Акустические волны в среде с флуктуирующей плотностью
Введение
Аморфное состояние
формируется, как правило, из жидкого или парообразного в условиях сверхбыстрой
закалки, предотвращающей кристаллизацию. Отличительными особенностями такого
состояния являются отсутствие дальнего порядка в расположении атомов и неравновесность.
Структурный беспорядок аморфной фазы характеризуется флуктуациями величины
межатомных расстояний, а так же плотности вещества. Кроме того, в сплавах имеют
место флуктуации концентрации атомов различных компонентов (химический
беспорядок). В аморфном состоянии отсутствует точка плавления. При повышении
температуры аморфное вещество размягчается и переходит в жидкое состояние
постепенно. Эти особенности обусловлены отсутствием в аморфном состоянии так
называемого дальнего порядка- строгой периодической повторяемости в
пространстве одного и того же элемента структуры. В то же время у вещества в
аморфном состоянии существует согласованность в расположении соседних атомов-
так называемый ближний порядок, соблюдаемый в пределах первой координационной
сферы, и постепенно теряющийся при переходе ко второй и третей сферам, т.е.
соблюдающийся на расстояниях, сравнимых с размерами кристаллической ячейки. С
расстоянием согласованность уменьшается и через
5-10
исчезает
[1].
1. Акустические волны
Кристаллический и
ориентационный порядки сильно отличаются. Ориентация сохраняется на расстояниях
100-1000
,
когда кристаллический порядок разрушен. На рис. 1 условно изображена атомная
структура, в которой координаты атомов существенно стохастизуются уже при
расстояниях
,
а ориентация оси кристаллографической ячейки сохраняется примерно однородной на
гораздо больших расстояниях
. Такая модель (с
разными элементами стохастизованной кристаллической решетки, имеющими разные
корреляционные радиусы) существенно меняет представление о структуре аморфного
состояния.
Рис. 1. Условное
изображение модели атомной структуры аморфного вещества, в которой различным
параметрам стохастизованной решетки соответствуют различные радиусы корреляций.
Расстояния между атомами (черными кружками) стохастизованы на расстояниях
,
средняя ориентация элементарной ячейки (прямоугольники) имеет гораздо больший
радиус корреляций
.
Корреляционный радиус
экспериментально
определяется методами хорошо развитыми для кристаллических материалов
(рентгеновская, электронная, нейтронная спектроскопии). Для определения
корреляционных радиусов порядка 100-1000
потребовалось
обоснование и развитие новых методов исследования. Теоретически было показано,
что корреляционные радиусы крупномасштабных композиционных и структурных
неоднородностей должны проявляться в виде характерных особенностей на законах
дисперсии и затухании всех элементарных возбуждений твердого тела: спиновых,
упругих [2, 3], плазменных, и электромагнитных волн [4].
В данной работе
рассматриваются упругие волны, распространяющиеся в среде с флуктуирующей
плотностью. Решение задачи проводится методом, развитым в работе [2], однако
спектральные характеристики вычисляются в приближении Бурре.
2. Дисперсионное
соотношение для волн в неоднородной упругой среде
.1 Одномерный случай
Объемная плотность
лагранжиана для вектора упругого смещения
в сплошной одномерной
среде определяется выражением
, (1)
где первый и второй
член- плотность кинетической и потенциальной энергии, соответственно, G-
плотность вещества, A- константа взаимодействия. Уравнение движения имеет вид
. (2)
Для начала рассмотрим
случай, когда G и A постоянные величины, не зависящие от координаты.
,
,
(3)
. (4)
Получили уравнение
колебаний в привычном виде.
Положим, что плотность
вещества меняется в зависимости от координаты
, а константа
взаимодействия остается постоянной.
,
,
(5)
. (6)
Удобно переписать
,
где G- средняя плотность,
-
среднеквадратичная флуктуация плотности,
- безразмерная случайная
функция с математическим ожиданием, равным нулю
, и дисперсией
.
