Разработка стратегии развития ОАО 'Мариторгсервис'
Курсовая
работа
по дисциплине
Стратегический менеджмент
на тему: Разработка
стратегии развития ОАО «Мариторгсервис»
Введение
В условиях сверхдинамичных изменений, касающихся всех сторон
жизнедеятельности общества, исключительно важным становится осуществление
стратегического управления, которое направлено на адаптацию фирмы к быстро
меняющимся условиям ведения бизнеса. Стратегическое управление организацией
отечественные исследователи О.С.Виханский и А.И.Наумов определяют как
управление, которое опирается на человеческий потенциал как основу организации,
ориентирует производственную деятельность на запросы потребителей, гибко
реагирует на вызовы со стороны окружения и проводит своевременные изменения в
организации, что позволяет добиваться конкурентных преимуществ и достигать
намеченных целей в долгосрочной перспективе [5, с. 206-207].
Значимость стратегического управления получила обоснование в трудах
западных исследователей Д.Аакера, Р. Гранта, П. Друкера, М. Портера, а также
российских ученых О.С.Виханского, А.И.Наумова, М.Л.Дорфеева, Г.Клейнера,
которые обогатили теорию и практику менеджмента [1; 6; 9; 19; 4; 8; 10]. Вместе
с тем в регионах России наблюдается отсутствие стратегичности в действиях фирм,
что зачастую приводит их к поражению в рыночной борьбе. Это обуславливает
актуальность темы данной курсовой работы.
Целью курсовой работы является разработка стратегии и способов достижения
стратегических целей предприятия ОАО «Мариторгсервис».
В соответствии с поставленной целью в курсовой работе необходимо решить
следующие задачи:
) изучить динамику финансовых результатов хозяйственной деятельности
предприятия и обосновать их влияние на условия его функционирования;
) оценить результаты реализации антикризисной стратегии развития
предприятия;
) выявить внешние и внутренние факторы успеха хозяйственной деятельности
предприятия;
) обосновать специфику стратегического управления хозяйственной
деятельностью предприятия;
) обосновать выбор стратегии развития предприятия, способствующей
повышению устойчивости его функционирования;
) разработать прогноз развития и стратегический план предприятия в рамках
реализации выбранной стратегии.
Объект исследования - открытое акционерное общество «Мариторгсервис».
Открытое акционерное общество «Мариторгсервис» было создано в соответствии с
федеральными законами от 21.12.2001 № 178-ФЗ «О приватизации государственного и
муниципального имущества», от 26.12.1995 № 208-ФЗ «Об акционерных обществах»,
путем преобразования федерального государственного унитарного предприятия «ОРС
Пригородного лесхоза» на основании распоряжения Правительства Российской
Федерации от 25.08.2005 № 1306-р, приказа Федерального агентства по управлению
федеральным имуществом от 23.09.2005 № 287, распоряжения Территориального
управления Федерального агентства по управлению федеральным имуществом по
Республике Марий Эл от 14.07.2006 № 203 и является его правопреемником.
Место нахождения ОАО «Мариторгсервис»: Российская Федерация, Республика
Марий Эл, г. Йошкар-Ола, ул. Соловьева, 44а.
Учредителем ОАО «Мариторгсервис» является Российская Федерация в лице
Федерального агентства по управлению государственным имуществом.
Организационная структура управления предприятия ОАО «Мариторгсервис» по
типу является линейно-функциональной с элементами дивизиональной, т.к. на
предприятии имеются 6 магазинов в Медведевском районе Республики Марий Эл.
Видами деятельности ОАО «Мариторгсервис» согласно уставу являются:
оптовая торговля;
розничная торговля;
сдача внаем собственного нежилого недвижимого имущества;
ремонт бытовых изделий и предметов личного пользования;
техническое обслуживание и ремонт легковых автомобилей;
организация перевозок грузов;
хранение и складирование грузов;
сбор дикорастущих и недревесных лесопродуктов.
Основной вид деятельности ОАО «Мариторгсервис» - розничная торговля
продуктами питания. Основные конкуренты ОАО «Мариторгсервис» по розничной
торговле продуктами питания в Медведевском районе: ГУП «Бор Марий Эл», ООО
«СЕЛЬЧАНКА», ООО «НАДЕЖДА К».
Рынки сбыта у предприятия ОАО «Мариторгсервис» находятся в Медведевском
районе Республики Марий Эл, а именно имеются магазины в сельских поселениях
Красный мост, Зеленый, Нолька, Лесной, Нужъялы и Чернушка.
Предмет исследования - финансовые результаты деятельности предприятия ОАО
«Мариторгсервис» за 2008-2010гг.
В курсовой работе применяются аналитико-расчетный, прогностический и
графический методы исследования.
Курсовая работа выполнена на основе монографий, учебных пособий, статей
из периодических изданий и информационных ресурсов сети Интернет.
Курсовая работа содержит введение, основную часть, состоящей из 6 глав,
заключение, список литературы и приложения.
1.
Экспресс-диагностика хозяйственной деятельности предприятия ОАО
«Мариторгсервис»
Экспресс-диагностика хозяйственной деятельности предприятия осуществляется
по отдельным параметрам деятельности. Диагностика достигается выявлением так
называемых «слабых сигналов», симптоматичных для предкризисного состояния
предприятия. По своему экономическому смыслу экспресс-диагностика имеет
оперативный и профилактический характер, упреждающий вероятное банкротство.
Проведение экспресс-диагностики позволяет своевременно оценить и
скорректировать управленческие решения в зависимости от складывающегося уровня
финансовой состоятельности предприятия, а также прогнозировать экономические
последствия принятых управленческих решений.
Экспресс-диагностика включает в себя следующие направления анализа:
.анализ рентабельности деятельности предприятия;
.анализ деловой активности предприятия;
.анализ ликвидности и платежеспособности предприятия;
.анализ финансовых коэффициентов.
.1 Анализ
рентабельности деятельности предприятия ОАО «Мариторгсервис»
Динамика показателей рентабельности, отражающих эффективность управления
хозяйственной деятельностью организации ОАО «Мариторгсервис», представлена в
табл.1:
Таблица 1. Динамика показателей рентабельности ОАО
«Мариторгсервис»
Условные обозначения, применяемые в таблице:
БП - балансовая прибыль (форма №2, строка 140,графа 3);
ЧП - чистая прибыль (форма №2, строка 190,графа 3);
- средняя стоимость имущества предприятия (форма №1, строка
300,графы ∑(3+4)/2);
- средняя стоимость собственных средств предприятия (форма
№1, строка 490,графы ∑(3+4)/2);
- выручка от реализации продукции (форма №2, строка
010,графа 3);
С - полная производственная себестоимость продукции (форма
№2, строки ∑(020+030+040), графа 3.
По данным таблицы 1 следует сделать вывод о том, что за период с 2008 по
2010 гг. в организации ОАО «Мариторгсервис» происходит снижение убыточности и
рост всех показателей рентабельности. Таким образом, наблюдаются положительные
тенденции в изменении показателей рентабельности.
Необходимо отметить, что данные по рентабельности не достигают
нормативных значений, кроме рентабельности собственного капитала, показатели
которой превысили норматив в 2 раза за период с 2009 по 2010гг. Как видно из
формулы расчета этого показателя, факторами, влияющими на повышение
рентабельности собственного капитала, являются: увеличение балансовой прибыли и
снижение средней стоимости собственных средств предприятия.
1.2 Анализ
деловой активности предприятия ОАО «Мариторгсервис»
Для комплексности оценки стратегии, реализуемой руководством предприятия
в ретроспективном периоде, произведем анализ показателей деловой активности
(оборачиваемости) предприятия.
Такой анализ позволит определить, насколько быстро отдельные виды активов
и пассивов предприятия оборачиваются в процессе его хозяйственной деятельности,
т.е. оценить уровень коммерческого успеха на занимаемом рынке. Основные
показатели деловой активности организации ОАО «Мариторгсервис» представлены в
табл.2.
Таблица 2. Динамика показателей деловой активности
предприятия
Условные обозначения, применяемые в таблице:
- средняя стоимость внеоборотных активов (форма №1, строка
190, графы ∑ (3+4)/2);
- средняя стоимость оборотных активов (форма №1, строка 290,
графы ∑ (3+4)/2);
- средняя стоимость материальных запасов (форма №1, строки ∑(210+220),
графы ∑ (3+4)/2);
- средняя стоимость дебиторской задолженности (форма №1,
строки ∑(230+240), графы ∑ (3+4)/2);
- средняя стоимость кредиторской задолженности (форма №1,
строки ∑(620+630), графы ∑ (3+4)/2).
По данным таблицы 2 следует сделать вывод о деловой активности
организации ОАО «Мариторгсервис». В период с 2008 по 2010гг. наблюдаются как
положительные тенденции по показателям: «Общая капиталоотдача активов» и
«Отдача оборотных активов», так и отрицательные тенденции по показателям
«Отдача внеоборотных активов», «Оборачиваемость материальных запасов»,
«Оборачиваемость дебиторской задолженности», «Оборачиваемость кредиторской
задолженности».
Необходимо рассмотреть причины негативных тенденций динамики показателей
деловой активности:
) В период с 2008 по 2010гг. показатель «Отдача внеоборотных активов»
увеличивается за счет снижения стоимости внеоборотных активов. Это
свидетельствует о том, что организация ОАО «Мариторгсервис» использует
изношенные основные средства.
) В период с 2008 по 2010гг. показатель «Оборачиваемость материальных
запасов» уменьшается, а число дней периода оборота материальных запасов
увеличивается. Это является отрицательной тенденцией, т.к. динамика показателей
свидетельствует об относительном увеличении производственных запасов и
незавершенного производства в организации ОАО «Мариторгсервис».
) В период с 2008 по 2010гг. показатель «Оборачиваемость дебиторской
задолженности» резко снизился, что объясняется ростом дебиторской
задолженности. Эта отрицательная тенденция подтверждается и увеличением периода
оборота дебиторской задолженности с 2 до 6 дней.
) В период с 2008 по 2010гг. показатель «Оборачиваемость кредиторской
задолженности» практически не изменяется. Эта отрицательная тенденция
подтверждается и периодом оборота кредиторской задолженности, который также
держится на уровне 34-35 дней.
Отрицательные тенденции показателей деловой активности организации ОАО
«Мариторгсервис» проиллюстрированы на рисунке 1.
Рис.1 Динамика показателей деловой активности
Необходимо уделить особое внимание соотношению между периодом оборота
дебиторской задолженности и периодом оборота кредиторской задолженности. В
идеале на предприятии должно наблюдаться соотношение 2 Ткз = 1 Тдз
, т.е. на один день отсрочки платежа дебиторам должно приходиться 2 дня
отсрочки платежа кредиторам. По данным таблицы 2 были рассчитаны соотношения
между периодом оборота дебиторской задолженности и периодом оборота
кредиторской задолженности за период с 2008 по 2010гг.
2008: 35Ткз = 2 Тдз То есть 17,5 Ткз =
1Тдз
: 35Ткз = 6 Тдз То есть 5,83 Ткз = 1Тдз
: 34 Ткз = 6 Тдз То есть 5,67 Ткз = 1Тдз
Анализ полученных данных показал, что соотношение между периодом оборота
дебиторской задолженности и периодом оборота кредиторской задолженности
превышает нормативное значение. Это свидетельствует о том, что финансовое
состояние организации ОАО «Мариторгсервис» является нестабильным по причине
роста дебиторской задолженности.
Результаты анализа показателей рентабельности и деловой активности
сводятся в систему единой интегральной оценки финансовой устойчивости
деятельности организации с помощью формулы Дюпона (1):
Необходимо отметить, что стратегическая финансовая модель Дюпона не
затрагивает и не оценивает процессов создания стоимости компании [8, c.21].
По данным таблицы 1 и 2 были рассчитаны показатели рентабельности и
деловой активности ОАО «Мариторгсервис» за 2008 по 2010гг.
:
(по форме1
= -5%)
2009:
(по форме1
= 4%)
2010:
(по форме1
= 7%)
Исходя из полученных результатов, можно прийти к выводу, что из-за ошибок
округлений Excel результаты вычислений общей
рентабельности (убыточности) активов по формуле Дюпона и по таблице 1
отличаются. Точные вычисления приведены в сводной таблице 2.1, где результаты
вычисления
двумя способами совпадают.
Таблица 2.1 Расчет общей рентабельности (убыточности) активов
Управление величиной рентабельности активов следует производить, опираясь
на возможные сочетания компонентов развернутой формулы в двухмерной
интерпретации. В ней устанавливаются зоны допустимой или кризисной деятельности
предприятия по двум параметрам.
На рисунке 2 отмечены положения организации ОАО «Мариторгсервис» в
определенной зоне за три анализируемых года.
Из рисунка 2 видно, что организация ОАО «Мариторгсервис» в период с
2008г. по 2010гг. переместилась из кризисной зоны в нижнюю допустимую зону
хозяйствования. Данное перемещение является положительным, причиной которого
является увеличение рентабельности продаж. Для того, чтобы организация ОАО
«Мариторгсервис» достигла идеальной зоны хозяйствования необходимо увеличить
рентабельность продаж до нормативного значения. Этого положения можно достичь,
увеличив балансовую прибыль за счет:
. снижения себестоимости проданных товаров (пищевые продукты, включая
напитки и табачные изделия);
. снижения коммерческих расходов (снижение затрат на хранение и
транспортировку продукции);
. увеличения прочих доходов, например, за счет сдачи в аренду
собственного нежилого недвижимого имущества.
