Вывод телеграфных уравнений для однопроводной линии

  • Вид работы:
    Курсовая работа (т)
  • Предмет:
    Физика
  • Язык:
    Русский
    ,
    Формат файла:
    MS Word
    264,93 Кб
  • Опубликовано:
    2012-11-19
Вы можете узнать стоимость помощи в написании студенческой работы.
Помощь в написании работы, которую точно примут!

Вывод телеграфных уравнений для однопроводной линии

Введение

Электронные подсистемы на самолетах, спутниках и в наземных электронных системах обычно связываются однопроводными кабельными линиями. Эти проводники могут быть подвержены влиянию внешних электромагнитных полей, т.е. излучению мощных радарных установок, электромагнитному импульсу ядерных взрывов. Воздействующие поля часто бывают неоднородны вдоль кабеля. Если кабель близко расположен к центру взрыва, изменяющаяся во времени проводимость окружающей среды может оказать значительное влияние на результат воздействия.

В данной работе будут выведены телеграфные уравнения для однопроводной линии, расположенной в однородной среде и подверженной действию импульсного неоднородного поля. С целью учета изменяющейся во времени проводимости воздуха используется временное представление, поскольку меняющаяся во времени проводимость усложняет применение преобразований Фурье.

Необходимо получить частотный отклик однопроводной линии, возбуждаемой неоднородным полем. Задача решается путем обобщения результатов, полученных на случай однопроводной линии, при этом пренебрегается проводимостью среды, окружающей проводники.

Телеграфные уравнения включают как электрические, так и магнитные распределенные источники. При этом магнитные поля входят в уравнение через временные производные. В работе указывается два возможных варианта телеграфных уравнений в зависимости от способа представления наведенных в линии напряжений. Один из этих вариантов значительно более удобен при выполнении численных расчетов во временной области.

1.   Длинная линия

Длинная линия - регулярная линия электропередачи, длина которой превышает длину волны колебаний, распространяющихся в ней, а расстояние между проводниками, из которых она состоит, значительно меньше этой длины волны. Характерной особенностью длинных линий является проявление интерференции двух волн, распространяющихся навстречу друг другу. Одна из этих волн создается подключенным к линии генератором электромагнитных колебаний, и называется падающей. Другая волна называется отражённой, и возникает из-за отражения падающей волны от нагрузки, подключенной к противоположному концу линии. Все разнообразие процессов, происходящих в длинной линии, определяется амплитудно-фазовыми соотношениями между падающей и отраженной волнами.

Рис. 1. Двухпроводная длинная линия ZН = RН + iXН - комплексное сопротивление нагрузки; z - продольная координата линии, отсчитываемая от места подключения нагрузки.

Из электродинамики известно, что линия передачи может быть охарактеризована ее погонными параметрами:

R1 - погонное сопротивление, Ом/м;

G1 - погонная проводимость, 1/Ом·м;

L1 - погонная индуктивность Гн/м;

C1 - погонная ёмкость Ф/м;

 


Погонные сопротивление R1 и проводимость G1 зависят от проводимости материала проводов и качества диэлектрика, окружающего эти провода, соответственно. Согласно закону Джоуля - Ленца, чем меньше тепловые потери в металле проводов и в диэлектрике, тем меньше R1 и больше G1. (Уменьшение активных потерь в диэлектрике означает увеличение его сопротивления, так как активные потери в диэлектрике - это токи утечки. Для модели используется обратная величина - погонная проводимость G1.)

Погонные индуктивность L1 и емкость C1 определяются формой и размерами поперечного сечения проводов, а также расстоянием между ними.

А  и - погонные комплексные сопротивление и проводимость линии, зависящие от частоты .

2.   Телеграфные уравнения для многопроводной линии

На рис. 2 изображена передающая линия, состоящая из n+1 проводника. Относительно проводника с индексом «0» отсчитываются все напряжения. Примерами такого проводника являются земля или экран. Предположим, что линия однородна вдоль длины ( в направлении оси z) и имеет произвольное поперечное сечение. Проводник с индексом «j» имеет радиус  и расположен на расстоянии  от проводника «0». Окружающая проводники среда характеризуется параметрами .

Относительно воздействующих полей не делается никаких предположений, т.е. в качестве воздействующего может быть произвольное неоднородное поле, которое удовлетворяет уравнение Максвелла.

Уравне́ния Ма́ксвелла - система дифференциальных уравнений, описывающих электромагнитное поле и его связь с электрическими зарядами и токами в вакууме и сплошных средах. Вместе с выражением для силы Лоренца образуют полную систему уравнений классической электродинамики.

Уравнения, сформулированные Джеймсом Клерком Максвеллом на основе накопленных к середине XIX века экспериментальных результатов, сыграли ключевую роль в развитии представлений теоретической физики и оказали сильное, зачастую решающее, влияние не только на все области физики, непосредственно связанные с электромагнетизмом, но и на многие возникшие впоследствии фундаментальные теории, предмет которых не сводился к электромагнетизму (одним из ярчайших примеров здесь может служить специальная теория относительности).

