|
Номер варіанту
|
Л2
|
Л-3
|
Л-4
|
|
Uном (кВ)
|
L (км)
|
Uном (кВ)
|
L (км)
|
Uном (кВ)
|
L (км)
|
|
1
|
115
|
57
|
115
|
64
|
115
|
94
|
Примітка:Вважати, що опори лінійх1пит = 0,4 Ом/км;
Струмам нульової послідовностіх0пит = 3´ х1пит.
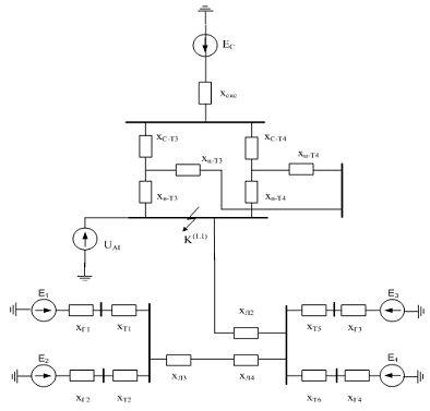
Початкова схема електричної мережі
Рисунок 1. Схема електричної мережі
1. Розрахунок трифазного КЗ
Розрахунок виконуємо згідно завдання в системі іменованих
одиниць за наближеним приведенням. Приймаємо наступні базові умови:
Складемо схему заміщення, згорнемо її та розрахуємо струми КЗ
від кожного з джерел струмів КЗ (система, генератори,).
1.1
Визначення елементів схеми заміщення
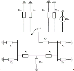
Рисунок 1.1 Схема заміщення
Схема заміщення зображена на Рис. 1.1 Всі опори виражаємо в іменованих
одиницях. Опір трансформатора № 9 ми не враховуємо, тому що при розрахунку
симетричного КЗ струм через цей трансформатор протікати не буде.
1) Опір генераторів:
;
(1.1)
(Ом);
(Ом);
2) Опір системи:
;
(1.2)
(Ом);
3) Опір ліній:
; (1.3)
Враховуємо те, що лінії електропередач дволанцюгові.
(Ом);
(Ом);
(Ом);
(Ом);
(Ом);
4) Опір трансформаторів :
;
(1.4)
(Ом);
(Ом);
)Надперехідні ЕРС генераторів:
(1.5)
Турбогенератори:
Гідрогенератори:
) Автотрансформатор Т3-Т4:
Опір автотрансформаторів обраховуєм за такими формулами:
(1.6)
(Ом).
(1.7)
(Ом).
(1.8)
(Ом).
1.2
Перетворення схеми заміщення
1)
Спростимо схему до (Рис 1.2) при цьому додамо послідовно опори віток
Рисунок 1.2 Спрощена схема заміщення
В кінцевому результаті ми отримаємо схему:
Рис. 1.3 Згорнута схема заміщення
1) Рис. 1.2
;
(1.9)
;(1.10)
;(1.11)
;(1.12)
(1.13)
(1.14)
(1.15)
.
2)
Рис.1.3
(1.16)
.
(1.17)
.
;
(1.18)
.
; (1.19)
.
1.4
Визначення струму трифазного короткого замикання
Базовий струм:
; (1.20)
(кА).
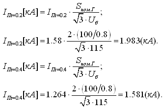
а)
Струм КЗ від системи:
;
тоді періодична складова
(1.21)
(кА).
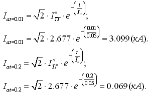
Визначимо
аперіодичну складову для t=0.2:
; (1.22)
(кА).
Аперіодичною
складовою для t=0.4c. можна знехтувати в зв’язку з її малістю.
Визначимо
аперіодичну складову для t=0.01:
(1.23)
(кА).
Діюче
значення повного струму КЗ від системи:
(1.24)
(кА).
(кА).
Визначимо
діюче значення ударного струму від системи:
(1.25)
(кА).
б)
Визначимо струм КЗ від турбогенераторів методом розрахункових кривих:
Вирахуємо
розрахунковий опір у відносних номінальних одиницях:
(1.26)
.
По розрахункових кривих визначаємо періодичну складову струму КЗ від
турбогенераторів у відносних номінальних одиницях:
Визначаємо
періодичну складову у кА:
Визначимо
надперехідний струм:
У
відносних базових одиницях:
; (1.30)
(кА). (1.31)
(кА).
