Основы криптографии
Министерство
образования и науки Российской Федерации
Государственное
образовательное учреждение высшего профессионального образования
Научно-Исследовательский
Университет «Южно-Уральский Государственный Университет»
Факультет
«Приборостроительный»
Кафедра
«Безопасность Информационных Систем»
Курсовая
работа
По
дисциплине «Криптография»
Челябинск
2012
Задание 1
=7, n=3,
найти неприводимый многочлен n-й
степени над полем GF(p)
и проверить его примитивность.
1.1 В поле GF(pn)
выписать все элементы
GF(pn) = {0; 1; 2; 3; 4;
5; 6; α;
α +1; α
+2; α
+3; α
+4; α
+5; α
+6; 2α;
2α +1; 2α
+2; 2α
+3; 2α
+4; 2α
+5; 2α
+6; 3α;
3α +1; 3α
+2; 3α
+3; 3α
+4; 3α
+5; 3α
+6; 4α;
4α +1; 4α
+2; 4α
+3; 4α
+4; 4α
+5; 4α
+6; 5α;
5α +1; 5α
+2; 5α
+3; 5α
+4; 5α
+5; 5α
+6; 6α;
6α +1; 6α
+2; 6α
+3; 6α
+4; 6α
+5; 6α
+6; α2;
α2+1;
α2+2;
α2+3;
α2+4;
α2+5;
α2+6;
α2+α;
α2+α
+1; α2+α
+2; α2+α
+3; α2+α
+4; α2+α
+5; α2+α
+6; α2+2α;
α2+2α
+1; α2+2α
+2; α2+2α
+3; α2+2α
+4; α2+2α
+5; α2+2α
+6; α2+3α;
α2+3α
+1; α2+3α
+2; α2+3α
+3; α2+3α
+4; α2+3α
+5; α2+3α
+6; α2+4α;
α2+4α
+1; α2+4α
+2; α2+4α
+3; α2+4α
+4; α2+4α
+5; α2+4α
+6; α2+5α;
α2+5α
+1; α2+5α
+2; α2+5α
+3; α2+5α
+4; α2+5α
+5; α2+5α
+6; α2+6α;
α2+6α
+1; α2+6α
+2; α2+6α
+3; α2+6α
+4; α2+6α
+5; α2+6α
+6; 2α2;
2α2+1;
2α2+2;
2α2+3;
2α2+4;
2α2+5;
2α2+6;
2α2+α;
2α2+α
+1; 2α2+α
+2; 2α2+α
+3; 2α2+α
+4; 2α2+α
+5; 2α2+α
+6; 2α2+2α;
2α2+2α
+1; 2α2+2α
+2; 2α2+2α
+3; 2α2+2α
+4; 2α2+2α
+5; 2α2+2α
+6; 2α2+3α;
2α2+3α
+1; 2α2+3α
+2; 2α2+3α
+3; 2α2+3α
+4; 2α2+3α
+5; 2α2+3α
+6; 2α2+4α;
2α2+4α
+1; 2α2+4α
+2; 2α2+4α
+3; 2α2+4α
+4; 2α2+4α
+5; 2α2+4α
+6; 2α2+5α;
2α2+5α
+1; 2α2+5α
+2; 2α2+5α
+3; 2α2+5α
+4; 2α2+5α
+5; 2α2+5α
+6; 2α2+6α;
2α2+6α
+1; 2α2+6α
+2; 2α2+6α
+3; 2α2+6α
+4; 2α2+6α
+5; 2α2+6α
+6; 3α2;
3α2+1;
3α2+2;
3α2+3;
3α2+4;
3α2+5;
3α2+6;
3α2+α;
3α2+α
+1; 3α2+α
+2; 3α2+α
+3; 3α2+α
+4; 3α2+α
+5; 3α2+α
+6; 3α2+2α;
3α2+2α
+1; 3α2+2α
+2; 3α2+2α
+3; 3α2+2α
