Элементы теории случайных процессов и теории массового обслуживания

  • Вид работы:
    Реферат
  • Предмет:
    Математика
  • Язык:
    Русский
    ,
    Формат файла:
    MS Word
    158,67 Кб
  • Опубликовано:
    2012-12-10
Вы можете узнать стоимость помощи в написании студенческой работы.
Помощь в написании работы, которую точно примут!

Элементы теории случайных процессов и теории массового обслуживания

Введение

Теория случайных процессов (случайных функций) - это раздел математической науки, изучающий закономерности случайных явлений в динамике их развития.

В настоящее время появилось большое количество литературы, посвященной непосредственно теории массового обслуживания, развитию ее математических аспектов, а также различных сфер ее приложения - военной, медицинской, транспортной, торговле, авиации и др.

Теория массового обслуживания опирается на теорию вероятностей и математическую статистику. Первоначальное развитие теории массового обслуживания связано с именем датского ученого А.К. Эрланга (1878-1929), с его трудами в области проектирования и эксплуатации телефонных станций.

Теория массового обслуживания - область прикладной математики, занимающаяся анализом процессов в системах производства, обслуживания, управления, в которых однородные события повторяются многократно, например, на предприятиях бытового обслуживания; в системах приема, переработки и передачи информации; автоматических линиях производства и др. Большой вклад в развитие этой теории внесли российские математики А.Я. Хинчин, Б.В. Гнеденко, А.Н. Колмогоров, Е.С. Вентцель и др.

Предметом теории массового обслуживания является установление зависимостей между характером потока заявок, числом каналов обслуживания, производительностью отдельного канала и эффективным обслуживанием с целью нахождения наилучших путей управления этими процессами. Задачи теории массового обслуживания носят оптимизационный характер и в конечном итоге включают экономический аспект по определению такого, варианта системы, при котором будет обеспечен минимум суммарных затрат от ожидания обслуживания, потерь времени и ресурсов на обслуживание и от простоев каналов обслуживания.

В коммерческой деятельности применение теории массового обслуживания пока не нашло желаемого распространения.

В основном это связано с трудностью постановки задач, необходимостью глубокого понимания содержания коммерческой деятельности, а также надежного и точного инструментария, позволяющего просчитывать в коммерческой деятельности различные варианты последствий управленческих решений.

1. Определение случайного процесса и его характеристики

Случайным процессом X(t) называется процесс, значение которого при любом значении аргумента t является случайной величиной.

Другими словами, случайный процесс представляет собой функцию, которая в результате испытания может принять тот или иной конкретный вид, неизвестный заранее. При фиксированном t = to X(to) представляет собой обычную случайную величину, т.е. сечение случайного процесса в момент tо.

Реализацией случайного процесса X (t, w) называется неслучайная функция x(t), в которую превращается случайный процесс X(t) в результате испытания (при фиксированном w), т.е. конкретный вид, принимаемый случайным процессом X(t), его траектория.

Таким образом, случайный процесс X (t, w) совмещает в себе черты случайной величины и функции. Если зафиксировать значение аргумента t, случайный процесс превращается в обычную случайную величину, если зафиксировать w, то в результате каждого испытания он превращается в обычную неслучайную Функцию.

Как и случайная величина, случайный процесс может быть описан числовыми характеристиками.

Математическим ожиданием случайного процесса X(t) называется неслучайная функция ax(t), которая при любом значении переменной t равна математическому ожиданию соответствующего сечения случайного процесса X(t), т.е. ax(t) = M [X(t)].

Дисперсией случайного процесса X(t) называется неслучайная функция. Dx(t), при любом значении переменной t равная дисперсии соответствующего сечения случайного процесса X(t), т.е. Dx(t) = D [X(t)].

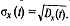
Средним квадратическим отклонением  случайного процесса X(t) называется арифметическое значение корня квадратного из его дисперсии, т.е.

Математическое ожидание случайного процесса характеризует среднюю траекторию всех возможных его реализаций, а его дисперсия или среднее квадратическое отклонение - р а з б р о с реализаций относительно средней траектории.

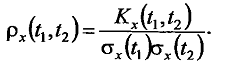
Корреляционной функцией случайного процесса X(t) называется неслучайная функция


двух переменных t1 и t2, которая при каждой паре переменных t1и t2 равна ковариации соответствующих сечений X(t1) и X(t2) случайного процесса.