.
1.3 Анализ
ликвидности и платежеспособности предприятия ОАО «Мариторгсервис»
Имущественное положение организации ОАО «Мариторгсервис» анализируется с
помощью показателей, рассчитанных в таблице 3.
Таблица 3. Оценка имущественного положения предприятия
Для расчета показателей табл. 3 применяются формулы:
(2)
(3)
(4)
Условные обозначения, применяемые в таблице:
- коэффициент износа основных средств;
А - амортизация основных средств -всего (форма №5, строка
140, графа 3 или 4);
ОФ - стоимость основных средств на начало или конец периода
(форма №5, строка 130, графа 3 или 6);
- коэффициент износа основных средств по активной части;
- амортизация активной части основных средств - всего (форма
№5, строка 142, графа 3 или 4);
- стоимость активной части основных средств (форма №5,
строки ∑(080+085), графа 3 или 6);
- коэффициент износа основных средств по пассивной части;
- амортизация пассивной части основных средств (форма №5,
строки ∑(141+143), графа 3 или 4);
- стоимость пассивной части основных средств (форма №5,
строка 130- ∑(080+085), графа 3 или 6).
Необходимо сделать вывод по динамике показателей износа, который укажет
на степень ликвидности основных средств организации ОАО «Мариторгсервис».
Согласно данным таблицы 3, коэффициент износа основных средств по активной
части на конец 2010г. больше 50%, что дает основание признать данные имущества
неликвидным. В такой ситуации необходимо приобрести новые машины и
оборудование, транспортные средства, а прежние реализовать. По данным таблицы 3
коэффициент износа основных средств по пассивной части на конец 2010г. меньше
80%, что дает основание признать данные имущества ликвидными.
Чтобы дать характеристику возможности организации «Мариторгсервис»
своевременно расплачиваться с финансовыми обязательствами, необходимо
рассчитать показатели, приведенные в табл.4:
Таблица 4. Показатели ликвидности и платежеспособности предприятия
Условные обозначения, применяемые в таблице:
- задолженность предприятия перед самим собой (форма №1,
строки ∑(640+650));
ДС - денежные средства (форма№1, строка 260).
По данным таблицы 4 следует сделать вывод, что в период с 2008 по 2010гг.
все показатели ликвидности и платежеспособности организации ОАО
«Мариторгсервис» ниже нормативных значений, что говорит о высоком финансовом
риске.
В соответствии с «Методическими положениями по оценке финансового
состояния организации и установления неудовлетворительной структуры баланса»
(распоряжение№31-р от 12.08.94) баланс организации ОАО «Мариторгсервис»
признается неудовлетворительным, а сама организация ОАО «Мариторгсервис»
несостоятельной, т.к. на конец отчетного периода фактические значения
показателей коэффициента текущей ликвидности и коэффициента обеспеченности
собственными средствами были меньше нормативов.
По данным таблицы 4 необходимо проанализировать динамику коэффициентов
абсолютной и критической ликвидности за период с 2008 по 2010гг.
Считается, что нормальным значение коэффициента абсолютной ликвидности
должно быть не менее 0,2, т.е каждый день потенциально могут быть оплачены 20%
срочных обязательств. По данным таблицы 4 видно, что в организации ОАО
«Мариторгсервис» коэффициент абсолютной ликвидности уменьшается, и его значение
не достигает 0,2. Это отрицательная тенденция, которая показывает, что ОАО
«Мариторгсервис» не может погасить текущую краткосрочную задолженность в
ближайшее время за счет своих денежных средств.
Нормативное значение для коэффициента критической ликвидности должно быть
не менее 0,5. По данным таблицы 4 видно, что в организации ОАО «Мариторгсервис»
коэффициент критической ликвидности уменьшается, и его значение не достигает
0,5. Это отрицательная тенденция, которая показывает, что ОАО «Мариторгсервис»
не в состоянии в полной мере погасить свои краткосрочные обязательства за счет
денежных средств, средств в краткосрочных бумагах, а также поступлений по
расчетам.
Отрицательные тенденции показателей ликвидности и платежеспособности
организации ОАО «Мариторгсервис» проиллюстрированы на рисунке 3.
Рис.3 Динамика показателей ликвидности и платежеспособности
.4 Анализ
финансовых коэффициентов
Финансовое состояние предприятия, его устойчивость во многом зависят от
оптимальности структуры источников капитала (соотношения собственных и заемных
средств) и от оптимальности структуры активов предприятия. Данный анализ
позволяет изучить не только структуру источников капитала предприятия, но и
произвести сравнительную оценку анализируемого предприятия с другими
конкурентами в отрасли. Финансовые коэффициенты представлены в табл.5.
Таблица 5. Динамика финансовых коэффициентов предприятия
Условные обозначения, применяемые в таблице:
ЗС - заемные средства заемные средства (форма №1, строки ∑(590+690,
графа 3 или 4);
ДКЗ - долгосрочные кредиты и займы (форма №1, строка 510, графа 3 или 4 );
КРЗ - кредиторская задолженность перед
поставщиками и подрядчиками (форма №1, строка 621, графа 3 или 4 );
З =МЗ - запасы (форма №1, строки ∑(210+220), графы3 или
4);
СОС - собственные оборотные средства (форма №1, строки
(490-190), графа 3 или 4).
По данным таблицы 5 следует сделать вывод о том, что за период с 2008 по
2010 гг. в организации ОАО «Мариторгсервис» наблюдаются положительная тенденция
по коэффициенту маневренности и коэффициенту соотношения мобильных и
иммобилизованных активов, остальные показатели имеют отрицательную тенденцию.
При этом в организации ОАО «Мариторгсервис» и у конкурента «Бор Марий Эл» долгосрочных
обязательств нет, поэтому коэффициент долгосрочного привлечения заемных средств
отсутствует.
Необходимо рассмотреть причины негативных тенденций динамики финансовых
коэффициентов ОАО «Мариторгсервис»:
. В период с 2008 по 2010гг. коэффициент автономии не достигает
нормативных значений (КА≥0,5). Как видно из формулы, это
связано с уменьшением стоимости собственных средств организации, а также с
увеличением стоимости имущества предприятия. Это является негативной
тенденцией, т.к. указывает на финансовую неустойчивость ОАО «Мариторгсервис» и
зависимость от сторонних кредиторов.
. В период с 2008 по 2010гг. коэффициент чувствительности растет, что
свидетельствует об усилении зависимости предприятия от внешних инвесторов и
кредиторов, т.е. о снижении финансовой устойчивости.
. В период с 2008 по 2009гг. коэффициент кредиторской задолженности
уменьшается, с 2009 по 2010г. увеличивается. Это связано с ростом кредиторской
задолженности в общей сумме обязательств, что означает снижение
платежеспособности и финансовой устойчивости организации ОАО «Мариторгсервис».
. В период с 2008 по 2009гг. коэффициент кредиторской задолженности перед
поставщиками и подрядчиками уменьшается, но с 2009 по 2010г. увеличивается.
Динамика данного показателя говорит о росте задолженности ОАО «Мариторгсервис»
перед поставщиками и подрядчиками.
. В период с 2008 по 2010гг. коэффициент автономии формирования запасов
отрицателен и не достигает нормативного значения 0,5, что связано с
недостаточной обеспеченностью собственными средствами организации. Динамика
данного показателя говорит о финансовой неустойчивости организации ОАО
«Мариторгсервис».
Отрицательные тенденции финансовых коэффициентов организации ОАО
«Мариторгсервис» проиллюстрированы на рисунке 4.
Рис.4 Динамика финансовых коэффициентов
По данным таблицы 5 следует сделать вывод о том, что все финансовые
коэффициенты конкурента ГУП «Бор Марий ЭЛ» имеют положительные тенденции и
соответствуют нормативным значениям. Это означает, что конкурент имеет более
стабильную структуру источников капитала по сравнению с ОАО «Мариторгсервис».
Оценки по всему комплексу рассчитанных показателей финансово-хозяйственной
деятельности предприятия не позволяет получить однозначное и достаточно
исчерпывающее представление об уровне стратегической устойчивости предприятия
ОАО «Мариторгсервис». Показатели этого комплекса могут находиться в
противоречивой взаимообусловленности.
Наиболее важные с точки зрения оценки и анализа финансового состояния
предприятия и принятия управленческих решений на перспективный период можно
представить с помощью 5-мерной графической интерпретации результатов
финансово-хозяйственной деятельности предприятия ОАО «Мариторгсервис».
RA - показатель общей рентабельности (убыточности) активов, %.
Косс - коэффициент обеспеченности собственными средствами,
р./р.
Кч - коэффициент чувствительности, р./р.
По рисунку 5 следует сделать вывод о том, что ОАО «Мариторгсервис» в
период с 2008 по 2010гг. находится в кризисном состоянии по всем показателям,
кроме отдачи оборотных активов. При этом происходят небольшие увеличения
показателя общей рентабельности (убыточности) активов и коэффициента
обеспеченности собственными средствами в сторону идеальных границ
параметрической модели, что говорит о невозможности повысить свою финансовую
устойчивость организации за счет стоимости собственных средств. Поэтому
организации ОАО «Мариторгсервис» необходимо искать внешние источники повышения
финансовой устойчивости, например, путем дополнительного выпуска акций.
RA - показатель общей рентабельности (убыточности) активов, %.
Косс - коэффициент обеспеченности собственными средствами,
р./р.
Кч - коэффициент чувствительности, р./р.
По рисунку 6 следует сделать вывод о том, что конкурент организации ОАО
«Мариторгсервис» - ГУП «Бор Марий ЭЛ» в период с 2008 по 2010гг. находится в
устойчивом финансовом состоянии по всем показателям кроме рентабельности
(убыточности) активов. При этом в соответствии с «Методическими положениями по
оценке финансового состояния организации и установления неудовлетворительной
структуры баланса» (распоряжение№31-р от 12.08.94) баланс ГУП «Бор Марий ЭЛ»
признается удовлетворительным, а сама организация ГУП «Бор Марий ЭЛ»
состоятельной, т.к. на конец отчетного периода фактические значения показателей
коэффициента текущей ликвидности и коэффициента обеспеченности собственными
средствами были выше нормативов. Поэтому у организации ГУП «Бор Марий ЭЛ» есть
внутренние резервы для повышения своей финансовой устойчивости.
В результате экспресс-диагностики хозяйственной деятельности предприятия
ОАО «Мариторгсервис» были сделаны следующие выводы:
. Исходя из формулы Дюпона и ее графической интерпретации (рис.2),
следует отметить, что организация ОАО «Мариторгсервис» в в 2010гг. по
показателям рентабельности продаж и общей капиталоотдачи активов находится в
нижней допустимой зоне хозяйствования. Но при этом финансовое положение организации
ОАО «Мариторгсервис» неустойчиво, потому что показатель рентабельности продаж
не достигает нормативного значения.
. Согласно данным 5-мерной графической интерпретации результатов
финансово-хозяйственной деятельности в период с 2008 по 2010гг. ОАО
«Мариторгсервис» находится в кризисном состоянии по всем показателям, кроме
отдачи оборотных активов. Это свидетельствует о финансовой несостоятельности
данной организации.
Таким образом, предприятию ОАО «Мариторгсервис», чтобы улучшить свое
финансовое положение, необходимо искать внешние источники повышения финансовой
устойчивости, например, путем дополнительного выпуска акций.
2.
Оценка вероятности наступления несостоятельности (банкротства) предприятия ОАО
«Мариторгсервис»
Несостоятельность (банкротство) - это признанная арбитражным судом или
объявленная должником его неспособность в полном объеме удовлетворить
требования кредиторов по денежным обязательствам и по уплате других
обязательных платежей.
В ходе анализа финансового положения организации оценивается и финансовый
риск. Финансовый риск - это риск, связанный с возможным недостатком
средств для выплаты по кредитам и займам. Возрастание финансового риска
характеризуeтcя повышением финансового рычага.
Рычаг, леверидж (leverage) - финансовый механизм управления формированием
прибыли, основанный на обеспечении необходимого соотношения отдельных видов
капитала или отдельных видов затрат.
Различают:
финансовый рычаг - механизм воздействия на уровень рентабельности
собственного капитала за счет изменения соотношения собственных и заемных
финансовых средств, используемых предприятием;
операционный рычаг - механизм воздействия на сумму и уровень прибыли за счет
изменения соотношения постоянных и переменных расходов.
Леверидж активов - финансовый механизм формирования активов, основанный на
способности собственного капитала привлекать к их финансированию разнообразные
формы заемного капитала. Его характеристикой выступает коэффициент левериджа
активов, показывающий соотношение общей суммы активов и суммы собственного
капитала предприятия.