+4; 3α2+2α
+5; 3α2+2α
+6; 3α2+3α;
3α2+3α
+1; 3α2+3α
+2; 3α2+3α
+3; 3α2+3α
+4; 3α2+3α
+5; 3α2+3α
+6; 3α2+4α;
3α2+4α
+1; 3α2+4α
+2; 3α2+4α
+3; 3α2+4α
+4; 3α2+4α
+5; 3α2+4α
+6; 3α2+5α;
3α2+5α
+1; 3α2+5α
+2; 3α2+5α
+3; 3α2+5α
+4; 3α2+5α
+5; 3α2+5α
+6; 3α2+6α;
3α2+6α
+1; 3α2+6α
+2; 3α2+6α
+3; 3α2+6α
+4; 3α2+6α
+5; 3α2+6α
+6; 4α2;
4α2+1;
4α2+2;
4α2+3;
4α2+4;
4α2+5;
4α2+6;
4α2+α;
4α2+α
+1; 4α2+α
+2; 4α2+α
+3; 4α2+α
+4; 4α2+α
+5; 4α2+α
+6; 4α2+2α;
4α2+2α
+1; 4α2+2α
+2; 4α2+2α
+3; 4α2+2α
+4; 4α2+2α
+5; 4α2+2α
+6; 4α2+3α;
4α2+3α
+1; 4α2+3α
+2; 4α2+3α
+3; 4α2+3α
+4; 4α2+3α
+5; 4α2+3α
+6; 4α2+4α;
4α2+4α
+1; 4α2+4α
+2; 4α2+4α
+3; 4α2+4α
+4; 4α2+4α
+5; 4α2+4α
+6; 4α2+5α;
4α2+5α
+1; 4α2+5α
+2; 4α2+5α
+3; 4α2+5α
+4; 4α2+5α
+5; 4α2+5α
+6; 4α2+6α;
4α2+6α
+1; 4α2+6α
+2; 4α2+6α
+3; 4α2+6α
+4; 4α2+6α
+5; 4α2+6α
+6; 5α2;
5α2+1;
5α2+2;
5α2+3;
5α2+4;
5α2+5;
5α2+6;
5α2+α;
5α2+α
+1; 5α2+α
+2; 5α2+α
+3; 5α2+α
+4; 5α2+α
+5; 5α2+α
+6; 5α2+2α;
5α2+2α
+1; 5α2+2α
+2; 5α2+2α
+3; 5α2+2α
+4; 5α2+2α
+5; 5α2+2α
+6; 5α2+3α;
5α2+3α
+1; 5α2+3α
+2; 5α2+3α
+3; 5α2+3α
+4; 5α2+3α
+5; 5α2+3α
+6; 5α2+4α;
5α2+4α
+1; 5α2+4α
+2; 5α2+4α
+3; 5α2+4α
+4; 5α2+4α
+5; 5α2+4α
+6; 5α2+5α;
5α2+5α
+1; 5α2+5α
+2; 5α2+5α
+3; 5α2+5α
+4; 5α2+5α
+5; 5α2+5α
+6; 5α2+6α;
5α2+6α
+1; 5α2+6α
+2; 5α2+6α
+3; 5α2+6α
+4; 5α2+6α
+5; 5α2+6α
+6; 6α2;
6α2+1;
6α2+2;
6α2+3;
6α2+4;
6α2+5;
6α2+6;
6α2+α;
6α2+α
+1; 6α2+α
+2; 6α2+α
+3; 6α2+α
+4; 6α2+α
+5; 6α2+α
+6; 6α2+2α;
6α2+2α
+1; 6α2+2α
+2; 6α2+2α
+3; 6α2+2α
+4; 6α2+2α
+5; 6α2+2α
+6; 6α2+3α;
6α2+3α
+1; 6α2+3α
+2; 6α2+3α
+3; 6α2+3α
+4; 6α2+3α
+5; 6α2+3α
+6; 6α2+4α;
6α2+4α
+1; 6α2+4α
+2; 6α2+4α
+3; 6α2+4α
+4; 6α2+4α
+5; 6α2+4α
+6; 6α2+5α;
6α2+5α
+1; 6α2+5α
+2; 6α2+5α
+3; 6α2+5α
+4; 6α2+5α
+5; 6α2+5α
+6; 6α2+6α;
6α2+6α
+1; 6α2+6α
+2; 6α2+6α
+3; 6α2+6α
+4; 6α2+6α
+5; 6α2+6α
+6}
1.2 В поле GF(pn)
найти примитивный элемент
Построение поля ведем по элементу α3+α
+1.
Примитивным будет
элемент
α2
+ 2.
