Органічна речовина ґрунтів екосистем басейну Верхнього Дністра
Інститут
агроекології і природокористування Національної академії аграрних наук України
Дисертація
на здобуття наукового ступеня кандидата біологічних наук
ОРГАНІЧНА
РЕЧОВИНА ҐРУНТІВ ЕКОСИСТЕМ БАСЕЙНУ ВЕРХНЬОГО ДНІСТРА
03.00.16
- екологія
Бедернічек
Тимур Юрійович
Науковий
керівник:
Гамкало
Зенон Григорович,
доктор
біологічних наук,
старший
науковий співробітник
Київ
- 2012
зміст
ПЕРЕЛІК
УМОВНИХ ПОЗНАЧЕНЬ
ВСТУП
.
ЕКОЛОГІЧНА РОЛЬ ОРГАНІЧНОЇ ЧАСТИНИ ҐРУНТУ (ТЕОРЕТИЧНІ, МЕТОДОЛОГІЧНІ ТА МЕТОДИЧНІ
АСПЕКТИ)
.1
Органічна частина ґрунту як екосенсор і екорегулятор
.2
Новий теоретико-методологічний підхід до оцінки органічної частини ґрунту:
компоненти, фракції та пули
.3
Якісно-кількісні зміни органічної частини ґрунту та їхня інформативність при
оцінці наслідків антропогенних впливів
.
МАТЕРІАЛИ І МЕТОДИ
2.1
Територія дослідження
2.2
Вибір та опис дослідних ділянок
2.3
Польові дослідження
2.4
Лабораторно-аналітичні дослідження
2.5
Статистичне опрацювання отриманих результатів
3. РЕЧОВИННО-ЕНЕРГЕТИЧНА трансформація ҐРУНТів
3.1
Антропогенна трансформація органопрофілю ґрунту
.2
Градієнтний підхід до оцінки інтенсивності профільних змін вмісту карбону
органічних сполук
3.3
Зміни енергетичного потенціалу ґрунту
.
ЛАБІЛЬнИЙ пул органчіної частини ґрунту
4.1
Лабільні органічні сполуки лісової підстилки
.2
Водорозчинні фракції органічної частини ґрунту
.2.1
Екстраговані холодною водою органічні речовини
.2.2
Екстраговані гарячою водою органічні речовини
.3
Легкоокиснювані фракції органічної частини ґрунту
.4
Зміни лабільності карбону органічних сполук
.
ОСОБЛИВОСТІ МІНЕРАЛІЗАЦІЙНОЇ ЗДАТНОСТІ ТА ДИХАЛЬНОЇ АКТИВНОСТІ ҐРУНТІВ
.1
Гідротермічні умови мінералізації органічних сполук
.2
Сезонна динаміка вмісту мікробної біомаси у ґрунті
.3
Дихання ґрунту
.3.1
Емісія діоксиду карбону з поверхні ґрунту
.3.2
Базальне дихання
.3.3
Термоіндуковане дихання
.4
Накопичення продуктів мінералізації в ґрунті
.
АНТРОПОГЕННІ ЗМІНИ ЯКОСТІ ТА ЕКОПРОТЕКТОРНОЇ ЗДАТНОСТІ ОРГАНІЧНОЇ ЧАСТИНИ
ҐРУНТУ
.1
Методичні особливості екстрагування органічних сполук з ґрунту та оптичні
критерії оцінки їхньої якості
.2
Якість органічних речовин екстрагованих водними розчинами гідроксиду та
флуориду натрію
.3
Стабільність органічної частини ґрунту
.4
Екопротекторна здатність органічної частини ґрунту
ВИСНОВКИ
РЕКОМЕНДАЦІЇ
ВИРОБНИЦТВУ
СПИСОК
ВИКОРИСТАНИХ ДЖЕРЕЛ
ДОДАТОК
А
ДОДАТОК
Б
ПЕРЕЛІК УМОВНИХ ПОЗНАЧЕНЬ
АЗҐ- активна зона ґрунту
БД - базальне дихання
ВОР - водорозчинні органічні
речовини
ҐРК - ґрунтовий резервуар Карбону
ГС - гумусові сполуки
ЕВҐС - електропровідність
водно-ґрунтових суспензій
ЕВЕП - електропровідність водних
екстрактів підстилок
ЕГВОР - екстраговані гарячою водою
органічні речовини
ЕЗҐ - екопротекторна здатність
ґрунту
ЕХВОР - екстраговані холодною водою
органічні речовини
КОР - колоїдні органічні речовини
ЛОР - легкоокиснювані органічні
речовини
ОР - органічні речовини
ОЧҐ - органічна частина ґрунту
РОК - розчинений органічний Карбон
РОР - розчинені органічні речовини
ТІД - термоіндуковане дихання
ВСТУП
Актуальність теми. Знеліснення є
однією із найбільших екологічних проблем, що постали перед людством в кінці ХХ
- на початку ХХІ століття. Вона носить комплексний характер і пов’язана із
порушенням режимів функціонування більшості геосфер. Проте, з’ясування
масштабів негативних наслідків знеліснення часто ускладнюється через
методологічно неправильний підхід до окреслення біогеоценозів, що досі
використовується окремими вченими. Він полягає у тому, що екосистему часто
окреслюють (і називають) лише за параметрами фітоценозу, що унеможливлює,
наприклад, ідентифікацію гемеробних екосистем, що сформувались після проведення
рубань різної інтенсивності. Для їхньої оцінки доречно змістити акцент з
анаболічного блоку екосистеми, яким є фітоценоз на її катаболічний блок - ґрунт
(Керженцев, 2006).
Сучасна екологічна концепція
структурно-функціональної ролі органічної частини ґрунту є продуктом тривалого
міждисциплінарного пізнавального процесу, пов’язаного з трансформуванням
традиційної парадигми “ґрунт-пам’ять”, у нову парадигму “ґрунт-момент”
(Соколов, Таргульян, 1976; Ковда, 1985, 1989; Винокуров, 2007). В контексті
оцінки негативних наслідків знеліснення, пошук і застосування нових
високоінформативних критеріїв оцінки стану ґрунту є особливо актуальним.
Ретроспективний огляд досліджень
впливу знеліснення на структурно-функціональний стан едафотопу дозволяє зробити
загальний висновок про те, що на сьогодні встановлені певні закономірності змін
фізичних, хімічних і фізико-хімічних властивостей ґрунтів та їх біотичної
активності після проведення суцільних рубань (Brais et al., 1995, Shutou and
Nakane, 2004; Nourbakhsh, 2006) й пірогенного трансформування (Yanai et al.,
2003). Проте, більшість таких досліджень приурочені до тропічних і бореальних
лісів. Лише поодинокі роботи виконано у лісових екосистемах помірного
кліматичного поясу (Кудеяров, 2007; Ведрова, 2010), зокрема й в Україні
(Погребняк, 1993; Марискевич, 1999; Шпаківська, 2002, 2008). Сьогодні у таких
дослідженнях вивчають і окремі динамічні параметри органічної частини ґрунту, що
свідчить про значний поступ у вивчені його екологічної якості.
Подальший прогрес у дослідженні
структурно-функціональних змін органічної частини ґрунту внаслідок знеліснення
можливий за умов вивчення впливу не лише суцільних рубань, а й інших типових
способів лісокористування (часткове знеліснення). Застосування з цією метою
сучасного комплексного підходу до ґрунту як полілабільної багаторівневої
динамічної системи дасть змогу не лише глибше зрозуміти особливості
функціонування симбіотрофного комплексу ґрунт-рослина, а й перейти на засади
сталого управління ресурсами лісових екосистем.
Зв’язок роботи з науковими
програмами, планами, темами. Робота виконана на кафедрі ґрунтознавства і
географії ґрунтів Львівського національного університету імені Івана Франка за
час навчання у аспірантурі (2007-2010 рр.) Дослідження проводились у рамках
кафедральної теми “Ґенеза, географія та екологія ґрунтів” (Номер державної
реєстрації 0108U009541).
Мета дослідження - з’ясувати
закономірності кількісно-якісних змін органічної частини ґрунту внаслідок
антропогенного трансформування умовно-корінних грабових дібров
Верхньодністерського Передкарпаття у похідні лісові й аграрні екосистеми.
Завдання дослідження:
оцінити вплив знеліснення на вміст,
запаси та особливості профільного розподілу Карбону органічних сполук в
едафотопі;
встановити енергетичні потенціали
лісових едафотопів та оцінити масштаби їхнього зменшення за різних способів
лісокористування і аграрного використання післялісових екосистем;
оцінити розміри лабільного пулу
органічних речовин у лісових едафотопах та встановити особливості його
антропогенної динаміки внаслідок знеліснення;
встановити інтенсивність емісії СО2
з поверхні ґрунту в природних умовах та інкубаційних експериментах, зокрема за
імітації впливу глобального потепління клімату;
з’ясувати зміни якості органічної
частини ґрунту та його екопротекторної здатності внаслідок знеліснення;
обґрунтувати індикаційну цінність
лабільних фракцій органічної частини ґрунту для оцінки дестабілізації
ґрунтового резервуару Карбону органічних сполук внаслідок знеліснення.
Об’єкт дослідження - гемеробні
екосистеми, сформовані на місці умовно-корінних грабових дібров
Верхньодністерського Передкарпаття.
Предмет дослідження - вплив
знеліснення на структурно-функціональний стан органічної частини ґрунту.
Методи дослідження:
ґрунтово-морфологічні - для опису ґрунтових розрізів, геоботанічні - для опису
фітоценозів, метеорологічні - для оцінки едафічного мікроклімату, імітаційного
моделювання - для оцінки інтенсивності емісії СО2 з поверхні ґрунту
при різних температурах, інфрачервоного газового аналізу - для визначення
концентрації СО2 у повітрі, спектрофотометричні (у видимому й
ультрафіолетовому спектрах) - для оцінки якості органічної частини ґрунту,
потенціометричні - для визначення концентрацій H+, NO3-
і NH4+ у водно-ґрунтових суспензіях, кондуктометричні -
для визначення питомої електропровідності водно-ґрунтових суспензій,
статистичні - для математичного опрацювання експериментальних даних.
Наукова новизна одержаних результатів:
упорядковано і доповнено
термінологічний апарат існуючого підходу до оцінки органічної частини ґрунту:
виокремлено стрес-чутливу зону ґрунту як найбільш динамічну його частину;
запропоновано термін
“термочутливість ґрунту”, який характеризує залежність темпів деструкції
органічної частини ґрунту від впливу температурного фактора;
вперше, за умов стаціонарних
досліджень, вивчено вплив різної інтенсивності рубань умовно-корінних
грабово-дубових лісів у Верхньодністерському Передкарпатті на кількість та якість
органічної частини ґрунту;
вперше дано кількісну оцінку розміру
лабільного пулу органічних сполук Карбону в ґрунтах лісових і післялісових
екосистем Верхньодністерського Передкарпаття;
вперше встановлено зміну
екопротекторної здатності ґрунту внаслідок проведення лісогосподарських заходів
різної інтенсивності;
оцінені енергетичні потенціали
ґрунтів досліджуваних екосистем та обраховано величини енергетичних втрат
внаслідок знеліснення.
Практичне значення роботи.
Результати досліджень можуть бути використані для обґрунтування екологічних
лісогосподарських технологій, що забезпечують стале використання ресурсів
лісових екосистем.
Результати досліджень
використовуються в природному заповіднику “Розточчя”, Регіональному
ландшафтному парку “Верхньодністровські Бескиди” і товаристві з обмеженою
відповідальністю “Інститут геоінформаційних систем”, а також на кафедрі
ґрунтознавства і географії ґрунтів Львівського національного університету імені
Івана Франка при викладанні курсів “Біогеохімія” та “Екологічна якість ґрунту”.
Особистий внесок здобувача полягав у
проведенні експериментальних досліджень, аналізі, інтерпретації, комплексному
статистичному опрацюванні та узагальненні отриманих результатів. Формулювання
програми й завдань досліджень здійснено за допомоги наукового керівника -
професора кафедри ґрунтознавства і географії ґрунтів ЛНУ імені І. Франка, д. б.
н. З.Г. Гамкала.
Апробація результатів дисертації.
Основні результати дисертації доповідалися та обговорювалися на регіональних і
міжнародних конференціях, а саме: IV Міжнародній конференції молодих вчених
“Молодь і поступ в біології”, 7-10 квітня 2008 р., м. Львів; ІІІ Міжнародній
науковій конференції “Географія і туризм: європейський досвід” 25-28 вересня
2008 р., м. Львів, IV Міжнародній науковій конференції молодих науковців “Від
молекули до біосфери”, 17-21 листопада 2009 р., м. Харків; Научных чтениях
“Современные энерго- и ресурсосберегающие, экологически устойчивые системы
сельскохозяйственного производства”, 9 декабря 2009 г., г. Рязань;, XIII Міжнародній
науково-практичній конференції студентів, аспірантів і молодих вчених
“Екологія. Людина. Суспільство”, 19-23 травня 2010 р., м. Київ; Всеукраїнській
науково-практичній конференції студентів, аспіранті і молодих вчених “Актуальні
проблеми та перспективи розвитку природничих наук”, 28 травня 2010 р., м.
Запоріжжя; IV Всеукраїнській науково-практичній конференції молодих вчених
“Екологічні проблеми сільськогосподарського виробництва”, 1-4 червня 2010 р.,
м. Сколе; ХІІІ Докучаевских молодежных чтениях “Органо-минеральная матрица
почв”, 1-4 марта 2010 г., г. Санкт-Петербург; 14 международной
школе-конференции молодых ученых “Биология - наука XXI века”, 19-23 апреля 2010
г., г. Пущино; ІІІ Міжнародній науковій конференції “Стале природокористування:
підходи, проблеми, перспектива, 28-29 травня 2010 р., м. Тернопіль; IV
Всеросийской конференции с международным участием “Отражение
био-гео-антропосферных взаимодействий в почах и почвенном покрове”, 1-5
сентября 2010 г., г. Томск; Всеукраїнській науково-практичній конференції
студентів та аспірантів “Екологічні проблеми природокористування та охорона
навколишнього середовища”, 14-16 квітня 2010 р., м. Львів; Всеросийской научной
конференции, посвященной 40-летнему юбилею Института фізико-химических и
биологических проблем почвоведения РАН “Биосферные функции почвенного покрова”,
8-12 ноября 2010 г., г. Пущино, IV Ogólnopolskiej
Konferencji Naukowej (z udziałem
gości
zagranicznych) “Przyczyny i skutki degradacji środowiska
glebowego”, 21-24 września
2010, Rzeszow; VIII З’їзді Українського товариства ґрунтознавців і агрохіміків,
5-9 липня 2010 р., м. Житомир; V Всеукраїнській науково-практичній конференції
молодих учених “Екологічні проблеми сільськогосподарського виробництва”, 21-24
червня 2011 р., м. Яремче; Засіданні Екологічної Комісії Наукового товариства
імені Т. Шевченка, 25 березня 2011 р., м. Галич; Международной
школе-конференции молодых ученых “Биология - наука ХХІ века”, 18-22 апреля 2011
г.; г. Пущино, International Conference on Protection of agricultural soils
against joint stress of natural and anthropogenic factors, 13-16 June 2011, Puławy;
Всероссийской научной конференции XIV Докучаевские молодежные чтения
"Почвы в условиях природных и антропогенных стрессов", 1-4 марта 2011
г., г. Санкт-Петербург; Сучасні проблеми і тенденції розвитку ґрунтознавства,
19-21 квітня 2012 р., м. Чернівці.
Публікації. Результати досліджень
обліковані у 10 наукових статтях, з яких 4 - у періодичних фахових наукових
виданнях, що входять до переліку, затвердженого ДАК України та 22 матеріалах
Всеукраїнських та Міжнародних конференцій і повністю відображають зміст
дисертації.
Обсяг і структура роботи. Дисертація
складається з вступу, шести розділів, висновків, списку використаних джерел
(302 найменування, серед яких 165 іноземних) та додатків. Загальний обсяг
дисертації - 206 сторінок, з яких 163 займає основна частина. Робота містить 11
таблиць і 40 рисунків.
РОЗДІЛ 1. ЕКОЛОГІЧНА
РОЛЬ ОРГАНІЧНОЇ ЧАСТИНИ ҐРУНТУ (ТЕОРЕТИЧНІ, МЕТОДОЛОГІЧНІ ТА МЕТОДИЧНІ АСПЕКТИ)
Розвиток природничих наук
супроводжувався осмисленням місця ґрунту у біосфері (Warkentin,
1995). На сьогодні відомо, що еволюційно ґрунт є кінцевим продуктом процесів
життєдіяльності на Землі. Він інтегрує різнорівневі системи суходолу і
забезпечує їм нескінченно тривале функціонування, не зважаючи на обмеженість
ресурсів (Керженцев, 2006; Гамкало, 2009). В умовах розвитку численних
екологічних криз (глобальне потепління клімату, металізація біосфери,
евтрофікація водойм тощо) відбувається поступова зміна системи уявлень щодо
ґрунту, його живої (едафон) та неживої (едафотоп) компонент. Відповідно до
сучасних уявлень, агрономічна цінність ґрунту та родючість, як основна
характеристика цього біокосного тіла поступово відходять на другий план.
Важливішою вважають його екосистемну роль, тобто здатність ґрунту підтримувати
біорізноманіття, забезпечувати якість води, а також колообіги поживних речовин
і розклад біомаси. Здатність цього біокосного тіла виконувати екологічні
функції безпосередньо залежить від кількісних та якісних характеристик його
основної складової - органічної частини ґрунту (Manlay
et al.,
2007; Гамкало, 2009).
.1 Органічна частина ґрунту як
екосенсор і екорегулятор
З позицій функціональної екології,
ґрунтові відводиться одне із центральних місць у природних утвореннях
екосистемного рівня інтеграції. Фактично, екосистему розглядають як специфічну
ґрунтово-рослинну асоціацію або “симбіотичне угрупування фітоценозу і
педоценозу, що автономно функціонує у визначеному діапазоні гідротермічних умов
за рахунок мутуалізму - обміну продуктами власної життєдіяльності” (Керженцев,
2006, с. 29).
Симбіотичні взаємовідносини
фітоценозу і педоценозу з часом у процесі еволюції забезпечили значну
автономність екосистеми, позбавивши рослини необхідності добувати елементи живлення
з геологічного середовища. За даними Г.И. Марчука і К.Я. Кондратьева (1992),
ступінь розімкнутості колообігу речовин в природній екосистемі складає десяті
долі відсотка. Це значить, що понад 99% речовин не покидають межі
симбіотрофного комплексу ґрунт-рослина (Керженцев, 2006; Гамкало, 2009).
З огляду на сказане вище, основна
екорегуяторна функція ґрунту - катаболізм - деструкція некромаси до простих
неорганічних сполук, які знову стають доступними для рослин: йони та мінеральні
гази. При цьому, частина некромаси у формі колоїдів тимчасово вилучається із
біологічного колообігу, формуючи якісно новий продукт - органічну частину
ґрунту (ОЧҐ). За М.І. Лактионовим (1998) коректнішим терміном є не “органічна
речовина ґрунту” а “органічна частина ґрунту”. Автор звертає увагу, що
органічних речовин у ґрунті є багато і тому називати всю цю сукупність однією
речовиною є неправильно. В англомовній літературі загальноприйнятим є термін
“soil organic matter” (Gregorich et al., 1994), при чому англійському “matter” більше
відповідає українське “матерія”, а не “речовина”. Порушення режимів надходження
некромаси у ґрунт або зміна умов мінералізації органічних сполук під впливом
зовнішніх факторів призводять до значних якісних та кількісних змін ОЧҐ. Її
значна екосенсорна роль дала підстави сучасним дослідникам характеризувати
“здоров’я ґрунту екосистеми” як результат взаємодії двох різнонапрямлених
процесів - іммобілізації та мінералізації органічних сполук (Haynes,
2000; Zaujec, 2001).
Еволюція концепції органічної частини
ґрунту проходила в три основних періоди. Перший з них - “гумусовий” тривав з
1810 до 1840 років і характеризується домінуванням теорії гумусового живлення
рослин, запропонованої A.
Thaër
(1809). Другий - “мінеральний”, тривав продовж ста років з 1840 до 1940. В цей
час концепція ОЧҐ базувалась на запропонованій J.
Liebig
(1840) теорії
мінерального живлення рослин.
Інтенсивний розвиток екологічної
науки у 40-х роках ХХ ст. спричинив настання екологічного періоду вивчення
органічної частини ґрунту.
Роботи екологів A.
Tensli (1935), R.
Lindeman (1942) та
їхніх сучасників дали поштовх для переосмислення ролі цього біокосного тіла в
біосфері.
Продовж екологічного періоду
вдосконалюються різноманітні методи фізичної та хімічної екстракції ґрунтових
органічних сполук. Органічна частина ґрунту починає розглядатись як складний
біо-органо-мінеральний комплекс, наділений широким спектром функцій на
екосистемному рівні організації. За даними
Manlay et
al. (2007), основними
тезами екологічного періоду вивчення ОЧҐ слід визначити наступні:
. органічна частина ґрунту є
важливим компонентом екосистеми;
2. органічна частина ґрунту є
важливим резервуаром, стоком і джерелом парникових газів;
. збереження органічної
частини ґрунту можливе за умов впровадження природоощадних технологій, серед
яких органічне землеробство, безвідвальна оранка, агролісівництво тощо.
Екологічна роль органічної частини
ґрунту полягає у забезпеченні фітоценозу елементами мінерального живлення,
створенні та підтримці функціонування різноманітних буферних систем, регуляції
складу атмосфери та гідросфери тощо. Основним критерієм оцінки екологічної
якості ОЧҐ, є її лабільність, тобто здатність до біодеградації. Оцінка
екологічної якості органічної частини ґрунту передбачає її категоризацію з
виділенням окремих структурно-функціональних складових (компонентів, фракцій,
пулів), що характеризуються різним характерним часом (ХЧ), тобто тривалістю
перебування речовини у їхньому складі (Stevenson,
1994; Yano,
2000). З огляду на це, постійні, незмінні чи слабозмінні у часі показники, дуже
важливі для, наприклад, картографування ґрунтів є непридатними для оцінки
динамічних параметрів катаболічного блоку екологічної системи.
1.2 Новий теоретико-методологічний
підхід до оцінки органічної частини ґрунту: компоненти, фракції та пули
Як класиками (Ковда, 1985, 1989),
так і сучасними вченими (Керженцев, 2006; von Lützow
et al., 2007; Морозов, 2007) підкреслюється необхідність формалізації вчення
про ґрунт і про його найважливіший компонент - органічну частину. На думку
лауреата Нобелівської премії у галузі фізіології та медицини 1952 року З.А.
Ваксмана “було би правильно цілком відкинути всю номенклатуру гумінових кислот,
починаючи з гумінів і ульмінів… і закінчуючи фульвою… ці назви не визначають
хімічні сполуки, але лише препарати, отримані певними способами” (Waksman,
1936). Іншими словами, слід перейти від тих показників які легко вивчати до тих
які треба вивчати, хоч це і не просто.
Органічна частина ґрунту є
полідисперсним гетерогенним комплексом, складові частини якого сильно
відрізняються за генезисом, складом і властивостями. Фактично, будь-яка
речовина, властива рослинним чи тваринним організмам може бути виявлена в
органічній частині ґрунту (Тейт, 1991). Продукти життєдіяльності та розкладу
організмів взаємодіють у ґрунті з різноманітними колоїдними утвореннями,
сформованими за межами живої клітини, що призводить до формування у ґрунті
складних макромолекулярних комплексів, що носить назву вторинного синтезу.
Необхідною умовою для комплексної
оцінки перетворень органічних речовин у ґрунті є їхня категоризація з
виділенням окремих компонентів, фракцій і пулів.
Компоненти органічної частини ґрунту
Відповідно до сучасних уявлень про
будову ОЧҐ, у її складі виділяються як мінімум шість компонентів: органічні
рештки (детрит), мікробна біомаса, абіонтичні органічні речовини, гумусові
речовини, інертні органічні речовини, екзогенні органічні речовини (Тейт, 1991;
Семенов, 2006).
Органічні рештки (детрит)
Цей компонент органічної частини
ґрунту утворений подрібненими ферментованими й гумусованими залишками коренів,
листя та хвої, войлоків, старики, які ще не втратили свою анатомічну будову (Waksman,
1938; Орлов, 1985; Чорнобай, 2000). В цілому, терміни “органічні рештки” і
“детрит”, які вживаються в ґрунтознавчому аспекті, для характеристики стану
речовин, є синонімами (Одум, 1985; Alexander et al., 2007).
В природних екосистемах органічні
рештки представлені переважно фітодетритом, який володіє порівняно значною
стійкістю до біодеградації. За Ю. Чорнобаєм (2000, с. 25) “детрити з біомаси
гетеротрофів у сучасних екосистемах мають переважно техногенне походження -
вермікультури, біогумус, компости зоогенних відходів, міко- та бактеріомаса, як
продукти біотехнологічних та очисних процесів”.
Важливою особливістю детриту є збільшення
його трансформованості з глибиною - він формує стратифікований органопрофіль,
кожен шар якого відрізняється від іншого кількісним та якісним складом
ґрунтової біоти, гідротермічним режимом, хімізмом тощо. За даними Д. Гайнріха і
М. Гергта (2001), вміст детриту (у відсотках від валового вмісту ОЧҐ) в профілі
органічних горизонтів ґрунтів (підстилок) зменшується від 100% у шарі опаду до
менш як 70% у шарі ферментації і не перевищує 30% у шарі гуміфікації.
Зауваживши просторову (вертикальну і горизонтальну) неоднорідність некромаси,
Ф. Дюшофур (1970) запропонував діагностувати тип органічної частини ґрунту за
сукупністю властивостей та умов формування наземного фітодетриту. Фактично,
автор започаткував новий науковий напрям - морфологію органічної частини
ґрунту, типізацію і категоризацію якої він проводить на основі морфологічних
відмінностей, ступенів трансформованості органічних речовин і їх зв’язку з
мінеральною частиною ґрунту. Відповідно, основними типами ОЧҐ (Дюшофур, 1970;
Гайнріх і Гергт, 2001) названо наступні:
мор - тип ОЧҐ, що містить багато
фітодетриту (слаборозкладені рослинні рештки) і формується за умов низької
біотичної активності при сильно кислій і кислій реакціях середовища;
співвідношення Карбону до Нітрогену (C/N)
більше 30;
модер - ОЧҐ, утворена, головно,
середньорозкладеними рослинними рештками; формується в умовах кислої реакції
середовища при низькій біотичній активності; характеризується слабким
зчепленням з мінеральною частиною ґрунту; співвідношення C/N
не перевищує 20;
мюль - містить, переважно, рослинні
продукти екзогенного походження, а також гуміфіковані рослинні й тваринні
рештки. Цей тип ОЧҐ формується в умовах високої біотичної активності, за
близької до нейтральної реакції середовища; співвідношення C/N
складає 10-15;
Розвиток цього методичного підходу
пов’язаний із знаходженням чітких морфологічних критеріїв диференціації
органічної частини ґрунту. Зокрема, Brêthes
et al. (1995) розробили критерії оцінки форм ОЧҐ в лісових ґрунтах, що дало
можливість впровадити напівкількісні методи визначення морфологічних
особливостей ОЧҐ, на зразок індексу гумусованості (Ponge et al., 2002).
Мікробна біомаса
Під мікробною біомасою (МБ)
розуміють біомасу ґрунтових мікроорганізмів (бактерій, грибів, найпростіших) у
ґрунті. Її вміст суттєво залежить від типу екосистеми, а також комплексу
гідротермічних умов й коливається у діапазоні від 1 до 5% від загального вмісту
ОЧҐ (Bending
et al.,
1998; Семенов и др., 2004, 2006). Ці дані підтверджують і дослідження Anderson
and Domsh
(1980), відповідно до яких у мікробній біомасі міститься від 0,27 до 4,8% від
валового вмісту Карбону і від 0,5 до 15,3% Нітрогену. Щоправда, існує також
альтернативна точка зору, відповідно до якої мікробну біомасу не включають до
складу органічної частини ґрунту (Manlay et al.,2007). На наш погляд, цей
підхід є некоректним, адже ґрунт складається з неживої (едафотоп) і живої
(едафон) складових.
В 1 грамі ґрунту міститься (клітин):
105-107 бактерій, 104 - 105
актиноміцетів, 103 - 104 водоростей, 102 - 103
простіших, а також до 250 метрів грибних гіф (Stahl
P.D.,
Parkin
T.B.
,1996; Іутинська Г.О., 2006). Найбільший вклад у загальний потік СО2
з поверхні ґрунту, переважно, чинять бактерії (до 70%). До 30% складає частка
дихання грибів і до 3% - ґрунтових тварин (Кудеяров и др., 2007). Щоправда, в
ґрунтах із кислою реакцією середовища, де забезпечуються оптимальні умови для
розвитку популяцій грибів, їхній вклад у загальну кількість виділеного СО2
може складати до 60%, а частка у загальній мікробній біомасі становити від 50 до
79%.
Вважається, що грибна компонента є
особливо чутливою до антропогенного навантаження на екосистему (Ананьева,
2003). Зі збільшенням ступеню гемеробії екосистеми відбуваються суттєві зміни у
структурі й активності мікробної біомаси, в тому числі у складі грибних
популяцій. Як стверджують Stahl
P.D.
і Parkin
T.B.
(1996), в цілинних ґрунтах прерій довжина грибного міцелію складає 239, а в
агроекосистемах на аналогічних ґрунтах - 20 м∙г-1.
Незважаючи на незначний вміст, цей
компонент органічної частини ґрунту є основою педоценозу і катаболічного блоку
наземних екосистем в принципі. Гетеротрофні організми, що населяють ґрунт
(зокрема органічні та органогенні горизонти) забезпечують комплексну
трансформацію детриту, беруть участь у процесах розкладу та повторного синтезу
органічних речовин у ґрунті (Керженцев, 2006).
Особливістю цього компоненту ОЧҐ є
здатність накопичувати у своєму складі біофільні елементи, вилучаючи їх з інших
її складових. Р.Тейт (1991) наголошує, що переважна більшість поживних речовин,
які звільняються внаслідок відмирання і розкладу клітин мікроорганізмів
включаються в нову мікробну біомасу. Цей феномен носить назву “мікробна
іммобілізація” і найкраще відображений в біологічному циклі Нітрогену: навіть
при високих значеннях валового вмісту N
у ґрунті, цей елемент може виступати лімітуючим фактором для росту і розвитку
рослин, оскільки значна його кількість може бути іммобілізована у складі
біомаси мікроорганізмів. И.Е. Евдокимов и др. (2005) досліджували вплив
внесення різних доз (від 50 до 2000 мг N∙кг-1)
на іммобілізацію Нітрогену в сірому лісовому ґрунті, відібраному в лісовій та
агроекосистемах. Автори з’ясували, що швидкість іммобілізації досягала 143 мг N∙24год-1,
а процент іммобілізованого Нітрогену - 72 від внесеного, навіть при аномально
високих дозах. Важливо також, що зразки ґрунту, відібрані у лісовій екосистемі
продемонстрували значно вищу здатність до іммобілізації, ніж агрогенно
трансформовані ґрунти. (Кудеяров, 1989; Тейт, 1991).
Зазначимо, що мікробна біомаса є
єдиним компонентом ОЧҐ, для оцінки якого застосовують принципово різні
методичні підходи. Визначення вмісту МБ проводять або за конкретним хімічним
елементом (С, N,
P, S),
що входить до її складу або за інтенсивністю дихання мікроорганізмів після
активації (хімічної або термічної) субстрату.
Абіонтичні органічні речовини
Під абіонтичними органічними
речовинами (АОР) розуміють органічні сполуки рослинного, тваринного і
мікробного походження, які здатні до швидкої біодеградації. “Ці речовини,
синтезовані живими клітинами мікроорганізмів і рослин, в результаті відмирання
клітин чи активного виділення ними продуктів метаболізму потрапляють у ґрунт і
стабілізуються в природній органічній речовині ґрунту” (Тейт, 1991, с. 135).
Основна маса органічних речовин у
ґрунті трансформується і мінералізується консументами й редуцентами у речовини
неспецифічної природи і часто не досягає фази гумусових речовин. Наприклад,
великі аліфатичні молекули, таніни, терпени, флавоноїди тощо є органічними, але
не гумусовими речовинами ґрунту (Derenne, Largeau, 2001). Зазвичай, ці сполуки
є абіонтичними органічними речовинами. Крім названих сполук, до складу цього
компоненту ОЧҐ входять різноманітні амінокислоти, аміни, аміноцукри,
полісахариди та інші сполуки, які ще донедавна були у складі біомаси, але на
момент дослідження виявлені у вільному стані. Термін “абіонтичний”
запропоновано щоб підкреслити, що сполуки мають біологічне походження, але
існують за межами живих клітин.
Окрему групу АОР складають ферменти.
Вони є біологічними каталізаторами трансформації органічної частини ґрунту і
суттєво впливають на її кількісні та якісні особливості (Тейт, 1991; Gregorich,
2003). У ґрунтознавчих та екологічних дослідженнях найчастіше проводять
визначення активності оксидоредуктаз (каталази, дегідрогенази тощо) і гідролаз
(інвертази, АТФ-ази, уреази, протеази, целюлази), що дозволяє не лише отримати
інтегральну оцінку ферментативної активності ґрунту, а й прослідкувати її
взаємозв’язок із емісією СО2 з поверхні ґрунту та екофізіологічними
параметрами мінералізації ОЧҐ в цілому (Хазиев, 1976; Марискевич, Шпаківська,
2001).
Абіонтичні органічні речовини - це
потенційно біодоступні сполуки та утворення; їхній вміст у ґрунті коливається у
діапазоні 1-5% від Сорг (Davidson
et
al.,
1987; Leinweber
et
al.,
1995; Haynes,
2000, 2005), але може бути суттєво вищим (Balesdent,
1996).
Через значну структурну
неоднорідність АОР, для кількісної та якісної оцінки цього компоненту ОЧҐ існує
велика кількість підходів та методів, на яких зупинимось детальніше при
характеристиці фракцій органічної частини ґрунту.
Гумусові речовини
У вітчизняному ґрунтознавстві,
вважається, що органічна частина ґрунту складається із рослинних рештків, що не
втратили своєї анатомічної будови і гумусу, який представлений проміжними
продуктами розкладу і гуміфікації, неспецифічними і специфічними (прогумінові
кислоти, гумін тощо) гумусовими речовинами (Орлов, 1985). Цей підхід містить
багато дискусійних моментів. Наприклад, незрозуміло, як до складу гумусу можуть
входити сполуки, що не пройшли стадію гуміфікації або як компонентами гумусу
можуть бути гумінові та фульвокислоти, якщо це лише препарати, отримані в
лабораторних умовах (в ґрунті ці сполуки існують лише у сольових формах).
Зрештою, не зрозуміло чи правомірно екстраполювати властивості гумусових кислот
(штучні препарати) на гумати і фульвати, які існують у ґрунті (Лактионов,
1978). При цьому, вже давно було переконливо доведено, що ні валовий вміст
гумусу, ні його окремих компонентів (гумати та фульвати) не впливають на
родючість ґрунту і є непридатними для використання в агрохімії та
сільськогосподарському ґрунтознавстві (Лактионов, 1998).
Проблематичним є також і те, що
потенційним джерелом похибок, при оцінці кількісних параметрів гумусу, є
припущення, що в ньому міститься 58% Карбону. З метою перерахунку вмісту
Карбону органічних сполук (Сорг) на вміст гумусу використовують
фактор Ван Беммельна, експериментально встановлений ще у 1890 році (Van
Bemmelen, 1890). Добуток отриманого експериментально значення вмісту Карбону
органічних сполук на 1,724 приймають за вміст гумусу у ґрунті. Проте, ще в 1930
році, Waxman and
Stevens (1930) критично оцінили використання коефіцієнту 1,724 для кількісної
оцінки ОЧҐ, припустивши, що “значення цього фактору буде змінено, коли
акумулюється достатня кількість інформації про природу органічної речовини
ґрунту” (с. 113). На сьогодні, відомо, що значення фактору Ван Беммельна
коливається у досить широких межах - від 1,6 до 3,3 (Jackson, 1958; Nelson,
Sommers, 1982). У торфах, а також лісових ґрунтах з гумусом типу мор і модер,
значення індексу становить близько 2,5 і, переважно, не опускається нижче 2,0
(Howard, Howard, 1990, Pribyl,
2010).
З метою уникнення названих вище
протиріч, в сучасній англомовній літературі все рідше застосовують термін
“гумус”, а коли вживають - вказують, що мають на увазі під цим поняттям (Manlay,
2007).
На сьогодні, вивчення гумусових
речовини вважається одним із перспективних напрямів наукових досліджень, проте
вже не займає центральне місце у парадигмі сучасного ґрунтознавства та екології
(Керженцев, 2006; Морозов, 2007), а розглядаються як важливий, але лише один з
багатьох компонентів органічної частини ґрунту (von Lützow
et al., 2007).
Гумусові речовини є найбільш
поширеними у біосфері природними лігандами і, відповідно, важливими регуляторами
багатьох процесів у наземних і водних екосистемах (Peňa-Méndez
et
al.,
2005). У Світовому океані від 30 до 90% розчиненого органічного Карбону (РОК)
міститься у складі гумусових сполук, а у педосфері, як головному наземному
резервуарі Сорг, в них зосереджено більше половини Карбону
органічних сполук (Thurman, 1985). Порівняно із негумусовими сполуками ОЧҐ
(аміноцукри, карбогідрати, жири, смоли, органічні кислоти тощо), гумусові
речовини відрізняються високою стійкістю до хімічної, фізичної та біотичної
деградації.
Важливою особливістю гумусових
сполук є непостійність їхнього хімічного складу й неможливість застосування до
них традиційних класифікаційних підходів сучасної хімії. За F.
Stevenson
(1982), гумусові речовини є гетерогенною сумішшю недиференційованих
макромолекул, які формуються безпосередньо у біокосних тілах і прекурсорами
яких виступає широкий спектр біомолекул.
На думку Д.С. Орлова (1974, с. 16),
“у сфері вивчення ґрунтового гумусу досягнуті значні успіхи, але основні
проблеми не знайшли свого вирішення. Стан проблеми оцінюється спеціалістами не
однаково, але вже більше ніж на протязі 100 років висловлюється суттєва
незадоволеність зі сторони ґрунтознавців як генетичного, так і хімічного
напрямів”.
Н.И. Лактионов (1978) провів детальний
аналіз стану вивчення гумусових речовин й критично оцінив прийняті на той час і
актуальні й на сьогодні уявлення і теорії - роботи С.А. Ваксмана (1937), М.М.
Кононової (1963), И.В. Тюрина (1937), Д.С. Орлова (1974). Автор (Лактионов,
1978) зазначає, що “за результатами хімічних досліджень не спостерігається
агрономічна цінність гумусу, оскільки не відома роль штучно виділених гумінових
і фульвокислот в формуванні агрономічних властивостей ґрунту”. Він пропонує
відійти від традиційних класифікаційних схем гумусових речовин, визначивши
їхньою основною характеристикою - не хімічний склад (постійно змінний), а
дисперсність. Відповідно гумусові сполуки слід розглядати як природні колоїдні
поверхнево-активні речовини.
Сьогодні, саме такий підхід до
гумусових сполук стає все популярнішим як серед вітчизняних (Степанов,
Милановский, 1989), так і закордонных науковців (Hargitai,
1994; von Lützow
et al., 2007).
Інертні органічні речовини
Цей компонент органічної частини
ґрунту утворений з різноманітних високоароматичних сполук, вік яких складає
тисячі років (Falloon et
al., 1998). Також, до
його складу входять обвуглені органічні рештки, що накопичуються у ґрунті
внаслідок пожеж. До останніх, в англомовній літературі застосовують терміни “biochar”,
що українською мовою перекладається як “біовугілля” (Verheijen et
al., 2009). Близьким
за змістом терміном є також black
carbon (“чорне
вугілля”), який широко застосовується в ґрунтознавчих та екологічних роботах у
контексті дослідження глобального потепління клімату (Schmidt,
Noack, 2000).
Вміст інертних органічних речовин
(ІОР) у ґрунті складає, зазвичай, до 1% від валового вмісту ОРҐ, проте може
бути значном вищим і сягати 35% в амазонських антропогенних ґрунтах terra
preta (Glaser
et al.,
1998, 2001).
На сьогодні, як вивчення інертних
органічних речовин у складі природної ОЧҐ, так і конструювання на їхній основі
штучних ґрунтів з високим вмістом ароматичних компонентів та обвуглених
органічних рештків є одним із найважливіших напрямів екологічного
ґрунтознавства (Карпачевский, 2005). Численні тематичні публікації у провідних
наукових виданнях, серед яких стаття E.
Marris “Putting
the carbon
back: black
is the
new green”
у журналі Nature
(Marris, 2006)
наголошують на перспективності використання інертних органічних речовин ґрунту
як стоку парникових газів.
Вивчення природи і функцій ІОР
тривалий час проводиться на Ротамстедському стаціонарі, де, завдяки тривалим
моніторинговим дослідженням, вдалось кількісно оцінити баланс цього компоненту
ОЧҐ за різних способів землекористування (Skjemstadt et
al., 2004).
Штучні органічні речовини
До складу цього компоненту ОЧҐ
входять різноманітні органічні сполуки, синтезовані людиною, які внаслідок
використання відходів виробництва чи очистки стічних вод для удобрення,
внесення пестицидів і дефоліантів або випадкових промислових викидів чи
військових дій потрапляють у ґрунт. Р. Тейт (1991) зазначає, що “мало які
пестициди чи близькі до них меліоративні речовини застосовують в концентраціях,
які здатні вплинути на валовий вміст органічних речовин у ґрунті” (Тейт, 1991,
с. 111). Проте, висока хімічна активність цих сполук призводить, при
потраплянні в ґрунт, до дестабілізації системи педоценоз-фітоценоз. Так,
різноманітні отрути, що знешкоджують організми-мішені, стерилізатори,
інгібітори росту порушують нормальний перебіг трансформації органічних сполук у
ґрунті й можуть також супроводжуватися утворенням нових, зокрема токсичних,
органічних речовин, які накопичуються у ґрунті й характизуються пролонгованим
впливом на біологічні системи (Гайнріх, Гергт, 2001).
Часто, у літературі можна зустріти
термін “екзогенні органічні речовини” (Тейт, 1991; Iglesias-Jimenez,
1997; Leroy et
al., 2007). Він
застосовується до всіх органічних сполук, які були синтезовані за межами
екосистеми і внесені (або потрапили) до неї внаслідок діяльності людини. При
цьому, екзогенними органічними речовинами (ЕОР) є як згадані вище пестициди,
дефоліанти і т.д., так і торф, сапропель, гній, компости - тобто всі органічні
та органо-мінеральні добрива - речовини, які суттєво впливають на вміст
органічних сполук у ґрунті.
З метою уникнення можливих
неточностей (наприклад, підстилковий гній містить не лише екзогенні органічні
речовини, а рослинні рештки, абіонтичні речовини, мікробну біомасу), для
характеристики компонентного складу ОЧҐ пропонуємо використовувати термін
“штучні органічні речовини”, натомість “екзогенні органічні речовини” - в тих
випадках, коли характеризується ґенеза ґрунту та окремих його складових.
Фракції органічної частини ґрунту
Часто, терміни “компоненти” та
“фракції” органічної частини ґрунту вживають у якості синонімів, що є
методологічно неправильно, оскільки перший характеризує окрему
структурно-функціональну складову, а другий - певну кількість органічних
речовин, яка може бути екстрагована внаслідок застосування конкретного методу (Blair
et al.,
1995; Boyer, Groffman, 1996; von Lutzow et al., 2007). Тому, термін “фракція”
слід використовувати лише тоді, коли характеризується компонент ОЧҐ або його
частина, яка може бути безпосередньо визначена (виміряна інструментально)
кількісно (Haynes,
2005; Marschner, 2003; Кузнецов, 2008).
Існує значна кількість різних груп
методів для оцінки фракційного складу органічної частини ґрунту (таб.1.1). При
цьому, існує багато варіантів методик виділення кожної фракції. Розгляньмо це
на прикладі екстрагування водорозчинних органічних сполук (ВОР) з ОЧҐ, як
найбільш мобільної фракції лабільного пулу (Embacher, 2007, 2008).
Z. Huang
et
al.,
(2008) пропонують наважку ґрунту (3 гр у перерахунку на абсолютно сухий ґрунт)
розводити дистильованою водою у співвідношенні 1: 10 і збовтувати на шейкері
протягом 30 хв при кімнатній температурі. Отриману суспензію центрифугують (20
хв, 3500 об·хв-1) і фільтрують крізь 0,45 мкм мембранний фільтр.
E.G.
Gregorich
et al.
(2003) теж пропонують проводити екстракцію дистильованою водою. Наважку
повітряно-сухого ґрунту 15 г розводять 150 мл води. Отриману суспензію
збовтують 30 хв, центрифугують (20 хв, 4500 об·хв-1) і пропускають
крізь нітроцелюлозний фільтр 0,45 мкм.
Натомість, A.
Smolander
et al.
(2005) пропонують використовувати для екстракції ультрачисту воду.
Повітряно-суху пробу ґрунту, попередньо просіяну крізь сито з отворами
діаметром 4 мм розводять в ультрачистій воді у співвідношенні 1: 5, збовтують
(2 год, 150 об·хв-1), центрифугують (20 хв, 10 000 об·хв-1)
і пропускають крізь серію фільтрів менших за 0,45 мкм, використовуючи
спеціальні вакуумні системи.
Таблиця
1.1
Методи фракціонування органічної
частини ґрунту (за даними Loginow, 1993; Blair
et al.,
1995; Kalbitz et.
al., 2003; von Lutzow
et al., 2007; Mirsky et
al., 2008)
|
Фізичне
|
Хімічне
|
Комплексне
|
|
за агрегатами: - сухе просіювання; - мокре
просіювання; - диспергування ультразвуком;
|
екстракція: - розчинених органічних речовин; -
мікробної біомаси; - розчинами кислот; -
розчинами лугів; - розчинами солей; -
органічними розчинниками.
|
інкубаційні експерименти: - базальне дихання;
- субстрат-індуковане дихання; - термоіндуковане дихання.
|
|
за розміром частинок: - ситовий аналіз; -
імпакторний аналіз; - пошарова сидементація;
|
гідроліз: - холодною водою; - гарячою водою; -
кислотний; - лужний.
|
ультрафіолетове фотоокиснення з подальшим
хімічним фракціонуванням
|
|
за густиною: - розділення в органічних рідинах
(C2H2Br4, CHBr3, CCl4); -
розділення у водних розчинах (MgSO4, Na6(H2W12O40),
ZnBr2);
|
окиснювальна деструкція: - розчином KMnO4;
- розчином H2O2;
- розчином Na2S2O8;
- розчином
NaOCl;
|
розділення ОЧҐ за густиною з подальшим
хімічним фракціонуванням
|
|
сепарація
у високоградієнтному магнітному полі
|
деструкція мінеральної частини: - розчином HF;
- йонами дітіоніту та оксалату.
|
розділення ОЧҐ за розміром частинок
(гранулометричними фракціями) з подальшим хімічним фракціонуванням
|
. Cérémonie
et
al.
(2008) теж використовують для екстракції ультрачисту воду. Наважку ґрунту 1 або
10 г розводять відповідно в 5 або 20 мл води, збовтують протягом 1 години при
4°С, центрифугують (15 хв, 5000 об·хв-1) і пропускають крізь 0,45
мкм фільтр.
J.N.
Boyer
and
P.M.
Groffman
(1996) ставлять перед екстрагентом додаткові вимоги, пропонуючи використовувати
наночисту воду, в співвідношенні 70-100 ґрунту на 300 мл води. Суспензію
збовтують (12 год, 400 об·хв-1) при температурі 4°С, після чого
центрифугують (1 год, 6500 об·хв-1) і двічі фільтрують крізь ватман,
витриманий протягом 4 год при 450°С.
Як видно з наведених даних, на
практиці, для екстракції фракцій ОЧҐ застосовують різні методологічні та
методичні підходи, серед яких виділяють фізичні, хімічні та комплексні. Значна
кількість різних методичних підходів до екстрагування окремих фракцій, а також варіантів
кожного методу (або груп методів) суттєво утруднює аналіз отриманих даних,
можливість їхнього порівняння з результатами інших дослідників. Як це було
розглянуто на прикладі екстракції ВОР, брак стандартизованих підходів і
алгоритмів проведення аналізу кожної фракції призводить до того, що досліднику
в кожному конкретному випадку доводиться дуже детально описувати методику
проведення експерименту.
