Устранение неисправностей автоматизированных систем управления энергетической установки
1. Цели и задачи
курсовой работы
. Исходные данные
. Описание и принцип действия регулятора
. Правила эксплуатации и технического обслуживания регулятора частоты
вращения
5. Технические
требования предъявляемые к регулятору частоты вращения
6. Настройка регулятора
с жесткой обратной связью
. Расчёт динамических характеристик судового дизеля
7.1 Уравнение динамики двигателя
.2 Получение динамических характеристик судового двигателя
.3 Получение винтовых характеристик двигателя
.4 Определение коэффициентов уравнения динамики двигателя
.5 Определение постоянной времени двигателя
.6 Определение коэффициента усиления двигателя по положению
рейки ТНВД
7.7 Определение коэффициента усиления двигателя по изменению
внешней нагрузки
7.8 Получение винтовых характеристик двигателя
8. Уравнение
динамики регулятора частоты вращения
8.1 Уравнение динамики измерителя
.2 Уравнение динамики усилителя
.3 Динамика жёсткой обратной связи
8.4. Уравнение динамики связей регулятора
.5 Уравнение дифференцирующего рычага
.6 Динамика связей регулятора между входом усилителя и тягой
ТНВД
8.7 Динамика регулятора
. Оптимизация переходных процессов
. Оценка влияния параметров настройки на процесс регулирования
Список использованной литературы
ВВЕДЕНИЕ
В данной курсовой работе показано изучение методов решения таких задач
как: освоение состава, принципа действия, правила эксплуатации и технического
обслуживания, метода статической и динамической настройки, порядок поиска и
устранения неисправностей АСУ энергетической установки по имеющимся для этих
целей данным.
Состав АСУ определяется степенью автоматизации ЭУ, структурным
совершенством её локальных подсистем и элементов.
Для каждой АСУ следует описать отличительные признаки элементной базы,
способы формирования законов регулирования, приспособление для статической и
динамической настройки, конструкции регулирующих органов, порядок прохождения и
формирование сигналов информации.
В пункте правил эксплуатации необходимо описать периодичность наблюдений
и действия по источникам энергии АСУ, частоту энергоносителя:
последовательность действий при вводе АСУ в работу и выводе из работы.
В разделе технических требований должны быть описаны наиболее вероятные
неисправности АСУ, внешне их проявления, возможность и порядок их устранения в
судовых условиях, способы восстановления статических характеристик АСУ и их
совмещение, установления заданных значений регулируемой величины.
Приобретение опыта динамической настройки АСУ на ее модели,
воспроизведенной на ЭВМ - важнейшая задача курсовой работы. Здесь же
подбираются значения параметров динамической настройки регулятора,
обеспечивающие заданное техническими требованиями качества переходного
процесса. Выявить влияние каждого параметра на устойчивость и качество
переходных процессов.
1. ЦЕЛИ И ЗАДАЧИ КУРСОВОЙ РАБОТЫ
В практической деятельности судовой механик осваивает состав, принцип
действия, правила эксплуатации и технического обслуживания, методы статической
и динамической настройки, порядок поиска и устранения неисправностей
автоматизированных систем управления (АСУ) энергетической установки по
имеющимся для этих целей информации. Цель курсовой работы - научиться методам решения перечисленных задач на примере
заданной АСУ. Состав АСУ определяется степенью автоматизации ЭУ, структурным
совершенством её локальных подсистем и элементной базы. С этих позиций
необходимо оценить возможность заданной локальной АСУ, решать задачу
комплексной автоматизации энергетической установки, степень соответствия её
структуры и элементной базы современному уровню.
Принцип действия АСУ определяется элементной базой, назначением
функциональных блоков (регуляторов) и их взаимосвязью. Поэтому для каждой АСУ
должны быть описаны отличительные признаки элементной базы, способы
формирования законов управления регуляторов, приспособления для статической и
динамической настройки, конструкция регулирующих органов. Порядок прохождения и
формирования сигналов информации по замкнутым контурам, взаимодействие
связанных контуров автоматического регулирования.
Правила эксплуатации определяют периодичность, последовательность и объём
действий оператора, гарантирующих надёжную работу АСУ. Должны быть описаны
периодические наблюдения и действия по источникам энергии АСУ, гарантирующие
стабильность параметров питающей энергии. Чистоту энергоносителя;
последовательность и объём действий при вводе АСУ в работу и выводе из работы;
периодичность наблюдений за функционированием АСУ во время работы.
Техническое обслуживание предполагает восстановление характеристик
элементов АСУ, обеспечивающих заданное качество переходных процессов. Оно
включает поиск и устранение, статическую и динамическую настройку АСУ. Должны
быть описаны наиболее вероятные неисправности заданной АСУ, внешнее их
проявление и обнаружение, возможность и порядок устранения в судовых условиях;
способы восстановления статических характеристик элементов АСУ и их совмещение;
установление заданных значений регулируемых сигналов.
Динамическая настройка АСУ на заданное качество переходных процессов
осуществляется в последнюю очередь. Подбирая значения параметров динамической
настройки регуляторов, обеспечивающее заданное техническими требованиями,
качество переходных процессов. Попутно выясняется влияние каждого параметра на
устойчивость и качество переходных процессов.
2. ИСХОДНЫЕ ДАННЫЕ
1. Тип регулятора……………………………………………..…ВРН-30
2. Номинальная мощность двигателя, кВт……..Ng=8820 кВт.
