стиль управления. Производственная деятельность организуется во взаимодействии руководителя и подчиненного. Основными принципами организации деятельности выступают коллегиальность и поощрение инициативы.

Директор компании ориентирован на убеждение как основной механизм воздействия, а в качестве основной формы воздействия используются групповые процедуры (собрания и совещания). При этом он признает способности подчиненных и сознает то, что не может все знать и все предвидеть. Контролируется только результат работ, допускается самоконтроль. Руководитель не только подробно информирует о фактическом положении дел, которое должно быть известно для выполнения задач, но и сообщает другую информацию о предприятии. Информация служит средством управления. Руководитель не нуждается в знаках, подчеркивающих его положение в глазах окружающих его людей.

Подчиненные рассматриваются как партнеры, способные относительно самостоятельно выполнять «ежедневные работы». Сотрудники принимают во внимание целевые установки, обладают самодисциплиной и самоконтролем.

Цели предприятия достигаются кратчайшим путем посредством денежного поощрения и предоставления возможности индивидуального развития. При благоприятном опыте сотрудники не боятся ответственности. Активная позиция подчиненных повышает их мотивацию, что влечет улучшение результатов труда.

В целом функции управляющей системы охватываются задачами сбора, передачи и переработки информации о деятельности компании «ДонСтрой», принятии решений и выдачи управляющих воздействий на объекты управления.

Организационно-административное воздействие обеспечивает четкость, дисциплинированность и порядок работы в коллективе. Организационное воздействие на структуру управления «ДонСтрой» осуществляется в большинстве случаев путем организационного регламентирования, нормирования, организационно-методического инструктирования и проектирования. Распорядительные воздействия представляют собой приказы, распоряжения, указания, инструкции, положения, правила, нормативы и другие акты организационно-распорядительного воздействия

Экономические методы управления представляют собой единую систему взаимосвязанных экономических действий, направленных на реализацию управленческих решений; создают условия, способствующие, экономической заинтересованности всех участников строительства, при которых строительная организация может нормально работать, выполнять планы сдачи объектов в срок и досрочно, с высоким качеством работ.

Использование социально-психологических методов управления невозможно без глубокого изучения руководителем социальных явлений, происходящих на стройке (предприятии) и в стране в целом. Наличие успехов в выполнении строительно-монтажных работ во многом зависит от атмосферы в коллективе, взаимоотношений руководителя с сотрудниками, удовлетворения бытовых, культурных и других потребностей их.

В содержание функции организации входят следующие виды управленческих работ: создание производственных подразделении (ПМК, участок, база, склад и т.д.), а также определение организационной структуры органов управления (формирование управленческих подразделений); обеспечение взаимодействия элементов структуры (отделов, служб и т.д.) в подсистеме управления производством; решение проблемы связи и взаимоотношений подразделений управления посредством внедрения нормативов в деятельность органов управления; разработка нормативов, методик; внедрение прогрессивных средств в управлении производством.

Проанализировав показатели охвата рационализацией рабочих мест инженерно-технических работников; уровня прогрессивности организационной структуры управления; уровня автоматизации и механизации управленческого труда; применения новаторских и рациональных методов труда; снижения трудоемкости принимаемых управленческих решений; участия сотрудников в управлении, можно сделать вывод, что они имеют положительную динамику роста. Компания лидирует по целому ряду основных экономических показателей. Это свидетельствует об эффективности применяемых методов управления.

Таким образом, организационная структура ООО «ДонСтрой» позволяет успешно выполнять комплекс обследовательских, проектных и строительно-монтажных работ по восстановлению и усилению строительных конструкций, реконструкции, капитальному ремонту и строительству зданий и сооружений гражданского и промышленного назначения в Ростовской области.

ЗАКЛЮЧЕНИЕ

В результате проведенного исследования ОСУ можно обобщить следующие выводы.

Организационная структура управления - это совокупность устойчивых связей элементов, обеспечивающих ее целостность и упорядоченность.

Организационная структура управления - это определенная упорядоченность задач, ролей, полномочий и ответственности, создает условия для осуществления предприятием своей деятельности и достижения целей.

Организационная структура управления - это состав (специализация), взаимосвязь и соподчиненность самостоятельных управленческих подразделений и отдельных должностей, выполняющих функции управления.

Структура управления должна обеспечить надежное функционирование системы в целом. Структуру управления обычно характеризуют с помощью таких понятий, как сложность, уровни формализации и централизации, механизмы координации.

Когда организация достигает некоторой величины и уровня сложности или когда в ней чрезмерное количество работающих, прямой контроль и взаимное согласование становятся уже неэффективными. Становится необходимой некоторая формальная структура - разделение на отдельные единицы, делающие возможными координацию всех усилий.