Пули органічної частини ґрунту
Часто, вмісти фракцій ОЧҐ, отримані
різними способами сильно корелюють між собою. Це, наприклад, вміст
екстрагованих гарячою водою органічних речовин (ЕГВОР), мікробної біомаси і
органічних сполук окиснених розчином перманганату калію. Подібність елементного
складу отриманих фракцій, а також співмірність абсолютного і відносного вмістів
кожної з них у складі органічної частини ґрунту означає, що кожен із
застосованих методів, попри різні механізми впливу, призводить до екстракції
тих самих або подібних органічних сполук. Різні фракції та компоненти
органічної частини ґрунту, що володіють близькими біокінетичними
характеристиками утворюють окремі пули (Кузнецов, 2008). При цьому слід
зазначити, що часто терміни “фракція” та “пул” вживають у якості синонімів, що
дозволяє прирівнювати теоретично окреслені пули до існтрументально визначених
фракцій (Nelson et
al., 1994; Moody
et al.,
1997; von Lutzow et al., 2007; Кузнецов, 2008). Також, в науковій літературі
можна зустріти терміни “лабільні органічні речовини”, “стабільні органічні
речовини” тощо у множині чи однині. Їх слід розуміти як “пул лабільних
органічних речовин”, “пул стабільних органічних речовин” і т.д.
Для окреслення окремих пулів,
інструментально визначені фракції категоризують за наступними критерієми:
1. MRT
(mean residence
time, lifetime)
- середній час перебування або “життя” (в ґрунті) хімічної сполуки чи фракції;
2. k - константа
швидкості мінералізації;
3. Т0,5 - період
напіврозкладу (T0,5
=
ln2/k).
Використовуючи ці параметри,
органічну частину ґрунту розділяють на активний (лабільний), повільний та
пасивний (стабільний) пули. Варто зазначити, що залежно від поставлених
завдань, застосованих методичних підходів та складеної математичної моделі
динаміки органічних сполук у ґрунті, у складі ОЧҐ виділяють від 2 (активний і
пасивний) до 7-10 (активний 1, активний 2, активний 3 тощо) функціональних
пулів. Так, в одній із найпопулярніших на сьогоднішній день моделей динаміки
ОЧҐ (RothC),
розробленій на основі багаторічних експериментів на Ротамстедській дослідній
станції (Великобританія) виділяють 4 активних пули, які повністю оновлюються
від кількох місяців до десятиліть і 1 стабільний пул (інертні органічні
речовини) з MRT>50
000 років (Falloon et
al., 1998; Skjemstadt
et al.,
2004). Натомість, найпопулярніша на пострадянському просторі модель динаміки
ОЧҐ (ROMUL)
передбачає виділення трьох основних пулів - детрит, лабільний гумус і
стабільний гумус (Кудеяров и др., 2007).
За даними E.A.
Paul et
al. (2006), за
Карбоном органічних сполук, розмір активного пулу ОЧҐ
(MRT<90 діб)
оцінюється у 2-8% від Сорг. Натомість
на повільний пул (MRT=10-80
років) припадає приблизно половина Сорг,
а решта органічних сполук зосереджена у пасивному (стабільному) пулі органічної
частини ґрунту (MRT>1000
років). Подібні
результати було отримано й G.
Fissore et
al. (2009) для лісових
ґрунтів Північної Америки.
На рис. 1.1 зображено загальну схему
циклу органічної частини ґрунту з окресленням активного, повільного і пасивного
пулів. Кожен з них
характеризується своїм характерним часом або MRT
(Керженцев, 2006). Якщо в
активному пулі MRT
не перевищує 3 років,
то в повільному зростає до 15-20 і складає понад 1000 років у пасивному
(Кузнецов, 2008). При цьому, слід розуміти, що між названими пулами постійно
відбувається обмін органічними речовинами, які володіють проміжними значеннями
біокінетичних параметрів, що супроводжується мінералізацією частини органічних
сполук із виділенням діоксиду карбону.
Рис. 1.1 Схема циклу органічної
частини ґрунту
Незалежно від того, на скільки пулів
у конкретному екологічно му чи ґрунтознавчому дослідженні розділяють ОЧҐ, їх
усі можна об’єднати у дві групи
або фази: активну і консервативну (рис.1.2). За З. Гамкалом (2003), органічна
частина ґрунту ділиться на активний пул (АП) і гумус, при чому перший виконує
функцію енергопластичного буфера ґрунту, забезпечує його функціонування та
розвиток в часі й просторі.
Активний пул органічної частини
ґрунту є чутливим індикатором стану ґрунтової екосистеми. Він відіграє ключову
роль у процесах колообігу Карбону й Нітрогену (Шульц, Кершенс, 1998), а його
динаміка відображає напрям і характер перебігу процесів іммобілізації та
мінералізації, залежно від навантаження на екосистему в цілому та її
катаболічну складову зокрема. Активний пул органічної частини ґрунту “є
головним субстратом процесу мінералізації та внутрішньоґрунтового циклу сполук
Нітрогену і, як ми вважаємо, виконує роль енергопластичного буфера, який
захищає гумусові речовини від мікробної деструкції в процесі вегетації (чи в
інших випадках), коли змінюються енергетичні потреби гетеротрофної біоти
внаслідок зміни вмісту мінеральних форм біофільних елементів” (Гамкало, 2009,
с.83).
Рис. 1.2 Схема енергопластичного
буферу ґрунту (за З. Гамкалом, 2003)
Варто зазначити, що вміст лабільних
органічних сполук у ґрунті суттєво змінюється за профілем, а також залежить від
типу й інтенсивності антропогенного навантаження на екосистему. За даними L.
Kolar et
al. (2009) розмір
лабільного пулу органічної частини ґрунту змінюється у широких межах і може
перевищувати 30% від валового вмісту Карбону органічних сполук. Подібні
результати було отримано й З. Гамкалом (2009), який вивчав динаміку лабільного
(активного) пулу органічної частини ґрунту за вмістом Нітрогену - продовж вегетаційного
періоду вміст N
у ґрунтах окремих варіантів агроценозів міг змінюватися майже вдвічі.
Особливе місце у сучасних
дослідженнях екологічної та агрономічної якостей ґрунтів, задіяних у
сільськогосподарському виробництві, займає оцінка й параметризація лабільних
пулів Карбону органічних сполук. Для цього розроблено широкий спектр
діагностичних критеріїв, серед яких найпопулярнішими є: вміст водорозчинних
сполук Карбону, визначений безпосередньо у ґрунтовому розчині (Chantigny, 2003)
або у розчинах, екстрагованих з ґрунту холодною (від 5 до 20°С) (Landgraf et
al., 2006) чи гарячою (від 50 до 120°С) (Haynes, 2005) водою, вміст мікробної
біомаси (Благодатский и др., 1987), а також розмір легкоокиснюваного пулу Сорг,
визначений шляхом окиснення органічних сполук Карбону слаболужним розчином
перманганату калію (Blair et al., 1995, 2001; Weil et al., 2003). Варто
зазначити, що більшість із названих критеріїв використовують у лісовій екології
та ґрунтознавстві дуже обмежено, або не використовуються взагалі. В нашій
роботі, зроблено спробу оцінити вплив антропогенну динаміку органічної частини
ґрунту саме у лісових екосистемах. Для цього застосовано широкий спектр методів
як лісового ґрунтознавства, так і суміжних наук, серед яких деякі застосовано
вперше в Україні
.3 Якісно-кількісні зміни органічної
частини ґрунту та їхня інформативність при оцінці наслідків антропогенних
впливів
В системі ліс-атмосфера існує тісний
зворотний зв’язок: фітоценоз не лише впливає на склад атмосфери (процес
фотосинтезу), а й процес сильвагенезу визначається у значній мірі кліматичними
умовами. Тому, потенційна здатність адаптації деревних порід до зміненого,
внаслідок глобального потепління клімату, природного середовища стане одним із
визначальних показників, на основі яких формуватимуться ліси майбутнього (С.М.
Стойко, 2009). З огляду на це представляє інтерес дослідження впливу типових
способів лісокористування (часткове знеліснення) на основніі пули Карбону
органічних сполук, які є джерелом емісії парникових газів.
Відповідно до доповнення 16/CMP.1 до
Кіотського протоколу, термін “знеліснення” означає “спричинене людською
діяльністю перетворення лісових земель в нелісові” (Decision 16/CMP.1, 2005).
Цей процес передбачає проведення суцільних рубань або випалювання рослинності й
включає формування на місці колишніх лісів післялісових агроекосистем.
Продовольча та сільськогосподарська організація ООН (FAO) пропонує трактувати
знеліснення як “перетворення лісів в інші типи землекористування або
довготривале зменшення намету лісу нижче 10% порогу” (Forests and Climate
Change…, 2007). У науковій літературі термін “знеліснення” застосовується у
значно ширших межах, ніж у наведених вище двох офіційних (юридичних)
трактуваннях. Часто, у поняття “знеліснення” включають всі лісогосподарські
заходи, пов’язані з заготівлею деревини, окрім тих, що проводяться у системі
агролісівництва, розрізняючи “часткове знеліснення” і “повне знеліснення”
(Ruprecht, Schofield, 1991a; Ruprecht, Schofield, 1991b; Davis, Philips, 2005).
Клімаксова лісова екосистема
характеризується врівноваженням процесів виходу і надходження елементів у її
структурних компонентах. Особливо важливим механізмом забезпечення стійкості
такої екосистеми є зв’язок між мікроорганізмами, які мінералізують ОЧҐ і
кореневими системами рослин, які поглинають мінеральні компоненти й синтезують
нову біомасу (Пастернак, 1967). Порушення режимів надходження опаду й відпаду
організмів та їхніх частин, спричинені знелісненням, призводять до значного
дисбалансу процесів мінералізації й іммобілізації органічних речовин у
едафотопі й збіднення ґрунтового резервуару Сорг в цілому. Це дало
підстави Тейту (1991) сформулювати твердження, відповідно до якого “з точки
зору збереження ґрунтової екосистеми, найбільш значним впливом на ліс можна
вважати заготівлю деревини” (С.335). Подібних поглядів дотримувався і Г.Ф.
Морозов, який казав, що “до переліку загальновідомих лісівничих істин входить і
твердження, що ґрунт погіршується з вирубкою лісу. Він втрачає гумус, стає
більш щільним і сухим і взагалі, як кажуть лісівники, дичіє” (Мигунова, 2001,
С.374).
Знеліснення спричиняє значні зміни
фітоценотичного покриву, а також змінює інтенсивність процесів анаболізму й
катаболізму на екосистемному рівні. Це явище носить комплексний характер і
впливає на фітострату (відчуження біомаси, зміна структури і складу природних
угруповань), мезострату (вилучення чи пошкодження пісдстилки, зменшення
чисельності й видового багатства деструкторів) й педострату (дезагрегація та
руйнування ґрунту, погіршення його фізичних та хімічних властивостей)
(Бобровский, 2004).
Комплексний характер проблеми
знеліснення спричиняє її вагому роль у дестабілізації біогеохімічного циклу
Карбону і, відповідно, у зумовлені глобальних кліматичних змін. У біомасі
наземних екосистем зосереджено 610 гт С, з них понад 90 відсотків - у фітомасі.
Оскільки, час перебування Карбону органічних сполук (Сорг) у складі
трав’яних рослин не перевищує 1-2 років, головний стійкий його пул надземної
фітомаси утворений деревами та кущами (Eswaran et al., 1993; Schloerer, 1996).
Внаслідок масштабних рубань тропічних та бореальних лісів, суттєво зменшуються
резервуари Карбону наземних екосистем. Це супроводжується також зменшенням у
біосферному масштабі розмірів автотрофного блоку, який є планетарним
акумулятором енергії Сонця.
Дестабілізуючий вплив знеліснення на
катаболічний блок екосистеми пов’язаний із двома основними механізмами. Перший
передбачає зміну режимів надходження речовини та енергії, другий - зміну умов
середовища. Структурні зміни, що відбуваються в екосистемі внаслідок проведення
лісогосподарських заходів різної інтенсивності значно впливають на деструкційну
ланку метаболізму, порушуючи біогенний потік атомів біофільних елементів та
енергії в послідовності дебрис - фітодетрит - ґрунт.
Трансформування пулу Сорг
в органічних горизонтах ґрунту, внаслідок знеліснення, носить комплексний
характер і пов’язане як зі зміною режиму надходження та якістю органічних
речовин, що потрапляють до складу підстилки, так і умов (мікрокліматичних,
фізико-хімічних, біотичних) її мінералізації. При цьому, найважливіше значення
має якісний склад органічних сполук у підстилці, який детермінує особливості
деструкції на рівні різних її фракцій та пулів.
Варто зазначити, що за високого
вмісту стабільних складових, у складі яких є значна кількість ароматичних
компонентів, знеліснення може не відобразитись на валовому вмісті Карбону
органічних сполук в органічних горизонтах ґрунтів, або навіть спричинити
збільшення валового вмісту Сорг й маси підстилки протягом
короткотривалих періодів. Наприклад, в експериментальному лісі Ковіті (Південні
Аппалачі) після проведення суцільних рубань (з усуненням та без усуненням
порубочних рештків) протягом 4-7 років спостерігалось збільшення маси підстилки
(Mattson, Swan, 1989). Подібну закономірність виявлено і в дубових лісах
Вірджинії (Johnson et al., 1985), при чому зафіксовано не лише збільшення
вмісту Карбону, а й стрімке зростання маси органічних горизонтів після
проведення рубань, яка повернулась до вихідного стану лише через два роки.
Збільшення запасів підстилки в мішаному лісі після проведення суцільних рубань
було виявлено і Hendrickson et al. (1989). За даними цих авторів, на перший рік
після проведення лісогосподарських заходів, запаси підстилок на модельних
ділянках різко збільшились і навіть на 3-й рік після рубань перевищували
аналогічні показники під непорушеним деревостаном.
Водночас, багато науковців виявляли
й протилежні тенденції. За Huntington and
Ryan (1990), суцільні рубання в експериментальному лісі Хаббард Брук у США не
спричинили статистично значущих змін валового вмісту Сорг у
підстилці протягом перших 3-х років. Достовірні його зміни вдалось зафіксувати
лише на 4-5 рік, а на 8-й рік експерименту, втрати Карбону органічних сполук
склали до 30% від вихідних значень.
За Mroz et al. (1985), суцільні
рубання у широколистяних лісах призводять до значних втрат запасів Сорг
в органічних горизонтах ґрунтів й зменшення їх потужності в цілому: вже через 2
роки після проведення рубань маса підстилки зменшилась на 42-71%, порівняно із
контролем. Протягом цього ж періоду Mattson and
Smith (1993) зафіксували зменшення запасів підстилок на 35%, а Brais et al.
(1995) - на 50%, порівняно з ґрунтом під непорушеним деревостаном.і Nakane
(2004) дослідили вплив суцільних рубань на ґрунт в межах плантацій японського
кедру (Cryptomeria japonica). Ними показано, що впродовж 10 років після
вирубки, на знеліснених ділянках запаси підстилок зменшились із 21 до 5 т∙га-1
і відновилась лише через 20 років, а емісія CO2 з поверхні ґрунту
різко зросла. Вміст Карбону органічних сполук у едафотопі навіть через 40 років
після проведення суцільного вирубування деревостану не повернувся до попередніх
значень і лише після закриття деревного намету процес дегуміфікації
сповільнився.
Вивчаючи, у Східній Фінляндії, вплив
знеліснення на едафотоп лісових екосистем із домінуванням ялини європейської (Picea
abies
(L.)
Karst),
Finér
et al. (2003) дійшли висновку, що суцільна вирубка деревостану із вилученням
(знищенням) гілок призводить до зменшення екосистемного пулу Карбону на 46% і
Нітрогену на 9,7%. Вміст останнього відіграє важливе значення, оскільки ріст і
розвиток деревної рослинності, яка фіксує і надовго зв’язує Карбон лімітується
кількістю доступного Нітрогену (Mälkönen
et al., 1990; Jacobson et al., 2000).(2006) досліджуючи у тривалому
експерименті (до 30 років) вплив знеліснення на екосистему дубового лісу
(Quercus brantii Lindl.)
на території Центрального і Західного Ірану, показав, що вміст Карбону
органічних сполук в едафотопах непорушених деревостанів склав 34,2±16,2, а
знеліснених екосистем - лише 12,5±4,0 г С∙кг-1. За цих умов,
величина базального дихання зменшилась із 47,1±14,9 до 24,9±5,2 мг С-CO2
кг-1∙24 год-1, а вміст біодоступного Нітрогену з
61,7±26,7 до 26,8±11,9 мг N∙кг-1. Автор відзначає, що
знеліснення суттєво впливає не лише на кількісні зміни, а призводить до
глибинних якісних перетворень органічної частини ґрунту.
Раніше, Binkley (1984) показав, що
вирубка старовікових деревостанів із домінуванням туї гігантської (Thuja
plicata
Donn.)
і ялини сітхінської (Picea sitchensis (Bong.) Carr) призводить до суттєвого (в
3-5 разів) підвищення целюлозорозкладальної активності в органогенних
горизонтах ґрунтів знеліснених територій, при чому на останніх (6 років після
вирубки) різко зростає вміст доступного Нітрогену (7-20 разів).
Як зазначають Yanai et al. (2003),
окремі відмінності у результатах досліджень впливу знеліснення на
структурно-функціональний компоненти ґрунту, пов’язані з особливостями
механізмів втрат Сорг у кожному конкретному варіанті. Відомо, що знеліснення
усуває агресивний кислотний вплив деревної рослинності на едафотоп, змінює
режими температури, вологості й освітленості. Це сприяє формуванню оптимальних
умов для росту і розвитку чутливих до кислотності стенобіонтних ґрунтових
мікроорганізмів і кращого використання поживного субстрату, яким є органічна
частина ґрунту. Суттєва інтенсифікація активності мікроорганізмів на
знеліснених територіях призводить до значного збільшення інтенсивності дихання
ґрунту, кількісних і якісних змін його органічної частини, тобто, розкриває
ґрунтовий резервуар Карбону (ҐРК), що є екологічно небажаним (Polyakov, Lal,
2008).
Водночас, було б неправильно
припустити, що зміна температури, вологості й освітленості едафотопу завжди
призводить до значних і незворотних змін у екосистемі. Раніше (Lutz, Chandler,
1946; Witkamp, 1971) вважалось, що вплив цих екологічних факторів є
визначальним, але у подальших дослідженнях висловлювались й інші міркування.
Зокрема. за даними Blair i Crossley (1988) швидкість розкладу листя у ґрунті
під непорушеним деревостаном була суттєво вищою, ніж в ґрунті зрубу, при чому
це простежувалось впродовж 8-ми років з моменту рубань. Подібну закономірність
було виявлено і Yin et al. (1989) продовж семирічного експерименту: маса
нейлонових мішечків з опадом листяних порід зменшувалась значно швидше під
лісом, ніж на вирубці. Такий самий ефект виявлено і у хвойних лісах (Prescott,
1997; Prescott et al., 2000).
На думку Mattson and
Smith (1993) основним чинником, що визначає розвиток й інтенсивність мінералізаційного
процесу є активність едафону. В окремих випадках навіть значне збільшення
температури й вологості ґрунту після рубань (Johnson et al., 1985) або
збільшення температури й зменшення вологості (Londo et al., 1999) не призводили
до суттєвих змін у структурі едафону й не впливали на біотичну активність
ґрунту в цілому.
Зважаючи на значну
термотолерантність й здатність більшості ґрунтових організмів помірного
кліматичного поясу функціонувати у достатньо широкому діапазоні рН та Еh,
найважливішим параметром, від якого залежить напрям і характер перебігу
мінералізаційного процесу в цих широтах, є якість органічної частини ґрунту,
зокрема вміст лабільних, доступних для in situ мінералізації енерговмісних
субстратів. З огляду на це, дослідження саме лабільних пулів Сорг в
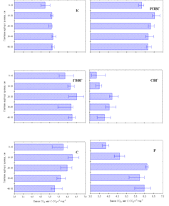
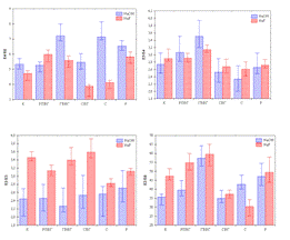
ґрунтах лісових й післялісових екосистем дозволить оцінити трансформованість
едафотопу й спрогнозувати його зміни в майбутньому. Окремо слід звернути увагу
на агроекосистем, сформовані на місцях колишніх зрубів, оскільки особливо масштабні
втрати запасів Сорг спостерігаються при конверсії лісових угідь у
сільськогосподарські (Макарова, Муха, 1995).
Ґрунтовий покрив є найбільш
заселеною частиною біосфери: в 1 кг ґрунту міститься 500 млрд бактерій, 10 млрд
актиноміцетів, 1 млрд грибів, 0,5 млрд мікрофауни (Керженцев, 2006), що
забезпечують тісний зв'язок між органічною частиною ґрунту і суміжними
резервуарами Карбону (у фітомасі, атмосфері, гідросфері). Фактично, ґрунт
виступає обмінним резервуаром С. Співвідношення між виділенням CO2
гетеротрофними організмами і поглинанням CO2 автотрофами визначає
напрям і характер змін ҐРК, який внаслідок знеліснення перетворюється зі стоку
діоксиду карбону на джерело його емісії (Pumpanen, 2003).
Сильні миттєвий і пролонгований
впливи лісогосподарських заходів на органічну частину ґрунту роблять неможливим
стале використання ресурсів лісових екосистем без обліку й менеджменту пулів і
потоків Сорг в них, зокрема оцінки параметрів внутрішньоґрунтового
опаду. Чертов та ін. (Моделирование динамики, 2007) наголошують на необхідності
звернути особливу увагу на обмінні потоки між корінням і детритом, а також
різними пулами ОЧҐ (лабільним, стабільним та інертним). При цьому, основні
труднощі пов’язані з обліком дрібного коріння, яке забезпечує горизонтальну і вертикальну
гетерогенність ОЧҐ і фітодетриту й впливає на формування мікро- і
макроваріабельності доступності поживних речовин, водоутримувальної здатності,
формування ґрунтових агрегатів тощо (Тейт, 1991). Теоретичною основою такого
підходу є уявлення про функціонування єдиної системи ґрунт-ліс-атмосфера,
висловлені українським вченим академіком П.С. Погребняком ще в середині
минулого століття (Погребняк, 1993).
Більшість процитованих вище авторів
досліджували лише кількісні параметри органічної речовини в органічних та
мінеральних горизонтах ґрунту. Це є однією з основних причин виникнення
труднощів при оцінці впливу знеліснення на стан ОЧҐ. З огляду на глобальні
кліматичні зміни значно актуалізується проблема впровадження нових
високоінформативних критеріїв оцінки стану ґрунтового резервуару Карбону, серед
яких розмір лабільних пулів Сорг, мінералізаційна здатність ґрунту,
йонна активність ґрунту та інші. Серед названих показників, варто відзначити
вміст нітрат-іонів, оскільки він є чутливим параметром стану ґрунтової
екосистеми. За даними Работнова (1974. 1976,1982), часто на зрубах, протягом
перших кількох років після проведення лісогосподарських заходів спостерігається
інтенсивна нітрифікація, спричинена утворенням надлишкових кількостей амонію
внаслідок гниття органічних решток.
Вивчення механізмів впливу різних
лісогосподарських заходів на органічну частину ґрунту та її складові є
необхідним для теоретичного обґрунтування і розробки ефективних заходів
забезпечення сталого використання ресурсів лісових та аграрних екосистем.
Сучасний (екологічний) етап розвитку
ґрунтознавства характеризується зміною усталеної системи уявлень про ґрунт і
його місце у екосистемі, а також методології та методик вивчення цього
біокосного тіла. В науковий обіг входять нові поняття й терміни, такі як
“здоров’я ґрунту”, “якість ґрунту” тощо. Вони покликані дати інтегральну оцінку
цього компоненту екосистеми, відповідно до поставлених завдань - для
сільськогосподарського виробництва, агролісівництва, збереження біорізноманіття
чи іншого напряму.
Сучасний теоретико-методологічний
підхід до оцінки якості ґрунту передбачає комплексний аналіз фізичних,
хімічних, фізико-хімічних, біотичних показників, серед яких основне місце
належить визначенню кількісних та якісних особливостей органічної частини
ґрунту. Для характеристики динаміки (природної й антропогенної) органічної
частини ґрунту її категоризують і класифікують з виділенням окремих
компонентів, фракцій та пулів. На основі отриманої інформації про її кількість,
склад, структурну та просторову неоднорідність стає можливим побудова коротко-
і довгострокових математичних моделей динаміки органічних сполук у ґрунті. Це
дає можливість здійснювати менеджмент ґрунтовими ресурсами відповідно до потреб
сільськогосподарського чи лісогосподарського виробництва і з врахуванням
необхідності сталого використання цього компоненту екосистеми.
Сучасні лісо- й агротехнології
зумовлюють кількісні та якісні зміни органічної частини ґрунту, при чому
охоплюють і суміжні з ґрунтовим резервуари Карбону. Часткове чи повне усунення
едифікатора (субедифікатора) призводить до суттєвого зменшення фотосинтетичного
стоку СО2. Видалення Сорг з деревиною за межі ґрунту,
спричиняє процес дегуміфікації та зміни кислотно-основного режиму, структури
мікробних угруповань, посилення емісії діоксиду карбону, змін едафічного
мікроклімату, аерації, що, в цілому, можна охарактеризувати як дестабілізуючий
вплив на симбіотрофний комплекс ґрунт-рослина.
Кагегоризація органічної частини
ґрунту з виділенням у її складі окремих компонентів, фракцій та пулів дозволяє
розробляти та впроваджувати методи управління якістю або “здоров’ям” ґрунту.
Отримання нових знань про специфіку сезонної та багаторічної динаміки ОЧҐ у
природних екосистемах, особливості її сукцесійних змін є одним із основних
завдань сучасного екологічного ґрунтознавства. Це дає змогу комплексно оцінити
кількісні та якісні особливості деградації ґрунту внаслідок
антропотрансформації - знеліснення, конверсії лісових екосистем у післялісові,
агрогенного навантаження, дозволяє моделювати ці процеси і прогнозувати зміни з
метою забезпечення сталого використання ресурсів педосфери.
Простежити напрям і характер цих
змін можна шляхом комплексної оцінки динаміки функціональних пулів Карбону
органічних сполук у ґрунті. Особливо важливо визначити розмір та простежити
зміни лабільного пулу органічної частини ґрунту, що досягається визначенням
таких показників, як вміст мікробної біомаси, водорозчинних органічних речовин,
легкоокиснюваних фракцій та інтенсивності ґрунтової емісії СО2.
РОЗДІЛ 2. МАТЕРІАЛИ І МЕТОДИ
Для досліджень
структурно-функціональних змін ґрунтового резервуару Карбону органічних сполук
за різних антропогенних впливів застосовано класичні методи та методичні
підходи, які використовують в екології та ґрунтознавстві (Одум, 1986;
Почвоведение, 1988), серед яких:
. Системний методичний підхід,
відповідно до якого ґрунт розглядається як відкрита, багатофазна, структурна
система, що об’єднує багато підсистем й сама входить у якості підсистеми до
складу біогеоценозу.
2. Градієнтний підхід,
відповідно до якого враховується інтенсивність дії середовищеутворювального
чинника і який дозволяє встановлювати залежності між ступенем і результатом дії
чинника на органічну частину ґрунту, чи ґрунт в цілому.
. Порівняльно-географічний метод,
який базується на зіставлені досліджуваних ґрунтів і факторів ґрунтоутворення у
просторово-часовому аспекті.
. Порівняльно-профільний
метод, що включає аналіз всієї ґрунтової товщі включно до материнської породи
(чи перехідних до породи горизонтів) і зіставлення властивостей досліджуваних
ґрунтів погоризонтно чи пошарово. Його використання дає змогу адекватно
охарактеризувати особливості розподілу чи перерозподілу речовин у профілі й
прослідкувати тенденції його розвитку.
. Порівняльно-аналітичний метод,
який полягає у порівнянні складу і властивостей кожного досліджуваного шару
ґрунту у межах профілю, оцінці фізичного і хімічного складу та фізико-хімічних
властивостей ґрунтів.
.1 Територія дослідження
Територія дослідження розміщена у
Верхньодністерському Передкарпатті. Вона знаходиться у середньоєвропейських
широтах, в регіоні транскордонного повітряного переносу та бар’єрного ефекту
Карпат і відзначається м’яким помірно-континентальним кліматом із чітко
вираженими порами року. За даними Б. Мухи (2000), специфіка розміщення дозволяє
визнати дослідний простір типовим (репрезентативним) для Центральної та Східної
Європи (Муха, 2000).
Географічне положення
Дослідні ділянки (49°32’ Пн. ш.,
23°20 Сх. д.) розташовані в межах урочища “Корналовичі”
та прилеглих агроекосистем на правому березі р. Дністер. Найближчими населеними
пунктами є Калинів, Корналовичі, Гординя, Дубляни. Відстань до Самбора складає
9,5 км.
Рис 2.1 Урочище “Корналовичі” з
висоти 25 км ( за GoogleEarth, 2007)
Геологічні умови
Геологічна будова території басейну
Верхнього Дністра суттєво впливає на контрастність природних умов, що робить її
особливо привабливою для екологічних досліджень. Особливу вигоду для
дослідження забезпечує розміщення долини р. Дністер на стику тектонічних
структур планетарного порядку, а долин приток Дністра - в межах структур
регіонального порядку (Муха,
2000а; Муха, 2000б ).
Потужність товщі плейстоценових
відкладів у межах Львівщини варіюється у широких межах - від 1 до 50 м. У межах
території дослідження залягають наступні плейстоценові відклади: алювій русел і
заплав та перших надзаплавних терас у межах Карпат і Передкарпаття, алювій
третіх надзаплавних терас, алювій четвертих надзаплавних терас. За часом
формування розрізняють нижньоплейстоценові, середньоплейстоценові,
середньо-верхньоплейстоценові, верхньоплейстоценові.
Серед верхньоплейстоценових
відкладів - на території Верхньодністерського Передкарпаття виділяють алювій,
який залягає на рівні шостої і сьомої надзаплавних терас. Також
флювіогляціальні й гляціальні відклади, зокрема моренні відклади окського
зледеніння. Середньоплейстоценові відклади представлені переважно алювієм. Вони
зокрема складають четверту надзаплавну терасу Дністра.
Середньо-верхньоплейстоценові відклади представлені у верхів’ї Дністра лише
спорадично і утворені лесами й лесовидними суглинками. Натомість
верхньоплейстоценові - поширені у межах басейну Верхнього Дністра достатньо
широко і утворюють зокрема в будові першої, другої і третьої надзаплавних терас
(Природа…, 1972; Муха, 2000б).
Окремо слід виділити голоценові й
сучасні відклади. Вони представлені алювіальними утвореннями заплав і русел
річок, зсувними нагромадженнями і нагромадженнями сучасних конусів виносу. В
межах території дослідження, голоценові відклади виявлені на перших
надзаплавних терасах.
Геоморфологічні умови
Геоморфологічна специфіка території
дослідження суттєво впливає на умови формування і функціонування екосистем.
Поряд із геологічною будовою, рельєф місцевості є одним із провідних факторів,
який визначає напрям змін довкілля внаслідок природних процесів. Попри основну
роль у процесі рельєфоутворення неотектонічних рухів, на формування генетичних
комплексів морфоструктур та пов’язаних із ними формацій осадових порід неабияку
роль відіграє клімат (Муха, 2000а). Геологічна будова та кліматичні умови, як
основні чинники рельєфоутворення, спричиняють формування різних орографічних
одиниць.
Відповідно до геоморфологічної схеми
Львівської області, у межах досліджуваної території виділяють
зандрово-алювіальні рівнини й річкові долини та передгірні акумулятивні
терасові межиріччя.
Територія дослідження лежить у межах
Передкарпатської геоморфологічної області. Зокрема у межах такого
геоморфологічного району, як Самбірсько-Хирівське терасове передгір’я. Типовим
є розташування у його межах терасових межиріч з абсолютними висотами до 350 -
400 м. У їх межах поширені флювіогляціальні піски, галечники, суглинки.
Характерною особливістю району є наявність плоскодонних безводних долин, які раніше
слугували шляхами стоку талих льодовикових вод. Долини окремих малих річок
сягають у ширину більше 2 км, що підтверджує інтенсивність флювіогляціальних
процесів у минулому й пояснює появу окремих валунів кристалічного походження на
терасах Самбірсько-Хирівського передгір’я (Природа…, 1972).
Кліматичні умови
Територія дослідження знаходиться в
межах атлантико-континентальної області помірної кліматичної зони. Прихід
сонячної радіації коливається у межах 6436-6708 МДж·м-2·рік-1.
Але, внаслідок значної хмарності протягом року (особливо весна - перша половина
літа) реальна величина складає лише близько 60% від загальної величини приходу
сонячної радіації. Величина радіаційного балансу для басейну Верхнього Дністра
збільшується у напрямі від гірської до рівнинної частини. У межах території
дослідження, величина радіаційного балансу складає близько 2000 МДж ·м-2·рік-1,
а від’ємні значення характерні лише для грудня і січня (Муха, 2000а).
Для характеристики території
дослідження нами було використано метеостанцію Самбір, яка діяла з 1961 до 1988
роки. З 1993 вона відновила роботу, але матеріали вимірів з того часу носять
фрагментарний характер (по окремим місяцям відсутні) й для формування загальної
картини не є придатними. Тому, з метою характеристики клімату досліджуваної
території було обрано часовий проміжок з 1962 до 1987 роки.
Як показують результати багаторічних
досліджень, температурний режим території відзначається чітко вираженими
сезонними особливостями. Так, для території дослідження характерні швидкі зміни
температур весною й восени та порівняно повільні зимою і літом. Найтеплішим
місяцем є липень, а найхолоднішим - січень.
Термічний режим у басейні Верхнього
Дністра та в межах досліджуваної території зокрема залежить від багатьох
факторів, вплив кожного з яких протягом року неоднаковий. Наприклад, в холодну
пору року зростає роль адвекції повітря. Особливо значні зміни спричиняють
вторгнення повітряних мас середземноморського походження з півдня і південного
заходу (Природа…, 1972).
Протягом розглянутого періоду,
абсолютний максимум температури складає 34,8°С і був зафіксований 01.07.1987, а
абсолютний мінімум - 30,6°С і був зафіксований 01.02.1963. Кількість днів з
відлигами за зимовий сезон - 28-34. Сума активних температур складає
2400-2600°С. Сума активних температур складає 2400-2600°С
(Муха,
2000а).
Кількість опадів у межах досліджуваної території тісно пов'язана із
проходженням вологих повітряних мас в умовах складного рельєфу Карпат і
Передкарпаття. Останні спричиняють бар'єрний ефект, який викликає формування
орографічної хмарності й збільшення кількості опадів.
Розподіл опадів протягом року відбувається
нерівномірно. Характерною особливістю є більша кількість опадів в період кінець
весни - літо й найменша кількість опадів узимку. Для території дослідження
суттєве значення мають також і добові максимуми опадів, оскільки вони
призводять до стрімкого розвитку ерозійних процесів та паводків. За
досліджуваний період максимум склав 84,4 мм і був зафіксований 01.08.1966.
Вартує підкреслити, що розміщення
метеостанції приурочено до річкової долини і тому вона лежить гіпсометрично
нижче окремих елементів досліджуваної території. Тому припускаємо певну похибку
при екстраполяції результатів метеорологічних вимірів на ділянки, розміщені у
межах високих терас на
досліджуваної території.
Гідрологічні умови
Гідрологічні умови басейну Верхнього
Дністра суттєво залежать від кліматичних умов регіону. Так, видатні дощі у
цьому регіоні спричинили до формування екстремальних паводків в жовтеньі 1895,
червні 1900, липні 1911, серпні 1927, вересні 1941, серпні 1955, червні 1969,
липні 1980, липні 1997 років (Ковальчук, 2003).
Загальна кількість річок у регіоні
Карпат складає 457, з яких більше 40% розміщені у басейні Дністра. Середня
густота річкової сітки складає 0,9 - 1,3 км·км-2. Розподіл стоку є
нерівномірним протягом року й суттєво залежить від інтенсивності прояву окремих
кліматичних факторів у басейнах рік.
Підчас весняного танення снігу,
витрати води у Дністрі досягають найвищих рівнів. Особливо небезпечними є підсилення
талих вод зливовими дощами, що призводить до екстремальних паводків
(Ковальчук,
2003; Природа…, 1972). Весняна повінь відбувається зазвичай у кінці лютого - на
початку березня. Проходить вона у декілька етапів, оскільки суттєво залежить
від надходження води із атмосферних опадів. Так, підчас повені вода
піднімається зазвичай на 8 - 166 см. Проте, в окремі роки, швидкість підняття
води може складати і 3,5 - 5 м·24 год-1.
У літньо-осінній період
спостерігається 3 - 5 паводків, підчас яких вода піднімається на 0,5 - 2 м.
Проте, в окремих випадках, швидкість підняття може складати і 6 м·24 год-1.
Середня тривалість паводку складає від 10 до 25 днів й може досягати 55 днів
(1948 р., 1955 р.)
Територія дослідження була
сформована під безпосереднім впливом Дністра і лежить на його надзаплавних
терасах. Протягом останніх 100 років, водний режим Дністра зазнав суттєвих
змін. Річку було зарегульовано й майже повністю обваловано. Таким чином,
значний вплив на формування екосистем Дністер відтепер здатний чинити лише
підчас повеней і паводків, беручи активну участь у переформуванні рельєфу
заплавно-руслових комплексів.
У ХХ ст. осушено значні площі боліт
у верхів’ї басейну Дністра, що призвело до зниження рівня води у Верхньому
Дністрі на величину до 6 м. Внаслідок цього, змінились рівні залягання
ґрунтових і підгрунтових вод і, як наслідок було спричинено значний
дестабілізуючий вплив на екосистеми різного степеня гемеробії. Особливо
вразливими в цьому випадку виявляються агемеробні та олігогемеробні екосистеми.
Крім Дністра у межах території
дослідження протікають струмки Бистриця, Прут і ще до 10 безіменних. У минулому
праві приторки Дністра, тепер вони розчиняються в мережі меліоративних каналів.
Едафічні умови
Басейнова екосистема Верхнього
Дністра характеризується значною строкатістю природних умов і, відповідно, умов
ґрунтоутворення. Справедливо говорити про значні відмінності у морфології,
фізиці, хімії та екології ґрунтів регіону (Кіт та ін.., 2000; Романів, 2004).
Це пояснюється накладанням на природні процеси процесів антропогенних, адже
регіон Верхнього Дністра зазнав тривалого антропогенного впливу в процесі
господарського освоєння (Кучерявий
та ін., 2003).
В межах басейнової екосистеми
Верхнього Дністра зустрічається декілька генетичних типів ґрунтів. У межах
середніх терас Дністра це сірі та ясно-сірі ґрунти, у межах передгірських
давньотерасових розчленованих височин - дерново-підзолисті оглеєні ґрунти, у
межах заплав та низьких терас - лучні ґрунти, у Карпатській частині - буроземи
(Романів, 2004).
В межах території дослідження
ґрунтовий покрив представлений дерново-підзолистими, підзолисто-дерновими і
дерновими глейовими ґрунтами. Вони сформувались під наметом лісу в умовах
промивного водного режиму, переважно на безкарбонатних породах. Суттєво відрізняються
за ступенем опідзолення, про що свідчить потужний елювіальний горизонт. Для
кожного ґрунту характерні прояви оглеєння в тій чи іншій мірі. Таким чином,
внаслідок біохімічних процесів глеєутворення для цих ґрунтів є характерним
анаеробний режим перетворення органічних речовин і відновлення сполук Fe, Mn,
Cu та ін. В цих ґрунтах утворюється кислий гумус, зростає кислотність. Для
рослин створюються депресивні умови (Назаренко, 2006).
Дерново-підзолисті ґрунти є
зональними для південної частини тайгово-лісової зони. Склад і властивості цих
ґрунтів визначаються ступенем розвитку підзолистого процесу ґрунтоутворення.
Зазвичай, вони характеризуються кислою реакцією середовища, високою
гідролітичною кислотністю, низькою сумою обмінних основ і легким гранулометричним
складом. Зазвичай, у цих ґрунтах накопичується незначна кількість гумусу.
Для оцінки речовинно-енергетичних
змін у едафотопах досліджуваних екосистем органічній частині ґрунту відводиться
ключова роль. Зокрема, у цьому дослідженні, робиться акцент на
дерново-підзолистих ґрунтах із різним степенем розвитку основного процесу
ґрунтоутворення. Високогумусність цих ґрунтів, яка є явищем нетиповим,
представляє значний науковий інтерес для досліджень в контексті взаємодії
ґрунту як біокосного тіла із старовіковим грабово-дубовим біоценозом.
Біотичні умови
У голоцені сформувались основні
природні комплекси, сучасна широтна зональність і висотна поясність рослинного
і тваринного світу. В межах Верхньодністерського Передкарпаття, виникли лісові
екосистеми, площа яких складала більше 2/3 території. Але під впливом
зростаючого антропогенного тиску, “окультурювання” до теперішнього часу ліси
збереглись лише фрагментарно.
На рівнинній частині басейну
Верхнього Дністра й на досліджуваної території зокрема переважають дубові
(Querceta) й дубово-грабові (Querceto-Carpineta) ліси (Чернявський та ін.,
2000). Для них характерними є процеси інтенсивного обміну речовиною та енергією
й значний розвиток трав’янистого покриву.
В цьому контексті особливий інтерес
викликає урочище “Корналовичі”, у межах якого до сьогоднішнього дня збереглись
старовікові дубові і дубово-грабові деревостани віком 210-240 років та окремі
дерева попередніх генерацій віком більше 300 років (Стойко, 1980).
Відповідно до геоботанічного
районування ліси урочища “Корналовичі” належать до району
Дрогобицько-Стрийських дубових лісів. Їхня середня продуктивність складає 420 м3/га
й досягає 570 м3/га, що є високим показником для вологої грабової
діброви в умовах України. Асоціація Carpineto-Quercetum coryloso-caricetum
(brizoidis) (Чернявський та ін., 2000).
Ліси урочища “Корналовичі”
відзначаються порівняно високою продуктивністю. Для них характерне багатство
видового складу й значна екотонічна роль, адже вони знаходяться у безпосередній
близькості від Дністра й оточені еугемеробними екосистемами.
.2 Вибір та опис дослідних ділянок
Оскільки знеліснення і аграрне
використання після лісових екосистем є найсильнішими чинниками дестабілізації
ґрунтового резервуару Карбону при виборі дослідних ділянок враховувався ряд
умов, які повинні забезпечити високий рівень репрезентативності чинників
впливу, постійність дії екзогенних і ендогенних екологічних факторів і
можливість реалізації динамічного підходу, тобто режимність досліджень. Таким
умовам відповідає лісоекологічний полігон Національного лісотехнічного
університету, де з метою обґрунтування оптимальних способів лісокористування
для забезпечення природного поновлення дуба звичайного у 2006 р. на території
Дублянського лісництва ДП “Самбірське лісове господарство” НЛТУ було закладено
4-х секційний стаціонар із використанням різних способів рубань головного
користування (таб.2.1).
Таблиця
2.1
Таксаційні показники деревостанів на
секціях науково-виробничого стаціонару "Корналовичі" до (чисельник) і
після (знаменник) проведення рубки (за
даними С. Копія, 2010)
|
№cекції
|
Спосіб рубки ярусу граба
|
Склад деревостану
|
Порода
|
Середні
|
Повнота
|
Бонітет
|
Запас за породами,
м3/га
|
Запас, м3/га
|
|
|
|
|
D, см
|
H, м
|
|
|
|
|
|
1
|
Контроль
|
8Дз2Г
|
Дз Г
|
44,8 17,2
|
28,8 16,9
|
0,25 0,20
|
II
|
128 32
|
160
|
|
2
|
Суцільна
|
8Дз2Г 10Дз
|
ДзГ
|
43,5 46,2 16,9 0,0
|
29,1 29,1 18,1 0,0
|
0,26 0,23 0,21 0,0
|
II II
|
122 122 41 0,0
|
163 122
|
|
3
|
Рівномірна поступова двоприйомна
|
8Дз2Г 9Дз1Г
|
Дз Г
|
42,8 45,1 18,3 17,9
|
28,1 27,9 17,9 17,6
|
0,24 0,24 0,18 0,13
|
II II
|
127 127 43 18
|
170 145
|
|
4
|
Групово-вибіркова триприйомна
|
8Дз2Г 8Дз2Г
|
Дз Г
|
48,7 44,3 18,2 17,4
|
29,5 29,3 18,1 17,7
|
0,22 0,22 0,19 0,21
|
II II
|
131 118 38 21
|
169 139
|
На кожній секції стаціонару, а також
на суміжних екосистемах ріллі й сінокосу нами закладено ґрунтові розрізи й
розпочато довготривалий експеримент по оцінці кількісно-якісних змін ґрунтового
резервуару Карбону у лісових і післялісових екосистемах за різної інтенсивності
лісогосподарських заходів і агрогенного навантаження. З метою вивчення впливу
різної інтенсивності й тривалості знеліснення на органічну частину ґрунту
лісової екосистеми (240-річного непорушеного грабово-дубового лісу) закладено 6
дослідних ділянок. Вони охоплюють територію стаціонару Національного
лісотехнічного університету України: варіанти К (Контроль), РПВГ
(рівномірно-поступова вирубка граба), ГВВГ (групово-вибіркова вирубка граба),
СВГ (суцільна вирубка граба) й суміжні агроекосистеми сінокосу (С) і ріллі (Р)
(рис. 2.2).
Рис. 2.2 Фотосхема розташування
дослідних ділянок (масштаб 1:10 000)
Результати геоботанічного опису
дослідних ділянок наведено у додатку А, морфологічного опису опорних розрізів -
у додатку Б.
.3 Польові дослідження
Геоботанічний опис ділянок проводили
за домінантною класифікацією (Александрова, 1969). Морфологічний аналіз
ґрунтових розрізів - з використанням макроморфологічного й мезоморфологічного
методів досліджень, відповідно до рекомендацій Розанова (2004) і Кіта (2008).
Морфологічний аналіз органічних горизонтів ґрунтів - відповідно до рекомендацій
Чорнобая (2000) і Alexander et al. ( 2007).
Інтенсивність потоку CO2
з 0-5 см шару ґрунту в польових умовах визначали методом лужної абсорбції,
відповідно до рекомендацій Иванниковой (1992), використовуючи в якості ємностей
для лугу пробірки типу Eppendorf
на 2,5 мл. Калібрування методу здійснювали з використанням двоканального
інфрачервоного аналізатора К-30.
Зразки підстилок відбирали пошарово
у п’ятиразовій повторності, а проби ґрунту відбирали у п’ятиразовій повторності
з трьох стінок розрізу й також за допомогою ґрунтового бура в радіусі 5 м
довкола розрізу до глибини 50 см з кроком 5 см. Свіжовідібрані зразки ґрунту
просіювали крізь сито з діаметром отворів 3 мм, переносили у поліетиленові
пакети, щільно закривали і зберігали до проведення аналізів при 4°С не більше
10 днів з моменту відбору (Anderson, Domsh, 1974).
.4 Лабораторно-аналітичні
дослідження
Визначення загального вмісту Карбону
органічних сполук проводили методом сульфохромного окиснення відповідно до ДСТУ
ISO 14235:2005. З метою оптимізування процесу окиснення органічної речовини
ґрунту зразки інкубували відповідно рекомендацій Mingorance et al. (2007) із
застосуванням пінопластового блоку для термостатування. Необхідність пошуку
нового більш інформативного і енергоощадного методу визначення Сорг
розглянуто нижче.
Визначення вмісту Сорг
В основу кількісного визначення
Карбону органічних сполук, за яким розраховують вміст органічних речовин (ОР),
покладено метод Кноппа-Сабаніна, що передбачає мокре спалювання ОР розчином
дихромату калію (K2Cr2O7). У класичному
варіанті проводять пряме гравіметричне визначення діоксиду карбону, утвореного
при розкладі ОР. Згодом, дослідники почали використовувати титрометричне чи
фотометричне закінчення цього методу, визначаючи вміст Карбону органічних
сполук за надлишком окисника (Орлов, Гришина 1981).
Широкого поширення набуло
використання з цією метою хромово-сульфатної суміші, в тому числі й у двох
класичних і найпоширеніших у світовій практиці методах: Walkley and Black’s
(WB) method (1934) і Тюріна (1951) у різних модифікаціях.et al. (1992) дійшли
висновку, що продовж півстоліття для кількісного визначення органічних сполук
Карбону використовують методи, які дають незадовільні результати через цілий
комплекс факторів, головним із яких вважають термічний розклад K2Cr2O7
при нагріванні вище 140°С і його каталітичний розклад за участю сульфату
хрому. Автори також наголошують на тому, що в класичних варіантах окиснюється
від 60 до 90% Карбону органічних сполук, при чому точність самих методів
передбачає похибки від 5 до 20%.
