Инвестиционная политика организаций

  • Вид работы:
    Курсовая работа (т)
  • Предмет:
    Финансы, деньги, кредит
  • Язык:
    Русский
    ,
    Формат файла:
    MS Word
    1,6 Мб
  • Опубликовано:
    2012-09-03
Вы можете узнать стоимость помощи в написании студенческой работы.
Помощь в написании работы, которую точно примут!

Инвестиционная политика организаций

Федеральное агентство морского и речного транспорта

Федеральное государственное образовательное учреждение

высшего профессионального образования

Волжская государственная академия водного транспорта

Кафедра "Финансы и кредит"






Курсовая работа

по дисциплине "Финансы организаций"

на тему "Инвестиционная политика организаций"


Выполнил студент

группы Ф-46 Хайрова Д.А.

Руководитель: Самойлова И.П.





Н.Новгород

Содержание

1. Понятие инвестиций и инвестиционной политики, цели и принципы инвестиционной политики предприятия

. Методы оценки эффективности инвестиционных проектов

3. Инвестиционный климат в России

Список использованной литературы

1. Понятие инвестиций и инвестиционной политики, цели и принципы инвестиционной политики предприятия

Финансовые ресурсы предприятия направляются на финансирование текущих расходов и на инвестиции, представляющие собой использование финансовых ресурсов в форме долгосрочных вложений капитала в целях увеличения активов и получения прибыли. Термин инвестиции происходит от латинского слова "invest", что означает "вкладывать".

Инвестиции - совокупность долговременных затрат финансовых, трудовых и материальных ресурсов в целях увеличения активов и прибыли. Это понятие охватывает и реальные инвестиции (капитальные вложения), и финансовые (портфельные) инвестиции /1/.

В законе РФ "Об инвестиционной деятельности в Российской Федерации, осуществляемой в форме капитальных вложений" от 25 февраля 1999 г. № 39-ФЗ дается следующее определение инвестициям: "…инвестиции - денежные средства, ценные бумаги, иное имущество, в том числе имущественные права, иные права, имеющие денежную оценку, вкладываемые в объекты предпринимательской и (или) иной деятельности в целях получения прибыли и (или достижения полезного эффекта".)

Инвестиции обеспечивают динамичное развитие предприятия и позволяют решать следующие задачи:

·          расширение собственной предпринимательской деятельности за счет накопления финансовых и материальных ресурсов;

·        приобретение новых предприятий;

·        диверсификация вследствие освоения новых областей бизнеса.

Расширение собственной предпринимательской деятельности свидетельствует о прочных позициях предприятия на рынке, наличии спроса на выпускаемую продукцию, производимые работы или оказываемые услуги.

В качестве инвестиций могут выступать:

) денежные средства, целевые банковские вклады, паи, акции, облигации и другие ценные бумаги;

) движимое и недвижимое имущество (здания, сооружения, машины, оборудование и др.);

) объекты авторского права, лицензии, патенты, ноу-хау, программные продукты, технологии и другие интеллектуальные ценности;

) права пользования землей, природными ресурсами, а также любым другим имуществом.

Любые инвестиции связаны с инвестиционной деятельностью предприятия, которая представляет собой процесс обоснования и реализации наиболее эффективных форм вложений капитала, направленных на расширение экономического потенциала предприятия. Для осуществления инвестиционной деятельности предприятия вырабатывают инвестиционную политику. Эта политика является частью стратегии развития предприятия и общей политики управления прибылью. Она заключается в выборе и реализации наиболее эффективных форм вложения капитала с целью расширения объема операционной деятельности и формирования инвестиционной прибыли.

Уровень развития инвестиционной политики организации зависит от особенностей инвестиционной политики государства, поэтому на ее формирование оказывают влияние факторы, сдерживающие инвестиционную активность российской экономики. К ним относятся:

·           относительно высокий уровень инфляции;

·        достаточно высокий уровень налогов;

·        неполное финансирование государственных инвестиционных программ;

·        низкая эффективность инвестиционных вложений;

·        недостаток собственных средств у организаций для обновления основного капитала и трудности в получении коммерческих кредитов из-за неустойчивого их финансового положения и высоких процентов ставок кредита;

·        высокий инвестиционный риск.

Содержание инвестиционной политики организации состоит в определении объема, структуры и направлений использования инвестиций для достижения полезного эффекта.

