Гидравлический расчет малых водопропускных сооружений на автомобильных дорогах
Содержание
Введение
. Гидравлический расчет дорожной канавы
.1 Определение нормальной глубины канавы
.2 Определение критической глубины и критического уклона в
подводящем русле
.3 Анализ состояния потока
. Гидравлический расчет безнапорных труб
.1 Определение диаметра трубы
.2 Определение критической глубины
.3 Определение критического уклона
Заключение
Список использованной литературы
Приложение
Введение
Прочность и устойчивость земляного полотна в значительной степени зависят
от наличия и исправности водоотводных сооружений и устройств. Угол внутреннего
трения грунта, сила сцепления, способность его выдерживать нагрузки при
намокании значительно уменьшаются. При превышении определенной скорости течения
вода может размывать земляное полотно, поэтому необходимо принимать меры по
предотвращению намокания грунтов и размыва земляного полотна. Эти меры
заключаются в том, что прежде всего обеспечивают надежный сток поверхностных
вод.
Цель курсовой работы - произвести гидравлический расчет малых
водопропускных сооружений на автомобильных дорогах.
Задача данной курсовой работы заключается в нахождении нормальной и
критической глубины и критического уклона канавы для определения состояния
потока, а также научиться определять диаметр круглых дорожных труб при укладке
ее с продольным уклоном, равным критическому.
1.
Гидравлический расчет дорожной канавы
Дорожные канавы устанавливаются для пропуска, перехвата и отвода
поверхностных (ливневых и талых) вод и выходящих на поверхность грунтовых вод.
Дорожная канава должна иметь выход в пониженное место, и вода в ней не
должна застаиваться. Размеры канавы должны соответствовать количеству
протекающей в ней воды, а уклон и тип крепления канавы обеспечивать отсутствие
размыва и заиления.
Гидравлический расчет дорожных канав производится для установившегося
равномерного движения, т.е. при постоянных гидравлических элементах потока
(расхода, скорости и глубины), с определенным постоянным уклоном на русла,
который назначают соответствующим рельефу местности, степени размываемости
грунта или типа укрепления русла, при этом уклон дорожных водоотводных канав
должен быть не менее 0,003, на болотах, речных поймах и в других
затруднительных случаях 0,002 (в исключительных случаях 0,0001).
Очертания поперечного сечения канавы может быть как с произвольным
соотношением потока и ширины русла, так и с гидравлически наивыгоднейшим.
При расчете дорожных канав заданными являются расход воды Q, м/с, определяемый методами
гидрологии, продольный уклон русла i, тип грунтов местности, в зависимости от которого выбирается допускаемая
не размывающая скорость течения воды, коэффициент заложения откоса m, коэффициент шероховатости n, относительная ширина канала по низу
β.
Расчетами определяется ширина русла по дну b, глубина наполнения h0, необходимый тип укрепления, если скорость равномерного
движения в неукрепленном земляном канале превосходит допускаемую Vдоп.
Расчет канала производится по формуле Шези.
Q = ω ٠
С ٠ √R i
где ω = b ٠ h2o + m ٠ ho - площадь поперечного сечения трапецеидального канала;
С - коэффициент Шези, определяемый по эмпирическим зависимостям
R = ω/χ - гидравлический радиус
χ - смоченный периметр
трапецеидального русла;
i -
уклон канавы
Задача по определению b и hо решается графо- аналитическим способом.
1.1 Определение нормальной глубины канавы
. Найдем заданный модуль расхода
з = 0,9 / √ 0,003 ≈ 16,36
По исходным данным
|
Ширина канавы по дну , мУклон дна канавы Расход
воды , м3/cКоэффициент заложения откоса канавы Коэффициент шероховатости русла
|
|
|
|
|
|
0,7
|
0,003
|
0,9
|
2,5
|
0,25
|
составляется таблица 1 по форме, в которой, задаваясь рядом значений h вычислим соответствующие значения b и Кз:
Таблица 1
|
№
|
h, м
|
b = β * h, м
|
м2
|
м
|
м
|
м
|
м3/с
|
|
|
1
|
1
|
0,385
|
0,385
|
2,885
|
5,770
|
0,5
|
3,563
|
7,268
|
|
2
|
1,2
|
0,385
|
0,462
|
4,154
|
6,924
|
0,6
|
3,673
|
11,818
|
|
3
|
1,4
|
0,539
|
5,655
|
8,078
|
0,7
|
3,769
|
17,832
|
|
4
|
1,6
|
0,385
|
0,616
|
7,386
|
9,232
|
0,8
|
3,853
|
24,454
|
|
5
|
1,8
|
0,385
|
0,693
|
9,347
|
10,386
|
0,81
|
3,861
|
32,480
|
где b -
относительная ширина канала по дну, м; Q - расход воды в канале [м3/с];
w - площадь живого сечения, м2;
С - коэффициент Шези; R - гидравлический радиус, м, c - смоченный периметр, м;
Строится график зависимости К = f(h):
По графику находим искомую глубину h0:
h0 = 1,33 м
Определяем
площадь поперечного сечения канавы по известной глубине
h0
:
ω = b 
h
+ n 
h2 = 0.7 
1, 33 +
0.25 
1.332 = 0.81 + 1.26 = 1.373 м2
6 Находим среднюю скорость равномерного движения воды:
V = Q/ω = 0.338 ≈ 0.655 м/с
1.2 Определение критической глубины и критического уклона
в подводящем русле
Критическая глубина определяется из соотношения