Визначення Карбону органічних сполук
сульфохромним спалюванням відповідно до ISO 14235:1998 забезпечує окиснення до
90% Сорг, а нагрівання лише до 135°С (160°С у методі Тюріна в
модифікації Нікітіна) не допускає можливості термічного розкладу дихромату
калію, що суттєво підвищує точність методу і виводить визначення Карбону
органічних сполук, шляхом мокрого спалювання, на якісно новий рівень.
Цим вимогам цілком відповідає новий
експрес-метод визначення Сорг, запропонований іспанськими
дослідниками Mingorance et al. (2007) й модифікований нами. Він має суттєві
переваги: не передбачає додаткового обладнання для нагрівання реакційної суміші
(водна чи піщана бані, сушильна шафа), натомість використовується тепло, що
виділяється внаслідок екзотермічної реакції взаємодії концентрованої сульфатної
кислоти з розчином дихромату калію (140°С). З метою підтримання сталої
температури, ємності, у яких проводиться спалювання, вміщують у спеціальний
термоблок, виготовлений з теплоізолюючого матеріалу (пінопласт, корок тощо).
Додатково, використання плоскодонних пробірок об’ємом 30 мл не лише збільшує
площу реакційної поверхні, а й суттєво зменшує витрату реактивів.
Також, автори рекомендують проводити
окиснення органічної речовин продовж 1 години, після чого у реакційні посудини
доливають по 10 мл дистильованої води й залишають на 12-24 години. Нами
встановлено, що майже вся ОЧҐ (до 90%) окиснюється продовж перших 15 хв.
Проведені дослідження із
застосуванням методу показали його високу ефективність на прикладі аналізу
серій стандартних розчинів із відомим вмістом Карбону: глюкози (y=0,091x+0,036;
R²=0,994),
фруктози (y=0,104x+0,017; R²=0,998),
сахарози (y=0,109x-0,006; R²=0,999),
лактози (y=0,094x-0,01; R²=0,995),
гідрофталату калію (y=0,086x-0,012; R²=0,998).
Встановлено високий рівень
відтворюваності (r>0,993, p<0,05) результатів визначення вмісту сполук
Карбону органічних сполук цим методом у ґрунтах лісових екосистем різного
ступеня гемеробії.
Отже, описаний метод визначення
Карбону органічних сполук забезпечує окиснення більше 90% ОЧҐ та високу
відтворюваність результатів, потребує мінімум обладнання та реактивів (в 10
разів менше, порівняно із класичними схемами).
Визначення параметрів мінералізації
Сорг
Вміст водорозчинних органічних
речовин визначали шляхом двоступеневого водного гідролізу відповідно до
рекомендацій Ghani et al. (2003). Вміст мікробної біомаси визначали
регідратаційним методом, відповідно до рекомендацій Благодатского и др. (1987).
Вміст легкоокиснюваних органічних речовин - шляхом перманганатного окиснення за
методом Weil et al. (2003). Серед фізико-хімічних властивостей визначали (у
водно-ґрунтових суспензіях) електропровідність, рН та pNO3
(Агрохимические методы…, 1965; Rayment, Higginson,1992).
Інтенсивність базального дихання -
відповідно до ДСТУ ISO 16072:2005. Кінетику виділення СО2 - за допомогою
двоканального інфрачервоного аналізатора К-30 (США) при температурах 15±0,1 та
20±0,1°С з використанням ультратермостату U 7C (Німеччина)
(рис. 2.3, 2.4)
Рис. 2.3 Двоканальний інфрачервоний
аналізатор К-30 (США)
Рис. 2.4 Система для визначення
інтенсивності емісії діоксиду карбону в лабораторних умовах, на базі
інфрачервоного аналізатора К-30 (США)
.5 Статистичне опрацювання отриманих
результатів
Статистичне опрацювання отриманих
експериментальних даних здійснювали з використанням непараметричних і
параметричних методів відповідно до рекомендацій Гланца (1999). Нормальність
розподілу перевіряли за допомогою U критерію Манна-Уітні (Філімонова, 2004). У
разі розподілу значень результатів дослідження, наближеного до нормального при
5% рівні значущості (Р<0,05), для подальшого статистичного аналізу отриманих
даних застосовували однофакторний дисперсійний аналіз. З його допомогою
проводили перевірку нульової гіпотези про рівність середніх досліджуваних
сукупностей. В разі її відхилення - середні порівнювали попарно з використанням
критерію Ньюмена-Кейлса. Якщо розподіл результатів дослідження відрізнявся від
нормального при 5% рівні значущості, за критерієм Манна-Уітні, застосовували
непараметричні статистичні методи. Для оцінки достовірності отриманих даних
використовували критерій Краскела-Уолліса, який є непараметричним аналогом
однофакторного дисперсійного аналізу. Для виявлення відмінностей між
параметрами кожної із сукупностей, їх порівнювали попарно, застосовуючи
непараметричний критерій Коновера.
Для з’ясування міри подібності (за
метричною відстанню) між об’єктами, що класифікуються проводили кластерний
аналіз. Об’єднання об’єктів у групи проводили із застосування агломеративного
методу за правилом одиночних зв’язків. В якості міри близькості застосовано
евклідову відстань.
Комп’ютерне опрацювання результатів
досліджень проводили з використанням програм Statistica 6.1, BioStat 2008 і MS
Excel 2007 з надбудовою AtteStat 12.1.7. У роботі прийнято 5% рівень значущості
(Р<0,05).
РОЗДІЛ 3. РЕЧОВИННО-ЕНЕРГЕТИЧНА ТРАНСФОРМАЦІЯ ҐРУНТІВ
Важливими завданнями, які мають бути
забезпечені веденням господарства, спрямованого на стале використання природних
ресурсів, є облік та менеджмент Карбону органічних сполук, спрямовані на
зменшення його екосистемних втрат. З цією метою інтенсивні системи землеробства
замінюють біологічними, а зростання розмірів автотрофного синтезу Сорг
забезпечують шляхом впровадження систем агролісівництва. Для раціонального
використання ресурсів лісових екосистем необхідно забезпечити управління
біотичним процесами, що базується на знанні механізмів на різних рівнях
системи. Таким чином, з метою мінімізації негативного впливу сільського та
лісового господарства на біологічний колообіг Карбону, необхідно забезпечити їх
ведення із мінімальною дестабілізацію пулів і потоків Сорг в
екосистемі.
.1 Антропогенна трансформація
органопрофілю ґрунту
Вивчення змін архітектоніки
органопрофілів едафотопів досліджуваних екосистем розпочато через 1 рік після
проведення лісогосподарських заходів. Найбільше Карбону органічних сполук
(42,22 мг∙г-1) акумульовано у верхньому 0-10 см шарі, а вже у
ґрунті верстви 10-20 см, порівняно з вище розташованою, виявлено різке (у 2,79
рази) зменшення вмісту Сорг (рис.3.1). У нижче розташованих шарах
20-30 і 30-40 см вміст Карбону органічних сполук зменшується до 10,42 і 5,17 мг∙г-1
відповідно. Найнижчий вміст Сорг (3,13 мг∙г-1)
характерний для ґрунту верстви 40-50 см.
В інших досліджених лісових
едафотопах (варіанти РПВГ, ГВВГ, СВГ) вміст Сорг також змінюється за
регресивно-акумулятивним типом розподілу речовини у профілі.
Рис. 3.1 Діаграми діапазонів
профільних змін вмісту Сорг в едафотопах гемеробних екосистем
(жовтень 2007 року)
Найбільше Карбону органічних сполук
у межах розглянутої 0-50 см товщі ґрунту зосереджено у верхній 10-см верстві -
в 1,99, 4,31 і 2,51 рази більше, ніж у шарі 10-20 см у варіантах РПВГ, ГВВГ і
СВГ відповідно. В цілому, зі зростанням рівня антропогенного навантаження на
едафотоп вміст у ньому Сорг зменшується, а описані вище зміни
відбуваються на фоні менших абсолютних значень, порівняно із контролем.
Післялісові екосистеми, які
використовуються у режимах ріллі і сінокосу характеризуються іншою
архітектонікою органопрофілю, порівняно із розглянутими вище варіантами.
Органічні сполуки Карбону розподілені за профілем більш рівномірно, ніж у
лісових едафотопах, а у верхніх досліджуваних верствах 0-10 і 10-20 см не
виявлено таких значних відмінностей у вмісті Сорг.
Проведення аналізу достовірності
відмінностей множин розподілу значень між варіантами досліду пошарово було
виконано за допомогою критерію Коновера з урахуванням зв’язок. Параметри
розподілів значень вмісту Сорг в едафотопах контрольного та
дослідних варіантів (пошарово) істотно відрізняються між собою. Зазначимо
також, що верхньому, найбільш гумусованому шарі 0-10 см достовірних
відмінностей при 99% рівні значущості не виявлено лише між варіантами К і РПВГ
(Р=0,318), а також у едафотопах агроекосистем ріллі і сінокосу (Р=0,082). В
цілому, аналіз профільних змін вмісту Сорг, а також визначення
їхньої високої достовірності дають підстави припустити, що вже через рік після
проведення рубань різної інтенсивності, органопрофіль лісового едафотопу зазнає
суттєвих змін.
Щоправда, інтерпретація отриманих
даних пов’язана із певними труднощами, спричиненими, зокрема, великим кроком
(10 см) відбору ґрунтових зразків. Якщо за приклад взяти едафотоп контрольного
варіанту, то його верхня частина сформована двома генетичними горизонтами: Hd
(t) (0-4 см) і Не (gl) (4-27). Традиційний агрохімічний підхід, який передбачає
відбір зразків по шарах: 0-20 (орний) і 20-40 см (підорний) у цьому випадку є
неприпустимим, оскільки нівелює архітектоніку органопрофілю складних,
стратифікованих лісових ґрунтів. Відбір зразків за генетичними горизонтами
ґрунту теж не можна вважати оптимальним, оскільки для побудови графічних
моделей розподілу досліджуваних параметрів необхідно робити неправдоподібні
припущення про однаковий рівень прояву досліджуваної ознаки у межах всього
генетичного горизонту.
Застосований нами метод відбору
зразків (із кроком 10 см) частково позбавлений більшості названих недоліків,
проте, виявився недостатньо селективним, якщо врахувати, що він призводить до
механічного перемішування ґрунту горизонту Hd і частини горизонту Не (gl). З
іншого боку, відбір ґрунту за генетичним горизонтами також є малоінформативним,
оскільки в їх межах відбувається неоднорідний кількісний розподіл органічної
речовини, тобто, для кожного генетичного горизонту характерний свій
мікропрофіль, вивчення якого дозволило б краще оцінити ґрунтові явища і
процеси, особливо за умов антропопресії.
Підтвердженням правильності цього
міркування є застосування російськими дослідниками мікропрофільного підходу до
вивчення органічної речовини у профілі темно-сірого лісового ґрунту під різними
типами фітоценозів Тульської області (Богатова, Щеглов, 2005). Автори показали,
що верхня частина ґрунтового профілю навіть у межах незначної за потужністю
товщі (20 см) характеризується істотним зменшенням кількості органічних речовин
з глибиною (майже у 1,5 рази). Це дало підстави для проведення оцінки змін
вмісту гумусу в товщі 0-20 см з кроком 1 см. За даними цих авторів, зміни
вмісту гумусу у ґрунті шару 1-2 см, порівняно з 0-1 см, під різними
фітоценозами коливалася в межах 0,4-0,9% · см-1, а в шарі 2-3 см -
0,3-1,5% · см-1, тоді як у ґрунті шару 3-4 см ця зміна є значно
меншою - 0,2-0,5% · см-1. Суттєва неоднорідність градієнту змін
вмісту гумусу за мікропрофелем ґрунту вказує на необхідність пошуку нових більш
інформативних критеріїв оцінки органопрофілю ґрунту, особливо для дослідження
антропогенних впливів, які радикально порушують біогеохімічні цикли Карбону і
Нітрогену, співвідношення процесів мінералізації й іммобілізації й баланс ОЧҐ.
На наш погляд, інноваційний розвиток
ґрунтознавчих досліджень, особливо екологічного ґрунтознавства, вимагає
застосування мікропрофільного підходу, який відкриває нове поле пошуку в оцінці
екологічної якості ґрунту і, зокрема, ролі в цьому органічної речовини. Проте,
застосування цього аналітичного методичного підходу не входило у завдання наших
досліджень і залишається актуальним на найближчу перспективу
Врахувавши вищенаведене, нами було
дещо скореговано методичний підхід щодо відбору ґрунтових зразків й проведена
оцінка 0-50 см товщі едафотопу пошарово, з кроком не 10, а 5 см. Як видно з
рис. 4.2, така більш диференційована оцінка ґрунтового органопрофілю дозволила
суттєво підвищити інформативність досліджень. Зокрема, у контролі найвищий
вміст Сорг (59,78 мг∙г-1 ) зафіксовано у шарі 0-5
см, тоді як у нижче розташованій верстві ґрунту 5-10 см, вміст Карбону
органічних сполук зменшується у 2,24 рази до 26,70 мг∙г-1. З
наведених даних видно, що оцінка вмісту органічних сполук у шарі 0-10 см є менш
об’єктивною і менш інформативною, ніж окремо у шарах 0-5 см і 5-10 см. Нижче за
ґрунтовим профілем виявлено поступове зменшення вмісту Сорг: 12,86
мг∙г-1 (15-20 см), 7,14 мг∙г-1 (30-35 см).
Другий мінімум (3,08 мг∙г-1) встановлено на глибині 35-40 см.
У ґрунті верстви 40-45 см вміст Карбону органічних сполук збільшується до 4,18
й знову зменшується до 2,53 мг∙г-1 у шарі 45-50 см.
Поступова вирубка субедифікатора
суттєво вплинула на вміст органічних сполук у ґрунт. Наймасштабніші зміни
виявлено у шарі 0-5 см, де вміст Сорг зменшився у 1,24 рази.
Групово-вибіркова вирубка граба
звичайного спричинила зміни архітектоніки органопрофілю у межах всієї
досліджуваної 0-50 см товщі. Порівняно із контролем, вміст Сорг у
шарах 0-5, 5-10, 10-15 і 15-20 см зменшився у 1,39, 1,21, 1,68, 2,65 разів
відповідно. У ґрунті верстви 20-25 см, вміст органічної речовини зменшився у
5,39 рази. Звертає увагу також накопичення органічної речовини у ґрунті верстви
25-30 см до 5,93 мг∙г-1, нижче якої продовжується поступове
зменшення вмісту Сорг.
Суцільна вирубка другого ярусу
призвела до суттєвих змін кількісного розподілу Карбону органічних сполук у
ґрунтовому профілі. В цілому, характер профільних змін Сорг подібний
до контрольного варіанту, але останні відбуваються на фоні його значно меншого
вмісту.
Рис. 3.2 Діаграми діапазонів профільних
змін вмісту Сорг в едафотопах гемеробних екосистем (жовтень 2008
року)
Так, у верхньому, найбільш
гумусованому шарі ґрунту лісостаціонару, де здійснено суцільне вирубування
субедифікатора (граба звичайного), валовий вміст Карбону органічних сполук є у
2,1 рази нижчий (28,13 мг∙г-1), порівняно з контролем (59,78
мг∙г-1), тобто практично таким, який характерний для шару
ґрунту 5-10 см у межах непорушеного деревостану. У нижче розташованих верствах
ґрунту контрольного і дослідного варіантів встановлено загальну закономірність
змін вмісту органічної частини - поступове зменшення з глибиною, але у ґрунті
антропогенно зміненої ділянки екосистеми ці зміни також відбуваються на фоні
меншого валового вмісту Карбону органічних сполук.
Вартий уваги характер кривої змін
вмісту Карбону органічних сполук з глибиною, наприклад синхронність коливань у
бік збільшення його вмісту на глибині 35-40 см. Зазначимо також, що на глибині
50 см акумульовано не більше 5 мг∙г-1 Сорг в обох
варіантах досліду.
Пошаровий аналіз органопрофілю з
кроком у 5 см дозволив значно підвищити не лише інформативність, а й
достовірність отриманих результатів. Зокрема, виявлено суттєву відмінність між
параметрами розподілів у всіх дослідних варіантах (Р<0,01). З’ясовано, що
практично у всіх варіантах досліду існує істотна (Р<0,01) пошарова різниця
між параметрами розподілу значень вмісту Сорг. Дещо меншою є
достовірність різниці між варіантами К і РПВГ у шарі ґрунту 20-25 см (Р=0,02) й
РПВГ і ГВВГ у шарі 45-50 см (Р=0,02), але й вона не перевищує прийнятий у
дослідженні 5% рівень значущості. За умов експерименту не виявлено достовірних
відмінностей між розподілами значень вмісту Карбону органічних сполук у
варіантах К і РПВГ в шарі 5-10 см (Р=0,23) й ГВВГ і СВГ у шарах 40-45 (Р=0,13)
і 45-50 см (Р=0,15).
Подібні закономірності виявлено і
при аналізі органопрофілів досліджуваних ґрунтів на 3 рік після проведення
лісогосподарських заходів різної інтенсивності (Рис.3.3). Звертає увагу
формування зони накопичення органічних сполук Карбону на глибині 10-15 см у
варіанті ГВВГ, де вміст Сорг зріс від 21,98 у 2008 до 28,16 мг·г-1
у 2009 році. На всіх секціях лісового стаціонару (крім контролю) діагностовано
поступове зменшення вмісту Сорг у ґрунті, протягом третього року
після проведення рубань. Так, у верстві 0-5 см ґрунту варіанту РПВГ вміст
Карбону органічних сполук зменшився з 48,13 до
,65 мг·г-1, ГВВГ - з 42,
86 до 37,75 мг·г-1, СВГ - з 28,13 до 25,99 мг·г-1.
Натомість, у контрольному варіанті не виявлено достовірних змін вмісту Сорг
при 5% рівні значущості, а в ґрунтах агрекосистем, суміжних із секціями
лісового стаціонару діагностовано накопичення органічних сполук у верстві 0-5
см: з 16,59 до 17,36 мг·г-1 на сінокосі й з 19,48 до 22,5 мг·г-1
на ріллі.
Рис. 3.3 Діаграми діапазонів
профільних змін вмісту Сорг в едафотопах гемеробних екосистем
(жовтень 2009 року)
Якщо накопичення Сорг на
ріллі можна було б пояснити лише внесенням органічних добрив, то сінокіс є не
удобрюваним і за рахунок розвинутого горизонту Нd
розташований гіпсометрично на 5-7 см вище, аніж рілля. З огляду на це,
правомірно припустити, що збільшення вмісту органічних сполук в
агроекосистемах, пов’язані із відтоком лабільних (в першу чергу, водорозчинних)
органічних сполук з ризосферної зони, після часткового чи повного усунення
субедифікатора.
Активна зона ґрунту
На підставі отриманих даних про
антропогенну динаміку Карбону органічних сполук в ґрунтах лісових і
післялісових екосистем запропоновано приповерхневий шар ґрунту, потужністю 5 см
назвати активною зоною ґрунту (АЗҐ).
Ґрунт у цьому шарі не лише рясно
пронизаний кореневими системами деревних і трав’яних рослин, тут локалізовано
значний відсоток грибного міцелію і мікробної біомаси, а перебування на межі
контакту суміжних сфер забезпечує роль цієї верстви як тригерного механізму
регуляції зворотних зв’язків у ґрунтовій екосистемі (Пастернак, 1967;
Керженцев, 2006).
Працюючи над концепцією трофічного
континууму, Ю. Чорнобай (2000) запропонував виділити
гуміфікаційно-педотурбаційний трофічний простір “приурочений до грунтового
гумусово-акумуляційного горизонту, де поряд із біогенною трансформацією
фітодетриту відбувається більш щільна упаковка органічних молекул з мінеральною
частиною ґрунту” (С.46). Далі (С. 173), цитований автор зазначає, що нижня межа
детритного (педотурбаційної частини) простору розташована у приповерхневому 0-5
см шарі ґрунту, який як за кількістю, так і за складом редуцентів суттєво
відрізняється від решти ґрунтового профілю. Ці дослідження також підтверджують
правомірність категоризації складових ґрунтового профілю з виділенням у його
складі активної зони.
Зміни кількісно-якісного складу
органічної частини ґрунту в АЗҐ є наймасштабнішими у межах всього профілю, тому
величини (розміри) лабільних і стабільних пулів ґрунтового рервуару Карбону у
ньому є високоінформативними індикаторами функціонального стану цього
біокосного тіла.
Відмінність у зміні вмісту
органічних речовин в АЗҐ між варіантами досліду є вищою, ніж між кожним варіантом
у динаміці, а найбільші зміни архітектоніки органопрофілю відбулись у перший
рік після зрідження деревостану. Це свідчить про зворотний зв’язок у системі
детрит-АЗҐ: порушення режиму надходження детриту детермінує зміни кількісних та
якісних особливостей органічних сполук Карбону в межах АЗҐ, а зміна кількості
та якості субстрату в АЗҐ спричиняє зміни мікробоценозу й впливає на формування
і стратифікацію профілю підстилки. Ймовірно, ці зміни є одним із пускових
механізмів розвитку сукцесії, на що витрачається значна кількість
законсервованої в органічних сполуках Карбону речовини (біофільні елементи) та
енергії.
Подібність кількісних змін Сорг
у варіантах С (сінокіс) і СВГ (суцільна вирубка граба) дала підстави для
проведення кластерного аналізу, в ході якого було з’ясовано міру подібності (за
метричною відстанню) між об’єктами, що класифікуються у межах активної зони
ґрунту.
Як видно з рис. 3.4, встановлено
схожість між параметрами розподілу вмісту Сорг в ґрунтах варіантів
РПВГ і ГВВГ. На вищому ієрархічному рівні, вони разом із контролем утворюють
кластер слаботрансформованих біогеоценозів. Варіант СВГ типологічно включено до
кластеру сильно трансформованих біогеоценозів, поряд із агроекосистемами ріллі
й сінокосу, що пояснюється інтенсивним розвитком тут трав’яної рослинності й
посиленням дернового процесу ґрунтоутворення внаслідок порушення режиму
надходження мортмаси у катаболічний блок екосистеми, а також формування іншого
едафічного мікроклімату. Зміна типу біотичного колообігу, а також формування рослинних
угруповань, не властивих лісовим екосистемам, призвело до кількісного і
якісного перетворення ґрунтового резервуару Сорг у цьому варіанті
досліду.
Коректність такої кластеризації
підтверджують дані П.С. Погребняка, який наголошував на зміні біотичного
колообігу на зрубах, внаслідок інтенсивного розвитку трав’яної рослинності й
задерніння органічних й верхньої частини мінеральних горизонтів ґрунту.
Рис. 3.4 Дендрограма ієрархічного
кластерного розподілу значень вмісту Сорг у активній зоні ґрунту
(жовтень 2009 року)
Але, оскільки динамізм органічної
частини ґрунту є просторово неоднорідним, необхідний подальший пошук як
методичних підходів до її оцінки так і способів відбору ґрунтових зразків,
зважаючи на локалізацію процесів розкладу і утворення органічних сполук та їхню
міграцію за профілем тощо. Одним із можливих шляхів є проведення оцінки
інтенсивності профільних змін вмісту органічних сполук у ґрунті за різних
антропогенних впливів
3.2 Градієнтний підхід до оцінки
інтенсивності профільних змін вмісту Карбону органічних сполук
З метою детальнішої оцінки
інтенсивності кількісних змін і профільного розподілу вмісту органічних сполук
у ґрунті внаслідок вирубування другого ярусу, сформованого за участю граба звичайного,
встановлені величини градієнтів (∆X/Pn) зменшення вмісту Сорг
на 2 (табл. 3.1) і на 3 (табл. 3.2) рік після проведення лісогосподарських
заходів різної інтенсивності. Значення градієнтів визначали за Щегловим (1999),
як частку, отриману внаслідок ділення різниці вмісту Карбону органічних сполук
на певній ділянці профілю на її потужність.
У ґрунтах досліджуваних лісових
екосистем було виявлено істотні відмінності у величинах градієнтів зменшення
вмісту Карбону органічних сполук, проте, простежується загальна тенденція
зменшення їх з глибиною. Як видно з наведених у табл. 3.1 даних, у верхній
частині профілю (до глибини 20 см) наявна зона підвищеної інтенсивності змін
(виокремлено жирним), що характеризує, власне, диференційованість едафотопу за
реактивністю (сенсорністю) щодо впливу екзогенних чинників, зокрема
знеліснення. Найвищі значення градієнту зменшення вмісту Сорг
виявлено у верхній частині ґрунтового профілю - між верствами 0-5 і 5-10 см.
Вони зменшуються зі зростанням ступеню антропогенного навантаження на
екосистему. Якщо в контролі, вміст Карбону органічних сполук у при поверхневому
шарі ґрунту зменшувався 6,62 мг⋅г-1
зі збільшенням глибини на кожен сантиметр, то у варіанті РПВГ інтенсивність цих
змін знизилась на 36, у ГВВГ - на 37, а СВГ - на 73%. В післялісових
екосистемах сінокосу та ріллі ці значення перевищили 90%.
Звертає увагу значна
трансформованість органопрофілів дослідних варіантів, порівняно із контролем -
зникнення існуючих і формування нових зон накопичення органічних сполук. Наприклад,
у варіанті ГВВГ між верствами 20-25 і 25-30 діагностовано додатні прирости
вмісту Сорг з глибиною - 0,75 мг⋅г-1⋅см-1.
Подібні зони виявлено у варіантах РПВГ і СВГ (між 35-40 і 40-45 см), СВГ і С
(між 15-20 і 20-35 см) тощо.
Таблиця
3.1
Значення градієнтів зменшення вмісту
Карбону органічних сполук в ґрунті (за медіанами, n=5),
мг⋅г-1⋅см-1
(жовтень 2008 року)
|
Порівнювані
верстви ґрунту
|
К
|
РПВГ
|
ГВВГ
|
СВГ
|
С
|
Р
|
|
d, см
|
d, см
|
|
|
|
|
|
|
|
-
|
0-5
|
-
|
-
|
-
|
-
|
-
|
-
|
|
0-5
|
5-10
|
6,62
|
4,24
|
4,15
|
1,82
|
0,59
|
0,61
|
|
5-10
|
10-15
|
1,80
|
0,99
|
2,31
|
1,14
|
0,40
|
-0,17
|
|
10-15
|
15-20
|
0,97
|
1,25
|
1,14
|
1,10
|
0,42
|
0,49
|
|
15-20
|
20-25
|
0,20
|
0,64
|
0,53
|
-0,09
|
-0,12
|
0,80
|
|
20-25
|
25-30
|
0,33
|
0,64
|
-0,75
|
0,64
|
0,23
|
0,16
|
|
25-30
|
30-35
|
0,62
|
0,92
|
0,59
|
0,13
|
0,18
|
0,20
|
|
30-35
|
35-40
|
0,81
|
0,24
|
0,13
|
0,73
|
0,09
|
0,25
|
|
35-40
|
40-45
|
-0,22
|
0,51
|
0,16
|
-0,22
|
0,18
|
0,12
|
|
40-45
|
45-50
|
0,33
|
0,11
|
0,12
|
0,13
|
0,26
|
0,23
|
|
45-50
|
-
|
-
|
-
|
-
|
-
|
-
|
-
|
В таб. 3.2 наведено результати
аналізу інтенсивності змін вмісту Сорг у ґрунтах контрольного і
дослідних варіантів на 3 рік після проведення лісогосподарських заходів.
Порівняно із розглянутими вище даними (таб. 3.1) звертає увагу зменшення
інтенсивності змін вмісту Сорг з глибиною у всіх розглянутих
варіантах. Якщо у контролі, відхилення є незначними і знаходяться у межах
похибки, то у дослідних варіантах, особливо у межах АЗҐ різниця між даними,
отриманими на 2 і на 3 рік після рубань є суттєвою. Так, у варіанті ГВВГ,
інтенсивність зменшення вмісту Сорг понизилась у 1,25 рази, ГВВГ - у
1,15 рази.
У ґрунті під деревостаном
розладнаним суцільною вирубкою другого ярусу достовірної різниці між
інтенсивністю змін вмісту Карбону органічних сполук не встановлено. Це,
ймовірно, пов’язано із значно
сильнішим одномоментним впливом суцільної вирубки субедифікатора, на фоні якого
інерційні ефекти проявляються значно слабше, ніж у інших варіантах. До цього
Таблиця
3.2
Значення градієнтів змін вмісту
Карбону органічних сполук в ґрунті (за медіанами, n=5),
мг⋅г-1⋅см-1
(жовтень 2009 року)
|
Порівнювані
верстви ґрунту
|
К
|
РПВГ
|
ГВВГ
|
СВГ
|
С
|
Р
|
|
d,
см
|
d,
см
|
|
|
|
|
|
|
|
-
|
0-5
|
-
|
-
|
-
|
-
|
-
|
-
|
|
0-5
|
5-10
|
5,99
|
3,40
|
3,60
|
1,87
|
0,43
|
0,85
|
|
5-10
|
10-15
|
2,25
|
-0,70
|
1,85
|
0,93
|
0,54
|
0,09
|
|
10-15
|
15-20
|
0,49
|
2,72
|
0,90
|
0,71
|
0,33
|
0,52
|
|
15-20
|
20-25
|
0,23
|
0,77
|
0,78
|
0,30
|
0,02
|
0,54
|
|
20-25
|
25-30
|
0,62
|
0,32
|
-0,68
|
0,61
|
0,16
|
0,28
|
|
25-30
|
30-35
|
0,67
|
1,30
|
0,58
|
0,15
|
0,19
|
0,39
|
|
30-35
|
35-40
|
0,45
|
0,21
|
0,09
|
0,34
|
-0,25
|
0,19
|
|
35-40
|
40-45
|
0,26
|
0,16
|
0,19
|
0,19
|
0,64
|
0,10
|
|
40-45
|
45-50
|
0,00
|
0,10
|
0,12
|
-0,27
|
0,25
|
0,18
|
|
45-50
|
-
|
-
|
-
|
-
|
-
|
-
|
-
|
Такого ж висновку приходимо й
порівнюючи органопрофілі досліджуваних ґрунтів - на 2 та на 3 рік після
проведення рубань (рис.3.2, 3.3). У варіантах, де було застосовано менш
інтенсивні системи рубань (рівномірно-поступову та групово-вибіркову) на 3 рік
після проведення лісогосподарських заходів втрати ґрунтом органічних сполук
пришвидшуються, натомість після суцільної вирубки субдифікатора -
сповільнюються.
Застосування градієнтного підходу
дозволило оцінити інтенсивність зміни вмісту Сорг і визначити
профіль розподілу значень досліджуваної ознаки. Цю градієнтну оцінку вже
застосовують у сучасних ґрунтознавчих і екологічних дослідженнях, зокрема для
характеристики розвитку первинних процесів ґрунтоутворення при біоремедіації
(Щеглов и др., 2001) й вивчення змін гумусового профілю чорноземів (Иванов,
Чендев, 2010).
Органопрофіль не є статичною
незмінною в часі характеристикою ґрунту, а закономірністю поєднань і розподілу
різноманітних форм органічної частини ґрунту. О. Бахмет (2006) відзначає, що
сьогодні не існує чітких класифікаційних критеріїв, за якими можна було б
категоризувати морфотипи і стратотипи органічної речовини ґрунту, а також його
органопрофілі. Оцінка інтенсивність змін вмісту Сорг за профілем
ґрунту, дозволяє чіткіше стратифікувати ОЧҐ не тільки за вмістом Карбону
органічних сполук, але й за її лабільністю з виділенням зон високої і низької
інтенсивності змін.
Застосований диференціальний підхід
до оцінки ОЧҐ дозволив виявити зони напруження у структурі органопрофілю й
ідентифікувати характер їхніх змін під впливом зовнішніх факторів. З огляду на
наведені на в таб. 3.1 і 3.2 дані, суттєві зміни інтенсивності профільних змін
Сорг, внаслідок часткового знеліснення, відбуваються до глибини 40
см. Саме у цих межах розміщена зона найбільшої ризосферної активності
фітоценозів досліджуваних екосистем.
На нашу думку, різний характер
профільних змін вмісту Сорг в контрольному та дослідних варіантах
свідчить про різну якість органічної частини ґрунту, зокрема різне
співвідношення лабільних (в тому числі, водорозчинних) і стабільних органічних
сполук, яке склалося в едафотопі після видалення різної кількості
субедифікатора. Оскільки, ці зміни у ґрунтовому резервуарі Карбону лісової
екосистеми, пов’язані з втратою його ємності і дисипацією елемента у суміжні
середовища, передусім в атмосферу у формі СО2, їх детальний аналіз
буде дано в наступних розділах.
.3 Зміни енергетичного потенціалу
ґрунту
Сучасна методологія оцінки
енергетики екосистем основана на визначенні продуктивності фітоценозу.
Проте, цей показник,
не може слугувати
універсальним критерієм енергетичного статусу
екосистеми, оскільки дає
змогу охарактеризувати лише якийсь
один часовий стан і незначні відхилення від нього (Одум, 1986). Крім значної
трудомісткості, об’єктивна оцінка енергетики екосистеми за продуктивністю
фітоценозу іноді є
неможливою в принципі - наприклад,
за умов суцільної вирубки деревостану.
В наших дослідженнях застосовано
педоцентричний підхід, який полягає у визначенні енергетичного стану ґрунту, як
результуючого від усіх процесів обміну речовиною та енергією, що відбуваються у
межах екосистеми. Як стверджує Г. Хільмі (1978), енергія, що входить до складу
фізіологічно активної радіації витрачається у декількох напрямах. Розподіл
порції енергії γ = 3·108
ккал/т носить доволі складний характер. Зокрема, на перетворення неорганічних
речовин в рослинну біомасу, виділення вільного кисню в атмосферу і транспірацію
води витрачається до 1,55·108 ккал/т. Отже, майже половина від
засвоєної енергії витрачається на інші процеси, якими Г. Хільмі справедливо
вважає “роботу проти діючих у ґрунті сил”, яка відповідно до закону збереження
енергії “стає енергією самого ґрунту”.
Вважається, що обмін енергією у
системі живі організми - ґрунти є найбільш складним і найменш вивченим, але
його врахування й перехід до кількісних характеристик є необхідним для кращого
розуміння енергетики екосистеми. Зокрема, необхідно
володіти детальною інформацією про накопичення і перетворення органічної
речовини у гумусові речовини (Погребняк,
1955; Программа и методика…, 1974).
Оцінка запасів енергії,
акумульованої в органічній частині ґрунту і, зокрема, в гумусових речовинах
базується на кількісних параметрах енергетики фотосинтезу. Відомо,
що на синтез одного молю
вуглеводу витрачається 674 Ккал
енергії сонячного променю. Виходячи з цих даних і темпів приросту біомаси в
екосистемі можна зробити висновок про динаміку накопичення та витрачення
енергії автотрофним блоком у часі (Волобуев, 1959).
Зафіксована автотрофами сонячна
енергія перетворюється у енергію хімічних зв’язків, яка визначає
біоенергетичний (або, правильніше, біогеоенергетичний) потенціал органічної
частини ґрунту та екосистеми в цілому. Багатьма дослідниками органічна частина
ґрунту трактується як запас енергії ґрунту, як енергія ґрунтоутворення чи
ґрунтова енергія (Хильми, 1978; Уткин, 1980). Цю енергію дослідники часто
називають також біоенергетикою (Волобуев, 1959, 1974, 1979, 1985).
Сформульовані В.Р. Волобуєвим (Волобуев, 1958) та С. Алієвим (Алиев, 1972,
1975) методичні підходи до вивчення біогеоенергетики базуються на кількісній
оцінці запасів енергії у ґрунті за вмістом у ньому органічних речовин.
Сучасні підходи до оцінки енергетики
ґрунту базуються на результатах досліджень І. Тюріна, відповідно до яких 1 молю
кисню, за повного окиснення органічних сполук Карбону відповідає 52-56 кал
енергії (Щербаков, 1983). На підставі цих даних, а також численних
калориметричних експериментів, С. Алиев (1978) запропонував визначати запаси
енергії в ґрунті за кількістю витраченої 0,1 н хромово-сірчаної суміші з
використанням перевідних коефіцієнтів для перерахунку на млн. ккал/га. За
даними цитованого автора, отримані розрахункові дані цілком відповідають
визначеним у лабораторних умовах шляхом спалювання органічних сполук у
калориметричній бомбі.
Але, запропонований підхід володіє
рядом недоліків. Насамперед, не існує уніфікованого стандарту проведення мокрого
спалювання органічних сполук і тому, концентрації окисника можуть варіювати у
доволі значних межах. По-друге, для визначення вмісту Сорг можливо
застосовувати й інші способи - наприклад використовувати C-N-аналізатор
на базі газового хроматографа. Цих недоліків позбавлена формула визначення
запасів енергії у ґрунті, запропонована Орловим і Грішиною (1981):
Qг=517,2·Г·Н·d,
де
Qг
- запаси енергії в органічній частині ґрунту (млн. ккал·га-1);
,2 - коефіцієнт переведення у млн.
ккал·га-1;
Г - вміст гумусу
(%);
Н - потужність шару ґрунту (м);
d - щільність
складення ґрунту (г·см-3).
Запропонований підхід знайшов
продовження у роботах інших дослідників (Козин, 1990; Орлов, 2005; Синявский,
2007 та ін.). Зважаючи на те, що калорія є застарілою одиницею виміру енергії,
в сучасних публікаціях перерахунок ведеться на мільйони КДж·га-1
(Орлов, 2004) або ТДж·га-1
(Синявский, 2007).
Як видно з наведених на рис. 3.5
даних, протягом трьох років після проведення лісогосподарських заходів різної
інтенсивності триває зменшення енергетичного потенціалу ґрунту у верстві 0-5
см, при чому, запас енергії у ґрунті контрольного варіанту лишається сталим.
Цей факт пояснюється порушенням співвідношення лабільних і стабільних
компонентів у ґрунтовому резервуарі Карбону органічних сполук, урухомленням і
швидким виснаженням багатьох його складових і потребує додаткового вивчення,
зокрема оцінки термодинамічної стійкості й хемодеструкційної кінетики ОЧҐ у
різних варіантах досліду.
Рис. 3.5 Зміна запасів енергії в
шарі ґрунту 0-5 см, ТДж·га-1
Зміни енергетичного статусу ґрунту
продовжуються ще тривалий час після припинення дії фактору, що їх спричинив.
Ймовірно, це пов’язано
не лише зі значною інерцією ґрунтової екосистеми, а широким спектром біогеохімічних
трансформаційних процесів, що починають діяти у екосистемі для приведення її у
рівноважний стан. У нашому експерименті, наймасштабніші втрати енерговмісних
субстратів відбулись протягом 1 року після проведення рубань, проте, як видно з
наведених на рис 3.5 даних, зменшення запасів енергії в ґрунті продовжилось і
на 2 та 3 роки. Так, у контролі не вдалось встановити достовірних змін між
енергетичним статусом ґрунту у 2008 і 2009 році (Р=0,35). Натомість, у
варіантах РПВГ і ГВВГ зміни запасів енергії в активній зоні ґрунту суттєво
зменшились - від 0,94 до 0,82 й від 0,82 до 0,72 ТДж·га-1
відповідно.
Найвищі запаси енергії в активній
зоні ґрунту виявлені у контрольному варіанті (1,06 ТДж·га-1) і
поступово зменшуються зі збільшенням рівня антропогенного навантаження на
лісову екосистему у послідовності РПВГ (0,94 ТДж·га-1), ГВВГ (0,82
ТДж·га-1), СВГ (0,57 ТДж·га-1). В агроекосистемах ріллі
(0,49 ТДж·га-1) та сінокосу (0,37 ТДж·га-1) запаси
енергії в АЗҐ є найменшими серед розглянутих дослідних варіантів.
Як було показано вище, зміни запасів
енергії в активній зоні ґрунту суттєво відрізняються як за варіантами досліду,
так і в динаміці, що свідчить про високу інформативність результатів досліджень
саме цієї верстви ґрунту. Тим не менш, традиційний піхід передбачає проведення
оцінки запасів енергії в орному шарі чи в гумусово-акумулятивному горизонті.
Зважаючи на різні ґрунтові умови, а також аспекти антропогенного впливу
(глибина оранки, інтенсивність низової пожежі тощо) для порівняння власних
даних із інформацєю інших дослідників прийнято представляти результати
досліджень у перерахунку на 0-20 см верству.
Як видно з наведених на рис. 3.6
даних, зміни енергетичного потенціалу ґрунту за варіантами досліду в
шарі ґрунту 0-20 см у цілому нагадують рис. 3.5,
але відбуваються на фоні вищих абсолютних значень. Також звертає увагу той
факт, що значення запасів енергії у верстві ґрунту 0-20 см змінюються у значно
ширших межах, ніж у 0-5 см. Таким чином знижується достовірність встановлення
відмінностей між розподілами значень досліджуваної ознаки в динаміці.
Звертає увагу той факт, що у верстві
0-20 см найбільші запаси енергії зосереджено у варіанті РПВГ (2,56 ТДж·га-1),
а не в контролі, як це було в активній зоні ґрунту. Також, на ріллі (1,79
ТДж·га-1) запаси енергії є вищими, ніж едафотопі під деревостаном
розладнаним суцільною вирубкою другого ярусу (1,71 ТДж·га-1).
Рис. 3.6 Зміна запасів енергії в
шарі ґрунту 0-20 см, ТДж·га-1
За даними О. Орлова (2005) запаси
енергії в дерново-підзолистих ґрунтах басейну Верхнього Дінстра складають
1,4-1,7 ТДж·га-1 у верстві 0-20 см. Ці дані відповідають отриманим
нами результатам для варіантів ГВВГ, СВГ, С, Р, натомість у варіантах К і РПВГ
накопичено значно білше енергії. Насамперед, це пов’язано з тим, що дослідженні
О. Орловим (2005) ґрунти характеризуються сильнішим, ніж у нашому експерименті
ступенем опідзолення (середньо підзолисті), нижчим вмістом і запасами гумусу.
Натомість, розглянуті нами едафотопи приурочені до старовікових мезотрофних
вологих грабових дібров і характеризуються високим вмістом органічних речовин у
ґрунті.
В наших дослідженнях встановлено, що
на 3 рік після проведення рубань запаси енергії зменшуються, порівняно з
контролем в 1,44 (ГВВГ) та 1,66 (СВГ) рази, а в едафотопах агроекосистем ріллі
і сінокосу в 1,76 та 1,20 рази відповідно. В дослідженнях О. Орлова (2002) також
виявлено подібні закономірності: якщо в дерново-середньопідзолистому ґрунті
вологої мезотрофної грабової діброви ліщиново-зеленчукової запас енергії в 0-20
см склав 1,5±0,1 ТДж·га-1, то в освоєному (рілля)
дерново-середньопідзолистому ґрунті - лише 0,4±0,1 ТДж·га-1.
Зазначимо, що такі суттєві зміни енергетичного потенціалу ґрунту можуть бути
спричинені не лише знелісненням, а конверсією природних екосистем в аграрні.
Так, за даними В. Синявского (2007), після елімінації природного фітоценозу,
запаси енергії в 0-20 см верстві чорнозему вилугуваного зменшились від 4,02 до
3,21 ТДж·га-1.
На рис. 3.6 представлено результати
аналізу запасів енергії в 50-см товщі ґрунту - тобто всій кореневмісній зоні.
Так, ще
П.
Костычев (1937) зазначає, що “Накопичення в ґрунті органічних речовин може
залежати лише від рослинних коренів; просочування і перенесення органічних
речовин в глибокі шари може мати порівняно із коренями мінімальне значення, при
чому лише місцеве, а не всезагальне”. В наших дослідженнях
також, нижче ризосферної зони (до глибини 40-45 см) вміст органічних сполук
зменшується до значень, які знаходяться на межі точності методу. З огляду на
це, для отримання інтегральної оцінки запасів енергії, на наш погляд, доцільно
аналізувати верхню 50-см товщу ґрунту.
Як видно з наведених на рис.3.6
даних, найбільші запаси енергії (більше 6 ТДж·га-1) зосереджено на
ріллі. Дещо менше - 5,76 і 5,61 ТДж·га-1 відповідно в едафотопах К і
РПВГ. Решта едафотопів характеризується значно меншими кількостями
енерговмісних субстратів і, відповідно, запасами енергії. Так на 3 рік після
проведення рубань, в едафотопах варіантів ГВВГ, СВГ і С діагностовано зменшення
енергетичного потенціалу ґрунту - на 2,47, 1,86 та 1,68 ТДж·га-1 у
шарі 0-50 см. Зрозуміло, що для площі, 100 га (1 км2) - величини
зростуть на два порядки до 247, 186 і 168 ТДж відповідно. Для порівняння -
ядерний вибух над Хіросімою в 1945 році оцінюється у 63 ТДж (Malik,
1985).
Сильний миттєвий
та пролонговані впливи часткового і повного знеліснення призводять до змін режимів
функціонування екосистеми, порушують роботу її анаболічного та катаболічного
блоків. Зі зростанням трансформованості детриту, суттєво зменшуються і запаси,
накопиченої у ньому енергії. Цей факт, ймовірно, пов’язаний із змінами у
структурі мікробо- і мікоценозу спричиненими проведенням лісогосподарських
заходів (С.Л. Копій, 2009).
Рис. 3.6 Зміна запасів енергії в
шарі ґрунту 0-50 см, ТДж·га-1
Звільнені екологічні ніші, внаслідок
змін температури, освітленості і вологості активно займаються нетиповими для
екосистеми видами (у першу чергу грибами), які заселяють листкові поверхні ще у
кронах дерев (Чорнобай, 2000). Відповідно, значна частина органічних сполук
мінералізується ще у горизонті опаду, що призводить до значно меншого
надходження енерговмісних субстратів до розташованих нижче органічних
горизонтів і мінеральної частини ґрунту і зменшує біогеоенергетичний потенціал
ґрунту в цілому.
Вміст Карбону органічних сполук в
ґрунті залежить він ступеню антропогенного навантаження на екосистему. Зі
збільшенням інстепсивності антропогенного впливу, вміст Сорг в 0-50
см товщі ґрунту зменшується у послідовності К > РПВГ > ГВВГ > СВГ >
Р > С. Найвищий вміст Сорг у ґрунті розглянутої півметрової товщі
виявлено у варіантах К і РПВГ. Він зменшується майже у півтора рази на зрубах
(ГВВГ, СВГ) і сінокосі й у 1,2 рази на ріллі.
Проведення лісогосподарських заходів
різної інтенсивності суттєво вплинуло на вміст Карбону органічних сполук у
ґрунті. При цьому встановлено достовірні (Р<0,05) відмінності значень вмісту
Сорг як між варіантами досліду, так і в межах кожного варіанту в
динаміці, що свідчить про сильний миттєвий і пролонгований впливи знеліснення
на стан ґрунтової екосистеми.
Найбільший вміст Карбону органічних
сполук та найсильніші відмінності за варіантами досліду у межах розглянутої
півметрової товщі ґрунту виявлено у приповерхневій верстві потужністю 5 см. На
підставі отриманих даних про антропогенну динаміку Сорг у ґрунтах
лісових і післялісових екосистем цей шар запропоновано назвати активною зоною
ґрунту.
З’ясовано,
що найінтенсивніші зміни приурочені до приповерхневого шару ґрунту. Так, у
контролі, інтенсивність змін вмісту Сорг між вертвами 0-5 і 5-10 см
склала 6,62 мг⋅г-1⋅см-1,
що в 1,56, 1,60 і 3,64 рази більше, ніж у ґрунтах лісових екосистем варіантів
РПВГ, ГВВГ і СВГ й в 11 разів - ніж в агроекосистемах ріллі та сінокосу.
Отримані дані свідчать про зменшення стратифікації лісових едафотопів внаслідок
антропопресії, що призводить до спрощення ґрунтової екосистеми в цілому.
Енергопотенціал ґрунту залежить від
типу господарського використання земель і зменшується зі збільшенням
антропогенного навантаження на екосистему. Найвищі запаси енергії в активній
зоні ґрунту виявлені у контрольному варіанті (1,06 ТДж·га-1) і поступово
зменшуються зі збільшенням рівня антропогенного навантаження на екосистему до
0,57 ТДж·га-1 у варіанті СВГ і 0,37 ТДж·га-1 на ріллі.