Что же такое инвестиционная политика предприятия?

Инвестиционная политика представляет собой часть общей финансовой стратегии предприятия, заключающуюся в выборе и реализации наиболее эффективных форм реальных и финансовых его инвестиций с целью обеспечения высоких темпов его развития и расширения экономического потенциала хозяйственной деятельности.

Во-первых, инвестиционная политика предприятия - это не только часть финансовой стратегии, но и важная часть производственно-коммерческой (сбытовой) и социальной стратегий предприятия.

Во-вторых, инвестиционная политика - это постоянный процесс управления инвестиционной деятельностью, направленный не только на выбор и реализацию наиболее эффективных форм различных инвестиций, но и на обеспечение возможности воспроизводства самого инвестиционного процесса.

В-третьих, инвестиционная политика в конечном итоге преследует цель оптимизации различных экономических интересов в процессе формирования и использования финансовых, материальных и иных ресурсов предприятия.

Исходя из сказанного, определение инвестиционной политики предприятия может быть дано в следующей формулировке: инвестиционная политика предприятия - это система оптимального управления инвестиционным процессом, направленным на разработку инвестиционных проектов, выбор и реализацию наиболее эффективных из них, а также постоянное воспроизводство инвестиционной деятельности с целью удовлетворения различных экономических интересов в процессе формирования и использования финансовых, материальных и иных ресурсов, обеспечения возрастания доходов как собственников предприятия, так и членов трудового коллектива.

Инвестиционную политику предприятия классифицируют в зависимости от ее направленности. С этой точки зрения, выделяют инвестиционную политику, направленную на:

1.  повышение эффективности;

2.       модернизацию технологического оборудования, технологических процессов;

.        создание новых предприятий;

.        внедрение принципиально нового оборудования и выход на новые рынки сбыта.

В своей инвестиционной политике предприятие может выбирать различные ее виды

Консервативная инвестиционная политика - вариант политики инвестиционной деятельности предприятия, приоритетной целью которой является минимизация уровня инвестиционного риска. При осуществлении такой политики инвестор не стремится ни к максимизации уровня текущей прибыльности инвестиций, ни к максимизации темпов роста капитала.

Компромиссная (умеренная) инвестиционная политика - вариант политики осуществления инвестиционной деятельности предприятия, направленной на выбор таких объектов инвестирования, по которым уровни прибыльности и риска в наибольшей степени приближены к среднерыночным.

Агрессивная инвестиционная политика - вариант политики осуществления инвестиционной деятельности предприятия, направленной на выбор таких объектов инвестирования, по которым уровни прибыльности и риска значительно выше среднерыночных /9/.

Для эффективного осуществления инвестиционной политики выделяют следующие основные элементы инвестиционной политики предприятия:

определение стратегической цели предприятия;

прогноз конъюнктуры рынка и определение приоритетов инвестиций;

анализ экономических результатов и инвестиционной деятельности предприятия;

планирование инвестиционной деятельности;

выбор между инвестиционными программами;

обеспечение ресурсами инвестиционной деятельности.

В настоящее время на развитие предприятий и формирование их инвестиционной политики влияют:

·        динамика спроса и предложения на рынке продукции, производимой организацией, качество и цена этой продукции;

·        особенности общей стратегии организации;

·        финансово-экономическое положение организации, в частности соотношение собственных и заемных средств;

·        технический уровень производства в организации;

·        финансовые условия инвестирования на рынке капиталов;

·        возможность получения государственной поддержки;

·        норма прибыли от реализации инвестиционных проектов с участием организации;

Цели и принципы инвестиционной политики предприятия

Основная цель инвестиционной политики предприятия может быть сформулирована как создание оптимальных условий для вложения собственных и заемных финансовых и иных ресурсов, обеспечивающих возрастание доходов на вложенный капитал, для расширения экономической деятельности предприятия, создания лучших условий для победы в конкурентной борьбе.

Наряду с основной целью предпринимательские структуры в процессе осуществления инвестиционной политики стремятся к достижению отдельных целей или подцелей. Прежде всего, к таким целям или подцелям относятся:

1)  выработка стратегии и тактики экономической деятельности предприятия на краткосрочный и долгосрочный период;

2) поиск наиболее эффективных объектов для инвестирования;

) выбор оптимального варианта инвестиционного проекта;

) поиск и оценка альтернативных источников финансовых ресурсов для осуществления инвестиционного процесса;

) достижение максимального результата в процессе реализации инвестиционной политики при минимальном возможном объеме капитала, продолжительности его эксплуатации и организационных усилий.