Аперіодичною складовою для t=0.4c. можна знехтувати в зв’язку з її малістю, визначаємо лише аперіодичну
складову для t=0.2c та для t=0.01c.
Повний струм КЗ від ТГ:
(кА).
Визначаємо
діюче значення ударного струму від турбогенераторів:
Знайдемо миттєве значення ударного струму за формулою:
(1.35)
(1.36)
(1.37)
в)
Визначимо струм КЗ від гідрогенераторів методом розрахункових кривих:
Вирахуємо
розрахунковий опір у відносних номінальних одиницях:
По
розрахункових кривих визначаємо періодичну складову струму КЗ від
гідрогенераторів у відносних номінальних одиницях:
Визначаємо періодичну складову у кА:
Визначимо надперехідний струм:
У відносних базових одиницях:
Аперіодичною
складовою для t=0.4c. можна знехтувати в зв’язку з їх малістю.
Визначимо
аперіодичну складову для t=0.01 та
t=0.2c:
Діюче
значення повного струму КЗ від гідрогенераторів:
(кА),
(кА).
Визначимо
діюче значення ударного струму від гідрогенераторів:
Знайдемо миттєве значення ударного струму за формулою:
г)
Сумарний струм трифазного короткого замикання:
(1.47)
(1.48)
Визначимо ударний струм КЗ:
(Ом);
;
(1.9)
(Ом);
2) Знайдемо еквівалентні джерела живлення Г1-Г2, а також їх
еквівалентні опори:
кВ;
кВ.
2) Спростимо схему до схеми зображеної на (Рис.1.3):
;
(1.10)
(Ом);
; (1.11)
(Ом);
; (1.12)
(Ом);
;
(1.13)
(Ом);
(Ом).
В кінцевому результаті ми отримаємо схему:
Рис. 1.3 Згорнута схема заміщення
1.3
Визначення струму короткого замикання
а) Струм К.З. для вітки з турбогенераторами:
розрахунковий номінальний опір найдемо за формулою
струм короткий замикання трифазний
;
(1.14)
;
за розрахунковими кривими турбогенератора визначимо періодичну складову
струму К.З. у відносних номінальних одиницях для моментів часу
для 
для 
найдемо періодичну складову струму К.З. в іменованих одиницях приведену
до точки К.З.
;
(1.15)
(кА);
для моменту часу
;
(1.16)
(кА);
б) Струм К.З. для вітки з гідрогенераторами:
розрахунковий номінальний опір знайдемо за формулою
;
(1.17)
;
за розрахунковими кривими гідрогенератора визначимо періодичну складову
струму К.З. у відносних номінальних одиницях для моментів часу
для 
для 
найдемо періодичну складову струму К.З. в іменованих одиницях приведену
до точки К.З.
;
(1.18)
(кА);
для моменту часу
;
(1.19)
(кА);
в) Струм КЗ від системи знаходимо аналітичним шляхом по закону Ома (для
любих моментів часу).
;
(1.20)
(кА).
Знайдемо аперіодичні складові струму к.з.
Постійну часу Та приймаємо рівною 0.05, що
характерно для більшості електромереж.
значення аперіодичного струму к.з. будемо шукати через надперехідну
е.р.с.
і надперехідний опір
.
Вважаємо, що до моменту к.з. генератори працювали з номінальними
навантаженнями, тоді згідно формул:
для ТГ
; (1.21)
(кВ);
Надперехідний струм:
;
(1.22)
(кА)
При t1=0.2 c;
;
(1.23)
кА;
При t2=0.4 c;
кА;
- для ГГ
;
(1.24)
;
Надперехідний струм:
;
(1.25)
(кА);
При t1=0.2 c;
;
(1.26)
кА;
При t2=0.4 c;
кА;
Аперіодичний струм від системи знаходимо аналітично:
При t1=0.2 c;
;
(1.27)
кА;
При t2=0.4 c;
кА;
Сумарний струм від джерел знайдемо за формулою:
;
(1.28)
Для ТГ:
При t1=0.2 c;
;
(1.29)
кА;
При t2=0.4 c;
;
(1.30)
кА.
Для ГГ:
кА;
При t2=0.4 c;
кА.