Угловые скобки означают усреднение по ансамблю реализаций случайных функций.
. (7)
Положим, что константа
взаимодействия меняется в зависимости от координаты
,
а плотность вещества остается постоянной. Сразу заменим
, (8)
,
,
(9)
. (10)
В большинстве реальных
материалов, преобладает неоднородность какого-то одного физического параметра.
Поэтому мы здесь не будем рассматривать случай одновременных флуктуаций A и G.
Рассмотрим уравнение
колебаний (7) с неоднородной плотностью G(x).
Выполним в (7)
преобразование Фурье
. (11)
В (11) после
интегрирования по
возникает
свертка.
, (12)
где
.
(13)
Введем обозначения
,
,
(14)
тогда уравнение (12)
перепишется в виде
. (15)
Если положить
(
),
т.е. плотность среды однородная, то уравнение (15) принимает вид
. (16)
Поскольку амплитуда
упругой
волны отлична от нуля, то уравнение (16) выполняется при
.
Решение этого дисперсионного уравнения дает линейный закон дисперсии волны
, (17)
где
-
скорость звука,
-
волновой вектор возбуждений.
В случае неоднородной
плотности, закон дисперсии должен некоторым образом модифицироваться. Получим
эту модификацию на основе теории возмущений, считая параметр
.
Запишем формальное
решение уравнения (15)
. (18)
Подставим это решение в
подинтегральное выражение уравнения (15), получим
. (19)
Учитывая, что
, (20)
усредним по случайным
реализациям
. (21)
Приближенно расцепляем
коррелятор
. (22)
Для однородной случайной
функции справедливо
,
или
, (23)
где
-
спектральная плотность корреляционной функции. Подставим (23) в (21)
, (24)
выполним интегрирование
по
,
получим
. (25)
Таким образом получено
дисперсионное уравнение в приближении Бурре (25) для усредненной волны.
Дисперсионное
соотношение несет информацию о спектральной плотности
,
т.е. о корреляционной функции
флуктуирующего в
пространстве параметра плотности среды.
Для оценок выберем
экспоненциальную корреляционную функцию и связанною с ней преобразованием Фурье
спектральную плотность (см. приложение 1).
;
,
(26)
где
-
характерное волновое число (2/
характерный размер
неоднородности,
-
радиус корреляций случайной функции
, описывающей
неоднородности); D- дисперсия
(в нашем случае D=1 по
определению).
Подставим (26) и (14) в
(25), получаем
. (27)
Введем обозначения
.
Тогда уравнение (27) примет вид
(28)
или
Из граничных условий
,
где
-
действительные и положительные числа, а k- действительное волновое число,
определяемое размерами образца.
Под интегралом будем
считать
-
действительным. В соответствии с выбранной формой преобразования Фурье имеем

. (30)
С учетом (30) введем
обозначение
. (31)
Этот интеграл вычислим
методом вычетов вводя комплексную переменную Z. Контур представлен на рис. 2.
.
Рис. 2. Контур
интегрирования. Обход против часовой стрелки
Особые точки- полюсы
первого порядка. В результате имеем
. (32)
Подставив (32) в
уравнение (29), получим
. (33)
Решая это уравнение
получим модифицированный закон дисперсии и затухания волны в приближении Бурре.
Удобно работать с
безразмерными величинами. Введем обозначение
,
.
Тогда (33) принимает вид
. (34)
Как было указано выше,
,
.
Тогда уравнение (34) от комплексной переменной
, можно представить в
виде системы двух уравнений
(35)
Получили нелинейную
систему уравнений, которую можно решать численно. Эта система была решена двумя
способами: с помощью вложенного в Maple 10 численного метода решения систем
уравнений и метода релаксации (см. приложение 2). Совпадение получилось до
шестого знака.
Если в правой части (33)
положить
как
это делалось в работах [2], (разложение Релея-Шредингера), то имеем
. (36)
Таким образом, для
модифицированного закона дисперсии упругой волны получаем простое выражение,
, (37)
совпадающее с
соответствующим выражением в работе [2].