При разработке инвестиционной политики предприятия необходимо придерживаться следующих принципов:

нацеленность инвестиционной политики на достижение стратегических планов предприятия и его финансовую устойчивость;

учет инфляции и фактора риска;

экономическое обоснование инвестиций;

формирование оптимальной структуры портфельных и реальных инвестиций;

ранжирование проектов и инвестиций по их важности и последовательности исходя из имеющихся ресурсов и с учетом привлечения внешних источников;

выбор надежных и более дешевых источников и методов финансирования инвестиций.

Учет этих и других принципов позволит избежать многих ошибок и просчетов при разработке инвестиционной политики предприятия.

В современных условиях эффективная инвестиционная политика должна строиться в развитии четырех базовых принципов:

совершенствование законодательного обеспечения инвестиционной деятельности;

осуществление концентрации инвестиционной политики на стратегических направлениях инвестиционных программ;

организация взаимодействия с предприятиями с целью мобилизации в инвестиции их собственных средств (реализация взаимных интересов предприятий региона в развитии инвестиционной политики);

осуществление постоянного мониторинга положительных и отрицательных моментов развития.

Этапы осуществления инвестиционной политики предприятия

В формировании инвестиционной политики предприятия можно выделить три этапа:

на первом этапе определяют необходимость развития предприятия и экономически выгодные направления этого развития. Для этого требуется:

·        оценить потребительский спрос на выпускаемую продукцию;

·        выявить ожидаемый спрос на период намеченной инвестиционной политики предприятия;

·        сравнить затраты на выпуск продукции с действующими рыночными ценами;

·        выявить производственные возможности предприятия на перспективу;

·        проанализировать деятельность предприятия за предшествующий период и выявить неиспользованные резервы.

на втором этапе осуществляется разработка инвестиционных проектов для реализации выбранных направлений развития предприятия;

на третьем этапе происходит окончательный выбор экономически выгодного инвестиционного проекта, планируемого к реализации. Здесь требуется определить:

·        стоимость оборудования, строительных материалов, аренды производственной площади, доставки готовой продукции на рынок сбыта;

·        себестоимость заданного объема производства и единицы продукции, выпускаемой на новом оборудовании;

·        постоянные и переменные затраты;

·        требующиеся объемы инвестиционных ресурсов;

·        размер собственных и привлеченных средств, необходимых для реализации проекта;

·        показатели эффективности проекта;

·        риски, генерируемые проектом.

Таким образом, на каждом этапе разработки и реализации инвестиционного процесса обосновывается экономическая эффективность проекта, анализируется его доходность, т.е. проводится проектный анализ, позволяющий сопоставлять затраты с полученными (прогнозируемыми) результатами (выгодами).

2. Методы оценки эффективности инвестиционных проектов

финансовый вложение капитал инвестиционный

Существующие методы оценки эффективности инвестиций разделяют на две основные группы:

простые или статические;

методы дисконтирования.

Привлекательность инвестиционных проектов, включенных в список вариантов инвестиций, оценивается по их эффективности и финансовой состоятельности.

Расчет срока окупаемости инвестиций и вычисление простой нормы прибыли относят к методам оценки эффективности инвестиций.

Статистические методы оценки эффективности инвестиций. Срок окупаемости

Под сроком окупаемости инвестиций понимается ожидаемый период возмещения первоначальных вложений из чистых поступлений. Таким образом, исчисляется тот период времени, за который поступления от оперативной деятельности предприятия покроют затраты на инвестиции. Этот метод прост для расчетов, поэтому он иногда используется как очень грубый метод оценки риска инвестирования.

Данный метод обладает также серьезными недостатками:

выбор нормативного срока окупаемости может быть субъективен;

метод не учитывает доходность проекта за пределами срока окупаемости и не может быть использован для сравнения вариантов проектов с одинаковыми периодами окупаемости, но различными сроками жизни;

метод не годится для оценки проектов, нацеленных на выпуск принципиально новой продукции;

точность расчетов по такому методу в большой степени определяется частотой разбиения срока жизни проекта на интервалы планирования;

"статичность" показателя, невозможность учета временной стоимости денег.

