Практичне застосування інтегральних числень
Міністерство
освіти та науки, молоді та спорту України
Маріупольський
державний університет
Економіко
- правовий факультет
Кафедра
математичних методів
реферативне
дослідження
З
дісциплини: Вища математика
На
тему: «Практичне застосування интегральних числень»
Виконала
студентка ІІ курсу
Спеціальності
«менеджмент організацій»
Денной форми
освіти
Кльоб Ольга
Перевірила:
Сирмаміїх І.В.
Маріуполь
- 2012
Зміст
Вступ
Розділ
1. Теоретичні основи інтегральних числень
.1
Історія виникнення інтегральних числень
.2
Види та основні властивості інтегралів
Розділ
2. Основні методи інтегрування невизначеного інтегралу
.1
Інтегрування безпосереднє
.2
Інтегрування підстановкою
.3
Інтегрування частинами
.4
Інтегрування деяких виразів, які містять квадратичний тричлен у знаменнику
.5
Інтегрування деяких тригонометричних функції
Розділ
3. Практичне застосування визначеного інтегралу в економіці
.1
Зв’язок між визначеним і невизначеним інтегралами
.2
Застосування визначеного інтегралу в економіці
Висновок
Список
використаних джерел
Вступ
Актуальність теми: Дане реферативне
дослідження присвячене інтегральним численням. Поняття інтеграла пронизує всю
сучасну математику. І не тільки це - в науках фізичного і технічного циклів
знаходять застосування різні варіації інтеграла. Варто розкрити будь-яку книгу,
що відноситься до точних наук, як зустрінеться знак інтеграла і пропозиції,
включаючи слово «інтеграл». Більш того, останнім часом увійшли до ужитку такі
терміни, як, наприклад, «інтегральна схема», «економічна інтеграція», які
прямого відношення до інтеграла не мають, але смислове навантаження зберігають
і знаходять широке розповсюдження в літературі і розмовній мові.
Ціль та задача роботи. Ціль цієї
роботи є дослідження інтегральних числень та їх основних складаючи.
Для вдалого досягнення поставлених
задач у роботі будуть поставлені наступні задачі:
Розглянути становлення та розвиток
інтегральних числень.
Дати їх визначення .
Розглянути основні види та приклади
інтегральних числень.
Дослідити основні методи обчислення
інтегралів.
Об’єктом реферативного дослідження:
є особливості використовування інтегральних числень.
Предмет дослідження: це
методологічні основи практичного використання інтегральних числень у вищій
математиці.
Методи дослідження. Методологічну і
теоретичну основу проведеного дослідження становлять сучасна теорія вищої
математики, праці провідних вітчизняних та зарубіжних науковців, періодичні
видання за зазначеною темою, інформація мережі Internet.
У реферативному дослідженні
використано метод теоретичного узагальнення, метод аналізу і синтезу для
дослідження основних характеристик та особливостей інтегральних числень.
Теоретичне значення: цього
дослідження полягає в тому, що на основі літературних джерел в дослідженні
проводиться детальний аналіз інтегральних числень.
Практичне значення полягає в тому ,
що на основі елементарних прикладів розкривається зміст використання
інтегралів.
Структура та обсяг реферативного
дослідження. Робота складається зі вступу, розділів, висновків, списку використаних
джерел.
Розділ 1. Теоретичні основи
інтегральних числень
.1 Історія виникнення інтегральних
числень
Інтегрування простежується ще в
давньому Єгипті, приблизно в 1800 році до н.е.
Початки інтегральних методів
простежуються в працях Архімеда, що користувався ними при вирішенні багатьох
геометричних завдань і доказі теорем. У книгах по історії математики відповідні
розділи так і називаються - «Інтегральні методи Архімеда». І в цьому немає
ніякого перебільшення, хоча відкриття інтегрального числення, час, коли вперше
било вимовлено слово «інтеграл», відокремлюють від робіт Архімеда величезний
часовий інтервал в 2000 років. Для переходу від методів Архімеда до алгоритму
інтегрального числення, застосовного до обширного класу завдань, математика повинна
була пройти довгий шлях, на якому була створена буквена символіка, побудовано
вчення про функціональні залежності, розроблений аналітичний апарат для їх
виразу. На цьому шляху до робіт Архімеда зверталися двічі: на арабському
середньовічному Сході і в Європі XVI-XVII ст. Але всі спроби значно просунутися
вперед кінчалися невдачею. Лише створення буквеного числення Внетом і
аналітичній геометрії Декартом і Ферма, а також успіхи фізичних наук Нового
часу забезпечили можливість розробки аналізу нескінченно малих. Роль Архімеда в
цьому процесі Лейбніц охарактеризував словами: «Уважно читаючи твори Архімеда,
перестаєш дивуватися зі всіх новітніх досліджень геометрів».
Вдосконалення методів Архімеда і
створення інтегрального числення, його розвиток здійснювалися в роботах
Кеплера, Кавальері, Торрічеллі. Паскаля, Ферма, Валліса, Роберваля, Барроу,
Ньютона, Лейбніца, братів Якоба і Іоганна Бернуллі (І.Бернуллі належить термін
«інтегральне числення»; він перший прочитав, курс лекцій з інтегрального
числення для маркіза Лоппіталя), Ейлера, Коші, Рімана.
