Экономико-статистический анализ индивидуального предпринимательства
Содержание
Введение
.
Теоретические основы анализа деятельности индивидуальных предпринимателей
.
Индивидуальное предпринимательство в России
.1 Социальная
роль предпринимательства в современной России
.2 Общие
тенденции развития предпринимательства в России
.
Статистический анализ индивидуального предпринимательства Новгородской области
.1 Анализ
динамики количества индивидуальных предпринимателей
.2 Анализ
структуры численности индивидуальных предпринимателей по видам экономической
деятельности
.3 Корреляционно-регрессионный
анализ влияния инвестиций в основной капитал на объём перевезённых грузов
предпринимателями
Выводы и
предложения
Список
литературы
Введение
Предпринимательская деятельность - это одна из форм участия граждан в
предпринимательских отношениях. В соответствии со ст. 2 Гражданского кодекса РФ
предпринимательской является самостоятельная, осуществляемая на свой риск
деятельность, направленная на систематическое получение прибыли от пользования
имуществом, продажи товаров, выполнения работ или оказания услуг лицами,
зарегистрированными в этом качестве в установленном законом порядке.
Предпринимательская деятельность есть деятельность экономическая.
Предпринимательство объективно сопряжено с некоторой неопределенностью и
неустойчивостью, возможностью невостребования результатов своей деятельности,
что означает неизбежность риска, угрозу потерь времени, ресурсов, прибыли.
Итак, цель предпринимательской деятельности - систематичность получения
(максимизация) прибыли - заставляет предпринимателя стремиться в зону риска,
что приводит к постоянной новизне хозяйственных ситуаций и требует творческого
подхода к решению возникающих проблем. По Владимиру Далю, "предприниматель
- это предприимчивый торговец, способный к предприятиям, крупным оборотам, смелый,
решительный, отважный на дела этого рода человек".
В России индивидуальной формой осуществления предпринимательской
деятельности является предпринимательство без образования юридического лица.
В соответствии с п. 1 ст. 23 Гражданского кодекса РФ гражданин вправе
заниматься предпринимательской деятельностью с момента государственной
регистрации в качестве индивидуального предпринимателя. Отметим, что для
характеристики человека, активно использующего свои организаторские,
управленческие способности с целью получения прибыли, кроме собственно
юридического термина "индивидуальный предприниматель" широко
используются также понятия "бизнесмен", "коммерсант",
"частный предприниматель".
За последние годы в Российской Федерации широкое распространение получило
предпринимательство без образования юридического лица. Современные
индивидуальные предприниматели успешно действуют на рынке, постоянно расширяя
сферу своей деятельности, и в итоге могут обеспечить достойные условия жизни
себе и своим близким. Неудивительно, что все больше людей, задумываясь о своем
будущем, стремятся организовать собственный бизнес.
Целью написания данной курсовой работы является статистический анализ
численности индивидуальных предпринимателей за исследуемый период и анализ
производства основных видов продукции индивидуальными предпринимателями.
Подчеркнем, что особую актуальность эта работа приобретает в связи с
последними изменениями в законодательстве. Так, с 1 января 2004 г.
принципиально изменен порядок государственной регистрации индивидуальных
предпринимателей, процедура прекращения ими предпринимательской деятельности; 1
октября 2003 г. были внесены существенные изменения в Федеральный закон от 8
августа 2001 г. N 134-ФЗ "О защите прав юридических лиц и индивидуальных
предпринимателей при проведении государственного контроля (надзора)".
Установлено, что в отношении субъекта малого предпринимательства плановое
мероприятие по контролю за выполнением обязательных требований к товарам
(работам, услугам) может быть проведено не ранее чем через три года с момента
его государственной регистрации. Помимо этого, постоянно совершенствуется
налоговая система, вносятся иные изменения в действующие нормативно-правовые
акты.
1. Теоретические основы анализа деятельности индивидуальных
предпринимателей
Проведём анализ деятельности индивидуальных предпринимателей
в Новгородской области, используя следующие статистические методы: анализ
динамики количества индивидуальных предпринимателей, анализ структуры
численности индивидуальных предпринимателей по видам экономической деятельности
и корреляционно-регрессионный анализ влияния инвестиций в основной капитал на
объем перевезенных грузов предпринимателями (физическими лицами), имеющими
лицензии на осуществление коммерческих перевозок автомобильным транспортом в
Новгородской области.
Анализ динамики количества индивидуальных предпринимателей.
Наиболее простым показателем анализа динамики является абсолютный
прирост, характеризующий абсолютный размер увеличения (уменьшения) уровня
явления за определенный промежуток времени:
цепной
(1)
базисный
(2)
Относительная скорость изменения уровня явления, т.е. интенсивность
роста, измеряют темпами (коэффициентами) роста.
(3)
(4)
Темп роста показывает, насколько процентов уровень данного периода больше
(меньше) базисного уровня.
Темпы (коэффициенты) прироста указывают на относительное увеличение
(уменьшение) прироста.
(5)
(6)
Абсолютное значение одного процента прироста:
(7)
Средние показатели динамики:
(8)
Корреляционно-регрессионный анализ влияния инвестиций в
основной капитал на объем перевезенных грузов предпринимателями (физическими
лицами), имеющими лицензии на осуществление коммерческих перевозок
автомобильным транспортом в Новгородской области.
Корреляция - статистическая зависимость между случайными величинами,
которая не имеет строго функционального характера, и при которой изменение
одной из случайных величин приводит к изменению математического ожидания другой.
Регрессионный анализ - аналитическое выражение, в котором изменение одной
величины - результативного признака - обусловлено влиянием одной или нескольких
независимых величин (факторов), а множество всех прочих факторов, также
оказывающих влияние на зависимую величину, принимается за постоянные и средние
значения.
В нашем случае связь между признаками линейная и она описывается
уравнением прямой:
(9)
Определим параметры уравнения прямой на основе метода наименьших квадратов,
решив систему нормальных уравнений:
(10)
По следующим формулам вычислим
,
:
(11)
(12)
Значимость коэффициентов регрессии проверим по t-критерию Стьюдента. Вычислим расчетные значения t-критерия по формулам:
- для параметра
:
(13)
- для параметра
:
, (14)
где n - объем выборки;
Среднее квадратическое отклонение результативного признака y от
выровненных значений
:
(15)
Среднее квадратическое отклонение факторного признака x от общей средней
:
(16)
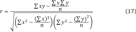
Выявим тесноту корреляционной связи между x и y с помощью линейного
коэффициента корреляции, используя формулу:
Все описанные выше статистические методы применим к имеющимся данным.
2. Индивидуальное предпринимательство в России
2.1 Социальная роль предпринимательства в современной России
В любом толковом словаре есть определение: индивидуальный предприниматель
- это физическое лицо, зарегистрированное в установленном порядке и
осуществляющее предпринимательскую деятельность без образования юридического
лица. К сожалению, там ничего не говорится о трудностях и проблемах, с которыми
сталкиваются те, кто стал на тропу собственной финансовой независимости.