3. Номинальная скорость вращения вала…………………..…
.
. Передача на винт………………….…………….……Прямая.
. Момент инерции…………………….….
. Диаметр гребного винта……………….…D= 6830 мм.
. Шаг гребного винта…………………….…...Н= 5420 мм.
. Число лопастей гребного винта……………………………z = 4.
. Дисковое отношение……………………………….……...
. Марка Двигателя ………………………………………….6RD90
3. ОПИСАНИЕ И ПРИНЦИП ДЕЙСТВИЯ РЕГУЛЯТОРА ВРН-30
Схема регулятора ВРН-30.
Регуляторы типа РН, выпускаемые Саратовским дизельным
заводом, в зависимости от области применения бывают двух типов: 1-режимные
(например, ОРН-30) для дизелей, работающих при постоянной частоте вращения,
обеспечивая одиночную и параллельную работу ДГ постоянного и переменного тока;
всережимные (например, ВРН-30), работающие в широком диапазоне частот вращения
вала двигателя.
Для дизелей различных типов в зависимости от их
назначения и конструктивных особенностей 1-режимные и всережимные регуляторы
выпускаются различных модификаций. Регуляторы всех модификаций являются
унифицированными, они имеют одинаковые технические характеристики и отличаются
между собой в основном различным исполнением механизма управления частотой
вращения вала двигателя, демпфера и устройства для выключения подачи топлива
при остановке двигателя.
Обозначение регуляторов состоит из букв и цифр,
означающих: О - однорежимный; В - всережимный; Р - регулятор; Н - непрямого действия; 30 работоспособность (кгс·см).
Регулятор РН-30. На ДГ широкого диапазона мощностей
устанавливают регуляторы РН-30. Регулятор снабжен комбинированной обратной
связью, реверсивным масляным насосом, пружинным демпфером и электромагнитным
золотником для остановки двигателя. При изменении частоты вращения вала
двигателя нарушается равновесие между центробежной силой грузов и силой
натяжения пружины. Золотник управляет подачей масла из напорной магистрали
аккумулятора в нижнюю полость дифференциального поршня. При увеличении частоты
вращения вала двигателя золотник перемещается вверх и нижняя полость
сервомотора сообщается со сливом. Поршень сервомотора перемещается вниз под
действием давления масла, постоянно поступающего в верхнюю полость поршня.
Рычаг посредством пальца разворачивается на уменьшение подачи топлива в
двигатель.
При движении золотника вниз, т. е. при увеличении
нагрузки на двигатель и уменьшении частоты вращения, нижняя полость сервомотора
сообщается с напорной магистралью, что вызывает движение поршня вверх на
увеличение подачи топлива. При движении силового поршня вверх в канале
изодромной связи увеличивается давление за счет движения плунжера изодрома
вниз. Это давление передается через воспринимающий поршень золотнику который
возвращается в исходное положение. Давление выравнивается через отверстие,
регулируемое иглой изодрома. Жесткая силовая обратная связь обеспечивает
остающуюся неравномерность. Изменение угла наклона регуляторной характеристики
достигается путем воздействия на винт.
Управление механизмом задания частоты вращения вала
двигателя может осуществляться дистанционно электрическим или пневматическим
приводом. Для определения нагрузки на двигатель регуляторы имеют указатель
нагрузки и шкалу с делениями.
4. ПРАВИЛА ЭКСПЛУАТАЦИИ И ТЕХНИЧЕСКОГО ОБСЛУЖИВАНИЯ [РД.31.21.30-97]
Автоматические регуляторы скорости, как и другие механизмы, в процессе
длительной эксплуатации подвержены изнашиванию и раз регулированию. Характер
изнашивания определяется конструкцией, видом энергии, применяемой для работы
регулятора, условиями эксплуатации и выполнением или нарушением, обслуживающим
персоналом правил и инструкции по эксплуатации. В процессе эксплуатации в
механических регуляторах образуются люфты в шарнирных соединениях,
гидравлические не плотности, изменяется жёсткость пружины и сильфонов,
изменяются силы трения подвижных деталях, наблюдается поломки шестерен, валов,
пружин и других деталей. Все это приводит к изменению статических и
динамических характеристик регуляторов. Изменяются коэффициенты усиления,
постоянные времени, устойчивость системы, ухудшается качество переходных
процессов, снижается точность регулирования.
Правильная эксплуатация, профилактические осмотры, своевременно
проводимый ремонт и наладка автоматических регуляторов обеспечивает их
безотказную длительную работу.
Для правильной эксплуатации необходимо знать конструкцию и принцип
действия регулятора, физическую сущность процессов, протекающих в
автоматическом регулировочном объекте и регуляторе. Следует соблюдать графики
осмотров, проверок и ремонта, своевременно заполнять формуляры технического
состояния регулятора. Особое внимание следует уделять чувствительным элементам,
которые являются датчиками первичной информации.
Техническое обслуживание регуляторов частоты вращения непрямого действия
включает ежедневный контроль и технический уход через определенное количество
часов работы. Ежедневный контроль осуществляется за температурой регулятора,
которая недолжна, превышать 60-70
(проверяется на ощупь), за уровнем
масла в регуляторе по масляному стеклу, за отсутствием посторонних шумов внутри
регулятора. В случае обнаружения, каких либо неисправностей в работе регулятора
необходимы следующие проверки:
нагрузки двигателя (чтобы убедится в том, что двигатель не перегружен);
равномерности работы цилиндров, для чего надо измерить давление конца
сгорания у всех цилиндров, а также убедиться в нормальной работе топливной
аппаратуры; системой тяг и рычагов между входным валом регулятора и рейкой
топливных насосов.