Розглянемо один з найвідоміших
методів - метод вичерпування Евдокса (приблизно 370 до н. э.), який намагався
знайти площі і об'єми, розриваючи їх на нескінченну безліч частин, для яких
площа або об'єм вже відомі. Цей метод був підхоплений і розвинений Архімедом, і
використовувався для розрахунку площ парабол і наближеного розрахунку площі
круга. Аналогічні методи були розроблені незалежно в Китаї в 3-м столітті н.е.
Лю Хуейем, який використовував їх для знаходження площі круга. Цей метод був
згодом використаний Дзю Чонгши для знаходження об'єму кулі.
Фундаментальний внесок Евдокса в
математику складає метод вичерпання, що отримав таку назву в XVII ст. і
застосовувався стародавніми при доказі теорем, пов'язаних з обчисленням площ,
об'ємів і інших величин. Він вважається першим варіантом теорії меж.
Цей метод можна розглянути на
прикладі лимона. Припустимо, що нам треба знайти об'єм лимона, має неправильну
форму, і тому застосувати будь-яку відому формулу обсягу не можна. За допомогою
зважування знайти обсяг також важко, оскільки щільність лимона в різних
частинах його різна. Поступимо таким чином. Розріжемо лимон на тонкі часточки.
Кожну часточку приблизно можна вважати циліндриком, радіус основи, якого можна
виміряти. Обсяг такого циліндра вирахувати легко за готовою формулою. Склавши
обсяги маленьких циліндрів, ми отримаємо наближене значення обсягу всього
лимона. Наближення буде тим точніше, ніж на більш тонкі частини ми зможемо
розрізати лимон.
Методом вичерпання математики
старовини користувалися для строгого доказу істинності результатів, отриманих
різними некоректними операціями з нескінченністю, граничними переходами. Евдокс
методом вичерпання довів наступні теореми: площі кругів відносяться як квадрати
діаметрів; об'єм піраміди рівний 1/3 об'єму призми, що має з пірамідою ті ж
основу і висоту; об'єм конуса рівний І/3 об'єму циліндра, що має з конусом ті ж
основу і висоту, Евклід до них додав ще теорему про те, що об'єми куль
відносяться як куби діаметрів.
Слідом за Евдоксом метод
«вичерпання» і його варіанти для обчислення об'ємів і площ застосовував
стародавній вчений Архімед, цей метод він назвав «механічним». Успішно
розвиваючи ідеї своїх попередників, він визначив довжину окружності, площа
кола, об'єм і поверхню кулі. Він показав, що визначення обсягів кулі,
еліпсоїда, гіперболоїда і параболоїда обертання зводиться до визначення обсягу
циліндра.
Дуже важливим для становлення
інтегрального числення було удосконалення Архімедом ідеї Демокріта про розбиття
плоских фігур на елементарні полоски, що «заповнюють» фігури, і тіла на шари,
що заповнюють їх. Таких елементарних частин могло бути нескінченна множина або
скінченне число.
Метод інтегральних сум розроблений
Архімедом і застосований до обчислення площ і об'ємів в його творах «О шаре и
цилиндре», «О коноидах и сфероидах», «О спиралях». У XIX книзі «О коноидах и
сфероидах» він видозмінив лему Евдокса і цією формою користувався згодом: «Если
дан сегмент какого-нибудь из коноидов, отсеченный перпендикулярной к оси плоскостью,
или же сегмент какого-нибудь из сфероидов, не больший половины этого сфероида и
точно так же отсеченный, то можно вписать в него телесную фигуру и описать
около него другую, состоящую из имеющих равную высоту цилиндров, и притом так,
чтобы описанная фигура была больше вписанной на величину, меньшую любой
заданной телесной величины». Висловлюючись сучасною мовою, Архімед визначив
інтеграли.
Отже, вперше ідею інтегрування ми
знаходимо в працях Архімеда. Вона виникла з потреб практики і ніяк не була вільним
творінням розуму.
1.2 Визначення, види та основні
властивості інтегральних числень
Термін «інтеграл» (від лат. integer
- цілий, тобто ціла, вся - площа) був запропонований у 1696 р. Іоганном
Бернуллі.
Інтеграли по своїм властивостям
бувають різні:
Інтеграл Рімана - найпростіший із
визначених інтегралів, є границею інтегральної суми. Для функції однієї змінної
визначеній
на відрізку [a,b] та певного розбиття R цього відрізку на відрізки
інтегральна
сума визнається як
де
-
будь-яка точка з відрізку.
Якщо існує границя таких сум при
прямуванні найбільшої довжини відрізку
до
нуля, то функція
називається
інтегрованою, а границя інтегральної суми називається інтегралом Рімана функції
на відрізку
і позначається
Інтеграл Рімана можна також
визначити як границю сум Дарбу.
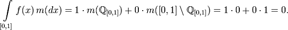
Інтеграл Лебега - це узагальнення
інтеграла Рімана на ширший клас функцій. Всі функції, визначені на скінченному
відрізку числової прямої і інтегровні за Ріманом, є також iнтегровні за
Лебегом, причому в такому разі обидва інтеграли однакові. Однак, існує великий
клас функцій, визначених на відрізку і інтегровних за Лебегом, але не
інтегровних за Ріманом. Також інтеграл Лебега може застосовуватися до функцій,
заданих на довільних множинах.