Для системи:
При t1=0.2 c;
;
(1.32)
кА;
При t2=0.4 c;
кА.
Знайдемо сумарний струм к.з.:
При t1=0.2c:
;
(1.33)
кА;
При t2=0.4 c:
;
(1.34)
кА.
Знайдемо миттєве значення ударного струму за формулою:
;
(1.35)
;
(1.36)
;
В якості
будемо брати надперехідний струм
ТГ
;
(1.37)
(кА).
- ГГ
;
(1.38)
(кА).
- Система
;
(1.39)
(кА).
Знайдемо сумарне значення миттєвого струму:
;
(1.40)
(кА).
Тепер знайдемо діюче значення ударного струму за формулою:
ТГ
;
(1.41)
кА.
- ГГ
;
(1.42)
кА.
- С
;
(1.43)
кА.
Сумарне значення діючого струму:
;
(1.44)
кА.
2. Розрахунок несиметричного короткого замикання
Згідно завдання будемо розраховувати однофазне коротке
замикання.
Розрахунок цього виду КЗ ведеться методом симетричних
складових, тобто шукана величина представляється у вигляді окремих
послідовностей: прямої, зворотної та нульової. Складаються схеми заміщення для
кожної послідовності окремо і розраховуються струми НКЗ.
Схема заміщення прямої послідовності аналогічна схемі
заміщення трьохфазного КЗ (див. рис. 2.1). Єдина її відмінність полягає в тому,
що напруга в точці КЗ при трьохфазному короткому замиканні рівна нулю, а в
прямій послідовності вона має деяке кінцеве значення UAI = 1/3×(UA +a×UB + a2×UC) (рис. 2.2).
Значення опорів елементів схеми заміщення прямої послідовності дорівнюють тим
же опорам, що були розраховані при розрахунку трифазного КЗ (п. 1.1). Алгоритм
перетворення схеми заміщення прямої послідовності аналогічний описаному в п.
1.2. В результаті отримаємо схему заміщення, зображену на рис. 6. Знайдемо
результуючий опір схеми заміщення прямої послідовності (рис. 2.3):
Сумарний опір генераторів:
;
(2.1)
(Ом).
Результуючий опір схеми заміщення прямої послідовності (рис. 2.3):
;
(2.2)
(Ом).
Рисунок 2.1 Схема заміщення прямої послідовності
Схема заміщення зворотної послідовності така ж сама, як і прямої, лише
ЕРС генераторів і системи в неї не вводяться, оскільки ці елементи не генерують
струми та напруги зворотної послідовності (рис. 2.4). В точці КЗ буде деяка
напруга UAII = =1/3×(UA+
+a2×UB + a×UC). Тому схему заміщення зворотної послідовності
розраховувати також немає потреби. Алгоритм згортання схеми аналогічний як і
при трифазному КЗ, а результуючий опір схеми заміщення зворотної послідовності
буде дорівнювати відповідному опору схеми заміщення прямої послідовності:
;
Для наочності зобразимо процес згорнення схеми зворотної послідовності:
Рисунок 2.4 Схема заміщення зворотної послідовності
Складемо і розрахуємо схему заміщення нульової послідовності (рис. 2.7):
Рисунок 2.7 Схема заміщення нульової послідовності
1) Опір ліній:
; (2.3)
Враховуємо те, що лінії електропередач дволанцюгові.
(Ом);
(Ом);
(Ом);
2) Опір трансформаторів:
;
(2.4)
(Ом);
(Ом);
(Ом);
3) Автотрансформатор Т3-Т4:
; (2.5)
;
; (2.6)
;
;
(2.7)
;
(Ом);
(Ом);
(Ом);
Згорнемо схему:
;
(2.8)
(Ом);
;
(2.9)
(Ом);
;
(2.10)
(Ом);
;
(2.11)
(Ом);
;
(2.12)
(Ом);
;
(2.13)
(Ом);
;
(2.14)
(Ом);
; (2.15)
(Ом).
Рисунок 2.8 Згорнення схеми заміщення нульової послідовності
Струм прямої послідовності ІАІ несиметричного КЗ,
згідно з правилом еквівалентності прямої послідовності, визначається як струм
деякого фіктивного трьохфазного КЗ, віддаленого від дійсної точки
несиметричного КЗ на величину деякого фіктивного опору хдод (рис.