Предпринимательство - это самостоятельная, осуществляемая на свой страх и риск
деятельность, направленная на систематическое получение прибыли от пользования
имуществом, продажи товаров, выполнения работ или оказания услуг. Сегодня
индивидуальным предпринимателем может быть любой, кто достиг совершеннолетия и
является гражданином РФ. Правда, это правило не распространяется на государственных
и муниципальных служащих. Индивидуальное предпринимательство является одной из
форм ведения малого бизнеса. Отдельный закон об индивидуальном
предпринимательстве как таковой не принят, однако индивидуальное
предпринимательство регулируется Налоговым и Гражданским кодексом, а также
некоторыми другими нормативными правовыми актами.
Малый и средний бизнес в стране - один из наименее развитых секторов
экономики, тогда как за рубежом небольшие компании куда более активно участвуют
в наполнении внутреннего рынка конкурентоспособными товарами и услугами,
формируют потребительский и инвестиционный спрос, способствует росту занятости
населения и укреплению среднего класса.
Испания, Италия, Южная Корея, Тайвань, Китай - во всех этих странах
экономический рывок начинался именно с ускоренного развития малого и среднего
бизнеса. В развитых экономиках мира на малый и средний бизнес сегодня
приходится до 60 - 70% ВВП, тогда как в России этот показатель как минимум в
полтора раза ниже. В общем объеме товарного производства его доля не превышает
10%, что как минимум вдвое ниже, чем в Западной Европе, где промышленная
кооперация между крупным и малым бизнесом остается важным инструментом
экономического развития.
В процессе становления рыночной экономики предпринимательство приобретает
социальную функцию, выражающуюся в возможности каждого дееспособного
индивидуума быть собственником дела, с наибольшей отдачей проявлять свои
индивидуальные таланты и возможности. Эта функция всё более обнаруживается в
формировании нового слоя людей - людей предприимчивых, тяготеющих к
сознательной хозяйственно-экономической деятельности, способных создавать
собственное дело, преодолевать сопротивление среды и добиваться поставленной
цели. В то же время увеличивается численность наемных работников, которые
экономически и социально зависят от того, насколько успешна предпринимательская
деятельность. Развитие предпринимательства обеспечивает рост числа рабочих
мест, сокращения уровня безработицы, повышение уровня социального положения наемных
работников.
Сегодня в России много говорят о поддержке малого бизнеса. Но как
стимулируют деловую активность предпринимателей в других странах? Так например,
в Германии при образовании нового малого предприятия до 40% его капитала может
быть сформировано за счёт долгосрочных (до 20 лет) льготных кредитов на общую
сумму до 500 тысяч евро. А для устранения диспропорций между отдельными
федеральными землями Германии, многие программы государственной поддержки
малого бизнеса носят ярко выраженный региональный характер. Несомненно,
германский опыт государственной поддержки предпринимательства России необходимо
взять на вооружение.
Таким образом, предпринимательство играет важную роль в общественной
жизни. Оно несет на себе не только общеэкономическую функцию по созданию
товаров и услуг, в которых нуждается общество, но и социальную функцию, которая
заключается в создании новых рабочих мест, повышении уровня жизни, формировании
среднего класса и создании условий для развития гражданского общества.
Главная задача предпринимательства состоит в решении вопроса, как при
неограниченных потребностях лучше использовать ограниченные ресурсы для
достижения наибольшей прибыли; как сократить издержки производства и обеспечить
необходимый выпуск продукции для обеспечения рентабельности предприятия.
Основными факторами производства являются труд, земля, капитал и
предпринимательские способности.
Сущность предпринимательства заключается в особом типе хозяйствования,
базирующимся на инновационном поведении собственников предприятия, на умении
находить и использовать идеи, воплощать их в конкретные предпринимательские
проекты.
Отдельно следует сказать о льготах для индивидуальных предпринимателей.
Для того чтобы стимулировать развитие частного бизнеса, государство предлагает
различные льготы индивидуальным предпринимателям для ведения бизнеса. Прежде
всего, индивидуальный предприниматель должен предоставить намного меньше
документов для «легализации» своей компании. По мнению руководителей
государства, регистрация индивидуального предпринимателя должна происходить в
минимально короткие сроки, но, к сожалению, это не соответствует
действительности. Для быстрой регистрации индивидуального предпринимателя
бизнесмен может обратиться в коммерческую компанию, в этом случае воспользоваться
льготами для индивидуальных предпринимателей не удастся. Льготы индивидуальным
предпринимателям также распространяются и на уплату налогов и сборов.
Индивидуальные предприниматели могут воспользоваться упрощенными схемами для
уплаты налогов или иными льготами, которое государство предоставляет частному
бизнесу. Региональные власти также предоставляют льготы индивидуальным
предпринимателям, например, если индивидуальный предприниматель
занимается определенным видом деятельности, то он может быть освобожден от
оплаты некоторых региональных налогов и пошлин, которые могут взиматься при
оформлении документов для индивидуального предприятия. Владелец частного
предприятия также может рассчитывать на получение льготного кредита. Льготы на
кредиты индивидуальным предпринимателям могут предоставляться как местными, так
и государственными органами власти. Как правило, банки требуют довольно большой
пакет документов для получения кредита предприятием, для индивидуальных
предпринимателей может быть сделано исключение. В целом ряде регионов строятся
так называемые «инкубаторы для предпринимателей», где начинающие бизнесмены
могут снять помещение на льготных условиях, взять в аренду транспорт или
получать консультацию специалиста, который расскажет обо всех льготах, которые
могут быть предоставлены индивидуальному предпринимателю. По решению
правительства Российской Федерации индивидуальным предпринимателям
предоставляется еще один вид льгот - снижено количество проверок, которое будет
проводиться контролирующими органами.
2.2 Общие тенденции развития предпринимательства в России
На сегодняшний день в странах с развитой рыночной экономикой поступления
от налогообложения предприятий малого и среднего бизнеса составляют до 90% всех
доходов государства. В мире давно опробован обширный список методов и средств
государственной поддержки бизнеса. Но в России до сегодняшнего момента ему
уделялось крайне мало внимания. Абсолютный и относительный рост малого бизнеса
на фоне общего спада производства и кризисного состояния многих крупных
монопольных предприятий в 1993-1995 гг. свидетельствует о большом внутреннем
потенциале малого бизнеса, желании и возможности достаточно широкого слоя
населения обеспечить собственными силами свою экономическую самостоятельность.
Даже в этих тяжелых условиях в секторе малого предпринимательства в I квартале
1997 г. было произведено порядка 10% ВВП страны, при этом капиталоотдача была
примерно в 2 раза выше, чем в целом по экономике.