После этого необходимо проверить настройку гибкой обратной связи
регулятора. Регуляторы с гибкой обратной связью не могут работать при засорении
отверстий изодромной иглы или при полном ее закрытии. Если наблюдается
небольшое отклонение регулируемой частоты вращения, следует осмотреть привод
регулятора: причиной может быть заедания или чрезмерно большой зазор в зубьях
шестерни привода.
В случаях больших колебаний частоты вращения и большой неравномерности,
которые не устраняются регулировкой гибкой обратной связью, регулятор
необходимо сменить.
Пропорциональный регулятор обеспечивает статическую (падающую)
характеристику регулирования. Эта характеристика может быть сделана
астатической, если после каждого изменения нагрузки вручную производить соответствующее
корректирование уставки посредством талрепа. Во избежание нарушений режима
изменять положение этого талрепа следует достаточно медленно. Сообразуясь со
скоростью процессов, протекающих в объекте регулирования. В этом регуляторе
операция изменения уставки, переводящая статическую характеристику в
астатическую, выполняется автоматически. Исходя из этого, для характеристики
интегральной части воздействия ПИ-регулятора используют термин
"перестановка", а постоянную времени интегрирования называют временем
перестановки. Таким образом, при ПИ-регуляторе обеспечивается постоянство
регулируемой величины на всех нагрузках, т.е. астатическая характеристика
регулирования.
5. ТЕХНИЧЕСКИЕ ТРЕБОВАНИЯ К РЕГУЛЯТОРАМ ЧАСТОТЫ ВРАЩЕНИЯ [РД.31.21.30-97]
Конструктивная простота, компактность и надежность.
Срок службы регуляторов должен быть не менее срока службы двигателей на
которых они установлены. Весьма и перспективно применение унифицированных
моделей регуляторов, имеющих широкий диапазон настроечных параметров и
пригодных для различных марок и типов двигателей.
Регуляторы должны надежно работать:
а) при
и влажностью до 95%.
б) при вибрации корпуса судна с амплитудами до 1 мм и частотой 20Гц.
Устойчиво работать при длительном крене до
и периодических наклонах до
.
Регуляторы должны обеспечивать с определенной точностью необходимые по
условиям эксплуатации двигателя статические и динамические показатели системы
регулирования.
Регуляторы должны изготавливаться по техническим условиям и рабочим
чертежам, утвержденным в установленном порядке.
Степень неравномерности статической характеристики регулятора
при ее наклоне
и более не должна превышать значений
вычисленных по формуле
Ресурс регулятора до первой регулировки должен быть не менее 5000 часов.
Регуляторы с широким диапазоном изменения задания должны также
обеспечивать устойчивость системы автоматического регулирования во всем рабочем
диапазоне частоты вращения.
6. НАСТРОЙКА РЕГУЛЯТОРА С ЖЕСТКОЙ ОБРАТНОЙ СВЯЗЬЮ НА ЗАДАННУЮ ЧАСТОТУ
ВРАЩЕНИЯ
Производится изменением натяжения задающей пружины. Для увеличения
натяжения пружины серьги поворачиваются вокруг своей оси (правой, неподвижной)
против часовой стрелки. Правый конец задающего рычага опускается (т.к. левый
его палец проворачивается вокруг нижней оси серьги) и натяжение задающей
пружины увеличивается. Плунжер золотника в месте с упорным шарикоподшипником
перемещается вниз. Верхняя полость цилиндра сервомотора перемещается верх и его
шток перемещает рейку топливных насосов на увеличение подачи топлива. Частота
вращения коленчатого вала двигателя увеличиваются, и грузы чувствительного
элемента начинают расходиться, приподнимая плунжер золотника. При указанном
переходном процессе вступает в работу жесткая обратная связь. Процесс проходит
за несколько этапов, но окончание переходного процесса наступит тогда, когда
новому натяжению пружины будет соответствовать новая чистота вращения, а
плунжер золотника своими кромками перекроет нагнетательные и сливной каналы, то
есть поршень сервомотора зафиксируется в каком-то определенном положении.
7. РАСЧЁТ
ДИНАМИЧЕСКИХ ХАРАКТЕРИСТИК СУДОВОГО ДИВИГАТЕЛЯ
.1 Уравнение динамики судового двигателя
Динамика судового двигателя, как объекта регулирования скоростного режима
с достаточной точностью описывается уравнением первого порядка вида:
где
- постоянная времени двигателя, с;
- коэффициент усиления двигателя по топливной рейки ТНВД;
- коэффициент усиления двигателя по изменению внешней
нагрузки;
- относительная величина изменения скорости вала;
- относительное изменение положения рейки ТНВД;
- относительное изменение относительной поступи винта;
-номинальные значения переменных величин.
Динамические характеристики двигателя представляются графиками,
выражающими зависимость коэффициентов уравнения (1) от скоростного режима
двигателя. Для этого необходимо располагать частичными и винтовыми
характеристиками ДВС. Сопоставление последних позволит установить точки
возможных установившихся режимов работы, в которых методами математического
анализа можно определить величины коэффициентов уравнения двигателя на любом из
режимов.