Финансовый рычаг определяется степенью использования заемных средств для
финансирования различных активов. Увеличение доли заемного капитала в
финансировании повышает влияние прироста объема деятельности организации на ее
рентабельность. Иными словами, финансовый рычаг - это потенциальная возможность
влиять на прибыль организации путем изменения объема и структуры обязательств
[7, c.211-212]
Оценка вероятности наступления несостоятельности (банкротства) для
предприятия проводится на основе ряда методик отечественных и зарубежных
специалистов в области антикризисного управления. Некоторые методики
рассмотрены в табл.6.
Таблица 6. Оценка вероятности наступления несостоятельности
(банкротства) предприятия
Условные обозначения, применяемые в таблице:
Aм - амортизация (форма №5, строка 740, графа3);
ЗК - заемный капитал (форма №1, строки ∑(590+690),
графы ∑(3+4)/2);
КО - краткосрочные обязательства (форма №1, строка 690, графы
∑(3+4)/2).
По данным таблицы 6 необходимо сделать вывод, что предприятие ОАО
«Мариторгсервис» в период с 2008 по 2010гг по всем рассчитанным показателям
постоянно относится к группе №3, т.е. находится за год до банкротства. Это
отрицательная тенденция, т.к. это свидетельствует о несостоятельности
предприятия ОАО «Мариторгсервис» и о невозможности ОАО «Мариторгсервис»
повысить свою финансовую устойчивость за счет стоимости собственных средств.
Кроме методики У.Бивера, в американской практике используют и
двухфакторную модель. Для нее выбирают два ключевых показателя, от которых
зависит вероятность банкротства предприятия. Эта модель получена на основании
обработки данных о предприятиях-банкротах.
(5),
Где
- удельный вес заемных средств в активах предприятия;
-
коэффициенты:
,
,
.
г.:
= -0,99
г.:
= -1,05
2010г.:
= -1,25
По
полученным данным двухфакторной модели видно, что по каждому году в период с
2008 по 2010гг. Z<0. Это свидетельствует о незначительной вероятности
банкротства.
Для
подтверждения выводов, полученных по двухфакторной модели и для проведения
комплексной оценки финансового положения предприятия, применим пятифакторную
модель. Она представляет собой линейную функцию, коэффициенты которой
рассчитаны по данным статистической отчетности предприятий-банкротов США.
-
счет Альтмана
Условные
обозначения, применяемые в формуле(6) :
текущие
активы = оборотные активы (форма №1, строка 290, графы ∑(3+4)/2);
текущие
обязательства = краткосрочные обязательства (форма №1, строка 690, графы ∑(3+4)/2);
все
обязательства (форма №1, строки ∑(590+690), графы ∑(3+4)/2);
нераспределенная
прибыль (форма №1, строка 470, графы ∑(3+4)/2);
имущество
(форма №1, строка 300, графы ∑(3+4)/2);
балансовая
прибыль (форма №2, строка 140, графа 3);
объем
продаж = выручка от реализации (форма №2, строка 010, графа 3).
Данные
по рыночной котировке на предприятии отсутствуют, представлены данные только по
номинальной стоимости акций ОАО «Мариторгсервис». Поэтому значение дроби по
отношению рыночной стоимости обыкновенных и привилегированных акций к средней
стоимости имущества равно нулю.
г:
-
счет Альтмана
5,19
2009:Z
- счет Альтмана =
5,8
2010:
Z - счет Альтмана =
6,58
Применив
четырехфакторную модель оценки финансового положения предприятия, можно сделать
вывод о том, что вероятность банкротства ОАО «Мариторгсервис» мала, т.к. Z -
счет Альтмана > 2,91. Необходимо отметить, что модель Альтмана не
адаптирована для управления финансами компании, работающей на российском рынке
[8, c.21].
Проанализировав
все примененные для диагностики банкротства методы и модели, можно сделать
вывод о том, что предприятие ОАО «Мариторгсервис» относится к группе 3 -
«предприятия, способные решить проблемы несостоятельности за счет средств
сторонних инвесторов или государственной поддержки». Это подтверждают
показатели: коэффициент текущей ликвидности, коэффициент обеспеченности
собственными средствами и коэффициент восстановления платежеспособности,
которые ниже нормы. Но при этом показатели американской двухфакторной модели и
Z - счет Альтмана выше нормы, что говорит о возможности повысить свою
финансовую устойчивость за счет средств сторонних инвесторов или государственной
поддержки. Так, например, Федеральное агентство по управлению федеральным
имуществом (владеет 100% акций ОАО «Мариторгсервис») проводило в 2009 и 2010гг.
аукционы по продаже акций ОАО «Мариторгсервис». Но оба аукциона не состоялись
по причине отсутствия заявок.
3.
Анализ внешней среды предприятия ОАО «Мариторгсервис»
Анализ внешней среды фирмы, выполненный относительно цели и круга
продуктовых бизнес-процессов, позволяет оценить стратегический климат или
стратегические условия, создаваемые внешней средой; оценить возможности и
угрозы.
Анализ внешней среды предполагает изучение двух ее составляющих -
макроокружения (среда косвенного действия) и непосредственного окружения (среда
прямого воздействия). Цель данного анализа - выяснение, на что может
рассчитывать предприятие, если оно успешно поведет работу, какие осложнения
могут его ждать, если оно не сумеет вовремя отвратить возможные негативные
события. Изучение компонентов макроокружения не должно заканчиваться только
констатацией того, в каком состоянии они пребывали ранее или пребывают сейчас.
Важно также вскрыть тенденции, которые характерны для изменения состояния
отдельных важных факторов и попытаться предсказать тренды развития этих
факторов, чтобы предвидеть то, какие угрозы могут ожидать фирму и какие
возможности могут открыться перед ней в будущем [18, с.127].
3.1 Анализ
макроокружения предприятия ОАО «Мариторгсервис»
Анализ макроокружения включает изучение влияния политических процессов,
состояния экономики, правового регулирования и управления, социальной и
культурной составляющих общества, научно-технического и технологического
развития общества. Необходимо отметить, что рынки сбыта у предприятия ОАО
«Мариторгсервис» находятся в Медведевском районе Республики Марий Эл. В связи с
этим, анализ макроокружения был рассмотрен по данным Республики Марий Эл.
Пример анализа макроокружения предприятия ОАО «Мариторгсервис» представлен в
табл. 7:
Таблица 7. Анализ макроокружения предприятия ОАО «Мариторгсервис»
|
Фактор
|
Проявление
|
Возможная реакция предприятия
|
|
Политические процессы
|
|
Политика Государственного собрания в Республике Марий Эл
|
8 декабря на 21-й сессии Государственного собрания будет
принят бюджет Республики Марий Эл на 2012г., в котором более 60 % расходной
части будет направлено на выполнение обязательств государства перед
гражданами, а также предусматривается переход на новую форму оплаты труда
[3]. В соответствии с Федеральным законом от 24.06.2008 № 91-ФЗ, Федеральным
законом от 29.12.2004 № 198-ФЗ, Федеральным законом от 19.06.2000 № 82-ФЗ «О
минимальном размере оплаты труда» минимальный размер оплаты труда с 1 июня
2011 года в сумме 4 611 рублей в месяц. В Республике Марий Эл в РМЭ с
01.11.2011 рекомендуемый уровень МРОТ (за исключением бюджетной сферы) 5652
руб.
|
Приспособление к новым условиям хозяйствования: внедрение
новой формы оплаты труда на предприятии и доведения заработной платы до
уровня МРОТ в Республике Марий Эл.
|
|
Расстановка политических сил в Республике Марий Эл,
политика партии «Единая Россия»
|
В Государственном собрании Республики Марий Эл V созыва
представлены 52 депутата. Фракциями региональных отделений политических
партий в Государственном Собрании Республики Марий Эл пятого созыва являются:
1. "ЕДИНАЯ РОССИЯ" - 44 депутата. 2. "Либерально - демократическая
партия России" - 2 депутата. 3. Марийское республиканское отделение
Коммунистической партии Российской Федерации - 6 депутатов. Идеология партии
«Единая Россия»- постепенное и уверенное развитие, постоянное производство и
накопление улучшений. В социально-экономической сфере - это накопление
социальной справедливости в рыночной экономике. В развитии общества - это
накопление инноваций, ценностей, человеческого и социального капитала. В
политике - это накопление демократии и доверия к политическим институтам, в первую
очередь к выборам [20]. Партия «Единая Россия» в Республике Марий Эл проводит
различные партийные проекты, такие как «Кадровый резерв», «Качество жизни»,
«Народный контроль». При реализации проекта «Развитие Рунета» ставится задача
по развитию Интернета как инновационного сектора экономики России [22].
|
Создание ОАО «Мариторгсервис» собственного интернет-сайта в
рамках реализации партийного проекта «Развитие Рунета», осуществляемой
партией «Единая Россия»
|
|
Политика главы республики Марий Эл по поддержке малого и
среднего бизнеса
|
В Республике Марий Эл принята республиканская целевая
программа «Развитие малого и среднего предпринимательства в Республике Марий
Эл на 2009-2011 годы», согласно которой одной из главных мер по развитию
кредитно-финансовых механизмов поддержки малого и среднего
предпринимательства является развитие системы предоставления микрозаймов
субъектам малого и среднего предпринимательства по упрощенной схеме. В
программе предусмотрено предоставление микрозаймов субъектам малого и среднего
предпринимательства на сумму не менее 39 млн. рублей. На заседании членов
правительства 1 апреля 2011г. Глава Республики Марий Эл Леонид Маркелов
утвердил, что со второго полугодия 2011 года предприниматели, чьи проекты
пройдут экспертизу, смогут получить в пределах 10 % от суммы свыше 500 тыс.
рублей в качестве компенсации от средств, направленных на приобретение нового
оборудования [13].
|
Взаимодействие с Республиканским фондом поддержки малого и
среднего предпринимательства для получения микрозайма или гранта с целью
вложения во внеоборотные активы, а именно для приобретения новых торговых
площадей.
|
|
Влияние политики Правительства РМЭ на развитие микробизнеса
|
Республиканской целевой программой развития малого и
среднего предпринимательства в Республике Марий Эл на 2012-2016 годы
предусмотрены значительные бюджетные средства для стимулирования
предпринимательской деятельности. На эти цели намечается направить 547 млн.
руб., в том числе из федерального бюджета - 432 млн. руб. и республиканского
- 115 млн. рублей. На мероприятия программы 2012 год предусматривается
выделить выделить соответственно 71 млн. и 19 млн. рублей. В проекте бюджета
Марий Эл на 2012 год запланированы также средства на поддержку деятельности
бизнес-инкубаторов, на гранты главы республики начинающим деятельность
субъектам малого предпринимательства, развитие системы предоставления
микрозаймов, содействие развитию инновационной деятельности, организацию и
проведение республиканских конкурсов и по другим направлениям [20].
|
Взаимодействие ОАО «Мариторгсервис» с АНО «Бизнес-инкубатор
Республики Марий Эл» в целях получения микрозайма в размере до 100 тысяч
рублей сроком до 1 года, а также использования услуг по обучению и повышению
квалификации персонала, по разработке бизнес-планов, бизнес-проектов.
|
|
Состояние экономики
|
|
Дефицит консолидированного бюджета Республики Марий Эл
|
2008г. = - 696,1 млн. руб. 2009г. = -570,1 млн. руб. 2010г.
= - 1504,4 млн. руб. [15].
|
Увеличение дефицита бюджета РМЭ приведет к сокращению
объема государственных трансфертов. Поэтому ОАО «Мариторгсервис» будет
действовать за счет собственных и заемных средств.
|
|
Уровень инфляции
|
Инфляция в России составила по итогам октября 2010г.
составила 0,5%. За период с начала года потребительские цены в стране выросли
на 6,8%, тогда как в 2009г. этот показатель составлял 8,1%. При этом
стоимость минимального набора продуктов питания в среднем по России выросла
по итогам октября 2010г. на 0,9% и составила по состоянию на конец октября
2,465 тыс. руб. С начала 2010г. продуктовая корзина подорожала на 15,2%
[Росстат: Инфляция #"583257.files/image063.gif"> Эффективность найма персонала 2008 2009 2010 -0,303
-0,152 0,004
|
1. отсутствие эффективной системы мотивации сотрудников 2.
неэффективная система повышения квалификации, которая проявляется в отсутствии
обучающих семинаров, тренингов по организации рекламных акций, а также
отсутствие системы наставничества. 3. неэффективная система оценки качества
кадров (не проводятся аттестации)
|
|
5. Система управления организацией
|
1. компетентное руководство 2. наличие должностных
инструкций 3. организационно-правовая форма открытое акционерное общество,
весь пакет акций принадлежит Федеральному агентству по управлению федеральным
имуществом (г.Москва)
|
1. недостаточное внимание социально-психологическим методам
управления 2. централизация управленческих функций
|
|
6. Эффективность деятельности предприятия
|
1. эффективность системы контроля финансового положения.
