Показательная функция: свойства и график

  • Вид работы:
    Контрольная работа
  • Предмет:
    Математика
  • Язык:
    Русский
    ,
    Формат файла:
    MS Word
    622,58 Кб
  • Опубликовано:
    2012-09-16
Вы можете узнать стоимость помощи в написании студенческой работы.
Помощь в написании работы, которую точно примут!

Показательная функция: свойства и график

Введение

показательный гиперболический график

В данной курсовой работе будет рассмотрена показательная функция.

Первая часть данной работы будет рассматриваться понятие показательной функции и ее графики.

Во второй части рассматривается свойства показательной функции.

В третей части - решение примеров и задач показательной функции.

Изучение темы «Показательная функция», является важнейшим этапов в изучении всех видов функций.


Понятие показательной функции

Определение 1.1. Показательной функцией называется функция вида , где основание а- положительная константа.

Рис.

Рис.

В природе и жизни человека встречается большое количество процессов, в которых некоторые величины изменяются так, что их отношение данной величины через равные промежутки времени не зависит от времени. Среди таковых можно назвать радиоактивный распад веществ, рост суммы на счету в банке и др. Все эти процессы описываются показательной функцией.

Пусть  - последовательность рациональных чисел, сходящихся к x . Определим число  как предел

Показательной функцией с основанием a называется функция, принимающая значения ,

Рис.

Данный предел не зависит от выбора последовательности , приводящей к числу x . Областью определения показательной функции является вся числовая ось. Эта функция непрерывна, монотонно возрастает при a > 1  и монотонно убывает при a < 1  Функция никогда не обращается в нуль, но имеет горизонтальную асимптоту y = 0.

Рис.

Особое значение в приложениях имеет показательная функция, в качестве основания которой используют число e , определяемое как


Численно оно равно e = 2,71828182845904523536...

Определенная так функция называется экспоненциальной или просто экспонентой и обозначается

Показательная функция, экспоненциальная функция, важная элементарная функция

(z) = ez,

обозначается иногда expz; встречается в многочисленных приложениях математики к естествознанию и технике. Для любого значения z (действительного или комплексного) Показательная функция определяется соотношением

;

Очевидно, что  = 1; при n = 1 значение Показательная функция равно е - основанию натуральных логарифмов. Показательная функция обладает следующими основными свойствами:

 и

при любых значениях z1 и z2, кроме того, на действительной оси (рис.) Показательная функция ex > 0 и при n ® ¥ возрастает быстрее любой степени х, а при х ® - ¥ убывает быстрее любой степени 1/x:

,

каков бы ни был показатель n. Функцией, обратной по отношению к Показательная функция, является логарифмическая функция: если w =, то z = lnw.

Рассматривается также Показательная функция  при основаниях а > 0, отличных от е [например, в школьном курсе математики для действительных значений z = х рассматриваются Показательная функция 2x, (1/2) x и т.д.]. Показательная функция az связана с Показательная функция  (основной) соотношением

 =

Показательная функция является целой трансцендентной функцией. Она допускает следующее разложение в степенной ряд:

, (1)

сходящийся во всей плоскости z. Равенство (1) также может служить определением Показательная функция

Полагая z = х + iy, Л. Эйлер получил (1748) формулу:

= =(cosy + isiny), (2)

связывающую Показательную функцию с тригонометрическими функциями. Из неё вытекают соотношения:

, .

Функции

 =ch y, - i = sh y

называются гиперболическими функциями, обладают рядом свойств, сходных со свойствами тригонометрических функций, и играют наряду с последними важную роль в различных приложениях математики.

Из соотношения (2) следует, что Показательная функция (комплексного переменного z) имеет период 2pi, то есть или = 1. Производная Показательная функция равна самой функции: ()" =

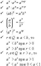
. Свойства показательной функции

Рис.

Таблица

Свойства показательной функции

y =  , a > 1

y =  , 0< a < 1

1.Область определения функции

2.Область значений функции

3.Промежутки сравнения с единицей

при x > 0,  > 1

при x > 0, 0<  < 1


при x < 0, 0<  < 1

при x < 0,  > 1

4.Чётность, нечётность.

Функция не является ни чётной, ни нечётной (функция общего вида).

5.Монотонность.

монотонно возрастает на R

монотонно убывает на R

6.Экстремумы.

Показательная функция экстремумов не имеет.

Ось Ox является горизонтальной асимптотой.

8. При любых действительных значениях x и y;



. Примеры:

Пример № 1. (Для нахождения области определения функции). Какие значения аргумента являются допустимыми для функций:


Пример № 2. (Для нахождения области значений функции). На рисунке изображен график функции. Укажите область определения и область значений функции:

Рис.

Пример № 3. (Для указания промежутков сравнения с единицей). Каждую из следующих степеней сравните с единицей:


Пример № 4. (Для исследования функции на монотонность). Сравнить по величине действительные числа m и n если:


Пример № 5. (Для исследования функции на монотонность). Сделайте заключение относительно основания a, если:


В одной координатной плоскости построены графики функций:

y(x) = 10x; f(x) = 6x; z(x) - 4x

Как располагаются графики показательных функций относительно друг друга при x > 0, x = 0, x < 0?

Рис.

Рис.

Таблица. Вывод:

при x < 0

чем больше значение основания степени, тем ближе к оси Ox располагается график показательной функции;

при x = 0

графики показательных функций пересекаются в одной точке (0;1);

при x > 0

чем больше значение основания степени, тем дальше от осиOx располагается график показательной функции.


Таблица. Вывод:

при x < 0

чем меньше значение основания степени, тем дальше от оси Ox располагается график показательной функции;

при x = 0

графики показательных функций пересекаются в одной точке (0;1);

при x > 0

чем меньше значение основания степени, тем ближе к осиOx располагается график показательной функции.


В одной координатной плоскости построены графики функций:

(x) = (0,1)x; f(x) = (0,5)x; z(x) = (0,8)x.

Как располагаются графики показательных функций относительно друг друга при x > 0, x = 0, x < 0?


Заключение

В данной курсовой работе по теме «Показательная функция» мною были рассмотрены ее понятие, основные свойства и графики.

Тема показательной функции, в общем, является одной из часто используемых в вычислениях и решении различных задач.

В работе были приведены примеры и задания, разные по сложности и по содержанию.

Курсовая работа, по моему мнению, выполнена в рамках методики преподавания математики и может быть использована как наглядное пособие для студентов дневного и заочного отделений.

Список литературы

.Колмогоров А.Н. «Алгебра и начала анализа» учебник для 10-11 кл. общеобр. учреждений.М.: Просвещение, 2001.

.К.О. Ананченко Г.Н. Петровский, «Алгебра и начала анализа», Мн., «Народная асвета», 1997 г.

.Алимов Ш.А., Колягин Ю.М. Сидоров Ю.В, «Алгебра и начала анализа», учебник для 10-11 классов общеобразовательных, Просвещение 2003г.

.Н.Я. Виленкин «Алгебра и математический анализ для 11 класса», М., «Просвещение», 1990 г.

Похожие работы на - Показательная функция: свойства и график

 

Не нашли материал для своей работы?
Поможем написать уникальную работу
Без плагиата!
Без нейросетей!