Нас интересует задача определения напряжений и токов, наведенных в линии и на нагрузках. По концам линии между любой парой проводников может быть включены произвольные импедансные нагрузки. Для вывода первого телеграфного уравнения рассмотрим 1-е уравнение Максвелла:

 

которое в интегральном виде будет:

                         (2)

Здесь  - прямоугольная поверхность в плоскости , ограниченная контуром , отмеченным на рисунке пунктиром.

;

 - единичный вектор, проходящий через ось z и линию, соединяющую центры проводников с индексами 1 и 0.

В уравнении (2) электрическое и магнитное поля являются функциями  и представляют полные поля, т. е. они состоят из падающего и рассеянного полей. Рассеянные поля обусловлены наведенными в проводнике токами. Интегрируя (2), получим:

                                                                    (3)

- это продольная составляющая полного электрического поля,  - это вертикальная компонента полного поля на проводнике, а  - составляющая полного магнитного поля, перпендикулярная плоскости, образованной осью z и линией, соединяющей центры проводников с индексами i и 0.

Переходя в (3) к пределу при , получим:

 (4)

Представим поля в виде падающего и рассеянного полей:

 (5)

 

 

 

В терминах падающего и рассеянного полей уравнение (4) преобразуется к виду:

 (6)

Уравнение (6) является точным в том смысле, что не делалось никаких приближений. Для того, чтобы получить телеграфные уравнения, необходимо величины, стоящие в левой части уравнений связать с токами и напряжением в линии.

Если наведенные в проводах токи текут в основном параллельно оси линии, рассеянные поля будут поперечно-магнитными.

Поперечно-магнитная волна обладает следующими свойствами:

)     Линейный интеграл от электрического поля между двумя точками в поперечной плоскости не зависит от выбора контура интегрирования.

2)      Магнитный поток через поверхность, ограниченную некоторым контурами расположенную в плоскости z = const не зависит от выбора контура, ограничивающего одинаковую по площади поверхность.

Свойство (1) показывает, что поперечное напряжение определяется однозначно. Поэтому рассеянное напряжение на 1-м проводнике относительно нулевого определяется следующим образом:

 (7)

Благодаря второму свойству можно определить индуктивность.

Тогда индуктивность на единицу длины и током в проводнике в данной точке выражается формулой:

 (8)

Подставляя (7) и (8) в (6), получим:

 (9)

Следует отметить, что напряжение  в (9) является рассеянным. Чтобы получить полное напряжение необходимо добавить напряжение, обусловленное падающим полем.

Полное поле должно быть связано с током, наведенным в линии.

Такую взаимосвязь нетрудно установить в частотной области, где возможно определить импеданс проводника.

 (10)

Здесь  - фурье-образы поля и тока,  - внутренний импеданс проводника на единицу длины. Возможны два представления внешнего источника в первом телеграфном уравнении. В первом случае правая часть уравнения содержит магнитную и вертикальную составляющие воздействующего поля. Во втором - правая часть уравнения содержит только продольное электрическое поле. Это второе представление получается из первого. Так, подставляя (1) в (9), получим уравнение (11):

 (11)

Если предположить, что внутренний импеданс проводника не изменяется с частотой, т.е.

 (12)

где  - внутреннее сопротивление проводников (в том числе и обратного провода, относительно которого отсчитывается напряжение), то уравнение (11) приводится к виду:

 (13)

Здесь учтено, что индуктивность постоянна, поэтому  вынесено из под знака дифференцирования.

Уравнение (13) является одним из телеграфных уравнений. Следует подчеркнуть, что оно является более удобным при численных расчетах, нежели уравнение (9). Теперь рассмотрим более простой случай, а именно вывод телеграфного уравнения для однопроводной линии.

3.   Телеграфные уравнения для однопроводной линии

Еще одним наиболее распространенным методом является метод характеристик.

Рассмотрим подробно этот метод.

Метод характеристик (англ. Method of characteristics) - метод решения дифференциальных уравнений в частных производных. Обычно применяется к решению уравнений в частных производных первого порядка, но он может быть применен и к решению гиперболических уравнений более высокого порядка. Метод заключается в приведении уравнения в частных производных к семейству обыкновенных дифференциальных уравнений.

Метод заключается в отыскании кривых (именуемых характеристиками), вдоль которых уравнение в частных производных превращается в обыкновенное дифференциальное уравнение. Как только найдены обыкновенные дифференциальные уравнения, их можно решить вдоль характеристик и найденное решение превратить в решение исходного уравнения в частных производных.

Рассмотрим следующее квазилинейное уравнение относительно неизвестной функции

телеграфный уравнение линия передача

.