Ідея побудови інтеграла Лебега
полягає в тому, що замість розбиття області визначення підінтегральної функції
на частини і написання потім інтегральної суми із значень функції на цих
частинах, на iнтервали розбивають її область значень, а потім сумують з
відповідними мірами міри прообразiв цих інтервалів. Важливо зазначити, що
побудова інтеграла Лебега спирається на теорію міри Лебега.
В якості традиційного приклада
розглянемо функцію Діріхле
борелівська σ-алгебра
на
,
а
-
міра Лебега. Ця функція приймає значення
в
раціональних точках і
в ірраціональних.
Легко побачити, що
не інтегровна в
сенсi Рімана. Однак, вона є простою функцією на просторі зі скінченною мірою,
бо приймає тільки два значення, а тому її інтеграл Лебега визначений і
дорівнює:
Дійсно, міра відрізка
дорівнює
1, і оскільки множина раціональних чисел зліченна, то його міра дорівнює 0,
значить міра ірраціональних чисел дорівнює
.
Одне з основних ускладнень у
використанні традиційного інтеграла Лебега полягає в тому, що його застосування
вимагає попередньої розробки відповідної теорії міри.
Існує інший підхід, викладений
Даніеллем в 1918 році в його статті «Загальний вид інтеграла» («Annals of
Mathematics», 19, 279), що не має цього недоліку і що має значні переваги при
узагальненні на простори вищих розмірностей і подальших узагальненнях
(наприклад, у формі інтеграла Стілтьєса).
Основна ідея полягає в
аксіоматизуванні поняття інтеграла. Розглянемо сімейство
обмежених
дійснозначних функцій (названих елементарними функціями), визначених на множині
,
що задовольняє таким аксіомам:
.
-
лінійний простір із звичайними операціями додавання і скалярного множення.
.
:
якщо функція належить
, то її модуль
також належить
.
Крім того, на просторі елементарних
функцій визначається позитивно визначений неперервний лінійний функціонал
,
названий елементарний інтеграл.
. Лінійність: якщо h і k обидва
належать H, і
,
-
довільні дійсні числа, тоді
.
. Невід'ємність: якщо
,
тоді
.
. Неперервність: якщо
незростаюча
послідовність (тобто
) функцій з
,
які збігаються до нуля для всіх
в
,
тоді
.
Така побудова узагальненого
інтеграла має деякі переваги перед методом Лебега, особливо у функціональному
аналізі. Конструкції Лебега і Деніелла еквівалентні, якщо розглядати як
елементарні ступінчасті функції, проте при узагальненні поняття інтеграла на
складніші об'єкти (наприклад, лінійні функціонали) виникають істотні труднощі в
побудові інтеграла за Лебегом. За Деніеллем інтеграл будується простіше.
Визначений інтеграл (див.рис.1.1) -
в математичному аналізі це інтеграл функції з вказаною областю інтегрування.
Визначений інтеграл є неперервним функціоналом, лінійним по підінтегральним
функціям і адитивним по області інтегрування. У найпростішому випадку область
інтегрування - це відрізок числової осі. Геометричний смисл цього визначеного
інтеграла - це площа криволінійної фігури (криволінійної трапеції), обмеженої
віссю абсцис, двома вертикалями на краях відрізка і кривою графіка функції
.Подальші узагальнення поняття дозволяють розширити його на кратні, поверхневі,
об'ємні інтеграли, а також на інтеграли на об'єктах ширшої природи з мірою.
Існує кілька різновидів визначених інтегралів: інтеграл Рімана, інтеграл
Лебега, інтеграл Стілтьєса, тощо.
Рис.1.1. Визначений інтеграл
дорівнює площі криволінійної трапеції, обмеженої кривою
Невласний інтеграл є розширенням
поняття визначеного інтегралу; він дозволяє в деяких випадках обраховувати
"інтеграл на нескінченості" або "інтеграл від необмеженої
функції". В математичному аналізі невласним інтегралом називають границю
послідовності визначених інтегралів, коли інтервал інтегрування збільшується до
нескінченості, або коли інтервал наближається до особливої точки інтегрованої
функції, де та йде у нескінченість.
Невласним інтегралом "першого
роду"(див.рис.1.2)
називається
границя
якщо
вона існує.
Рис. 1.2. Інтеграл "першого
роду" на необмеженій області визначення
Невласний інтеграл "другого
роду"(див. рис.1.3) дозволяє в деяких випадках визначити "інтеграл
від функції, необмеженої на інтервалі". А саме, нехай функція
визначена
на
,
і для кожного малого
існують інтеграли
Тоді
якщо існує дійсна границя
, то вона зветься
невласним інтегралом "другого роду".
Рис.1.3. Інтеграл "другого
роду" від необмеженої функції
Кратний інтеграл або ж багатократний
інтеграл степеня n, це визначений інтеграл по n змінних з функції n змінних:
Кратний інтеграл - це саме
визначений інтеграл, при його обчисленні завжди виходить число.
Окремі випадки багатократного
інтеграла це:
подвійний інтеграл:
потрійний інтеграл:
Та існують навіть такі інтеграли,
які «не беруться»,саме з цієї причини такі інтеграли потрібно вміти розрізняти:
інтеграл Пуассона;
інтеграли Френгеля;
інтегральний логарифм;
інтегральний косинус;
інтегральний синус;
еліптичний інтеграл;
(α=0,1,2…) та ряд інших
інтегралів.
Вказані інтеграли хоча й існують,
але не є елементарними функціями.