2.9).
Рисунок 2.9 Розрахункова схема для розрахунку несиметричного
КЗ
Визначимо цей опір:
;
(2.16)
Сумарний опір генераторів:
;
(2.17)
(Ом);
Результуючий опір схеми заміщення прямої послідовності (рис. 2.3):
;
(2.18)
(Ом);
Опір схеми нульової послідовності:
(з попередніх обрахунків);
;
(2.19)
;
Сумарна ЕРС генераторів:
Для турбогенераторів:
;
(2.20)
;
Для гідрогенераторів:
;
Еквівалентна ЕРС генераторів:
;
(2.21)
;
Приведемо схему, зображену на (рис. 13) до виду (рис. 14, а):
;
(2.22)
;
;
(2.23)
;
Рисунок 2.10 Перетворення схеми заміщення
;
(2.24)
(Ом);
Визначимо результуючий надперехідний струм КЗ прямої послідовності(
):
;
(2.25)
(кА);
Розрахуємо надперехідний струм прямої послідовності еквівалентного
генератора
(рис. 2.9):
;
(2.26)
(кВ);
;
(2.27)
(кА);
Визначимо величину надперехідного струму від генераторів в відносних
одиницях:
Номінальна потужність генераторів:
;
(2.28)
(МВА);
;
(2.29)
(кА);
;
(2.30)
(кА).
Заокруглимо отримане значення до найближчого цілого числа, тобто:
;
Відповідно до заокругленого значення
вибираємо
необхідну криву в лівій частині типових кривих (крива 1), по якій для заданих
моментів часу t=0,1 с. та t=0,3 с. визначаємо відношення періодичного струму
до
,
тобто:
;
.
Знайдемо відношення
:
;
Визначимо результуючий струм прямої послідовності двофазного короткого
замикання на землю, для моменту часу
с.
та
с:
для
с.
;
(2.31)
(кА);
- для
с.
;
(2.32)
(кА);
Результуючий періодичний струм двофазного короткого замикання на землю,
для моменту часу
с. та
с.
визначимо за формулою:
;
(2.33)
де
- коефіцієнт при однофазному короткому замикані на
землю:
; (2.34)
;
- для
с.
;
(2.35)
(кА);
- для
с.
;
(2.36)
(кА).
Визначимо результуючий аперіодичний струм двофазного короткого
замикання на землю, для моменту часу
с.
та
с за формулою:
;
(2.37)
- для
с.
(кА);
- для
с.
(кА).
Повний струм короткого замикання для моменту часу :
для
с.
;
(2.38)
(кА);
- для
с.
;
(2.39)
(кА).
3. Побудова
векторних діаграм напруги та струму для початкового
моменту часу несиметричного КЗ в точці короткого замикання та на шинах заданої
підстанції
Побудуємо комплексну схему заміщення надперехідного режиму
при двофазному короткому замиканні на землю.
Рисунок 3.1 Комплексна схема заміщення двофазного короткого замикання
на землю.
Сумарний еквівалентний опір схем заміщення для прямої, зворотньої та
нульової послідовностей:
(Ом),
(Ом);
Еквівалентна сумарна ЕРС :
(кВ);
Струм прямої послідовності двофазного короткого замикання
фази А:
; (3.1)
Визначимо значення струмів
кожної послідовності для фази А
;
; (3.2)

;
; (3.3)

;
Визначимо
значення напруг кожної послідовності для фази А
;
(3.4)
(3.5)
Підставимо в дані рівняння значення величин
Визначимо
напруги фаз В та С кожної послідовності в точці короткого замикання:
прямої послідовності
зворотньої послідовності
нульової
послідовності
Визначимо
струми в фазах В та С кожної послідовності в точці короткого замикання:
прямої послідовності
;
(3.6)
;
(3.7)
;
зворотньої послідовності
;
(3.8)
;
;
(3.9)
;
нульової послідовності
.
Визначимо
величини напруг та струмів кожної фази в точці короткого замикання
(3.10)
(3.11)
(3.12)
(3.13)
(3.14)
(3.15)
Напруги:
Струми
;
;
;
Знайдемо напруги прямої послідовності в точці В. Для цього використаємо
схему заміщення прямої послідовності (рис. 2.1):
;
(3.16)
Звідки:
;
(3.17)
(кА);
Знайдемо спад напруги на опорі хЛ2 + хЛ4 (рис.