Проводимая правительством России политика умеренно жесткой финансовой
стабилизации до определенного момента не была препятствием для развития малых
предприятий. Однако постепенное ухудшение экономической ситуации особенно
сильно отразилось на секторе малого предпринимательства. В 2010 году рост ВВП
России составил 4,0 %. Рост промышленности составил 8,2% против 6,3 в 2009
году, в том числе обрабатывающих отраслей - 9,8%.
В середине мая 2010 года президент РФ Дмитрий Анатольевич Медведев
подписал указ «О неотложных мерах по ликвидации административных ограничений
при осуществлении предпринимательской деятельности». Этот документ вступил в
силу с момента подписания: президент поручил правительству разработать и внести
на рассмотрение Государственной Думы проекты федеральных законов,
предусматривающих усиление гарантий защиты прав юридических лиц и
индивидуальных предпринимателей при осуществлении государственного контроля и
надзора.
Эту инициативу президента комментирует А. Юков: «Сегодня для того, чтобы
открыть в России малое или среднее предприятие, необходим практически тот же
набор действий, что и в случае с крупной компанией. Поэтому основное
теоретическое преимущества малого бизнеса, такое как отсутствие
административных препятствий для учреждения предприятия, в нашей стране
превращается в недостаток, что существенно замедляет процесс становления
предприятия».
Отдельно стоит отметить стремление президента обеспечить защиту прав
предпринимателей в наиболее проблемной для них отрасли - системе взаимодействия
с органами государственного контроля. Главный барьер для малого и среднего
бизнеса - бюрократические препоны, процедуры, которые государство создало в
целях борьбы с коррупцией. Однако коррупции они не помешали, а помешали только
бизнесу.
Итак, можно выделить следующие основные проблемы развития бизнеса в
России.
Сегодня для учреждения в России малого или среднего предприятия - основу
экономики развитых стран - необходимо пройти практически тот же набор действий,
что и в случае с крупной компанией.
Если затронуть проблему финансирования, то до октября 1995 года проблемой
финансирования малого бизнеса никто официально не занимался. Многие банки, не
проявляя особого желания вкладывать инвестиции в малые предприятия, объясняют
это тем, что количество затрачиваемого времени и усилий на оформление кредита
размером 100 тыс.долл. и 10 млн.долл. одинаково, а получаемый доход разнится во
много раз. Кстати, здесь наши проблемы не отличаются от западных, и там
финансовые структуры неохотно занимаются этим родом деятельности.
Многие малые предприятия угасают уже в самом начале своей деятельности.
Например, из 600 тысяч новых предприятий, ежегодно возникающих в США, только
половина дотягивает до 18 месяцев и только одно из пяти доживает до 10 лет.
Возможно, главной причиной является легкость создания предприятия. Но ведь
свобода выбора означает не только свободу успеха, но и свободу неудач.
Наиболее проблемной для малого и среднего бизнеса является система
взаимодействия с органами государственного контроля. Главный барьер для малого
и среднего бизнеса - бюрократические препоны, процедуры.
В то же время крупный бизнес может позволить себе услуги лоббистов по
продвижению выгодных компаниям законопроектов. Государству намного проще
наладить взаимоотношения с монополистическими и олигополистическими
структурами, чем с множеством разрозненных мелких фирм.
Производство в России сейчас нуждается в крупных инвестициях как залоге
устойчивого развития.
Развитию бизнеса препятствует плохое состояние инфраструктуры. Ежегодно
до 3% ВВП теряется по причине плохого состояния дорог.
Еще одной проблемой считается так называемая «зарплата в конвертах».
Нечистые на руку предприниматели утаивают от налоговых органов свои реальные
доходы. Легализация «теневой» заработной платы сегодня - одно из главных
направлений работы налоговых органов. И если изначально ставились весьма
скромные цели - вывод зарплаты на уровень прожиточного минимума, то в 2009 -
2010 годах, работа по легализации «теневой» заработной платы проводится уже с
учетом среднего уровня заработной платы по видам экономической деятельности.
Таковы основные, но не все, проблемы развития предпринимательства в
России. Сегодня государство осознало необходимость развития не только крупного,
но и малого и среднего бизнеса в стране как залога устойчивого экономического
роста экономики, формирования среднего класса и повышения благосостояния
граждан.
3. Статистический анализ индивидуального предпринимательства
в Новгородской области
3.1 Анализ динамики количества индивидуальных
предпринимателей
Мы располагаем следующими данными о перевозках грузов предпринимателями,
имеющими лицензии на осуществление коммерческих перевозок автомобильным
транспортом.
Таблица 1 - Перевозки грузов предпринимателями (физическими лицами),
имеющими лицензии на осуществление коммерческих перевозок автомобильным
транспортом
|
Годы
|
Перевезено грузов, тыс.
тонн
|
Грузооборот, млн. тонн-км
|
Средняя дальность
перевозки, км
|
|
2002
|
345,9
|
86,1
|
248,8
|
|
2003
|
297,6
|
82,0
|
275,6
|
|
2004
|
214,0
|
76,3
|
356,5
|
|
2005
|
237,4
|
95,8
|
403,4
|
|
2006
|
214,4
|
97,5
|
454,6
|
|
2007
|
235,9
|
109,7
|
465,0
|
|
2008
|
305,5
|
127,0
|
415,9
|
|
2009
|
347,2
|
125,8
|
362,5
|
Мы располагаем данными о перевозке грузов предпринимателями (физическими
лицами), имеющими лицензии на осуществление коммерческих перевозок
автомобильным транспортом, которые представлены в таблице 1. Проведем
статистический анализ рядов динамики на основе этих показателей.
Рассчитаем показатели динамики цепным и базисным методом. Выводы оформим
по всем показателям за последние два года, а именно за 2008 и 2009 года.
Результаты рассчитанных показателей на основе формул (1)-(7) представлены
в следующих таблицах.
Таблица 2 - Анализ динамических рядов перевозки грузов индивидуальными
предпринимателями
|
Год
|
Перевезено грузов, тыс.