Поняття інтеграл
безпосередньо пов'язане з інтегральним вирахуванням - розділом математики, що
займається вивченням інтегралів, їхніх властивостей і методів обчислення. Разом
з диференціальним численням інтегральне числення становить основу математичного
аналізу.
Інтегральне числення - розділ
математичного аналізу, в якому вивчаються поняття інтеграла, його властивості
та методи обчислень.
Для знаходження інтегралів
існує теорема інтегрального числення. Вона пояснюється так, якщо у функції
існує
первісна
, то
Ця формула називається
формулою Ньютона-Лейбніца, або основною формулою інтегрального числення. Вона
дає практичний і зручний спосіб обчислення визначеного інтеграла за значеннями
первісної на кінцях відрізку інтегрування. Багатомірні інтеграли обчислюються
за допомогою теореми про зведення кратних інтегралів до повторного.
Також існують кожний інтеграл
має такі основні властивості, як:
Лінійний функціонал - на
певній області визначення
інтеграл є
лінійним функціоналом на просторі функцій:
Тут
і
-
функції,
-
число.
Адитивність по області - якщо
області
та
не
перетинаються (або "перетинаються в точці"), інтеграл по об'єднаній
області
є
сумою інтегралів по
та
:
Монотонність - якщо
незростаюча
послідовність (тобто
) функцій, які
збігаються до нуля для всіх
на області інтегрування,
тоді
.
Нормованість - інтеграл сталої
функції константи
розраховується
"як площа прямокутника"
де
-
це "міра" області інтегрування, в простішому випадку просто довжина
інтервала, або ж "площа" області інтегрування.
Таким чином, інтегрування - це
складна операція. Тому треба твердо володіти основними методами інтегрування i
чітко знати види функцій, інтеграли від яких цими методами знаходяться. Крім
того, виявляється, що треба розрізняти також інтеграли, які «не беруться». Саме
на основі теоретичної інформації можно переходити до практичної частини.
Розділ 2. Основні методи
інтегрування невизначенного інтегралу
2.1 Інтегрування безпосереднє
Те, що інтеграл є табличним, нерідко
можна побачити тільки після деяких перетворень підінтегрального виразу.
Приклади:
1.
2.2 Інтегрування підстановкою
Нехай інтеграл
не
відноситься до табличного інтегралу, але можливо представити
.
Тоді
Якщо інтеграл
є у таблиці
інтегралів, то визначив його, після виключення допоміжної змінної
одержимо
величину
.
Підстановки підбирають так, щоб
одержані після перетворення нові інтеграли були табличними, або зводились до
них. Загальних методів підбору підстановок не існує.
Приклади:
) 
2.3 Інтегрування частинами
Нехай
,
- функції,
що мають на деякому проміжку неперервні похідні. Тоді
;
Проінтегруємо обидві частини:
,
або
.
Це формула інтегрування
частинами. Іноді її доводиться застосовувати кілька разів.
Цю формулу застосовують при
інтегруванні добутків типу
,
,
, де
є
, а також обернених тригонометричних
функцій, логарифмічних та інших. За «
», як правило, обирають множник,
який при диференціюванні спрощується. Інша частина підінтегрального виразу
образує множник «
». Його слід
вибирати так, щоб інтегруванням можна було знайти
. При цьому,
тут беремо будь-яку первісну, тому взяти
.
Вкажемо деякі типи
інтегралів, які зручно обчислювати методом інтегрування частинами.
інтеграли вигляду
, де
- многочлен,
- дійсне число.
) інтеграл вигляду
;
)
, де
і
- дійсні
числа
Тут після двократного
застосування формули інтегрування частинами утворюється лінійне рівняння
відносно шуканого інтеграла. Роз’язуючи це рішення, знаходять інтеграл.
Приклади:
)
)
3)
;
Тобто
,
Або
2.4 Інтегрування деяких виразів, які
містять квадратний тричлен у знаменнику
Це інтеграли вигляду
;
;
;
.
Вони приводяться до табличних
шляхом виділення повного квадрата в квадратному тричлені:
.
Для інтегралів
та
цієї
операції достатньо, для інтегралів
та
спочатку слід одержати у чисельнику
диференціал тричлену
Дійсно:
.
Перший інтеграл знаходимо за
формулою
, а другий
зведемо до інтегралу
або
.
Приклад.

.5 Інтегрування деяких тригонометричних
функцій
*. Інтеграли вигляду
.
а) Якщо хоча б один з
показників
або
- попарне
додатне число, то інтегрування ведемо так:
нехай
,
є
. Від
непарного степеня синуса відокремлюємо його першу степінь - вона потрібна для
утворення диференціала косинуса; ту додатню степінь, котра залишилась,
перетворюємо у косинус того ж самого аргументу за формулою:
Далі робимо підстановку:
Далі за формулами скороченого
множення розкриваємо дужки і отримуємо додатки степеневого вигляду.
Приклад.


б) Якщо обидва показники
і
- парні
додатні числа, то інтеграл можна знайти, якщо поширити степінь підінтегральних
виразів за допомогою формул:
;
;
Приклад.
*. Інтеграли вигляду
,
Якщо
- парне
додатне число, то при будь-якому значенні
, то використовуємо тригонометричні
тотожності:
;
,
Приклад.
*. Інтеграли вигляду
,
,
Ці інтеграли можна привести
до табличних за допомогою формул:
Приклад.