Например, Федеральное агентство по управлению федеральным имуществом (владеет
100% акций ОАО «Мариторгсервис») проводило в 2009 и 2010гг. аукционы по
продаже акций ОАО «Мариторгсервис». Но оба аукциона не состоялись по причине
отсутствия заявок.
|
1. незначительная доля рынка (1,08%) 2. недостаточность
эффективности рыночных исследований Эффективность рыночных
исследований 2008 2009 2010 -0,162 -0,075 0,002
|
4.2 SWOT-анализ
Развитие любых рыночных структур должно отвечать требованиям, диктуемым
новыми условиями хозяйствования:
) иметь широкую рыночную нишу, гарантирующую устойчивый, перспективный
спрос на продукцию предприятия на внутреннем и внешнем рынках;
) быть способным разрабатывать и производить конкурентоспособную
продукцию;
) обеспечивать целесообразное совмещение функций управления, необходимых
для устойчивой работы предприятия;
) использовать весь комплекс прав и возможностей для поддержания
платежеспособного спроса на продукцию предприятия;
) располагать достаточными активами и обладать необходимой финансовой
устойчивостью для привлечения заемных средств на свободном финансовом рынке.
Внешняя среда воспринимается организацией одновременно и как система,
содержащая благоприятные для организации параметры, и как система, включающая
неблагоприятные факторы. Благоприятные параметры воспринимаются организацией
как возможности (развития, повышения эффективности и т. д.), а неблагоприятные
как угрозы.
Для изучения состояния организации применяют метод SWOT-анализ. Название
метода происходит от слов strengths - weaknesses - opportunities - threats, что
в переводе означает: сила - слабости - возможности - угрозы [12, c.64].
Представим исходную информацию для SWOT - анализа ОАО «Мариторгсервис» в
табл. 12:
Таблица 12. Исходная информация для SWOT-анализа предприятия ОАО
«Мариторгсервис»
|
Возможности (О):
|
Сильные стороны (S):
|
|
Государственная поддержка малого и среднего бизнеса
|
рациональная структура предприятия (главный офис и 5
магазинов)
|
|
Большая доступность ресурсов, наличие постоянных
поставщиков
|
наличие внутренней кооперации между подразделениями
предприятия
|
|
Внедрение информационных технологий в организацию труда
|
эффективная система контроля качества потребительских
товаров
|
|
Наличие трудоспособного населения на рынке труда
|
возможность получения дополнительного дохода за счет сдачи
в аренду складских помещений
|
|
Повышение занятости в РМЭ способствует увеличению
платежеспособного спроса
|
широкий ассортимент продовольственных товаров
|
|
В РМЭ с 1.10.2011г. увеличился МРОТ до 5652руб.
|
налаженная система сбыта товаров и услуг
|
|
Высокая привязанность потребителей
|
наличие собственных складских помещений
|
|
Основным потребителями широкого спектра продуктовых товаров
является группа населения с доходами от 4000руб. до 15000руб., что составляет
18, 67%
|
наличие собственной локальной торговой сети
|
|
Естественный прирост населения
|
Наличие собственных транспортных средств
|
|
наличие квалифицированных специалистов
|
|
наличие социального пакета
|
|
рост эффективности системы найма, подготовки и продвижения
кадров Эффективность найма персонала
2008 2009 2010 -0,303 -0,152 0,004
|
|
компетентное руководство
|
|
наличие должностных инструкций
|
|
организационно-правовая форма открытое акционерное
общество, весь пакет акций принадлежит Федеральному агентству по управлению
федеральным имуществом (г.Москва)
|
|
Внешние угрозы (Т):
|
Внутренние слабости (W):
|
|
Контроль государства за осуществлением торговой
деятельности и установления предельно допустимых розничных цен на отдельные
виды социально значимых продовольственных товаров первой необходимости.
|
сильно изношенные основные средства (машины и оборудование,
транспортные средства)
|
|
Государственный контроль над качеством пищевых продуктов
|
сильная зависимость от основного собственника компании
|
|
Усиление позиций конкурентов на сегменте рынка
продовольственных товаров
|
отсутствие средств на изучение потребностей рынка
продовольственных товаров
|
|
Увеличение дефицита бюджета РМЭ
|
отсутствие возможности расширения рынка сбыта
|
|
Появление на рынке продовольственных товаров потенциального
конкурента
|
отсутствие СУБД (система управления базы данных),
|
|
Увеличение инфляции на продукты питания
|
неиспользование сети интернет
|
|
Низкая платежеспособность спроса основной категории
потребителей
|
отсутствие автоматических электронных магазинов.
|
|
Снижение процента сельского населения
|
отсутствие эффективной система мотивации сотрудников
|
|
Отказ банков в выдаче кредитов
|
неэффективная система повышения квалификации.
|
|
Агрессивная политика действующих конкурентов
|
неэффективная система оценки качества кадров (не проводятся
аттестации)
|
|
Усиление требований поставщиков
|
недостаточное внимание социально-психологическим методам
управления
|
|
Повышение уровня требований потребителей услуг по аренде
складских площадей
|
централизация управленческих функций
|
|
незначительная доля рынка (1,08%)
|
|
недостаточность эффективности рыночных исследований Эффективность рыночных
исследований 2008 2009 2010 -0,162 -0,075 0,002
|
Для установления связей между сильными и слабыми сторонами предприятия, а
также угрозами и возможностями составим матрицу SWOT - анализа. Для предприятия
ОАО «Мариторгсервис» она имеет следующий вид (рис.9):
|
Изменения внешней среды
|
Возможности: 1. Государственная поддержка малого и среднего
бизнеса 2. Большая доступность ресурсов, наличие постоянных поставщиков 3.
Внедрение информационных технологий в организацию труда
|
Угрозы: 1. Контроль государства за осуществлением торговой
деятельности и установления предельно допустимых розничных цен на отдельные
виды социально значимых продовольственных товаров первой необходимости. 2.
Государственный контроль над качеством пищевых продуктов 3. Усиление позиций
конкурентов на сегменте рынка продовольственных товаров
|
|
Характеристики внутренней среды
|
|
|
|
|
Сильные стороны: 1. возможность
получения дополнительного дохода за счет сдачи в аренду складских помещений 2. наличие собственной локальной торговой сети 3. Широкий ассортимент продукции
|
Поле СИВ 1. Увеличение
доли рынка благодаря развитию собственной локальной сети (1,2,3 - 1,2,3); 2. Повышение управляемости производственного процесса
за счет внедрения информационных технологий (1 - 3)
|
Поле СИУ 1. Разработка
стратегии продвижения высококачественной продукции (2,3 -1,2, 3); 2. Совершенствование процесса реализации готовой
продукции (1-3).
|
|
Слабые стороны: 1. сильно
изношенные основные средства (машины и оборудование, транспортные средства) 2. сильная зависимость от основного собственника
компании 3. незначительная доля рынка (1,08%)
|
Поле СЛВ 1. Увеличение
самостоятельности предприятия за счет предложения различных вариантов
стратегий развития на рынке (2 - 1,2,3); 2. Приобретение
новых основных средств за счет государственной поддержки в виде микрозайма
(1-1)
|
Поле СЛУ 1. Разработка
стратегии реализации продовольственной продукции с учетом увеличения
государственного регулирования в сфере продаж продуктов питания (2 - 1,2); 2. Разработать стратегии увеличения собственной
локальной сети в сельской местности (3- 3).
|
5.
Уточнение миссии предприятия ОАО «Мариторгсервис» и определение его
стратегических и тактических целей
Для того чтобы выбрать и разработать стратегию развития предприятия ОАО
«Мариторгсервис», необходимо определить миссию и цели фирмы, а также оценить
состояние её внешней и внутренней среды.
Миссия - основная (общая) цель деятельности организации, четко выражающая
причины ее существования и общественно-социальную значимость.
Миссия дает критерии для последующего процесса принятия решения, на ее
основе строится деятельность компании [11, с.17,18].
Необходимо выделить следующие положения, последовательно раскрывающие
роль предприятия в обществе:
миссия - предназначение - организация розничной торговли для обеспечения
населения Медведевского района продовольственными товарами.
миссия-ориентация - организация розничной торговли с помощью ответственных
партнерских отношений с поставщиками и удовлетворение потребностей населения
Медведевского района в качественных продовольственных товарах.
миссия-политика - обеспечение населения всего Медведевского района более
качественными, чем у конкурентов, продовольственными товарами и более полное
удовлетворение потребности покупателей в здоровом питании.
Существует широкое и узкое понимание миссии. Широкий подход используется
компаниями с обширной целевой аудиторией и глобальной географией деятельности.
Узкий подход к формулировке миссии используется компаниями, целью которых
является концентрация внимания заинтересованных лиц, на конкретных аспектах
своей стратегии и определенных видов продукции, группах клиентов, рынках,
географических регионах или путях достижения целей бизнеса. Для ОАО
«Мариторгсервис» необходимо использовать узкий подход для определения миссии,
т.к. для успеха ее деятельности требуется четкое понимание основных аспектов ее
деятельности.
Миссия ОАО «Мариторгсервис»: организация розничной торговли на
основе знания потребностей покупателей, обеспечения лучшего, чем у конкурентов,
уровня обслуживания и поддержки ответственных партнерских отношений с
поставщиками для предоставления населению Медведевского района качественных
продовольственных товаров.
При формировании решения по выбору стратегии ОАО «Мариторгсервис»
составим структуру стратегических целей деятельности предприятия - «дерево
целей» (рис.10)
Исследование и оценка действующей стратегии предприятия
На основе данных бухгалтерской отчётности за 2008-2010гг. определим
технико-экономические показатели ОАО «Мариторгсервис» и представим их в
табл.13.
Определяющими элементами стратегии являются решения о размещении
ресурсов, адаптация к внешней среде, внутренняя координация, создание
длительных конкурентных преимуществ [28, с.10]. Следует определить существующую
стратегию предприятия ОАО «Мариторгсервис» по следующим классификационным
признакам:
I. по уровню принятия решений - корпоративная (торговля
широким ассортиментом продовольственных товаров, включая напитки и табачные
изделия, а также сдача внаем собственного нежилого недвижимого имущества.);
II. по оценке конкурентоспособности - стратегия фокусирования,
т.к. ОАО «Мариторгсервис» сосредоточил свое внимание на определенном сегменте
рынка (Медведский район), где ориентируясь на сельских жителей, обеспечивает их
качественными продуктами питания;
III. по стадии жизненного цикла - стратегия интегрированного
роста. ОАО «Мариторгсервис» находится на стадии юности, т.к. ОАО
«Мариторгсервис» был создан в 2006г. путем преобразования федерального
государственного унитарного предприятия «ОРС Пригородного лесхоза» и является
его правопреемником и на данный момент идет формирование рыночной доли фирмы и
происходит борьба за потребителей и поставщиков;
IV. по агрессивности поведения предприятия на конкурентном
рынке -
наступательная стратегия, а именно стратегия развития «продукт-рынок», т.е.
усиление позиций на рынке. Данная стратегия направлена на выживание и
сохранение конкурентных преимуществ ОАО «Мариторгсервис», а также обеспечивает
концентрацию усилий на рентабельных сегментах рынка.
Рис.10 Структура (дерево) целей предприятия ОАО «Мариторгсервис
Исследование и оценка действующей стратегии предприятия
На основе данных бухгалтерской отчётности за 2008-2010гг. определим
технико-экономические показатели ОАО «Мариторгсервис» и представим их в
табл.13.
Таблица 13. Технико-экономические показатели ОАО
«Мариторгсервис» за 2007-2010гг. (руб.)
|
Годы
|
ЗП
|
СС
|
МЗ
|
П
|
|
2007
|
8 100 000
|
1 084 000
|
1 991 000
|
228 000
|
-194 000
|
|
2008
|
10 380 000
|
1 351 000
|
2 530 000
|
293 000
|
-90 000
|
|
2009
|
12 328 000
|
1 490 000
|
3 021 000
|
350 000
|
83 000
|
|
2010
|
15 368 000
|
1 847 000
|
3 486 000
|
565 000
|
145 000
|
Определим стадию жизненного цикла предприятия на основе динамики прибыли
(рис.11) за анализируемый период:
Рис. 11 Динамика балансовой прибыли и полной себестоимости
предприятия ОАО «Мариторгсервис» за 2007-2010гг.
Рис. 12 Кривая прибыли предприятия ОАО «Мариторгсервис» за
2007-2010гг.
Анализируемое предприятие ОАО «Мариторгсервис» находится в стадии юности,
т.к.:
. ОАО «Мариторгсервис» было создано в 2006г. путем преобразования
федерального государственного унитарного предприятия «ОРС Пригородного лесхоза»
и является его правопреемником.
. Наблюдается увеличение балансовой прибыли.
Следовательно, нормативный динамический ряд показателей можно представить
в виде: ТЗП<ТСС< ТМЗ<ТВ<ТП.
Определим темпы изменения технико-экономических показателей предприятия
за 2008 - 2010 гг. Результаты расчета представим в табл. 14:
Таблица 14. Темпы изменения технико-экономических показателей
ОАО «Мариторгсервис» за 2008-2010гг.(%)
|
Годы
|
Темпы изменения показателей, %
|
|
В
|
ЗП
|
СС
|
МЗ
|
П
|
|
2008
|
128
|
125
|
127
|
129
|
46
|
|
2009
|
119
|
110
|
119
|
119
|
Темп роста нельзя рассчитывать по разнознаковым значениям
Показатель - самый низкий
|
|
2010
|
125
|
124
|
115
|
161
|
175
|
Определим фактические динамические ряды для каждого года анализируемого
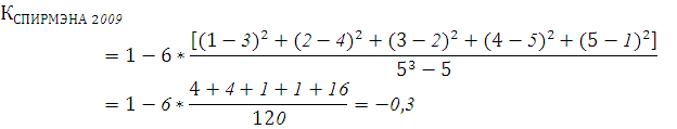
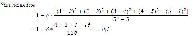
периода и рассчитаем коэффициент Спирмэна.