тонн
|
  А1,%
|
|
|
|
|
|
    
|
|
|
|
|
|
|
|
1
|
2
|
3
|
4
|
5
|
6
|
7
|
8
|
9
|
|
2002
|
345,9
|
-
|
-
|
-
|
-
|
-
|
-
|
-
|
|
2003
|
297,6
|
-48,3
|
-48,3
|
86,0
|
86,0
|
-14,0
|
-14,0
|
3,46
|
|
2004
|
214,0
|
-83,6
|
-131,9
|
71,9
|
61,9
|
-28,1
|
-38,1
|
2,98
|
|
2005
|
237,4
|
23,4
|
-108,5
|
110,9
|
68,6
|
10,9
|
-31,4
|
2,14
|
|
2006
|
214,4
|
-23,0
|
-131,5
|
90,3
|
62,0
|
-9,7
|
-38,0
|
2,37
|
|
2007
|
235,9
|
21,5
|
-110,0
|
110,0
|
68,2
|
10,0
|
-31,8
|
2,14
|
|
2008
|
305,5
|
69,6
|
-40,4
|
129,5
|
88,3
|
29,5
|
-11,7
|
2,36
|
|
2009
|
347,2
|
41,7
|
1,3
|
113,6
|
100,4
|
13,6
|
0,4
|
3,06
|
|
Итого
|
2197,9
|
1,3
|
-
|
-
|
-
|
-
|
-
|
-
|
Перевозка грузов индивидуальными предпринимателями в 2008 году составила
305,5 тыс. тонн, что по сравнению с 2002 годом на 40,4 тыс. тонн меньше или на
11,7 %. А по сравнению с 2007 годом объём перевозок грузов увеличился на 69,6
тыс. тонн или на 29,5 %. На один процент увеличения объёма перевозок грузов в
2008 году по сравнению с 2007 годом приходится 2,36 тыс. тонн.
Величина объёма перевозок в 2009 году составила 347,2 тыс. тонн и по
сравнению с 2002 годом она увеличилась на 0,4 %. По сравнению же с 2008 годом
величина объёма перевозок увеличилась на 41,7 тыс. тонн или на 13,6 %. На один
процент увеличения объёма перевозок индивидуальными предпринимателями в 2009
году по сравнению с 2008 годом приходится 3,06 тыс. тонн.
Далее по имеющимся данным об объёме грузооборота проведём анализ рядов
динамики. Проведём расчет данных цепным и базисным методом. Определим
абсолютный прирост, темп роста, темп прироста и абсолютное значение одного
процента прироста.
Таблица 3 - Анализ динамических рядов грузооборотов индивидуальных
предпринимателей
|
Год
|
Грузооборот, млн. тонно-км
|
  А1,%
|
|
|
|
|
|
    
|
|
|
|
|
|
|
|
1
|
2
|
3
|
4
|
5
|
6
|
7
|
8
|
9
|
|
2002
|
86,1
|
-
|
-
|
-
|
-
|
-
|
-
|
-
|
|
2003
|
82,0
|
-4,1
|
-4,1
|
95,2
|
95,2
|
-4,8
|
-4,8
|
0,86
|
|
2004
|
76,3
|
-5,7
|
-9,8
|
93,0
|
88,6
|
-7,0
|
-11,4
|
0,82
|
|
2005
|
95,8
|
19,5
|
9,7
|
125,6
|
111,3
|
25,6
|
11,3
|
0,76
|
|
2006
|
97,5
|
1,7
|
11,4
|
101,8
|
113,2
|
1,8
|
13,2
|
0,96
|
|
2007
|
109,7
|
12,2
|
23,6
|
112,5
|
127,4
|
12,5
|
27,4
|
0,97
|
|
2008
|
127,0
|
17,3
|
40,9
|
115,8
|
147,5
|
15,8
|
47,5
|
1,10
|
|
2009
|
125,8
|
-1,2
|
39,7
|
99,1
|
146,1
|
-0,9
|
46,1
|
1,27
|
|
Итого
|
800,2
|
39,7
|
-
|
-
|
-
|
-
|
-
|
-
|
Величина грузооборота индивидуальных предпринимателей в 2008 году
составила 127,0 млн. тонно-км, что по сравнению с 2002 годом увеличилось на
40,9 млн. тонно-км или на 47,5 %. По сравнению же с 2007 годом грузооборот
увеличился на 17,3 млн. тонно-км или на 15,8 %. На один процент увеличения
объёма грузооборота индивидуальными предпринимателями в 2008 году по сравнению
с 2007 годом приходится 1,10 млн. тонно-км.
Грузооборот в 2009 году составил 125,8 млн. тонно-км, что по сравнению с
2002 годом увеличился на 46,1 % или на 39,7 млн. тонно-км. В 2009 году
грузооборот по сравнению с 2008 годом уменьшился на 1,2 млн. тонно-км или на
0,9 %. На один процент увеличения объёма грузооборота в 2009 году по сравнению
с 2008 годом приходится 1,27 млн. тонно-км.
Теперь проанализируем среднюю дальность перевозок, осуществляемых
индивидуальными предпринимателями. Для этого рассчитаем показатели по формулам
(1) - (7).
Выводы оформим за 2007 и 2008 года по всем показателям.
Таблица 4 - Анализ динамических рядов средней дальности перевозок,
осуществляемых предпринимателями
|
Год
|
Средняя дальность
перевозки, км
|
  А1,%
|
|
|
|
|
|
    
|
|
|
|
|
|
|
|
1
|
2
|
3
|
4
|
5
|
6
|
7
|
8
|
9
|
|
2002
|
248,8
|
-
|
-
|
-
|
-
|
-
|
-
|
-
|
|
2003
|
275,6
|
26,8
|
26,8
|
110,8
|
10,8
|
10,8
|
2,49
|
|
2004
|
356,5
|
80,9
|
107,7
|
129,4
|
143,3
|
29,4
|
43,3
|
2,76
|
|
2005
|
403,4
|
46,9
|
154,6
|
113,2
|
162,1
|
13,2
|
62,1
|
3,57
|
|
2006
|
454,6
|
51,2
|
205,8
|
112,7
|
182,7
|
12,7
|
82,7
|
4,03
|
|
2007
|
465,0
|
10,4
|
216,2
|
102,3
|
186,9
|
2,3
|
86,9
|
4,55
|
|
2008
|
415,9
|
-49,1
|
167,1
|
89,4
|
167,2
|
-10,6
|
67,2
|
4,65
|
|
2009
|
362,5
|
-53,4
|
113,7
|
87,2
|
145,7
|
-12,8
|
45,7
|
4,16
|
|
Итого
|
2982,3
|
113,7
|
-
|
-
|
-
|
-
|
-
|
-
|
Анализируя среднюю дальность перевозок, осуществляемых индивидуальными
предпринимателями, можно сказать следующее: средняя дальность перевозок за 2008
год составляет 415,9 км, что по сравнению с 2002 годом на 167,1 км больше или
на 67,2 %, а по сравнению с 2007 годом средняя величина дальности перевозок на
49,1 км уменьшилась или на 10,6 %. На один процент увеличения дальности
перевозок в 2008 году по сравнению с 2007 приходится 4,65 км.
Величина дальности перевозок в 2009 году составила 362,5 км и по
сравнению с 2002 годом этот показатель возрос на 45,7 %. Сопоставив с данными
2008 года средняя дальность перевозок уменьшилась на 53,4 км или на 12,8 %. На
один процент увеличения средней дальности перевозок в 2009 году по сравнению с
2008 годом приходится 4,16 км.