Натомість, у півметровій товщі ґрунту найбільші запаси енергії (більше 6 ТДж·га-1)
зосереджено на ріллі. Це свідчить про глибоку трансормованість органічної
частини ґрунту у післялісових екосистемах, де його енергопотенціал
підтримується за рахунок регулярного внесення додаткових енерговмісних
субстратів.
Розділ 4.
лабільний пул ОРГАНІЧНОЇ ЧАСТИНИ ҐРУНТУ
Ефективне функціонування
симбіотрофного комплексу ґрунт-рослина забезпечується синхронними процесами
анаболізму й катаболізму в екосистемі. Важливою їхньою особливістю є те, що
утворення органічних речовин автотрофним блоком (фотосинтетиками) відбувається
швидше, ніж розклад некромаси сапротрофним блоком, що спричиняє накопичення Сорг
в едафотопі. Пасивні пули органічної частини ґрунту, утворені продуктами
гуміфікації, що виконують стабілізаційну функцію ґрунту як біокосного тіла,
виступають дальнім резервом біофільних елементів та енергії для фітоценозу
(Керженцев, 2006). Лабільні пули - забезпечують перебіг різноманітних обмінних
процесів, пов’язаних із трансформуванням поживних субстратів у такі форми, при
окисненні яких може бути отримана енергія (Тейт, 1991).
.1 Лабільні органічні сполуки
лісової підстилки
Для формування цілісного уявлення
про ґрунтовий резервуар Карбону органічних сполук необхідно встановити
кількісні та якісні особливості основного попередника ОЧҐ, яким є фітодетрит.
Порушення режиму надходження органічних сполук до катаболічного блоку
екосистеми на будь якому рівні (фітомаса-некромаса-детрит-органічна частина
ґрунту) призводить до переходу біогеоценозу на інший стаціонарний рівень. Тому,
вкрай важливо забезпечити постійне, безперебійне надходження енергопластичних
субстратів до кожної ланки “детритного
конвеєру”
(Чорнобай, 2000).
Відповідно до однієї із
найпопулярніших на сьогоднішній день у лісовій екології моделей - кривої
Ковінгтона (Covington, 1981), інтенсивне зменшення запасів Сорг в
підстилках триває протягом 20 років після вирубки і лише через 50 років - вміст
органічної речовини наближається до вихідних показників. Ці дані підтверджують
і роботи сучасних дослідників (Ведрова, 2010.).
В цьому контексті особливе значення
належить лабільним органічним сполукам у підстилках і, в першу чергу, їхнім
водорозчинним формам. Розчинені органічні речовини підстилок першими
потрапляють у мінеральний ґрунт, виступаючи середовищеутворювальним чинником
для сапротрофів (Hilli,
2007).
Розчинення частини органічних сполук
у воді призводить до виникнення стоку розчиненого органічного Карбону (РОК).
Його міграція відбувається як за профілем, так і латерально. При цьому, частина
РОК покидає межі ґрунтової екосистеми, а втрати цього елементу через вимивання
поступаються за обсягом лише виносу Карбону за межі едафотопу внаслідок дихання
ґрунту (Wetzel,
1992; Gödde, 1996).
В органічних горизонтах лісових
ґрунтів (Federer, 1982) або лісових підстилках концентрація РОК складає
переважно 10-150 мг∙л-1, а мінеральних - 0,5 - 30 мг∙л-1
(Jardine
et
al.,
1989; McDowell
and
Likens,
1988; G.
Guggenberger,
K.
Kaiser,
2003). При цьому слід зазначити, що до 10 г РОК м-2 рік-1
експортується за межі едафотопу (рис.4.1), стаючи цінним енергопластичним
ресурсом для водних екосистем (Moore;
1998).
Рис. 4.1 Схема циклу розчинених
органічних сполук у лісовому ґрунті (за G.
Guggenberger,
K. Kaiser,
2003)
Для оцінки актуального вмісту
водорозчинних органічних сполук у горизонтах підстилок зразки відбирали весною
(квітень), що дало змогу оцінити кількість легкодоступного субстрату на початку
періоду вегетації. На рис. 4.2 представлено зміни вмісту екстрагованих холодною
водою органічних речовин (ЕХВОР) у підстилках за генетичними горизонтами Оі, Ое
й Оа (Froberg,
2003).
Як видно з наведених даних, у
горизонті опаду кількість водорозчинних органічних речовин є приблизно
однаковою в едафотопі контролю, варіантів СВГ і С. Вміст ЕХВОР у верстві Оі
варіанту РПВГ зменшується на 40%, і зростає на 20%, порівняно із контролем, у
варіанті ГВВГ (рис. 4.2).
Рис. 4.2. Вміст СЕХВОР у
підстилках досліджуваних екосистем (квітень 2010 року)
У шарі ферментації, найвищий вміст
Карбону водорозчинних органічних сполук виявлено у контролі (1,30 мг∙г-1),
а зі зростанням інтенсивності рубань виявлено достовірне (P<0,05) зменшення
вмісту СЕХВОР. Найнижче значення (0,80 мг∙г-1)
виявлено у варіанті “суцільна вирубка граба”.
У нижньому органічному горизонті
(Оа), порівняно із контролем, вміст СЕХВОР дещо зростає у варіанті
РПВГ (на 0,10 мг∙г-1) і зменшується до 0,40 мг∙г-1
у межах групово-вибіркової вирубки. У варіанті СВГ водорозчинних органічних
речовин у шарі гуміфікації виявлено в 2,5 рази менше, ніж у контролі й у 3 рази
- за варіант РПВГ.
Аналізуючи вміст водорозчинних
органічних сполук в органічних горизонтах ґрунту, було б неправильно обмежитись
кількісною оцінкою Сорг, що здатна переходити у водний розчин за
нормальних умов. Визначаючи підстилку не лише як природне тіло, але й як одну
зі стадій процесу трансформації речовини та енергії в екосистемі, слід звернути
особливу увагу на значну гетерогенність умов (в тому числі, фізико-хімічних) у
її генетичних горизонтах. Відомо, що верстви Оі, Ое і Оа різко відрізняються за
видовим складом організмів-деструкторів, при чому як їх чисельність, так і
екологічна різноманітність зменшуються з глибиною, досягаючи мінімуму в
гумусово-акумулятивному горизонті мінерального ґрунту (Тейт, 1991; Чорнобай,
1994).
На нашу думку, визначення йонної
активності дозволить оцінити мінералізованість шарів підстилки, адже
життєдіяльність мікроорганізмів і, особливо, грибів (лісоутворюючі породи на
території дослідження є облігатними мікотрофами) пов’язана із виділенням
значної кількості метаболітів, які на момент виходу за межі організму отримують
електричний заряд, або набувають його в процесі мінералізації вже у підстилці
чи ґрунті. Профільні зміни електропровідності водних екстрактів підстилок
(ЕВЕП) також відображають інтенсивність низхідного транзиту продуктів мінералізації
органічних сполук.
Як видно з наведених на рис. 4.3
даних, у контролі виявлено поступове зменшення йонної активності від 245 до 165
і 95 мкСм∙см-1 у верствах Оі, Ое і Оа. Проведення
лісогосподарських заходів суттєво вплинуло на характер змін електропровідності.
Вже у варіанті РПВГ у шарі ферментації, йонна активність зростає у 2,33, а у
горизонті Оа - в 3,14 рази, порівняно із контролем. В едафотопі після
проведення групово-вибіркової вирубки найвищі значенні ЕВЕП встановлено у
горизонті Оі (425 мкСм∙см-1), нижче якого виявлено зменшення
йонної активності до 255 і 240 мкСм∙см-1 у верствах Ое і Оа.
Рис. 4.3. Електропровідність водних
екстрактів підстилок гемеробних екосистем (квітень 2010 року)
У варіанті СВГ виявлено також
зменшення електропровідності у верхніх двох горизонтах, проте у шарі
гуміфікації вона різко зростає до 220 мкСм∙см-1, перевищуючи
навіть показники верстви Оі.
Едафотоп сінокосу, як і варіант СВГ,
характеризується вищими значеннями ЕВЕП у шарі гуміфікації, ніж в шарі опаду,
проте тут амплітуда змін є значно більшою: від 362 до 500 мкСм∙см-1.
Такі суттєві зміни йонної активності
органічних горизонтів досліджуваних ґрунтів, внаслідок проведення
лісогосподарських заходів різної інтенсивності, свідчить про докорінну
перебудову структури мікробоценозу: зміну агентів мінералізації та гуміфікації
рослинних решток і якості самого детритного субстрату, порушення деструкційних
композицій мікрофлори у кожному горизонті. Екологічна різноманітність мікоценозу
зазнає суттєвих змін: у ґрунтах на вирубках виявлено появу Phisopus nigricans,
Penicillium ochro-chloron, Sclerotium. sp., Phomopsis meliloti, Torula
herbarum, Humicula grisea, які мінімально представлені або відсутні в ґрунті
старовікової вологої грабової діброви (Копій та ін., 2010). В цілому, це
відображається на інтенсивності мінералізації органічної сполук у підстилках і
утворенні різної кількості йонів - неорганічних продуктів її біодеструкції.
Концентрація мікроорганізмів, у
межах ґрунтового профілю є найбільшою у підстилці, а саме у шарі ферментації. З
переходом органічний-органогенний горизонти пов’язані також значні якісні зміни
сапротрофного блоку: зростає питома вага бактерій, а довжина міцелію різко
зменшується (Parkinson, 1973). Це спричиняє формування інших умов трансформації
органічних сполук, зникнення старих і появу нових агентів мінералізації.
Найважливішою причиною розглянутих
вище порушень є зміна співвідношення процесів іммобілізації-мінералізації
внаслідок розбалансування входу (опад і відпад) та виходу (продукти деструкції
ОРҐ). За даними Вишенської (2009) розклад листяного опаду триває у природних
екосистемах до 2 років. Зміна параметрів умов ґрунтового середовища внаслідок
проведення лісогосподарських заходів різної інтенсивності значно прискорила ці
процеси. Буфер, що забезпечувався наявним шаром опаду та органічними
горизонтами ґрунтів в цілому деградував і втратив роль ключового регулятора вже
через рік після проведення рубок.
.2 Водорозчинні фракції органічної
частини ґрунту
З огляду на важливість водорозчинних
органічних речовин ґрунту як енергопластичного буфера й головного джерела
елементів живлення для біоценозу, одним із першочергових завдань сучасної
екології є їхній облік і менеджмент. При цьому слід зазначити, що як кількісні,
так і якісні параметри водорозчинних фракцій лабільного пулу ОЧҐ змінюються з
глибиною. Тому, для комплексної оцінки впливу дестабілізуючих чинників на
ґрунтову екосистему (знеліснення, аграрне використання тощо) необхідно
враховувати особливості вертикальної міграції водорозчинних органічних сполук,
особливості формування зон втрат та накопичення цього цінного енергопластичного
субстрату.
.2.1 Екстраговані холодною водою
органічні речовини
Як видно з наведених на рис.4.4
даних, вміст СЕХВОР у контролі поступово зменшується - від 0,89 мг∙г-1
у ґрунті верстви 0-5 см до 0,06 мг∙г-1 у шарі 45-50 см. Варто
зазначити, що у товщі ґрунту 0-40 см, вміст Сорг змінюється за
регресивно-акумулятивним типом розподілу речовини у профілі, а СЕХВОР
- за рівномірно-акумулятивним. Також, звертає увагу синхронність коливань
досліджуваних характеристик ґрунтового резервуару Карбону на глибинах від 30-35
до 45-50 см: в обох варіантах виявлено поступове зменшення вмісту ОЧҐ до
верстви 35-40 см, де діагностовано другий мінімум, акумулювання у шарі 40-45 см
і подальше зменшення у верстві 45-50 см.
Рівномірно-поступова вирубка другого
суттєво вплинула на профільний розподіл водорозчинних органічних речовин.
Найбільший вміст СЕХВОР (0,68 мг∙г-1) виявлено у
0-5 см шарі ґрунту; нижче - відбувається поступове зменшення її вмісту до 0,52
мг∙г-1 на глибині 10-15 см. У ґрунті шару 15-20 см вміст СЕХВОР
зменшується у 1,7 рази й складає 0,31 мг∙г-1. Ідентичну
кількість водорозчинних органічних речовин ґрунту вдалось екстрагувати й зі зразків,
відібраних на глибинах 20-25 і 25-30 см. Нижче за профілем виявлено зменшення
вмісту СЕХВОР до 0,12 мг∙г-1 у верстві 35-40 см.
Звертає увагу формування незначної зони акумуляції водорозчинних органічних
речовин (0,15 мг∙г-1) у ґрунті верстви 40-45 см, характерної
для контрольного варіанту (як у випадку Сорг так і СЕХВОР)
й відсутньої в органопрофілі едафотопу після рівномірно-поступової вирубки
другого ярусу. У нижньому досліджуваному шарі - 45-50 см вміст СЕХВОР
склав 0,12 мг∙г-1, тобто стільки ж, скільки й у ґрунті верстви
35-40 см.
Рис. 4.4 Діаграми діапазонів
профільних змін вмісту СЕХВОР в едафотопах гемеробних екосистем
(жовтень 2008 року)
В едафотопі розладнаного
групово-вибірковою вирубкою деревостану розподіл вмісту СЕХВОР з
глибиною суттєво відрізняється від контролю. У ґрунті верстви 30-35 см, вміст
водорозчинних органічних речовин збільшується у 2,14 рази, порівняно із
розташованим вище шаром, сягаючи 0,46 мг∙г-1 і дещо
зменшується у нижче розташованій верстві до 0,43 мг∙г-1.
Морфологічно, ці зміни відбуваються
у межах горизонту IEgl, який діагностовано на глибинах 31-50 см. Він
відзначається наявністю значної кількості кутан; містить також рясні конкреції
сполук Fe3+, фронтальні заклинки SiO2, окремі сизі плями
сполук Fe2+ і поодинокі опорні корені.
Звертає увагу, що в межах одного
генетичного горизонту, виявлено різке (у 4,77 рази) зменшення вмісту СЕХВОР
у ґрунті верстви 40-45 см (верхня частина горизонту) й збільшення до 0,34 мг∙г-1
у шарі 45-50 см (нижня частина горизонту).
У ґрунті лісової екосистеми після
суцільної вирубки граба, екстраговані холодною водою органічні речовини
розподілені у профілі, подібно до Сорг. Зникає зона накопичення СЕХВОР
на глибині 30-40 см, а всі зміни їхнього вмісту в 0-50 см товщі відбуваються на
фоні менших абсолютних значень, порівняно з варіантами нижчої інтенсивності
лісогосподарських заходів.
В едафотопах ріллі та сінокосу
розподіл профільний розподіл СЕХВОР суттєво відрізняється від
розглянутих вище варіантів. Вміст екстрагованих холодною водою органічних
речовин у приповерхневому шарі ґрунту є нижчий, ніж під лісом, але на глибинах
25-35 см формується зона накопичення водорозчинних сполук, відсутня у
розглянутих лісових ґрунтах.
На нашу думку, виявлені зміни відображають
різні рівні стресу, реалізовані ґрунтовою екосистемою, внаслідок руйнування
симбіотрофного комплексу ґрунт-рослина. При цьому, втрати водорозчинних
органічних сполук продовжували зростати і на 3 рік після проведення
лісогосподарських заходів (рис. 4.5). Як видно з наведених даних, профільний
розподіл значень вмісту СЕХВОР у контрольному та дослідних варіантах
практично ідентичний, розглянутому вище (2008 рік). Проте, в знеліснених
екосистемах, у залежності від інтенсивності антропогенного навантаження
виявлено зменшення вмісту екстрагованих холодною водою органічних речовин на
5-10%, порівняно із 2008 роком. При цьому, у контролі вміст ЕХВОР залишився на
тому самому рівні, а в агроекосистемах ріллі та сінокосу дещо збільшився.
Також звертає увагу, що на віміну
від варіанту РПВГ, групово-вибіркова вирубка другого ярусу (видалено 50%
субедифікатора) проявилась достатньо сильним впливом на ґрунт, змінивши
архітектоніку профільного розподілу водорозчинних органічних речовин, проте не
призвела до суттєвих змін у будові органопрофілю в цілому. Натомість, за
суцільної вирубки граба відбулося значне зменшення надходження Сорг
у ґрунт, що спричинило міграцію вниз по профілю і більш хімічно стабільних
компонентів ОЧҐ.
Рис. 4.5 Діаграми діапазонів
профільних змін вмісту СЕХВОР в едафотопах гемеробних екосистем
(жовтень 2009 року)
Проведення рубань, а також зміна
типу антропогенного навантаження на едафотоп спричиняє відтік води і розчинених
у ній поживних речовин із ризосферної зони через зменшення евапотранспірації
(Likens, Bormann, 1995). Натомість, лісогосподарські заходи низької
інтенсивності характеризуються значно слабшим дестабілізуючим впливом, оскільки
вивільнені розчинені форми органічної речовини ґрунту, переважно, фіксуються
кореневими системами вцілілих дерев. Варто також зазначити, що за умов
інтенсивного відтоку РОР із ризосферної зони, значна її частина може бути
сорбована на поверхні ґрунтових частинок нижче за профілем, в ділянках
малодоступних для коренів рослин і несприятливих для росту й розвитку
мікроорганізмів (Walbridge et al., 1991; Wood et al., 1984). Така
закономірність виявлена у наших дослідженнях, що вказує на необхідність
поглибленого вивчення архітектоніки органопрофілю едафотопу, зокрема виявлення
у ньому зон, де відбуваються найінтенсивніші зміни різних за лабільністю форм
органічної частини ґрунту.
Ймовірно, що лісова екосистема після
суцільної вирубки граба переходить на інший, нижчий, порівняно із вихідним,
речовинно-енергетичний рівень (Тейт, 1991), а рубання меншої інтенсивності
спричиняють лише різноамплітудні флуктуації вмісту ЕХВОР від вихідного рівня з
поступовим поверненням системи у попередній стан (Zsolnay, 1997, 2000).
.2.2 Екстраговані гарячою водою
органічні речовини
Для обґрунтуваня ефективності
критеріїв оцінки лабільного пулу ОЧҐ одночасно з виокремлення його холодною
водою (20 °C), екстракцію проводили також з використанням гарячої (80 °C)
води., що дозволило значно підвищити ефективність оцінки рухомих форм Сорг
(Sparling , 1998; Ghani,
2002).
Порівнюючи профільний розподіл
водорозчинних органічних сполук, отриманих шляхом екстракції холодною (рис.
4.4) і гарячою (рис.4.6) водою, бачимо, що отримані органопрофілі суттєво
відрізняються між собою. Так, у варіанті ГВВГ у шарі 30-40 см діагностовано
зону накопичення ЕХВОР, на фоні зменшення абсолютного вмісту екстрагованих
гарячою водою органічних речовин (ЕГВОР).

Той факт, що в лісових едафотопах
розміри фракцій ЕХВОР та ЕГВОР змінюються з глибиною несинхронно може свідчити
про вилучення внаслідок гідролізу гарячою водою окремих фрагментів макромолекул
лігніну чи лігноцелюлози (Тейт, 1991).
В усіх варіантах досліду
максимальний вміст екстрагованих гарячою водою органічних сполук зосереджено в
активній зоні ґрунту. Так, у контролі у верстві 0-5 см зосереджено в 2,1 рази
більше СЕГВОР ніж у розташованій нижче верстві 5-10 см. У варіантах
РПВГ, ГВВГ і СВГ це співвідношення становить3,2, 3,2 і 1,5 рази відповідно.
Натомість в едафотопах агроекосистем сінокосу та ріллі, вміст екстрагованих
гарячою водою органічних сполук у верстві 0-5 см є лише дещо вищим, ніж у
верстві 5-10 см - на 2,9 та 8,5% відповідно.
У варіанті РПВГ спостерігається
значне зменшення запасів ВОР за профілем ґрунту. Аріхтектоніка органопрофілю
зазнає суттєвих змін - зростає різниця між кількістю водорозчинних сполук у при
поверхневих шарах, зникає зона накопичення ВОР на глибині 20-25 см,
діагностована в контролі.
В едафотопі варіанту ГВВГ, у
дослідженій півметровій товщі ґрунту середній вміст ВОР зменшився у 2,26 рази,
порівняно із контролем. З глибини 10-15 см вміст СЕГВОР зменшується
до 0,62 мг·г-1, що значно нижче, ніж на аналогічних глибинах у інших
дослідних варіантах.
Проведення суцільних рубань другого
ярусу призвело до профільного перерозподілу ВОР вже за іншим патерном:
зменшується різниця між вмістом СЕГВОР у верхніх верствах 0-5 і 5-10
см, але зростає, порівняно із варіантом ГВВГ вміст водорозчинних сполук у
нижніх шарах ґрунту. Варто зазначити, що характер розподілу ЕГВОР у варіанті
СВГ можна оцінити як проміжний, між розглянутими вище лісовими едафотопами та
трансформованими внаслідок аграрних впливів.
Профільні зміни вмісту СЕГВОР
у ґрунтах досліджених агроекосистем подібні між собою: до глибини 15 см вміст
водорозчинних сполук є достатньо високим (більше 2 мг·г-1) і
поступово зменшується з глибиною. В цілому ж, запаси ВОР у цих варіантах є
співмірними із варіантом СВГ.
Варто зазначити, що на сьогодні
спостерігається посилення втрат наземними екосистемами водорозчинних форм Сорг.
Так, протягом останніх 40 років зафіксовано помітне збільшення вмісту Карбону
РОР в поверхневих водах Англії і Уельсу і цей процес відображає світову
тенденцію (Worrall F.
et
al.,
2003; Freeman
C.
et
al.,
2004). Отримані нами дані підтверджують цю закономірність - зі збільшенням
рівня антропогенноо навантаження на систему, зменшується її енергопотенціал і,
в першу чергу, запаси енергопластичних субстратів, якими є водорозчинні
органічні сполуки.
Аналізуючи раніше профільний
розподіл валового вмісту Сорг ми наголошували на сильній
трансформованості едафотопу у варіанті СВГ. Проведення кластерного аналізу
дозволило категоризувати ґрунт у цьому варіанті досліду як сильно змінений і
включити його в один кластер із ґрунтами агроекосистем. Наведені на рис. 4.6
дані підтверджують справедливість цього припущення. Додатково зазначимо, що
урухомлення ОЧҐ у нижній частині профілю може бути пов’язане з гідрофобізацією
середовища, внаслідок втрат ґрунтовою екосистемою депонованого Сорг,
зокрема у вигляді йонів НСО3- (Степанов, Милановский,
1989; Соколова и др., 2009 ).
Сильний вплив на напрям і характер
розвитку процесів, пов’язаних
із трансформуванням водорозчинних органічних сполук у ґрунті має антропогенний
фактор, особливо ведення сільського і лісового господарства. Мало вивченим
лишається вплив внесення різних органічних та мінеральних добрив і
отрутохімікатів на ВОР. Фактично, більшість досліджень водорозчинних органічних
сполук у ґрунті проводилась у лісових екосистемах, проте і лісовому
ґрунтознавстві теж лишається значно більше питань ніж відповідей, що стосуються
ВОР. Одним із найактуальніших екологічних питань на сьогодні лишається
комплексна оцінка впливу знеліснення на кількісні і якісні характеристики
органічної частини ґрунту і зокрема її водорозчинних фракцій (Yanai
et
al.,
2003).
На третій рік після проведення лісогосподарських
заходів різної інтенсивності (рис.4.7), конфігурація досліджених органопрофілів
не змінилась суттєво, порівняно з розглянутими вище особливостями. Проте,
профільний розподіл значень досліджуваної ознаки у лісових едафотопах
відбувається на фоні менших абсолютних значень.
В едафотоп екосистеми після
рівномірно-поступової вирубки граба середній вміст СЕГВОР у
дослідженій півметровій товщі зменшився на 3,9%, а у варіантах ГВВГ і СВГ - на
5,3 та 9,1% відповідно.
Рис. 4.7 Діаграми діапазонів
профільних змін вмісту СЕГВОР в едафотопах гемеробних екосистем
(жовтень 2009 року)
Тим часом у контролі, а також
агроекосистемах сінокосу та ріллі зафіксовано збільшення вмісту водорозчинних
органічних сполук - на 5,7, 6,7 та 3,1% відповідно. Також варто відзначити
подальший перерозподіл водорозчинних сполук у едафотопі варіанту СВГ:
профільний розподіл водорозчинних сполук у цьому варіанті досліду більше
нагадує органопрофілю ґрунтів агроекосистем, ніж лісових.
За даними Л. Никифоренко (1985),
крім впливу на вміст Сорг власне обробітку ґрунту, важливими
факторами, що призводять до збіднення ґрунтового резервуару Карбону є різке
зменшення надходжень до ґрунту детриту, зменшення ємності та інтенсивності
колообігу елементів, а також інтенсифікація розкладу органічних речовин у
ґрунті. Внаслідок сільськогосподарського використання ґрунтів, у першу чергу
трансформації зазнають лабільні фракції органічної частини ґрунту, змінюючись
як кількісно, так і якісно (Когут, 2003).
Наші дослідженя, дозволяють
ствердити, що проведення лісогосподарських заходів різної інтенсивності також
призводить до значних кількісних і якісних змін органічної частини ґрунту.
Знеліснення порушує режими надходження детриту до катаболічного блоку
екосистеми, що спричиняє профільний перерозподіл доступних субстратів і, в
першу чергу, водорозчинних органічних сполук.
.3 Легкоокиснювані фракції
органічної частини ґрунту
Не зважаючи на значний прогрес у
вивченні лабільного пулу органічної частини ґрунту, досягнутий протягом
останніх 20 років, актуальним лишається пошук нових і вдосконалення існуючих
критеріїв його оцінки, в тому числі, в контексті уніфікації і формалізації
методів досліджень (von Lützow
M.,
2007).
У попередньому розділі нами було
розглянуто зміни вмісту ЕХВОР і ЕГВОР за різних антропогенних впливів. Відомо,
що вміст ВОР у ґрунті є важливим індикатором його якості. Однак, аналіз
водорозчинних форм Сорг пов’язаний із певними труднощами. Це,
насамперед, значна трудомісткість, пов’язана із проведенням екстракції,
центрифугуванням і фільтруванням. Зазначимо також, що мембранні фільтри,
використання яких є обов’язковим для відділення власне водорозчинних органічних
сполук, є достатньо дорогими, що утруднює проведення масових аналізів. Також, у
разі відсутності спеціальних С або С-N
аналізаторів, для визначення вмісту досліджуваних елементів у екстрактах,
доводиться застосовувати методи мокрого спалювання, які передбачають
застосування достатньо токсичних хімічних реактивів.
Впродовж тривалого часу триває пошук
альтернативних методів визначення лабільного пулу ОЧҐ, серед яких значна увага
багатьма дослідниками приділяється використанню перманганату калію в якості
окисника. Він має ряд істотних переваг порівняно з іншими поширеними окисниками
(концентрованою сульфатною кислотою, хлоратами і перхлоратами, шестивалентним
Хромом й іншими). Це, насамперед, низька токсичність для людей і “дружність до
довкілля”, що дозволяє широке використання цього хімічного агенту (Moody
et
al.,
1997; Tirol-Рadre, 2004).
Перманганат калію є сіллю, що
утворена йонами K+
і MnO4-
. Хімічний агент є сильним окисником.
Розчиняється у воді з утворенням розчину інтенсивного фіолетового забарвлення.
Випарювання останнього призводить до формування дрібних призматичних
темно-фіолетових кристалів з металевим блиском (Burriel
et
al.,
1985).
Окиснювальна здатність KMnO4
суттєво залежить від рН середовища. Так, у
кислому середовищі, MnO4−
відновлюється до Mn2+ за
схемою:
7+
+ 5e- → Mn2+,
натомість, в нейтральному і
слабколужному середовищах - до MnO2:
Mn7+ + 3e-
→ Mn4+.
У сильнолужному середовищі
перманганат-іон, приєднує лише один електрон із утворенням MnO42-
за
схемою:
7+
+ e-
→ Mn6+.
Отже, залежно від рН реакційної
суміші, KMnO4
окиснює різні речовини, відновлюючись до сполук Мангану різного ступеню
окиснення (Blair et
al.,
1995).
З метою оцінки лабільної частини ОРҐ
застосовують нейтральний або слаболужний розчин перманганату калію. Вважають,
що за таких умов, KMnO4
здатен окиснювати прості карбогідрати, амінокислоти,
аміни, аміноцукри й інші прості карбоновмісні речовини, які мають у своєму
складі гідроксильні або карбонільні групи, аліфатичні компоненти (Stanford,
1978; Loginow
et
al., 1993).
Вважаєтсья, що за слабо лужної
реакції середовща, у розчині перебуває лише темно-фіолетовий MnO2.
В кислому - встановлюється динамічна рівновага між безбарвним Mn2+-
і MnO2,
а в лужному - між фіолетовим MnO2
і яскраво-зеленим MnO42-
(Калюкова Е. Н., 2009).
Нами здійснено спробу оцінити
можливість використання 0,02 М KMnO4
за різного рН для окиснення органічних сполук, що входять до складу органічної
частини лісового ґрунту. Використання методу здійснювали із
спектрофотометричним закінченням (λ=550
нм).
Як видно із наведених на рис. 4.8
даних, за різних рН криві профільних змін вмісту Сорг змінюються
практично синхронно: оптична щільність (А) розчину є найвищою для ґрунту
верстви 0-5 см і поступово зменшується до верстви 35-40 см. Нижче за профілем
ґрунту, у всіх варіантах виявлено формування піку на глибині 40-45 см і подальше
зменшення у шарі 45-50 см.
Отже, використання водного розчину
перманганату калію, за різних рН, для визначення різних фракцій органічних
речовин у лісовому ґрунті є недоцільним. Це може бути пов’язано із специфічним
якісним складом ОЧҐ - сполуки, що утворюють її лабільний пул могли виявитись
достатньо легкоокиснюваними навіть для лужного розчину перманганату калію,
натомість оксинювальну деструкцію стабільніших складових не вдалось забезпечити
навіть кислим розчином KMnO4.
Іншим ймовірним поясненням є
недостатня концентрація окисника. В цілому, пошук причин, чому саме за різного
рН середовища не вдається забезпечити окиснення різних фракцій ОЧҐ у лісовому
ґрунті не є завданням нашого дослідження, потребує широкої експериментальної
бази і залишається актуальним на майбутнє.
Рис. 4.8
Вміст CЛОР
в ґрунті грабової діброви за різного рН середовища
Наразі, як і більшість авторів, ми
рекомендуємо використовувати для визначення легкоокиснюваних органічних речовин
(ЛОР) нейтральний або слаболужний розчин KMnO4.
Високу інформативність методу
перманганатного окиснення для оцінки лабільного пулу ОЧҐ показано багатьма
дослідниками, особливо закордонними (Loginow
et al., 1993: Blair et al., 1995;
Blair et al., 2001; Weil
et al., 2003). Недостатність використання цього методичного підходу у
вітчизняній науці і відсутність досліджень, пов’язаних із лісовими ґрунтами,
вимагає його апробування для оцінки антропогенних змін ґрунтового резервуару
Карбону і, зокрема, у процесі знеліснення.
Як видно з рис. 4.9, вміст ЛОР, як і
досліджених вище пулів ЕХВОР і ЕГВОР суттєво змінюється у кожному дослідженому
ґрунті за профілем, а також між варіантами досліду. Найбільше СЛОР
зосереджено у при поверхневих шарах ґрунту і, зокрема у верстві 0-5 см: у
варіантах К і РПВГ - 2,9 мг·г-1 у ГВВГ - а 2,46, а СВГ і С - 2 мг·г-1.
Звертає увгу, що на відміну від розглянутих вище пулів ЕХВОР та ЕГВОР,
найбільший вміст СЛОР серед усіх варіантів досліду виявлено не у
контролі, а на ріллі (2,8 мг·г-1).
Рис. 4.9 Діаграми діапазонів
профільних змін вмісту СЛОР в едафотопах гемеробних екосистем
(жовтень 2008 року)
Звертає увагу, що за особливістю
профільного розподілу ЛОР едафотопи лісових та після лісових екосистем суттєво
відрізняються між собою. Якщо варіантм К, РПВГ, ГВВГ і СВГ властивий
регресивно-акумулятивний тип розподілу легкоокиснюваних органічних сполук за
профілем, то в ґрунтах сінокосу та ріллі - рівномірно-акумулятивний (Назаренко,
2006). При цьому, основною особливістю органопрофілів грунтів під агроценозами
є значно вищі абсолютні величини вмісту лабільного пулу Карбону, порівняно з
аналогічними верствами лісових едафотопів.
Як на 2 (рис. 4.9), так і на 3 (рис.
4.10) рік після проведення лісогосподарських заходів різної інтенсивності
найбільше СЛОР у дослідженій півметровій товщі ґрунту зосереджено на
ріллі - біля 1,7 мг·г-1, при чому цей
показник є достатньо стабільним: з
жовтня 2008 до жовтня 2009 року вміст ЛОР на рілля змінився лише на 2,9%.
Натомість у варіантах РПВГ, ГВВГ та СВГ зменшення вмісту легкоокиснюваних
органічних сполук склало відповідно 9,7, 12,7 і 15,3%.
Продовж другого року після
проведення рубань, масштаби зміни вмісту ЛОР є вищими, ніж ЕХВОР та ЕГВОР. Цей
факт свідчить про високу чутливість застосованого методу. Зазначимо, що
застосований експрес-метод оцінки якості ОЧҐ вже знайшов широке використання в
агроекологічних й агрохімічних дослідженнях у США, Японії, Австралії (Mirsky
et
al.,
2008). Нами, цей методичний підхід вперше апробовано у дослідженнях ОЧҐ у
лісових екосистемах, зокрема, за різної інтенсивності лісогосподарських
заходів. трансформування органічний екопротекторний
ґрунт
Рис. 4.10 Діаграми діапазонів
профільних змін вмісту СЛОР в едафотопах гемеробних екосистем
(жовтень 2009 року)
Оскільки, в наших експериментах
застосовано багатофакторний оціночний комплекс ОЧҐ, нижче буде дано порівняльний
аналіз інформативності методу перманганатного окиснення й інших методів (ЕХВОР,
ЕГВОР) оцінки лабільного пулу ОЧҐ.
З метою подальшого фракціонування
легкоокиснюваних органічних сполук проведено оцінку кінетики окиснення Сорг
0,02 М KMnO4
в інтервалі від 30 до 240 с з кроком 30 с (рис.
4.11). Проаналізовано вміст СЛОР в активній зоні ґрунту.
Рис. 4.11 Кінетика окиснення Сорг
у ґрунті 0,02 М КMnO4,
с
З наведених даних видно, що якість
органічної частини ґрунту суттєво відрізняється за варіантами досліду. За
абсолютними значеннями, а також конфігураціями кінетичних кривих, їх можна
типологічно об’єднати у дві групи.
До першої входять К, РПВГ, ГВВГ, до другої - СВГ, С, Р. Отримані дані
підтверджують правильність кластеризації, зробленої у 3 розділі нашої роботи,
коли на підставі валового вмісту Карбону органічних сполук було проведено
групування досліджених едафотопів у кластери, за рівнем антропогенної
трансформованості. Як і тоді, варіант СВГ потрапив у кластер сильно
трансформованих екосистем, разом із агроекосистемами ріллі та сінокосу. З
наведених на рис. 4.11 видно, що органічна частина ґрунту зазнала суттєвих
якісних змін після проведення рубань різної інтенсивності і, головно, суцільної
вирубки другого ярусу.
В активній зоні ґрунту
олігогемеробних лісових екосистем (К, РПВГ, ГВВГ) зосереджено більше високомобільних
органічних сполук, ніж в інших варіантах досліду. Якщо кількість СЛОР,
визначено у експерименті тривалістю 240 с прийняти за 100%, то в контролі, а
також варіантах РПВГ і ГВВГ продовж перших 60 с було окиснено 81,1, 80,1 та
76,3% відповідно. Натомість у едафотопах сінокосу та ріллі - лише 64,5 та
56,4%, що склало 1,74 мг·г-1. Наступна фракція оксинюється проміжку
від 90 до 150 секунд в ґрунтах агрекосистем і від 90 до 180 - лісових.
В подальших дослідженнях,
заплановано зменшити крок (від 30 до 10 с), а також збільшити час проведення
експерименту. Проте, вже отриманих даних достатньо, щоб підтвердити припущення
про суттєву якісну відмінність між ОЧҐ за варіантами досліду, яка проявляється
у зміні конденсованості органічних сполук, і, як наслідок, у різних значеннях
енергії активації. Детальніше зміни якості органічної частини ґрунту внаслідок
знеліснення розглядається у 6 розділі.
.4 Зміни лабільності Карбону
органічних сполук
Оцінка якісних параметрів органічної
речовини ґрунту передбачає визначення відношення її мобільних фракцій до
валового вмісту Сорг (Федорос, Попов, 1997; Попов и др., 2004).
Отримана інформація дозволяє охарактеризувати лабільність (мобільність)
органічних речовин ґрунту, що є одним із найважливіших параметрів стану
ґрунтової екосистеми.
На рис. 4.12 зображено профільні
зміни відносного вмісту різних фракцій що дозволяють кількісно оцінити величину
лабільного пулу органічної частини ґрунту: екстраговані холодною водою
органічні речовини, екстраговані гарячою водою органічно речовини,
легкоокиснювані органічні речовини. (жовтень 2008 року)
Рис. 4.12 Лабільність органічних
сполук Карбону,%
З наведених даних видно, що, часом,
відносний вміст визначених фракцій змінюється за профілем не синхронно. Це
свідчить про різну чутливість застосованих методів і необхідність їхнього
паралельного використання для забезпечення комплексного вивчення лабільного
пулу Сорг.
Фракція екстрагованих холодною водою
органічних речовин розподілена у профілях досліджуваних ґрунтів нерівномірно.
Відносний вміст СЕХВОР суттєво змінюється як за профілем, так і за
варіантами досліду. У контролі зафіксоване поступове збільшення вмісту цієї
фракції за профілем від 1,49 у верстві 0-5 см до 3,35% на глибині 15-20 см.
Нижче за профілем, кількість СЕХВОР зменшується, крім верстви 35-40
см, де її вміст у складі Сорг зростає до 3,90%, що в 1,8 рази
більше, ніж у суміжному вищерозташованому шарі ґрунту. Подібний розподіл
відносного вмісту СЕХВОР властивий також дослідженим
агроекосистемам. Натомість, в лісових едафотопах, що зазнали антропогенного
впливу внаслідок рубань різної інтенсивності виявлено значне ускладнення
органопрофілю. Варіанти РПВГ і ГВВГ характеризуються появою нових зон накопичення
водорозчинних органічних сполук на глибинах 20-25 та 30-40 см, що, ймовірно,
пов’язано зі зміною якісного складу ОЧҐ, зокрема вмісту гідрофільних і
гідрофобних компонентів (Степанов, Милановский, 1989). В цілому, вплив
рівномірно-поступового та групово-вибіркового рубань другого ярусу на ґрунт
супроводжувався накопиченням водорозчинних органічних сполук (ЕХВОР) в нижній
частині профілю. Натомість у варіанті СВГ крива змін відносного вмісту ЕХВОР
практично ідентична контрольному варіанту, що свідчить про стабілізацію системи
на новому (нижчому) стаціонарному рівні.
Вміст фракції екстрагованих гарячою
водою органічних речовин, подібно до ЕХВОР сильно змінюється як за профілем,
так і за варіантами досліду. В цілому, відносний вміст СЕГВОР у
дослідженій півметровій товщі ґрунту є значно вищим, ніж СЕХВОР. У
контролі - в 5,18 разів, на вирубках - в 1,89, 0,95 та 8,65 разів у варіантах
РПВГ, ГВВГ і СВГ відповідно, в агроекосистемах - в 3,63 та 3,90 на сінокосі та
ріллі відповідно. Масштаби профільних змін відносного вмісту СЕГВОР значно
більші, ніж СЕХВОР. Так у варіанті РПВГ у верстві 30-35 см за
вмістом ЕХВОР, розмір лабільного пулу збільшився в 1,38 рази, порівняно із
верствою 25-30 см, а за ЕГВОР - в 1,76. У варіанті ГВВГ (верства 20-25 см) - в
1,65 проти 1,96 разів. Максимальний відносний вміст ЕГВОР виявлено у верстві
35-40 см варіанту СВГ. Проте, така закономірність не є загальною і у тому ж
варіанті досліду у верстві 35-40 см діагностовано зону накопичення ЕХВОР і
зменшення вмісту ЕГВОР. Це ж відбувається і в ґрунтах сінокосу та ріллі (за
всім профілем) і пов’язано, на нашу думку з поповненням високо мобільних
фракцій лабільного пулу ОЧҐ (ЕХВОР) за рахунок запасів органічних сполук у
більш стабільних (потенційно доступних для мінералізації) депо, які кількісно
можна оцінити шляхом екстракції гарячою водою.
Відносний вміст ЛОР змінюється за
профілем подібно до ЕГВОР і у всіх варіантах досліду крім ріллі є дещо нижчим
за нього. Не зважаючи на принципово інший метод визначення вмісту лабільних
органічних сполук - оксинювальна деструкція проти водної екстракції, отримані
дані свідчать про високу інформативність методу та правомірність порівняння
результатів досліджень, отриманих цими способами між собою. Звертає увагу, що в
ґрунті під ріллею відносний вміст СЛОР є високим у межах всієї досліджуваної
півметрової товщі й поступово зменшується від 14,27 у верстві 0-5 до 9,95 у
45-50 см. У цьому варіанті досліду, легкоокиснюваних сполук виявлено більше,
ніж фракцій ЕХВОР та ЕГВОР, що свідчить про значні якісні відмінності
органічної частини ґрунту під ріллею від інших досліджених едафотопів.
На третій рік після проведення
лісогосподарських заходів різної інтенсивності (рис. 4.13) характер профільних
змін відносного вмісту лабільних органічних сполук зазнав певних змін.
Насамперед, звертає увагу подальше накопичення ЛОР з глибиною у варіантах РПВГ,
ГВВГ і СВГ. Варто відзначити і збільшення вмісту легкоокиснюваних сполук у шарі
ґрунту 40-45 см варіанту СВГ до 31,8%, порівняно із 10,1% на другий рік після
рубань. Тут же, як і у 2008 році зафіксовано найвищий серед усіх досліджених
фракцій відносний вміст (більше 90%). Саме таку частину від валового вмісту Сорг
вдалось екстрагувати гарячою водою.
Рис. 4.13 Лабільність органічних
сполук Карбону,% (жовтень 2009 року)
Отримані дані свідчать, що продовж
періоду досліджень тривали зміни, як розміру, так і якісного складу лабільного
пулу органічних сполук. Проведення лісогосподарських заходів, зокрема, рубань
освітлення призводить до порушення балансу між іммобілізацією поживних речовин
і накопиченням біомаси, відповідно, значних втрат лабільних органічної речовини
з дренажними водами (Тейт, 1991).
Максимальний вміст ЕХВОР у
підстилках лісових екосистем на початку періоду вегетації (квітень) коливався в
межах 2,5-3,5 мг∙г-1 у шарі опаду (Оі) й зменшувався вниз за
профілем. У шарі мінералізації (Ое) вміст СЕХВОР зменшився від 1,30
мг∙г-1 у контролі до 0,80 мг∙г-1 у варіанті
СВГ. У шарі гуміфікації (Оа) - у 2,5 рази, порівняно із едафотопом старовікового
непорушеного лісу (0,4 мг∙г-1)
Екстракція холодною водою дозоляє
виділити наймобільніші речовини, придатні для in
situ ммінералізації
вміст яких у активній зоні досліджуваних ґрунтів коливався у межах від 0,89
мг·г-1 у контролі до 0,37 мг·г-1 на сінокосі. Натомість
екстракція гарячою водою чи перманганатне окиснення є методами визначення
потенційного вмісту лабільних органічних речовин, які є найближчим резервом
біофільних елементів та енергії. У АЗҐ вміст СЕГВОР лежить у
діапазоні від 8,95 мг·г-1 у контролі до 2,15 мг·г-1 на
сінокосі, а СЛОР - відповідно від 2,89 до 2,0 мг·г-1.
В контрольному варіанті, а також
едафотопах агроекосистем продовж періоду досліджень не відбулось суттєвих змін
архітектоніки органопрофілів. Натомість у лісових ґрунтах після рубань різної
інтенсивності спостерігається накопичення лабільних сполук в нижній частині
профілю - глибше 35 см. Так, у варіанті СВГ у верстві 35-40 см, відносний вміст
СЛОР і СЕГВОР складає відповідно 20 та 87% від валового
вмісту Сорг.
РОЗДІЛ 5. ОСОБЛИВОСТІ
МІНЕРАЛІЗАЦІЙНОЇ ЗДАТНОСТІ ТА ДИХАЛЬНОЇ АКТИВНОСТІ ҐРУНТІВ
Мінералізація органічних сполук
Карбону в ґрунті є однією із основних функцій катаболічного блоку екосистеми
(Керженцев, 2006). Цей процес супроводжується розкладом складних органічних молекул
спершу на мономери, а згодом до газів (діоксиду карбону, метану, аміаку,
водню), води та йонів (Туев, 1989). Ці сполуки знову знають доступними для
продуцентів. Важливо також, що розклад органічних речовин супроводжується
виділенням енергії, зафіксованої у хімічних зв’язках, яка витрачається
мікроорганізмами на ріст і розмноження.
Розклад органічних сполук у ґрунті
спричиняють різні процеси, які можуть діяти незалежно, або емерджентно
підсилювати один одного. Це може бути, наприклад ультрафіолетове фотоокиснення,
кислотний чи лужний гідроліз тощо. Проте, основним чинником, який регулює
інтенсивність мінералізації ОЧҐ виступають ґрунтові мікроорганізми. Вони є
основними агентами мінералізації й беруть участь у деструкції органічних
макромолекул як in
vivo, так і
безпосередньо в ґрунті внаслідок активності позаклітинних ферментів (Тейт,
1991; Чорнобай, 2000).
Розглядаючи процес мінералізації в
біогеохімічному контексті, основної характеристикою субстрату виступає його
мінералізаційна здатність. Вона залежить від якості органічної частини ґрунту:
співвідношення ароматичних та аліфатичних, гідрофільних та гідрофобних,
стабільних та лабільних компонентів тощо. В попередньому розділі ми детально
розглянули антропогенну динаміку лабільних органічних сполук у едафотопах
лісових та післялісових екосистем. Встановлені кількісні та якісні відмінності
ОЧҐ за варіантами досліду дали підстави дослідити особливості мінералізації
органічних сполук Карбону за антропогенного навантаження різної інтенсивності.
Зазвичай, оцінку мінералізаційної
здатності ОЧҐ проводять лише за величиною емісії СО2, що
супроводжується певними труднощами, пов’язаними із розділенням дихання
мікроорганізмів, коренів рослин та емісії діоксиду карбону з поверхні ґрунту
внаслідок розкладу абіотичних органічних речовин (Тейт, 1991; Кудеяров, 2007).
Застосування комплексного підходу передбачає як виділення продуктів
мінералізації в атмосферу, так і їхнє накопичення у ґрунті. Для оцінки
останнього застосовано метод прямої кондуктометрії.
.1 Гідротермічні умови мінералізації
органічних сполук
Характер перебігу процесів
мінералізації й іммобілізації органічних речовин у катаболічному блоці
екосистеми, який впливає на кількісні і якісні показники ґрунтового резервуару
Карбону, залежить від абіотичних кліматичних факторів, сукупна дія яких формує
особливі мікрокліматичні умови ґрунту - едафічний мікроклімат. Серед них
найважливішими є температура та вологість ґрунту. Вони суттєво впливають на
функціонування едафону й можуть зазнавати значних змін внаслідок лісо- й
сільськогосподарських заходів різної інтенсивності. Проте, окремі дослідники
вважають, що навіть значне збільшення температури й вологості ґрунту після
рубань (Johnson et al., 1985) або збільшення температури й зменшення вологості
(Londo et al., 1999) не призводили до суттєвих змін у структурі едафону й не
впливали на біотичну активність ґрунту. Неоднозначність трактувань впливу
мікроклімату на знеліснених територіях на біотичні процеси в ґрунті вимагали
власних досліджень цього питання, оскільки процеси, які регулюють якість і
кількість лабільних пулів ґрунтового резервуару Карбону, залежать від
температури, а ріст і розвиток рослинності на місці зрубів, як джерела
надходження до ґрунту лабільних органічних субстратів, - температури, вологості
й інсоляції.
Температура ґрунту
Досліджувані едафотопи суттєво
відрізняються за температурним режимом. На початку вегетаційного періоду
(квітень) у ґрунтах лісових екосистем варіантів К, РПВГ і ГВВГ денна
температура верхнього 0-5 см шару ґрунту не перевищувала 12°С (рис. 5.1).