Практический расчет коэффициента ранговой корреляции Спирмена включает
следующие этапы:
) Сопоставить каждому из признаков их порядковый номер (ранг) по
убыванию.
) Определить разности рангов каждой пары сопоставляемых значений.
) Возвести в квадрат каждую разность и суммировать полученные результаты.
) Вычислить коэффициент ранговой корреляции (коэффициента Спирмэна).
,
где
- сумма квадратов разностей рангов показателей в ряду;
n - количество
рангов в ряду (в нашем случае n=5).
Результаты
расчета представим в табл. 15:
Таблица
15. Фактические динамические ряды предприятия ОАО «Мариторгсервис» за
2008-2010гг.
|
Годы
|
ранги
|
К Спирмэна
|
Примечание
|
|
В
|
ЗП
|
СС
|
МЗ
|
П
|
|
|
|
2008
|
2
|
4
|
3
|
1
|
5
|
-0,1
|
|
|
2009
|
3
|
4
|
2
|
1
|
5
|
-0,3
|
Темп роста нельзя рассчитывать по разнознаковым значениям
Показатель - самый низкий
|
|
2010
|
3
|
4
|
5
|
2
|
1
|
0,8
|
|
Рис. 13 Динамика коэффициента Спирмэна предприятия ОАО
«Мариторгсервис» за 2008-2010гг.
Динамика коэффициента Спирмэна показывает, что в период 2008-2009гг.
наблюдается незначительный рост величины коэффициента Спирмена, а в период с
2009 по 2010гг. произошло резкое снижение коэффициента. Это означает, что
стратегия интегрированного роста, которая была принята на стадии «юности»,
оказалась неуспешной из-за неправильной реализации. Несмотря на то что ОАО
«Мариторгсервис» вышло из кризисной зоны в допустимую зону хозяйствования, но
его финансовое положение осталось нестабильным, что подтверждают низкие
показатели рентабельности, коэффициенты текущей ликвидности и обеспеченности
собственными средствами.
О.С. Виханский выделяет 5 типов изменений стратегии: перестройка
организации, радикальное преобразование, умеренное преобразование, обычные
изменения, неизменяемое функционирование[5, c.252]. Среди них ОАО «Мариторгсервис» необходимо выбрать
умеренное преобразование, чтобы изменить политику маркетинга по внедрению новых
продовольственных товаров. Преждевременное реагирование на изменение условий
деятельности может привести к тому, что организация, по определению И. Ансоффа,
может оказаться «мертвым героем» [28, c.128].
Необходимо отметить, что проведение ряда маркетинговых мероприятий
является необходимым элементом системы менеджмента стоимости предприятия,
способствующей повышению конкурентоспособности предприятия [2, c. 43].
Чтобы достичь стабильного финансового положения, ОАО «Мариторгсервис»
необходимо основные усилия направить:
. на снижение себестоимости товаров (пищевые продукты, включая напитки и
табачные изделия);
. на снижение коммерческих расходов (снижение затрат на хранение и
транспортировку продукции);
. на увеличение прочих доходов, например, за счет сдачи в аренду
собственного нежилого недвижимого имущества.
6.
Определение и выбор стратегии развития ОАО «Мариторгсервис». Прогнозирование
развития и планирование хозяйственной деятельности предприятия ОАО
«Мариторгсервис»
Для формирования продуктовой стратегии ОАО «Мариторгсервис» проведём
портфельный анализ, рассмотрев основные продукты предприятия. Объем реализованной
продукции за последние 3 года и долю рынка ОАО «Мариторгсервис» и основного
конкурента ГУП «Бор Марий Эл» по каждому виду продукции представим в табл.16
Таблица 16. Характеристика портфеля предложений ОАО
«Мариторгсервис»
|
N
|
Виды продукции
|
Объем реализации, тыс. руб.
|
Доля рынка в отчетном (2010)году, %
|
|
|
2008
|
2009
|
2010
|
Предприятие
|
Основной конкурент ГУП "БОР Марий Эл"
|
|
1
|
Хлеб ржаной
|
179 964
|
169 849
|
160 147
|
30
|
21
|
|
2
|
Хлеб белый
|
183 983
|
172 077
|
160 786
|
25
|
17
|
|
3
|
макароны "Ярмарка"
|
57 791
|
66 664
|
98 773
|
11
|
10
|
|
4
|
мука Макфа
|
0
|
22 101
|
32 285
|
2
|
22
|
|
5
|
гречневая крупа
|
191 431
|
175 874
|
161 425
|
19
|
14
|
|
6
|
рисовая крупа
|
0
|
22 221
|
32 924
|
3
|
25
|
|
7
|
горох
|
0
|
22 815
|
33 564
|
2
|
20
|
|
8
|
огурцы
|
76 316
|
69 499
|
65 529
|
9
|
10
|
|
9
|
томаты
|
74 182
|
68 763
|
64 251
|
15
|
17
|
|
10
|
картофель
|
76 660
|
68 608
|
62 972
|
12
|
14
|
|
11
|
сахар
|
0
|
23 315
|
34 203
|
1
|
12
|
|
12
|
соль Экстра
|
0
|
23 818
|
34 842
|
2
|
17
|
|
13
|
конфеты Детский сувенир
|
0
|
21 455
|
29 089
|
9
|
13
|
|
14
|
конфеты Детям
|
59 652
|
68 054
|
99 413
|
20
|
18
|
|
15
|
конфеты Левушка
|
0
|
23 189
|
31 646
|
12
|
16
|
|
16
|
конфеты Нуга
|
0
|
23 019
|
31 006
|
13
|
18
|
|
17
|
конфеты Карамель
|
60 866
|
67 946
|
96 536
|
15
|
13
|
|
18
|
молоко
|
76 927
|
71 949
|
64 890
|
17
|
19
|
|
19
|
масло подсолнечное Кухарка
|
0
|
22 838
|
30 367
|
19
|
26
|
|
20
|
масло подсолнечное Олейна
|
93 929
|
86 296
|
63 931
|
5
|
10
|
|
21
|
масло подсолнечное Семечка
|
63 667
|
69 576
|
96 216
|
18
|
16
|
|
22
|
масло сливочное
|
84 047
|
65 744
|
95 896
|
33
|
24
|
|
23
|
яйца
|
95 312
|
86 043
|
63 292
|
9
|
19
|
|
24
|
чай Липтон
|
202 514
|
179 696
|
162 065
|
27
|
18
|
|
25
|
чай Нури
|
73 186
|
78 329
|
95 577
|
25
|
18
|
|
26
|
кисель (пачка)
|
70 941
|
74 393
|
95 257
|
19
|
14
|
|
27
|
майонез Провансаль
|
0
|
22 643
|
29 728
|
15
|
22
|
|
28
|
майонез Ряба
|
193 190
|
182 331
|
157 589
|
35
|
21
|
|
29
|
майонез Сдобри
|
67 326
|
75 974
|
94 937
|
15
|
11
|
|
30
|
кетчуп Махеев
|
200 755
|
186 088
|
159 508
|
29
|
17
|
|
31
|
пиво Балтика 2
|
67 504
|
74 554
|
94 298
|
30
|
18
|
|
32
|
пиво Балтика 3
|
75 854
|
93 659
|
20
|
13
|
|
33
|
водка Ярмак
|
72 209
|
76 495
|
93 339
|
25
|
15
|
|
34
|
водка Зеленая марка
|
68 759
|
78 443
|
96 855
|
16
|
11
|
|
35
|
минералка "Ессентуки"
|
94 855
|
86 382
|
62 652
|
11
|
23
|
|
36
|
сигареты Балканские
|
210 515
|
188 406
|
158 868
|
32
|
19
|
|
37
|
сигареты Прима
|
202 056
|
190 699
|
158 229
|
21
|
12
|
|
Итого
|
2 968 680
|
3 082 000
|
3 196 544
|
621
|
623
|
Продуктовая стратегия предприятия формируется с использованием матрицы
БКГ. Алгоритм расчета следующий:
1) В качестве критериев при построении двухмерной матрицы БКГ
рассматриваются темпы роста рынка (объемов реализации) ТРР и относительная доля
рынка ОДР.
2) Рассчитывается ТРР. Этот показатель характеризует изменение объемов
реализации продукции по каждому виду продукции. ТРР определяется как отношение
объема реализации за последний отчетный период к объему реализации за
предыдущий период и выражается относительной величиной (коэффициент).
) Рассчитывается ОДР по каждому виду продукции как отношение доли
предприятия на рынке к доли ведущего конкурента. Доля рынка предприятия
(конкурента) находится как отношение объема реализации к емкости рынка данной
продукции. ОДР выражается в относительных величинах.
) Рассчитывается доля каждого вида продукции в общем объеме реализации
за отчетный год. Доля определяется в процентах.
) Все рассчитанные данные сводятся в табличную форму (табл.17).
Таблица 17. Исходные данные для построения матрицы БКГ ОАО
«Мариторгсервис»
|
N
|
Продукт
|
ТРР
|
ОДР
|
Доля продукции в общем объеме реализации предприятия в
2010г.
|
|
1
|
Хлеб ржаной
|
0,942879
|
1,43
|
5,010005
|
|
2
|
Хлеб белый
|
0,934384
|
1,47
|
5,029995
|
|
3
|
макароны "Ярмарка"
|
1,481654
|
1,1
|
3,089993
|
|
4
|
мука Макфа
|
1,460794
|
0,09
|
1,009997
|
|
5
|
гречневая крупа
|
0,917845
|
1,36
|
5,049985
|
|
6
|
рисовая крупа
|
1,481661
|
0,12
|
1,029987
|
|
7
|
горох
|
1,471137
|
0,1
|
1,050009
|
|
8
|
огурцы
|
0,942877
|
0,9
|
2,049995
|
|
9
|
томаты
|
0,934383
|
0,88
|
2,010015
|
|
10
|
картофель
|
0,917852
|
0,86
|
1,970003
|
|
11
|
сахар
|
1,466995
|
0,08
|
1,069999
|
|
12
|
соль Экстра
|
1,462843
|
0,12
|
1,089990
|
|
13
|
конфеты Детский сувенир
|
1,355814
|
0,69
|
0,910014
|
|
14
|
конфеты Детям
|
1,460796
|
1,11
|
3,110015
|
|
15
|
конфеты Левушка
|
1,364699
|
0,75
|
0,990007
|
|
16
|
конфеты Нуга
|
1,346974
|
0,72
|
0,969985
|
|
17
|
конфеты Карамель
|
1,420775
|
1,15
|
3,020012
|
|
18
|
молоко
|
0,901889
|
0,89
|
2,030005
|
|
19
|
масло подсолнечное Кухарка
|
1,329670
|
0,73
|
0,949995
|
|
20
|
масло подсолнечное Олейна
|
0,740834
|
0,5
|
2,000004
|
|
21
|
масло подсолнечное Семечка
|
1,382891
|
1,13
|
3,010001
|
|
22
|
масло сливочное
|
1,458627
|
1,38
|
2,999990
|
|
23
|
яйца
|
0,735586
|
0,47
|
1,980013
|
|
24
|
чай Липтон
|
0,901884
|
1,5
|
5,070007
|
|
25
|
чай Нури
|
1,220199
|
1,39
|
2,990010
|
|
26
|
кисель (пачка)
|
1,280456
|
1,36
|
2,980000
|
|
27
|
майонез Провансаль
|
1,312900
|
0,68
|
0,930004
|
|
28
|
майонез Ряба
|
0,864302
|
1,67
|
4,929981
|
|
29
|
майонез Сдобри
|
1,249599
|
1,36
|
2,969989
|
|
30
|
кетчуп Махеев
|
0,857164
|
1,71
|
4,990014
|
|
31
|
пиво Балтика 2
|
1,264828
|
1,67
|
2,949998
|
|
32
|
пиво Балтика 3
|
1,234727
|
1,54
|
2,930008
|
|
33
|
водка Ярмак
|
1,220197
|
1,67
|
2,919997
|
|
34
|
водка Зеленая марка
|
1,234718
|
1,45
|
3,029991
|
|
35
|
минералка "Ессентуки"
|
0,725290
|
0,48
|
1,959992
|
|
36
|
сигареты Балканские
|
0,843222
|
1,68
|
4,969993
|
|
37
|
сигареты Прима
|
0,829732
|
1,75
|
4,950002
|
Построим матрицу БКГ. В качестве масштаба оценки отдельных видов
продуктов принимаются:
) средний индекс ТРР=1,16;
) средний индекс ОДР определяется как средняя величина в диапазоне от
минимального до максимального расчетного значения по табл. 17.