1.3 Представить все ненулевые элементы поля GF(pn)
в виде степеней примитивного элемента
(α2
+ 2)1 = α2
+ 2
(α2
+ 2)2 = 3α2
+ 6α
+ 4
(α2
+ 2)3 = 3α
+ 2
(α2
+ 2)4 = 2α2+α
+3
(α2
+ 2)5 = 3α2
+ α
+ 6
(α2
+ 2)6 = 2α2
+ 5α
+ 4
(α2
+ 2)7 = 6α2
+ 3α
+ 3
(α2
+ 2)8 = 2α2
+
4α + 3
(α2
+ 2)9 = 5α2
+ 2α + 2
(α2
+ 2)10 = 4α
+ 2
(α2
+ 2)11 = 2α2
+
4α
(α2
+ 2)12 = 2α2+2α+3
(α2
+ 2)13 = 5α2+4
(α2
+ 2)14 = 2α2+2α+1
(α2
+ 2)15 = 3α2
(α2
+ 2)16 = 3α2+4α
(α2
+ 2)17 = 3α2+α
+3
(α2
+ 2)18 = 6α2+5α
+5
(α2
+ 2)19 = 4α2+6α
+ 5
(α2
+ 2)20 = 2α2+2α+4
(α2
+ 2)21 = 6α2+6
(α2
+ 2)22 = 5α2+α
+5
(α2
+ 2)23 = 3α2+3α
+2
(α2
+ 2)24 = 5α2+1
(α2
+ 2)25 = 6α2+2α
+2
(α2
+ 2)26 = α2+3α+2
(α2
+ 2)27 = 3α2+2α+1
(α2
+ 2)28 = 4α2+6α
(α2
+ 2)29 = 4α2+2α+1
(α2
+ 2)30 = 5α2+5α
(α2
+ 2)31 = 5α+2
(α2
+ 2)32 = 2α+4
(α2
+ 2)33 = 4α2+2α+6
(α2
+ 2)34 = 3α2+5α+3
(α2
+ 2)35 = 6α2+2α+1
(α2
+ 2)36 = 3α
(α2
+ 2)37 = 3α+4
(α2
+ 2)38 = 4α2+3α+5
(α2
+ 2)39 = 2α2+6α
(α2
+ 2)40 = 2α2+4α+1
(α2
+ 2)41 = 3α2+2α+5
(α2
+ 2)42 = α2+6α+1
(α2
+ 2)43 = 2α2+5α+3
(α2
+ 2)44 = 5α2+3α+1
(α2
+ 2)45 = 6α2+5α+6
(α2
+ 2)46 = 5α2+6α
(α2
+ 2)47 = 5α2+α+1
(α2
+ 2)48 = 6α2+3α+1
(α2
+ 2)49 = 4α+6
(α2
+ 2)50 = 6α2+4α+1
(α2
+ 2)51 = 5α+5
(α2
+ 2)52 = 5α2+5α+5
(α2
+ 2)53 = 3α2+5
(α2
+ 2)54 = α2+4α+3
(α2
+ 2)55 = 4α2+3α+2
(α2
+ 2)56 = 6α2+6α+1
(α2
+ 2)57 = 3
(α2
+ 2)58 = 3α2+6
(α2
+ 2)59 = 2α2+4α+5
(α2
+ 2)60 = 2α+6
(α2
+ 2)61 = 6α2+2α+3
(α2
+ 2)62 = 2α2+3α+4
(α2
+ 2)63 = 6α2+α+5
(α2
+ 2)64 = 4α2+2α+2
(α2
+ 2)65 = 6α2+5α+2
(α2
+ 2)66 = α2+6α+6
(α2
+ 2)67 = 5α+6
(α2
+ 2)68 = 6α2+5α
(α2
+ 2)69 = 6α2+6α+2
(α2
+ 2)70 = α2+5
(α2
+ 2)71 = 6α2+6α+3
(α2
+ 2)72 = 2α2
(α2
+ 2)73 = 2α2+5α
(α2
+ 2)74 = 2α2+3α+2
(α2
+ 2)75 = 4α2+α+1
(α2
+ 2)76 = 5α2+4α+1
(α2
+ 2)77 = 6α2+6α+5
(α2
+ 2)78 = 4α2+4
(α2
+ 2)79 = α2+3α+1
(α2
+ 2)80 = 2α2+2α+6
(α2
+ 2)81 = α2+3
(α2
+ 2)82 = 4α2+6α+6
(α2
+ 2)83 = 3α2+2α+6
(α2
+ 2)84 = 2α2+6α+3
(α2
+ 2)85 = 5α2+4α
(α2
+ 2)86 = 5α2+6α+3
(α2
+ 2)87 = α2+α