Нормированной корреляционной функцией случайного процесса X(t) называется функция


Случайные процессы можно классифицировать в зависимости от того, плавно или скачкообразно меняются состояния системы, в которой они протекают, конечно (счетно) или бесконечно множество этих состояний и т.п. Среди случайных процессов особое место принадлежит марковскому случайному процессу. Но прежде познакомимся с основными понятиями теории массового обслуживания

2. Основные понятия теории массового обслуживания

На практике часто приходится сталкиваться с системами, предназначенными для многоразового использования при решении однотипных задач. Возникающие при этом процессы получили название процессов обслуживания, а системы - систем массового обслуживания (СМО). Примерами таких систем являются телефонные системы, ремонтные мастерские, вычислительные комплексы, билетные кассы, магазины, парикмахерские и т.п.

Каждая СМО состоит из определенного числа обслуживающих единиц (приборов, устройств, пунктов, станций), которые будем называть каналами обслуживания. Каналами могут быть линии связи, рабочие точки, вычислительные машины, продавцы и др. По числу каналов СМО подразделяют на одноканальные и многоканальные.

Заявки поступают в СМО обычно не регулярно, а случайно, образуя так называемый случайный поток заявок (требований). Обслуживание заявок, вообще говоря, также продолжается какое-то случайное время. Случайный характер потока заявок и времени обслуживания приводит к тому, что СМО оказывается загруженной неравномерно: в какие-то периоды времени скапливается очень большое количество заявок (они либо становятся в очередь, либо покидают СМО необслуженными), в другие же периоды СМО работает с недогрузкой или простаивает.

Предметом теории массового обслуживания является построение математических моделей, связывающих заданные условия работы СМО (число каналов, их производительность, характер потока заявок и т.п.) с показателями эффективности СМО, описывающими ее способность справляться с потоками заявок.

В качестве показателей эффективности СМО используются: среднее число заявок, обслуживаемых в единицу времени; среднее число заявок в очереди; среднее время ожидания обслуживания; вероятность отказа в обслуживании без ожидания; вероятность того, что число заявок в очереди превысит определенное значение, и т.п.

СМО делят на два основных типа (класса): СМО с отказами и СМО с ожиданием (очередью). В СМО с отказами заявка, поступившая в момент, когда все каналы заняты, получает отказ, покидает СМО и в дальнейшем процессе обслуживания не участвует (например, заявка на телефонный разговор в момент, когда все каналы заняты, получает отказ и покидает СМО необслуженной). В СМО с ожиданием заявка, пришедшая в момент, когда все каналы заняты, не уходит, а становится в очередь на обслуживание.

СМО с ожиданием подразделяются на разные виды в зависимости от того, как организована очередь: с ограниченной или неограниченной длиной очереди, с ограниченным временем ожидания и т.п.

3. Понятие марковского случайного процесса

Процесс работы СМО представляет собой случайный процесс.

Процесс называется процессом с дискретными состояниям, если его возможные состояния S1, S2, S3… можно заранее перечислить, а переход системы из состояния в состояние происходит мгновенно (скачком). Процесс называется процессом с непрерывным временем, если моменты возможных переходов системы из состояния в состояние не фиксированы заранее, а случайны.

Процесс работы СМО представляет собой случайный процесс с дискретными состояниями и непрерывным временем. Это означает, что состояние СМО меняется скачком в случайные моменты появления каких-то событий (например, прихода новой заявки, окончания обслуживания и т.п.).

Математический анализ работы СМО существенно упрощается, если процесс этой работы - марковский. Случайный процесс называется марковским или случайным процессом без последействия, если для любого момента времени to вероятностные характеристики процесса в будущем зависят только от его состояния в данный момент to и не зависят от того, когда и как система пришла в это состояние.

Пример марковского процесса: система S - счетчик в такси. Состояние системы в момент t характеризуется числом километров (десятых долей километров), пройденных автомобилем до данного момента. Пусть в момент to счетчик показывает So. Вероятность того, что в момент t > to счетчик покажет то или иное число километров (точнее, соответствующее число рублей) S1, зависит от So, но не зависит от того, в какие моменты времени изменялись показания счетчика до момента to.

Многие процессы можно приближенно считать марковскими. Например, процесс игры в шахматы; система S - группа шахматных фигур. Состояние системы характеризуется числом фигур противника, сохранившихся на доске в момент to. Вероятность того, что в момент t > to материальный перевес будет на стороне одного из противников, зависит в первую очередь от того, в каком состояний находится система в данный момент to, а не от того, когда и в какой последовательности исчезли фигуры с доски до момента to.

В ряде случаев предысторией рассматриваемых процессов можно просто пренебречь и применять для их изучения марковские модели.

При анализе случайных процессов с дискретными состояниями удобно пользоваться геометрической схемой - так называемым графом состояний. Обычно состояния системы изображаются прямоугольниками (кружками), а возможные переходы из состояния в состояние - стрелками (ориентированными дугами), соединяющими состояния.