) кругами изображаются доли объема реализации каждого вида продукции в
общем объеме реализации предприятия.
Рис. 14. Матрица БКГ ОАО «Мариторгсервис»
Как видно из рисунка 14, рассматриваемые виды продукции попали во все
сегменты матрицы БКГ. Однако 48,6% от всего количества реализуемых продуктов
относятся к группам «Собака на сене» и «Знак вопроса». Это приводит к не самым
лучшим результатам функционирования предприятия: низкие показатели
рентабельности и ликвидности.
Таблица 18. Вариант продуктовой стратегии ОАО
«Мариторгсервис»
|
Сегмент матрицы БКГ
|
№ продуктов
|
Стратегии
|
|
«Знак вопроса»
|
4 мука Макфа
|
Стратегия диверсификации, направленная на расширение
ассортимента товара: мука Макфа высшего сорта и мука Макфа блинная.
|
|
6 рисовая крупа
|
Стратегия диверсификации, направленная на расширение
ассортимента товара: Краснодарский рис, рис, обработанный паром.
|
|
7 горох
|
Стратегия диверсификации, направленная на расширение
ассортимента товара: цельный горох, дробленный горох
|
|
11 Сахар
|
Стратегия диверсификации, направленная на расширение
ассортимента товара: сахар-рафинад, сахарный песок.
|
|
12 соль Экстра
|
Стратегия диверсификации, направленная на расширение
ассортимента товара: белая соль, черная соль
|
|
13 конфеты Детский сувенир
|
Стратегия ликвидации, направленная на прекращение продажи
данного товара, т.к. имеются пользующиеся стабильным спросом конфеты Детям.
|
|
15 конфеты Левушка
|
Стратегия ликвидации, направленная на прекращение продажи
данного товара, т.к. имеются пользующиеся стабильным спросом конфеты Детям.
|
|
16 конфеты Нуга
|
Стратегия диверсификации, направленная на увеличение
ассортимента товара, Нуга шоколадная Нуга ванильная
|
|
19 масло подсолнечное Кухарка
|
Стратегия ликвидации, направленная на прекращение продажи
данного товара, т.к. имеется пользующийся стабильным спросом товар - масло
подсолнечное Семечка.
|
|
27 майонез Провансаль
|
Стратегия ликвидации, направленная на прекращение продажи
данного товара, т.к. имеется пользующийся стабильным спросом товар - майонез
Сдобри.
|
|
«Звезда»
|
14 конфеты Детям
|
Стратегия расширения рынка, направленная на поиск новых
покупателей. Например, снабжение Люльпанского детского дома.
|
|
17 конфеты Карамель
|
Стратегия расширения рынка, направленная на поиск новых
покупателей. Например, снабжение Люльпанского детского дома.
|
|
21 масло подсолнечное Семечка
|
Стратегия расширения рынка, направленная на поиск новых
покупателей. Например, снабжение кафе ООО «Лесное»
|
|
22 масло сливочное
|
Стратегия расширения рынка, направленная на поиск новых
покупателей. Например, снабжение кафе ООО «Лесное»
|
|
25 чай Нури
|
Стратегия просвещения потребителей путем проведения
дегустации товара.
|
|
26 кисель (пачка)
|
Стратегия расширения рынка, направленная на поиск новых
покупателей. Например, снабжение Люльпанского детского дома.
|
|
29 майонез Сдобри
|
Стратегия расширения рынка, направленная на поиск новых
покупателей. Например, снабжение кафе ООО «Лесное»
|
|
31 пиво Балтика 2
|
Стратегия расширения рынка, направленная на поиск новых
покупателей. Например, снабжение кафе ООО «Лесное»
|
|
32 пиво Балтика 3
|
Стратегия расширения рынка, направленная на поиск новых
покупателей. Например, снабжение кафе ООО «Лесное»
|
|
33 водка Ярмак
|
Стратегия расширения рынка, направленная на поиск новых
покупателей. Например, снабжение кафе ООО «Лесное»
|
|
34 водка Зеленая марка
|
Стратегия расширения рынка, направленная на поиск новых
покупателей. Например, снабжение кафе ООО «Лесное»
|
|
«Дойная корова»
|
1 Хлеб ржаной
|
Стратегия сохранения доли рынка, направленная на длительное
поддержание существующего положения.
|
|
2 Хлеб белый
|
Стратегия сохранения доли рынка, направленная на длительное
поддержание существующего положения.
|
|
5 гречневая крупа
|
Стратегия сохранения доли рынка, направленная на длительное
поддержание существующего положения.
|
|
24 чай Липтон
|
Стратегия сохранения доли рынка, направленная на длительное
поддержание существующего положения.
|
|
28 майонез Ряба
|
Стратегия сохранения доли рынка, направленная на длительное
поддержание существующего положения.
|
|
30 кетчуп Махеев
|
Стратегия сохранения доли рынка, направленная на длительное
поддержание существующего положения.
|
|
36 сигареты Балканские
|
Стратегия сохранения доли рынка, направленная на длительное
поддержание существующего положения.
|
|
37 сигареты Прима
|
Стратегия сохранения доли рынка, направленная на длительное
поддержание существующего положения.
|
|
«Собака на сене»
|
8 огурцы
|
Стратегия отступления, т.к. данный товар имеется у сельских
жителей в собственном хозяйстве летом и осенью, то необходимо реализовывать
данный товар не целый год, а только в отдельные времена года.
|
|
9 Томаты
|
Стратегия отступления, т.к. данный товар имеется у сельских
жителей в собственном хозяйстве летом и осенью, то необходимо реализовывать
данный товар не целый год, а только в отдельные времена года.
|
|
10 картофель
|
Стратегия отступления, т.к. данный товар имеется у сельских
жителей в собственном хозяйстве летом и осенью, то необходимо реализовывать
данный товар не целый год, а только в отдельные времена года.
|
|
18 Молоко
|
Стратегия сокращения ассортимента продукции т.е. среди
видов товара (молоко разных торговых марок) определить вид, который не
пользуется спросом, и не заказывать его у поставщиков.
|
|
20 масло подсолнечное Олейна
|
Стратегия ликвидации, т.к. имеется более дешевый товар -
масло подсолнечное Семечка, который пользуется большим спросом.
|
|
23 Яйца
|
Стратегия отступления, направленная на снижение объемов
продаж данного товара, т.к. данный товар имеется у сельских жителей в
собственном хозяйстве.
|
|
35 минералка "Ессентуки"
|
Стратегия отступления, направленная на снижение объемов
продаж данного товара
|
На основе данных таблицы 18 для товаров, которые находятся в группе
«Звезда», можно найти новые возможности для реализации, например, в кафе ООО
«Лесное», которое находится в Медведевском районе. Кроме того, чтобы избежать
сокращения ассортимента продукции товаров группы «Собака на сене», есть
возможность участвовать в тендере на обслуживание женской колонии № 7 п.
Светлый Медведевского района.
Прогнозирование развития предприятия ОАО «Мариторгсервис»
Стратегия развития предприятия описывается системой целевых показателей,
характеризующих конечные результаты деятельности в областях:
-объемы реализации продукции;
политика обновления продукции;
политика изменения качества продукции и т.п.
техническая политика производства
Для ОАО «Мариторгсервис» необходимо определить стратегии развития по
направлениям:
1. Объемы реализации продукции. Обоснование: на основании матрицы SWOT-анализа сильными сторонами
предприятия является широкий ассортимент продукции и наличие собственной
локальной торговой сети. Однако предприятие имеет незначительную долю рынка
продовольственных товаров в Медведевском районе (1,08%), в связи с этим,
необходимо увеличение доли рынка в Медведевском районе благодаря расширению
собственной локальной сети.
2. Техническая политика производства. Обоснование: на предприятии
используются изношенные основные средства по активной части (коэффициент износа
ОФ по активной части на конец 2010г. составляет 60%), а именно транспортные
средства. На основании матрицы SWOT-анализа у предприятия имеется возможность
повышения управляемости производственного процесса за счет внедрения информационных
технологий. Статистические данные по целевым показателям за ретроспективный
период рекомендуется представить в таблице19.
Таблица19. Целевые показатели деятельности ОАО
«Мариторгсервис»
|
Показатели
|
Значение по годам
|
|
2008
|
2009
|
2010
|
|
1. Объем реализации продукции (ВР), тыс. руб.
|
10380
|
12328
|
15368
|
|
2. выработка одного работника (КТ), тыс. руб./ чел. 
|
12328/18
|
15368/18
|
|
576,66
|
684,88
|
853,77
|
|
3. себестоимость единицы продукции (КС)
|
2530/10380
|
3021/12328
|
3486/15368
|
|
0,243
|
0,245
|
0,226
|
Примечание к табл. 19: показатель выработки одного работника характеризует объем
реализованной продукции, приходящийся на одного среднесписочного работника
предприятия.
Необходимо разработать прогноз вариантов изменения целевых показателей
предприятия за 3 года с использованием двух подходов:
1. по среднегодовым темпам изменения показателей (приложение №5)
2. на основе выявления основных тенденций изменения показателей во
времени:
.1. метод аналитического выравнивания (приложение №6);
.2. метод Хольта (приложение №7);
.3. метод Брауна первого порядка (приложение №8).
Различные варианты прогноза развития предприятия представлены в таблице
20.
Таблица 20. Выбор варианта прогноза развития ОАО
«Мариторгсервис»
|
Показатель
|
Вариант прогноза
|
Значения по годам
|
|
|
2011
|
2012
|
2013
|
|
1) ВР, тыс. руб.
|
1 Средний (метод среднегодового темпа роста)
|
18441,6
|
22129,92
|
26555,9
|
|
2 Реалистический (метод аналитического выравнивания)
|
17680
|
20174
|
22668
|
|
3Пессимистический (метод Хольта)
|
17 401,63
|
21 845,26
|
27 298,32
|
|
4 Оптимистический (метод Брауна первого порядка)
|
20347,17857
|
23973,79364
|
27808,19391
|
|
Рекомендуемый Оптимистический
|
20347,17857
|
23973,79364
|
27808,19391
|
|
2) КТ, тыс. руб./чел.
|
1 Средний (метод среднегодового темпа роста)
|
1041,6
|
1270,75
|
1550,3
|
|
2 Реалистический (метод аналитического выравнивания)
|
982,2
|
1120,8
|
1259,3
|
|
3Пессимистический (метод Хольта)
|
966,75
|
1 213,09
|
1 515,40
|
|
4 Оптимистический (метод Брауна первого порядка)
|
1129,933674
|
1331,210218
|
1543,972115
|
|
Рекомендуемый Средний
|
1041,6
|
1270,75
|
1550,3
|
|
3) Кс, руб.
|
1 Средний (метод среднегодового темпа роста)
|
0,217
|
0,208
|
0,2
|
|
2 Реалистический (метод аналитического выравнивания)
|
0,221
|
0,2125
|
0,204
|
|
3Пессимистический (метод Хольта)
|
0,21
|
0,20
|
0,18
|
|
4 Оптимистический (метод Брауна первого порядка)
|
0,208118571
|
0,193285643
|
0,178018114
|
|
Рекомендуемый Оптимистический
|
0,208118571
|
0,193285643
|
0,178018114
|
В таблице 20 для каждого показателя представлены 4 варианта прогноза:
средний, реалистический, пессимистический, оптимистический. Среди них был
выбран рекомендуемый вариант прогноза - по наименьшей ошибке МАPE (табл.21).
Таблица 21. Сравнение MAPE для вариантов прогноза
|
№
|
Показатель
|
Метод по среднегодовым темпам изменения показателей
|
Метод аналитического выравнивания
|
Метод Хольта
|
Метод Брауна первого порядка
|
|
1
|
MAPE для Вр, %
|
7,3
|
15,7
|
10,75
|
7,11
|
|
2
|
MAPE для Кт, %
|
4,16
|
15,66
|
10,74
|
7,1
|
|
3
|
MAPE для Кс, %
|
9,17
|
11,36
|
3,39
|
2,05
|
Наиболее важным из целевых показателей для коммерческого предприятия
является выручка от реализации продукции. От изменения выручки зависят другие
экономические показатели предприятия (прежде всего, прибыль). Выручку от
реализации продукции можно представить в виде:
Используя
данные формулы, рассчитаем плановое значение ряда экономических показателей на
2011г. Исходные данные ОАО «Мариторгсервис» для планирования представим в
таблице 22.
Таблица
22. Показатели деятельности ОАО
«Мариторгсервис»
|
Показатели
|
Единицы измерения
|
Значения в 2010г.
|
|
1. Выручка от реализации продукции (ВР)
|
руб.
|
15 368 000
|
|
2. Переменные затраты
|
руб.
|
565 000
|
|
3. Валовая маржа (ВМ)
|
руб.
|
15 368 000 - 565 000 = 14 803 000
|
|
4. Коэффициент валовой маржи (КВМ) - доля
покрытия затрат доли ед.
|
|
|
|
5. Фактор цены (ФЦ)
|
доли ед.
|
|
|
6. Постоянные затраты
|
руб.
|
3 486 000 - 565 000 = 2 921 000
|
|
7. Порог рентабельности руб.
|
|
|
Валовая маржа - это разность между выручкой предприятия от реализации
продукции и переменными затратами. Пройдя порог рентабельности, фирма имеет
дополнительную сумму валовой маржи на каждую очередную единицу товара.