Простая норма прибыли

На основании сравнения инвестором расчетной величины нормы прибыли с минимальным или средним уровнем доходности делается заключение о целесообразности дальнейшего анализа данного инвестиционного проекта.

Преимущества метода простой нормы прибыли:

простота расчетов;

оценки прибыльности проекта.

Недостатки метода:

не учитывается ценность будущих поступлений;

существует большая зависимость от выбранной в качестве ставки сравнения величины чистой прибыли;

расчетная норма прибыли играет роль средней за весь период.

Дисконтированные критерии

Дисконтирование - операция, обратная начислению сложного процента, используемая для приведения будущих стоимостей к настоящему (текущему) моменту. Позволяет определить текущую стоимость Р (т.е. реальную ценность на данный момент) будущих платежей (поступлений) Рг, осуществляемых через n лет при ставке процента, равной г,

 (1)

Критерии, основывающиеся на технике расчета временной ценности денег, называются дисконтированными критериями. В расчетах критериев используется понятие ставки процента, на величину которой влияют три составляющие - инфляция, риск и альтернативная возможность использования денег, которая отражается следующим равенством:

(2)

где: г - ставка процента;

R - темп инфляции;

RI - коэффициент, учитывающий степень инвестиционного риска, как связанного с неустойчивостью получения дохода от конкретного капиталовложения, так и рыночной конъюнктурой.

В финансовой практике фирм в рыночной экономике для собственного капитала ставка процента (или норма дисконта) определяется исходя из депозитного процента по вкладам. В случае, когда весь капитал является заемным, ставка процента представляет собой соответствующую процентную ставку, определяемую условиями процентных выплат и погашений по займам. В качестве ее приближенного значения могут быть использованы существующие усредненные процентные ставки по долгосрочным банковским кредитам.

В практике инвестиционного проектирования в настоящее время наиболее употребимы следующие дисконтированные критерии оценки эффективности проектов:

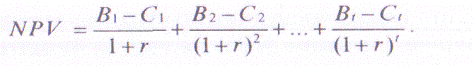
. Чистая текущая ценность NPV (net present value) или чистая современная стоимость.

. Индекс рентабельности (прибыльности) PI (Profitability index).

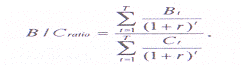
. Отношение выгод к затратам B/Cmti (benefit to cost ratio).

. Внутренняя норма доходности проекта IRR (internal rate of return).

. Период окупаемости РВР (payback period).

Введем дополнительные обозначения:

Bt - выгоды проекта в год t;

Ct - затраты проекта в год t;

t = 1,..., n - годы жизни проекта.

Рассчитаем перечисленные критерии.

Чистая текущая ценность (NPV) - дисконтированный показатель ценности проекта, определяется как сумма дисконтированных значений нетто-поступлений, получаемых в каждом году в течение срока жизни проекта. Любой проект, дающий положительное значение NPV при выбранной ставке дисконтирования (обычно принимается равной альтернативной стоимости капитала) является приемлемым. NPV является наиболее широко используемым показателем для выбора из сравниваемых взаимоисключающих проектов.

Чистая текущая ценность:

 (3)

Отрицательное значение NPV свидетельствует о неэффективности использования денежных средств: норма доходности меньше необходимой.

Для расчета NPV ясно, что абсолютное значение чистой текущей ценности (NPV) зависит от двух видов параметров. Первый - характеризует инвестиционный процесс объективно, он определяется производственным процессом. Ко второму виду следует отнести параметр - ставку процента.

Например, проанализируем зависимость NPV от ставки г для случая, когда вложения осуществляются в начале процесса, а отдача - равномерная. Когда процентная ставка достигает некоторого значения г, эффект инвестиций оказывается нулевым. Любая ставка, меньше чем г*, соответствует положительному значению NPV (рис.1).

При высоком уровне ставки процента отдаленные платежи оказывают малое влияние на NPV. Поэтому различные по продолжительности периодов отдачи варианты могут оказаться равноценными по конечному экономическому эффекту. Поэтому при всех прочих равных условиях проект с более длительным периодом поступлений доходов предпочтительней.