По проанализируемым показателям прослеживается тенденция увеличения
объёма грузооборота и дальности перевозок, осуществляемых индивидуальными
предпринимателями, а данные по перевозке грузов не имеют общей тенденции, так
как имеют каждый год разный объём.
Рассчитаем средние показатели динамики.
Средние показатели перевозки грузов индивидуальными предпринимателями.
Средний абсолютный прирост на цепной основе:
тыс.
тонн
Средний
абсолютный прирост на базисной основе:
тыс. тонн
Средний
темп роста:
Средний
темп прироста:
В
среднем за анализируемый период, с 2002 по 2009 годы, объём перевозок грузов
увеличился на 0,2 тыс. тонн или на 0,1 %.
Средние
показатели грузооборота индивидуальных предпринимателей.
Средний
абсолютный прирост на цепной основе:
млн.
тонн-км
Средний
абсолютный прирост на базисной основе:
млн.
тонн-км
Средний
темп роста:
Средний
темп прироста:
Рассчитанные
показатели для грузооборота показывают, что грузооборот индивидуальных
предпринимателей увеличился на 5,7 млн. тонн-км или на 5,6 %.
Средние
показатели дальности перевозок, осуществляемых предпринимателями.
Средний
абсолютный прирост на цепной основе:
км
Средний
абсолютный прирост на базисной основе:
км
Средний
темп роста:
Средний
темп прироста:
Из
этого следует, что в среднем за год с 2002 по 2009 годы дальность перевозок
увеличилась на 16,2 км или на 5,5 %.
Не
для сравнения показателей количества перевезенных грузов, грузооборота и
средней дальности перевозки, а для анализа их динамики, т.к. они имеют разные
единицы измерения, для наглядности представим их графически на рисунке 1.
Рисунок
1 - Динамика перевозок грузов предпринимателями Новгородской области
Объем
перевозок грузов значительно уменьшался ежегодно с 2002 по 2006 год, за
исключением 2005 года, когда объем немного возрос. С 2007 года заметен высокий
темп роста показателя перевозки грузов индивидуальными предпринимателями, к
тому же, уровень 2009 года превысил показатель 2002 года. Грузооборот высокими
темпами рос, начиная с 2004 года, и к 2009 году он составил 146,1% грузооборота
2002 года. Средняя дальность перевозок, совершаемых индивидуальными
предпринимателями, с каждым годом увеличивалась постоянно в среднем на 6,43%.
Средняя дальность перевозок, совершаемых индивидуальными предпринимателями в
2009 году, увеличилась на 45,7% по сравнению с данным показателем 2002 года.
.2 Анализ структуры численности индивидуальных
предпринимателей по видам экономической деятельности
Проанализируем следующие данные о численности индивидуальных
предпринимателей в Новгородской области.
Таблица 5 - Численность индивидуальных предпринимателей в Новгородской
области на 1 января 2010 года
|
Всего, человек
|
Удельный вес, %
|
|
1
|
2
|
3
|
|
Всего
|
16872
|
100,0
|
|
в том числе по видам
экономической деятельности
|
|
сельское хозяйство, охота и
лесное хозяйство
|
1377
|
8,2
|
|
рыболовство, рыбоводство
|
53
|
0,3
|
|
добыча полезных ископаемых
|
1
|
0,0
|
|
из нее добыча полезных
ископаемых, кроме топливно-энергетических
|
1
|
0,0
|
|
обрабатывающие производства
|
972
|
5,8
|
|
из них:
|
|
производство пищевых
продуктов, включая напитки, и табака
|
81
|
0,5
|
|
текстильное и швейное
производство
|
135
|
0,8
|
|
производство кожи, изделий
из кожи и производство обуви
|
4
|
0,0
|
|
обработка древесины и
производство изделий из дерева
|
351
|
2,1
|
|
целлюлозно-бумажное
производство; издательская и полиграфическая деятельность
|
38
|
0,2
|
|
химическое производство
|
5
|
0,0
|
|
производство резиновых и
пластмассовых изделий
|
7
|
0,0
|
|
производство прочих
неметаллических минеральных продуктов
|
47
|
0,3
|
|
Металлургическое
производство и производство готовых металлических изделий
|
116
|
0,7
|
|
производство машин и
оборудования
|
33
|
0,2
|
|
Производство
электрооборудования, электронного и оптического оборудования
|
30
|
0,2
|
|
Производство транспортных
средств и оборудования
|
2
|
0,0
|
|
прочие производства
|
123
|
0,7
|
|
производство и
распределение электроэнергии, газа и воды
|
11
|
0,1
|
|
Строительство
|
432
|
2,6
|
|
оптовая и розничная
торговля; ремонт автотранспортных средств, мотоциклов, бытовых изделий и
предметов личного пользования
|
8375
|
49,6
|
|
из них:
|
|
торговля автотранспортными
средствами и мотоциклами, их техническое обслуживание и ремонт
|
451
|
2,7
|
|
оптовая торговля, включая
торговлю через агентов, кроме торговли автотранспортными средствами и
мотоциклами
|
819
|
4,9
|
|
розничная торговля, кроме
торговли автотранспортными средствами и мотоциклами; ремонт бытовых изделий и
предметов личного пользования
|
7105
|
42,1
|
|
гостиницы и рестораны
|
233
|
1,4
|
|
транспорт и связь
|
2772
|
16,4
|
|
из них связь
|
48
|
0,3
|
|
финансовая деятельность
|
107
|
0,6
|
|
операции с недвижимым
имуществом, аренда и предоставление услуг
|
1423
|
8,4
|
|
государственное управление
и обеспечение военной безопасности; обязательное социальное обеспечение
|
11
|
0,1
|
|
образование
|
55
|
0,3
|
|
здравоохранение и
представление социальных услуг
|
114
|
0,7
|
|
предоставление прочих
коммунальных, социальных и персональных услуг
|
934
|
5,5
|
|
предоставление услуг по
ведению домашнего хозяйства
|
2
|
0,0
|
На рисунке 2 изображена структура численности предпринимателей по видам
деятельности и их удельный вес. Сельское хозяйство - 8,2 %, рыболовство - 0,3
%, обрабатывающие производства - 5,8 %, строительство - 2,6 %, оптовая и
розничная торговля - 49,6 %, гостиницы и рестораны- 1,4 %, транспорт и связь -
16,4 %, финансовая деятельность - 0,6 %, операции с недвижимым имуществом - 8,4
%, государственное управление - 0,1 %, образование - 0,3 %, здравоохранение -
0,7 %, коммунальные услуги - 5,5 %, услуги по ведению домашнего хозяйства -
0,0%.