Розділ 3. Практичне застосування
визначенного інтервалу в економіці
3.1 Зв’язок між визначеним і
невизначеним інтегралами
Означення 2. Визначений інтеграл з
постійною нижньою межею та змінною верхньою межею називають інтегралом із
змінною верхньою межею.
Щоб мати звичне позначення, змінну
верхню межу позначимо через х, а змінну інтегрування - t.
Одержимо інтеграл
який
є функцієюх, тобто Ф(х) =
Теорема 2. Якщо f (х) неперервна
функція, то похідна визначеного інтеграла від неперервної функції по змінній
верхній межі дорівнює значенню підінтегральної функції для цієї верхньої межі,
тобто
(5)
Доведення. Надамо аргументу х
приріст Δх,
тоді функція Ф(х) одержить приріст, який згідно з властивістю 8 визначеного
інтеграла можна записати у вигляді
До останнього інтеграла застосуємо
властивість 7, тоді
де
Згідно з означенням похідної маємо
що й треба було довести.
Теорема 3. Визначений інтеграл від
неперервної функції дорівнює різниці значень будь-якої її первісної для
верхньої та нижньої меж інтегрування, тобто якщо F(x) є первісна функції f (х),
то має місце рівність
(6)
яка називається формулою
Ньютона-Лейбніца.
Доведення. Нехай F(x) деяка первісна
функції f (х). За теоремою 2
також первісна для
f (х). Але дві первісні функції f (х) відрізняються лише на постійний доданок
С. Тому
(7)
Ця рівність (7) при відповідному
обранні С буде тотожністю, тобто має місце для усіх х.
Для визначення С візьмемо у формулі
(7) х = а. Тоді
Отже,
Якщо у цій рівності покласти х = b,
то одержимо
Змінюючи змінну інтегрування t на х,
одержимо формулу (6), що й треба було довести.
Відмітимо, що різницю
позначають
часто так:
(x)
, тобто F(x)
=
Тому формулу Ньютона-Лейбніца (6)
можна записати у вигляді
Ця формула вказує не тільки на
зв'язок визначеного інтеграла з невизначеним, але й спосіб обчислення
.
Якщо проінтегрувати обидві частини
рівності
[u(x) · v(x)] = v(x)du(x) + u(x)dv(x)
в межах від а до b, то одержимо
Звідси одержуємо важливу формулу інтегрування
частинами визначеного інтеграла.
(8)
Приклад 2. Обчислити інтеграл
xcosxdx.
Розв'язування. Нехай u = x, dv = cosxdx , тоді
знаходимо du = dx,
(взята
первісна без сталої С). Застосовуючи до заданого інтеграла формулу (8),
одержимо
Теорема 4. Нехай задано інтеграл
, де f (х)
неперервна на відрізку [а,b]. Зробимо підстановку х =
(t), а
t
Я, де
(t)
неперервно диференційована функція на відрізку [
,Я].
Якщо: при зміні t від
до Я змінна
х змінюється від а до b, тобто
(а)= а,
(Я) = b;
складна функція f[
(t)]
визначена і неперервна на відрізку [
,Я], тоді має місце рівність
(9)
Доведення. Нехай F(x) деяка первісна для функції
f (х), тобто F'(X) = f (х). Розглянемо складну функцію F [
(t)].
Застосовуючи правило диференціювання складної функції, одержимо
Це означає, що функція F[
(t)] є
первісною для функції
Звідси, за формулою Ньютона-Лейбніца і рівностей
(
) = a та
(Я) = b,
одержуємо
що й треба було довести.
Приклад 3. Обчислити
Розв’язування. Нехай t =
, тоді t2 =
1 + х
х = t2 - 1,
dx= 2tdt. Знайдемо межі інтегрування, використовуючи рівність
Отже,

Крім того, у практичній діяльності часто досить
знати лише наближене значення визначеного інтеграла і знаходити це наближене
значення такими методами, які дозволяють використовувати сучасну обчислювальну
техніку.
Тому математики багатьох країн розробляють
ефективні методи наближеного обчислення визначеного інтеграла.
Найбільш часто використовують три методи - метод
прямокутників, метод трапецій та метод парабол (метод Сімпсона).
Якщо відрізок інтегрування [а,b] поділити на n
рівних частин довжиною
і позначити через
середню точку відрізку
визначений
інтеграл можна обчислити за формулою
(10)
яку називають формулою прямокутників. Чим більше
буде n, тим менше буде крок
і права частина (10) буде давати більш точне
значення інтеграла.
Якщо поділити відрізок інтегрування точками
ділення
а = х0 < x1 < х2 < ... < хk < ...
< хn-1 < хk = b
на n рівних частин довжиною
позначити значення функції в точках ділення f
(хk), тоді визначений інтеграл можна обчислити за формулою
(11)
яку називають формулою трапецій. Легко бачити,
що при зростанні n крок
зменшується,
тому значення інтеграла буде більш точним.
Якщо відрізок інтегрування [а,b] поділити на
парну кількість рівних частин (тобто n = 2m) i позначити уk = f (xk), де xk = а
+
х·k - точки
ділення, k = 0, 1, ..., 2m, тоді визначений інтеграл можна обчислити за
формулою
(12)
яку називають формулою Сімпсона. Ця формула дає
більш точне значення визначеного інтеграла тому, що для її доведення
використовується метод парабол, за яким на кожному відрізку [xk-1, xk] три
значення функції f (х) входять до інтегральної суми.