Индекс рентабельности (прибыльности), PI показывает относительную прибыльность проекта или дисконтированную стоимость денежных поступлений от проекта в расчете на единицу вложений. Исследователи проектов используют различные подходы к его исчислению. Одни - рассчитывают PI делением чистой текущей ценности от проекта на стоимость первоначальных вложений, т.е.

 (4)

где NPV - чистая текущая ценность проекта; Со - первоначальные затраты. В этом случае критерий принятия решения аналогичен решению, основанному на NPV, т.е. PI > 0.


Проекты с большим значением индекса прибыльности являются более устойчивыми, но очень большие значения индекс прибыльности не всегда соответствует высокому значению NPV и наоборот, т.к имеющие высокую чистую текущую ценность проекты не обязательно эффективны, и, следовательно, имеют небольшой индекс прибыльности.

Отношение выгоды/затраты или прибыли/издержки является частным от деления дисконтированного потока (суммы) выгод на дисконтированный поток затрат и рассчитывается по формуле:

 (5)

Этот критерий является частным случаем критерия индекса прибыльности. Если отношение B/Cratio больше единицы, то доходность проекта выше, чем минимально требуемая, и проект считается привлекательным.

Отношение (выгоды/затраты) показывает, насколько можно увеличить затраты, чтобы не превратить проект в финансово непривлекательное предприятие. Например, расчетное значение критерия, равное 1,05, показывает, что при росте затрат более чем на 5% значение критерия упадет ниже точки "безубыточности", в которой совокупные проектные доходы равны суммарным расходам (1,00).

На графике (рис.1) видно, что г есть IRR. Если капиталовложения осуществляются только за счет привлеченных средств, причем кредит получен по ставке I, то разность (г* - i) показывает эффект инвестиционной (предпринимательской) деятельности. При г* = i доход только окупает инвестиции (инвестиции бесприбыльны), при г* < I инвестиции убыточны.

Рис.2. Влияние издержек на доходы от проекта

Внутренняя норма доходности проектов, принятых для финансирования, варьируется в зависимости от отрасли экономики и от формы собственности, т.е. от того, является ли проект частным или государственным предприятием. В основе вариантности лежит, во-первых, различные степени риска, во-вторых, частные инвесторы, как правило, преследуют только свои интересы при выборе объекта для инвестирования и требуют гораздо большего уровня нормы прибыли, чем государство, решающее социальные задачи.

Внутреннюю норму прибыльности иногда рассматривают как предельный уровень доходности инвестиций, что может быть критерием целесообразности дополнительных вложений в проект.

К достоинствам этого критерия можно отнести объективность, независимость от абсолютного размера инвестиций, оценку относительной прибыльности проекта, информативность. Кроме того, он легко может быть приспособлен для сравнения проектов с различными уровнями риска: проекты с большим уровнем риска должны иметь большую внутреннюю норму доходности. Но у него есть и недостатки: сложность расчетов и возможная субъективность выбора нормативной доходности, большая зависимость от точности оценки будущих денежных потоков.

Период окупаемости - это критерий аналогичен критерию срока окупаемости, но использует дисконтированные значения затрат и выгод, т.е. под периодом окупаемости (РВР) понимается тот период времени, за который поток дисконтированных проектных доходов станет равным дисконтированному потоку затрат. Поэтому значение критерия не должно превышать срока жизни проекта.

Критерии NPV, IRR и PI являются фактически разными версиями одной и той же концепции, и поэтому их результаты связаны друг с другом.

Таким образом, можно ожидать выполнения следующих математических соотношений для одного проекта:

если NPV > 0, то PI > 1, IRR > г;

если NPV < 0, то РК 1, IRR < г;

если NPV = 0, то PI = 1, IRR = г,

где г - требуемая норма доходности (альтернативная стоимость капитала).

При работе по указанным критериям у аналитиков иногда возникают некоторые проблемы, решение которых лежит вне инструментария расчетов, например:

а) для вычисления NPV и РВР необходимо заранее определить размер процентной ставки;

б) знак некоторых денежных потоков может меняться более чем один раз, и тогда такой денежный поток может иметь вид графика, представленного на рис.3.

Например, для данного проекта существует несколько значений г*, при которых NPV = 0, что усложняет сравнение i*, r2*, г3* и т.д. с банковской учетной ставкой; в подобных случаях проектный аналитик в качестве значения критерия IRR для принятия инвестиционного решения предлагает использовать наименьшее значение из всего полученного ряда;

Рис.3. Зависимость NPV от ставки процента при значениях IRR

в) в процессе расчетов NPV для альтернативных проектов необходимо дисконтировать строго к одному и тому же моменту времени.