7.2 Получение частных характеристик двигателя
Для построения внешней и частичных характеристик двигателя воспользуемся
формулой:
где:
-номинальная скорость вращения вала;
-текущее значение скорости вала;
-значение мощности двигателя при текущем значении n и фиксированном положении рейки
ТНВД;
-значение мощности двигателя при текущем значении n и фиксированном положении топливной
рейки ТНВД.
Получение внешней характеристики произведем при условии, что положение
рейки ТНВД соответствует номинальной подаче топлива, т. е.
=
=1, при котором на скоростном
номинальном режиме двигатель развивает мощность
Расчет частных характеристик выполним для трех положений рейки ТНВД.
При которых двигатель развивает мощность равную:
регулятор судовой двигатель вал
Таблица 1 Вспомогательные расчеты для получения характеристик двигателя.
|
№
|
n
|
n/nн
|
(n/nн)^2
|
(n/nн)^3
|
0,5(n/nн)
|
1,5(n/nн)^2
|
A
|
|
1
|
0,594
|
0,3000
|
0,0900
|
0,0270
|
0,1500
|
0,135
|
0,2580
|
|
2
|
0,792
|
0,4000
|
0,1600
|
0,0640
|
0,2000
|
0,24
|
0,3760
|
|
3
|
0,99
|
0,5000
|
0,2500
|
0,1250
|
0,2500
|
0,375
|
0,5000
|
|
4
|
1,188
|
0,6000
|
0,3600
|
0,2160
|
0,3000
|
0,54
|
0,6240
|
|
5
|
1,386
|
0,7000
|
0,4900
|
0,3430
|
0,3500
|
0,735
|
0,7420
|
|
6
|
1,584
|
0,8000
|
0,6400
|
0,5120
|
0,4000
|
0,96
|
0,8480
|
|
7
|
1,782
|
0,9000
|
0,8100
|
0,7290
|
0,4500
|
1,215
|
0,9360
|
|
8
|
1,98
|
1,0000
|
1,0000
|
1,0000
|
0,5000
|
1,5
|
1,0000
|
|
9
|
2,178
|
1,1000
|
1,2100
|
1,3310
|
0,5500
|
1,815
|
1,0340
|
|
10
|
2,376
|
1,2000
|
1,4400
|
1,7280
|
0,6000
|
2,16
|
1,0320
|
Таблица
2 Ординаты внешних и
частичных характеристик
|
№
|
n
|
А
|
Ng(hтн)
|
Ng(hт1)0.75
|
Ng(hт2)0.5
|
Ng(hт3)0.25
|
|
1
|
0,594
|
0,2580
|
2275,56
|
1706,67
|
1137,78
|
568,89
|
|
2
|
0,792
|
0,3760
|
3316,32
|
2487,24
|
1658,16
|
829,08
|
|
3
|
0,99
|
0,5000
|
4410
|
3307,5
|
2205
|
1102,5
|
|
4
|
1,188
|
0,6240
|
5503,68
|
4127,76
|
2751,84
|
1375,92
|
|
5
|
1,386
|
0,7420
|
6544,44
|
4908,33
|
3272,22
|
1636,11
|
|
6
|
1,584
|
0,8480
|
7479,36
|
5609,52
|
3739,68
|
1869,84
|
|
7
|
1,782
|
0,9360
|
8255,52
|
6191,64
|
4127,76
|
2063,88
|
|
8
|
1,98
|
1,0000
|
8820
|
6615
|
4410
|
2205
|
|
9
|
2,178
|
1,0340
|
9119,88
|
6839,91
|
4559,94
|
2279,97
|
|
10
|
2,376
|
1,0320
|
9102,24
|
6826,68
|
4551,12
|
2275,56
|
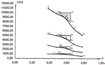
Внешние и частичные характеристики двигателя, построенные по данным
таблицы 2, приведены на Рис. 1.
Рис. 1 Внешняя и частичные характеристики ДВС
.3 Получение винтовых характеристик
Для построения винтовых характеристик воспользуемся формулой:
,
Где Nв- мощность, срабатываемая винтом;
-скорость вращения винта;
С- постоянный коэффициент.
Вначале получим номинальную винтовую характеристику и соответствующие ей
значения коэффициента Сн, относительный поступи
, и коэффициента винта
.
Учитывая, что момент, развиваемой двигателем на номинальном режиме
работы, определяется так
, а момент потребляемый винтом на том же режиме.
где
=1020 кг/м
-плотность морской воды;
=6,83 м, - диаметр гребного винта
где
=8820 кВт, - номинальная мощность двигателя
Коэффициент винта
.
По данным винта: Z=4 -
число лопастей.
H/D=0,79
- дисковое отношение.
- относительная поступь винта, (прил. 2 [1]).
Выражение для определения коэффициента С будет иметь вид:
;
В соответствии с заданием для номинального режима получим
Таблица 3 Ординаты номинальной винтовой характеристики.
|
nв
|
0,594
|
0,792
|
0,99
|
1,188
|
1,386
|
1,584
|
1,782
|
1,98
|
2,178
|
2,376
|
|
(nв)^3
|
0,210
|
0,496793
|
0,970
|
1,677
|
2,663
|
3,9743447
|
5,659
|
7,762
|
10,332
|
13,41341
|
|
Nвн
|
238,14
|
564,48
|
1102,50
|
1905,1
|
3 025,26
|
4515,8
|
6 429,78
|
8 820
|
11 739,4
|
15240,96
|
Относительная поступь для тяжелого и легкого винтов.