Порог рентабельности - такая выручка от реализации продукции, при которой полная
себестоимость может быть возмещена продажей продукции, т.е. в этой выручке нет
ни прибыли, ни убытков.
Точка безубыточности - такой натуральный объем производства и сбыта продукции,
обеспечивающий достижение порога рентабельности.
;
Точка
безубыточности не рассчитывается для предприятия ОАО «Мариторгсервис», т.к.
предприятие занимается розничной торговлей и расходы по видам затрат
представлены по виду деятельности.
Необходимо
определить требуемые значения показателей, на следующий год исходя из
предпосылок:
· увеличения величины валовой маржи (17 280 тыс.руб.);
· сохранение коэффициента валовой маржи (0,96 доли ед.);
· снижение величины постоянных затрат (2 832 тыс. руб.).
Прогнозируемые значения показателей с учетом допущений представлены в
таблице 23.
миссия рентабельность управленческий ликвидность
Таблица 23. Целевые значения показателей ОАО «Мариторгсервис»
на 2011 год
|
Показатели
|
Единицы измерения
|
Значения в 2011 г.
|
Расчет
|
|
1. Выручка от реализации продукции (ВР)
|
руб.
|
18 000 000
|
|
|
2. Переменные затраты
|
руб.
|
720 000
|
|
|
3. Валовая маржа (ВМ)
|
руб.
|
17 280 000
|
допущение
|
|
4. Коэффициент валовой маржи (КВМ)
|
доли ед.
|
0,96
|
допущение
|
|
5. Фактор цены (ФЦ)
|
доли ед.
|
25
|
|
|
6. Постоянные затраты
|
руб.
|
2 832 000
|
допущение
|
|
7. Точка безубыточности (порог рентабельности)
|
руб.
|
2 950 000
|
|
По данным таблицы 23 прогноз целевых показателей свидетельствует, о том,
что выручка в 2011г. увеличится, а порог рентабельности уменьшится. Этого
положения можно достичь, во-первых, за счет снижения величины постоянных затрат
путем уменьшения амортизационных отчислений с помощью списания изношенных
транспортных средств; во-вторых, за счет увеличение величины валовой маржи
путем получения более привлекательных ценовых условий от поставщиков,
в-третьих, за счет сохранения коэффициента валовой маржи, который показывает в
выручке долю, идущую на покрытие постоянных затрат и обеспечение прибыли.
Заключение
В результате анализа хозяйственной деятельности, оценки вероятности
наступления несостоятельности предприятия, анализа внешней и внутренней среды,
уточнения миссии, стратегических и тактических целей разработана стратегия и
определены способы достижения стратегических целей предприятия ОАО
«Мариторгсервис».
Анализ и оценка существующей стратегии ОАО «Мариторгсервис» позволяют
ответить на следующие вопросы:
Что есть? Результат экспресс-диагностики хозяйственной деятельности
предприятия ОАО «Мариторгсервис» показал, что в период с 2008 по 2010гг.
происходит снижение убыточности и рост всех показателей рентабельности. Анализ
динамики рентабельности продаж и общей капиталоотдачи активов показал, что в
период с 2008г. по 2010гг. организация ОАО «Мариторгсервис» переместилась из
кризисной зоны в нижнюю допустимую зону хозяйствования за счет увеличения
рентабельности продаж. Вместе с тем, все показатели ликвидности и
платежеспособности ниже нормативных значений, что говорит о высоком финансовом
риске ОАО «Мариторгсервис».
Результаты оценки вероятности наступления банкротства показали, что
предприятие ОАО «Мариторгсервис» относится к группе предприятий, способных
решить проблемы несостоятельности за счет средств сторонних инвесторов или
государственной поддержки.
Анализ внешней среды предприятия показал, что ключевыми факторами успеха
ОАО «Мариторгсервис» являются государственная поддержка малого и среднего
бизнеса, наличие постоянных поставщиков, внедрение информационных технологий в
организацию труда. Основными угрозами, которые могут привести ОАО
«Мариторгсервис» к разрушению или критическому состоянию, являются установление
предельно допустимых розничных цен на отдельные виды социально значимых
продовольственных товаров первой необходимости, ужесточение контроля
государства над качеством пищевых продуктов, а также усиление позиций
конкурентов на рынке продовольственных товаров.
Анализ внутренней среды организации выявил сильные и слабые стороны ОАО
«Мариторгсервис». К числу сильных сторон относятся: получение дополнительного
дохода за счет сдачи в аренду складских помещений, наличие собственной
локальной торговой сети, широкий ассортимент продукции. К числу слабых сторон
относятся: сильно изношенные основные средства (торговое оборудование,
транспортные средства), сильная зависимость от основного собственника компании,
незначительная доля рынка в Медведевском районе.
ОАО «Мариторгсервис» находится на стадии юности, что подтверждается
значительным ростом балансовой прибыли. На данном этапе развития наблюдается
формирование рыночной доли фирмы и борьба за потребителей и поставщиков
продуктов питания.
В результате анализа динамики коэффициента Спирмэна выяснилось, что
стратегия интегрированного роста, реализуемая на стадии «юности», оказалась
неуспешной, т.к. в ОАО «Мариторгсервис» не уделялось должного внимания развитию
маркетинговой деятельности.
Что нужно? Для того чтобы организация ОАО «Мариторгсервис» достигла
идеальной зоны хозяйствования, необходимо увеличить рентабельность продаж до
нормативного значения.
Для дальнейшего развития организации ОАО «Мариторгсервис» необходимо для
товаров, которые находятся в группе «Звезда», найти новые возможности для
реализации, например, в кафе ООО «Лесное», которое находится в Медведевском
районе. Чтобы избежать сокращения ассортимента продукции товаров группы «Собака
на сене», использовать возможность участия в тендере на обслуживание женской колонии
№ 7 п. Светлый Медведевского района.
ОАО «Мариторгсервис» необходимо выбрать стратегию умеренного
преобразования, чтобы изменить политику маркетинга по внедрению новых
продовольственных товаров.
Как сделать? Увеличения рентабельности продаж можно достичь за счет роста
балансовую прибыль путем:
. снижения себестоимости проданных товаров (пищевые продукты, включая
напитки и табачные изделия);
. снижения коммерческих расходов (снижение затрат на хранение и
транспортировку продукции);
. увеличения прочих доходов, например, за счет сдачи в аренду
собственного нежилого недвижимого имущества.
Увеличения выручки и снижения порога рентабельности в 2011г можно
достичь, во-первых, за счет снижения величины постоянных затрат путем
уменьшения амортизационных отчислений с помощью списания изношенных
транспортных средств; во-вторых, за счет увеличения величины валовой маржи
путем получения более привлекательных ценовых условий от поставщиков,
в-третьих, за счет сохранения коэффициента валовой маржи, который показывает в
выручке долю, идущую на покрытие постоянных затрат и обеспечение прибыли.
Финансовое положение ОАО «Мариторгсервис» можно улучшить за счет поиска
внешних источников повышения финансовой устойчивости, например, путем
дополнительного выпуска акций.
Список
литературы
1. Аакер, Д.А. Стратегическое рыночное управление. / Д.А.
Аакер, пер. с англ. под ред. С. Г. Божук. - 7-е изд. - СПб.: Питер, 2007. - 496
с.
. Буторин, С. Система менеджмента стоимости предприятия как
интегрирующий процесс повышения его конкурентоспособности / С. Буторин // АПК:
экономика, управление. - 2007. - №9. - С. 40-43.
. Бюджет останется социальным [Электронный ресурс]. - Режим
доступа:#"583257.files/image094.gif">,
Где
n-количество лет прогнозируемого периода (3);
- значение целевого показателя за 1-ый (базовый) год
(2008г.);
- значение показателя за n-ый год
временного ряда (2010г.)
( Вр
)=
тыс.руб.
тыс.руб..
тыс.руб.
тыс.
руб./ чел.
тыс.
руб./ чел
тыс.
руб./ чел
Вычисления
MAPE для метода по среднегодовым темпам изменения
показателей представлены в таблице 1.
Таблица 1. MAPE для метода по среднегодовым темпам изменения
показателей
|
Годы
|
Вр
|
Y^
|
|е|,%
|
MAPE
|
|
2008
|
10380
|
|
|
7,30%
|
|
2009
|
12328
|
|
|
|
|
2010
|
15368
|
|
|
|
|
2011
|
19158
|
18441,6
|
3,74%
|
|
|
2012
|
23883
|
22129,92
|
7,34%
|
|
|
2013
|
29773
|
26555,9
|
10,81%
|
|
|
Годы
|
Кт
|
Y^
|
|е|,%
|
MAPE
|
|
2008
|
576,66
|
|
|
4,16%
|
|
2009
|
684,88
|
|
|
|
|
2010
|
853,77
|
|
|
|
|
2011
|
1 064,00
|
1041,6
|
2,11%
|
|
|
2012
|
1 326,00
|
1270,75
|
4,17%
|
|
|
2013
|
1 653,00
|
1550,3
|
6,21%
|
|
|
Годы
|
Кс
|
Y^
|
|е|,%
|
MAPE
|
|
2008
|
0,243
|
|
|
9,17%
|
|
2009
|
0,245
|
|
|
|
|
2010
|
0,226
|
|
|
|
|
2011
|
0,208
|
0,217
|
4,33%
|
|
|
2012
|
0,191
|
0,208
|
8,90%
|
|
|
2013
|
0,175
|
0,2
|
14,29%
|
|
Прогноз по
методу аналитического выравнивания
Рассмотрим прогнозирование целевых показателей методом аналитического
выравнивания. Данный метод решает задачу измерения тренда. Основное содержание
метода заключается в том, что тенденция развития рассчитывается как функция
времени. Определение расчетных уровней показателей производится на основании
адекватной математической функции, которая наилучшим образом отражает тренд.
Абсолютные приросты показателей относительно стабильны, можно принять
уравнение прямой, коэффициенты которого рассчитываются по формулам:
;
.
Построим
вспомогательную таблицу для расчета аналитического выравнивания (табл.1).
Таблица
1. Данные для расчета методом аналитического выравнивания
|
Годы
|
Вр (тыс.руб)
|
Кт тыс. руб./ чел.
|
Кс,руб.
|
t
|
|
|
2008
|
10380
|
576,66
|
0,243
|
-1
|
1
|
|
2009
|
12328
|
684,88
|
0
|
0
|
|
2010
|
15368
|
853,77
|
0,226
|
1
|
1
|
|
Сумма
|
38076
|
2115,31
|
0,714
|
0
|
2
|
|
а0
|
12692
|
705,10333
|
0,238
|
|
|
|
а1
|
2494
|
138,555
|
-0,0085
|
|
|
Вр:
Вр(2011)=12692+2494*2= 17680 тыс.руб
Вр(2012)= 12692+2494*3=20174 тыс.руб
Вр(2013)= 12692+2494*4= 22668 тыс.руб
Кт:
Кт(2011)=705,1+138,5*2= 982,2 тыс. руб./
чел.
Кт(2012)= 705,1+138,5*3= 1120,8 тыс. руб./
чел.
Кт(2013)= 705,1+138,5*4= 1259,3 тыс. руб./
чел.
Кс:
0,221
руб.
0,2125
руб.
0,204
руб.
Вычисления
MAPE для метода аналитического выравнивания представлены в
таблице 2.
Таблица
2. MAPE для метода аналитического выравнивания
|
Годы
|
Вр (тыс.руб)
|
Y^
|
|е|,%
|
MAPE
|
|
2008
|
10380
|
|
|
15,70%
|
|
2009
|
12328
|
|
|
|
|
2010
|
15368
|
|
|
|
|
2011
|
19158
|
17680
|
7,71%
|
|
|
2012
|
23883
|
20174
|
15,53%
|
|
|
2013
|
29773
|
22668
|
23,86%
|
|
|
Годы
|
Кт
|
Y^
|
|е|,%
|
MAPE
|
|
2008
|
576,66
|
|
|
15,66%
|
|
2009
|
684,88
|
|
|
|
|
2010
|
853,77
|
|
|
|
|
2011
|
1 064,00
|
982,21333
|
7,69%
|
|
|
2012
|
1 326,00
|
1120,7683
|
15,48%
|
|
|
2013
|
1 653,00
|
1259,3233
|
23,82%
|
|
|
Годы
|
Кс,руб.
|
Y^
|
|е|,%
|
MAPE
|
|
2008
|
0,243
|
|
|
11,36%
|
|
2009
|
0,245
|
|
|
|
|
2010
|
0,226
|
|
|
|
|
2011
|
0,208
|
0,221
|
6,25%
|
|
|
2012
|
0,191
|
0,2125
|
11,26%
|
|
|
2013
|
0,175
|
0,204
|
16,57%
|
|
Прогноз по
методу Хольта
Метод Хольта. Названный в честь своего изобретателя, метод представляет
собой усовершенствованный метод экспоненциального сглаживания, при котором
параметры сглаживания у тренда и значения уровня различны:
где Т - трендовая компонента, S - сезонная компонента, α
и β
- постоянные сглаженные
(0<α<1;
0<β<1; α≠β), τ - период упреждения прогноза,
- прогнозное значение.