В безразмерных величинах
(36) принимает вид
. (38)
На рис. 3 приведены
кривые: сплошные- приближение Бурре (решение системы (35)), штриховые-
приближение Релея- Шредингера, точечная прямая- линейный закон дисперсии. Было
взято
.
Рис. 3. Дисперсионные
соотношения. Сплошные кривые- приближение Бурре (решение системы (35)),
штриховые кривые- приближение Релея- Шредингера, точечная прямая соответствует
невозмущенному дисперсионному соотношению.
.
.2 Трехмерный случай
Уравнение колебаний для
трехмерного вектора упругого смещения в сплошной среде с флуктуирующей
плотностью имеет вид
. (39)
Выполним в (39)
преобразование Фурье
. (40)
В (40) после
интегрирования по
возникает
свертка.
, (41)
где
. (42)
В обозначениях (14),
уравнение (41) примет вид
. (43)
Так же, как и в
одномерном случае модификацию закона дисперсии будем получать на основе теории
возмущений, считая параметр
.
Запишем формальное
решение уравнения (43)
. (44)
Подставляя это решение в
подинтегральное выражение уравнения (43), получим
. (45)
Учитывая, что
, (46)
усредним (45) по
случайным реализациям
. (47)
Расцепив коррелятор и
выполнив интегрирование по
получим
. (48)
Для оценок выберем
экспоненциальную корреляционную функцию и связанною с ней преобразованием Фурье
спектральную плотность (см. приложение 1)
;
,
(49)
Подставляя (49) и (14) в
(48), получаем
. (50)
Выполнив интегрирование
в (50) по угловым переменным, используя сферическую систему координат, получим
. (51)
Так же как и в
одномерном случае 
.
Введем обозначение
. (52)
Этот интеграл вычислим
методом вычетов. Контур представлен на рис. 3.
.
Рис. 4. Контур
интегрирования. Обход против часовой стрелки
Особые точки- полюсы
первого порядка. В результате имеем
. (53)
акустическая волна
флуктуирующая плотность
Подставив (53) в
уравнение (51), получим
. (54)
Решая это уравнение
получим модифицированный закон дисперсии и затухания волны в приближении Бурре.
Перепишем (54) в
безразмерных величинах.
. (55)
(56)
Получили нелинейную
систему уравнений, которую можно решать численно. Эта система была решена с
помощью вложенного в Maple 10 численного метода решения систем уравнений.
Если в правой части (54)
положить
(разложение
Релея-Шредингера), то имеем
. (57)
Таким образом, для
модифицированного закона дисперсии получаем простое выражение, совпадающее с
соответствующей формулой в [2].
. (58)
В безразмерных величинах
(57) принимает вид
. (59)
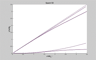
На рис.5 приведены
кривые: сплошные- приближение Буре (решение системы (56)), штриховые-
приближение Релея- Шредингера, точечная прямая- линейный закон дисперсии. Было
взято
.
Рис. 5. Дисперсионные
соотношения. Сплошные кривые- приближение Бурре (решение системы (56)),
штриховые кривые- приближение Релея- Шредингера, точечная прямая соответствует
невозмущенному дисперсионному соотношению.
.
Заключение
Рассмотрим пределы
применимости полученных законов дисперсии. Приближение сплошной среды (39)
применимо при условии
, (60)
где
-
межатомное расстояние. Приближенное решение интегрального уравнения (43) было
получено при условии малости возмущений
. (61)
Приближение
Релея-Шредингера накладывает условие связанное с требованием малости затухания.
В трехмерном случае, как это следует из выражения (57) имеем
. (62)
Численное решение в
приближении Бурре дало меньшее затухание в области
.
Значит это приближение применимо в более широкой области значений
,
определяемой только неравенствами (60) и (61).