Рисунок 2 - Структура численности предпринимателей по видам деятельности
На рисунке 3 изображена структура численности индивидуальных
предпринимателей по видам деятельности, работающих в сфере обрабатывающего
производства: производство пищевых продуктов - 8,3 %, текстильное и швейное
производство - 13,9 %, производство кожи - 0,0 %, обработка древесины - 36,1 %,
целлюлозно-бумажное производство - 3,9 %, химическое производство - 0,0 %,
производство резиновых изделий - 0,0 %, производство прочих неметаллических
минеральных продуктов - 4,8 %, металлургическое производство - 11,9 %,
производство машин и оборудования - 3,4 %, производство электрооборудования -
3,1 %, производство транспортных средств и оборудования - 0,0 %, прочие
производства - 12,7 %.
Рисунок 3 - Структура численности индивидуальных предпринимателей по
видам деятельности, работающих в сфере обрабатывающего производства
Теперь обратим внимание на численность индивидуальных предпринимателей,
работающих в сфере оптовой и розничной торговли. Наибольшая численность предпринимателей
занята в розничной торговле, кроме торговли автотранспортными средствами и
мотоциклами; ремонт бытовых изделий и предметов личного пользования - 84,8 %. В
оптовой торговле занято индивидуальных предпринимателей 819 человек или 10 % от
общей численности индивидуальных предпринимателей, работающих в сфере оптовой и
розничной торговли.
Рисунок 4 - Структура численности индивидуальных предпринимателей по
видам деятельности, работающих в сфере оптовой и розничной торговли
Рисунок 5 - Динамика производства мебели индивидуальными
предпринимателями 2003-2009 гг, тыс. рублей
Рисунок 6 - Производство мебели индивидуальными предпринимателями за 2003-2008
гг, %
В производстве мебели индивидуальными предпринимателями прослеживается
тенденция к увеличению до 2008.
Производство мебели в 2003 году в денежном выражении составило 3815 тыс.
рублей или 1 % от общего объёма производства за 6 лет. В 2004 году - 7882 тыс.
рублей или 3 %, в 2005 году - 25943 тыс. рублей (на 18061 тыс. рублей больше,
чем в 2004 году) или 10%, в 2006 году - 26701 тыс. рублей или 10 %, в 2007 -
41278 тыс. рублей или 16 % , в 2008 году 100103 тыс. рублей или 40 % и в 2009
году 48895 тыс. рублей или 20%.
Выпуск мебели в 2009 году по сравнению с 2003 увеличился, потребители на
покупку мебели стали затрачивать на 45080 тыс. рублей. А по сравнению с 2008
годом уменьшилась на 51208 тыс. рублей или на 48,8 %.
Рост (снижение) объёма производства мебели напрямую связан с ростом
(снижением) потребительского спроса, который в свою очередь связан с качеством
выпускаемой мебели, с ценовой политикой предпринимателей и торговой наценкой
магазинов, с расширением ассортимента и с предоставлением магазинами кредитов
покупателям на выгодных условиях. Все изменения объёма выпуска мебели отражены
на рисунке 5.
Рисунок 7 - Динамика производства хлеба и хлебобулочных изделий
индивидуальными предпринимателями, тонн
Рисунок 8 - Производство хлеба и хлебобулочных изделий индивидуальными
предпринимателями за 2003-2008 гг, %
Анализируя производство хлеба и хлебобулочных изделий можно прийти к
следующим выводам. Выпуск хлеба с каждым годом значительно сокращается. За
период с 2003 по 2009 годы выпуск хлеба и хлебобулочных изделий уменьшился
практически в шесть раз, а именно на 2666,6 тонн, или на 83,0 %. Объём
производства сокращается из-за неразумной ценовой политики, а так же из-за низкого
уровня доходов населения, которые не могут позволить покупать хлеб и
хлебобулочные изделия от частных производителей.
Рисунок 9 - Динамика производства швейных изделий индивидуальными
предпринимателями за 2003-2009 гг, тыс. рублей
Из рисунка 9 можно сделать следующий вывод. Темп роста производства
швейных изделий достаточно высок. В 2009 году по сравнению с 2003 он увеличился
на 7125 тыс. рублей. Самый большой объём выпуска швейных изделий наблюдается в
2005 году, он составил 19590 тыс. рублей, а самый низкий объём выпуска
приходится на 2004 год - составил 713 тыс. рублей.
Рисунок 10 - Производство швейных изделий индивидуальными
предпринимателями за 2003 - 2009 гг, тыс. рублей
индивидуальный
предприниматель экономический капитал
Анализируя деятельность индивидуальных предпринимателей по основным видам
выпуска продукции, а именно производство мебели, производство хлеба и
хлебобулочных изделий и производство швейных изделий, и сделав соответствующие
выводы относительно динамики производства продукции, необходимо помнить о том,
что показатели, рассматриваемые нами, являются денежными, а них огромное
влияние оказывает инфляция.
Таблица 6 - Доля производства основных видов продукции индивидуальными
предпринимателями в общем объеме производства (в процентах)
|
2003
|
2004
|
2005
|
2006
|
2007
|
2008
|
2009
|
|
Пиломатериалы
|
1,3
|
0,7
|
2,4
|
3,5
|
4,5
|
6,5
|
1,7
|
|
Помещения контейнерного
типа (включая вагоны-дома)
|
-
|
-
|
81,6
|
93.3
|
75,1
|
55,2
|
11,2
|
|
Трикотажные изделия
|
23,3
|
23,0
|
23,5
|
16,6
|
15,4
|
44,8
|
72,4
|
|
Трикотажные изделия для
детей
|
56,2
|
59,5
|
74,6
|
74,7
|
73,5
|
84,9
|
80,3
|
|
Бельевой трикотаж
|
23,4
|
16,0
|
19,6
|
11,1
|
17,7
|
54,3
|
77,8
|
|
Бельевой трикотаж для детей
|
59,2
|
47,1
|
60,2
|
60,3
|
63,1
|
83,6
|
83,7
|
|
Верхний трикотаж
|
22,6
|
34,8
|
28,6
|
30,4
|
12,8
|
17,7
|
-
|
|
Верхний трикотаж для детей
|
30,9
|
82,1
|
96,3
|
98,6
|
99,5
|
98,3
|
-
|
|
Швейные изделия в
фактических ценах (без НДС и акцизов)
|
0,8
|
0,4
|
11,0
|
9,1
|
4,6
|
4,2
|
2,8
|
|
Пальто, полупальто
|
16,0
|
10,2
|
79,8
|
19,8
|
0,6
|
11,5
|
3,0
|
|
Костюмы
|
0,4
|
4,1
|
0,9
|
1,3
|
1,7
|
-
|
-
|
|
Платья (включая сарафаны и
халаты)
|
1,0
|
1,0
|
14,7
|
18,6
|
8,9
|
7,3
|
|
Брюки (включая женские и