(α2
+ 2)88 = α2+6
(α2
+ 2)89 = 6α+5
(α2
+ 2)90 = 5α2+6α+4
(α2
+ 2)91 = 2α2+α+2
(α2
+ 2)92 = 4α2+6α+3
(α2
+ 2)93 = 2α
(α2
+ 2)94 = 2α+5
(α2
+ 2)95 = 5α2+2α+1
(α2
+ 2)96 = 6α2+4α
(α2
+ 2)97 = 6α2+5α+3
(α2
+ 2)98 = 2α2+6α+1
(α2
+ 2)99 = 3α24α+3
(α2
+ 2)100 = 6α2+α+2
(α2
+ 2)101 = α2+2α+3
(α2
+ 2)102 = 4α2+α+4
(α2
+ 2)103 = α2+4α
(α2
+ 2)104 = α2+3α+3
(α2
+ 2)105 = 4α2+2α+3
(α2
+ 2)106 = 5α+4
(α2
+ 2)107 = 4α2+5α+3
(α2
+ 2)108 = α+1
(α2
+ 2)109 = α2+α+1
(α2
+ 2)110 = 2α2+1
(α2
+ 2)111 = 3α2+5α+2
(α2
+ 2)112 = 5α2+2α+6
(α2
+ 2)113 = 4α2+4α+3
(α2
+ 2)114 = 2
(α2
+ 2)115 = 2α2+4
(α2
+ 2)116 = 6α2+5α+1
(α2
+ 2)117 = 6α+4
(α2
+ 2)118 = 4α2+6α+2
(α2
+ 2)119 = 6α2+2α+5
(α2
+ 2)120 = 4α2+3α+1
(α2
+ 2)121 = 5α2+6α+6
(α2
+ 2)122 = 4α2+α+6
(α2
+ 2)123 = 3α2+4α+4
(α2
+ 2)124 = α+4
(α2
+ 2)125 = 4α2+α
(α2
+ 2)126 = 4α2+4α+6
(α2
+ 2)127 = 3α2+1
(α2
+ 2)128 = 4α2+4α+2
(α2
+ 2)129 = 6α2
(α2
+ 2)130 = 6α2+α
(α2
+ 2)131 = 6α2+2α+6
(α2
+ 2)132 = 5α2+3α+3
(α2
+ 2)133 = α2+5α+3
(α2
+ 2)134 = 4α2+4α+1
(α2
+ 2)135 = 5α2+5
(α2
+ 2)136 = 3α2+2α+3
(α2
+ 2)137 = 6α2+6α+4
(α2
+ 2)138 = 3α2+2
(α2
+ 2)139 = 5α2+4α+4
(α2
+ 2)140 = 2α2+6α+4
(α2
+ 2)141 = 6α2+4α+2
(α2
+ 2)142 = α2+5α
(α2
+ 2)143 = α2+4α+2
(α2
+ 2)144 = 3α2+3α
(α2
+ 2)145 = 3α2+4
(α2
+ 2)146 = 4α+1
(α2
+ 2)147 = α2+4α+5
(α2
+ 2)148 = 6α2+3α+6
(α2
+ 2)149 = 5α2+4α+2
(α2
+ 2)150 = 6α
(α2
+ 2)151 = 6α+1
(α2
+ 2)152 = α2+6α+3
(α2
+ 2)153 = 4α2+5α
(α2
+ 2)154 = 4α2+α+2
(α2
+ 2)155 = 6α2+4α+3
(α2
+ 2)156 = 2α2+5α+2
(α2
+ 2)157 = 4α2+3α+6
(α2
+ 2)158 = 3α2+6α+2
(α2
+ 2)159 = 5α2+3α+5
(α2
+ 2)160 = 3α2+5α
(α2
+ 2)161 = 3α2+2α+2
(α2
+ 2)162 = 5α2+6α+2
(α2
+ 2)163 = α+5
(α2
+ 2)164 = 5α2+α+2
(α2
+ 2)165 = 3α+3
(α2
+ 2)166 = 3α2+3α+3
(α2
+ 2)167 = 6α2+3
(α2
+ 2)168 = 2α2+α+6
(α2
+ 2)169 = α2+6α+4
(α2
+ 2)170 = 5α2+5α+2
(α2
+ 2)171 = 6
(α2
+ 2)172 = 6α2+5
(α2
+ 2)173 = 4α2+α+3
(α2
+ 2)174 = 4α+5
(α2
+ 2)175 = 5α2+4α+6
(α2
+ 2)176 = 4α2+6α+1
(α2
+ 2)177 = 5α2+2α+3