Кроме того, встает вопрос о необходимости "человеко-машинного" способа принятия решения в отношении альтернативных проектов. Эксперт должен четко представлять возможные последствия принимаемых им решений.

3. Инвестиционная активность в России

Инвестиционная политика, как и финансовая политика, является составной частью экономической политики государства. Инвестиционная политика - это важный рычаг воздействия как на экономику страны, так и на предпринимательскую деятельность ее хозяйствующих субъектов.

Под инвестиционной политикой коммерческого предприятия понимается комплекс мероприятий, обеспечивающих выгодное вложение собственных, заемных и других средств в инвестиции с целью обеспечения финансовой устойчивости работы предприятия в ближайшей и дальнейшей перспективе. Текущий год впервые за последние несколько лет может оказаться сравнительно неудачным для России с точки зрения привлечения иностранных и внутренних инвестиций. На протяжении первого квартала, а также начиная с июня наблюдалось бегство западных инвесторов с российского рынка, прежде всего с рынка акций.

Результатом проблем на финансовых рынках стали трудности для предприятий с текущим рефинансированием кредитов, которые привлекались ими преимущественно под долгосрочные проекты. В сложившейся ситуации многие предприятия были вынуждены пересмотреть свою инвестиционную политику, отказаться от ряда важных дорогостоящих проектов.

Наибольшие сложности возникли у средних и малых предприятий, у которых объем чистой прибыли оказался недостаточно велик для того, чтобы часть ее направить на инвестиции. В итоге развитием производства продолжили заниматься только крупные компании, тогда как средние и малые оказались перед выбором: работать себе в убыток или сворачивать производство. Особенностью текущей ситуации стало еще и то, что в тяжелое финансовое положение попали компании с хорошим балансом и крупной денежной выручкой, но испытывающие перебои с поступлением средств от компаний-партнеров и банков. Такие предприятия не могут своевременно рассчитываться с кредиторами, что порождает волну неплатежей. Замедление темпов роста инвестиций создало предпосылки для снижения динамики производства в важнейших отраслях российской экономики. С трудностями сталкиваются компании преимущественно реального сектора, у которых приближаются сроки рефинансирования задолженностей. Это практически все девелоперы, уже объявившие о приостановке значительного объема своих программ. Из-за существенного увеличения кредитной нагрузки девелоперские компании замораживают проекты, находящиеся на начальных стадиях, и активизируют деятельность для завершения строящихся объектов

По данным Росстата, инвестиции в основной капитал в России за 11 месяцев 2010 года увеличились на 5,1% по сравнению с аналогичным периодом прошлого года. Такие данные приводит Федеральная служба государственной статистики (Росстат).

В ноябре 2010 года инвестиции в основной капитал составили 957,7 млрд рублей, что на 8,4% больше по сравнению с уровнем ноября 2009 года, однако меньше на 0,6% в сравнении с октябрем текущего года.

Напомним, что в октябре 2010 года инвестиции в основной капитал составили 956,2 млрд рублей, что на 10,7% больше по сравнению с уровнем октября 2009 года и на 5,8% превышает показатель сентября текущего года.

Добавим, что по итогам 2009 года инвестиции в основной капитал в России снизились на 17% по сравнению с 2008 годом и составили 7 трлн 539,9 млрд рублей. В 2008 году по сравнению с 2007 годом инвестиции в основной капитал выросли на 9,1% до 8 трлн. 606,7 млрд. рублей.

Конкретных примеров свертывания крупных инвестиционных проектов в российской промышленности пока нет, но эксперты не исключают, что они могут появиться в будущем при продолжительном снижении темпов роста инвестиций. Сейчас промышленные предприятия отказываются от планов расширения производства, ввода новых мощностей, закупок оборудования. Подобные действия инвесторов приводят к замедлению роста производства и даже его снижению.