рабочие)
|
0,6
|
0,4
|
39,8
|
30,8
|
15,3
|
11,4
|
13,5
|
|
Юбки
|
2,8
|
1,1
|
78,8
|
70,6
|
11,2
|
14,1
|
11,1
|
|
Блузки
|
2,8
|
2,4
|
24,2
|
51,4
|
12,8
|
22,0
|
5,2
|
|
Куртки (включая рабочие)
|
0,1
|
-
|
3,0
|
3,1
|
-
|
0.7
|
5,2
|
|
Рыба охлажденная (без
сельди)
|
16,5
|
16,0
|
6,7
|
0,4
|
0,9
|
1,9
|
-
|
|
Сельдь всех видов обработки
|
17,6
|
31,5
|
4,0
|
2,2
|
2,2
|
1,2
|
-
|
|
Сельдь соленая
|
18,5
|
33,4
|
4,1
|
2,3
|
2,1
|
1,0
|
-
|
|
Рыба копченая (без сельди)
|
17,6
|
24,8
|
1,8
|
1,0
|
1,6
|
0,4
|
-
|
|
Рыба сушено-вяленая
|
19,6
|
15,9
|
17,0
|
25,3
|
87,1
|
67,1
|
86,7
|
|
Масло животное
|
1,0
|
0,4
|
1,4
|
0,7
|
-
|
-
|
-
|
|
Сыры и творог
|
3,7
|
3,9
|
3,5
|
1,1
|
0,0
|
0,0
|
-
|
|
Сыры жирные (включая
брынзу)
|
7,2
|
10,1
|
12,0
|
6,9
|
0,0
|
0,1
|
-
|
|
Цельномолочная продукция (в
расчете на молоко)
|
1,0
|
1,0
|
0,8
|
2,2
|
-
|
-
|
-
|
|
Хлеб и хлебобулочные
изделия
|
5,2
|
5,5
|
5,1
|
4,9
|
3,6
|
2,8
|
1,1
|
|
Кондитерские изделия
|
0,3
|
0,4
|
0,3
|
0,6
|
0,4
|
1,8
|
0,6
|
|
Макаронные изделия
|
22,5
|
0,4
|
0,6
|
1,6
|
1,0
|
1,6
|
2,3
|
|
Мебель (без встроенной)
|
0,5
|
0,7
|
1,5
|
1,4
|
1,6
|
3,2
|
1,7
|
Анализируя таблицу 6, можно прийти к выводу, что в 2009 году наибольшую долю
производства основных видов продукции индивидуальными предпринимателями в общем
объёме производства занимало производство: рыба сушено-вяленая - 86,7 %,
бельевого трикотажа для детей - 83,7 %, трикотажные изделия для детей - 80,3%,
бельевой трикотаж - 77,8% и производство трикотажных изделий - 72,4 %.
Наименьшую долю производства занимает производство следующих видом
продукции: сыры кондитерские изделия - 0,6 %, хлеб и хлебобулочные изделия -
1,1 % , пиломатериалы - 1,7%, мебель - 1,7%.
Рисунок 11 - Доля производства основных видов продукции индивидуальными
предпринимателями в общем объеме производства в 2009 году, %
3.3 Корреляционно-регрессионный анализ влияния инвестиций в
основной капитал на объем перевезенных грузов предпринимателями
Имеются данные об инвестиций в основной капитал (в млн. руб.) в
Новгородской области и об объеме перевезенных грузов предпринимателями,
физическими лицами, имеющими лицензии на осуществление коммерческих перевозок
автомобильным транспортом в Новгородской области (таблица 7). Проведем
корреляционно-регрессионный анализ влияния инвестиций в основной капитал на
объем перевезенных грузов предпринимателями (физическими лицами), имеющими
лицензии на осуществление коммерческих перевозок автомобильным транспортом в
Новгородской области.
В качестве факторного признака
выступят инвестиции в основной
капитал (в млн. руб.) в Новгородской области, результативного
- объем перевезенных грузов
предпринимателями, имеющими лицензии на осуществление коммерческих перевозок
автомобильным транспортом в Новгородской области.
Данные в таблице 8 представлены после предварительной их обработки
методом сопоставления двух параллельных рядов. Остальные графы таблицы
используются как промежуточные расчеты.
Таблица 7 - Исходные данные
|
Объём перевезённых грузов
предпринимателями в Новгородской области, тыс. тонн ( )
|
Инвестиции в основной
капитал в Новгородской области, млн. руб. ( )
|
|
1
|
2
|
|
345,9
|
5008,5
|
|
297,6
|
8976,2
|
|
214,0
|
8794,9
|
|
237,4
|
13995,9
|
|
214,4
|
18954,0
|
|
235,9
|
23918,7
|
|
305,5
|
33934,1
|
|
347,2
|
35617,5
|
Проведем анализ данных путем построения корреляционного поля зависимости инвестиций
в основной капитал на объем перевезенных грузов предпринимателями, имеющими
лицензии на осуществление коммерческих перевозок автомобильным транспортом в
Новгородской области.
Рисунок 12 - Корреляционное поле зависимости инвестиций в основной
капитал на объем перевезенных грузов предпринимателями, физическими лицами,
имеющими лицензии на осуществление коммерческих перевозок автомобильным
транспортом в Новгородской области
Данные представлены после предварительной их обработки методом
сопоставления двух параллельных рядов, остальные графы таблицы используются как
промежуточные расчёты.
Проанализировав данные и их графическое изображение, можно сказать, что
связь между признаками линейная и она описывается уравнением прямой (9).
По формулам (11) и (12) вычислим
,
используя расчетные данные таблицы
9:
Вычислив
параметры, получим следующее уравнение:
Следовательно,
с уменьшением инвестиций в основной капитал на 1, объем перевозок грузов
индивидуальными предпринимателями уменьшится на 0,0011.
Значимость
коэффициентов регрессии проверим по t-критерию Стьюдента. Вычислим
расчетные значения t-критерия по формулам (13) и (14).
Среднее квадратическое отклонение результативного признака
от выровненных значений
по формуле (15):
Среднее
квадратическое отклонение факторного признака
от общей
средней
рассчитаем по формуле (16):
Вычисленные
значения сравниваем с критическим t по таблице Стьюдента с учетом уровня
значимости α=0,05
и числом степеней свободы =
n-k-1=7-1-1=5.
больше
,
параметр
признается значимым, т.е. в этом случае практически
невероятно, что найденное значение параметра обусловлено только случайными
совпадениями.
меньше
, следовательно, параметр признается
незначимым.
Линейный коэффициент корреляции изменяется в диапазоне от -1 до +1.
Положительный коэффициент характеризует прямую связь, отрицательный - обратную.
Связь между факторным и результативным признаком можно признать тесной, если r>0,7.
Т.к. r=0,23, то связь слабая.
Выявим тесноту корреляционной связи между
и
с помощью линейного коэффициента
корреляции, используя формулу (17):
Значимость
линейного коэффициента корреляции определяется с помощью t-критерия
Стьюдента (число степеней свободы
, уровень
значимости
):
Так
как
меньше
,
следовательно коэффициент корреляции незначим.