(α2
+ 2)178 = α2+4α+4
(α2
+ 2)179 = 5α2+3α+4
(α2
+ 2)180 = 2α2+5α+5
(α2
+ 2)181 = 3α+5
(α2
+ 2)182 = 5α2+3α
(α2
+ 2)183 = 5α2+5α+4
(α2
+ 2)184 = 2α2+3
(α2
+ 2)185 = 5α2+5α+6
(α2
+ 2)186 = 4α2
(α2
+ 2)187 = 4α2+3α
(α2
+ 2)188 = 4α2+6α+4
(α2
+ 2)189 = α2+2α+2
(α2
+ 2)190 = 3α2+α+2
(α2
+ 2)191 = 5α2+5α+3
(α2
+ 2)192 = α2+1
(α2
+ 2)193 = 2α2+6α+2
(α2
+ 2)194 = 4α2+4α+5
(α2
+ 2)195 = 2α2+6
(α2
+ 2)196 = α2+5α+5
(α2
+ 2)197 = 6α2+4α+5
(α2
+ 2)198 = 4α2+5α+6
(α2
+ 2)199 = 3α2+α
(α2
+ 2)200 = 3α2+5α+6
(α2
+ 2)201 = 2α2+2α
(α2
+ 2)202 = 2α2+5
(α2
+ 2)203 = 5α+3
(α2
+ 2)204 = 3α2+5α+1
(α2
+ 2)205 = 4α2+2α+4
(α2
+ 2)206 = α2+5α+6
(α2
+ 2)207 = 4α
(α2
+ 2)208 = 4α+3
(α2
+ 2)209 = 3α2+4α+2
(α2
+ 2)210 = 5α2+α
(α2
+ 2)211 = 5α2+3α+6
(α2
+ 2)212 = 4α2+5α+2
(α2
+ 2)213 = 6α2+α+6
(α2
+ 2)214 = 5α2+2α+4
(α2
+ 2)215 = 2α2+4α+6
(α2
+ 2)216 = α2+2α+1
(α2
+ 2)217 = 2α2+α
(α2
+ 2)218 = 2α2+6α+6
(α2
+ 2)219 = α2+4α+6
(α2
+ 2)220 = 3α+1
(α2
+ 2)221 = α2+3α+6
(α2
+ 2)222 = 2α+2
(α2
+ 2)223 = 2α2+2α+2
(α2
+ 2)224 = 4α2+2
(α2
+ 2)225 = 6α2+3α+4
(α2
+ 2)226 = 3α2+4α+5
(α2
+ 2)227 = α2+α+6
(α2
+ 2)228 = 4
(α2
+ 2)229 = 4α2+1
(α2
+ 2)230 = 5α2+3α+1
(α2
+ 2)231 = 5α+1
(α2
+ 2)232 = α2+5α+4
(α2
+ 2)233 = 5α2+4α+3
(α2
+ 2)234 = α2+6α+2
(α2
+ 2)235 = 3α2+5α+5
(α2
+ 2)236 = α2+2α+5
(α2
+ 2)237 = 6α2+α+1
(α2
+ 2)238 = 2α+1
(α2
+ 2)239 = α2+2α
(α2
+ 2)240 = α2+α+5
(α2
+ 2)241 = 6α2+2
(α2
+ 2)242 = α2+α+4
(α2
+ 2)243 = 5α2
(α2
+ 2)244 = 5α2+2α
(α2
+ 2)245 = 5α2+4α+5
(α2
+ 2)246 = 3α2+6α+6
(α2
+ 2)247 = 2α2+3α+6
(α2
+ 2)248 = α2+α+2
(α2
+ 2)249 = 5α+1
(α2
+ 2)250 = 6α2+4α+6
(α2
+ 2)251 = 5α2+5α+1
(α2
+ 2)252 = 6α2+4
(α2
+ 2)253 = 3α2+α+1
(α2
+ 2)254 = 4α2+5α+1
(α2
+ 2)255 = 5α2+α+4
(α2
+ 2)256 = 2α2+3α
(α2
+ 2)257 = 2α2+α+4
(α2
+ 2)258 = 6α2+6α
(α2
+ 2)259 = 6α2+1
(α2
+ 2)260 = α+2
(α2
+ 2)261 = 2α2+1α+3
(α2
+ 2)262 = 5α2+6α+5
(α2
+ 2)263 = 3α2+α+4
(α2
+ 2)264 = 5α
(α2
+ 2)265 = 5α+2
(α2
+ 2)266 = 2α2+5α+6
(α2