Для математического описания марковского случайного процесса с дискретными состояниями и непрерывным временем, протекающего в СМО, познакомимся с одним из важных понятий теории вероятностей - понятием потока событий.

. Потоки событий

Под потоком событий понимается последовательность однородных событий, следующих одно за другим в какие-то случайные моменты времени (например, поток вызовов на телефонной станции, поток отказов ЭВМ, поток покупателей и т.п.).

Поток характеризуется интенсивностью X - частотой появления событий или средним числом событий, поступающих в СМО в единицу времени.

Поток событий называется регулярным, если события следуют одно за другим через определенные равные промежутки времени. Например, поток изделий на конвейере сборочного цеха (с постоянной скоростью движения) является регулярным.

Поток событий называется стационарным, если его вероятностные характеристики не зависят от времени. В частности, интенсивность стационарного потока есть величина постоянная: Например, поток автомобилей на городском проспекте не является стационарным в течение суток, но этот поток можно считать стационарным в определенное время суток, скажем, в часы пик. В этом случае фактическое число проходящих автомобилей в единицу времени (например, в каждую минуту) может заметно различаться, но среднее их число постоянно и не будет зависеть от времени.

Поток событий называется потоком без последействия, если для - любых-двух непересекающихся участков времени Т1 и Т2 число событий, попадающих на один из них, не зависит от числа событий, попадающих на другие. Например, поток пассажиров, входящих в метро, практически не имеет последействия. А, скажем, поток покупателей, отходящих с покупками от прилавка, уже имеет последействие (хотя бы потому, что интервал времени между отдельными покупателями не может быть меньше, чем минимальное время обслуживания каждого из них).

Поток событий называется ординарным, если вероятность попадания на малый (элементарный) участок времени At двух и более событий пренебрежимо мала по сравнению с вероятностью попадания одного события. Другими словами, поток событий ординарен, если события появляются в нем поодиночке, а не группами. Например, поток поездов, подходящих к станции, ординарен, а поток вагонов не ординарен.

Поток событий называется простейшим (или стационарным пуассоновским), если он одновременно стационарен, ординарен и не имеет последействия. Название «простейший» объясняется тем, что СМО с простейшими потоками имеет наиболее простое математическое описание. Регулярный поток не является простейшим, так как обладает последействием: моменты появления событий в таком потоке жестко зафиксированы.

Простейший поток в качестве предельного возникает в теории случайных процессов столь же естественно, как в теории вероятностей нормальное распределение получается в качестве предельного для суммы случайных величин: при наложении (суперпозиции) достаточно большого числа п независимых, стационарных и ординарных потоков (сравнимых между собой по интенсивностям Аi (i=1,2…п)) получается поток, близкий к простейшему с интенсивностью X, равной сумме интенсивностей входящих потоков, т.е.:


Биномиальный закон распределения:


с параметрами

Биномиальное распределение стремится к распределению Пуассона с параметром


для которого математическое ожидание случайной величины равно ее дисперсии:


В частности, вероятность того, что за время т не произойдет ни одного события (т = 0), равна


Распределение, задаваемое плотностью вероятности или функцией распределения, является показательным (экспоненциальным). Таким образом, интервал времени между двумя соседними произвольными событиями простейшего потока имеет показательное распределение, для которого математическое ожидание равно среднему квадратическому отклонению случайной величины:


и обратно по величине интенсивности потока

Важнейшее свойство показательного распределения (присущее только показательному распределению) состоит в следующем: если промежуток времени, распределенный по показательному закону, уже длился некоторое время т, то это никак не влияет на закон распределения оставшейся части промежутка (Т - т): он будет таким же, как и закон распределения всего промежутка Т.

Другими словами, для интервала времени Т между двумя последовательными соседними событиями потока, имеющего показательное распределение, любые сведения о том, сколько времени протекал этот интервал, не влияют на закон распределения оставшейся части. Это свойство показательного закона представляет собой, в сущности, другую формулировку для «отсутствия последействия» - основного свойства простейшего потока.

Для простейшего потока с интенсивностью вероятность попадания на элементарный (малый) отрезок времени At хотя бы одного события потока равна:


(Эта приближенная формула, получаемая заменой функции лишь двумя первыми членами ее разложения в ряд по степеням At, тем точнее, чем меньше At).