Первое уравнение в системе описывает сглаженный ряд общего уровня; второе
уравнение служит для оценки тренда; третье уравнение определяет прогноз на p
отсчетов по времени вперед. Постоянные сглаживания также подбираются
экспериментальным путем. Главным условием является нахождение такой пары
постоянных сглаживания, при которых значение прогноза на тестовом наборе
значений показало бы максимально достоверный результат. Значения α и β подбираются субъективно либо по
минимальным значениям ошибок прогноза. Недостаток метода Хольта заключается в
невозможности учесть при прогнозировании сезонные колебания [21]. Для
показателя Вр были рассчитаны 72 варианта значений ошибок прогноза, которые
представлены на рис.1.
Рис.1 Динамика значений ошибок прогноза для показателя Вр по
методу Хольта. Ошибки
нормализованы.
Для показателя Вр значения α и β представлены в табл. 2.
Таблица 2. Значения α и β
для показателя Вр
по методу Хольта
|
Показатель
|
min
|
|
α
|
0,9
|
|
β
|
0,8
|
|
MAD
|
2009,806719
|
|
MAPE
|
10,75%
|
|
MPE
|
10,75%
|
|
MSE
|
4102617,062
|
Прогнозные значения показателя Вр представлены в табл. 3.
Таблица 3. Прогнозные значения показателя Вр по методу Хольта
|
Год
|
Период
|
Вр
|
S
|
T
|
Y^
|
e
|
e в %
|
|е|
|
|е|,%
|
е2
|
|
2008
|
1
|
10380
|
10 380,00
|
0,00
|
|
|
|
|
|
|
|
2009
|
2
|
12328
|
12 133,20
|
1 402,56
|
10 380,00
|
1 948,00
|
15,80%
|
1948
|
15,80%
|
3 794 704,00
|
|
2010
|
3
|
15368
|
14 904,26
|
2 497,36
|
13 535,76
|
1 832,24
|
11,92%
|
1832,24
|
11,92%
|
3 357 103,42
|
|
2011
|
4
|
19 158,00
|
18 482,89
|
3 362,37
|
17 401,63
|
1 756,37
|
9,17%
|
1756,3728
|
9,17%
|
3 084 845,41
|
|
2012
|
5
|
23 883,00
|
23 006,75
|
4 291,56
|
21 845,26
|
2 037,74
|
8,53%
|
2037,73642
|
8,53%
|
4 152 369,70
|
|
2013
|
6
|
29 773,00
|
28 667,22
|
5 386,69
|
27 298,32
|
2 474,68
|
8,31%
|
2474,68438
|
8,31%
|
6 124 062,78
|
Рис.2 Динамика значений ошибок прогноза для показателя Кт по
методу Хольта. Ошибки
нормализованы.
Для показателя Кт значения α и β представлены в табл. 4.
Таблица 4. Значения α и β
для показателя Кт
по методу Хольта
|
Показатель
|
min
|
|
α
|
0,9
|
|
β
|
0,8
|
|
MAD
|
111,5536685
|
|
MAPE
|
10,74%
|
|
MPE
|
10,74%
|
|
MSE
|
12642,41209
|
Прогнозные значения показателя Кт представлены в табл. 5.
Таблица 5. Прогнозные значения показателя Кт по методу Хольта
|
Год
|
Период
|
Кт
|
S
|
T
|
Y^
|
e
|
e в %
|
|е|
|
|е|,%
|
е2
|
|
2008
|
1
|
576,66
|
576,66
|
0,00
|
|
|
|
|
|
|
|
2009
|
2
|
684,88
|
674,06
|
77,92
|
576,66
|
108,22
|
15,80%
|
108,22
|
15,80%
|
11 711,57
|
|
2010
|
3
|
853,77
|
828,01
|
138,74
|
751,98
|
101,79
|
11,92%
|
101,7936
|
11,92%
|
10 361,94
|
|
2011
|
4
|
1 064,00
|
1 026,53
|
186,56
|
966,75
|
97,25
|
9,14%
|
97,250192
|
9,14%
|
9 457,60
|
|
2012
|
5
|
1 326,00
|
1 277,40
|
238,01
|
1 213,09
|
112,91
|
8,52%
|
112,909458
|
8,52%
|
12 748,55
|
|
2013
|
6
|
1 653,00
|
1 591,64
|
299,00
|
1 515,40
|
137,60
|
8,32%
|
137,595092
|
8,32%
|
18 932,41
|
Для показателя Кс были рассчитаны 72 варианта значений ошибок прогноза,
которые представлены на рис.3.
Рис.3 Динамика значений ошибок прогноза для показателя Кс по
методу Хольта. Ошибки нормализованы.
Для показателя Кс значения α и β представлены в табл. 6.
Таблица 6. Значения α и β
для показателя Кс
по методу Хольта
|
Показатель
|
min
|
|
α
|
0,9
|
|
β
|
0,8
|
|
MAD
|
|
MAPE
|
3,39%
|
|
MPE
|
-16,04%
|
|
MSE
|
9,68092* 10-5
|
Прогнозные значения показателя Кс представлены в табл. 7.
Таблица 7. Прогнозные значения показателя Кс по методу Хольта
|
Год
|
Период
|
Кс
|
S
|
T
|
Y^
|
e
|
e в %
|
|е|
|
|е|,%
|
е2
|
|
2008
|
1
|
0,243
|
0,24
|
0,00
|
|
|
|
|
|
|
|
2009
|
2
|
0,245
|
0,24
|
0,00
|
0,24
|
0,00
|
0,82%
|
0,002
|
0,82%
|
0,000004
|
|
2010
|
3
|
0,226
|
0,23
|
-0,01
|
0,25
|
-0,02
|
-8,96%
|
0,02024
|
8,96%
|
0,000410
|
|
2011
|
4
|
0,21
|
0,21
|
-0,02
|
0,21
|
-0,01
|
-3,06%
|
0,0063728
|
3,06%
|
0,000041
|
|
2012
|
5
|
0,19
|
0,19
|
-0,02
|
0,20
|
0,00
|
-2,35%
|
0,00449642
|
2,35%
|
0,000020
|
|
2013
|
6
|
0,18
|
0,18
|
-0,02
|
0,18
|
0,00
|
-1,77%
|
0,00309158
|
1,77%
|
0,000010
|
Прогноз по
методу Брауна первого порядка
Метод Брауна первого порядка. y=a+bt имеет 2 параметра. Первый параметр оценивает текущий уровень
временного ряда:
Второй параметр оценивает коэффициент роста:
,
где β (0<β<1) - коэффициент дисконтирования данных,
характеризующий обесценение данных временного ряда. Оптимальное значение β
находится итеративным
путем.
При расчете по методу Брауна первого порядка при выборе значений β
использовали метод
расчета минимальных ошибок прогноза, вычисляемых по формулам:
. ошибка прогноза
2. средняя абсолютная ошибка в процентах:
Где n - количество наблюдений;
Т - период времени;
- действительное значение;
- прогнозное значение.
С учетом данной ошибки корректируется исходная модель[16;С. 92].
Для показателя Вр были рассчитаны 9 вариантов значений ошибок прогноза,
которые представлены на рис.1.
Рис.1 Динамика значения ошибки прогноза для показателя Вр по
методу Брауна первого порядка.
Для показателя Вр значения β и MAPE представлены в табл. 1.
Таблица 1. Значения β и MAPE для показателя Вр по методу Брауна первого порядка
|
min
|
1
|
2
|
3
|
4
|
5
|
6
|
7
|
8
|
9
|
|
β
|
-
|
0,1
|
0,2
|
0,3
|
0,4
|
0,5
|
0,6
|
0,7
|
0,8
|
0,9
|
|
MAPE
|
7,11%
|
9,60%
|
9,03%
|
9,18%
|
9,06%
|
8,67%
|
8,64%
|
8,35%
|
7,79%
|
7,11%
|
Прогнозные значения показателя Вр представлены в табл. 2.
Таблица 2. Прогнозные значения показателя Вр по методу Брауна
первого порядка
|
№
|
Год
|
Y Вр
|
Y^
|
a
|
b
|
e
|
e, %
|
|
|
|
|
|
4939,666667
|
3869,142857
|
|
|
|
1
|
2008
|
10380
|
8808,809524
|
9107,335714
|
3884,854762
|
1571,190476
|
15,14%
|
|
2
|
2009
|
12328
|
12992,19048
|
12865,99429
|
3878,212857
|
-664,1904762
|
5,39%
|
|
3
|
2010
|
15368
|
16744,20714
|
16482,72779
|
3864,450786
|
-1376,207143
|
8,96%
|
|
4
|
2011
|
19 158,00
|
20347,17857
|
20121,23464
|
3852,559
|
-1189,178571
|
6,21%
|
|
5
|
2012
|
23 883,00
|
23973,79364
|
23956,54285
|
3851,651064
|
-90,79364286
|
0,38%
|
|
6
|
2013
|
29 773,00
|
27808,19391
|
28181,50707
|
3871,299124
|
1964,806086
|
6,60%
|
Для показателя Кт были рассчитаны 9 вариантов значений ошибок прогноза,
которые представлены на рис.2.
Рис.2 Динамика значения ошибки прогноза для показателя Кт по
методу Брауна первого порядка.
Для показателя Кт значения β и MAPE представлены в табл. 3.
Таблица 3. Значения β и MAPE для показателя Кт по методу Брауна первого порядка
|
min
|
1
|
2
|
3
|
4
|
5
|
6
|
7
|
8
|
9
|
|
β
|
-
|
0,1
|
0,2
|
0,3
|
0,4
|
0,5
|
0,6
|
0,7
|
0,8
|
0,9
|
|
MAPE
|
7,10%
|
9,58%
|
9,01%
|
9,16%
|
9,04%
|
8,65%
|
8,62%
|
8,33%
|
7,77%
|
7,10%
|
Прогнозные значения показателя Кт представлены в табл. 4.
Таблица 4. Прогнозные значения показателя Кт по методу Брауна
первого порядка
|
№
|
Год
|
Y Кт
|
Y^
|
a
|
b
|
e
|
e, %
|
|
|
|
|
|
274,856
|
214,7225714
|
|
|
|
1
|
2008
|
576,66
|
489,5785714
|
506,1240429
|
215,5933857
|
87,08142857
|
15,10%
|
|
2
|
2009
|
684,88
|
721,7174286
|
714,7183171
|
215,2250114
|
-36,83742857
|
5,38%
|
|
3
|
2010
|
853,77
|
929,9433286
|
915,4703961
|
214,4632781
|
-76,17332857
|
8,92%
|
|
4
|
2011
|
1 064,00
|
1129,933674
|
1117,406276
|
213,8039414
|
-65,93367429
|
6,20%
|
|
5
|
2012
|
1 326,00
|
1331,210218
|
1330,220276
|
213,7518392
|
-5,210217571
|
0,39%
|
|
6
|
2013
|
1 653,00
|
1543,972115
|
1564,687414
|
214,8421181
|
109,0278845
|
6,60%
|
Для показателя Кс были рассчитаны 9 вариантов значений ошибок прогноза,
которые представлены на рис.3.
Рис.3 Динамика значения ошибки прогноза для показателя Кс по
методу Брауна первого порядка.
Для показателя Кс значения β и MAPE представлены в табл. 5.
Таблица 5. Значения β и MAPE для показателя Кс по методу Брауна первого порядка
|
min
|
1
|
2
|
3
|
4
|
5
|
6
|
7
|
8
|
9
|
|
β
|
-
|
0,1
|
0,2
|
0,3
|
0,4
|
0,5
|
0,6
|
0,7
|
0,8
|
0,9
|
|
MAPE
|
2,05%
|
3,79%
|
3,48%
|
3,22%
|
2,96%
|
2,76%
|
2,55%
|
2,50%
|
2,32%
|
2,05%
|
Прогнозные значения показателя Кс представлены в табл. 6.
Таблица 6. Прогнозные значения показателя Кс по методу Брауна
первого порядка
|
№
|
Год
|
Y Кс
|
Y^
|
a
|
b
|
e, %
|
|
|
|
|
|
0,266666667
|
-0,014857143
|
|
|
|
1
|
2008
|
0,243
|
0,251809524
|
0,250135714
|
-0,014945238
|
-0,008809524
|
3,63%
|
|
2
|
2009
|
0,245
|
0,235190476
|
0,237054286
|
-0,014847143
|
0,009809524
|
4,00%
|
|
3
|
2010
|
0,226
|
0,222207143
|
0,222927786
|
-0,014809214
|
0,003792857
|
1,68%
|
|
4
|
2011
|
0,21
|
0,208118571
|
0,208096043
|
-0,0148104
|
-0,000118571
|
0,06%
|
|
5
|
2012
|
0,19
|
0,193285643
|
0,192851371
|
-0,014833256
|
-0,002285643
|
1,20%
|
|
6
|
2013
|
0,18
|
0,178018114
|
0,177444673
|
-0,014863438
|
-0,003018114
|
1,72%
|