Необходимо так же
отметить, что закон дисперсии в приближении Бурре имеет точку излома при
больших значениях волнового вектора k (см. рис. 3,5), чем в приближении
Релея-Шредингера. При обработке эксперимента с использованием этой
теоретической кривой могут получиться другие значения корреляционного радиуса.
Приложение 1
Корреляционные функции
Аморфный магнетик
является стохастической системой, параметры которой (намагниченность, константа
обмена и т.п.) есть случайные функции координат. Как известно, характеристики
случайной функции координат
представляют собой
неслучайные функции- моменты различного порядка. Основные из них: момент
первого порядка- математическое ожидание
и центрированный момент
второго порядка- корреляционная функция
(1.1)
где
-
центрированная случайная функция.
Параметры аморфного материала
описываются однородными случайными функциями, для которых корреляционные
функции зависят только от модуля разности координат
.
Здесь мы будем иметь дело только с однородными случайными функциями. В
пространстве волновых векторов
эквивалентном
корреляционной функции является связанная с ней преобразованием Фурье
спектральная плотность
, (1.2)
где
.
Спектральная плотность
связана
с трансформантой Фурье
флуктуации
следующим
соотношением (мы будем обозначать трансформанты Фурье случайных функций теми же
буквами, что и сами функции):
. (1.3)
Корреляционная функция
(или
спектральная плотность
)
является основной характеристикой стохастичности в системе, ибо она описывает и
величину флуктуаций случайной функции (дисперсию
или среднеквадратичное
отклонение
),
и характерный пространственный размер флуктуаций (радиус корреляций
).
Расчет и измерение корреляционной функции каждого флуктуирующего параметра (и
функции взаимной корреляции при флуктуации нескольких параметров) есть основная
задача при изучении любой стохастической системы.
В данной работе, для
оценок была выбрана экспоненциальная корреляционная функция и связанная с ней
преобразованием Фурье спектральная плотность. В одномерном случае функции имеют
вид
;
.
(1.4)
Их вид представлен на
рис. 6. В трехмерном случае
;
.
(1.5)
Рис. 6. Корреляционная
функция случайной функции
и
спектральная плотность
(1.4).
Одномерный случай
Рис. 7. Спектральная
плотность
(1.5).
Трехмерный случай
Приложение 2
Метод релаксации для
решения систем нелинейных уравнений
Дана система уравнений
,
или подробно
. (2.1)
Начальное приближение
.
. (2.2)
Когда
,
то
-
начальное приближение.
Когда
,
то
-
решение системы.
Перепишем систему (2.2)
через индексы
,
.
(2.3)
Полагая что переменные
зависят
от
,
,в
(2.3) возьмем производную по
от левой и правой
части, получим
. (2.4)
Обозначим
.
(2.5)
Так как
функция
от независимых переменных, то можно перейти к частным дифференциалам. Из
элементов (2.5) можно составить матрицу размерности n на n.
. (2.6)
В (2.4) явно распишем
скалярное произведение
. (2.7)
Подставив (2.6) в (2.7),
получим
, (2.8)
или
. (2.9)
Умножим левую и правую
часть в (2.9) на
слева
(2.10)
Требование
.
Система дифференциальных
уравнений (2.10) решается методом Рунге- Кутта четвертого порядка. Разностная
схема для уравнения
, (2.11)
имеет вид
(2.12)
(2.13)
(2.14)
(2.15)
Литература
1. Займан Дж. Модели беспорядка. М.: “Мир”, 1982г.
. Игнатченко В. А., Исхаков Р. С. Стохастическая магнитная
структура и спиновые волны в аморфном ферромагнетике. Сб. Физика магнитных
материалов. Новосибирск: “Наука”, 1983. Стр. 3-30.
. Хандрих К., Кобе С. Аморфные ферро- и ферримагнетики. М.:
“Мир”, 1982г.
. Игнатченко В. А., Исхаков Р. С. Стохастические свойства
неоднородностей аморфных магнетиков. Сб. Магнитные свойства кристаллических и
аморфных сред. Новосибирск: “Наука”, 1989. Стр. 128-144.