При інтегруванні визначених інтегралів
використовуються методи аналогічні пунктам 2.1 - 2.5. Але є і різниця:
інтегрування по частинам:
.2 Застосування визначеного інтегралу в
економіці
Останнім часом з'явилася велика кількість шкіл і
класів, учні яких вибирають економічні спеціальності як своя подальшу
діяльність. Як правило, учителя, що працюють у таких класах, дають учням більш
глибокі знання по звичайних темах шкільного курсу математики, найчастіше
орієнтуючись на програми для шкіл і класів з поглибленим вивчанням математики.
Але при такій організації навчання практично не розглядаються економічні
додатки тієї або іншої теми, мало часу приділяється застосуванню математичного
моделювання до рішення економічних завдань. Не є виключенням і тема, присвячена
застосуванню певного інтеграла в інших областях знань.
Традиційно практичний додаток інтеграла
ілюструється обчисленням площ різних фігур, знаходженням обсягів геометричних
тіл і деяких додатків у фізиці й техніці. Однак роль інтеграла в моделюванні економічних
процесів не розглядається. Найчастіше про економічні додатки інтеграла не йде
мови й у класах економічного напрямку. Разом з тим, інтегральне вирахування має
багатий математичний апарат для моделювання й дослідження процесів, що
відбуваються в економіці .
Зупинимося на декількох прикладах використання
інтегрального вирахування в економіці. Почнемо із широко використовуваного в
ринковій економіці поняття споживчого надлишку. Для цього введемо кілька
економічних понять і позначень.
Попит на даний товар - сформована на певний
момент часу залежність між ціною товару й обсягом його покупки. Попит на
окремий товар графічно зображується у вигляді кривої з негативним нахилом, що
відбиває взаємозв'язок між ціною P одиниці цього товару й кількістю товару Q, що
споживачі готові купити при кожній заданій ціні. Негативний нахил кривої попиту
має очевидне пояснення: чим дорожче товар, тим менше кількість товару, що
покупці готові купити, і навпаки.
Аналогічно визначається й інше ключове поняття
економічної теорії - пропозиція товару: сформована на певний момент часу
залежність між ціною товару й кількістю товару, пропонованого до продажу.
Пропозиція окремого товару зображується графічно у вигляді кривої з позитивним
нахилом, що відбиває взаємозв'язок між ціною одиниці цього товару P і кількістю
товару Q, що споживачі готові продати при кожній ціні.
Відзначимо, що економісти порахували зручним
зображувати аргумент (ціну) по осі ординат, а залежна змінну (кількість товару)
по осі абсцис. Тому графіки функцій попиту та пропозиції виглядають у такий
спосіб (Рис. 3.1).
Рис. 3.1 - Графіки функції попиту та пропозиції
І, нарешті, уведемо ще одне поняття, що грає
більшу роль у моделюванні економічних процесів - ринкова рівновага. Стан рівноваги
характеризують такі ціна й кількість, при яких обсяг попиту збігається з
величиною пропозиції, а графічно ринкова рівновага зображується точкою
перетинання кривих попиту та пропозиції (Рис. 3.2.), E*(p*; q*) - точка
рівноваги.
Рис. 3.2 - Графік рівноваги
Надалі для зручності аналізу ми будемо
розглядати не залежність Q = f(P), а зворотні функції попиту та пропозиції, що
характеризують залежність P = f(Q), тоді аргумент і значення функції графічно
будуть зображуватися звичним для нас образом.
Перейдемо тепер до розгляду додатків
інтегрального аналізу для визначення споживчого надлишку. Для цього зобразимо
на графіку зворотну функцію попиту P = f(Q). Допустимо, що ринкова рівновага
встановилася в точці E*(q*; p*) (крива пропозиції на графіку відсутній для
зручності подальшого аналізу, Рис. 3.3).
Рис. 3.3 - Графік ринкової рівноваги
Якщо покупець здобуває товар у кількості Q* за
рівноважною ціною P*, то очевидно, що загальні витрати на покупку такого товару
складуть P*Q*, що дорівнює площі заштрихованої фігури A (Рис. 3.4).
Рис. 3.4. - Графік ринкової рівноваги
Але припустимо тепер, що товар у кількості Q*
продається продавцями не відразу, а надходить на ринок невеликими партіями Q.
Саме таке допущення разом із припущенням про безперервність функції попиту та
пропозиції є основним при висновку формули для розрахунку споживчого надлишку.
Відзначимо, що дане допущення цілком виправдане, тому що така схема реалізації
товару досить поширена на практиці й випливає з мети продавця підтримувати ціну
на товар якнайвище.
Тоді одержимо, що спочатку пропонується товар у
кількості Q1=Q (малюнок 5), що продається за ціною P1 = f(Q1). Тому що по
припущенню величина Q мала, то можна вважати, що вся перша партія товару
реалізується за ціною P1, при цьому витрати покупця на покупку такої кількості
товару складуть P1 Q, що відповідає площі заштрихованого прямокутника S1 (Рис.
3.5).
Рис. 3.5 - функція розрахунку споживчого
надлишку
Далі на ринок надходить друга партія товару в
тім же кількості, що продається за ціною:
= f(Q2),
Де
= Q1+Q
загальна кількість реалізованої продукції, а
витрати покупця на покупку другої партії складуть P2Q, що відповідає площі
прямокутника S2.