Ґрунтові варіанту СВГ властива вища (майже на 2°С), порівняно з іншими
мезогемеробними лісовими екосистемами, температура, яка лише на 0,2°С нижча,
ніж в агроекосистемах ріллі й сінокосу.
Рис. 5.1 Особливості змін денної
температури ґрунту шару 0-5 см залежно від інтенсивності та тривалості
знеліснення,°С (2010 рік)
Восени, у всіх варіантах досліду
спостерігаються вищі температури приповерхневого шару ґрунту, ніж у весняний
період. Серед лісових екосистем найнижчі величини (12,8°С) виявлено в
едафотопах старовікового непорушеного лісу (К). Рівномірно-поступова і
групово-вибіркова рубка другого ярусу призвели до зростання температури ґрунту
на 0,2 і 0,5°С відповідно. За повного усунення граба (СВГ) температура ґрунту
становить 15,2°С. Температурний режим цього варіанту досліду суттєво
відрізняється від лісових екосистем і, як у весняний період, за цим показником
потрапляє у кластер сильно трансформованих біогеоценозів, поряд із екосистемами
сінокосу та ріллі.
Вологість ґрунту
Ґрунти усіх досліджуваних екосистем
характеризуються надмірним зволоженням, спричиненим періодично-промивним водним
режимом й близьким до поверхні заляганням ґрунтових вод. Як видно з наведених
на рис. 5.2. даних, вологість ґрунту старовікового непорушеного
грабово-дубового лісу складає 33-34%. Поступові, а також групово-вибіркові
рубання призвели до
Рис. 5.2 Особливості змін вологості
ґрунту шару 0-5 см, залежно від інтенсивності та тривалості знеліснення, %
(жовтень 2010 року)
збільшення вмісту вологи в ґрунті до
34,35 і 37,72%. В едафотопах агроекосистем він є значно нижчим й коливається
від 16,8% на ріллі, до 21,87% на сінокосі.
Конверсія лісових земель у
сільськогосподарські пов’язана також із змінами вмісту гігроскопічної вологи
(ГВ). Як зображено на рис. 5.2, вміст гігроскопічної вологи у контролі складає
1,87%; у разі поступового й групово-вибіркового рубання відбувається її
незначне накопичення - до 1,90 і 1,95% відповідно. Натомість, суцільна вирубка
другого ярусу спричинила зменшення ГВ до 1,77%.
За Р. Тейтом (1991), зміна у процесі
агрогенного використання ґрунту температури, вологості, освітленості, аерації
призводить до зростання біотичної активності, яка раніше була обмежена дією
певних фізичних і хімічних факторів. При цьому, зміна фізичних умов
супроводжується зростанням аерації внаслідок розорювання, а хімічні
перетворення пов’язані із збільшенням доступності оклюдованих органічних
речовин.
.2 Сезонна динаміка вмісту мікробної
біомаси у ґрунті
Враховуючи той факт, що
мікроорганізми є основними агентами мінералізації органічної частини ґрунту,
визначення загальної кількості мікробної біомаси та оцінка її динаміки є одними
із найважливіших показників екологічного стану ґрунту (Нагорная, 2008).
В активній зоні ґрунту практично у
всіх варіантах досліду виявлено синхронність змін розмірів фракцій ЕХВОР та
ЕГВОР, чого не спостерігалось при аналізі профільних змін вмісту водорозчинних
органічних речовин ґрунту. Це може бути пояснено дією у верхніх шарах ґрунту
специфічного чинника, який бере участь у формуванні фракції ЕГВОР.
Дослідження кількісних і якісних
характеристик ЕГВОР, проведені Leinweber et al. (1995), показали, що ця фракція
ВОР складається переважно з вуглеводнів та нітрогенвмісних компонентів,
переважно у складі аміногруп і амідних груп. Оскільки багато компонентів цих
екстрактів мають здатність випаровуватись при достатньо низьких температурах в
процесі піролізу, автор звертає увагу, що вони знаходились в розчині або були
слабо сорбовані на поверхні ґрунтових частинок чи гумусових макромолекул. Цей
факт пов’язують із деструкцією клітин мікроорганізмів під час екстракції.
Гаряча вода (70°С і вище) вбиває живі клітини мікроорганізмів, екстрагуючи
мікробну біомасу (Haynes, 2005).
З метою уникнення похибок,
пов’язаних із застосування коефіцієнтів перерахунку (в 1 розділі розглянуто
використання фактору Ван-Беммельна для перерахунку Сорг на вміст
гумусу і пов’язані з цим неточності), розміри пулу мікробної біомаси
оцінюватимемо за вмістом Карбону органічних сполук (позначатимемо СМБ
). Варто зауважити, що часто, кількісну оцінку мікробної біомаси в ґрунтах
дають за іншими хімічними елементами, зокрема Нітрогеном, Фосфором і Сульфуром.
В контексті закону екологічного
мінімуму Ю. Лібіха, використання як діагностичного критерію того фактору, що
знаходиться в мінімумі, є цілком виправданим, оскільки дозволяє наблизитись до
оцінки функціонального стану об’єкту. Проте, гетерогенність ґрунтового покриву
і, відповідно, мікробоценозу не дозволяє отримати достовірні співвідношення,
наприклад С:N для окремої екосистеми. Зважаючи на це, найдоцільнішим для
більшості неспеціальних досліджень (об’єктом вивчення яких є не мікробоценоз
ґрунту чи окремі групи ґрунтових організмів), здійснювати оцінку пулу мікробної
біомаси саме за Карбоном органічних сполук.
Для визначення біомаси
мікроорганізмів у ґрунті нами застосовано регідратаційний метод, який базується
на явищі порушення бар’єру проникності клітин внаслідок денатурації
цитоплазматичних мембран (Мунблит и др., 1985; Звягинцев и др., 2005).
Запропонований Благодатским и др. (1987) метод не призводить до руйнування
мертвої органічної речовини, проте вибірково впливає саме на інтактні мікробні
клітини. Варто зазначити, що автори пропонують проводити екстракцію мікробних
клітин розчином сульфату калію, проте наголошують, що “використання води і 0,5
н K2SO4 для приготування витяжки з ґрунту давали подібні
результати. Проте, у першому випадку в деяких ґрунтах спостерігалась пептизація
колоїдів, які не осаджувались навіть при тривалому центрифугуванні суспензії.
Розчин 0,5 н K2SO4 запобігав пептизації і був
універсально застосованим для всіх досліджуваних ґрунтів ” (с. 67). Повторивши
експеримент авторів, нам не вдалось знайти достовірної, на рівні значущості 5%,
різниці між параметрами розподілу значень вмісту СМБ у водних і
сольових витяжках. Як і випадку з екстракцією водорозчинних форм Сорг
було вирішено використовувати в якості екстрагента дистильовану воду, що
дозволяє крім, власне, кількісної оцінки пулу Карбону проводити ряд додаткових
визначень, зокрема електропровідності регідратованих і контрольних зразків.
Як видно з наведених на рис. 5.3
даних, в усіх досліджених ґрунтах виявлено порівняно високий вміст мікробної
біомаси. Серед них найвищі значення цього показника - більше 2,0 мг∙г-1,
виявлено у лісових екосистем. У варіанті ГВВГ він коливається від 3,56 восени
до 3,98 мг∙г-1 влітку, що є абсолютним максимумом у наших
дослідженнях і перевищує аналогічні параметри більшості лісових едафотопів у
понад 1,5 рази. Також, великий розмір пулу мікробної біомаси пояснюється
значною кількістю енергомістких субстратів у досліджуваних ґрунтах і,
відповідно, сприятливими умовами для росту й розвитку ґрунтової мікробіоти.
Рис. 5.3 Динаміка мікробної біомаси
(за Карбоном органічних сполук) в активній зоні ґрунту (2010 рік)
В кінці весни й продовж літа зростає
біотична активність ґрунтів, збільшується приріст та маса коренів, зростає
кількість доступних енергопластичних субстратів (Нагорная, 2008). Це призводить
до збільшення запасів мікробної біомаси влітку, після чого розмір пулу СМБ
поступово зменшується із сповільненням біотичних процесів у ґрунтах через зміну
гідрокліматичних умов.
За даними Бородкина (2010), при
недостатньому надходженні у ґрунт біо- та некромаси, деякі роди бактерій, що
формують автохтонну групу мікроорганізмів, здатні використовувати гумусові
речовини ґрунту як джерело енергії та елементів живлення. Як наслідок -
поступове зменшення темпу розкладу ОЧҐ і вмісту Сорг й стабілізація
процесу при досягненні нових співвідношень між іммобілізацією й мінералізацією
органічних сполук Карбону.
Вивчаючи мінералізацію органічного
вуглецю в ґрунтах екосистем Чорногори, Шпаківська і Марискевич (2002) в ґрунті
смеречини чорницевої простежили залежність між вмістом Сорг і СМБ.
За результатами авторів, максимальний вміст Карбону у складі мікробної біомаси
склав 2530 мкг∙г-1 і був виявлений у ґрунті мертвопокривної
парцели, при чому валовий вміст Карбону органічних сполук зафіксовано на рівні
145 мг∙г-1, дещо нижчі значення - 1910 мкг∙г-1
і 115 мг∙г-1 відповідно - в парцелі чорницевій. На інших,
досліджених ділянках, за вмісту Сорг від 52 до 75 мг∙г-1,
розмір пулу мікробної біомаси змінювався у діапазоні 1070-1770 мкг∙г-1.
В ґрунтах досліджуваних нами
екосистем, на фоні меншого валового вмісту Карбону органічних сполук, виявлено
більші розміри пулу СМБ. Окрім суттєвої різниці в якості органічної
речовини буроземів Чорногірського масиву і дерново-підзолистих ґрунтів басейну
Дністра і відповідно специфіки мікробоценозу цих ґрунтів, суттєвий вплив на
величину чисельних показників мікробної біоти має методологія відбору ґрунтових
зразків.
При аналізі валового вмісту Сорг,
а також пулів ЕХВОР і ЕГВОР нами встановлено, що найбільший вміст і
найінтенсивніші зміни ОЧҐ характерні для верхнього 0-5 см шару ґрунту. У
зв’язку з цим, було наголошено на необхідності застосування нових методичних
підходів до відбору ґрунтових зразків у лісових ґрунтах з метою уникнення
нівелювання особливостей кількісної архітектоніки органопрофілю. Правильність
цього підходу підтверджується застосуванням сучасними дослідниками
мікропрофільних методів, зокрема для оцінки екофізіологічних параметрів
мінералізації ОЧҐ (Vladychenskii et al., 2007).
Варто також зазначити, що суттєвою
особливістю лісового ґрунту є домінування у ньому процесів розкладу рослинних
решток за участі грибів (Борисова, 1988). Ця теза є особливо актуальною в
контексті вивчення едафотопів дібров, адже з дубовим листям у підстилки
потрапляє значна кількість фенольних сполук (танінів), які формують фенольний
трофічний бар’єр. Таніни різко збільшують стійкість рослинних решток до
біодеградації і сприяють накопиченню слаботрансформованої органічної маси в
органічних горизонтах ґрунтів, доки мікробоценозом не синтезується достатня
кількість пероксидази і фенолоксидази, які каталізують полімеризацію фенольних
і ароматичних мономерів у специфічні гумусові речовини (зокрема, гумінові
кислоти) та їхні прекурсори. За даними Haider and
Martin
(1967, 1970) фенолоксидазну активність виявлено у грибному міцелії. На думку
авторів, це пов’язано зі здатністю фенолоксидази переходити в культуральне
середовище при автолізі грибів і каталізувати позаклітинну полімеризацію їхніх
продуктів обміну. Ці дані підтверджують і роботи Борисовой (1988), яка
стверджує, що саме гіфоміцетам належить провідна роль у руйнуванні фенольного
біохімічного бар’єру.
Ще в кроні дерев листя заселяє
специфічна мікрофлора, в якій переважають дріжджоподібні види типу Pullaria
pullulans, що засвоюють переважно пектин, натомість мезоскопічні гриби родів
Mycosphaerella і Venturia розвивають міцелій на листі дерев, а стадію
спороношення проходять вже у межах підстилки (Чернобай, 1991, 2000). Значна
стратиграфічна роль, яку виконують гриби в органічних і органогенних горизонтах
ґрунтів дала підставу розвинути теорію “грибного полісу”, відповідно до якої
саме грибам належить ключова роль в утворенні й забезпеченні функціонування
такого біокосного тіла як ґрунт (Морозов, 2007).
Зі збільшенням гемеробії екосистеми
відбуваються суттєві зміни у структурі й активності мікробної біомаси, зокрема,
у складі грибних популяцій (Кудеяров, 2007). За даними Stahl and
Parkin (1996), в цілинних ґрунтах прерій довжина грибного міцелію складає 239,
а в агроекосистемах на аналогічних ґрунтах - 20 м∙г-1.
.3 Дихання ґрунту
Потік СО2 з поверхні
ґрунту є інтегральним показником біотичної активності ґрунтів і одним із
основних параметрів трансформування органічних речовин в екосистемах.
Мінералізація органічних речовин, що містяться в едафотопі, з одного боку,
забезпечує енергією детритний блок екосистеми, з іншого, - є основним джерелом
діоксиду карбону для фотосинтетиків. При цьому, надходження в ґрунт лабільних
форм ОР у значно більшій мірі лімітує інтенсивність емісії СО2 в
атмосферу, ніж вміст вуглекислого газу в приповерхневих шарах - первинну
продукцію фотосинтезу (Кудеяров и др., 2007).
.3.1 Емісія діоксиду карбону з
поверхні ґрунту
Визначення інтенсивності дихання
ґрунту в польових умовах, особливо встановлення його часової динаміки,
пов’язане або зі значною трудомісткістю або з необхідністю використання
спеціального дорогого обладнання, відсутнього у більшості профільних
лабораторій чи дорогих реактивів (наприклад, натронне вапно). На сьогодні, не
зважаючи на доступність різноманітних систем, що дозволяють оцінити емісію СО2
з поверхні ґрунту за допомогою (одно - і багатоканальних) інфрачервоних
аналізаторів, навіть у таких розвинутих сільськогосподарських країнах, як
Австралія дуже популярними лишаються адсорбційні методи (Keith, Wong, 2006).
Традиційно, для оцінки інтенсивності дихання ґрунту як адсорбент діоксиду
карбону використовують розчини KOH, NaOH, Ba(OH)2, які поміщають у
хімічні склянки чи фарфорові чашки для випарювання й встановлюють на поверхню
ґрунту під камерою. Такий методичний підхід має ряд істотних недоліків.
Насамперед, використовується велика кількість реактивів, що в польових умовах
лімітує кількість повторностей чи варіантів досліду. По-друге, значна активна
поверхня сорбенту призводить до формування ефекту “лужного насосу” й
перевищення (overestimation) істинних показників дихання ґрунту на 25-40%.
Третім суттєвим недоліком є необхідність негайного титрування зразка,
вилученого з камери, що складно зробити у нічний період (в разі визначення добової
динаміки дихання ґрунту).
Для оптимізування процесу визначення
емісії СО2 з поверхні ґрунту нами запропоновано замінити відносно
велику ємність з розчином лугу на мікропробірку класу Eppendorf. Інтенсивність
дихання ґрунту, визначена цим способом, дещо менша, ніж за використання
традиційних підходів і наближається до істинних кількісних параметрів. Проте,
вдається суттєво (у 10-15 разів) зменшити витрату реактивів і уникнути
необхідності негайного проведення титрометричного аналізу, оскільки мікропробірки
герметично закриваються і можуть бути транспортовані продовж 24-48 годин до
лабораторії.
Результати досліджень емісії СО2
з поверхні ґрунту показані на рис. 5.4. Як видно, добова динаміка виділення СО2
з поверхні ґрунту контрольного і дослідних варіантів суттєво відрізняється. Це
стосується, в першу чергу, часової відмінності у максимумах і мінімумах емісії
діоксиду карбону. У ґрунті контрольного варіанту, починаючи з 0 год, виділення
СО2 поступово зменшується від 3,81 до 2,78 г СО2∙м2∙24
год-1 (6 год.), що є добовим мінімумом. З початком світлового дня,
ґрунт прогрівається до 15-17°С і емісія діоксиду карбону поступово
збільшується, досягаючи другого максимуму о 12-й год. (3,91 г СО2∙м2∙24
год-1). Далі - виявлено поступове зменшення інтенсивності дихання ґрунту
до 3,32 (18:00) і збільшення до 4,00 г СО2∙м2∙24
год-1 о 21:00. Цей факт відзначався іншими дослідниками і носить
назву термальної інерції ґрунту (Van de Griend, 1985).
Рис. 5.4 Добова динаміка дихання
ґрунтів (травень 2008 року)
У більшості рослин в нічний період
інтенсифікується дихання, що призводить до виділення в атмосферу СО2,
який внаслідок великої молярної маси поступово опускається до приповерхневих
шарів. Як видно з наведених на рис. 6.2. даних, збільшення емісії діоксиду
карбону у нічний період виявлено у всіх варіантах досліду. Виокремлення власне
СО2, яка виділяється з ґрунту, і вуглекислого газу, що опускається
на поверхню ґрунту, внаслідок процесів дихання в досліджуваній екосистемі, є
доволі проблематичним і пов’язане з рядом труднощів. З огляду на це оцінка
емісії власне ґрунтової емісії діоксиду карбону камерним методом є необхідною
для запровадження коригуючи коефіцієнтів й встановлення величини дихання екосистеми.
У едафотопах екосистем, розладнаних
вирубками різної інтенсивності, о 6 год. встановлені різноамплітудні відхилення
у величині емісії СО2 від добового патерну, виявленого у контролі:
досягнення максимумів (4,20 г СО2∙м2∙24 год-1)
у варіанті РПВГ і в едафотопі після суцільної вирубки другого ярусу (3,81 г СО2∙м2∙24
год-1). Також звертає увагу зменшення інтенсивності емісії
вуглекислого газу у дослідних варіантах продовж першої половини світлового дня,
що свідчить, як про зміни кількісного і якісного співвідношень функціональних
груп мікроорганізмів на частково знеліснених територіях, так і про глибоке
перетворення структури ЛОР, пов’язано зі зміною освітленості окремих парцел
досліджуваних екосистем (Бедерничек и др., 2010).
У ґрунтах агроценозів характер
добової динаміки емісії СО2 цілком відмінний від лісових екосистем.
Максимуми дихальної активності у ґрунтах сінокосу та ріллі (4,88 та 4,20 г СО2∙м2∙24
год-1 відповідно) зафіксовано опівдні. При цьому, на сінокосі, із
заходом сонця, інтенсивність дихання поступово зменшується, а на ріллі -
збільшується, досягаючи другого максимуму (4,20 г СО2∙м2∙24
год-1) о 21:00.
.3.2 Базальне дихання
Комплексна оцінка ґрунтової емісії
СО2 передбачає встановлення величин як фонового (базального) дихання
(БД) досліджуваних ґрунтів, так і потенційного (стимульованого або
індукованого). Варто зазначити, що базальне дихання, визначене в інкубаційному
експерименті можна вважати одним із різновидів індукованого дихання.
Підтримання постійної, по замовчуванню вищої, ніж у природних умовах
температури (зазвичай 22 ºС)
й гомогенізація ґрунтових зразків призводять до значно вищих величин БД, ніж
визначені у природних умовах (Moyano et al., 2007). Тому, лише визначення
дихальної активності in situ, з урахування природної гетерогенності ґрунту і
стратифікації ґрунтового профілю дозволяє отримати об’єктивні дані про величину
потоку СО2 (Luo, Zhou, 2006).
Відповідно до методики дослідження,
яка передбачає 24-годинне інкубування зразків, створюються оптимальні умови для
росту й розвитку мікроорганізмів багатьох функціональних груп через зміну
режимів вологості, температури й освітленості (Parkin et al., 1996). Тому, за
таких умов навіть без додавання до зразків інокуляту чи поживних речовин,
величина дихання ґрунту буде відрізнятись від визначеної in situ. Як наслідок,
інтенсивність базального дихання (особливо нижніх горизонтів, повітрообмін яких
з атмосферою є утрудненим) відображає не лише активність ґрунтової мікробіоти,
а й дозволяє оцінити якість органічної частини ґрунту як поживного субстрату,
що вичерпується (окиснюється) в процесі метаболізму.
З наведених на рис. 5.5 даних видно,
що як у верхньому 0-10 см шарі ґрунту, так і за профілем у контрольному й
дослідних варіантах виявлено суттєві відмінності у величинах дихальної активності.
Насамперед, зазначимо, що у всіх досліджуваних екосистемах встановлено
достатньо високу інтенсивність дихання ґрунту: від 3,38 після суцільної вирубки
граба до 4,74 в Натомість, за даними Шпаківської (2008), залежно від типу
землекористування, інтенсивність базального дихання ґрунту (шар 0-10 см)
коливається у достатньо широких межах: від 0,2 мкг С-СО2∙г-1∙год-1
на ріллі (просапні культури) до 4,5-4,9 мкг С-СО2∙г-1∙год-1
в межах пасовищ і сіножатей і сягає 10,1 мкг С-СО2∙г-1∙год-1
в ґрунті культур смереки. Отримані нами дані також відображають значну
залежність базального дихання від типу землекористування, при чому як у
верхньому 0-10 см шарі ґрунту, так і за профілем загалом. Порівнюючи
інтенсивність базального дихання у 0-10 см верстві ґрунту й розмір пулу ЛОР,
визначеного шляхом перманганатного окиснення, видно значну схожість у зміні цих
параметрів залежно від інтенсивності антропогенного навантаження.
Рис. 5.5 Зміни інтенсивності
базального дихання у профілі ґрунту за різних антропогенних впливів (травень
2008 року)
У варіанті РПВГ збільшення
інтенсивності дихання, порівняно з контролем, на 18,6%, а у ГВВГ - на 19,1%
відбувається на фоні збільшення вмісту ЛОР у варіантах РПВГ і ГВВГ на 26,30 і
21, 86% відповідно. У ґрунті під деревостаном, розладнаним суцільною вирубкою
граба, вміст ЛОР зменшується, порівняно із контролем майже на 50%, що
супроводжується зменшенням інтенсивності базального дихання на 28,7%. контролі
і 5,86 мкг С-СО2∙г-1∙год-1 у
варіанті СВГ (шар 0-10 см). За результатами досліджень Nourbakhsh (2006),
дихальна активність ґрунту після вирубки дубового лісу (Quercus brantii)
зменшується від 1,96 до 1,04 мкг С-СО2∙г-1∙год-1,
що в кілька разів менше, ніж отримані нами результати.
У ґрунтах сільськогосподарських
екосистем згадані закономірності виражені не так чітко. Якщо на ріллі зменшення
інтенсивності дихання корелює зі зменшенням розміру ЛОР органічних сполук, то у
варіанті С емісія СО2 з верхнього 0-10 см шару в інкубаційному
експерименті була дещо вищою, ніж у контролі. При цьому, вміст ЛОР в едафотопі
сінокосу майже на 45% нижчий, ніж у ґрунті старовікового непорушеного
деревостану.
Відсутність залежності між змінами
досліджуваних параметрів у на сінокосі пов’язана, ймовірно, зі значним відносним
вмістом ЛОР (до 10%) у складі Сорг цього едафотопу, ніж в інших
досліджених екосистемах. Отже, розмір ЛОР органічних сполук у ґрунті сінокосу
не є лімітуючим чинником для ґрунтової екосистеми. Тому, ріст і розвиток
мікрофлори у цьому варіанті досліду залежить у більшій мірі не від кількості
цього лабільного субстрату, а від фізико-хімічних умов середовища.
Як вже згадувалось, визначена у
лабораторних умовах інтенсивність дихання ґрунту залежить у значній мірі від
енергопластичного забезпечення ґрунту. В свою чергу доступність субстрату
лімітується великим комплексом екологічних чинників, серед яких провідна роль
належить температурі та вологості (Charles et al., 2009). В лісових екосистемах
вагомий вплив також має фактор освітленості, оскільки прямо - сприяє росту й
розвитку фотосинтетиків й опосередковано - впливає на гідротермічний режим, в
тому числі на мікрокліматичному рівні. З іншого боку - об’єктивна оцінка
величини емісії діоксиду карбону з поверхні ґрунту суттєво залежить від
застосованого методичного підходу.
.3.3 Термоіндуковане дихання
Температура є одним із визначальних
факторів, що впливають на дихальну активність ґрунту й регулюють інтенсивність
процесів деструкції (абіотичної й біотичної) його органічної частини (Rustad et
al., 2000). Сильний позитивний кореляційний зв’язок між інтенсивністю дихання
ґрунту та температурою середовища виявлено як у лабораторних експериментах
(Шпаківська, 2008, 2009) так і в польових умовах, при чому ця закономірність
зберігається на локальному (Lloyd, Taylor, 1994), регіональному (Курганова,
Кудеяров, 1998) і глобальному (Rustad et. al, 2002) рівнях.
Встановлено також, що залежність
інтенсивності емісії діоксиду карбону з ґрунту від температури є експоненційною
(Luo, Zhou, 2006 ). Щоправда, ця закономірність виявлено у достатньо вузькому
діапазоні температур - від 5-10 до 35-40°С.
Охолодження ґрунту нижче 5°С
призводить до збільшення густини води й сповільнення процесів метаболізму в
біологічних системах. Також зі зменшенням температури збільшується розчинність
у воді СО2. Ці особливості призводять до пригнічення едафону, тому,
за цих умов, емісія СО2 з ґрунту представлена, головно,
мінералізаційним потоком. Натомість температури вищі 35°С є також
несприятливими для більшості ґрунтових організмів помірного кліматичного поясу,
а тривалий вплив температури вищої за 40°С призводить до незворотних змін у
біосистемах, внаслідок денатурації білкових компонентів.
В наших дослідженнях проведено
оцінку емісії СО2 ґрунтом за двох температур - 15, 25, вибір яких є
невипадковим. Перша відповідає середньо літній температурі ґрунту в межах
території досліджень, а вибір другої - пов’язаний із імітацією впливу
глобального потепління на стан ґрунтової екосистеми, оскільки, відповідно до
розрахунків IPCC (IPCC, 2007), саме до таких значень зросте температура
поверхні ґрунту в середніх широтах через 100 років за збереження сучасного
тренду. Натомість інкубування зразків при 35°С довзолило оцінити зміну
інтенсивності емісії діоксиду карбону з ґрунту в умовах імітації екстремально
високих температур (рис. 5.6).
Рис. 5.6 Зміни інтенсивності емісії
СО2 з ґрунту при підвищенні температури від 15 до 25°С (травень 2009
року)
Як видно з наведених даних,
інтенсивність емісії СО2 з ґрунту контрольного й дослідних варіантів
суттєво відрізняється. Досліджувані ґрунти не однаково прореагували на
підвищення температури. Так, у контрольному варіанті, продовж шестигодинного
інкубаційного експерименту інтенсивність емісії СО2 з ґрунту зросла
на 43% внаслідок підвищення температури з 15 до 25 ºС.
У варіантах ГВВГ, С та Р цей показник склав відповідно 11, 14 і 25% відповідно.
Представляє інтерес, що в ґрунтах лісових екосистем, розладнаних
рівномірно-поступовим та суцільним рубаням другого ярусу спостерігається зворотна
закономірність - зі збільшенням температури інтенсивність дихання ґрунту
зменшилась на 4 та 27% відповідно.
На підставі отриманих результатів
запропоновано ввести поняття “термочутливість
ґрунту”,
що характеризує залежність темпів деструкції органічної частини ґрунту від
впливу температурного фактору. На рис. 5.6 видно, що серед розглянутих
варіантів, найвища термочутливість властива едафотопу старовікового
дубово-грабового лісу. Вона різко зменшується на зрубах і досягає від’ємних
значень у ґрунтах варіантів РПВГ і СВГ. Цей факт має важливе значення з огляду
на перспективу подальших досліджень впливу знеліснення на стан ґрунтового
резервуару Карбону в контексті глобальних кліматичних змін.
За Садиковым і Зуєвою (1982),
температури, при яких спостерігаються найвищі показники дихального газообміну,
називають оптимальними і цей підхід достатньо широко використовується сучасними
дослідниками (Шпаківська, 2008). На наш погляд це твердження є не зовсім
коректним і потребує перегляду, оскільки, зростання емісії СО2
ґрунтом за підвищення температури пов’язано з переходом системи з
енергоекономного режиму в енергозатратний. Відповідно до результатів досліджень
засновника квантової хімії Е. Шрьодінгера (1962), розвинутих Гладишевим (1996)
всі біологічні й біокосні системи здатні значно ефективніше використовувати
наявні речовинні й енергетичні ресурси, ніж неживі, тобто є більш
енергоекономними. В цьому контексті зрозумілим є твердження И.Ю. Винокурова,
який казав, що чим економніший режим використання ресурсів ґрунтовою
екосистемою, тим “досконалішою, стійкішою, тобто здатною до продукування й
відтворення органічної речовини” вона є (Винокуров, 2007, с. 144).
Короткотривалий експеримент, в ході
якого вивчалась емісія СО2 з ґрунту (рис. 5.7) дозволив виявити, в
першу чергу, якісні особливості органічної частини ґрунту, адже протягом
шестигодинного інкубування головним лімітуючим фактором для росту й розвитку
мікроорганізмів є наявність доступного субстрату. Проте, це твердження
справедливе лише для певного діапазону температур, які забезпечують оптимальні
умови для росту і розвитку мікроорганізмів. Як видно з рис. 5.7, підвищення
температури ґрунту до 35ºС
не призвело до інтенсифікації емісії СО2 з ґрунту.
Рис. 5.7. Зміни інтенсивності емісії
СО2 з ґрунту при підвищенні температури від 15 до 35°С (травень 2009
року)
Більше того, як в контрольному
варіанті, який не зазнавав антропогенних впливів, так і на зрубі інтенсивність
накопичення діоксиду карбону в реакторі відбувалось з практично однаковою
швидкістю. Оскільки, як було показано раніше, кількісний та якісний склад
мікробіоти ґрунту на цих дослідних ділянках суттєво відрізняється, така
подібність кривих може бути спричинена лише іншими, небіологічними процесами.
Найімовірніше, у досліджуваних ґрунтах за температури 35°С зменшується біотична
активність і у загальній кількості діоксиду карбону, що надходить з ґрунту до
атмосфери зменшується частка гетеротрофного дихання і зростає -
мінералізаційного потоку СО2.
Іншим важливим фактом, який звертає
увагу є висока (найвища серед усіх дослідних варіантів) емісія діоксиду карбону
у ґрунті варіанту СВГ при температурі 15°С (рис.5.6, рис.5.7). Це може бути пов’язано
зі зміною складу мікробоценозу. Так, за даними С.
Копія та ін. (2010), які вивчали вплив проведення рубань різної інтенсивності
на динаміку мікологічної структуру ґрунту (шар 0-10 см) у варіантах досліду, де
закладені наші опорні розрізи, проведення лісогосподарських заходів докорінно
змінило структуру грибного ценозу. Якщо в ґрунті контролю вдалось виявити
значну екологічну різноманітність видів міксоміцетів-симбіонтів і
мікоризоутворювачів, то на ділянках, що зазнали рубань різної інтенсивності,
мікоризоутворювачі відсутні. Автори констатують, що на вирубках істотно
зменшується кількість автохтонних представників мікофлори, навзамін яким
приходять види-антагоністи мікоризоутворювачів, що суттєво погіршує ґрунтові
умови, при чому “ з кожним наступним роком у ґрунті незалісненої лісосіки
видовий склад мікофлори збіднюється і умови для успішного відновлення корінного
лісостану будуть погіршуватись”.
Зменшення емісії СО2 з
ґрунту знеліснених екосистем у разі підвищення температури середовища, що
особливо актуально у разі глобального потепління клімату, підтверджує існування
певних компенсаторних механізмів, які можуть забезпечувати гомеостазис біосфери
за нових умов її функціонування.
Температурний коефіцієнт Q10
Для детальнішої характеристики
впливу температури на емісію СО2 з ґрунту нами використано
коефіцієнт Q10, розрахований за рівнянням Арреніуса.
Встановлено, що у досліджуваних
ґрунтах стабілізування інтенсивності дихання відбувалось на 5-6 год після
початку інкубування (рис. 5.8).
Коефіцієнт Q10,
розрахований для цього періоду інкубування, є інтегральним параметром оцінки
якості органічної речовини ґрунту й характеризує стаціонарний стан
досліджуваної термодинамічної системи. Так, у контролі значення Q10
склало 2,34, на вирубках - 4,82, 1,56 та 3,05 у варіантах РПВГ, ГВВГ і СВГ
відповідно. В ґрунтах агроекосистем значення цього показника склали відповідно
1,94 на ріллі й 1,53 на сінокосі. Ці величини узгоджуються з літературними
даними, за якими середня величина Q10, при підвищенні температур до
20-25°С, складає 2,4 (Raich, Shlesinger, 1995). Подібні результати було
отримано й І. Шпаківською (2009).
Рис. 5.8 Зміни температурного
коефіцієнту Q10 за різних рівнів антропопресії при підвищенні
температури від 15 до 25°С (травень 2009 року)
Визначення впливу температурного
фактору на емісію СО2 з ґрунту у динаміці дозволо оцінити кінетику
окиснення енерговмісних субстратів й, відповідно, якість органічної речовини.
На рис. 5.8 наведено динаміку температурного коефіцієнту Q10,
визначену у шестигодинному інкубаційному експерименті. Як видно з графіків,
кінетики окиснення лабільного пулу органічної речовини ґрунту в контрольному й
дослідних варіантах суттєво відрізняються.
У контрольному варіанті протягом
першої години інкубування не виявлено збільшення температурного коефіцієнту,
але вже зі 130 хв. розпочинаються високоамплітудні зміни величини Q10
з максимумом від 150 до 270 хв. Натомість, в ґрунтах лісових екосистем,
розладнаних рубаннями різної інтенсивності, характер змін температурного
коефіцієнту суттєво змінився.Так, у варіанті ГВВГ Q10 суттєво
збільшується вже через 30 хв. інкубування, а після 140 хв. виявлено поступова
стабілізація значень цього показника. На сінокосі динаміка Q10, в
цілому, відповідає виявленим у варіанті ГВВГ закономірностям: значення
коефіцієнту зростають на початку експерименту й вже на 120-150 хв. досягають
плато. На ріллі характер змін величини Q10 цілком відмінний: вже на
30 хв. досліду виникають високоамплітудні зміни, які різко інтенсифікуються на
150-180 хвилину й тривають до 280 хв.
Виявлені особливості кінетики температурного
коефіцієнту Q10 свідчать про значні відмінності у якісному складі
органічної частини досліджуваних ґрунтів. З огляду на це, наявні осциляції
коефіцієнту Q10 пов’язані з вичерпуванням енергопластичних
субстратів, що характеризуються різними рівнями енергії активації.
Варто також зазначити, що процес
мінералізації органічної частини ґрунту є багатоступеневим й тривалим у часі.
Оцінка параметрів цього процесу за продуктами розкладу (СО2, HCO3-,
NO3- тощо) пов’язана з певними труднощами. Як зазначає Винокуров
(2007), вивчення кінетики нітрифікації - одного з головних мінералізаційних
процесів, є можливим лише на початковому етапі, до часу досягнення системою
першого глобального максимуму нітрифікації. Подібне твердження є справедливим й
у випадку оцінки інтенсивності мінералізації ОЧҐ за величиною емісії СО2 ґрунтом.
Після досягнення системою глобального максимуму (точка біфуркації), виникнення
стохастичних осциляції унеможливлює застосування для аналізу цього процесу
логістичних моделей та передбачає застосування методів нелінійної
термодинаміки.
.4 Накопичення продуктів
мінералізації у ґрунті
Зміни вмісту лабільних фракцій
органічної частини ґрунту, як найдоступнішого до мінералізації органічного
субстрату, можуть бути пов’язані з накопиченням в місцях посиленого розкладу
органічних сполук відповідних продуктів мінералізації. Розробка цього питання є
важливим моментом в оцінці інтенсивності катаболізму органічної частини ґрунту,
міграції його продуктів за профілем й диференціальної діагностики стану рівноваги
процесів мінералізації - іммобілізації у ґрунтовому середовищі.
Оскільки значна кількість продуктів
мінералізації органічної частини ґрунту, перебуває у йонній формі (NO3-,
NH4+, HCO3-, HPO42-,
H2PO4- тощо), стає можливим оцінити
накопичення продуктів мінералізації у цьому біокосному тілі, використовуючи
метод прямої кондуктометрії. Щоб встановити саме йонну активність ґрунтів, що,
як це було встановлено вище, суттєво відрізняються як за польовою, так і за
гігроскопічною вологістю, визначення питомої електропровідності проводили у
водно-ґрунтових суспензіях (Бедернічек та ін.., 2009).
Як видно з табл. 5.1, питома
електропровідність водних суспензій ґрунту внаслідок лісогосподарських заходів
зменшується і залежить від інтенсивності рубань. Особливо це проявляється у
ґрунті верстви 0-5 см, де внаслідок РПВГ електропровідність зменшилася на 9%,
ГВВГ - 40% і СВГ - 43% до контролю. В активній зоні ґрунтів сінокосу та ріллі
величина електропровідності водно-ґрунтових суспензій (ЕВҐС) склала відповідно
27±4,5 та 34±3,5 мкСм∙cм -1, що в 2,7 та 2,2 рази менше, ніж у
контрольному варіанті. Ця тенденція зберігається до глибини 15 см, з якої
відбуваються різнонапрямлені зміни цього показника, залежно від варіанту
досліду.
Таблиця
5.1
Профільні зміни питомої електропровідності
водно-ґрунтових суспензій за різної інтенсивності антропопресії, мкСм⋅см-1
(жовтень 2008 року)
|
d, см
|
ЕВҐС, мкСм∙cм -1
|
|
К
|
РПВГ
|
ГВВГ
|
СВГ
|
С
|
Р
|
|
0-5
|
75±7,5
|
68±5,5
|
45±3,5
|
43±4,0
|
27±4,5
|
34±3,5
|
|
5-10
|
40±3,0
|
39±3,0
|
34±1,0
|
27±1,5
|
26±4,0
|
30±3,5
|
|
10-15
|
42±1,5
|
32,5±2,0
|
32±4,0
|
30±1,5
|
15,8±2,5
|
29±4,0
|
|
15-20
|
27±3,5
|
34,5±3,5
|
31,5±1,5
|
42±5,5
|
18,8±1,5
|
27±2,5
|
|
20-25
|
37±0,5
|
33±1,0
|
29±0,5
|
36,5±2,0
|
17,6±3,0
|
25±3,0
|
|
25-30
|
34±2,0
|
36,5±1,0
|
25,5±0,5
|
34,5±5,5
|
21±1,5
|
26±1,5
|
|
30-35
|
35±4,5
|
32±2,5
|
33±5,0
|
39±2,5
|
36±5,0
|
30±3,0
|
|
35-40
|
27±0,5
|
55±4,5
|
29±2,5
|
35±1,5
|
28±2,5
|
31±4,5
|
|
40-45
|
45±5,0
|
46±5,5
|
29±2,0
|
35,5±1,5
|
26±2,0
|
28±1,5
|
|
45-50
|
34±2,5
|
33±1,0
|
36±3,5
|
38±3,0
|
25±2,5
|
27±2,0
|
За З. Гамкалом (2007), у ґрунтах
агроценозів (старосіяних травостанів і польових сівозмін) простежується прямий
зв'язок між змінами електропровідності і вмістом лабільного пулу органічної
частини ґрунту. В наших дослідженнях виявлено подібні закономірності: значення
ЕВҐС змінюються подібно до вмісту Карбону в досліджених лабільних фракціях.
Натомість, едафотопам клімаксових
екосистем властива динамічна рівновага між кількістю водорозчинних органічних
речовин (найдоступнішого субстрату для мінералізації) і, власне, кількістю
продуктів мінералізації, які знаходяться у йонній формі і зумовлюють електропровідність
водного середовища.
Суттєве зменшення значення ЕВҐС зі
збільшенням рівня антропогенного навантаження на ґрунт свідчить про
розбалансованість процесів анаболізму і катаболізму органічних речовин у
порушеній рубаннями лісовій системі, внаслідок чого в одній частині едафотопу
відбувається посилення мінералізаційних процесів, збільшується кількість
продуктів мінералізації у йонній формі і електропровідність водних суспензій
ґрунту, а в іншій частині - послаблення процесів мінералізації і накопичення водорозчинних
органічних речовин. Ймовірно, що першопричиною такої гетерогенності ґрунтового
середовища щодо рівня катаболізму органічних речовин є суттєві зміни
просторової структури мікробоценозу, внаслідок порушення цілісності
симбіотрофного комплексу ґрунт-рослина і зменшення надходження у ґрунт
лабільних органічних сполук, як у процесі їхньої ексудації кореневою системою
дерева, так і трансформування лісової підстилки.
На йонний статус едафотопу може
впливати й те, що живлення деревних рослин відбувається, головно, внаслідок
еквівалентного обміну йонів Гідрогену на катіони поживних речовин, а травам,
натомість, властивий аніонний, або змішаний (катіонно-аніонний) тип живлення,
за якого крім H+, рослини виділяють у ґрунтовий розчин еквівалентні
кількості HCO3- (Гамкало, 2007). Тому, для детальнішої
оцінки змін вмісту продуктів мінералізації було проведено потенціометричне
визначення вмісту гідроген- та нітрат-іонів (таб. 5.2, таб. 5.3).
Як видно з наведених даних,
концентрація йонів Гідрогену у досліджуваних ґрунтах суттєво змінюється як за
профілем, так і за варіантами досліду. Найбільша кислотність властива едафотопу
контрольного варіанту і зменшується зі збільшенням рівня антропогенного
навантаження на екосистему. В активній зоні ґрунту у варіантах С та Р
концентрація Н+ майже в 25 разів нижча, ніж в контролі.
Таблиця
5.2
Профільні зміни вмісту Н+
у ґрунтах за різної інтенсивності антропопресії, мкмоль⋅л-1
(жовтень 2008 року)
|
d, см
|
∆ Н+, мкмоль⋅л-1
|
|
К
|
РПВГ
|
ГВВГ
|
СВГ
|
С
|
Р
|
|
0-5
|
49,0±7,1
|
20,0±3,5
|
20,4±4,6
|
15,9±1,5
|
1,95±0,28
|
2,15±0,35
|
|
5-10
|
44,7±5,2
|
29,5±8,0
|
25,1±5,7
|
18,6±2,8
|
2,51±0,36
|
2,80±0,26
|
|
10-15
|
39,8±5,4
|
21,4±3,4
|
19,5±3,1
|
28,2±6,7
|
1,91±0,20
|
2,54±0,43
|
|
15-20
|
33,9±1,8
|
25,1±6,1
|
13,5±0,5
|
17,8±4,7
|
2,24±0,41
|
2,40±0,35
|
|
20-25
|
25,7±4,4
|
15,5±2,3
|
11,0±2,3
|
15,5±2,8
|
1,58±0,16
|
2,30±0,32
|
|
25-30
|
24,6±3,7
|
15,1±2,1
|
12,0±3,8
|
17,8±4,4
|
1,41±0,19
|
2,00±0,70
|
|
30-35
|
21,4±5,1
|
17,4±4,4
|
15,1±5,6
|
14,1±2,3
|
1,32±0,08
|
1,85±0,23
|
|
35-40
|
15,9±2,0
|
17,8±3,6
|
13,2±2,4
|
11,5±3,4
|
1,17±0,22
|
1,55±0,41
|
|
40-45
|
11,2±0,8
|
11,2±1,4
|
11,8±2,2
|
7,1±3,0
|
1,48±0,20
|
1,65±0,17
|
|
45-50
|
12,0±1,6
|
9,1±1,6
|
7,9±1,8
|
10,5±2,5
|
1,20±0,14
|
1,50±0,32
|
Виявлені кількісні відмінності у
концентрації йонів Гідрогену дали підстави для проведення рангового
кореляційного аналізу Спірмена, в ході якого перевіряли гіпотезу про те, що
концентрація протонів впливає на величину ЕВҐС. У верствах 0-5 і 5-10 см
встановлено достовірний сильний кореляційний зв’язок
(ρ=0,94;
Р=0,005) між досліджуваними параметрами і дещо слабший (ρ=0,83,
Р=0,041) у верстві 10-15 см. Нижче за профілем не встановлено достовірної
залежності змін величини ЕВҐС від концентрації Н+. Зазначимо, що в
усіх варіантах досліду концентрація йонів Гідрогену є не достатньо високою щоб
забезпечити ЕВҐС на рівні до 75 мкСм⋅см-1.
Також, той факт, що згадані залежності встановлені лише у приповерхневому,
рясно пронизаному коренями рослин шарі ґрунту може свідчити про накопичення у
ньому продуктів мінералізації органічних сполук, йони яких
еквівалентно обмінюються на йони Н+ в процесі корененового
живлення рослин (Бедернічек та ін., 2009).
За цих умов, значна кількість йонів
може контактно поглинатися коренями рослин. Цей механізм пов’язаний із
функціонуванням грунтово-вбирного комплексу - складної дисперсної колоїдної
системи, утвореної з мінеральних (алюмосилікатних), органічних (специфічних і
неспецифічних) й органомінеральних комплексів. Більшість ґрунтових колоїдів є
негативно зарядженими, тому сорбують на своїх поверхні катіони, проте в окремих
випадках можливий і протилежний варіант - позитивно заряджені колоїди з сорбованими
на поверхні аніонами (Котова, Девятова, 2007). При цьому, умови функціонування
грунтово-вбирного комплексу в ґрунтах лісових та аграрних екосистем суттєво
відрізняються. Позбавлений лісової підстилки чи дернини верхній шар ґрунту під
впливом ударів дощових крапель втрачає пористість і замулюється, що додатково
погіршує його якість (Ремезов, Погребняк, 1965).
Оскільки, концентрація йонів
Гідрогену стехіометрично пов’язана із концентрацією аніонів, проведено аналіз
вмісту у досліджуваних зразках NO3-. Вважається, що в
едафотопах лісових екосистем практично відсутні нітратні форми Нітрогену
(особливо під час вегетації) і з’являються лише в зимовий період (Программа и
методика, 1974). Це пов’язано з явищем N-насичення: процес нітрифікації
(утворення NO3- мікроорганізмами) й винесення нітратів
починають інтенсивно розвиватись лише після того, коли потреби у Нітрогені
продуцентів і редуцентів є, в цілому, задоволеними. За цих умов, додаткове
надходження Нітрогену в N-насичену систему призводить до утворення значної
кількості нітратів, що дозволяє індикувати зростання ролі рослин з коротким
життєвим циклом (трави) в екосистемному біотичному колообігу. З іншого боку, за
кислотності ґрунту pH<4,0, практично припиняється процес автотрофної
(бактеріальної) нітрифікації.
Як видно із наведених даних, у всіх
варіантах, прослідковується тенденція до зменшення вмісту гідроген- і
нітрат-йонів з глибиною. Звертає увагу накопичення нітратів в ґрунтах
агроекосистем. Зростання ролі дернового процесу ґрунтоутворення у цьому варіанті
досліду опосередковано свідчить про стратифікацією профілю йонної активності
відповідно до розподілу NO3-. Водночас, як бачимо це на
прикладі варіанту РПВГ, зміни вмісту досліджуваних йонів (наприклад, зменшення
концентрації Н+ від 29,5 до 21,4 мкмоль∙л-1 у
верствах 5-10 і 10-15 см) не призводять до зміни величини ЕВҐС.
В цілому, вміст NO3-
у досліджуваних едафотопах виявився дуже низьким і навряд чи може чинити
суттєвий вплив на величину ЕВҐС. Це дає підстави припустити, що певна роль у
забезпеченні електропровідності ґрунтових суспензій цих варіантів ґрунту може
належати ґрунтовим колоїдам.