где
=0, 8 - относительная поступь винта на номинальных оборотах.
Определяем значение коэффициента момента
.
Коэффициент С для искомых винтовых характеристик.
Используя эти значения, рассчитаем ординаты дополнительных винтовых
характеристик:
Таблица 4 Ординаты дополнительных винтовых характеристик.
|
nв
|
0,594
|
0,792
|
0,99
|
1,188
|
1,386
|
1,584
|
1,782
|
2,178
|
2,376
|
|
|
739,380
|
1752,604
|
3423,055
|
5915,039
|
9392,863
|
14020,83
|
19963,26
|
27384,44
|
36448,689
|
47320,312
|
|
|
679,430
|
1610,501
|
3145,510
|
5435,441
|
8631,279
|
12884,01
|
18344,61
|
25164,08
|
33493,39
|
43483,53
|
|
|
519,564
|
1231,560
|
2405,390
|
4156,514
|
6600,39
|
9852,477
|
14028,23
|
19243,12
|
25612,593
|
33252,111
|
|
|
419,648
|
994,721
|
1942,815
|
3357,184
|
5331,084
|
7957,77
|
11330,5
|
15542,52
|
20687,094
|
26857,474
|
|
|
236,642
|
560,930
|
1095,566
|
1893,138
|
3006,233
|
4487,438
|
6389,341
|
8764,528
|
11665,587
|
15145,105
|
Графики номинальной и дополнительных винтовых характеристик, построенных
по результатам расчётов (Табл.3 и 4) показаны на Рис. 2.
7.4 Определение возможных установившихся режимов работы
Для определения возможных установившихся режимов работы главной
энергетической установки выполним графическое совмещение характеристик
двигателя с номинальной винтовой характеристикой. Результат такого же
совмещения показан на рисунке 3.
Рис.2 Винтовые характеристики
Из рисунков 1 и 3 следует, что:
.5 Определение коэффициентов уравнения динамики двигателя
Для определения числовых значений коэффициентов уравнения динамики
двигателя воспользуемся формулами;
Согласно этим формулам коэф.
,
,
можно вычислить, если будут известны
значения частных производных. Найдем эти значения графическим
дифференцированием характеристик двигателя и номинальной винтовой
характеристике.
.6 Определение постоянной времени двигателя
Рис.3. Установившийся режим.
Частные производные, входящие в выражения для нахождения
, определи как тангенсы угла наклона
касательных, приведенных к соответствующим кривым в точках установившихся
режимов. Для вычисления
воспользуемся номинальной винтовой характеристикой на Рис3.
Величины катетов и значение производной по режимам работы двигателя
приведены в
Табл. №5 Значение частотной производной
|
n
|
Nвк
|
Nвм
|
Nв
|
nм
|
nе
|
n
|
( Nв/ n)
|
|
1,98
|
10275,36
|
7528,98
|
2746,38
|
2,05
|
1,80
|
0,25
|
10985,50
|
|
1,75
|
7362,32
|
4565,22
|
2797,10
|
1,79
|
1,55
|
0,24
|
11777,28
|
|
1,48
|
4181,16
|
2492,75
|
1688,41
|
1,50
|
1,28
|
0,23
|
7504,04
|
|
0,95
|
2202,90
|
1000,00
|
1202,90
|
1,23
|
0,93
|
0,31
|
3927,84
|
Для вычисления частной производной
воспользуемся характеристикой
двигателя Рис.1. На каждой из таких характеристик в точке установившегося
режима построим прямоугольные треугольники, у которых будет касательная,
проведённая к кривой. Величину производной в соответствии с
обозначениями на Рис.1 будем находить как:
Нахождение величины производной представим в табличной форме. Таблицы №6.
Таблица 6 Значения частной производной
.
|
n
|
NgB
|
NgD
|
Ng
|
nb
|
nD
|
n
|
( Ng/ n)
|
|
1,98
|
10000,00
|
8000,00
|
2000,00
|
2,31
|
1,61
|
0,70
|
2857,14
|
|
1,75
|
7000,00
|
5108,70
|
1891,30
|
1,91
|
1,40
|
0,51
|
3690,34
|
|
1,48
|
4528,99
|
3000,00
|
1528,99
|
1,89
|
1,20
|
0,69
|
2223,99
|
|
0,95
|
2289,86
|
855,07
|
1434,79
|
1,80
|
0,77
|
1,03
|
1393,00
|
Постоянная времени при заданном
и уже найденных значениях чисел
оборотов на установившихся режимах работы двигателя будут равны:
Находим постоянную времени:
.7 Определение коэффициента усиления двигателя по положению рейки топливных насосов
Для определения коэффициента усиления по положению рейки топливных насосов
надо знать значения частной производной
. Эти значения можно получить путем графического
дифференцирования характеристик двигателя, перестроенных в координатах
"мощность двигателя - положение рейки топливных насосов".
Перестроение характеристик двигателя выполним для уже известных установившихся
скоростных режимов, обозначенных на Рис.1 точками А, 1, 2, 3. Для этого через
указанные точки проведём вертикальные линии. Точка пересечения этих линий с
характеристиками двигателя обозначим как показано на Рис.1. Искомая производная
в точках установившихся режимов будет определяться, как:
;
Расчёт частной производной представлен в табличной форме (Табл.№7).