2.1):
;
(3.18)
(кВ);
Знайдемо значення напруги прямої послідовності фази А на шинах ВН
трансформатора Т-9:
;
(3.19)
(кВ);
Зтрансформуємо дану напругу в точку В:
;
(3.20)
(кВ);
;
(3.21)
(кВ);
;
(кВ).
(3.22)
Знайдемо напруги зворотної послідовності в точці В. Для цього
використаємо схему заміщення зворотної послідовності (Рис. 2.4):
;
(3.23)
;
Знайдемо спад напруги на опорі хЛ3 (рис. 2.4):
;
(3.24)
(кВ);
Знайдемо значення напруги зворотної послідовності фази А на шинах СН
трансформатора Т-9:
;
(3.25)
(кВ);
Зтрансформуємо дану напругу в точку А:
;
(3.26)
(кВ);
;
(3.27)
(кВ);
;
(3.28)
(кВ).
Знайдемо напругу нульової послідовності фази А в точці В. Для цього
використаємо схему заміщення нульової послідовності (Рис. 2.7):
Знайдемо значення струму нульової послідовності, що тече через опір х25+
х4+ х7:
;
(3.29)
(кА);
Спад напруги нульової послідовності на опорі 3(х4+ х6):
;
(3.30)
(кВ);
Знайдемо значення напруги нульової послідовності фази А на шинах ВН
трансформатора Т-9:
;
(3.31)
(кВ);
Знайдемо спад напруги нульової послідовності на трансформаторі Т-9:
;
(3.32)
(кВ);
Напруга нульової послідовності на шинах підстанції В:
;
(3.33)
Отже, напруги нульової послідовності там не буде.
Знайдемо повні вектори напруг на шинах підстанції А:
Визначимо величини напруг та струмів кожної фази в точці короткого
замикання
;
(3.34)
;
;
(3.35)
;
;
(3.36)
.
Векторна діаграма напруг і струмів в точці двофазного
короткого замикання на землю:
Рисунок 3.2 Векторна діаграма напруг та струмів у точці
короткого замикання
Векторна діаграма напруг в точці В:
Рисунок 3.3 Векторна діаграма напруг у точці В
Висновки
В даній курсовій роботі досліджено два види коротких замикань
- симетричне трифазне коротке замикання (найважчий вид КЗ, хоча має ймовірність
появи приблизно 5%) і двофазне коротке замикання на землю (найпоширеніше
коротке замикання - ймовірність його появи складає 20%).
Розрахунок трифазного КЗ проводився за методом -
розрахункових кривих. Повні струми, знайдені різними способами дещо відрізняються,
що пояснюється тим, що розрахункові криві доцільно застосовувати для розрахунку
малих та середньо-потужних генераторів, тобто тих, для яких вони створені. В
даній же курсовій роботі були наявні генератори з потужністю 160 МВт та 67 МВт.
Розрахунок несиметричного КЗ проводився з допомогою типових
кривих та з урахуванням правила еквівалентності прямої послідовності. При
несиметричному КЗ для заданої точки С були знайдені напруги в цій точці,
побудована векторна діаграма.
Розрахунки струмів к.з необхідні для наступних кінцевих
цілей:
· виявлення умов роботи споживачів при можливих к.з. і
визначення допустимості того чи іншого режиму;
· вибір електричних апаратів електроустановок за умовами
термічної і електродинамічної стійкості;
· проектування і на лаштування засобів
релейного захисту та автоматики;
· оцінка і вибір схем електричних
з’єднань ЕМ;
· координації і оптимізації значень
струмів к.з.;
· оцінки стійкості роботи ЕМ та її
вузлів навантаження;
· проектування заземлюючи пристроїв;
· визначення впливу струмів к.з. на
лінії зв’язку;
· вибір розрядників та аналіз аварій в
електроустановках;
Список
використаної літератури
1.
С.А.
Ульянов "Электромагнитные переходные процессы", Энергия, 1970г.
2.
В.Н.,
Винославский "Переходные процессы в системах электроснабжения", ВШ,
1989г.
3.
Л.Д.
Рожкова, В.С. Козулин "Электрооборудование станций и подстанций".
4.
Конспект
лекцій.