Таблиця
5.3
Профільні зміни вмісту NO3-
у ґрунтах за різної інтенсивності антропопресії, мкмоль⋅л-1
(жовтень 2008 року)
|
d, см
|
∆ NO3-, мкмоль⋅л-1
|
|
К
|
РПВГ
|
ГВВГ
|
СВГ
|
С
|
Р
|
|
0-5
|
17,0±0,8
|
17,0±0,5
|
21,0±3,2
|
24,0±5,8
|
44,67±4,41
|
34,23±5,20
|
|
5-10
|
14,5±1,8
|
17,8±0,9
|
18,2±1,5
|
23,99±2,08
|
15,80±3,70
|
|
10-15
|
14,5±2,5
|
18,2±0,8
|
18,2±2,6
|
14,5±2,7
|
22,91±3,01
|
24,54±4,35
|
|
15-20
|
11,5±1,5
|
17,0±1,4
|
17,0±1,1
|
15,1±4,2
|
26,30±2,05
|
24,40±4,08
|
|
20-25
|
11,2±3,1
|
16,2±1,9
|
12,3±0,6
|
12,6±3,1
|
26,92±2,08
|
28,40±3,91
|
|
25-30
|
11,0±1,4
|
15,1±1,1
|
13,2±1,5
|
11,2±0,8
|
34,67±2,50
|
30,55±4,75
|
|
30-35
|
10,2±1,8
|
14,1±3,2
|
10,5±1,9
|
10,7±2,4
|
33,11±3,15
|
37,43±5,29
|
|
35-40
|
10,0±3,1
|
14,5±4,6
|
10,0±1,2
|
13,2±4,5
|
33,88±3,40
|
36,15±5,14
|
|
40-45
|
10,2±1,2
|
12,9±1,1
|
11,0±0.9
|
14,1±1,7
|
35,48±3,05
|
40,10±6,05
|
|
45-50
|
10,5±0,8
|
12,6±0,4
|
15,1±1,4
|
15,9±1,8
|
34,67±3,60
|
40,30±5,98
|
Відомо, що в перші роки після
проведення рубань різної інтенсивності виявлено перерозподіл колоїдних
органічних речовин у ґрунті, зокрема зменшення їхнього вмісту в органогенних
горизонтах. Ці втрати забезпечують ефект “високого потенціалу мінералізації” в
цілинних ґрунтах (Smith, Young, 1975). Без сумніву, що ці результати досліджень
вимагають глибшого їх теоретичного аналізу як і ширшої експериментальної бази.
Лісогосподарські заходи різної
інтенсивності змінили характер добової динаміки дихальної активності ґрунтів
досліджуваних екосистем. Для їхньої активної зони у варіантах РПВГ і ГВВГ
характерний тісний зв’язок між змінами інтенсивності емісії СО2 й
величинами ЛОР (r=0,83; P<0,05): збільшення вмісту ЛОР на 21-26%
супроводжується інтенсифікацією базального дихання на 18-19%.
Найвищий вміст Карбону у складі
мікробної біомаси (3,9 мг⋅г-1)
зафіксовано у ґрунті лісової екосистеми, після групово-вибіркового рубання
другого ярусу, що майже в півтора рази більше, ніж в решті досліджуваних
варіантів лісових ґрунтів і майже втричі, ніж в ґрунтах агроекосистем.
Поряд з кількісно-якісними змінами
лабільного пулу Сорг, як джерела мінералізаційних процесів,
знеліснення вплинуло на характер добової динаміки емісії СО2 з
поверхні ґрунту: змінились як періоди максимальної дихальної активності, так і
швидкість надходження діоксиду карбону в атмосферу в цілому. На фоні зменшення
розміру лабільного пулу органічної частини ґрунту, інтенсивність дихання ґрунту
зменшилась із 3,48 у контролі до 2,97 та 3,05 г СО2·м2·24
год-1 в ґрунтах лісових екосистем після групово-вибіркового та
суцільного рубань другого ярусу відповідно.
Зменшення виділення СО2 з
поверхні ґрунту, внаслідок часткового знеліснення, є реакцією на дефіцит
лабільних форм С орг в едафотопі, зумовлеий елімінацією
дерев-субедифікаторів і надходженням до ґрунту свіжих органічних продуктів
фотосинтезу. Такий характер змін дихальної функції ґрунтів антропогенно
змінених лісових екосистем свідчить про можливість існування компенсаторних
механізмів по підтриманню балансу Карбону у системі ґрунт-рослина-атмосфера,
які у разі послаблення процесів автотрофного фіксування СО2
(наприклад при знеліснення), зменшують надходження його в атмосферу з ґрунтових
резервів.
У модельних експериментах також
встановлені особливості змін термотолерантності (Q10)
біомінералізаційної системи едафотопів лісових екосистем різного ступеня
знеліснення: якщо у контролі, внаслідок підвищення температури з 15 до 25 ºС,
інтенсивність емісії СО2 з ґрунту зросла впродовж шестигодинного
його інкубування на 43%, то у ґрунтах лісових екосистем, розладнаних
рівномірно-поступовим та суцільним рубаннями другого ярусу спостерігалося
зворотне - зі збільшенням температури інтенсивність дихання ґрунту зменшилась
на 4 та 27% відповідно. Зменшення емісії СО2 з ґрунту знеліснених
екосистем у разі підвищення температури середовища, що особливо актуально у
разі глобального потепління клімату, підтверджує існування певних
компенсаторних механізмів, які можуть забезпечувати гомеостазис біосфери за
нових умов її функціонування.
Виявлені особливості кінетики
температурного коефіцієнту Q10 вказують на значні відмінності у
якісному складі органічної частини досліджуваних едафотопів. З огляду на це,
наявні осциляції коефіцієнту Q10 пов’язані з вичерпуванням
енергопластичних субстратів, що характеризуються різними рівнями енергії
активації.
РОЗДІЛ 6. АНТРОПОГЕННІ ЗМІНИ ЯКОСТІ
ТА ЕКОПРОТЕКТОРНОЇ ЗДАТНОСТІ ОРГАНІЧНОЇ ЧАСТИНИ ҐРУНТУ
Неможливість встановлення істинної
хімічної структури органічних (зокрема, гумусових) речовин, що утворюють
ґрунтовий резервуар Карбону значно утруднює їх аналіз і вимагає розробки та
впровадження нових критеріїв оцінки, зокрема оптичних параметрів якості
органічної частини ґрунту, що визначають як співвідношення оптичної щільності
(чи молярної екстинкції) за різних довжин хвиль у видимій і ультрафіолетовій
частинах спектру (Helms et al., 2008). Для їхньої екстракції застосовують
широкий спектр неорганічних і органічних розчинників, серед яких NaOH, Na2CO3,
Na4P2O7, NaF, ЕДТА, ацетилацетон, ДМФА, ДМСО
тощо, кожен із яких здатен вибірково вилучати певні компоненти зі структури
гумусових макромолекул (Stevenson, 1982).
Порівняння кількісних параметрів Сорг
гумусових сполук, визначених у різних розчинниках, а також при різних довжинах
хвиль дозволяє робити висновки про ароматичність (вміст ароматичних
компонентів) сполуки, її молекулярну масу та ступінь гуміфікованості в цілому.
У наших дослідженнях екстракцію
органічних речовин проводили у водних розчинах NaOH і NaF, а оптичну щільність
екстрактів визначали в ультрафіолетовиму і видимому спектрі при довжинах хвиль:
254, 270, 280, 365, 410, 436, 465, 533, 590 та 665 нм.
.1 Методичні особливості
екстрагування органічних сполук з ґрунту та оптичні критерії оцінки їхньої
якості
Лужні розчинники були першими
реагентами, що застосовувались для екстракції гумусових сполук (ГС) і
залишаються найефективнішими і найширше використовуваними (Sparks, 1999).
Вважається, що найбільше ГС вдається екстрагувати водними розчинами сильних
основ, серед яких найчастіше застосовують NaOH (до 80%) і ЕДА - етилендіамін
(до 63%). Не зважаючи на високу ефективність останнього, якісний аналіз складу
екстрагованих ЕДА органічних сполук є утрудненим. Це пов’язано із наявністю
реакцій конденсації між аміногрупами розчинника і карбонільними групами
гумусових макромолекул, що супроводжується утворенням структур на основі
азометину (основа Шиффа) і накопиченням в отриманих препаратах С і N
(Stevenson, 1982). Неорганічний лужний розчинник - NaOH позбавлений цих
недоліків.
Для максимальної ефективності лужної
екстракції гумусових сполук, концентрація діючої речовини у розчині має бути
достатньою, щоб змістити рН розчину вище 12. Співвідношення ґрунту до
екстрактанту за різними методиками береться від 1:2 до 1:50 г∙мл-1,
а для додаткового збільшення ефективності вилучення ГС, часом, застосовують
попередню обробку ґрунту розведеною HCl чи сумішшю HF-HCl (забезпечує вилучення
полівалентних катіонів).
Варто також вказати на певні
труднощі, пов’язані з лужною екстракцією ГС. Насамперед, зі збільшенням часу
взаємодії розчину гідроксиду натрію з ґрунтом, збільшується кількість гумусових
сполук, що ним екстрагуються. Водночас, цей процес супроводжується значними
змінами хімічної будови ГС (Bremner, 1950). По-друге, зі збільшенням рН
екстрактанту, зростає його СО2 ємність і посилюється ефект “лужного
насосу”. Він полягає у поглинанні діоксиду карбону розчином з утворенням
карбонатної кислоти, яка взаємодіє з лугом і вносить суттєву похибку у
результат досліду (Yim et al., 2002). По-третє, лужний гідроліз гумусових
сполук супроводжується виділенням О2 (автоокиснення), який разом із
киснем, що міститься у атмосфері, служать додатковим джерелом похибок при
проведенні хімічних аналізів (Hayes, 1975). По-четверте, лужна екстракція ГС з
ґрунту супроводжується також частковим руйнуванням алюмосилікатів, а також
коекстракцією органічних речовин негумусової природи (Sparks, 1999).
На сьогоднішній день існує велика
кількість методичних вдосконалень, що підвищують ефективність лужної екстракції
і чистоту отриманих препаратів, проте супроводжуються збільшенням
трудомісткості самого методу. Найпоширенішим із них є проведення аналізів за
відсутності кисню (у атмосфері N2 чи інертних газів) і різноманітні
фізичні та хімічні методи фракціонування вже отриманих препаратів (Nardi et
al., 2000). Їхнє впровадження є цілком виправданим при отриманні еталонних
препаратів чи препаратів для медичного використання. Водночас, доцільність
застосування цих підходів для екологічних чи ґрунтознавчих підходів виглядає
сумнівною. Зазвичай, для отримання достовірних результатів на рівні значущості
P<0,05 цілком достатньо обмежити доступ атмосферного повітря до посудини, де
проводиться екстракція, шляхом використання притертого корку, що ми і
застосовували у наших дослідженнях.
Для екстракції застосовували 1%
водний розчині NaOH і визначали оптичні критерії якості ГС у видимій та
ультрафіолетовій частинах спектру: Е4/Е6, Е3/Е4, Е2/Е3, Е2/Е6, а також значення
UVA 280 і UVA 254 (Ultraviolet absorption)
при відповідних довжинах хвиль.
Оптичні критерії якості органічних
сполук
Індекс Е4/Е6 (відношення оптичних
щільностей досліджуваного розчину при довжинах хвиль 465 і 665 нм) є
найпоширенішим оптичним критерієм якості ГС, який широко використовується
закордонними (Thurman, 1985; Kukkonen, 1992; Gauthier, 1987) та вітчизняними
(Іванюк та ін., 2008) дослідниками. Тривалий час це співвідношення вважалось
об’єктивним індикатором, що відображає вміст ароматичних компонентів у складі
ГС (Summers et al. 1987; Piccolo et al. 1992). Так, Kononova (1966) вважала, що
велике значення індексу Е4/Е6 відображає низький ступінь ароматичної
конденсації і відповідає великому вмісту аліфатичних (циклічних і ациклічних)
компонентів. На сьогоднішній день доведено, що не існує достовірної залежності
між вмістом ароматичних компонентів у ГС і величиною Е4/Е6 (Chin et al. 1994).
Водночас, цей параметр вважається інтегральним показником гуміфікації ОЧҐ,
оскільки корелює з молекулярним розміром ГС, співвідношеннями О:С і С:N (Chen
et al. 1977; Senesi et al. 1989).
Другим традиційним оптичним
параметром якості ГС є співвідношення Е2/Е3 (254 і 365 нм). Він вважається
індикатором розміру гумусових макромолекул в цілому й тих, що формують РОР у
різних компонентах довкілля (De Haan, De Boer, 1987; Peuravouri and Pihlaja,
1997). Як доповнення до згаданих вище показників впроваджено також індекси
Е3/Е4 (365 і 465 нм) і Е2/Е6 (254 і 665 нм). Вони використовуються не так
широко, як перші два і знаходять застосування, головно, для оцінки якісних
параметрів ОЧҐ органічних горизонтів ґрунтів і торфів (Klavins et al., 2008).
Фізичною основою названих критеріїв
(крім Е4/Е6) є той факт, що всі гумусові речовини характеризуються збільшенням
величини оптичної щільності зі зменшенням довжини хвилі (Chin, 1994).
Ультрафіолетова ділянка спектру використовується для виявлення функціональних
груп хромофорів. Відомо, що оптичний спектр ароматичних вуглеводнів характеризується
гострим піком в діапазоні 256-312 нм, формування якого спричинене π→π*
переходом електронів в бензольних кільцях, причому присутність у макромолекулі
різних функціональних груп (наприклад, СОО-) дестабілізують
бензольні кільця й підвищують енергетичний рівень π-електронів.
За даними Braun et al. (1988) і
Traina et al. (1990) для фенольних сполук, анілінів, карбонових кислот, алкінів
і поліциклічних ароматичних вуглеводнів цей пік є ще вужчим і знаходиться у
діапазоні 270-280 нм. Це дало можливість Chin (1994) виявити існування тісної
залежності між оптичними параметрами якості ГС в ультрафіолетовому спектрі й
величинами молекулярних мас та ступенем ароматичності гумусових сполук. Цей
підхід, широко застосовуваний у сучасних екологічних дослідженнях, зокрема для
діагностики і якісної оцінки параметрів ГС у ґрунтах, водах, донних відкладах.
Нами застосовано для оцінки якості органічної частин ґрунтів лісових і
післялісових екосистем Верхньодністерського Передкарпаття.
.2 Якість органічних речовин екстрагованих
водними розчинами гідроксиду та флуориду натрію
З метою оцінки впливу проведення
лісогосподарських заходів різної інтенсивності на зміни якісного складу
органічної частини ґрунту, органічні сполуки екстрагували водними розчинами
гідроксиду та флуориду натрію, визначали у них значення оптичних коефіцієнтів
якості та порівнювали між собою. Як видно з табл. 6.1, у контролі виявлено
значну якісну неоднорідність якості органічної частини ґрунту. Вміст
ароматичних компонентів у верхньому 0-5 см шарі складає 28,66% й зменшується до
23,65 у верстві 10-15 см. Нижче за профілем ароматичність органічних сполук
зростає до 29,75% у верстві 30-35 см і різко збільшується до 49,27% у шарі
35-40 см. і поступово зменшується до 21,99 у нижній верстві 45-50 см.
Таблиця
6.1
Профільні зміни оптичних показників
якості органічної частини ґрунту (екстракція NaOH) у ґрунті контрольного
варіанту (жовтень 2009 року)
|
d, см
|
E4/E6
|
E3/E4
|
E2/E3
|
E2/E6
|
UVA280
|
UVA254
|
Ar,%
|
Mr, а.о.м.
|
|
0-5
|
9,86
|
1,98
|
3,69
|
72,15
|
32,30
|
38,60
|
28,66
|
2240
|
|
5-10
|
6,35
|
2,86
|
2,99
|
54,30
|
12,30
|
14,83
|
25,43
|
1981
|
|
10-15
|
5,61
|
3,00
|
2,79
|
46,94
|
7,38
|
9,20
|
23,65
|
1840
|
|
15-20
|
5,10
|
2,82
|
2,87
|
41,29
|
6,58
|
8,18
|
27,49
|
2146
|
|
20-25
|
4,68
|
2,89
|
2,76
|
37,25
|
5,98
|
7,38
|
27,17
|
2120
|
|
25-30
|
4,89
|
2,80
|
2,72
|
37,23
|
5,63
|
6,93
|
29,07
|
2272
|
|
30-35
|
4,26
|
2,87
|
2,90
|
35,54
|
4,05
|
5,23
|
29,75
|
2326
|
|
35-40
|
4,13
|
2,94
|
3,29
|
40,00
|
3,23
|
4,20
|
49,27
|
3884
|
|
40-45
|
4,40
|
2,73
|
3,46
|
41,67
|
2,55
|
3,38
|
31,52
|
2467
|
|
45-50
|
4,02
|
2,93
|
3,44
|
40,44
|
0,95
|
1,38
|
21,99
|
1707
|
Аналогічні закономірності виявлені й
у розподілі мас органічних молекул, що утворюють ОЧҐ: поступове зменшення від
2240 до 1840 а.о.м. з верстви 0-5 до 10-15 см, поступове зростання до 2326
а.о.м. у шарі 30-35 см й різке збільшення маси до 3884 а.о.м. у верстві 35-40
см. Найлегші органічні макромолекули (1707 а.о.м.) локалізовано у нижньому
досліджуваному шарі 45-50 см.
З наведених у табл. 6.1. даних
видно, що традиційний оптичний критерій якості ОЧҐ Е4/Е6 є недостатньо
інформативним для оцінки ступеня конденсації органічних макромолекул та його
профільних змін.
Аналіз світлопропускання розчинів у
ближньому ультрафіолеті дозволяє підвищити інформативність критерію (ЕЗ/Е4), а
проведення досліджень у видимому спектрі і середньому ультрафіолеті забезпечує
комплексний підхід до оцінки оптичних параметрів якості ОЧҐ і може бути
рекомендований до впровадження у лабораторну практику.
Органічна частина ґрунту під лісом,
розладнаним суцільною вирубкою граба (табл. 6.2.), в цілому, характеризується
нижчим ступенем конденсації ГС та меншими молекулярними масами, порівняно з
контролем. Також змінюються і профільні особливості якості ОЧҐ. У верхньому 0-5
см шарі ґрунту як вміст ароматичних компонентів у складі органічних
макромолекул (19,29%), так і маса самих молекул (1491 а.о.м.) є найменшими у
всій досліджуваній товщі профілю. У ґрунті верстви 5-10 см виявлено збільшення
молекулярної маси й ступеня ароматизації ГС на 20-25%, порівняно із
вищерозташованим шаром ґрунту. Нижче за профілем - відбувається поступове
зменшення цих параметрів до глибини 10-15 см.
Звертає увагу формування зони акумуляції
висококонденсованих (більше 30%) важких (більше 2400 а.о.м.) органічних
макромолекул на глибині 25-30 см. При цьому не вдалось виявити максимум, на
глибині 40-45 см, характерний для контрольного варіанту. Натомість, за
критеріями E4/E6, E2/E6 та UVA254 цей пік було зафіксовано.
Цей
факт свідчить про необхідність проведення додаткових досліджень залежностей
молекулярних мас й ступеня конденсації молекул від оптичних параметрів якості й
введення додаткових коригуючих коефіцієнтів, розрахованих за величиною оптичної
щільності розчину, виміряної при довжині хвилі 254 нм.
Таблиця
6.2
Профільні зміни оптичних показників
якості органічної частини ґрунту (екстракція NaOH) після суцільної вирубки
граба (жовтень 2009 року)
|
d, см
|
E4/E6
|
E3/E4
|
E2/E3
|
E2/E6
|
UVA280
|
UVA254
|
Ar,%
|
Mr, а.о.м.
|
|
0-5
|
5,73
|
2,22
|
4,48
|
56,93
|
8,70
|
15,60
|
19,29
|
1491
|
|
5-10
|
5,41
|
2,41
|
4,34
|
56,49
|
8,50
|
14,80
|
24,88
|
1938
|
|
10-15
|
4,77
|
2,66
|
3,90
|
49,52
|
5,20
|
10,25
|
22,61
|
1756
|
|
15-20
|
4,29
|
2,57
|
3,60
|
39,66
|
4,09
|
7,02
|
28,01
|
2187
|
|
20-25
|
3,83
|
2,60
|
3,62
|
35,92
|
3,42
|
5,64
|
23,58
|
1834
|
|
25-30
|
3,66
|
2,63
|
3,91
|
37,58
|
3,01
|
4,96
|
30,90
|
2418
|
|
30-35
|
3,67
|
2,73
|
3,96
|
39,63
|
2,65
|
4,28
|
31,20
|
2442
|
|
35-40
|
3,02
|
2,85
|
3,54
|
30,53
|
1,76
|
2,87
|
28,30
|
2124
|
|
40-45
|
3,95
|
4,22
|
3,17
|
52,86
|
0,75
|
1,11
|
23,03
|
1790
|
|
45-50
|
2,41
|
4,88
|
3,10
|
36,47
|
0,40
|
0,62
|
20,17
|
1561
|
Профільні зміни якості ОЧҐ в ґрунті
варіанту СВГ характеризуються нижчими значенням коефіцієнтів Е4/Е6 і Е2/Е6. В
ультрафіолетовому діапазоні при довжинах хвиль 254 і 280 нм також виявлено
значні відмінності між величинами оптичних щільностей екстрагованих лугом
органічних макромолекул, при чому найінтенсивніші зміни якості ОЧҐ, як в
ультрафіолетовому діапазоні, так і у дослідженому спектрі в цілому виявлено у
верхньому 0-5 см шарі ґрунту. Тому, для порівняння величин якісних параметрів
органічної частини ґрунту, як і у попередніх розділах, обрано його активну
зону, тобто шар 0-5 см. Нижче розглянемо, як змінюються оптичні коефіцієнти
якості органічної частини ґрунту у при поверхневій верстві, визначені у водних
розчинах гідроксиду та флуориду натрію.
Водний розчин флуориду натрію
вважається одним із високоефективних екстрагентів гумусових сполук (Stevenson,
1982). За даними F. Scheffer and E. Welte (1950) розчин NaF дозволяє
екстрагувати, порівняно з іншими розчинниками, старші за утворенням органічні
макромолекули та їхні компоненти. Підтвердженням цьому є вищі молекулярні маси
й вміст ароматичних компонентів у екстрактах NaF (табл. 6.3.), порівняно з NaOH
(табл. 6.1.). Проте, ця закономірність характерна лише для ґрунту верхньої
(0-25 см), найбільш гумусованої, частини профілю. В нижче розташованих шарах
ґрунту виявлено протилежний характер змін.
На наш погляд, це може бути
пов’язано з особливостями профільного розподілу Сорг. Насампред, з
глибиною суттєво зменшується абсолютний вміст Карбону органічних сполук, що
супроводжується також зміною співвідношення гідрофільних і гідрофобних
компонентів у структурі органічних макромолекул яке визначає особливості
сорбції-десорбції органічних сполук на поверхні мінералів. Водний розчин NaOH
здатний більш ефективно екстрагувати гумусові компоненти з органо-мінеральних
комплексів (Stevenson, 1982), чим, ймовірно, і спричинені описані відмінності у
ґрунті нижньої частини профілю.
За профілем суттєво змінюються вміст
ароматичних компонентів в органічних макромолекулах та їхні молекулярні маси:
найвищі значення - 37,50% і 2945 а.о.м. зафіксовані у верхньому 0-5 шарі
ґрунту; нижче, виявлено поступове зменшення абсолютних значень досліджуваних
властивостей до 1538 а.о.м. (конденсованість 19,88%). Найнижчі значення встановлено
у ґрунті верстви 40-45 см, де вміст ароматичних компонентів зменшився до
11,98%, а молекулярна маса гумусових сполук склала 908 а.о.м. У верстві 45-50
см, виявлено збільшення цих показників до 16,64% і 1280 а.о.м. відповідно.
Як і за умов проведення екстракції
органічних сполук водним розчином NaOH, найінформативнішим оптичним критерієм
якості ОЧҐ виявилось співвідношення Е2/Е6. Величини цього параметру змінюються
синхронно із абсолютними значеннями молекулярних мас й вмістом ароматичних
компонентів, розрахованих відповідно до рекомендацій Chin (1994). Варто також
зазначити, що за умов екстракції ОЧҐ розчином NaF виявлено значну
інформативність найпоширенішого оптичного критерію якості органічної речовини
ґрунту Е4/Е6.
Особливості змін якості ОЧҐ в едафотопі
варіанту СВГ характеризуються згладженням стратифікації органопрофілю (табл.
6.4.). Варто вказати на відсутність високоамплітудних змін вмісту ароматичних
компонентів та молекулярної маси за профілем ґрунту: ступінь їх конденсації
складає в середньому 20-25%, а маси макромолекул змінюються від 1500 до 2000
а.о.м. Щоправда, у шарі ґрунту 30-40 см виявлено зменшення цих величин до
16,56% і 1274 а.о.м. відповідно.
Таблиця
6.3
Профільні зміни оптичних показників
якості органічної частини ґрунту (екстракція NaF)
у ґрунті контрольного варіанту (жовтень 2009 року)
|
d, см
|
E4/E6
|
E3/E4
|
E2/E3
|
E2/E6
|
UVA280
|
UVA254
|
Ar,%
|
Mr, а.о.м.
|
|
0-5
|
2,90
|
3,09
|
3,79
|
34,02
|
14,70
|
18,20
|
37,50
|
2945
|
|
5-10
|
1,90
|
3,51
|
3,79
|
25,37
|
5,55
|
6,93
|
32,74
|
2565
|
|
10-15
|
1,58
|
3,06
|
4,08
|
19,77
|
3,00
|
3,88
|
27,95
|
2183
|
|
15-20
|
1,14
|
3,32
|
3,73
|
14,14
|
2,20
|
2,80
|
28,15
|
2198
|
|
20-25
|
0,91
|
3,06
|
4,09
|
11,36
|
1,85
|
2,25
|
2046
|
|
25-30
|
1,02
|
2,76
|
4,00
|
11,29
|
1,70
|
2,10
|
27,55
|
2151
|
|
30-35
|
0,46
|
3,31
|
4,11
|
6,29
|
0,75
|
0,93
|
19,88
|
1538
|
|
35-40
|
1,18
|
1,01
|
3,40
|
4,05
|
0,30
|
0,43
|
18,94
|
1463
|
|
40-45
|
0,52
|
1,19
|
5,00
|
3,09
|
0,18
|
0,25
|
11,98
|
908
|
|
45-50
|
1,00
|
3,68
|
2,00
|
7,35
|
0,20
|
0,25
|
16,64
|
1280
|
Звертає увагу той факт, що у
варіанті СВГ за проведення екстракції водним розчином флуориду натрію не
вдалось виявити достовірних залежностей між оптичними параметрами якості ОЧҐ,
розрахованими за співвідношенням екстинкцій при довжинах хвиль 254, 270, 280,
365, 410, 436, 465, 533, 590 та 665 нм і ступенем конденсації та молекулярною
масою макромолекул. Варто відзначити, що до глибини 25-30 см прослідковується синхронність
їхніх змін, тоді як у нижніх шарах ґрунту ця закономірність зникає. Ймовірно,
що це пов’язано зі зміною окисно-відновних умов середовища у нижній частині
досліджуваної товщі ґрунту, розвитком процесів глеєутворення і накопиченням
йонів Феруму й Мангану, вміст яких зумовлює інтенсивний фон, що ускладнює
виконання спектрофотометричних досліджень отриманих екстрактів ОЧҐ.
Таблиця
6.4
Профільні зміни оптичних показників
якості органічної частини ґрунту (екстракція NaF)
після суцільної вирубки граба (жовтень 2009 року)
|
d, смE4/E6E3/E4E2/E3E2/E6UVA80UVA254Ar,%Mr,
а.о.м.
|
|
|
|
|
|
|
|
|
|
0-5
|
3,67
|
2,71
|
3,79
|
37,73
|
3,36
|
5,15
|
21,68
|
1682
|
|
5-10
|
5,49
|
2,99
|
3,99
|
65,44
|
2,46
|
3,73
|
22,93
|
1782
|
|
10-15
|
6,30
|
3,14
|
4,47
|
88,33
|
1,93
|
2,65
|
24,90
|
1939
|
|
15-20
|
5,02
|
2,95
|
4,16
|
61,51
|
1,17
|
1,63
|
25,49
|
1986
|
|
20-25
|
5,89
|
2,83
|
4,47
|
74,59
|
0,96
|
1,38
|
21,25
|
1648
|
|
25-30
|
3,66
|
2,67
|
6,07
|
59,17
|
0,62
|
1,21
|
21,96
|
1705
|
|
30-35
|
2,42
|
1,83
|
4,98
|
22,00
|
0,35
|
0,53
|
16,56
|
1274
|
|
35-40
|
1,93
|
1,54
|
4,51
|
13,46
|
0,27
|
0,40
|
18,38
|
1380
|
|
40-45
|
1,60
|
1,52
|
4,55
|
11,09
|
0,20
|
0,31
|
20,40
|
1580
|
|
45-50
|
1,31
|
1,13
|
3,94
|
5,86
|
0,14
|
0,21
|
21,64
|
1679
|
Як видно з наведених на рис. 6.1.
даних, величини параметрів оптичної якості, широко застосовувані у сучасних
екологічних дослідженнях змінюються за варіантами досліду несинхронно. З огляду
на це, припущення про можливість оцінки на основі кожного з наведених критеріїв
ступеню конденсації ОЧҐ виглядає малоймовірним. Найменших змін за впливу
антропогенних заходів різної інтенсивності в шарі ґрунту 0-5 см зазнає параметр
якості ОЧҐ Е2/Е3. Порівняння розподілу значень цього коефіцієнту за варіантами
досліду з використанням тесту Краскела-Уолліса не дозволило виявити достовірних
відмінностей при 5% рівні значущості. Використання критерію Е4/Е6 дало змогу
виявити неоднорідність якості ОЧҐ в контрольному і дослідних варіантах, зокрема
зростання його абсолютних значень у варіантах ГВВГ, С, Р вище 7.
Рис. 6.1 Особливості змін якості
органічної частини ґрунту шару 0-5 см, залежно від інтенсивності та тривалості
знеліснення,% (квітень 2010 року)
Порівняння мас органічних
макромолекул та вмісту в них ароматичних компонентів в екстрактах NaOH і NaF
дозволило виявити особливості якісного складу органічної частини ґрунту за
варіантами досліду. Насамперед, відзначимо зростання ступеня конденсованості і
молекулярних мас у послідовності: контроль - поступова вирубка граба - суцільна
вирубка граба у розчині гідроксиду натрію - від 18% (1409 а.о.м) у контролі до
33% (2592 а.о.м.) у варіанті РПВГ й 39% (3082 а.о.м.) - ГВВГ; у флуориді натрію,
відповідно, 22% (1746 а.о.м.), 33% (2623 а.о.м.) і 52% (4098 а.о.м.). Якість
ОЧҐ після суцільної вирубки другого ярусу зазнає суттєвих змін: вміст
ароматичних компонентів й маси макромолекул зменшуються, порівняно із варіантом
ГВВГ, вдвічі й досягає рівня контрольного варіанту.
Оцінка якості органічної частини
ґрунту за співвідношенням значень оптичної щільності, визначеної в
ультрафіолетовій та видимій ділянках спектру є, на наш погляд,
найперспективнішою і забезпечує комплексний підхід. Так у випадку застосування
критеріїв Е3/Е4 і Е2/Е6 вдалось виявити високоамплітудні зміни значень індексів
якості органічних сполук Карбону. Обидва критерії вказують на поступове
зростання вмісту ароматичних компонентів у складі ОЧҐ за проведення
лісогосподарських заходів різної інтенсивності у послідовності контроль -
рівномірно-поступова вирубка граба - групово-вибіркова вирубка граба, що може
свідчити про поступове вичерпування лабільного пулу ОЧҐ.
Також, звертає увагу той факт, що
попри синхронність змін якісних параметрів органічної частини ґрунту в
екстрактах гідроксиду й флуориду натрію, амплітуди цих змін за варіантами
досліду суттєво різняться. Подібні закономірності виявлено й при аналізі
оптичних критеріїв якості ОЧҐ (Е4/Е6, Е3/Е4, Е2/Е3, Е2/Е6) у верхньому 0-5 см
шарі ґрунту за всіма варіантами досліду. Так, за
критерієм Е4/Е6 виявлено синхронність змін якості органічних речовин у
досліджуваних ґрунтах в екстрактах гідроксиду і флуориду натрію.
Зміни величин коефіцієнту Е3/Е4 ОЧҐ
у розчинах NaOH і NaF також відбуваються синхронно, але відрізняються за
амплітудами. Звертає увагу поступове збільшення величини цього показника у
послідовності К - РПВГ - ГВВГ й зменшення в ґрунтах агроекосистем, подібне до
закономірності змін молекулярних мас (рис. 6.2). Відношення Е2/Е6, в цілому,
змінюється за розглянутим вище патерном, як і Е3/Е4. Щоправда, значення цього
коефіцієнта в екстрактах флуориду натрію є значно вищим, порівняно з ЕЗ/Е4.
Цікавим є те, що в разі оцінювання
якості органічних сполук Карбону лише за параметрами змін оптичних густин в
ультрафіолетовій ділянці спектру, то значення отриманого показника (Е2/Е3) у
всіх варіантах досліду буде суттєво вищим в екстракті NaOH, ніж у NaF.
Розглянуті вище відмінності у якості
органічних сполук Карбону, екстрагованих водними розчинами гідроксиду і
флуориду натрію дають підстави для оцінки стабільності органічної частини
едафотопів, за співвідношенням екстинкцій органічних речовин, розчинних у NaF і
у NaOH з урахуванням валового вмісту Сорг у досліджуваних едафотопах
Ступінь конденсації органічних
молекул в активній зоні едафотопу контролю, є значно нижчим, ніж у дослідних
варіантах. Оцінка якості органічної речовини ґрунту за величиною UVA 280
дозволила кількісно оцінити зміни відсоткового вмісту ароматичних компонентів
макромолекул й молекулярних мас (Бедернічек, Партика, 2010). Якісні відмінності
ОЧҐ(рис. 6.2) за варіантами досліду, спричинені, на нашу думку, різним складом
біо- та некромаси, що надходять до ґрунту на варіантах К та СВГ.
Рис. 6.2 Особливості змін якості
органічної частини ґрунту шару 0-5 см, залежно від інтенсивності та тривалості
знеліснення,% (квітень 2010 року)
Звертає увагу різке збільшення
ступеня конденсації органічних макромолекул й, відповідне зростання їхніх молекулярних
мас внаслідок проведення поступової й групово-вибіркової рубок граба: від 19% у
контролі до 34 й 39% у варіантах РПВГ і ГВВГ відповідно. Ймовірно, ці зміни
пов’язані із вичерпування лабільних пулів ОЧҐ в едафотопах згаданих варіантах
й, відповідно, зростання частки висококонденсованих, стабільних компонентів.
Звертає увагу суттєва зміна якості
органічної частини ґрунту після проведення рівномірно-поступового та
групово-вибіркового рубань другого ярусу. Це, ймовірно, пов’язано з значними
кількісно-якісними змінами ОЧҐ, проте недостатніми для переходу системи на
нижчий енергетичний рівень. Натомість едафотоп після суцільної вирубки граба -
за якістю подібний на контрольний варіант, проте, кількісно характеризується
значно меншим абсолютним вмістом Сорг. Зі зростанням ступеня
антропопресії, конденсованість органічних сполук Карбону зменшується, досягаючи
мінімальних значень в едафотопах агроекосистем.
6.3 Стабільність органічної частини
ґрунту
Для оцінки стабільності органічної
речовини едафотопу застосовували методичний підхід, запропонований відомим
угорським хіміком L. Hargitai (1993), який передбачав встановлення коефіцієнта
стабільності органічної частини ґрунту - К. Без сумніву, це стало важливим
етапом у розвитку органічної хімії ґрунту і розробки нових методичних підходів
до оцінювання якості його органічної частини.
Встановлено, що найменші значення К
характерні слаборозкладеним органічним решткам, для яких вони становлять від
0,001 до 0,01. Натомість, зі зростанням ступеня гуміфікації, значення
коефіцієнта стабільності ОЧҐ різко зростають й можуть сягати 10 в гумусових
горизонтах цілинних чорноземів. У лісових ґрунтах, враховуючи якісний склад
опаду з високим вмістом лігніну й лігноцелюлози, значення параметру змінюються
від 0,01 до 0,1, але можуть суттєво зростати з глибиною (Hargitai, 1995).
Із результатів наших досліджень
видно (рис. 6.3), що як в едафотопі контрольного варіанту, так і на суцільний
вирубці граба, до глибини 35 см значення коефіцієнту якості ОЧҐ є близькими й
коливаються в межах 0,08 - 0,024. У ґрунті верстви 35-40 см обох цих варіантів
виявлено різке збільшення К до 0,36 у контролі й 1,74 - у варіанті СВГ, а у
ґрунті верстви 40-45 см - його зменшення відповідно до 0,23 і 1,51.
Рис. 6.3 Профільні зміни величини
коефіцієнта стабільності органічних речовин у ґрунті внаслідок суцільної
вирубки граба (жовтень 2009 року)
Варто відзначити, що найбільшою
стабільністю характеризується органічні речовини ґрунту, локалізовані в нижній
частині профілю. Зокрема, значення К у верстві 45-50 см є найвищим у межах
досліджуваної ґрунтової товщі й складає 1,76 і 3,69 у варіантах К й СВГ
відповідно. Щоправда, екологічні функції високоякісних (сильногумусованих)
органічних речовин ґрунту в межах елювіально-ілювіального та ілювіального
горизонтів, зважаючи на низький абсолютний вміст Сорг у цій частині
профілю є обмеженими.
Виявлені профільні зміни
стабільності ОЧҐ у зв’язку з різним антропогенним навантаженням на екосистему є
важливим для теоретичного обґрунтування просторових меж активної зони ґрунту,
оскільки вона є відображенням ефективності функціонування симбіотрофного
комплексу ґрунт-рослина, тобто носієм пам’яті впливу рослин на ґрунт. Це
особливо важливо при дослідженні впливу знеліснення на ґрунтовий блок
екосистеми: від способу відбору ґрунтових зразків до вибору параметрів оцінки.
В активній зоні ґрунту коефіцієнти
стабільності ОЧҐ змінювались від 0,04 у контролі до 0,16 на ріллі. Як видно з
наведених на рис. 6.4 даних, стабільність органічних речовин поступово зростає
зі збільшенням рівня антропогенного навантаження на едафотоп. Це також
підтверджує синхронне зменшення вмісту лабільних органічних сполук й дихальної
активності ґрунту (див. розділи 5, 6).
Рис. 6.4. Зміни значень коефіцієнта
стабільності органічних речовин в активній зоні ґрунту внаслідок знеліснення
(квітень 2010 року)
Зазначимо, що найвищі значення
коефіцієнта якості органічної частини ґрунту характерні для агроекосистем і є в
3-4 рази вищими, ніж в активній зоні лісових едафотопів під непорушеними
деревостанами. Варто також зауважити, що стабільність ОЧҐ є важливим
параметром, який прямо чи опосередковано впливає на широкий спектр екологічних
функцій ґрунту, зокрема здатність ґрунту утримувати воду (гідрофільність) та
іммобілізовувати (зв’язувати) різноманітні ксенобіотики, тобто його
екопротекторну роль. Цьому питанню надається особлива увага, оскільки
формування різних органо-мінеральних комплексів є основою ґрунтоутворення і
функціонування педосфери, основним механізмом забезпечення її екологічного
комфорту.
.4 Екопротекторна здатність
органічної частини ґрунту
Мобільність мікроелементів і
ксенобіотиків у гемеробних екосистемах лімітується здатністю ґрунту зв’язувати
токсичні для біологічних систем елементи й сполуки. Зокрема, Pb, Ni, Cd та Hg є
органофільними елементами й здатні утворювати стійкі комплекси з гумусовими
сполуками. Ризики накопичення й міграції токсикантів у межах екосистеми
характеризуються екопротекторною ємністю ґрунту, як інтегральним показником, що
включає кількісні (валовий вміст Карбону органічних сполук, потужність
досліджуваного шару чи горизонту) та якісні (індекс стабільності) параметри
органічної частини ґрунту (Hargitai, 1995).
На рис. 6.5 зображено особливості
профільних змін екопротекторної здатності ґрунту. В активній зоні ґрунту
варіанту СВГ, порівняно із контролем, вона зменшилась у 2,64 рази - від 15,07
до 5,69. Встановлено, що до глибини 35-40 см вона зменшилась більш, ніж на
половину, причому наймасштабніші зміни відбулись саме в активній зоні - шарі
0-5 см. Отримані дані свідчать, що процес знеліснення супроводжується не лише
значними втратами енергії та поживних речовин, зафіксованих в органічній
частині ґрунту, а й суттєвим погіршенням екологічних функцій ґрунту.
Рис. 6.5 Профільні зміни
екопротекторної здатності ґрунту внаслідок суцільної вирубки граба (жовтень
2009 року)
Значення індексу ЕЗҐ у верхньому 0-5
см шарі (рис. 6.6) суттєво відрізняється за варіантами досліду. На ділянках
першої трансекти, найвище
значення (9,34) виявлено у
контрольному варіанті (К). Зі збільшенням рівня антропопресії, ЕЗЕ поступово
зменшувалась до 6,5 на варіанті РПВГ, 5,62 - ГВВГ й 2,89 у варіанті СВГ. В
ґрунтах агроекосистем значення коефіцієнту ЕЗЕ змінювалось від 2,76 на сінокосу
до 3,41 на ріллі.
Рис. 6.6 Зміни екопротекторної
здатності ґрунту в шарі 0-5 см (квітень 2009 року)
Отже, проведення лісогосподарських й
сільськогосподарських заходів різної інтенсивності суттєво погіршує
екопротекторну здатність ґрунту непорушених старовікових лісів, що підвищує
ризик урухомлення ксенобіотиків, зокрема важких металів, й надходження цих
полютантів не тільки у трофічні ланцюги й мережі, а й у суміжні природні середовища
- атмосферу і природні води. Додатково, зменшення екопротекторної здатності
ґрунту пов’язано із втратою цим біокосним тілом здатності утримувати воду і, як
наслідок, її відтоком, разом із розчиненими в ній поживними речовинами.
Традиційний оптичний критерій якості
ОЧҐ Е4/Е6 є недостатньо інформативним для оцінки ступеня конденсації органічних
макромолекул. Аналіз світлопропускання розчинів у ближньому ультрафіолеті
дозволяє підвищити інформативність критерію (ЕЗ/Е4), а проведення досліджень у
видимому спектрі і середньому ультрафіолеті забезпечує комплексний підхід до
оцінки оптичних параметрів якості ОЧҐ і може бути рекомендований до
впровадження у лабораторну практику.
Ступінь конденсованості гумусових
макромолекул і та їхні маси збільшуються у послідовності: контроль - поступова
вирубка граба - суцільна вирубка граба,зокрема у розчині гідроксиду натрію -
від 18% (1409 а.о.м) у контролі до 33% (2592 а.о.м.) у варіанті РПВГ й 39%
(3082 а.о.м.) - ГВВГ; у флуориді натрію, відповідно, 22% (1746 а.о.м.), 33%
(2623 а.о.м.) і 52% (4098 а.о.м.). У ґрунті після суцільної вирубки граба вміст
ароматичних компонентів й маси макромолекул зменшуються, порівняно із варіантом
ГВВГ, вдвічі й досягають рівня контрольного варіанту.
Стабільність ОЧҐ поступово зростає зі
збільшенням антропогенного навантаження на едафотоп. Найвищі значення
коефіцієнта якості органічної частини ґрунту характерні для агроекосистем і є в
3-4 рази вищими, ніж в активній зоні лісових ґрунтів, змінюючись від 0,04 у
контролі до 0,16 на ріллі. Суцільна вирубка другого ярусу
суттєво вплинула на профільні особливості екопротекторної здатності ґрунту. У
верхньому 0-5 см шарі ґрунту ЕЗЕ зменшилась у 2,64 рази - від 15,07 до 5,69. До
глибини 35-40 см вона зменшилась більш, ніж на половину, при чому наймасштабніші
зміни відбулись саме в активній зоні ґрунту - шарі 0-5 см.
Проведення рівномірно поступового,
групово-вибіркового та суцільного рубань другого ярусу, призвело до зменшення
екопротекторної здатності едафотопів лісових екосистем в 1,44, 1,67 та 3,23, а
післялісових агрекосистем ріллі та сінокосу - у 2,74 та 3,38 рази відповідно.
Такі зміни у захисній функції органічної частини едафотопу пов’язані зі змінами
її якості (зменшення метаболічно активного лабільного пулу) і є екологічно
небажаними, оскільки сприяють посиленню активності екотоксикантів у системі
ґрунт-рослина - природне середовище.
ВИСНОВКИ
У дисертаційній роботі подано
теоретичне узагальнення і нове вирішення проблеми оцінки якісно-кількісних змін
органічної частини ґрунту, як головного природного джерела емісії парникових
газів, за різних способів лісокористування й аграрного використання
післялісових екосистем. Аналіз та узагальнення результатів досліджень
дозволяють зробити наступні висновки:
. В едафотопах вологих грабових
дібров Верхньодністерського Передкарпаття акумульовано високий вміст Карбону
органічних сполук (Сорг), що свідчить про їхню вагому
карбон-секвеструючу роль. Запаси Сорг у півметровій товщі ґрунту є
найвищими у едафотопі умовно-корінної грабової діброви (95 т·га-1) й
зменшуються зі збільшенням інтенсивності антропогенного впливу. Рівномірно
поступові, групово-вибірков та суцільні рубання другого ярусу (Carpinus
betulus), призвели
до зменшення його запасів на 8, 38 і 42% відповідно. В едафотопах післялісових
агроекосистем ріллі та сінокосу запаси Сорг менші, ніж у сусідніх
лісових екосистемах на 24 та 37%.
2. Зі збільшенням
антропогенного навантаження на лісову екосистему наймасштабніші зміни вмісту Сорг
відбуваються у приповерхневій верстві ґрунту потужністю 5 см, збіднюючи її
карбонвмісними органічними речовинами. Якщо у контролі, градієнт зменшення
вмісту Сорг між шарами ґрунту на глибинах 0-5 і 5-10 см становив
6,62 мг⋅г-1⋅см-1,
то внаслідок рівномірно-поступових, групово-вибіркових та суцільних рубань
другого ярусу він зменшився в 1,56, 1,60 і 3,64 рази та у 9-11 разів в
агроекосистемах. Це свідчить про суттєве виснаження депо органічних сполук у
верхньому 5-см шарі ґрунту та його високу сенсорність до антропогенного
втручання, що дало підставити виокремити цю верству як функціонально активну
зону ґрунту.
. Декарбонізація едафотопів
вплинула на їхній енергетичний потенціал. Найвищі запаси енергії в активній
зоні ґрунту виявлені у контрольному варіанті (1,06 ТДж·га-1) і
поступово зменшуються зі збільшенням рівня антропопресії до 0,57 ТДж·га-1
в лісовій екосистемі після суцільної вирубки другого ярусу і 0,37 ТДж·га-1
на ріллі. Натомість, у півметровій товщі ґрунту найбільші запаси енергії
(більше 6 ТДж·га-1) зосереджено на ріллі, де вони підтримується за
рахунок регулярного внесення додаткових енерговмісних субстратів у формі
органічних добрив і післяжнивних залишків..
. Знеліснення супроводжується
також суттєвим впливом на екологічну якість Сорг, яка визначається
співвідношененням її активної (лабільної) і консервативної (власне гумус)
частин, зокрема зменшенням розмірів лабільного пулу. Вміст його наймобільнішої
фракції - екстрагованих холодною (t=20ºС)
водою органічних речовин в активній зоні ґрунту, на третій рік після проведення
рівномірно-поступового, групово-вибіркового та суцільного рубань другого ярусу,
зменшився на 22, 6 і 35% відповідно. В агроекосистемах ріллі та сінокосу,
втрати склали 39 та 52%, порівняно із вмістом цієї фракції в едафотопі
умовно-корінної грабової діброви.
. Зміни екологічної якості Сорг
підтверджені також зменшенням вмісту Карбону екстрагованих гарячою (t=80ºС)
водою органічних речовин в активній зоні едафотопів, які є найближчим резервом
поживних речовин та енергії для едафону: зі збільшенням інтенсивності рубань
вміст цієї фракції зменшився на 16, 45 та 66%, а в едафотопах ріллі та сінокосу
- на 76 та 73%, порівняно з контролем. Також, встановлено подібні
закономірності змін вмісту легкоокиснюваних 0,02 M
KMnO4 органічних
сполук.
. Поряд з кількісно-якісними
змінами лабільного пулу Сорг, як джерела мінералізаційних процесів,
знеліснення вплинуло на характер добової динаміки емісії СО2 з
поверхні ґрунту: змінились як періоди максимальної дихальної активності, так і
швидкість надходження діоксиду карбону в атмосферу в цілому. На фоні зменшення
розміру лабільного пулу органічної частини ґрунту, інтенсивність дихання ґрунту
зменшилась із 3,48 у контролі до 2,97 та 3,05 г СО2·м2·24
год-1 в ґрунтах лісових екосистем після групово-вибіркового та
суцільного рубань другого ярусу відповідно. Зменшення виділення СО2 з
поверхні ґрунту, внаслідок часткового знеліснення, є реакцією на дефіцит
лабільних форм Сорг, зумовлеий елімінацією дерев-субедифікаторів і
надходженням до ґрунту свіжих органічних продуктів фотосинтезу і свідчить про
зміну термотолерантності ґрунту внаслідок знеліснення.