Таблица 7 Значения частной производной
|
n
|
Ngc
|
Ngd
|
Ng
|
hTD
|
hTВ
|
h
|
( Ng/ h)0
|
|
1,98
|
9490,78
|
8000,00
|
1490,78
|
1,05
|
0,90
|
0,15
|
9658,44
|
|
1,75
|
6527,81
|
5555,58
|
972,23
|
0,79
|
0,67
|
0,12
|
8267,26
|
|
1,48
|
4564,83
|
3000,00
|
1564,83
|
0,65
|
0,43
|
0,22
|
7258,02
|
|
0,95
|
1712,97
|
694,45
|
1018,52
|
0,40
|
0,17
|
0,22
|
4568,38
|
Коэффициент усиления двигателя по положению рейки ТНВД на установившихся
режимах работы при известных
и
и составляющих выражений
, будет равна следующим величинам:
Рис. 4. Перестроение характеристики двигателя
.8 Определение коэффициента усиления
двигателя по изменению внешней нагрузки
Для нахождения значений честной производной
, которая входит в значение для
определения коэффициента
, перестроим винтовые характеристики Рис.2 в координатах
"мощность потребляемая винтом-относительная поступь винта".
Перестроение выполним для установившихся режимов, обозначенных на винтовой
характеристике точками А, 1, 2, и 3. Для этого через эти точки проведём
вертикальные линии. Полученные точки пресечения вертикалей с винтовыми
характеристиками обозначим, как показано на Рис.2. Значения мощности в этих
точках сведём для удобства в таблицу №8. В
соответствии с данными таблицы №8 построим требуемые характеристики и нанесём
на них точки установившихся скоростей режимов работы. В каждой режимной точке
проведём касательную, на которой построим производной величины прямоугольный
треугольник.
Таблица 8 Ординаты винтовых характеристик
|
λp
|
λp1
|
λp2
|
λн
|
λp3
|
λp4
|
|
n
|
0,38
|
0,48
|
0,58
|
0,68
|
0,78
|
|
1,98
|
10900,00
|
9800,00
|
8820,00
|
6500,00
|
5100,00
|
|
1,75
|
5400,00
|
5000,00
|
4400,00
|
3200,00
|
2550,00
|
|
1,48
|
2900,00
|
2500,00
|
2300,00
|
1650,00
|
1400,00
|
|
0,95
|
1000,00
|
970,00
|
920,00
|
750,00
|
500,00
|
Рис.5. Перестроенные винтовые характеристики
Тогда искомая производная определиться как
.
Вычисления частной производной выполним в табличной форме. Таблица №9
Таблица 9 Значения частной производной
|
n
|
NвЕ
|
NвС
|
Nв
|
λрк
|
λре
|
λр
|
( Nв/ λр)
|
|
1,98
|
10000,00
|
8000,00
|
2000,00
|
0,64
|
0,49
|
0,14
|
13836,04
|
|
1,75
|
5074,02
|
3879,63
|
1194,39
|
0,64
|
0,50
|
0,14
|
8262,80
|
|
1,48
|
2583,34
|
2129,63
|
453,71
|
0,64
|
0,50
|
0,14
|
3192,89
|
|
0,95
|
1092,52
|
814,81
|
277,71
|
0,60
|
0,50
|
0,11
|
2587,91
|
Коэффициенты
двигателя при известных
;
и составляющих выражения
Получение динамических характеристик двигателя
Численное значение коэффициентов уравнении динамики главного двигателя на
установившихся режимах работы сведем в таблицу №10.
Таблица 10 Значения коэффициентов уравнения
динамики двигателя.
|
n
|
Tg
|
K1
|
K2
|
|
1,98
|
1,132
|
0,618
|
0,663
|
|
1,75
|
1,023
|
0,515
|
0,434
|
|
1,48
|
1,260
|
0,658
|
0,240
|
|
0,95
|
1,687
|
0,855
|
0,429
|
Динамические характеристики двигателя, построенные по данным таблицы №10,
приведены на Рис.6
Рис.6 Динамические характеристики двигателя
8. ДИНАМИКА РЕГУЛЯТОРА СКОРОСТИ
8.1
Уравнение динамики измерителя
Уравнение динамики измерителя, представляющее аналитическую зависимость
изменения во времени его выходной координаты
, можно получить на основе принципа
Даламбера, рассматривая все действующие силы, включая силы инерции. При
движении на измеритель действуют следующие силы, приведенные к его муфте и
показанные на рисунке.
Рисунок 7-Схема измерителя.
- поддерживающая сила А, представляющая собой суммы приведенных к муфте
центробежных сил грузов
;
восстанавливающая сила
равная (или пропорциональная ) силе натяжения пружины
задания;
сила веса G движущихся
частей, приведенная к муфте;
сила сухого трения
;
сила скоростного (или жидкостного) трения
, муфты, грузов, золотника и других
деталей, вращающихся в масляной среде;
приведенная сила реакции струи
;
сила инерции
всех движущихся масс;
В соответствии с принципом Д, Аламбера, обозначая приведенную массу всех
движущихся деталей через
, можем записать.