,
где

, 
-
соответственно площадь живого сечения и ширина потока по свободной поверхности
при глубине потока, равной критической.
Для
русел произвольного поперечного сечения критическая глубина может быть
определена подбором. Задаваясь глубинами 
,
вычисляют соответственные значения 
, которые
сравниваются с постоянной для условий расчета величиной 
, при
соблюдении равенства 
искомая
глубина h = hk
1
Для построения графика зависимости 
= f(h),
составим таблицу 2
Таблица
2
|
№ п/п
|
hзад
|
В = ω/h,
мω = b h + m h2ω3
|
ω3/B
|
|
|
|
1
|
0,1
|
1.373
|
3.20
|
32.768
|
23,865
|
|
2
|
0,2
|
1,144
|
4.44
|
87.528
|
76,510
|
|
3
|
0,3
|
0,981
|
5.74
|
189.119
|
192,782
|
|
4
|
0,4
|
0,858
|
7.52
|
425.259
|
495,639
|
|
5
|
0,762
|
9.36
|
820.025
|
1076,148
|
2
Составим график зависимости 
= f(h):

3 Определение критической глубины:
Для русел прямоугольного поперечного сечения:

=
0,37 м
где
m - коэффициент заложения откоса канала
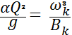
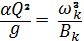
4 Определение критического уклона
Критический уклон определяется из соотношения:
Отсюда:

= 1, 069 ≈
1,07,
где
Q - расход воды, b - ширина
канала по дну, м, m - коэффициент заложения откоса, h
- глубина потока, м, n -
коэффициент шероховатости русла
1.3 Анализ состояния потока
Для анализа состояния потока в открытом русле сравним h и hкр.
При глубине потока h >
hкр (i > iкр) поток находится в бурном состоянии,
при глубине h < hкр (i < iкр) - поток в спокойном состоянии.
Исходя из того, что 1,33 > 0,37 можно делать вывод, что поток в
открытом русле находится в бурном состоянии.
2.
Гидравлический расчет безнапорных труб
Безнапорные трубы проектируют так, чтобы подпертый горизонт был ниже
наивысшей точки внутренней поверхности входного сечения трубы.
Это требование можно выразить формулой для полного напора
H0=S0 A
где S0 - степень наполнения трубы (она меньше единицы и
обычно задается нормами от 0,80 до 0,90), A - высота трубы.
Полный напор согласно уравнению Бернулли :
где

-
коэффициент Кориолиса;

-
средняя скорость по сечению, м/с
Круглые
трубы (рис.1) :
Рис.1
Для
круглых труб площадь живого сечения при глубине 
может
быть определена по формуле

,
тогда
А = 
.1
Определение диаметра трубы
дорожная канава поток труба
По
следующим данным:
=
2 + N ٠ 0.001 = 2.009 м3/с