. У модельних експериментах
встановлені особливості змін термотолерантності (Q10)
біомінералізаційної системи ґрунтів лісових екосистем за різного ступеня
знеліснення: якщо у контролі, внаслідок підвищення температури з 15 до 25 ºС,
інтенсивність емісії СО2 з ґрунту зросла впродовж шестигодинного
його інкубування на 43%, то у ґрунтах лісових екосистем, розладнаних
рівномірно-поступовим та суцільним рубаннями другого ярусу спостерігалося
зворотне - зі збільшенням температури інтенсивність дихання ґрунту зменшилась
на 4 та 27% відповідно. Такий характер змін дихальної функції ґрунтів
антропогенно трансформованих лісових екосистем свідчить про можливість
існування компенсаторних механізмів по підтриманню балансу Карбону у системі
ґрунт-рослина-атмосфера. У разі послаблення процесів автотрофного фіксування СО2
(наприклад при знелісненні), вони зменшують надходження його в атмосферу з
ґрунтових резервів, що особливо актуально за
глобального потепління клімату
. Проведення рівномірно
поступового, групово-вибіркового та суцільного рубань другого ярусу, призвело
до зменшення екопротекторної здатності едафотопів лісових екосистем в 1,44,
1,67 та 3,23, а післялісових агрекосистем ріллі та сінокосу - у 2,74 та 3,38
рази відповідно. Такі зміни у захисній функції органічної частини едафотопу
пов’язані з погіршенням її якості (зменшення метаболічно активного лабільного
пулу) і є екологічно небажаними, оскільки сприяють посиленню активності
екотоксикантів у системі ґрунт-рослина-гідросфера.
. Доведена необхідність
удосконалення існуючої кількісно-якісної оцінки ґрунтового резервуару Карбону
органічних сполук антропогенно трансформованих лісових і аграрних екосистем і
необхідність переходу на засади його комплексної діагностики з використанням апробованих
у роботі показників лабільності органічної частини ґрунту та її якості.
РЕКОМЕНДАЦІЇ ВИРОБНИЦТВУ
. Високоефективний метод
окислювальної хемодеструкції органічної речовини ґрунту, що базується на
екзотермічній взаємодії водного розчину дихромату калію і концентрованої
сульфатної кислоти, з інкубуванням реакційних посудин у теплоізоляційному
пінопластовому блоці (профільним лабораторіям науково-дослідних інститутів і
ВУЗів, підрозділів Міністерствоа екології та природних ресурсів України, мережі
обласних станцій “Облдержродючість”).
. Польовий метод визначення
інтенсивності дихання ґрунту, що базується на адсорбції CO2
з повітря розчином лугу, поміщеного у мікропробірки типу Eppendorf (профільним
лабораторіям науково-дослідних інститутів і ВУЗів, підрозділів Міністерства
екології та природних ресурсів України, мережі обласних станцій
“Облдержродючість”).
. З метою екологізації
лісогосподарського виробництва проводити оцінку запасів енергії у лісових
ґрунтах за вмістом Карбону органічних сполук. Обирати такі способи
лісокористування, які забезпечують мінімізацію втрат запасів енергії в ґрунті
(Державне агентство лісових ресурсів України, Міністерство екології та
природних ресурсів України).
4. За аналогією
з іншими галузями промисловості, ввести у практику лісогосподарського
виробництва поняття “понаднормова тонна СО2”.
Розробити та впровадити комплекс заходів по
зменшенню емісії діоксиду карбону з поверхні ґрунту після проведення рубань
(Державне агентство лісових ресурсів України, Міністерство екології та
природних ресурсів України).
СПИСОК ВИКОРИСТАНИХ ДЖЕРЕЛ
1. Агрохимические
методы исследования почв / под ред. А.В. Соколова, Д.Л. Аскинази. - М.: Наука,
1965. - 435 c.
2. Агрохимические
методы исследования почв. - М.: Наука, 1975. - 436 с.
. Александрова
В. Д. Классификация растительности. Обзор принципов классификации и
классификационных систем в различных геоботанических школах / В.Д.
Александрова. - Л.: Наука, 1969. - 275 с.
. Алиев
С.А. Метод изучения энергетики органического вещества почв / С.А. Алиев //
Почвоведение. - 1972. - №9. - С. 147-150.
. Алиев
С.А. Методы определения биоэнергетических балансов органического вещества почв
/ С.А. Алиев // Почвоведение. - 1975. - №4. - С. 27-32.
. Алиев
С.А. Экология и энергетика биохимических процессов превращения органического
вещества почв / С.А. Алиев. - Баку: “ЭЛМ”, 1978. - 253 с.
. Ананьева
Н.Д. Микробиологические аспекты самоочищения и устойчивости почв / Н.Д.
Ананьева. -М.: Наука, 2003. - 223 с.
. Бахмет
О.Н. Классификация органопрофилей лесных почв Карелии (Северная Европа в ХХІ
веке: природа, культура, экономика) / О.Н. Бахмет // Мат. Междунар. конф.,
посвящ. 60-летию КАРНЦ РАН. - Петрозаводск, 2006. - С. 47-49.
. Бедерничек
Т.Ю. Эмиссия диоксида углерода с поверхности почвы при разных сценариях
лесопользования / Т.Ю. Бедерничек, З.Г. Гамкало // IV Всерос. науч. конф. с
междунар. уч. - “Отражение био-гео-антропосферных взаимодействий в почвах и
почвенном покрове”, Томск, 2010. - С. 151-153.
. Бедернічек
Т.Ю. Кількісні зміни органопрофілю та йонної активності едафотопу внаслідок
усунення субедифікатора / Т.Ю. Бедернічек, Т.В. Партика, З.Г. Гамкало // Вісн.
НЛТУУ. - 2009. - №19.9. - С. 28-36.
. Бедернічек
Т.Ю. Використання ультрафіолетової спектрофотометрії для оцінки якісного складу
органічної речовини ґрунту / Т.Ю. Бедернічек, Т.В. Партика // Зб. тез доповідей
XIII Міжнар. наук.-практ. конф. студ., аспір. і мол. вчених “Екологія. Людина.
Суспільство”, Київ: НТУУ “КПІ”, 2010. - С.101-103.
. Бедернічек
Т.Ю. Електропровідність як експрес-індикатор йонної активності едафотопу
лісових екосистем / Т.Ю. Бедернічек, С.Л. Копій, Т.В. Партика, З.Г. Гамкало //
Біологічні системи. - Чернівці, 2009. - T. 1, Вип. 1. - С. 85-88.
13. Бедернічек
Т.Ю. Кількісні зміни ґрунтового пулу Гідрогену в процесі знеліснення / Т.Ю.
Бедернічек, Т.В. Партика, З.Г. Гамкало // Питання біоіндикації та екології. -
Запоріжжя: ЗНУ, 2009. - Вип. 14, №2. - С. 44-54.
. Благодатский
С.А. Регидратационный метод определения микробной биомассы в почве / С.А.
Благодатский, Е.В. Благодатская, А.Ю. Горбенко, Н.С. Паников // Почвоведение. -
1987. - №4. - С. 64-71.
15. Бобровский
М.В. Разнообразие растительности и почв заповедника «Калужские засеки» и его
связь с традиционным природопользованием. Автореферат дисс. ... кандидата
биологических наук. Специальность 03.00.16 - Экология. М.: ИПЭЭ им. А.Н.
Северцева, 2004. 23 с.
. Богатова
М.К. Органическое вещество в профиле темно-серых лесных почв под различными
типами фитоценозов Тульской области / М.К. Богатова, Д.И. Щеглов // Вест. ВГУ.
- 2005. - №2. - С. 121-125. - (Сер. Химия, биология, фармация).
. Борисова
В.Н. Гифомицеты лесной подстилки в различных экосистемах / В.Н. Борисова. - К.:
Наук. думка, 1988. - 252 с.
. Бородкин
О.И. Динамика дегумификацитонных процессов в почве и ризосфере озимой пшеницы и
сахарной свеклы / О.И. Бородкин // Материалы Всеросийской научной конференции
XIII Докучаевский молодежные чтения “Органо-минеральная матрица почв”/ Под.
ред. Б.Ф. Апарина. - СПб.: Издательский дом С.-Петербургского государственного
университета, 2010 - С. 64-65.
. Ведрова
Э.Ф. Восстановление запасов органического вещества после рубок в лесных
экосистемах Восточного Прибайкалья / Э.Ф. Ведрова, Л.В. Мухортова, В.В. Иванов,
Л.В. Кривобоков, М.В. Болонева // Известия Рос. Акад. наук. - 2010. - №1. - С. 83-94.
- (Сер. биологическая).
. Винокуров
И.Ю. Эволюция почвенных систем: Химическое загрязнение, саморегуляція,
самоорганизация, устойчивость / И.Ю. Винокуров //. М.: Юркнига, 2007. - 320 с.
. Вишенська
І.Г. Порівняльна оцінка енергетичного запасу лісової підстилки хвойних та
листяних типів фітоценозів / І.Г. Вишенська, Я.П. Дідух, А.А. Скіданова, У.М.
Альошкіна // Наук. зап. НАУКМА. - 2009. - Т. 93: Біологія та екологія. - С.
40-44.
. Волобуев
В.Р. Полнота использования радиационной энергии в процессах почвообразования /
В.Р. Волобуев // Доклады академии наук АН СССР. Сер. Почвоведение. - 1958. -
№8. - С. 635-638.
. Волобуев
В.Р. Энергетика почвообразования / В.Р. Волобуев // Известия АН СССР. - 1959. -
№1. - С. 45-54. - (Сер. Биологическая).
24. Волобуев
В.Р. Агроэнергетика - актуальная научная и практическая проблема //
Почвоведение. - 1979. - №10. - С. 5 - 13.
25. Волобуев
В.Р. Введение в энергетику почвообразования. - М.: Наука, 1974. - 127 с.
26. Волобуев
В.Р. О биологической составляющей энергетики почвообразования // Почвоведение,
1985. №9. - С. 5-8.
27. Гайнріх
Д. Екологія: dtv-Atlas:
Пер. з 4-го нім. вид./ Д. Гайнріх, М. Гергт. - Київ: Знання-Прес, 2001. - 287
с.
28. Гамкало
З.Г. Екологічна якість ґрунту: навч. посіб. / З. Г. Гамкало. - Львів: вид.
центр ЛНУ ім. Івана Франка, 2009. - 412 с.
29. Гамкало
З.Г. Електропровідність як критерій оцінки йонної активності ґрунту пасовищ при
різному мінеральному удобренні травостанів / З.Г. Гамкало // Вісн. Львів.
ун-ту. - 2000. - Вип.27. - С. 147-151.
. Гамкало
З.Г. Роль активної фази органічної речовини ґрунту як енергопластичного буфера
у регулюванні едафічного комфорту / З.Г. Гамкало // Вісн. ХНАУ. - 2006. - №7:
Ґрунтознавство. - С. 65-71.
. Гланц
С. Медико-биологическая статистика / С. Гланц. - М.: Практика, 1998. - 459 с. -
(Пер. с. англ.).
. ДСТУ
4731:2007. Якість ґрунту. Методи визначання водорозчинних органічних речовин. -
9 с.
. ДСТУ
ISO 14235:2005. Якість ґрунту. Визначення органічного вуглецю сульфохромним
окиснюванням (ISO 14235:1998, IDT). - 9 с.
. ДСТУ
ISO 16072:2005. Якість ґрунту. Лабораторні методи визначення мікробного дихання
ґрунту (ISO 16072:2002, IDT) - 16 с.
. Дюшофур
Ф. Основы почвоведения / Ф. Дюшофур. - М.: Прогресс, 1970. - 591 с.
. Евдокимов
И.В. Иммобилизация азота почвенными микроорганизмами в зависимости от доз его
внесения / И.В. Евдокимов, С.Н. Саха, С.А. Благодатский, В.Н. Кудеяров //
Почвоведение. - 2005. - №5. - С. 581-589.
. Звягинцев
Д.Г. Биология почв: учеб. / Д.Г. Звягинцев, И.П. Бабьева, Г. М. Зенова. - 3-е
изд., испр. и доп. - М.: Изд-во МГУ, 2005. - 445 с., ил.
. Иванникова
Л.А. Метод измерения потока СО2 из почвы в естественных условиях /
Л.А. Иванникова // Почвоведение. - 1992. - №4. - С. 101-106.
. Иванов
И. В. История формирования черноземов ЦЧО и современное состояние их гумусового
профиля: мат. конф. / И. В. Иванов, Ю. Г. Чендев. - Пущино, 2010. - С. 67 - 77.
. Іванюк
Г. Гумусовий стан еродованих чорноземів опідзолених Пасмового Побужжя / Г.
Іванюк, Н. Тарасюк, В. Гаськевич // Вісник Львів. Ун-Ту Серія Геогр. - 2008. -
Вип. 35. - С. 110-117.
. Іутинська
Г.О. Ґрунтова мікробіологія: навч. посіб. / Г.О. Іутинська. - К.: Арістей,
2006. - 284 с.
. Калюкова
Е.Н. Свойства металлов и их соединений: учебное пособие / Е.Н. Калюкова -
Ульяновск: УЛГТУ, 2009. - 156 с.
. Карпачевский
Л. О. Экологическое почвоведение / Л. О. Карпачевский. - М.: Геос, 2005. - 335
с.
. Керженцев
А.С. Функциональная экология / отв. ред. Э.Г. Коломыц; Ин-т фундамент. проблем
биологии РАН. - М.: Наука, 2006. - 259 с.
. Кіотський
протокол до рамкової конвенції Організації Об'єднаних Націй про зміну клімату.
- Режим доступу: www.URL: http://zakon1.rada.gov.ua/cgi-bin/laws/main.cgi?nreg=
. Кіт
М.Г. Екологічна оцінка землекористування / М.Г. Кіт, С.П. Позняк, І.М.
Шпаківська // Досліджененя басейнової екосистеми Верхнього Дністра. - Львів,
2000. - С. 66-75.
. Кіт
М.Г. Морфологія ґрунтів. Основи теорії і практикум: навч. посіб. / М. Г. Кіт. -
Львів: Вид. центр ЛНУ ім. І. Франка, 2008. - 232 с.
. Кіт
М.Г. Стан і трансформація ґрунтового покриву / М.Г. Кіт, С.П. Позняк, І.М.
Шпаківська // Дослідження басейнової екосистеми Верхнього Дністра. - Львів,
2000. - С. 51-66.
. Ковальчук
І.П. Гідролого-геоморфологічні процеси в Карпатському реґіоні України / І.П.
Ковальчук // Праці НТШ (Екологічний зб.). - 2003. - Т. ХІ: Екологічні проблеми
Карпатського регіону. - С. 101-125.
. Ковда
В.А. Патология почв и охрана биосферы планеты Земли /В.А. Ковда. - Пущино: ОНТИ
ПНЦ РАН, 1989. - 34 с.
. Ковда
В.А. Роль и функции почвенного покрова в биосфере Земли /В.А. Ковда. - Пущино:
ОНТИ НЦБИ АН СССР, 1985. - 110 с.
. Когут
Б.М. Принципы и методы оценки содержания трансформруемого
органического вещества в пахотных почвах / Б.М. Когут / Почвоведение. - 2003. -
№3. - С. 308-316.
. Козин
В.К. Занас энергии в гумусе как критерий для бонитировки
почв / В.К. Козин // Почвоведение. - 1990. - №3. - С.153-155.
. Копій
C.Л. Вплив лісогосподарських заходів на динаміку мікологічної структури ґрунту
/ С.Л. Копій, М.Т. Копитко, В.П. Оліферчук // Наук. вісн. НЛТУ України. - 2010.
- Вип. 20.1 - С. 37-47.
. Копій
С.Л. Дендрохронологічні методи оцінки впливу лісогосподарських заходів на зміну
приростів дуба звичайного / С.Л. Копій // Лісове господарство, лісова, паперова
і деревообробна промисловість. - 2008. - Вип. 34. - С. 35-42.
. Костычев
П.А. Почвы черноземной области России / П.А. Костычев. - М.-Л.: Сельхозгиз,
1937. - 240 с.
. Котова
Д.Л. Методы контроля качества почвы: учеб.-метод. пособ. для вузов / Д.Л.
Котова, Т.А. Девятова. - Воронеж, 2007. - 106 с.
. Кудеяров
В.Н. Пулы и потоки углерода в наземных экосистемах России / В.Н. Кудеяров, Г.А.
Заварзин, С.А. Благодатский и др. - М.: Наука, 2007. - 315 с.
. Кудеяров
В.Н. Цикл азота в почве и эффективность удобрений / В.Н. Кудеяров. - М.
“Наука”, 1989. - 215 с.
. Кузнецов
А.М. Активный пул органического вещества почвы при разных способах
землепользования и системах удобрения: автореф. дис. на соискание учен. степени
канд. биол. наук.: спец. 06.01.04 - агрохимия “Агрохимия”
/ А.М. Кузнецов. - М.: 2008. - 22 с.
. Курганова
И.Н. Оценка потоков диоксида углерода из почв таежной зоны России / И.Н.
Курганова, В.Н. Кудеяров // Почвоведение. - 1998. - №9. - С. 1058-1070.
. Кучерявий
В. Урбанізаційне трансформування рослинного покриву верхів'я басейну ріки
Дністер / В. Кучерявий, І. Данилик, І. Скробала, Р. Данилик // Праці НТШ
(Екологічний зб.). - 2003. - Т. ХІ: Екологічні проблеми Карпатського регіону. -
С. 81-93.
. Лактионов
Н.И. Гумус как природное коллоидное поверхностно-активное вещество. -Харьков,
1978. - 25 с.
. Лактионов
Н.И. Органическая часть почвы в агрономическом аспекте: моногр. / Н.И.
Лактионов. - Х.: Харьк. гос. аграр. ун-т им. В.В. Докучаева, 1998. - 120 с.
. Макаров
И.П. Плодородие почв и устойчивость земледелия (агроэкологические аспекты) /
И.П. Макаров, В.Д. Муха, И.С. Кочетов и др. - М.: Колос, 1995. - 288 с.
. Марискевич
О.Г. Вплив антропопресії на біотичну активність ґрунтів у екосистемах
Українських Карпат / О.Г. Марискевич, І.М. Шпаківська// Науковий вісник
Ужгородського національного університету. Серія Біологія. - 2001. - №9. - С.
26-29.
. Марискевич
О.Г. Вплив лісокористування на мікробіологічну активність ґрунтів лісових
екосистем Свидовця (Українські Карпати) / О.Г. Марискевич // Матеріали
міжнародної науково-практичної конференції “Екологічні та соціально-економічні
аспекти катастрофічних стихійних явищ у Карпатському регіоні (повені, селі,
зсуви)”. - Рахів: Поличка Карпатського краю, 1999. - С. 208-214.
. Марчук
Г.И. Прироритеты глобальной экологии / Г.И. Марчук, К.Я. Кондратьев. - М.:
Наука, 1992. - 264 с.
. Мигунова
Е.С. Лесоводство и естественные науки (ботаника, география, почвоведение) /
Е.С. Мигунова. - Харьков: Майдан, 2001. - 612 с.
. Моделирование
динамики органического вещества в лесных экосистемах / отв. ред. В.Н. Кудеяров.
- М.: Наука, 2007. - 381 с.
. Морозов
А.И. О почве и почвоведении / А.И. Морозов. - М.: Геос, 2007. - 286 с.
. Мунблит
В.Я. Термоинактивация микроорганизмов / В.Я. Мунблит, В.Л. Тальрозе, В.И.
Трофимов. - М.: Наука, 1985. - 248 с.
. Муха
Б.П. Клімат верхів’я р. Дністер / Б.П. Муха // Дослідження басейнової екосистеми
Верхнього Дністра. - Львів, 2000. - С. 22-34.
. Муха
Б.П. Фізико-географічні умови та ландшафтна структура басейну верхів’я р.
Дністер / Б.П. Муха // Дослідження басейнової екосистеми Верхнього Дністра. -
Львів, 2000. - С. 7-22.
. Нагорная
О.В. Влияние различных форм природопользования на
энергетические функции органического вещества чернозема типичного:
автореф. дис. на соискание учен. степени канд. биол. наук.: спец. 03.00.27 - “почвоведение”,
03.00.16 - “экология”
/ О.В. Нагорная. - Курск: 2008. - 26 с.
. Назаренко
І.І. Ґрунтознавство з основами геології: підруч. / І. І. Назаренко та ін. -
Чернівці: Книги-ХХІ, 2006. - 504 с.
. Никифоренко
Л.И. Влияние удобрения и обработки почв на содержание в них гумуса / Л.И.
Никифоренко // Агрохимия. - 1985. - №8. С. 105-122.
. Одум
Ю. Экология: в 2-х т. / Ю. Одум. - М.: Мир, 1986. - 328 с., 376 с. - (Пер. с
англ.).
79. Орлов
Д.С. Гумусовые кислоты почв гумуса / Д.С.
Орлов - М.:
Изд-во
Моск. ун-та. 1974. - 335
с
. Орлов
Д. С. Практикум по биохимии гумуса / Д.С. Орлов, Л.А. Гришина. - М.: Изд-во
Моск. ун-та, 1981. - 272 с.
. Орлов
Д.С. Химия почв: учеб. / Д.С. Орлов. - М.: Изд-во Моск. ун-та, 1985. - 376 с.,
ил.
. Орлов
О.Л. Антропогенні зміни гумусового стану сірих опідзолених ґрунтів басейну
верхів'я Дністра / О.Л. Орлов // Наук. основи збереження біотичної
різноманітності: темат. зб. - 2002. - Вип. 4. - С. 212-216.
. Орлов
О.Л. Енергія органічної речовини природних, окультурених та ініціальних ґрунтів
басейну верхів’я Дністра / О. Л. Орлов // Наук. основи збереження біотичної
різноманітності: темат. зб. - 2001. - Вип. 3. - С. 146-149.
. Орлов
О.Л. Енергоємність гумусу як критерій гумусового стану ґрунтів / О. Л. Орлов //
Вісн. Львів. ун-ту. - 2002. - Вип.31. - С. 111-115. - (Сер. біологічна).
. Орлов
О.Л. Еколого-енергетична диференціація едафотопів у біогеоценозах басейну
Верхнього Дністра / О.Л. Орлов - Автореферат дис. … к-та біологічних наук:
спец. 03.00.16 - екологія. - 2005. - 26 с.
. Пастернак
П.С. Взаимодействие между лесом и почвой в буковых насаждениях / П.С. Пастернак
// Лесоводство и агролесомелиорация. - 1967. -Вып. 12. - С. 3-11.
. Пастернак
П.С. Лісові ґрунти Українських Карпат / П.С. Пастернак. - Ужгород, 1967. - 170
с.
. Погребняк
П.С. Лісова екологія і типологія лісів. Вибрані праці / П.С. Погребняк. - К.:
Наук. думка, 1993. - 496 с.
. Погребняк
П.С. Основы лесной типологии / П.С. Погребняк. - Львов: изд-во АН УССР, 1955. -
455 с.
. Погребняк
П.С. Праці ВНДІ лісового господарства і агролісомеліорації / П.С. Погребняк. -
Х., 1931. - Вип. 10. - С. 5-120.
. Погребняк
Петро Степанович. Бібліогр. покажч. наук. пр. / упор.: К. Ситник, П. Тронько,
Ф. Бабичев та ін. - К., 1978. - 54 с.
. Попов
А.И. Использование хемодеструкционного фракционирования для оценки
качественного состава почвенного органического вещества / А.И. Попов, А.В.
Русаков, М.А. Надпорожская, В.В. Яковлева // Гумус и почвообразование: сб.
науч. тр. -С.-Пб., 2004. - С. 63-72.
. Почвоведение
/ Под. ред. В.А. Ковды, Б.Г. Розанова. - М.: Высш. шк., 1988. - Ч. 1: Почва и
почвообразование. - 400 с.
. Природа
львівської області / Під ред. К.І. Геренчука. - Львів: Вища шк.., 1972. - 150
с.
. Программа
и методика биогеоценологических исследований. - М.: Наука, 1974. - 403 с.
. Работнов
Т.А. Некоторые вопросы изучения почвы как компонента биогеоценоза / Т.А.
Работнов // Вестник МГУ. Биол. и почвовед. - 1974. - №3. - С. 10-18.
. Работнов
Т.А. О биогеоценозах / Т.А. Работнов // Бюлл. МОИП, отд. биол. - 1976. -. Т.
81, вып. 2. - С. 92-101.
. Работнов
Т.А. Фитоценология / Т.А. Работнов. - М.: Изд-во Моск. ун-та, 1982. - 296 с.
. Ремезов
Н.П., Погребняк П.С. Лесное почвоведение / Н.П. Ремезов, П.С. Погребняк. - М.:
Лесн. пром-сть, 1965. - 324 с.
100. Розанов
Б.Г. Морфология почв: учеб. / Б.Г. Розанов. - М.: Акад. проект, 2004. - 432 с.
101. Романів
П. Фізичний стан ґрунтів Передкарпаття та його екологічне значення / П. Романів
// Вісн. Львів. ун-ту. - 2004. - Вип. 30. - С. 278-281. - (Сер. географічна).
. Садыков
Б.Ф. Влияние температуры и влажности на продуцирование СО2 почвенными
организмами / Б.Ф. Садыков, Л.Л. Зуева // Микробиология. - 1982. Т. 51/2. - С.
365-367
103. Семенов
В.М. Роль растительной биомассы в формировании активного пула органического
вещества почвы / В.М. Семенов, Л.А. Иванникова, Т.В. Кузнецова, Н.А. Семенова
// Почвоведение - 2004. - №11. - С.1350-1359.
104. Семенов
В.М. Экспериментальное определение активного органического вещества в некоторых
почвах природных и сельскохозяйственных экосистем / В.М. Семенов, И.К.
Кравченко, Л.А. Иванникова, Т.В. Кузнецова, Н.А. Семенова, М. Гисперт, Дж.
Пардини // Почвоведение. - 2006. - №3. - С. 282-292.
105. Семенов
В.М. Агроэкологические функции растительных остатков в почве / В.М. Семенов,
А.К. Ходжаева // Агрохимия. - 2006. - №7. - С. 63-81.
. Синявский
В.А. Почва и рациональное использование биоресурсов / В. А. Синявский //
Вестник Челябинского государственного университета. -
2007. -
№6. -
С. 42-47.
. Соколов
И.А. Взаимодействие почвы и среды: почва-память и почва-момент / И.А. Соколов,
В.О. Таргульян // Изучение и освоение природной среды. - М., Наука, 1976, с.
150-164.
. Соколова
Т. А. Сорбционные свойства почв. Адсорбция. Катионный обмен: учеб. пособ. по
некоторым главам химии почв / Т.А. Соколова, С.Я. Трофимов. - Тула: Гриф и К,
2009. - 172 с.
. Степанов
А.А. Гидрофобные свойства органического вещества некоторых почв Убсунурской
котловины / А.А. Степанов, Е.Ю. Милановский // Многостороннее совещание
стран-членов св. Советско-монгольский эксперимент «Убсу-нур»: тез. докл. -
Пущино, 1989. - С. 53-54.
. Стойко
С.М. Эталоны природы / С.М. Стойко. - Львов: Вища шк. Изд-во при Львов. ун-те,
1980. - 120 с.
. Стойко
С.М. Потенційні екологічні наслідки глобального потепління клімату в лісових
формаціях Українських Карпат / С.М. Стойко // Науковий вісник НЛТУ України. -
2009. − Вип. 19.15. - С. 214-224.
. Тейт
Р. Органическое вещество почвы: биологические и экологические аспекты / Р.
Тейт. - М.: Мир, 1991. - 400 с. - (Пер. с англ.).
. Туев
Н.А. Микробиологические процессы гумусообразования / Н.А.
Туев. - М.: Агропромиздат, 1989. - 239 с.
. Тюрин,
И.В. Органическое вещество почв и его роль в почвообразовании и плодородии:
Учение о почвенном гумусе. - М.; Л.: Сельхозгиз. Гос. изд-во колхозной и
совхозной лит., 1937. - 285 с.
. Уткин
А.И. Методика исследований первичной биологической продуктивности лесов / А.И.
Уткин // Биологическая продуктивность лесов Поволжья. - М.: Наука, 1982. - С.
59-71.
. Уткин
А.И. Об энергетике лесных биогеоценозов // Структурно-функциональная
организация биогеоценозов / А.И. Уткин. - М.: Наука, 1980. - С. 51-69.
. Уткин
А.И. Углеродный цикл и лесоводство / А.И. Уткин // Лесоведение. -1995. - Вып.
5. - С. 3-20.
. Федорос
Е.И. Оценка качественного состава почвенного органического вещества с помощью
метода хемодеструкционного фракционирования (на примере пахотных почв
Ленинградской области) / Е.И. Федорос, А.И. Попов // Гумус и почвообразование:
сб. науч. тр. (С.-Пб. гос. аграрного ун-та). - С.-Пб., 1997. - С. 153-162.
. Філімонова
Н.Б. Статистичний аналіз даних відповідно до засад науково обґрунтованої
медицини (первинний аналіз кількісних даних, подання результатів експерименту)
/ Н.Б. Філімонова, І.О. Філь, Т.С. Михайлова // Методи математичної статистики.
- 2004. - №4. - С. 85-93.
. Хазиев
Ф.А. Ферментативная активность почв / Ф.А. Хазиев. - М.: Наука. - 1976. - 180
с.
. Хильми
Г.Ф. Биогенные превращения энергии и их экологическое значение / Г.Ф. Хильми //
Проблемы оптимизации в экологии. - М.: Наука, 1978. - С. 159-175.
. Чернобай
Ю.Н. Динамика экстрактивных веществ в подстилках дубовых лесов верхнего
Приднестровья / Ю.Н. Чернобай, О.Г. Марискевич // Почвоведение. - 1991. - №4. -
С. 162-167.
. Чернявський
М. Рівнинні ліси верхньої частини долини Дністра і оцінка рівня їх
трансформації / М. Чернявський, П. Ященко, Я. Геник, П. Шмідт, Т. Глазер //
Досліджененя басейнової екосистеми Верхнього Дністра. - Львів, 2000. - С. 75-95
. Чорнобай
Ю.М. Органохімічний і гумусовий стан підстилок у провідних типах лісів Розточчя
/ Ю.М. Чорнобай, О.Ю. Залецька // Наук. зап. ДПМ НАН України. - Львів: вид-во
ДПМ НАН України, 1994. - Т. 11. - С. 76-85.
. Чорнобай
Ю.М. Профільний розподіл і трансформація фітодетриту у лісових угрупованнях
Карпат / Ю.М. Чорнобай, О.Г. Марискевич // Укр. ботан. журнал. - 1994. - №5. -
С. 75-80.
. Чорнобай
Ю.М. Трансформація рослинного детриту в природних екосистемах / Ю.М. Чорнобай.
- Львів: вид-во ДПМ НАН України, 2000. - 352 с.
. Шпаківська
І. Водорозчинний вуглець у ґрунтах наземних екосистем Сколівських Бескидів
(Українські Карпати) / І. Шпаківська // Вісн. Львів. ун-ту. - 2008. - Вип. 48.
- С. 89-96. - (Сер. біологічна).
. Шпаківська
І.М. Мінералізація органічного вуглецю у ґрунтах екосистем Чорногори (Східні
Карпати) / І.М. Шпаківська, О.Г. Марискевич // Наук. основи збереження
біотичної різноманітності: зб. Ін-ту екології Карпат НАН України. - 2002. -
Вип. 3. - С. 170-180.
. Шпаківська
І.М. Вплив температури на дихальний газообмін грунтів верхньої межі лісу
чорногірського масиву Українських Карпат /І.М. Шпаківська // Збірник наукових
праць Харківського національного педагогічного університету імені Г.С.
Сковороди, Біологія та валеологія. - 2009. - Вип. 11. - С. 137-143.
. Шпаківська
І.М. Оцінка процесів мінералізації органічного вуглецю в ґрунтах екосистем
верхньої межі лісу Чорногори Українських Карпат / І.М. Шпаківська // Генеза,
географія та екологія ґрунтів. Збірник наукових праць на пошану професора ЛНУ
ім. Ів. Франка Мирона Кіта. - Львів: Видавн. центр ЛНУ ім. Ів. Франка. 2008. -
С. 585-591.
. Шпаківська
І.М. Питання потреби формалізації параметрів методики оцінки трофності лісових
ґрунтів Українських Карпат / І.М. Шпаківська, О.Г. Марискевич // Вісник ХНАУ
ім. В.В. Докучаєва. Серія „Ґрунтознавство, агрохімія, землеробство, лісове
господарство”. - 2008. - №1- С. 219-223.
. Шредингер
Э. Что такое жизнь с точки зрения физики? / Э. Шредингер // М.: РИМИС, 2009. -
176 с.
. Шульц
Э. Характеристика разлагаемой части органического вещества почвы и ее
трансформации при помощи экстракции горячей водой / Э. Шульц, М. Кершес //
Почвоведение. - 1998. - №7. - С. 890-894.
. Щеглов
Д.И. Начальный почвообразовательный процесс на отвалах рыхлых пород Курской
магнитной аномалии / Д.И. Щеглов, Е.Н. Тихонова, А.П. Щербаков // Вестн. ВГУ. -
2001. - №2. - С. 163-167. - (Сер. Химия, биология).
. Щеглов
Д.И. Черноземы центра Русской равнины и их эволюция под влиянием естественных
факторов / Д.И. Щеглов. - М.: Наука, 1999. - 214 с.
136. Щербаков
А.П. Плодородие почв, круговорот и баланс питательных веществ / А.П. Щербаков,
И.Д. Рудай. - М.: Колос, 1983. - 189 с.
. Alexander
E. B. Serpentine geoecology of Western North America: soils, geology, and vegetation
/ E.B. Alexander, B. Earl, R.G. Coleman, T. Keeler-Wolf, S.P. Harrison. -
Oxford: Oxford university press, 2007. - 512 p.
. Anderson
T.N. Measurment of bacterial and fungal contribution to respiration of selected
agricultural and forest soils / T. N. Anderson, K.N. Domsh // Canadian journal
of microbiology. - 1974. - V. 21. - P. 314-322.
. Anderson
J.P.E. Quantities
of plant nutrients in the microbial biomass of selected soils /
J.P.E. Anderson,
K.N. Domsh // Soil Sci. Soc. Am. J.
- 1980.
- V. 130.
- P. 211-216.
. Arndt
D.S. State of the climate in 2009 / D.S. Arndt, M.O. Baringer, M.R. Johnson //
Bull. Amer. Meteor. Soc. - 2010. - №91(7). - P. 1-224.
. Balesdent
J. The significance of organic separates to carbon dynamics and its
modelling in some cultivated soils / J. Balesdent // European journal of soil
science. - 1996. - Vol. 47. - P. 485-493.
142. Bederniczek
T.
Podejście
pedocentryczne
do
oceny
stanu
funcjonalnego
ekosystemów
leśnych
/ T. Bederniczek,
E.
Machrova
// Zeszyty NaukowePołudniowo-Wschodniego
Oddziału
Polskiego
Towarzystwa
InżynieriiEkologicznej
z
siedzibą
w
Rzeszowie
i
Polskiego
TowarzystwaGleboznawczego
Oddział
w
Rzeszowie.
- Rzeszow, 2010. - S.
17-18.
143. Bending
G.D. Fate of nitrogen from crop residues as affected by biochemical quality and
the microbial biomass/
G.D. Bending, M.K. Turner, I.G. Burns// Soil Biol. Biochem. - 1998. - Vol. 30.
- №14. - P. 2055-2065.
. Binkley
D. Does forest removal increase rates of decomposition and niitrogen release? /
D. Binkley // For. Ecol. Manag. - 1984. - Vol. 8. - P. 229-233.
. Blair
G. J. Soil carbon fractions based on their degree of oxidation, and the
development of a carbon management index for agricultural systems / G. J.
Blair, R. D. B. Lefroy, L. Lise // Australian j. Agric. Res. - 1995. - Vol. 46.
- P. 1459-1466.
. Blair
G. The development of the KMnO4 oxidation technique to determine
labile carbon in soil and its use in a carbon management index / G. Blair, R.
Lefroy, A. Whitbread, N. Blair, A. Conteh // Assessment methods for soil
carbon. Lewis publishers, Boca Raton. - 2001. - P. 323-337.
. Blair
J.M. Litter decomposition, nitrogen dynamics and litter microarthropods in a
southern Appalachian hardwood forest 8 years following clearcutting / J.M.
Blair, D.A. Crossley // Appl. Ecol. - 1988. - Vol. 25. - P. 683-98.
. Boyer
J.N. Bioavailability of water extractable organic carbon fractions in forest
and agriculturel profiles / J.N. Boyer, P.M. Groffman // Soil Biol. Biochem. -
1996. - Vol. 28, №6. - Р. 783-790.
. Brais
S.C. Impacts of whole-tree harvesting and winter windrowing on soil-pH and base
status of clayey sites of northwestern Quebec / S. C. Brais, C. Camire, D. Pare
// Can. J. For. Res. - 1995. - Vol. 25. - P. 997-1007.
. Braun,
D.W. Organic Spectroscopy / D.W. Braun, A.J. Floyd, M. Sainsbury. - John Wiley,
New York, 1988. - 323 p.
. Bremner
J.M. Some observations on the oxidation of soil organic matter in the presence
of alkali / J.M. Bremner // J.Soil. Sci. - 1950. - Vol. 1. - P. 198-204.
152. Brêthes
А. Representative samples, used to build a series of forest humus forms: a
french proposal / А. Brêthes,
J. Brun, B. Jabiol, J. Ponge, F. Toutain // Ann. Sci. for. - 1995. - №52. - Р.
535-546.
. Burriel
F. Química analítica
cualitativa / F. Burriel, F. Lucena, S. Arribas, Y. Hernándéz,
J. Edit // Paraninfo. - 1985. - 1150 p.
. Chantigny
M. H. Dissolved and water-extractable organic matter in soils: a review on the
influence of land use and management practices / M. H. Chantigny // Geoderma -
2003. - №113. - Р. 357-380.
. Charles
T. Soil moisture surpasses elevated CO2 and temperature as a control
on soil carbon dynamics in a multi-factor climate change experiment plant and
soil / T. Charles, Jr. Garten, A. Classen, R. Norby // Plant and soil. - 2009.
- Vol. 319, №1-2. - Р. 85 - 94.
. Chen
Y. Information provided on humic substances by E4:E6 ratios / Y. Chen, N.
Senesi, M. Schnitzer // Soil Sci. Soc. Am. J. - 1977. - Vol. 41. - P. 352-358.
. Chin
Y.P. Molecular weight, polydispersity, and spectroscopic properties of aquatic
humic substances / Y.P. Chin, G. Aiken, E. O’loughlin // Environ. Sci. Technol.
- 1994. - Vol. 26. - P. 1853-1858.
. Climate
change 2001: the scientific basis. Contribution of working group i to the third
assessment report of the intergovernmental panel of climate change. - N. Y.:
Cambridge univ. рress, 2001. - 881 p.
. Climate
change. The physical science basis. Contribution of working group i to the
fourth assessment report of the intergovernmental panel on climate change / S.
Solomon, D. Qin, M. Manning, Z. Chen, M. Marquis, K.B. Averyt, M. Tignor, H.
Miller. - Cambridge university press, 2007. - 996 p.
. Covington
W.W. Changes in the forest floor organic matter and nutrient content
following clear cutting in Northern Hardwoods / W. W. Covington // Ecology. -
1981. - №62. - Р. 41-48.
. Davidson
E.A. Assessing available carbon: comparison of techniques across selected
forest soils / E.A. Davidson, L.F. Galloway, M.K. Strand // Communications in
soil science and plant analyses. - 1987. - №18. - Р. 45-64.
163. Davis
A.L.V. Philips T.K. Effect of Deforestation on a Southwest Ghana Dung Beetle
Assemblage (Coleoptera: Scarabaeidae) at the Periphery of Ankasa Conservation
Area / A.L.V Davis, T.K. Philips // Environmental Entomology. - 2005. №34:
Р 1081-1088.
. De
Haan H. Applicability of light absorbance and fluorescence as measures of
concentration and molecular size of dissolved organic carbon in humic Laken
Tjeukemeer / H. De Haan, T. De Boer // Water Res. - 1987. - Vol. 21. - P.
731-734.
165. Decision land use, land-use change and
forestry №Decision 16/CMP.1. - Режим доступу: www.URL <http://www.URL>:
http://www.unfccc.int/ resource/docs/2005/cmp1/ eng/08a03.pdf.
. Derenne S. A review of some important
families of refractory macromolecules: composition, origin, and fate in soils
and sediments / S. Derenne, C. Largeau // Soil science, Baltimore. - 2001. -
Vol. 166. - Р. 833с884.
. Embacher A. The dynamics of water
extractable organic matter (WEOM) in common arable topsoils. Influence of
mineral and combined mineral and manure fertilization in a haplic chernozem /
A. Embacher, A. Zsolnay, A. Gattinger, J. Munch // Geoderma. - 2008. - Vol.
148. - Р. 63-69.
. Embacher A. The dynamics of water extractable
organic matter (weom) in common arable topsoils: Quantity, quality and function
over a three year period / A. Embacher, A. Zsolnay, A. Gattinger, J. Munch //
Geoderma. - 2007. - Vol. 139, №1-2. - Р. 11-22.
. Eswaran H. Organic carbon in soils of
the words / H. Eswaran, E. van Den Berg, P. Reich // Soil sciencesociety of
America journal. - 1993. - Vol. 57. - P. 192-194.
. Falloon P. Estimating the size of the
inert organic matter pool from total soil organic carbon content for use in the
Rothamsted carbon
model
/ P. Falloon,
P.
Smith, K.
Coleman,
S.
Marshall
//
Soil Biology and Biochemistry. - 1998. - Vol. 30.
- P. 1207-1211.
. Federer C. A. Subjectivity in the
separation of organic horizons of the forest floor / C. A. Federer // Soil
science society of America journal. - 1982. - Vol. 4. - Р. 1090-1093.
172. Finér L. Carbon
and nitrogen pools in an old-growth, norway spruce mixed forest in eastern
finland and changes associated with clear-cutting / L. Finér, H.
Mannerkoski, S. Piirainen, M. Starr // Forestecology and management. - 2003. -
Vol. 174. - P. 51-63.
173. Fissore C. Variable
temperature sensitivity of soil organic carbon in North
American forests / C. Fissore, C.P. Giardina, C.W. Swanston,
G.M. King, R.K. Kolka // Global Change Biology.
-
2009.
- Vol.
15.
- P.
2295-2310
. Freeman C. Export of dissolved organic
carbon from peatlands under elevated carbon dioxide levels / С. Freeman //
Nature. - 2004. - Vol. 430. - Р. 195-198.
. Froberg M. Contributions of Oi, Oe and
Oa horizons to dissolved organic matter in forest floor leachates / M. Froberg,
D. Berggren, B. Bergkvist, C. Bryant, H. Knicker // Geoderma. - 2003. - Vol.
113. - P. 311-322.
. Ghani A. Hot-water carbon is an
integrated indicator of soil quality 17-th WCSS / A. Ghani // Thailand
symposium no. 32 paper no. 1650. - 2002. - Р. 1083.
. Ghani А. Hot-water extractable carbon
in soils: a sensitive measurement for determining impacts of fertilisation,
grazing and cultivation / А. Ghani, M. Dexter, K. Perrott // Soil Biology and
Biochemistry. - 2003. - Vol. 35, №9. - Р. 1231-1243.
. Glaser B. Black
carbon in soils: the use of benzenecarboxylic acids as specific markers / B.
Glaser,
L.
Haumaier, G.Guggenberger,
W.
Zech
// Org
Geochem.
- 1998. - Vol.
29.
- P. 811-819.
. Glaser, B.; Haumaier, L.; Guggenberger,
G.; Zech, W.
The
‘Terra Preta’ phenomenon: a model for sustainable agriculture in the humid
tropics / B.
Glaser,
L.
Haumaier, G.Guggenberger,
W.
Zech
//
Naturwissenschaften. - 2001. - Vol. 88.
- P.
37-41.
180. Gödde M. Carbon
mobilization from the forest floor under red spruce in the northeastern
USA / M. Gödde, M.
David, M. Christ, M. Kaupenjohann // Soil biol. Biochem. - 1996. - №28. - Р.
1181-1189.
. Gregorich E.G. Biodegradability of
soluble organic matter in maize-cropped soils / E. Gregorich, M. Beareb, U.
Stoklasa, P. St-Georgesa // Geoderma. - 2003. - Vol. 113. - Р. 237-252.
. Gregorich E.G. Towards a minimum data
set to assess soil organic matter quality in agricultural soils / E.G.
Gregorich, M.R. Carter, D.A. Angers, C.M. Monreal, B.H. Ellert // Canadian
journal of soil science. - 1994. - Vol. 74. - Р. 367-385.
. Guggenberger G. Dissolved organic
matter in soil: challenging the paradigm of sorptive preservation / G.
Guggenberger, K. Kaiser // Geoderma. - 2003. - Vol. 113. - Р. 293-310.
. Haider K. Humic acid-type phenolic
polymers from aspergillus sydowi culture medium, stachybotrys spp. cells and
autoxidized phenol mixtures / K. Haider, J. Martin // Soil. Biol. - 1970. -
Vol. 2. - Р. 145-156.
. Haider K. Synthesis and transformation
of phenolic compounds by epicoccum nigrum in relation to humic acid formation /
K. Haider, J. Martin // Soil. Sci. Soc. Am. J. - 1967. - Vоl. 31. - Р. 766-772.
. Hargitai L. Biochemical transformation
of humic substances during humification related to their environmental
functions / L. Hargitai // Environment International. - 1994. - V. 20 (1). - P.
43-48.
. Hargitai L. Some aspects of the
mobility and distribution of toxic heavy metals contaminants in soil profiles
and river sediments / L. Hargital // Int. J. Environ. Anal. Chem. - 1995. -
Vol. 59. - P. 317-325.
. Hargitai L. The role of organic matter
content and humus quality in the maintenance of soil fertility and in
environmental protection / L. Hargitai// Landscape Urban. Plann. - 1993. - Vol.
27. - P. 161-167.
. Hayes M.H.B. Humic materials from an
organic soil: a comparison of extractants and of properties of extracts /
M.H.B. Hayes, R.S. Swift, R.E. Wardle, J.K. Brown // Geoderma. - 1975. - Vol.
13. - P. 231 - 245.
. Haynes R.J. Labile organic matter as an
indicator of organic matter quality in arable and pastoral soils in New Zealand
/ R.J. Haynes // Soil Вiol. Biochem. - 2000. - Vol. 32 - P. 211-219.
. Haynes R.J. Labile organic matter
fractions as central components of the quality of agricultural soils: an
overview / R.J. Haynes // Advances in agronomy. - 2005. - Vol. 85. - Р.
221-268.
. Helms J.R. Absorption spectral slopes
and slope ratios as indicators of molecular weight, source, and photobleaching
of chromophoric dissolved organic matter / J.R. Helms, A. Stubbins, J.D.
Ritchie, E.C. Minor, D.J. Kieber, K. Mopper // Limnol. Oceanogr. - 2008. - Vol.
53. - P. 955-969.
. Hendrickson O.Q. Nutrient cycling
following whole-tree and conventional harvest in northern mixed forest / O.Q.
Hendrickson, L. Chatarpaul, D. Burgess // Can. J. For. Res. - 1989. - Vol 19. -
P. 725-735.
. Hilli S. Qualitative and quantitative
changes in water-extractable organic compounds in the organic horizon of boreal
coniferous forests / S. Hilli, S. Stark, J. Derome // Boreal environment
research. - 2008. - №13. - Р. 107-119.
. Howard P.J. A. Use of organic carbon
and loss-on-ignition to estimate soil organic matter in different soil types
and horizons / P.J.A. Howard, D. M. Howard // Biology and fertility of soils. -
1990. - Vol. 9, №4. - Р. 306-310.
. Huang Z. Effect of mulching on labile
soil organic matter pools, microbial community functional diversity and
nitrogen transformations in two hardwood plantations of subtropical Australia /
Z. Huang, Z. Xu, C. Chen // Applied soil ecology. - 2008. - Vol. 40. - Р.
229-239.
. Huntington T.G. Whole-tree-harvesting
effects on soil nitrogen and carbon / T.G. Huntington, D.F. Ryan // For. Ecol.
Manag. - 1990. - Vol. 31. - P. 193-204.
198. Iglesias-Jimenez E. Effect of
the nature of exogenous organic matter on pesticide sorption by the soil / E.