С целью упрощения будем пренебрегать силами веса, сухого трения, не
уравновешенными силами, силами сопротивления и реакции струи в управляющем
золотнике
. При отмеченных допущениях, приняв за положительное
направление движения муфты вверх, уравнение запишем так:
Приведенная центробежная (поддерживающая) сила грузов А определяется
суммарной массой грузов
, радиусом вращения их центра тяжести r и угловой скоростью вращения
:
Учитывая радиус r может
быть однозначно выражен через выходную координату
, запишем:
Приведенная восстанавливающая сила Е, равна силе натяжения пружины,
является функцией перемещения муфты
, координаты задания
, перемещения
под действием ЖОС и жесткости
пружины С:
Для цилиндрических пружин жесткость обычно принимается постоянной, для
конических она представляет линейную функцию суммарной величины сжатия
отсюда
.
Поэтому для общего случая 
Будем рассматривать движение измерителя в приращениях относительно
некоторого исходного равновесного состояния, тогда можем записать:
(1)
Приращение сил
в линейном приближении получим, разложив функции А и Е в ряд
Тейлора и сохранив при этом только члены первого порядка:
Для цилиндрических пружин, обладающих постоянной жесткостью:
и для конических пружин угловой коэффициент
можем иметь различные значения. Он
должен определятся в точке статической характеристики, соответствующий
исходному режиму при суммарной величине сжатия
.
Приращения силы жидкостного трения:
Уравнение движения измерителя в линейном приближении запишется так:
(2)
При переходе к относительным коэффициентам, обозначив:
- относительное изменение выходной координаты;
-относительное изменение координаты задания;
-изменение частоты вращения;
-относительное изменение координаты жесткой обратной
связи; Получим:
Разделив все члены на
, окончательно можно записать:
Где:
- постоянная времени измерителя,
учитывающая массу вращающихся грузов;
- постоянная измерителя, учитывающая жидкостное трение;
- коэффициент усиления измерителя по частоте вращения;
-
коэффициент остаточной устойчивости измерителя;
- коэффициент усиления измерителя по
изменению задания регулятора;
- коэффициент усиления по силовой обратной связи;
Предположим, что задание не меняется, а ЖОС не влияет на натяжение
пружины, тогда уравнение примет вид:
8.2
Уравнение динамики усилителя
Рисунок 8-Схема усилителя.
Изменение выходной сигнал координаты усилителя
определяются движением поршня
сервомотора. Движение поршня зависит от двух факторов: от действующих на поршень
сил и от гидродинамического процесса перетекания жидкости. За входную
координату усилителя
принимается перемещение т. С, т.е. управляющего золотника.
При движении поршня сервомотора, на него могут действовать следующие
силы:
Силы давления масла, равные
, где
- площади поршня сервомотора; силы
веса G; силы сухого и жидкостного трения
и
, силы внешнего сопротивления R со стороны передаточного механизма к
регулирующим органом, присоединенных элементов обратных связей и элементов,
реализующие функции регуляторов, силы инерции масс поршня и всех присоединенных
к нему элементов
, которые равны
.
Движение поршня сервомотора на основании условия действия сил может быть
описано следующим уравнением:
С другой стороны, движение поршня определяется процессом перетеканием
жидкости. Объем V, вытесняющий
поршнем из нижней полости в ед. времени, в соответствии с сплошности потока
определяется:
где
- это скорость истечения жидкости через окна золотника.
-открытия окон золотником, являющиеся функцией входной
координаты усилителя
, т.е. перемещение золотника;
- коэффициент объема
, вытесняемого поршнем сервомотора,
можно представить в виде:
В дальнейшем с целью упрощения будем пренебрегать влиянием сил веса, сил
сухого и жидкостного трения, а также будем считать, что сила сопротивления
, что протечки отсутствуют, жидкость
несжимаема, давление слива и коэффициент истечения
, давление верхней полости
(неуправляемой полости) постоянно и равно давлению в источнике питания -
аккумуляторе
.
С учетом перечисленных условий запишется так:
Если дополнительно к отличительным условиям полагать, что сила инерции
несоизмеримо малы по сравнению с силой, развиваемой поршнем сервомотора, то:
А движение поршня сервомотора будет определяться только процессом и
условиями перетекания жидкости - уравнение 6, которое в приращениях запишется
так:
причем в линейном приближении:
Линеаризованное уравнение движения поршня сервомотора, поскольку
, примет вид:
Введя относительные координаты
и
, запишем:
Разделив почленно номинальный расход жидкости через окна
, получим:
где
- время сервомотора;
;
- безразмерный коэффициент пропорциональности:
Если ширина окон золотниковой втулки не изменяется по высоте, то
и уравнение усилителя запишется так:
В случае, когда влиянием сил инерции движущихся масс пренебречь нельзя,
движение усилителя будет определяться как условие действия сил, как и условиями
перетекания жидкости. Рассмотрим этот случай и получим уравнение движения
усилителя.
Уравнение действия сил в приращениях примет вид:
Линеаризованное уравнение сплошности потока приращениях, учитывая
функциональную зависимость для объема, вытесняемого поршнем сервомотора
запишем:
Решив совместно оба уравнения, исключив при этом
, в относительных величинах, получим:
где
инерционное время сервомотора.
- время сервомотора.
;
- безразмерный коэффициент пропорциональности, зависящий от
формы окон и выбранного начального режима:
.3 Уравнение динамики жесткой обратной связи
Это уравнение, определяющее зависимость входным и выходным
коэффициентами, получим как уравнения движения кинематического звена. Связь
охватывает два звена: усилитель и измеритель и является силовой.