Продовжимо процес доти, поки не дійдемо до
рівноважної кількості товару Q* = Qn. Тоді стає ясно, якою повинна бути
величина Q для того, щоб процес продажу товару закінчився в крапці Q*:
У результаті одержимо, що ціна n-й партії товару
Pn = f(Qn) = f(Q*) = P*, а витрати споживачів на покупку цієї останньої партії
товару складуть PnQ, або площа прямокутника Sn.
Таким чином, ми одержимо, що сумарні витрати
споживачів при покупці товару дрібними партіями Q рівні
Тому що величина Q дуже мала, а функція f(Q)
безперервна, тих містимо, що
приблизно дорівнює площі фігури B
(Рис. 3.6), що, як відомо, при малих збільшеннях аргументу Q дорівнює певному
інтегралу від зворотної функції попиту при зміні аргументу від 0 до Q*, тобто в
підсумку одержимо, що
Рис. 3.6 - Сумарні витрати покупців
Згадавши, що кожна точка на кривій попиту Pі =
f(Qі) (і = 1, 2, ..., k) показує, яку суму споживач готовий заплатити за
покупку додаткової одиниці продукту, одержимо, що площа фігури B відповідає
загальній грошовій сумі, що споживач готовий витратити на покупку Q* одиниць
товару. Різниця між площею фігури B і площею прямокутника A є споживчий
надлишок при покупці даного товару - перевищення загальної вартості, що
споживач готовий сплатити за всі одиниці товару, над його реальними витратами
на їхнє придбання (площа заштрихованої фігури на Рис. 3.7 ).
Рис. 3.7 - Сумарні витрати покупців
Таким чином, споживчий надлишок можна порахувати
по наступній формулі
Далі розглянемо кілька завдань на визначення
надлишку споживача.
Завдання 1. Відомо, що попит на деякий товар
задається функцією p = 4 - q2, де q - кількість товару (у шт.), p - ціна
одиниці товару, а рівновага на ринку даного товару досягається при p* = q* = 1.
Визначите споживчого надлишку
Рішення.

а пропозиція даного товару
характеризується функцією q = 500 грн. Знайдіть величину надлишку споживача при
покупці даного товару.
Рішення. Для розрахунку надлишку
споживача спочатку визначимо параметри ринкової рівноваги (p*; q*). Для цього
вирішимо систему
Таким чином, p* = 2, q* = 1000.
Запишемо формулу для обчислення
споживчого надлишку (1), де f(q) - функція, зворотна функції
Звідси
Завдання 3. Відомо, що попит на
деякий товар задається функцією
пропозиція - функцією
= q + 11.
Визначите величину виграшу споживача
при покупці даного товару.
Рішення. Виграш споживача є не що
інше, як споживчий надлишок. Для того, щоб знайти його, визначимо спочатку
рівноважні значення кількості товару і його ціни, вирішивши для цього систему
Вирішимо перше рівняння системи.
(q + 1)(q + 11) = 231,+ 12q - 220 =
0,
(q + 22)(q - 10) = 0.
Одержимо q*=10. Отже, p* = 10 + 11 =
21.
Тоді
Подібно надлишку споживача
визначається й надлишок виробника. Не вдаючись у деталі, відзначимо, що
надлишок виробника являє собою різницю між тією грошовою сумою, за якої він був
би готовий продати Q* одиниць товару, і тією сумою, що він реально одержує при
продажі цієї кількості товару.
Графічно він може бути представлений
площею фігури, обмеженої кривої пропозиції, віссю цін і прямій, паралельній осі
абсцис, що проходить через крапку ринкової рівноваги (Рис. 3. 8).
Рис. 3.8 - Обмежена крива пропозиції
Очевидно, що
Розглянемо, як отримана формула може
бути застосована при рішенні завдань.
Завдання 4. Відомо, що крива пропозиції
деякого товару має вигляд p = 4q3 + 2, а рівновага на ринку даного товару
досягається при обсязі продажів Q* = 3. Визначите додаткову вигоду виробника
при продажі такої кількості продукції.
Рішення. Спочатку з функції
пропозиції знайдемо рівноважне значення ціни
* = f(q*) = f(3) = 4*33 + 2 = 110.
Підставимо отримане значення у
формулу
Ми розглянули, як визначаються
надлишки споживача й виробника. Відзначимо, що сума цих двох надлишків - площа
заштрихованої фігури на Рис.3.9 - характеризує загальний ефект виробництва й
споживання на розглянутому ринку.
визначений інтеграл
тричлен знаменник
Рис.3.9 - Сума надлишків споживача
Однак абсолютні значення PS й CS
становлять невеликий інтерес для економістів. Економістів більше хвилює
відповідь на питання, як і на скільки зміниться надлишок споживача в результаті
проведення того або іншого заходу державної політики, що робить вплив на
рівновагу на ринку, зокрема , при встановленні податків, введенні субсидій і
т.п.
Допустимо, наприклад, що товар
обкладає податком у розмірі t на одиницю товару (такий податок економісти
називають потоварным податком), тоді його ціна збільшиться з P1 до P2.
= P1 + t
Вплив даного податку на добробут
споживача характеризує ситуація, представлена на Рис 3.10.