=0,9
hб= 0.6 + N ٠
0.001 = 0.609 м
S0 = 0.8 + N ٠ 0.001 = 0.81 м2
относительная длина трубы (L/H0) > (L0/H0),
при i0 = iкр от сжатого сечения, если труба
работает как незатопленный водослив с широким порогом, будет прямая подпора до
пересечения линии критической глубины, а далее движение равномерное с
критической глубиной (рис.2). За расчетное принимаем сечение с критической
глубиной, для которого ε= 1.
Рис. 2
Задаемся
степенью наполнения. При S0 = 0,81, 
0,9, K3K = 1.656
(по таблице приложения 1: «Расчетные коэффициенты для круглых безнапорных труб
по расчетному критическому сечению»)
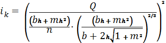
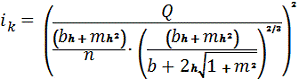
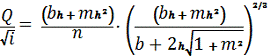
Определим диаметр трубы по формуле

= 1,656 ٠5
√(1 ٠
2,0092) / (9.81٠ 12) = 1,37 м
Принимаем
ближайший типовой диаметр
dT =
1,5 м
2.2 Определение критической глубины
Определим коэффициент К3к при dT = l,5 м:

= 
= 1,604
При

= 0,9 и
K3K
= 1,604 по приложению «Расчетные коэффициенты для круглых безнапорных труб по
расчетному критическому сечению» находим интерполяцией:
|
δ
|
K1k
|
K3k
|
K4k
|
|
82o 30`
|
0,57
|
1,6
|
2,62
|
|
86o 00`
|
0,54
|
1,67
|
2,56
|
δ = 86о00` - 1(86о00`
- 82о5`) / 5 = 85o18`
K1k =0.54 + 1(-0.54 - 0.57) / 5 = 0.546
K4k =2.56 + 1(-2.56 - 2.62) / 5 = 2.548
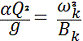
hкр= K1k٠ А =
0.546٠1.5
= 0,819 > hб=0,609 м - труба работает как свободный водослив.
Напор перед трубой по формуле:
Площадь поперечного сечения при δ =85o 18` и dт=1.5

k=0,573875 ≈ 0,57,0
Vк= Q/
k = 2.009 / 0.57 = 3.52456 ≈
3.52 м/с
2.3 Определение критического уклона
iк= K4k ٠g٠ n2 / α 3√А = 2.548 ٠9,81٠0,0162 / 0.33 = 0.019
при n=0,016 для бетонной поверхности.
Заключение
В данной курсовой работе был произведен гидравлический расчет малых
водопропускных сооружений на автомобильных дорогах, где графо-аналитическим
способом рассчитана нормальная (h=1.33м)
и критическая (hk=0.37м)
глубины дорожной канавы, критический уклон (i = 1.07) дорожной канавы, с помощью которых мы определили
площадь поперечного сечения канавы и скорость равномерного движения воды в
канале, также при искомой глубине и уклоне определили состояние потока как
бурное.
Во второй задаче мы определили диаметр круглой безнапорной дорожной
трубы, с помощью которого были рассчитаны критическая глубина потока, площадь
сечения, напор перед трубой и критический уклон.
Список
использованной литературы
1. Большаков
В.А., Курганович А.А. Гидрологические и гидравлические расчеты малых дорожных
сооружений. - Киев: Вища щкола, 1983. - 280 с.
. Руководство
по гидравлическим расчетам малых искусственных сооружений / Под ред. Г.Я.
Волченкова. - М.: Транспорт, 1974. - 270 с.
. Сборник
задач по гидравлике / Под ред. Большакова. - 4-е изд. - Киев: Вища школа, - 335
с.
. Справочник
по гидравлике / Под ред. В.А. Большакова. - Киев: Вища школа. 1977. - 312 с.
. Ухин Б.В.
Гидравлика: учебное пособие - М: ИД «Форум»-ИНФРА-М. 2009. - 464 с.
. Ухин Б.В.,
Гусев А.А. Гидравлика. Уч. для вузов. /- М: ИНФРА-М. 2010. - 432 с.
. Ухин Б.В.,
Мельников Ю.Ф. Инженерная гидравлика. / Учебное пособие. - М: Издательство АСВ,
2011.-344 с.
Приложение
«Расчетные коэффициенты для круглых безнапорных труб по расчетному
критическому сечению»