Iglesias-Jimenez, E. Poveda, M.J. Sanchez-Martin, M. Sanchez-Camazano //
Archives of Environmental Contamination and Toxicology. - 1997. - Vol. 33 (2).
- P. 0117-0124
. IPCC, 2007: Summary for Policymakers.
In: Climate Change 2007: The Physical Science Basis. Contribution of
WorkingGroup I to the Fourth Assessment Report of the Intergovernmental Panel
on Climate Change [Solomon, S., D. Qin, M. Manning,Z. Chen, M. Marquis, K.B.
Averyt, M.Tignor and H.L. Miller (eds.)]. Cambridge University Press,
Cambridge, United Kingdomand New York, NY, USA.
. Jackson M.L. Soil chemical analysis /
M.L. Jackson // Englewood Cliffs, NJ: Prentice‐Hall,.
- 1958. - Р. 498.
. Jacobson S. Impact of whole-tree
harvesting and compensatory fertilization on growth of coniferous thinning
stands / S. Jacobson, M. Kukkola, E. Mälkönen, B.
Tveite // For. Ecol. Mgmt. - 2000. - Vol. 129. - Р. 41-51.
. Jardine P. M. Mechanisms of dissolved
organic carbon adsorption on soil / P.M. Jardine, N.L. Weber, J.F. Mccarthy //
Soil science society of America journal. - 1989. - Vol. 53. - Р. 1378-1385.
. Johnson J.E. Effects on the forest floor
of whole-tree harvesting in an Appalachian oak forest / J.E. Johnson, D.W.
Smith, J.A. Burger // Am. Midl. Nat. - 1985. - Vol. 114. - P. 51-61.
. June, april to june, and year-to-date
global temperatures are warmest on record, noaa [Електронний ресурс]. - 2010. -
Режим доступу: www.URL: http://www.noaanews.noaa.gov/
. Kalbitz K. Biodegradation of
soil-derived dissolved organic matter as related to its properties / K.
Kalbitz, J. Schmerwitz, D. Schwesig, E. Matzner // Geoderma. - 2003. - Vol.
113. - Р. 273-291.
. Kalbitz, K. Controls on the dynamics of
dissolved organic matter in soils: a review / K. Kalbitz, S. Solinger, J.-H.
Park, B. Michalzik, E. Matzner // Soil sci. - 2000. - Vol. 165. - Р. 277-304.
. Keith Н. Measurement of soil CO2
efflux using soda lime absorption: both quantitative and reliable / Н.
Keith, S. Wong // Soil biology and biochemistry. - 2006. - Vol. 38. - Р.
1121-1131.
. Klavins M. Approaches to estimating
humification indicators for peat / M. Klavins, J. Sire, O. Purmalis, V. Melecis
// Mires and Peat. - 2008. - Vol. 3. - P. 1 - 17.
209. Kolar L. Labile fractionsof soil organic matter, their quantity
and quality /
L. Kolář,
S. Kužel
, J. Horáček, V.Čechová, J.Borová-Batt, J.Peterka
//
Plant
Soil Environ.
- 2009. - Vol.55 (6).
- P.
245-251.
. Kononova M. Soil organic matter: its
nature, its role in soil formation and in soil fertility / M.M. Kononova -
Pergamon, Oxford, 1966. - 544 p.
. Kukkonen J. Effects of lignin and
chlorolignin in pulp mill effluents on the binding and bioavailability of hudrophobic
organic pollutants / Kukkonen J. // Water Res. - 1992. - Vol. 26. - P. 1523 -
1532.
. Landgraf D. Cold and hot
water-extractable organic matter as indicators of litter decomposition in
forest soils / D. Landgraf, P. Leinweber, F. Makeschin // Journal of plant
nutrition and soil science. - 2006. - Vol. 169, №1. - Р. 76-82.
. Leroy B.L.M. The
quality of exogenous organic matter: Short-term influence on earthworm
abundance / B.L.M.
Leroy, A. Van
den Bossche, S. De
Neve, D.
Reheul, M.
Moens //
European Journal of Soil Biology. - 2007. - Vol. 43. - P. 196 - 200.
214. Liebig, J. Die organische Chemie in ihrer
Anwendung auf Agrikultur und Physiologie / J. Liebig //
Vieweg.
-
Braunschweig,
1940.
215. Lindeman R. The
trophic-dynamic aspect of ecology / R. Lindeman // Ecology. - 1942. - Vol. 23 -
P. 399-418.
216. Likens G.E. Biogeochemistry of a forested
ecosystem / G.E. Likens, F.H. Bormann // Springer-verlag. - NY, 1995. - Р. 148.
. Lloyd J., Taylor J.A. On the
temperature dependence of soil respiration / J. Lloyd, J.A. Taylor //
Functional ecology. - 1994. - V. 8. - P. 315 - 323.
. Loginow W. Fractionation of organic
carbon based on susceptibility to oxidation / W. Loginow, W. Wisniewski, S.
Gonet, B. Ciescinska // Polish J. Soil Sci. - 1993. - Vol. 20. - Р. 47-52.
. Londo A.J. Forest harvesting effects on
soil temperature, moisture, and respiration in a bottomland hardwood forest /
A.J. Londo, M.G. Messina, S.H. Schoenholtz // Soil Sci. Soc. Am. J. - 1999. -
Vol. 63. - P. 637-644.
. Luo Y. Soil Respiration and the
Environment / Luo Y., Zhou X. -Elsevier/Academic Press, Amsterdam, 2006. - 316
p.
. Lutz H.J. Forest soils / H. J. Lutz,
R.F. Chandler. - New York: Wiley, 1946. - 514 p.
222. Mälkönen E. Effects
of nitrogen inputs on forest ecosystems estimation based on long-term
fertilization experiments / E. Mälkönen, J. Derome,
M. Kukkola // Springer. - Berlin, 1990. - Р. 325-347.
223. Malik J. The Yields of the
Hiroshima and Nagasaki Nuclear Explosions / J. Malik // Los Alamos National
Laboratory. - 1985. - 35 P.
. Manlay R.J. Historical
evolution of soil organic matter concepts and their relationships with the
fertility and sustainability of cropping systems /R.J. Manlay, C. Feller, M.J.
Swift // Agriculture, Ecosystems and Environment. - 2007. - Vol. 119. - P.
217-233.
. Marschner B. Controls of
bioavailability and biodegradability of dissolved organic matter in soils / B.
Marschner, K. Kalbitz // Geoderma. - 2003. - №113. - Р. 211-235.
226. Marris E. Putting the carbon
back: black is the new green / E. Marris // Nature. - 2006. - Vol. 442. - P.
624-626
. Mattson K.G. Detrital organic matter
and soil CO2 efflux in forests regenerating from cutting in
West Virginia / K.G. Mattson, H.C. Smith // Soil Biol Biochem. - 1993. - Vol. 25.
- P. 1241-1248.
. Mattson K.G. Soil and detrital carbon
dynamics following forest cutting in the southern Appalachians / K.G. Mattson,
W.T. Swank // Biol. Fertil. Soils. - 1989. - Vol. 7. - P. 247-253.
. Mcdowell G.J. Origin, composition and
flux of dissolved organic carbon in the hubbard brook valley / G. J. Mcdowell,
G. E. Likens // Ecological monographs. - 1988. - №58. - Р. 177-195.
. Mingorance M. Guidelines for improving
organic carbon recovery by the wet oxidation method / M. Mingorance, E. Barahona,
J. Fernández-Gálvez //
Сhemosphere. - 2007. - №68. - Р. 409-413.
. Mirsky S. B. Evaluating soil management
using particulate and chemically labile soil organic matter fractions / S. B.
Mirsky, L. E. Lanyon, B. A. Needelman // Soil sci. Soc. Am. J. - 2008. - №72. -
Р. 180-185.
. Moody P.W. Soil organic carbon,
permanganate fractions, and the chemical properties of acidic soils / P. W.
Moody, S. A. Yo, R. L. Aitken // Australian j. Soil res. - 1997. - №35. - Р.
1301-1308.
. Moore T.R. Dissolved organic carbon:
sources, sinks, and fluxes and role in the soil carbon cycle / T. R. Moore //
Аdvances in soil science. - 1997. - Р. 281-292.
. Moyano F. E. Response of mycorrhizal,
rhizosphere and soil basal respiration to temperature and photosynthesis in a
barley field / Moyano F.E., Kutsch W.L., Schulze E.D. // Soil Biol.
Biochem. - 2007. - Vol. 39. - P. 843-853.
. Mroz G.D. Soil nutrient changes
following whole tree harvesting on three northern hardwood sites / G.D. Mroz,
M.F. Jurgensn, D.J. Frederick // Soil. Sci. Soc. Am. J. - 1985. - Vol.49. -
P.1552-1557.
. Nardi S. Chemical and biochemical
properties of humic substances isolated from forest soils and plant growth / S.
Nardi, D. Pizzeghello, F. Reniero, N. Rascio // Soil Sci. Soc. Am. J. - 2000. -
Vol. 64. - P. 639-645.
. Nelson D.W. Total carbon, organic
carbon, and organic matter / D.W. Nelson, L.E. Sommers // Methods of soil
analysis. - 1982. - №9(2). - P. 539-579.
. Nelson P.N. Availability of organic
carbon in soluble and particle-size fractions from a soil profile / P.N.
Nelson, M.-C. Dictor, G. Soulas // Soil biol. Biochem. - 1994 -26, -Р.
1549-1555.
. Nourbakhsh F. Decoupling of soil
biological properties by deforestation / F. Nourbakhsh // Agriculture,
ecosystems and environment. -2007. - №121. - Р. 435-438.
. Parkin T. B. Field and laboratory tests
of soil respiration (Methodes for assessing soil quality) / T. B. Parkin, J. W.
Doran, I. E. Franco-Vizca // Soil science society of America. - 1996. - P.
231-245.
. Parkinson D. Techniques for the study
of soil fungi / D. Parkinson // Bull. Ecol. Res. Commun. (Stockholm). - 1973. -
Vol. 17. - P. 29-36.
. Paul E.A. Soil microbiology and
biochemistry / E.A. Paul, F.E. Clark. - San Diego: Academic press, 1996. - 275
p.
. Paul E.A. Does the acid-hydrolysis
incubation method measure meaningful soil organic carbon pools? / E.A.
Paul,
S.J.
Morris, R.T.
Conant,
A.F.
Plante
//
Soil Science Society of America Journal. - 2006. -
Vol
70.
- P.
1023-1035.
244. Peňa-méndez M. Humic
substances: compounds of still unknown structure: applications in agriculture,
industry, environment, and biomedicine / M. Peňa-méndez, J.
Havel, J. Patočka //
J. Appl. Biomed. - 2005. - №3. - Р. 13-24.
. Peuravouri J. Molecular size
distributionand spectroscopic properties of aquatic humic substances / J.
Peuravouri, K. Pihlaja // Anal. Chim. Acta. - 1997. - Vol. 337. - P. 133-149.
. Piccolo A. Chemical characterization of
humic substances extracted from organic-waste-amended soils / A. Piccolo, P.
Zaccheo, P. G. Genevini // Biores. Technol. - 1992. - Vol. 40. - P. 275-282.
. Polyakov V. Soil organic matter and CO2
emission as affected by water erosion on field runoff plots / V. Polyakov, R.
Lal // Geoderma. - 2008. - Vol. 143. - Р. 216-222.
. Ponge J. Humus index: an integrated
tool for the assessment of forest floor and topsoil properties / J. Ponge, R.
Chevalier, P. Loussot // Soil sci. Soc. Am. J. - 2002. - №66. - Р. 1996-2001.
. Prescott C.E. Effects of clearcutting
and alternative silvicultural systems on rates of decomposition and nitrogen
mineralization in a coastal montane coniferous forest / C.E. Prescot // For.
Ecol. Manag. - 1997. - Vol. 95. - P. 253-260.
. Prescott C.E. Effects of clearcutting
on decomposition rates of litter and humus in forests of British Columbia / C.
E. Prescott, L.L. Blevins, C. L. Staley // Can. J. For. Res. - 2000. - Vol. 30.
- P.1751-1757.
. Pribyl D.W. A critical review of the
conventional SOC to SOM conversion factor / D.W. Pribyl // Geoderma, - 2010. -
Vol. 156, №3-4. - Р. 75-83.
. Pumpanen J. CO2 efflux from
boreal forest soil before and after clear-cutting and site preparation / J.
Pumpanen // Boreal env. Res. University of Helsinki department of forest
ecology publications 30, Yliopistopaino. - Helsinki, 2003. - Vol. 9. - 51 p.
. Raich J.W. Interannual variability in
global soil respiration, 1980-1994 / J.W. Raich, C.S. Potter, D. Bhagavatti //
Global change boil. - 2002. - V. 8. - P. 800-812.
. Raich J.W. The Global carbon dioxide
flux in soil respiration and its relationship to vegetation and climate / J.W.
Raich, W.H. Shlesinger // Tellus 44 B. - 1995. - P. 81-99.
. Rayment G.E. Аustralian laboratory
handbook of soil and water chemical methods / G. E. Rayment, F. R. Higginson //
Australian soil and land survey handbooks. - 1992. - Vol. 3. - Р. 330 p.
. Ruprecht J.K. Effects of partial
deforestation on hydrology and salinity in high salt storage landscapes. Ii
strip, soils and parkland clearing / J.K. Ruprecht, N. J. Schofield // Journal
of hydrology, - 1991. - Vol. 129. - Р. 39-55.
. Ruprecht J.K. Effects of partial
deforestation on hydrology and salinity in high salt storage landscapes. 1.
Extensive block clearing / J.K. Ruprecht, N.J. Schofield // Journal of
hydrology. - 1991. - Vol. 129. - Р. 19-38.
. Rustad L.E. Controls on soil
respiration: implication for climate change / L.E. Rustad, T.G. Huntington,
R.D. Boone // Biogeochemistry. - 2002. - V. 48. - P.1-6
. Schloerer J. Why does atmospheric CO2
rise? / J. Schloerer. - 1996.
260. Schmidt, M.W.I., Noack, A.G.
Black carbon in soils and sediments: Analysis, distribution, implications and
current challenges / M.W.I. Schmidt, A.G. Noack // Global Biogeochemical
Cycles. - 2000. - Vol. 14. - P. 777-793.
. Schnitzer M. Humic substances in the
environment / M. Schnitzer, S. Khan. - New York, 1972. - 327 р.
. Senesi N. Spectroscopic and
compositional comaparative characterization of I.H.S.S. reference and standard
fulvic and humic acids of various origin / N. Senesi, T. M. Miano,
M.R.Provenzano, G. Brunetti // Sci. Tot. Environ. - 1989. - Vol. 81/82. - P.
143-156.
. Shutou K. Change in soil carbon cycling
for stand development of japanese cedar (cryptomeria japonica) plantations
following clear-cutting / K. Shutou, K. Nakane // Ecological research. - 2004.
- Vol. 19, №2. - Р. 233-244.
. Skjemstadt J.O.
Calibration of the Rothamsted organic carbon turnover model (RothC ver. 26.3) using
measurable soil organic carbon pools / J.O. Skjemstadt,
L.R.
Spouncer,
B.
Cowie,
R.S.
Swift //
Australian Journal of Soil Research. - 2004. - Vol.
42(1).
- P. 79-88.
. Smith J. E. A model of forest floor
carbon mass for united states forest types / J. E. Smith, L. S. Heath. - 2002.
- 37 p.
. Smith P. A comparison of the
performance of nine soil organic matter models using datasets from seven
long-term experiments / P. Smith, J. Smith, D. Powlson, W. Mcgill // Geoderma.
- 1997. - Vol. 81. - Р. 153-225.
. Smith R.M. Soil organic matter, crop
yields and land use in Texas Blackland / R.M. Smith, D.O. Thompson, J.W.
Collier, R.J. Harvey // Soil. Sci. Soc. Am. - 1954. - Vol. 77. - P. 377-388.
. Smith S. J. Distribution of nitrogen
forms in virgin and cultivated soils / S. J. Smith, L. B. Young // Soil. Sci. -
1975. - Vol. 120. - P. 354-360.
. Smolander A. Organic matter
characteristics and C and N transformations in the humus layer under two tree
species. Betula pendula and Picea abies / A. Smolander, J. Loponen, K.
Suominen, V. Kitunen // Soil biology and biochemistry. - 2005. - Vol. 37. - P.
1309-1318.
. Sparling G. Hot-water-soluble C as a
simple measure of labile soil organic matter: the relationship with microbial
biomass C / G. Sparling, M. Vojvodić-Vuković, L.
Schipper // Soil biol. biochem. - 1998. - Vol. 30, №10/11. - P. 1469-1472.
. Stahl P.D., Parkin T.B. Relationship of
soil ergosterol concentration and fungal biomass / P.D. stahl, T.B. Parkin //
Soil Biology and Biochemistry. - 1996.- №28. - Issue 7. - P. 847-855.
. Stanford G. Evaluation of ammonium
release by alkalinepermanganate extraction as an index of soil nitrogen
availability / G.Stanford // Soil sci. - 1978. - Vol. 126. - Р. 244-253.
. Stevenson F.J. Humus chemistry:
genesis, composition, reactions / F. J. Stevenson. - 2nd ed. - New York: Wiley,
1994. - 496 p.
. Summers R.S. Molecular size
distribution and spectroscopic characterization of humic substances / R.S.
Summers, P.K. Cornel, P.V. Roberts // Sci. Tot. Environ. - 1987. - Vol. 62. P.
27-37.
275. Tansley A. The use and abuse
of vegetational concepts and terms / A. Tensley // Ecology. - 1935. - Vol. 16.
- P. 284-307.
276. Thaër A. Grundzätze
der Rationnellen Landwirtschaft / A. Thaër
// Realschulbuch Ed. - Berlin, 1809.
. Thurman E.M. Organic Geochemistry of
Natural Waters / Thurman E.M. - Nijhoff/Junk Publishers, Dordrecht, The
Netherands, 1985. - 497 p.
. Tirol-Рadre A. Assessing the
reliability of permanganate-oxidizable carbon as an index of soil labile carbon
/ A. Tirol-Рadre, J. Ladha // Soil sciencesociety of America journal. - 2004. -
Vol. 68. - P. 969-978.
. Traina S.J. An ultraviolet absorbance
method of estimating the percent aromatic carbon content of humic acids / S.J.
Traina, J. Novak, N.E. Smeck // Environ. Qual. - 1990. - Vol. 19. - P. 151-153.
. Tyurin I., analytical procedure for a
comparative study of soil humus // Trudy pochv. Inst. Dokuchayeva. - 1951. -
Vol. 38. - P. 5-9.
. Van Bemmelen J.M. Über die
bestimmung des wassers, des humus, des schwefels, der in den colloпdalen
silikaten gebundenen kieselsture, des mangans u.s. W. im ackerboden / J.M. van
Bemmelen // Die landwirthschaftlichen versuchs-stationen. - 1890. - Vol. 37. -
P. 279-290.
. Van de Griend A.A. Discrimination of
soil physical parameters, thermal inertia and soil moisture from diurnal
surface temperature fluctuations / A.A. van de Griend, P.J. Camillo, R.J.
Gurney // Water resources research. - 1985. - Vol. 21. - Р. 997-1009.
. Verheijen F. Biochar
Application to Soils. A Critical Scientific Review of Effects on Soil
Properties, Processes and Functions / F. Verheijen, S. Jeffery,
A.C. Bastos, M. van der Velde, I. Diafas // Office
for the Official Publications of the European Communities. - 2009. -
Luxembourg. - 149 P.
284. Vladychenskii A. S. Humus content and
distribution in the profile of dark gray forest soils under different plants /
A.S. Vladychenskii, K.A. Shcheglov, D.V. Manakhov // Pochvovedenie. - 2007. - №1.
- Р. 22-27.
285. von Lützow M.
SOM
fractionation methods: relevance to functional pools and to stabilization
mechanisms / M. von Lützow, I. Kögel-Knabner, K.
Ekschmitt, H. Flessa, G. Guggenberger, E. Matzner, B. Marschner // Soil Biol.
Biochem. - 2007. - Vol. 39. - P. 2183-2207.
. Waksman S.A. Humus: origin, chemical
composition, and importance in nature / Waksman S.A. // Williams and Wilkins
Co., Baltimore, 1938. - 526 p.
. Walbridge M.R. Vertical distribution of
biological and geochemical phosphorus subsycles in two Southern Appalachian
forest soils / M. R. Walbridge, C. J. Richardson, W. T. Swank //
Biogeochemistry. - 1991. - Vol. 13. - P. 61-85.
. Walinga I. Spectrophotometric
determination of organic carbon in soil / I. Walinga, M. Kithome, I. Novozamsky,
V. J. G. Houba, J. J. van Der Lee // Comm. Soil sci. Plant anal. - 1992. - Vol.
23. - P. 1935-1944.
. Walkley A. An examination of Degtjareff
method for determining soil organic matter and a proposed modification of
the chromic acid titrationmethod / A. Walkley, I. Black // Soil sci. - 1934. -
Vol. 37. - P. 29-37.
290. Warkentin B.P., The Changing
Concept of Soil Quality / B.P. Warkentin // J. Soil. Water Cons. - 1995. - Vol.
50. - P. 226-228.
. Waxman S.A. A critical study of the
methods for determining the nature and abundance of soil organic matter / S.A.
Waxman, K.R. Stevens // Soil science. - 1930. - Vol. 30. - P. 97-116.
. Weil R.W. Estimating active carbon for
soil quality assessment: a simplified method for laboratory and field
use / R.W. Weil, K.R. Islam, M. Stine, J.B. Gruver, S.E. Samson-Liebig // Am.J.
Altern. Agric. - 2003. - Vol. 18. - P. 3-17.
. Witkamp M. Soils as components of
ecosystems / M. Witkamp //Ann. Rev. Ecol. Syst. - 1971. - Vol. 2 - P. 85-110.
. Wood T. Phosphorus cycling in a northern
hardwood forest: biological and chemical control / T. Wood, F. Bormann, G.
Voigt // Science (Washington, DC). - 1984. - Vol. 223. - P. 391-393.
. Worrall F. Long term records of
riverine dissolved organic matter / F. Worrall, T. Burt, R. Shedden // Biogeochemistry.
- 2003. - Vol. 64. - P. 165-178.
. Yanai R.D. Soil carbon dynamics
following forest harvest: an ecosystem paradigm reviewed // R.D. Yanai, W.S.
Currie, C.L. Goodale // Ecosystems. - 2003. - Vol. 6. - P. 197-212.
. Yano Y. Biodegradable dissolved organic
carbon in forest soil solution and eаffects of chronic nitrogen deposition / Y.
Yanoa, W. Mcdowella, J. Aberb // Soil biology and biochemistry. - 2000. - Vol.
32. - P. 1743-1751.
. Yim M.H. Comparison of field methods
for measuring soil respiration: A static alkali absorption method and two
dynamic closed chamber methods / M.H.Yim, S.J. Joo, K. Nakane // Forest Ecology
and Management. - 2002. - Vol. 170. - P. 189 - 197.
. Yin X. Influence of canopy
removal on oak forest floor decomposition / X. Yin, J.A. Perry, R.K.
Dixon // Can. J. For. Res. - 1989. - Vol. 19. - P.204-214.
. Zaujec A. Soil organic matter as
indicator of soil quality and human influences on agroecosystem and natural
forest ecosystem / А. Zaujec // Ekologia-Bratislava - 2001. - Vol. 20. - P.
133-139.
. Zsolnay A. The development of tests to
quantify the potential ecological relevance of the water soluble humus / А.
Zsolnay // Polish society of humic substances. - Wroclaw, 1997. - Р. 251-256.
. Zsolnay A., Steinweg B. The in situ availability
of dissolved organic matter to combine with hydrophobic compounds / A. Zsolnay,
B. Steinweg // Croue J.-P., Frimmel F. IHSS 10. - Toulouse, France, 2000. - Р.
313-316.
ДОДАТОК А
Геоботанічні описи дослідних ділянок
Дослідна ділянка 1 (К) (49° 32’ 8”
Пн. ш., 23° 19’ 57” Сх. д.)
Клімаксова екосистема вологої
мезотрофної ліщиново-зеленчукової грабової діброви, розташована на 2
надзаплавній терасі р. Дністер, на висоті 285 м н.р.м.
Деревний ярус складають Quercus
robur (35%), з домішками Acer pseudoplatanus, у другому - Carpinus betulus
(25%) з домішками Tilia cordata Mill., Acer campestre L. та Sorbus aucuparia
L., зімкнутість крон 60-70%. Чагарниковий ярус, загальне покриття якого ніде не
перевищує 20%, складають Corylus avellana L. (7%) та Swida sanquinea L. (5%) В
підрості Acer campestre, Carpinus betulus, Tilia cordata, Prunus spinosa L.
Трав’яний ярус утворюють понад 50 видів рослин, серед яких найвищою
константністю відзначаються Galeobdolon luteum Huds. (15%), Oxalis acetosella
L. (10%), Carex sylvatica Huds. (5%), Carex brizoides L., Dentaria bulbifera
L., Dentaria glandulosa Waldst. et Kit., Dryopterix filix-mas L., Dryopteris
austriaca Jacq., Festuca gigantea (L.) Vill. Galeopsis speciosa Mill., Geum
urbanum L., Glechoma hederacea L., Leontodon autumnalis L., Majanthemum
bifolium (L.) F. W. Schmidt, Mercurialis perennis L., Molinia caerulea (L.)
Moench, Paris quadrifolia L., Phegopteris connectilis (Michx.) Watt,
Polygonatum multiflorum L., Polygonatum verticillatum L., Prenanthes purpurea
L., Stellaria holostea L., Viola reichenbachiana Jord. ex Boreau. У моховому
покриві присутні Atrichum undulatum (Hedw.) P.Beauv. (3%), Brachitecium rutabu
lum (Hedw.) B.S. & G. (3%), Herzogiella seligeri (Bridel) Z. Iwatsuki,
Lophocolea heterophy (Schrad.) Dumort., Plagiomnium affine (Schrad.) T.Kop.
Дослідна ділянка 2 (РПВГ) (49° 32’
10” Пн. ш., 23° 20’ 3” Сх. д.)
Гемеробна екосистема сформована на
місці клімаксової вологої мезотрофної ліщиново-зеленчукової грабової діброви
після проведення рівномірно-поступового рубання другого ярусу (видалено 25%
граба звичайного), розташована на 2 надзаплавній терасі р. Дністер, на висоті
282 м н.р.м.
В першому ярусі - Quercus robur
(20%) та Acer pseudoplatanus (2%), Carpinus betulus (20%). Другий ярус,
зімкнутість крон 20-30% утворюють Carpinus betulus (25%), Corylus avellana
(4%), Sorbus aucuparia (1%). У чагарниковому ярусі досить часто зустрічається
ліщина (5%), рідше бруслина європейська (4%), крушина ламка, гордовина та ще
рідше малина (Rubus idaeus L.). Місцями зустрічається ожина сива (Rubus caesius
L). В підрості Quercus robur, Carpinus betulus, Tilia cordata., Quercus rubra,
Betula pendula Roth., Prunus spinosa L. В трав’яному ярусі, переважає
Galeobdolon luteum Huds. (10%), Stellaria holostea (10%), Mercurialis perennis
(8%). Трапляється також Anemone nemorosa, Aposeris foetida, Athyrium
filix-femina, Asarum europaeum, Astrantia major Dentaria bulbifera, Equisetum
sylvaticum L., Galeopsis speciosa Mil, Galium odoratum, Geum urbanum, Geranium
phaeum, Glechoma hederacea, Impatiens noli-tangere, Majanthemum bifolium,
Mycellis muralis, Oxalis acetosella, Paris quadrifolia, Stellaria holostea,
Symphytum cordatum Waldst. et Kit. ex Willd., Trientalis europaea.
Моховий покрив представлений
Atrichum undulatum, Brachitecium rutabu та Tetraphis pellucida.
Дослідна ділянка 3 (ГВВГ) (49° 32’
8” Пн. ш., 23° 20’ 4” Сх. д.)
Гемеробна екосистема сформована на
місці клімаксової вологої мезотрофної ліщиново-зеленчукової грабової діброви
після проведення групового-вибіркового рубання другого ярусу (видалено 50%
граба звичайного), розташована на 2 надзаплавній терасі р. Дністер, на висоті
284 м н.р.м.
В першому ярусі - Quercus robur
(25%). В другому - Carpinus betulus (10%). В підрості виявлено незначне
(<1%) поновлення Quercus robur і Carpinus betulus. У чагарниковому ярусі:
Rubus idaeus (7%) та Rubus caesius (5%). Серед трав’яного покриву слід
відзначити: Carex brizoides (30%), Deshampsia caespitosa (30%). Серед інших
трав’яних видів: Athyrium filix-femmina, Dryopteris filix-mas, а також квіткові
рослини: Aegopodium podagraria, Anemone nemorosa, Dentaria glandulosa Waldst.
et Kit., Glechoma hirsute Waldst. & Kit., Lysimachia vulgaris, Luzula
pilosa (L.) Willd., Mercurialis perennis, Oxalis acetosella, Paris quadrifolia,
Polygonatum verticillatum L., Polygonatum officinale All.
Моховий покрив представлений
Brachitecium rutabu та Tetraphis pellucida
Дослідна ділянка 4 (СВГ) (49° 32’
10” Пн. ш., 23° 19’ 57” Сх. д.)
Гемеробна екосистема сформована на
місці клімаксової вологої мезотрофної ліщиново-зеленчукової грабової діброви
після проведення суцільного рубання другого ярусу (видалено 100% граба
звичайного), розташована на 2 надзаплавній терасі р. Дністер, на висоті 285 м
н.р.м.
В першому ярусі - Quercus robur
(15%) з домішками Acer pseudoplatanus. В підрості Betula pendula (10%), Quercus
robur (3%), Carpinus betulus (10%) та Sorbus aucuparia (5%). У чагарниковому
ярусі виділяємо Rubus idaeus (10%) та Rubus caesius (7%). Серед трав’яного
покриву слід відзначити: - Chamaenerion angustifolium (7%), Carex brizoides
(30%) і Deshampsia caespitosa (10%), а також Anemone nemorosa, A.
ranunculoides, Ajuga reptans, Asarum europaeum, Campanula patula, Carex
sylvatica, Carex pilosa, Luzula pilosa, Lysimachia vulgaris, Mercurialis
perennis, Mycelis muralis, Oxalis acetosella, Sanguisorba officinalis L.,
Symphytum officinale, Trientalis europaea, Viola reichenbachiana. Моховий
покрив бідний, представлений Atrichum undulatum (1%).
Дослідна ділянка 5 (С) (49° 32’ 12”
Пн. ш., 23° 20’ 3” Сх. д.)
Гемеробна післялісова екосистема, що
понад 70 років використовується у режимі сінокосу. Сформована на місці вологої
мезотрофної грабової діброви; розташована на 2 надзаплавній терасі р. Дністер,
на висоті 282 м. н.р.м.
На сінокосі, що межує з лісом та
ріллею виявлено види рослин, що трапляються як у лісових так і в лучних
фітоценозах. Переважають Carex brizoides (25%), Alchemilla vulgaris (15%),
Deshampsia caespitosa (10%) і Lythrum salicaria (7%). Серед видів із невисоким
проективним покриттям варто відзначити: Achillea millefolium, Angelica
sylvestris, Daucus carota, Equisetum sylvaticum, Filipendula ulmaria, Galeopsis
speciosa, Glechoma hederacea, Hypericum maculatum, Rumex acetosella, Symphytum
officinalis, Lysimachia nummularia, Trifolium repens, Vicia cracca, Plantago
major, Oxalis acetosella, Taraxacum officinale, Veronica officinalis, Prunella
vulgaris, Polygala vulgaris, Origanum vulgare, Plantago lanceolata L, Leontodon
autumnalis L, Melandrium rubrum, Potentilla erecta L, Lotus corniculatus L.
У моховому покриві присутні Atrichum
undulatum (3%), Brachitecium rutabu (2%), Lophocolea heterophy , Plagiomnium
affine.
ДОДАТОК Б
Морфологічні описи ґрунтових
профілів
Дослідна ділянка 1 (К) (49° 32’ 8”
Пн. ш., 23° 19’ 57” Сх. д.)
Екосистема старовікового грабово-дубового
лісу, розташована на 2 надзаплавній терасі р. Дністер, на висоті 285 м н.р.м.
Ґрунт - дерново-слабопідзолистий
оглеєний середньосуглинковий на давньому алювії. Глибина розрізу - 70 см; плями
оглеєння - з поверхні; закипання від 10% HCl не виявлено, глибина залягання
ґрунтових вод - 55 см.
Ґрунтовий профіль диференційований
на горизонти:
|
Індекс
|
d, см
|
Морфологічні особливості
|
|
HL(Oi)
|
7-4,5
|
горизонт опаду, містить листя Quercus robur L.
і Carpinus betulus L., окремі гілки та уламки кори діаметром менше 5 мм,
жолуді
|
|
HF(Oe)
|
4,5-2,5
|
горизонт ферментації, вологий, містить
напіврозкладені рештки листя Quercus robur L., гілки, жолуді, пронизаний
грибним міцелієм
|
|
HH (Oa)
|
2,5-0
|
горизонт гуміфікації, вологий, однорідний,
темно-бурого кольору, рясно пронизаний кореневою системою рослин та грибним
міцелієм
|
|
Hd (t)
|
0-4
|
гумусово-дерновий оторфований горизонт,
вологий, середній суглинок, рівномірне однорідне забарвлення темно-сірого
кольору з бурим відтінком, грудкувата структура, слабоущільнений,
тонкопористий, рясно пронизаний кореневою системою рослин, перехід ясний за
кольором і структурою
|
|
Не (gl)
|
4-27
|
гумусово-елювійований слабо оглеєний горизонт,
вологий, середній суглинок, нерівномірне однорідне забарвлення світло-сірого
кольору з бурим відтінком, грудкувата структура, ущільнений, пористий, Fe-Mn
бобовини, іржаві вохристі плями R2O3, кореневини,
присипка SiO2, перехід ясний, хвилястий за кольором
|
|
EI (h) gl
|
27-46
|
елювіально-ілювіальний слабогумусований
оглеєний, вологий, легкий суглинок, неоднорідне забарвлення світло-сірого
кольору з буруватими плямами, грудкувато-плитчаста структура, ущільнений,
Fe-Mn бобовини і мікроконкреції, кутани, поодинокі корені рослин, перехід
ясний хвилястий за кольором і структурою
|
|
Ip Gl
|
46-55
|
ілювіальний, перехідний до породи глейовий
горизонт, вологий, важкий суглинок, неоднорідне, мозаїчне забарвлення у
вигляді сизих, світло-сірих, іржавих та сизувато-бурих плям,
горіхувато-призматична структура, дуже щільний, Fe-Mn конкреції, іржаві
вохристі плями R2O3, поодинокі кореневини, галька
|
Дослідна ділянка 2 (РПВГ) (49° 32’
10” Пн. ш., 23° 20’ 3” Сх. д.)
Екосистема старовікового
грабово-дубового лісу, розладнана рівномірно-поступовою вирубкою другого ярусу,
розташована на 2 надзаплавній терасі р. Дністер, на висоті 282 м н.р.м.
Ґрунт - дерново-слабопідзолистий
оглеєний середньосуглинковий на давньому алювії. Глибина розрізу - 70 см; плями
оглеєння - з поверхні; закипання від 10% HCl не виявлено, глибина залягання
ґрунтових вод - 58 см.
Ґрунтовий профіль диференційований
на горизонти:
|
Індекс
|
d, см
|
Морфологічні особливості
|
|
HL(Oi)
|
5,5-3,5
|
горизонт опаду, зволожений, містить листя
Quercus robur L. і Carpinus betulus L., окремі гілки та уламки кори діаметром
менше 5 мм, жолуді
|
|
HF(Oe)
|
3,5-2
|
горизонт ферментації, вологий, містить
напіврозкладені рештки листя Quercus robur L., гілки, жолуді, пронизаний
грибним міцелієм
|
|
HH (Oa)
|
2-0
|
горизонт гуміфікації, вологий, однорідний,
темно-бурого кольору, рясно пронизаний кореневою системою рослин та грибним
міцелієм
|
|
Hd (t)
|
0-6
|
гумусово-дерновий оторфований горизонт,
вологий, середній суглинок, рівномірне однорідне забарвлення темно-сірого
кольору з бурим відтінком, грудкувата структура, слабоущільнений,
тонкопористий, рясно пронизаний кореневою системою рослин, перехід ясний за
кольором і структурою
|
|
НЕ (gl)
|
6-33
|
гумусово-елювіальний слабо оглеєний горизонт,
вологий, легкий суглинок, нерівномірне однорідне забарвлення світло-сірого
кольору з бурим відтінком, грудкувато-горіхувата структура, ущільнений,
пористий, Fe-Mn конкреції, потужні кореневини, присипка SiO2, перехід ясний,
хвилястий за кольором і структурою
|
|
EI (h) gl
|
33-45
|
елювіально-ілювіальний слабогумусований
оглеєний, мокрий, середній суглинок, неоднорідне забарвлення світло-сірого
кольору, дрібногоріхувата структура, ущільнений, Fe-Mn конкреції, плями R2O3,
поодинокі корені рослин, перехід ясний хвилястий за кольором і структурою
|
|
Ip Gl
|
45-58
|
ілювіальний, перехідний до породи глейовий
горизонт, вологий, важкий суглинок, неоднорідне, мозаїчне забарвлення у
вигляді сизих, світло-сірих, іржавих та сизувато-бурих плям,
горіхувато-призматична структура, дуже щільний, Fe-Mn конкреції, іржаві
вохристі плями R2O3, поодинокі кореневини
|
Дослідна ділянка 3 (ГВВГ) (49° 32’
8” Пн. ш., 23° 20’ 4” Сх. д.)
Екосистема старовікового
грабово-дубового лісу, розладнана групово-вибірковою вирубкою другого ярусу,
розташована на 2 надзаплавній терасі р. Дністер, на висоті 288 м н.р.м.
Ґрунт - дерново-слабопідзолистий
оглеєний середньосуглинковий на давньому алювії. Глибина розрізу - 70 см; плями
оглеєння - з поверхні; закипання від 10% HCl не виявлено, глибина залягання
ґрунтових вод - 65 см.
Ґрунтовий профіль диференційований
на горизонти:
|
Індекс
|
d, см
|
Морфологічні особливості
|
|
HL(Oi)
|
4,5-3
|
горизонт опаду, зволожений, містить листя
Quercus robur L. і Carpinus betulus L., окремі гілки та уламки кори діаметром
менше 5 мм, жолуді
|
|
HF(Oe)
|
3-1,5
|
горизонт ферментації, вологий, містить
напіврозкладені рештки листя Quercus robur L., гілки, жолуді, пронизаний
грибним міцелієм
|
|
HH (Oa)
|
1,5-0
|
горизонт гуміфікації, вологий, однорідний,
темно-бурого кольору, рясно пронизаний кореневою системою рослин та грибним
міцелієм
|
|
He (gl)
|
0-11
|
гумусово-елювійований слабо оглеєний горизонт,
сирий, середній суглинок, рівномірне забарвлення темно-сірого кольору,
грудкувата структура, слабо ущільнений, пористий, рясна присипка SiO2, Fe-Mn
новоутворення у формі дрібних плям, перехід ясний, хвилястий, за кольором і
структурою
|
|
ЕН (gl)
|
11-31
|
елювіальний сильногумусований слабо оглеєний
горизонт, сирий, середній суглинок, мозаїчне забарвлення у вигляді бурих і
сизих плям на світло-сірому фоні, грудкувато-плитовидна структура,
ущільнений, рясні сегрегації Fe2O3, гумусові затіки по ходам кротів, кутани,
присипка SiO2, кореневини, гумусові плівки по стінкам кореневин, перехід
поступовий, язикуватий, за кольором
|
|
EI gl
|
31-50
|
елювіально-ілювіальний оглеєний, сирий, легкий
суглинок, мозаїчне забарвлення у вигляді сизих і бурих плям на сірому фоні,
грудкувато-плитовидна структура, щільний, пористо-тріщинуватий, на стінках
горіхуватих агрегатів кутани, Fe-Mn конкреції, плями R2O3, фронтальні
заклинки SiO2, поодинокі корені рослин, перехід поступовий, язикуватий за
структурою
|
|
Ip Gl
|
50-65
|
ілювіальний, перехідний до породи глейовий
горизонт, мокрий, середній суглинок, неоднорідне, мозаїчне забарвлення у вигляді
сизих, світло-сірих, іржавих та сизувато-бурих плям, призматична структура,
дуже щільний, Fe-Mn конкреції, іржаві вохристі плями R2O3, поодинокі
кореневини, галька
|
Дослідна ділянка 4 (СВГ) (49° 32’
10” Пн. ш., 23° 19’ 57” Сх. д.)
Екосистема старовікового
грабово-дубового лісу, розладнана суцільною вирубкою другого ярусу, розташована
на 2 надзаплавній терасі р. Дністер, на висоті 285 м н.р.м.
Ґрунт - дерново-слабопідзолистий
оглеєний середньосуглинковий на давньому алювії. Глибина розрізу - 70 см; плями
оглеєння - з поверхні; закипання від 10% HCl не виявлено, глибина залягання
ґрунтових вод - 55 см.
Ґрунтовий профіль диференційований
на горизонти:
|
Індекс
|
d, см
|
Морфологічні особливості
|
|
HL(Oi)
|
4-2
|
горизонт опаду, зволожений, містить листя
Quercus robur L. і Carpinus betulus L., окремі гілки та уламки кори діаметром
менше 5 мм, жолуді
|
|
HF(Oe)
|
2-1
|
горизонт ферментації, вологий, містить
напіврозкладені рештки листя Quercus robur L., гілки, жолуді, пронизаний
грибним міцелієм
|
|
HH (Oa)
|
1-0
|
горизонт гуміфікації, вологий, однорідний,
темно-бурого кольору, рясно пронизаний кореневою системою рослин та грибним
міцелієм
|
|
He (gl)
|
0-4
|
гумусово-елювійований слабо оглеєний горизонт,
сирий, середній суглинок, рівномірне забарвлення сірого кольору, грудкувата
структура, слабо ущільнений, тонкопористий, присипка SiO2, перехід ясний,
хвилястий, за кольором і структурою
|
|
ЕН (gl)
|
4-23
|
елювіальний сильногумусований слабо оглеєний
горизонт, вологий, середній суглинок, світло-сіре забарвлення, грудкувата
структура, ущільнений, пористий, Fe-Mn плями, кутани, присипка SiO2, рясно
пронизаний кореневою системою рослин, перехід ясний, хвилястий, за кольором і
структурою
|
|
EI gl
|
23-40
|
елювіально-ілювіальний оглеєний, сирий, легкий
суглинок, мозаїчне забарвлення у вигляді сизих і бурих плям на сірому фоні,
плитчасто-грудкувата структура, щільний, тріщинуватий, рясні Fe-Mn утворення
у формі плям, бобовин і конкрецій, плями R2O3, рясна присипка SiO2, поодинокі
корені рослин, галька, перехід поступовий, язикуватий за структурою
|
|
Ip Gl
|
40-55
|
ілювіальний, перехідний до породи глейовий
горизонт, мокрий, середній суглинок, неоднорідне, мозаїчне забарвлення у
вигляді сизих, світло-сірих, іржавих та сизувато-бурих плям,
призматично-брилувата структура, дуже щільний, тріщинуватий, Fe-Mn конкреції,
іржаві вохристі плями R2O3, поодинокі кореневини, галька
|
Дослідна ділянка 5 (С) (49° 32’ 12”
Пн. ш., 23° 20’ 3” Сх. д.)
Агроекосистема сінокосу, сформована
на місці колишньої вирубки більше 70 років тому; розташована на 2 надзаплавній
терасі р. Дністер, на висоті 280 м. н.р.м.
Ґрунт - дерново-слабопідзолистий
оглеєний середньосуглинковий на давньому алювії. Глибина розрізу - 70 см; плями
оглеєння - з поверхні; закипання від 10% HCl не виявлено, глибина залягання
ґрунтових вод - 55 см.
Ґрунтовий профіль диференційований
на горизонти:
|
Індекс
|
d, см
|
Морфологічні особливості
|
|
HL(Oi)
|
2-0,5
|
горизонт опаду, зволожений, сформований
залишками Carex brizoides L., Alchemilla vulgaris L., Deshampsia caespitosa
L., подекуди - листя Quercus robur L.
|
|
HH (Oa)
|
0,5-0
|
горизонт гуміфікації, вологий, однорідний,
темно-бурого кольору, рясно пронизаний кореневою системою рослин та грибним
міцелієм
|
|
Hd (t)
|
0-5
|
гумусово-дерновий оторфований горизонт,
вологий, середній суглинок, рівномірне однорідне забарвлення темно-сірого
кольору з бурим відтінком, грудкувата структура, слабоущільнений,
тонкопористий, рясно пронизаний кореневою системою рослин, перехід ясний за
кольором і структурою
|
|
He (gl)
|
5-11
|
гумусово-елювійований слабо оглеєний горизонт,
сирий, середній суглинок, рівномірне забарвлення сірого кольору, грудкувата
структура, слабо ущільнений, тонкопористий, присипка SiO2, перехід ясний,
хвилястий, за кольором і структурою
|
|
ЕН (gl)
|
11-23
|
елювіальний сильногумусований слабо оглеєний
горизонт, вологий, середній суглинок, світло-сіре забарвлення, грудкувата
структура, ущільнений, пористий, Fe-Mn плями, кутани, присипка SiO2, рясно
пронизаний кореневою системою рослин, перехід ясний, хвиялстий, за кольором і
структурою
|
|
EI gl
|
23-40
|
елювіально-ілювіальний оглеєний, сирий, легкий
суглинок, мозаїчне забарвлення у вигляді сизих і бурих плям на сірому фоні,
плитчасто-грудкувата структура, щільний, тріщинуватий, рясні Fe-Mn утворення
у формі плям, бобовин і конкрецій, плями R2O3, рясна присипка SiO2, поодинокі
корені рослин, галька, перехід поступовий, язикуватий за структурою
|
|
Ip Gl
|
40-55
|
ілювіальний, перехідний до породи глейовий
горизонт, мокрий, середній суглинок, неоднорідне, мозаїчне забарвлення у
вигляді сизих, світло-сірих, іржавих та сизувато-бурих плям,
призматично-брилувата структура, дуже щільний, тріщинуватий, Fe-Mn конкреції,
іржаві вохристі плями R2O3, кореневини, галька
|
Дослідна ділянка 6 (Р) (49° 32’ 13”
Пн. ш., 23° 19’ 57” Сх. д.)
Агроекосистема ріллі, сформована на
місці колишньої вирубки більше 70 років тому; розташована на 2 надзаплавній
терасі р. Дністер, на висоті 280 м. н.р.м.
Угіддя - рілля. Культура - овес.
Глибина розрізу - 70 см. Плями оглеєння - з поверхні. Закипання від 10% HCl -
не виявлено. Глибина залягання ґрунтових вод - 63 см.
Ґрунт - дерново-слабопідзолистий
оглеєний середньосуглинковий на давньому алювії.
Ґрунтовий профіль диференційований
на горизонти:
|
Індекс
|
d, см
|
Морфологічні особливості
|
|
He (gl) ор
|
0-18
|
гумусово-елювійований (орний) слабо оглеєний
горизонт, сирий, середній суглинок, рівномірне забарвлення темно-сірого
кольору, грудкувата структура, слабо ущільнений, тонкопористий, присипка
SiO2, перехід ясний, хвилястий, за кольором і структурою
|
|
ЕН (gl)
|
18-31
|
елювіальний сильногумусований слабо оглеєний
горизонт, вологий, середній суглинок, світло-сіре забарвлення, грудкувата
структура, слабо ущільнений, пористий, Fe-Mn плями, присипка SiO2, перехід
ясний, хвиялстий, за кольором і структурою
|
|
EI gl
|
31-48
|
елювіально-ілювіальний оглеєний, сирий, легкий
суглинок, мозаїчне забарвлення у вигляді сизих і бурих плям на сірому фоні,
плитчасто-грудкувата структура, щільний, тріщинуватий, рясні Fe-Mn утворення
у формі плям, бобовин і конкрецій, плями R2O3, рясна присипка SiO2, поодинокі
корені рослин, галька, перехід поступовий, хвилястий за кольором і структурою
|
|
Ip Gl
|
48-63
|
ілювіальний, перехідний до породи глейовий
горизонт, мокрий, середній суглинок, неоднорідне, мозаїчне забарвлення у
вигляді сизих, світло-сірих, іржавих та сизувато-бурих плям,
призматично-брилувата структура, дуже щільний, тріщинуватий, Fe-Mn конкреції,
іржаві вохристі плями R2O3, поодинокі кореневини, галька
|