5. Уравнения Колмогорова. Предельные вероятности состояний

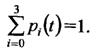
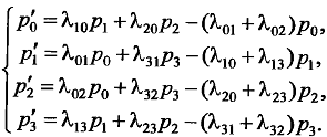
Граф состояний системы с проставленными у стрелок интенсивностями будем называть размеченным (см. рис. выше). Рассматриваемая система S имеет четыре возможных состояния: S0, S1 S2, S3. Вероятностью i-го состояния называется вероятность pi(t) того, что в момент t система будет находиться в состоянии Si. Очевидно, что для любого момента t сумма вероятностей всех состояний равна единице:


Рассмотрим систему в момент t и, задав малый промежуток At, найдем вероятность po (t + At) того, что система в момент t+At будет находиться в состоянии S0. Это достигается разными способами.

1.         Система в момент t с вероятностью po (t) находилась в состоянии S0, а за время At не вышла из него.

Вывести систему из этого состояния (см. граф на рис. к задаче) можно суммарным простейшим потоком с интенсивностью , с вероятностью, приближенно равной


А вероятность того, что система не выйдет из состояния S0, равна . Вероятность того, что система будет находиться в состоянии S0 и не выйдет из него за время At, равна по теореме умножения вероятностей:


Система в момент t с вероятностью p1 (t) (или p2 (t)) находилась в состоянии S1 или S2 и за время At перешла в состояние

Потоком интенсивностью система перейдет в состояние So с вероятностью, приближенно равной . Вероятность того, что система будет находиться в состоянии So, по этому способу равна (или )

Применяя теорему сложения вероятностей, получим:


Откуда


Переходя к пределу при At  0 (приближенные равенства перейдут в точные), получим в левой части уравнения производную  (обозначим ее для простоты ):


Получено дифференциальное уравнение первого порядка, т.е. уравнение, содержащее как саму неизвестную функцию, так и ее производную первого порядка.

Рассуждая аналогично для других состояний системы S, можно получить систему дифференциальных уравнений Колмогорова для вероятностей состояний:


Сформулируем правило составления уравнений Колмогорова. В левой части каждого из них стоит производная вероятности i-го состояния. В правой части - сумма произведений вероятностей всех состояний (из которых идут стрелки в данное состояние) на интенсивности соответствующих потоков событий минус суммарная интенсивность всех потоков, выводящих систему из данного состояния, умноженная на вероятность данного (i-го состояния

В системе, указанной выше, независимых уравнений на единицу меньше общего числа уравнений. Поэтому для решения системы необходимо добавить уравнение


Особенность решения дифференциальных уравнений вообще состоит в том, что требуется задавать так называемые начальные условия, в данном случае - вероятности состояний системы в начальный момент t = 0. Так, например, систему уравнений естественно решать при условии, что в начальный момент оба узда исправны и система находилась в состоянии So, т.е. при начальных условиях


Уравнения Колмогорова дают возможность найти все вероятности состояний как функции времени. Особый интерес представляют вероятности системы pi(t) в предельном стационарном режиме, т.е. при , которые называются предельными (финальными) вероятностями состояний.

В теории случайных процессов доказывается, что если число состояний системы конечно и из каждого из них можно (за конечное число шагов) перейти в любое другое состояние, то предельные вероятности существуют.

Предельная вероятность состояния Si имеет четкий смысл: она показывает среднее относительное время пребывания системы в этом состоянии. Например, если предельная вероятность состояния So, т.е. р0=0,5, то это означает, что в среднем половину времени система находится в состоянии S0.

Так как предельные вероятности постоянны, то, заменяя в уравнениях Колмогорова их производные нулевыми значениями, получим систему линейных алгебраических уравнений, описывающих стационарный режим.

Процессы гибели и размножения

В теории массового обслуживания широко распространен специальный класс случайных процессов - так называемые процессы гибели и размножения. Название это связано с рядом биологических задач, где этот процесс служит математической моделью изменения численности биологических популяций.

Рассмотрим упорядоченное множество состояний системы S0, S1, S2,…, Sk. Переходы могут осуществляться из любого состояния только в состояния с соседними номерами, т.е. из состояния Sk-1 возможны переходы либо в состояние либо в состояние S k+11.

В соответствии с правилом составления таких уравнений (уравнением Колмогорова) получим: для состояния S0

 

.

Заключение

В этом реферате раскрыты понятия приводящие к системе элементы теории случайного процесса массового обслуживания, а именно: случайный процесс, обслуживание, система обслуживания, система массового обслуживания.

Использованная литература

случайный массовый марковский колмогоров

1. Н.Ш. Кремер «Теория вероятностей и математическая статистика» Юнити, г. Москва, 2003 г.

Похожие работы на - Элементы теории случайных процессов и теории массового обслуживания

 

Не нашли материал для своей работы?
Поможем написать уникальную работу
Без плагиата!
Без нейросетей!