 (1)

Рассмотрим поверхность  в R3. Нормаль к этой поверхности задается выражением:

 

В результате получим, что уравнение (1) эквивалентно геометрическому утверждению о том, что векторное поле:


является касательным к поверхности  в каждой точке.

Также уравнения характеристик могут быть записаны в виде :


или же, если  есть функции параметра t:

3.2 Вывод телеграфных уравнений

Система телеграфных уравнений имеет вид:

 (2)

где U, I - значения тока в метеллопокрове и падения напряжения в цепи «металлопокров-земля».

L, R - индуктивность и сопротивление цепи «металлопокров - земля» на единицу длины кабеля.

C, G - емкость и поперечная проводимость цепи «металлопокров - земля».

E(x,t) - распределенный источник ЭДС, численно равный проекции электрического поля на ось линии кабеля.

Единственным допущением при выводе телеграфных уравнений (2) является предположение о том, что поперечный размер оболочки кабеля значительно меньше, чем его продольный размер и характерная длина волны падающего излучения.

Учитывая большие затраты машинного времени на решение уравнений вида (1) на практике применим метод, основанный на решении уравнений (2) в частной или временной областях. В работе показано, что полученное при этом решение с достаточной точностью, соответствующей точному решению уравнения вида (1).

Математическая модель взаимодействия ЭМП с сетью кабельных линий в грунте описывается матричной системой двух телеграфных уравнений вида:

 (3)

Рассмотрим метод решения системы (3) с заданными граничными условиями  и нулевыми начальными условиями.

В уравнениях (3) U,J - функции напряжения и тока. Через L,R,C,G - обозначены матрицы индуктивностей, сопротивлений, емкостей, поперечных проводимостей на единицу длины. E(x,t) - функция распределенного источника ЭДС.

Определим зависимость полных дифференциалов друг от друга:

 

Для дальнейшего преобразования полного дифференциала dU необходимо положить определенные условия на вид сетки конечно-разностной схемы.

Предположим, что  связаны соотношениями:

 

Тогда при движении из точки (i,n) сетки в точку (i+1/2,n+1/2) на прямой  выполняется соотношение:

 

При движении из точки (i+1,n) в точку (i+1/2,n+1/2) на прямой  выполняется соотношение:

 

Значения конечно-разностных аналогов функции J и V на полуцелом слое по времени при этом определяется следующим образом:

 

 

 

; .

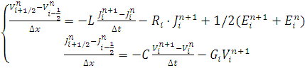
При известных значениях сеточных аналогов полуцелом слое систему (3) можно записать в виде:

  (4)

Уравнения (4) разрешимы относительно относительно переменных . Тем самым определены значения функций  на любом временном слое, если заданы граничные и начальные условия.

Данный метод решения носит название метод характеристик.

В уравнении (3) векторные функции тока и напряжения имеют N составляющих. При этом k-ая составляющая соответствует току и напряжению в цепи «металлопокров-земля». Матрицы L,R,C,G имеют размерность NN. Диагональные матрицы равны соответствующим параметрам одиночной линии (жила), а недиагональные члены характеризуют взаимное влияние параллельных кабелей (жил).

Элементы матриц могут быть заданы на основе эспериментально определяемых параметров.

В случае, если таковые отсутствуют, элементы матрицы индуктивностей рассчитываются по соотношению:

 

где  - собственный радиус кабеля (жилы).

δ - параметр, равный среднему значению толщины скин - слоя в грунте (внутреннему диаметру металлопокрова кабеля).

Матрица индуктивностей определяет матрицу емкостей:

 

Матрица поперечных проводимостей описывается через матрицу емкостей:

 

где σ и ε - проводимость и диэлектрическая проницаемость окружающего кабель грунта (внутреннего диэлектрика кабеля).

Заключение

В ходе проделанной работы можно сделать следующие выводы:

.     Выведены телеграфные уравнения во временном представлении для однородной однопроводной линии, расположенной в проводящей однородной среде и подверженной воздействию импульсного однородного электромагнитного поля.

2.       Показано, что в зависимости от способа определения напряжения в линии можно использовать два варианта исходных уравнений, описывающих наведенные в линии токи и напряжения.

.        Представлена конечно - разностная схема для численного решения телеграфных уравнений и приведены примеры численных расчетов.

Список использованной литературы

1.   Бессонов Л. А. «Теоретические основы электротехники»

2.       Фальковский О. И. «Техническая электродинамика»

.        Бахвалов Н. С. «Численные методы»

.        Самарский А. А. «Введение в численные методы»

.        Попов В. С. «Электротехника»

.        Иродов И. Е. «Электромагнетизм. Основные законы»

.        Кузнецов М. И. «Основы электротехники»

Похожие работы на - Вывод телеграфных уравнений для однопроводной линии

 

Не нашли материал для своей работы?
Поможем написать уникальную работу
Без плагиата!
Без нейросетей!