Рис. 3.10 - Вплив податку на
добробут споживача
Таким чином, одержуємо, що CS -
зменшення добробуту споживача, оцінюване за допомогою споживчого надлишку, є
різниця площ двох фігур, що відповідають CS1 й CS2, і за формою нагадує
трапецію, площу якої, у свою чергу, дорівнює сумі площ фігур T1 й T2, тобто CS
=ST1 +ST2 , ST1 де вимірює втрати надлишку споживача, викликані збільшенням
ціни одиниці товару на розмір податку й дорівнює t2, а ST1 вимірює втрати
добробуту споживача, пов'язані зі зменшенням кількості споживаного товару (Q2
< Q1), і дорівнює
Таким чином, для випадку введення по
товарного податку в розмірі t маємо
У загальному ж випадку результат
зміни споживчого надлишку внаслідок збільшення ціни на товар може бути
записаний, наприклад, у наступному виді
Розглянемо приклад оцінки наслідків
введення по товарного податку.
Задача 5. Дана крива попиту
.
Які грошові втрати споживача при
введенні на даний товар податку з одиниці продажів у розмірі 1 грн., якщо
відомо, що спочатку ринкова рівновага на даному ринку спостерігалося при ціні
P* = 2 грн.?
Рішення. Дане завдання можна
вирішувати різними способами. Проаналізуємо основні з них.
-й спосіб заснований на використанні
формули (3) для обчислення CS.
Для визначення споживчих втрат при
збільшенні рівноважної ціни товару з 2 грн. до 3 грн. подивимося, як при цьому
міняється обсяг продажів. Якщо P1=2, то Q1=16, при P2=3 Q2=14.
Отже,
2-й спосіб. Тому що в цьому випадку
функція попиту линейна, те розглянуту ситуацію легко представити графічно (мал.
11).
Одержимо, що
Незважаючи на те, що другий спосіб
простіше першого й не вимагає знань математичного аналізу, проте учні повинні
бути знайомі й із загальним методом знаходження зміни споживчого надлишку за
допомогою певного інтеграла, тому що часто функції попиту та пропозиції не
лінійні й мають більше складний вид.
Розглянутий нами спосіб оцінки
наслідків мер економічної політики широко застосовується на практиці. Так, при
підготовці податкових реформ економісти розраховують зміни споживчих надлишків
залежно від різних варіантів оподатковування й, аналізуючи отримані результати
з урахуванням необхідного розміру податкових надходжень, зупиняються на тих
варіантах, які викликають найменше скорочення споживчих вигід.
Для ілюстрації практичного
використання даного аналізу розглянемо приклад, що приводить у своїй роботі
«Аналіз впливу податкових реформ на добробут з використанням даних по
домогосподарствах» сучасний англійський економіст М. Кінг, досліджуючи наслідку
проведеної у Великобританії в 1983 р. реформи оподатковування житлових послуг.
Суть даної реформи зводилася до
скасування податкових знижок при сплаті податку на проживання для власників
власних будинків з одночасним збільшенням орендної плати за проживання в
муніципальних будинках. Додаткові засоби, отримані в результаті такого заходу,
підлягали поверненню домогосподарствам у формі безоплатних соціальних виплат,
пропорційних доходу домогосподарства .
Дослідивши витрати на житлові
послуги по 5895 домогосподарствам, Кінг вивів функцію попиту на житлові
послуги. У підсумку їм було встановлено, що дана податкова реформа зробила б
позитивний вплив на добробут 4888 з 5895 домогосподарств. Більше того, він зміг
точно ідентифікувати ті домогосподарства, які понесли б найбільші втрати від такої
реформи. Він виявив, що від реформи виграли б 94 % домогосподарств, що мають
найвищі доходи, і лише 58 % осіб з найменшими доходами. Отримані ним результати
вплинули на концепцію розроблювальних реформ. У результаті зміни, що
намічались, у реформуванні системи оподатковування житлової сфери були
кардинально переглянуті й змінені для більше повної відповідності поставленим
цілям.
Висновок
Важко назвати наукову область, у
якій би не застосовувалися методи інтегрального вирахування, загалом, і властивості
визначеного інтеграла, зокрема.
Так інтегральне вирахування може
використовуватися в області фізики, геометрії, механіки, біології й економіки.
Звичайно, це ще далеко не вичерпний список наук, які використають інтегральний
метод для пошуку встановлюваної величини при рішенні конкретного завдання, і
встановленні теоретичних фактів.
Можна сказати, що визначений
інтеграл - це деякий фундамент для вивчення математики. Звідси й важливість
знання методів їхнього рішення.
В даній роботі була зроблена спроба
огляду основних відомостей про визначений інтеграл та його застосування в такій
сфері суспільного життя як економіка.
Список використаних джерел
Баврин
И.И. Высшая математика - М.: Просвещение, 1993. - 319.
Бермантт
А.Ф., Араманович И.Г. Краткий курс математического анализа для вузов - М.: Наука,
1971 . - 736 с.
Вэриан
Х.Р. Микроэкономика. Промежуточный уровень. Современный подход. - М., ЮНИТИ,
1997.
Колесников
А.Н. Краткий курс математики для экономистов. - М., Инфра-М, 1998.
Математическая
энциклопедия. Ред. Виноградова. Т.2. - М.: Советская энциклопедия, 1979.
Фихтенгольц
Г.М. Основы математического анализа. Т.1. - М.: Наука, 1968.
Нікольський
С. М. Глава 9. Визначений інтеграл Рімана / / Курс математичного аналізу - 1990
Т. 1.
1.