Сравнительно высокая инвестиционная активность сохраняется в энергетическом секторе, транспортном комплексе (особенно в сфере дорожного строительства, благодаря бюджетному финансированию), в некоторых машиностроительных отраслях, а также в производстве минеральных удобрений. В относительно благоприятном положении в условиях снижения инвестиционной активности оказываются нефтяные и газовые компании России, а также крупнейшие игроки сектора телекоммуникаций. Они, скорее всего, сумеют привлечь средства для рефинансирования текущих долгов. Правда, ситуация в нефтегазовом секторе усугубляется падением цен на нефть на мировом рынке на фоне ожиданий сокращения объемов производства в Европе. С определенными трудностями, по мнению экспертов, столкнутся компании розничной торговли, причем здесь снижение инвестиционной активности усугубится падением потребительского спроса. В свою очередь, сокращение спроса со стороны потребителей на многие виды продукции может создать условия для уменьшения объемов их производства, в частности в автомобилестроении.

Торможение динамики производства в отраслях реального сектора как результат спада инвестиционной активности способствует снижению роста ВВП России. Рекордные темпы роста, достигавшие в четвертом квартале прошлого года 9,5% в годовом выражении, в нынешнем году замедлились, составив в июне-июле лишь 6,5-6,9%.

На 2009-2010 гг. большинство экспертов прогнозируют дальнейшее замедление темпов экономического роста - до 5-7%. Минэкономразвития России ожидает рост ВВП в будущем году на уровне 6,7%, а в 2010 г. - на уровне 6,6%. Несмотря на замедление роста инвестиций и проблемы с ликвидностью в банковском секторе, снижение темпов экономического роста в России не будет резким и не повлечет за собой падения объемов ВВП и промышленного производства. Этим экономика России принципиально отличается от экономик стран Еврозоны и США, где вероятность рецессии сохраняется. Действительно, чистая прибыль российских предприятий в первом полугодии составила 3,24 трлн руб. (136 млрд долл.), на 41% превысив уровень первого полугодия 2007 г. То есть после выплаты налогов и покрытия производственных затрат у российских предприятий остаются свободные средства, которые могут быть направлены на расширение производства. А доходы предприятий остаются пока более важным источником инвестиций в основной капитал, чем банковские кредиты, - их доля в общем объеме инвестиций достигает 20% против 10,5% заемных средств. Следовательно, источники инвестиционных ресурсов в России сохраняются, и экономика будет развиваться дальше.

Итак, выделим главные проблемы повышения инвестиционной активности в России:

1.       Падение доверия кредитных организаций к российским акциям.

2.       Дефицит ликвидности внутри России.

.        Отсутствие чистой прибыли, которую следует направить на инвестиции, у средних и малых предприятий.

.        Снижение динамики производства в важнейших отраслях российской экономики.

.        Снижение роста ВВП России.

.        Отдельного упоминания заслуживает комплекс проблем, с которыми сталкиваются регионы при реализации инвестиционных проектов.

·        проблема неравномерного поступления денег;

·        неразвитость инфраструктуры региона:

·        плохая информированность иностранных инвесторов о возможностях региона.

7.       Проблема стимулирования эффективного притока иностранного капитала.

Создание благоприятного инвестиционного климата в стране связано с чётким государственным регулированием инвестиционной деятельности. В первую очередь речь идёт о законодательной базе - издании законов и других нормативных актов, регулирующих инвестиционную деятельность.

Правительством должны разрабатываться концепция и текущие программы развития фондового рынка в стране.

Регулирование условий вложения средств за пределами государства возлагается на Центральный Банк России. В соответствии с этим разработаны правила предоставления лицензий на осуществление резидентами инвестиций за рубежом:

резиденты могут инвестировать средства за пределы России путём участия в совместных предприятиях (СП), приобретения доли в действующих иностранных фирмах (компаниях) или посредством их выкупа полностью, открытия собственных подразделений, филиалов и представительств; а также за счёт приобретения движимого и недвижимого имущества, других имущественных прав и интеллектуальной собственности, ценных бумаг за рубежом.

инвестиции за границу осуществляются резидентами исключительно за счёт собственных средств, зарезервированных на счетах бухгалтерского баланса. Использование для этого заёмных средств категорически запрещено.

все виды денежных инвестиций за границу осуществляются в безналичной форме через корреспондентские счета уполномоченных банков;

поступления в пользу резидентов в иностранной валюте зачисляются на их счета и подлежат обязательной частичной продаже государству в установленном законом порядке.