Уравнение, связывающее приращения входной и выходной координат, запишется
так:
.
где а - эксцентриситет, который настраивается путем изменение общей длины
рычага (а + в).
И в относительных координатах:
,
Где
- коэффициент обратной связи, равный
.
8.4
Уравнение динамики связей регулятора
Рисунок 10- Динамика связей
регулятора
Из подобия треугольников
;
После преобразования:
Разделим
,
на
,и на
, а
на
Где:
;- относительное изменение входного сигнала для гибкой
обратной связи.
;- относительное изменение входного сигнала для жесткой
обратной связи.
- относительный выходной сигнал сервоматора.
При:
и
8.5
Уравнение дифференцирующего рычага
Рисунок 11-
Дифференцирующий рычаг.

Разделим
на
, а
на
-
;
-относительное перемещение золотника
-выходной сигнал от действия ЦБ усилителя;
-Выходной сигнал гибкой обратной связи;
При проектировании:
Подставляем
8.6
Уравнение динамики связи между выходом усилителя
и тягой ТНВД
При правильном подсоединении к рейкам топливных насосов, должно
обеспечиваться условие, что при отклонении частоты вращения в сторону
увеличения, относительно заданного значения, регулятор всегда должен
воздействовать на двигатель, путем уменьшения подачи топлива.
8.7
Уравнение динамики регулятора
Рисунок 12 - Принципиальная
схема регулятора "П".
Динамика регулятора в целом будет описываться получившимися уравнениями
движения его элементов и уравнения связи между координатами.
Уравнение измерителя:
. 1-Уравнение усилителя;
. 2-Уравнение ЖОС;
3-Уравнение
связи между координатами;
4-Уравнение
динамики связи между выходом усилителя и тягой ТНВД;
5-Уравнение
дфферинцирующего рычага;
6-Уравнение
связи входных координат усилителя и регулятора;
С учетом 4,5,6 и 3
Из первого уравнения
во второе
и после преобразования получим:
разделим на
- степень неравномерности измерителя;
- степень неравномерности регулятора;
9.
ОПТИМИЗАЦИЯ ПЕРЕХОДНОГО ПРОЦЕССА
Заданные параметры, С графика снимем при
значения Тд=1,32. К1=0,68.
К2=0,24
|
|
0,8
|
|
|
0,7
|
|
|
0,6
|
|
|
1
|
|
|
0,1
|
|
|
0,7 *nн = 1,386об/сек
|
Преобразование дифференциальных уравнений двигателя и регулятора в
машинный вариант для просчета в программе "difr 02. bas".
Схема дифференциальных уравнений:
Примем обозначения:
Тогда:
Учитывая исходные данные и расчеты, произведенные в п.5 запишем:
В этом виде заносим уравнения в программу "difr 02. bas".
По результатам расчетов уравнений программой "difr 02. bas." Можно сделать вывод о том, параметры
переходного процесса выходят за пределы допустимого, следовательно необходима
настройка регулятора ,т.е. изменение его настроечных параметров.
Во время настройки, для получения качественного переходного процесса,
отвечающего требованиям, были изменены следующие параметры до следующих
величин:
1)
=0,1
)
=0,1
Конечное дифференциальное уравнение:
=(.68*X2-.24*X4-X1)/1.32=(-X1-((.7*.1)/.8)*X2)/((.7/.8)*.1)
Окончание расчета по заданному предельному времени счета
При
=0,1;
=0,1.
Рис.12 График по окончанию расчёта по заданному предельному времени
счёта.
10. ОЦЕНКА ВЛИЯНИЯ ПАРАМЕТРОВ НАСТРОЙКИ
НА ПРОЦЕСС РЕГУЛИРОВАНИЯ
Оценку влияния параметров настрой на процесс регулирования будем
производить по основным параметрам
.
При изменении Кос
Рисунок15. Оценка влияния параметров настройки на процесс регулирования.
При изменении Ts
Рисунок16. Оценка влияния параметров настройки на процесс регулирования.
1. Динамический заброс
.
2. Степень колебательности (перерегулирования)
.
. Время переходного процесса
.
. Остаточная неравномерность.
1. Влияния
- коэффициента усиления ЖОС.
Вывод:
1. С увеличением
возрастает динамический заброс
.
2. С увеличением
возрастает остаточная неравномерность
.
.
- время переходного процесса при увеличении
до оптимального значения
уменьшается, при дальнейшем увеличении
- увеличивается.
2. Влияние
- времени сервомотора.
Вывод: При уменьшении
уменьшается динамический заброс,
степень неравномерности, степень колебательности и время регулирования. Но нельзя забывать, что конструктивно практически невозможно
получить очень маленькие
и то, что
нельзя уменьшать до бесконечности т.к. при его уменьшении
меньшее
критическая система теряет
устойчивость.
СПИСОК ЛИТЕРАТУРЫ
. Е. Г. Курзенков. " Получение уравнения динамики и
динамических характеристик главного двигателя" - Владивосток. 1984г.
. М. И. Исаков, Л. И. Кутьин " Комплексная автоматизация
судовых дизельных и газотурбинных установок" - Ленинград, 1984г.
. В. И. Лангуновский, А. В. Козьмирных "
Автоматизированные системы управления СДУ и ГТУ" - Т - М., 1983г.
. В. Ф. Сыромятников "Основы автоматики и комплексная автоматизация
судовых пароэнергетических установок". - Транспор. М., 1983г.