Иерархические организационные структуры (называемые порой формальными, механическими, бюрократическими, традиционными) характеризуются жесткой иерархией власти в компании, формализацией используемых правил и процедур, централизованным принятием решений, узко определенной ответственностью в деятельности.

Адаптивные организационные структуры (называемые органическими) характеризуются размытостью иерархии управления, небольшим количеством уровней управления, гибкостью структуры власти, слабым или умеренным использованием формальных правил и процедур, децентрализацией принятия решений, широко определяемой ответственностью в деятельности.

На примере строительной компании «ДонСтрой» мы рассмотрели особенности ее организационной структуры управления.

ООО «ДонСтрой» - это известная, пользующаяся уважением и доверием заказчиков компания, которая в непростых рыночных условиях не просто выживает, но активно развивается, постоянно совершенствуя технологии выполнения работ, мастерство и квалификацию сотрудников.

Иинженеры-проектировщики и инженеры-строители ориентированы на общий конечный результат в виде восстановленного, отремонтированного, реконструированного или построенного здания или сооружения.

Все сотрудники организации ориентированы на то, чтобы не просто работать, а работать творчески, с чувством ответственности, качественно и в установленные сроки. В компании принят демократический стиль управления. Производственная деятельность организуется во взаимодействии руководителя и подчиненного. Основными принципами организации деятельности выступают коллегиальность и поощрение инициативы.

ООО «ДонСтрой» - организация, ориентированная на потребителя. Организационная структура дает возможность эффективно совмещать в интересах заказчика проектные работы со строительными, что позволяет значительно сократить общие сроки строительства. Инженеры сопровождают реализацию своего проекта на протяжении всего этапа строительства для оперативного решения возникающих вопросов с учетом запросов заказчика.

Организационная структура управления ООО «ДонСтрой» - линейно-функциональная. Существуют линейные подразделения по основному производству (строительные участки №1 и № 2) и функциональные подразделения в зависимости от выполняемой функции (производственно-технический отдел, бухгалтерия, отдел персонала), вспомогательные производственные подразделения (отдел снабжения, производственная база), которые обслуживают линейные подразделения.

СПИСОК ИСПОЛЬЗОВАННЫХ ИСТОЧНИКОВ

1.  Ансофф И. Стратегический менеджмент. - СПб.: Питер, 2009. - 344 с.

2.       Васильева Е.С. Понятие производственной структуры и ее составные элементы // Справочник экономиста. - 2010. -№1. - С. 17-22.

.        Введение в теорию управления организационными системами / Бурков В.Н., Коргин Н.А., Новиков Д.А. - М.: Либроком, 2009. - 264 с.

.        Виханский О.С. Стратегическое управление: Учебник. - М.: Гардарика, 2003. - 292 с.

.        Друкер П.Ф. Энциклопедия менеджмента.: Пер. с англ. - М.: Вильямс, 2004. - 432 с.

.        Игнатов В.Г., Албастова Л.Н. Теория управления: Курс лекций. - М.: МарТ, 2006. - 464 с.

.        Инвестиционно-строительный менеджмент: Справочник / Г.В. Миронов, СП. Буркин, В.В. Шимов, Н.А. Бабайлов. Екатеринбург: ГОУ ВПО УГТУ-УПИ, 2005. - 225 с.

.        Кнорринг В.И. Теория, практика и искусство управления. - М.: Норма, 2007. - 528 с.

.        Лапыгин Ю.Н. Теория организации. - М.: ИНФРА-М, 2008. - 311 с.

.        Либкинд Е.В., Рябикова Н.Е., Чепурин В.А. Организационные структуры управления. Оренбург, 2003. - 74 с.

.        Румянцева З.П. Общее управление организацией. Теория и практика: Учебник. - М.: Инфра-М, 2007. - 304 с.

.        Теория и практика управления в строительстве: темат. сб. науч. тр. Вып. 2 / под ред. д-ра экон. наук, проф. А. А. Петрова. - СПб.: Стройиздат СПб, 2008. - 162 с.

.        Теория организации: учебник / Под ред. Д.Б. Олянич. - Ростов н/Д.: Март, 2008. - 285 с.

.        Управление организацией: Учебник / Под ред. А.Г. Поршнева, З.П. Румянцевой, Н.А. Саломатина. - М.: Инфра-М, 2008. - 694 с.

.        Яськов Е.Ф. Теория организации. - М.: Юнити-Дана, 2010. - 462 с.


Не нашли материал для своей работы?
Поможем написать уникальную работу
Без плагиата!
Без нейросетей!