С учетом необходимости преодоления дальнейшего спада производства и ограниченности финансовых возможностей государства инвестиционную политику предусматривается осуществлять на основе следующих принципов: последовательная децентрализация инвестиционного процесса путем развития многообразных форм собственности, повышение роли внутренних (собственных) источников накоплений предприятий для финансирования их инвестиционных проектов; государственная поддержка предприятий за счет централизованных инвестиций; размещение ограниченных централизованных капитальных вложений и государственное финансирование инвестиционных проектов производственного назначения строго в соответствии с федеральными целевыми программами и исключительно на конкурентной основе; усиление государственного контроля за целевым расходованием средств федерального бюджета; совершенствование нормативной базы в целях привлечения иностранных инвестиций; значительное расширение практики совместного государственно-коммерческого финансирования инвестиционных проектов.

Министерство экономического развития предложило 7 направлений работы по улучшению инвестиционного климата России. В них вошли улучшение административных процедур (в том числе связанных с разрешениями на строительство), пересмотр миграционного режима, снижение роли государства в экономике, оптимизация процедур по доступу к инфраструктуре, совершенствование налоговой политики, улучшение правоохранительной деятельности и судебной практики и просто повышение инвестиционного имиджа страны.

Основная проблема последних дней - определенный дефицит ликвидности у ряда кредитных организаций - в значительной мере преодолена. После интенсивных консультаций с представителями банковского сообщества на государственном уровне приняты решения, позволяющие снять напряженность на банковском рынке вследствие значительной нестабильности фондового рынка.

В частности, ведущим банкам предоставлено около 1,5 трлн. руб. для поддержания стабильности на финансовом рынке, в том числе путем кредитования менее крупных кредитных организаций. Кроме того, даны поручения о разработке механизма прямого кредитования банков, включенных Банком России в список допустимых гарантов при выдаче кредитов ЦБ, а также о расширении круга и увеличении лимитов при осуществлении кредитования банков.

Список использованной литературы

1.       Финансы организаций (предприятий): Учебник для вузов/Н.В. Колчина, Г.Б. Поляк и др.; Под ред. проф. Н.В. Колчиной. - 3-е изд., перераб. и доп. - М.: ЮНИТИ-ДАНА, 2004.

2.       Сергеев И.В., Веретенникова И.И. Организация и финансирование инвестиций: Учебное пособие. - М.: Финансы и статистика, 2004.

.        Бланк И.А. Основы финансового менеджмента. Т. 2. - К.: Ника-Центр, 2002.

.        В.П. Попков, В.П. Семенов. Организация и финансирование инвестиций. - М. ИНФРА-М, 2003.

.        Ковалев В.В., Ковалев Вит. В. Финансы организаций (предприятий): Учебник. - М.: ТК Велби, Издательство "Проспект", 2005.

.        Шуляк П.Н. Финансы предприятий: Учебник. - М.: Издательско-торговая корпорация "Дашков и Ко", 2005.

.        Золотогоров В.П. Инвестиционное проектирование: Учебное пособие. - Мн.: ИП Перспектива, 2005.

.        Абрамов СИ. Инвестирование. М.: Экономика. 2006.

.        Вахрин П.И. Инвестиции. М.: Дашков и К., 2006.

10.     Глазьев В.Н. Устойчивый рост требует инвестиций. \\ Финансист <\\Финансист>. М., 2007, №5.

.        Ильин С.С., Маренков Н.Л. Экономическая теория. М.: Икар. 2007.

.        Калашников И. Инвестиционная система: воспроизводственный аспект. М.: Экономист, 2007. № 9.

.        Маренков Н.Л. Основы управления инвестициями. М.: УРСС, 2005.

.        Маренков Н.Л., Маренков Н.Н. Управление инвестициями российского предпринимательства.М., УРСС, 2006.

.        Слипенчук М.В. Инвестиции - фактор развития экономики России. М.: Икар, 2006.

.        Журнал "Недвижимость и инвестиции. Правовое регулирование", Материалы совещания по проблемам инвестиционного климата в России, №1 (42), 2010.

.        Журнал "Финансы и кредит", Инвестиции в России - новые тенденции, № 15(303) - 2009

.        Журнал "Финансовая аналитика: проблемы и решения", Инвестиционный климат и инвестиционная привлекательность, №15(39), 2010

Похожие работы на - Инвестиционная политика организаций

 

Не нашли материал для своей работы?
Поможем написать уникальную работу
Без плагиата!
Без нейросетей!