Чтобы
оценить степень совокупного влияния факторов воспользуемся линейным
коэффициентом детерминации
,измеряемым
в процентах:
Он показывает, что 5,0 % вариации объёма перевезённых грузов обусловлено
вариацией инвестиций в основной капитал. Чем ближе коэффициент детерминации к
100 %, тем лучше подобранная модель описывает данные исследований.
Для удобства интерпретации параметра
воспользуемся коэффициентом
эластичности. Он показывает средние изменения результативного признака при
изменении факторного признака на 1 %:
В
представленном анализе деятельности индивидуальных предпринимателей коэффициент
эластичности равен 0,07.
Это
значит, что при увеличении инвестиций в основной капитал на один процент объём
перевезённых грузов индивидуальными предпринимателями в Новгородской области
увеличится на 0,07 %.
Этот
вывод справедлив только для данной совокупности данных и при конкретных
условиях деятельности индивидуальных предпринимателей.
Выводы и предложения
В ходе данной работы был проведён статистический анализ численности
индивидуальных предпринимателей за период с 2003 по 2010 годы, а также анализ
производства основных видов продукции индивидуальными предпринимателями
Новгородской области. В ходе проведения анализа было установлено, что очень
быстрыми темпами растет производство мебели индивидуальными предпринимателями в
Новгородской области. Еще более высок темп роста производства швейных изделий,
он составляет 114% в 2010 году по сравнению с 2003. Однако производство хлеба и
хлебобулочных изделий индивидуальными предпринимателями с каждым годом
сокращается.
Также можно сделать вывод, что наибольшую долю производства продукции
индивидуальными предпринимателями в общем объеме производства занимало
производство помещений контейнерного типа и трикотажных изделий. Темпы роста
доли производства трикотажной продукции индивидуальными предпринимателями в
общем объеме производства постоянно растут, начиная с 2005 года. Однако тут
нельзя забывать о том, что в основном показатели, представленные в работе,
денежные и огромную роль играет инфляция.
Наибольшим удельном весом среди индивидуальных предпринимателей на 1
января 2010 года занимали индивидуальные предприниматели, осуществляющую
экономическую деятельность в сфере оптовой и розничной торговли, ремонта
автотранспортных средств, мотоциклов, бытовых изделий и предметов личного
пользования (49,6%). На втором месте - индивидуальные предприниматели, чья
основная деятельность относится к сфере транспорта и связи (16,4%). А на
третьем месте - предприниматели, осуществляющие операции с недвижимым
имуществом, арендой и предоставлением услуг (8,4%).
Одно из наиболее эффективных направлений экономического роста России на
ближайшую перспективу - развитие малого бизнеса.
В наше время малый бизнес призван не только стать важнейшей базой
структурной перестройки экономики с учетом особенностей развития регионов, но и
обеспечить наполняемость местных бюджетов.
На современном этапе экономического развития Российской Федерации особо
актуальной является проблема своевременного пополнения государственного
бюджета, его сбалансированности по доходам и расходам, обеспечения
финансирования федеральных и региональных потребностей. Поэтому обеспечение роста
налоговых поступлений и повышение уровня собираемости налоговых платежей стало
приоритетной задачей.
В условиях проводимой политики по снижению налоговой нагрузки на реальных
товаропроизводителей и ее переносу на потребительский сектор и соответствующего
расширения на этой основе налоговой базы посредством реализации регулирующей и
стимулирующей функций налоговая система призвана обеспечивать
сбалансированность федеральных, региональных, местных и частных интересов,
создавать основу для структурных изменений в экономике и ее подъема,
активизации инвестиционной деятельности.
Принятие Налогового кодекса позволило частично систематизировать
действующие нормы и положения, регулирующие процесс налогообложения. Налоговый
кодекс устраняет ряд недостатков существующей налоговой системы - отсутствие
единой законодательной и нормативной базы налогообложения, многочисленность и
противоречивость нормативных документов и отсутствие достаточных гарантий для
участников налоговых отношений.
Либерализация малого бизнеса и заметное усиление защищенности
налогоплательщиков будут способствовать улучшению инвестиционного климата и
возврату в легальную сферу капиталов, выведенных из-под налогообложения.
Малый бизнес призван внести свой вклад в удвоение валового внутреннего продукта
страны за десятилетие, которое было названо приоритетной экономической задачей.
Список литературы
1. Башина
О.Э. Общая теория статистики. Статистическая методология в коммерческой
деятельности: Учебник. - М.: Финансы и статистика, 2005 г.
. Гусаров, В.
М. Теория статистики: учебное пособие для ВУЗов - М.: Аудит, Юнити, 1998.
. Елисеева
И.И., Юзбашев М.М. Общая теория статистики: Учебник / Под ред. И.И. Елисеевой -
5-е изд., перераб. и доп. - М.: Финансы и статистика, 2005 г.
. Ефимова
М.В. Практикум по общей теории статистики: Учебное пособие. - М.: Финансы и
статистика, 2005 г.
. Ефимова
М.Р., Петрова Е.В. Общая теория статистики: Учебник. - М.: Инфра - М, 2005 г.
.
Микроэкономическая статистика: Учебник / под ред. С.Д. Ильенковой. - М.:
Финансы и статистика, 2004 г.
. Общая
теория статистики: учебник/ А.И. Харламов, В.Т. Бабурин и др. под ред. А. А.
Спирина, - М., Финансы и статистика, 1994.
. Салин В.Н.,
Чурилова Э.Ю. Курс теории статистики: Учебник. - М.: Финансы и статистика, 2006
г.
. Практикум
по теории статистики: Учебное пособие / Р.А. Шмойлова, В.Г. Минашкин и др. /
Под ред. Р.А. Шмойловой. - 2-е изд. Перераб. и доп. - М.: Финансы и статистика,
2005 г.
. Теории
статистики: Учебник / Р.А. Шмойлова, В.Г. Минашкин и др. / Под ред. Р.А.
Шмойловой. - 2-е изд. Перераб. и доп. - М.: Финансы и статистика, 2005 г.
. Фишер Р.А.
Статистические методы для исследователей; М.: Высшая школа, 2009. - 501
c.
. Шапкин И.
Н. Малое предпринимательство. Теория и практика: Учебник. - М.: Издательско -
торговая корпорация, 2003 г.
. Швандарова
В. А. Малый бизнес. Организация, экономика, управление: Учебное пособие для
вузов. - М.: ЮНИТИ - ДАНА, 2009 г.
. Юзбашев
М.М., Афанасьев В.Н. Анализ временных рядов и прогнозирования: Учебник. - М.:
Финансы и статистика, 2001 г.
. Экономика
предприятия: Учебник для вузов /Под ред. Проф. В.Я. Горфинкеля, проф. В.А.
Швандара. -4-е изд., перераб. и доп. - М.: Юнити-Дана, 2004 г.