+ 2)267 = α2+3α
(α2
+ 2)268 = α2+2α+4
(α2
+ 2)269 = 5α2+α+6
(α2
+ 2)270 = 4α2+3α+4
(α2
+ 2)271 = α2+6α+5
(α2
+ 2)272 = 6α2+5α+4
(α2
+ 2)273 = 3α2+6α+3
(α2
+ 2)274 = 6α2+3α
(α2
+ 2)275 = 6α2+4α+4
(α2
+ 2)276 = 3α2+5α+4
(α2
+ 2)277 = 2α+3
(α2
+ 2)278 = 3α2+2α+4
(α2
+ 2)279 = 6α+6
(α2
+ 2)280 = 6α2+6α+6
(α2
+ 2)281 = 5α2+6
(α2
+ 2)282 = 4α2+2α+5
(α2
+ 2)283 = 2α2+5α+1
(α2
+ 2)284 = 3α2+3α+4
(α2
+ 2)285 = 5
(α2
+ 2)286 = 5α2+3
(α2
+ 2)287 = α2+2α+6
(α2
+ 2)288 = α+3
(α2
+ 2)289 = 3α2+α+5
(α2
+ 2)290 = α2+5α+2
(α2
+ 2)291 = 3α2+4α+6
(α2
+ 2)292 = 2α2+α+1
(α2
+ 2)293 = 3α2+6α+1
(α2
+ 2)294 = 4α2+3α+3
(α2
+ 2)295 = 6α+3
(α2
+ 2)296 = 3α2+6α
(α2
+ 2)297 = 3α2+3α+1
(α2
+ 2)298 = 4α2+6
(α2
+ 2)299 = 3α2+3α+5
(α2
+ 2)300 = α2
(α2
+ 2)301 = α2+6α
(α2
+ 2)302 = α2+5α+1
(α2
+ 2)303 = 2α2+4α+4
(α2
+ 2)304 = 6α2+2α+4
(α2
+ 2)305 = 3α2+3α+6
(α2
+ 2)306 = 2α2+2
(α2
+ 2)307 = 4α2+5α+4
(α2
+ 2)308 = α2+α+3
(α2
+ 2)309 = 4α2+5
(α2
+ 2)310 = 2α2+3α+3
(α2
+ 2)311 = 5α2+α+3
(α2
+ 2)312 = α2+3α+5
(α2
+ 2)313 = 6α2+2α
(α2
+ 2)314 = 6α2+3α+5
(α2
+ 2)315 = 4α2+4α
(α2
+ 2)316 = 4α2+3
(α2
+ 2)317 = 3α+6
(α2
+ 2)318 = 6α2+3α+2
(α2
+ 2)319 = α2+4α+1
(α2
+ 2)320 = 2α2+3α+5
(α2
+ 2)321 = α
(α2
+ 2)322 = α+6
(α2
+ 2)323 = 6α2+α+4
(α2
+ 2)324 = 3α2+2α
(α2
+ 2)325 = 3α2+6α+5
(α2
+ 2)326 = α2+3α+4
(α2
+ 2)327 = 5α2+2α+5
(α2
+ 2)328 = 3α2+4α+1
(α2
+ 2)329 = 4α2+α+5
(α2
+ 2)330 = 2α2+4α+2
(α2
+ 2)331 = 4α2+2α
(α2
+ 2)332 = 4α2+5α+5
(α2
+ 2)333 = 2α2+α+5
(α2
+ 2)334 = 6α+2
(α2
+ 2)336 = 4α+4
(α2
+ 2)337 = 4α2+4α+4
(α2
+ 2)338 = α2+4
(α2
+ 2)339 = 5α2+6α+1
(α2
+ 2)340 = 6α2+α+3
(α2
+ 2)341 = 2α2+2α+5
(α2
+ 2)342 = 1
.4 Составить таблицу логарифма Якоби
|
m
|
(m)
|
|
0
|
114
|
|
1
|
81
|
|
2
|
325
|
|
3
|
165
|
|
4
|
74
|
|
5
|
199
|
|
6
|
180
|
|
7
|
225
|
|
8
|
303
|
|
9
|
177
|
|
10
|
208
|
|
11
|
40
|
|
12
|
20
|
|
13
|
135
|
|
14
|
223
|
|
15
|
127
|
|
16
|
328
|
|
17
|
263
|
|
18
|
45
|
|
19
|
82
|
|
20
|
341
|
|
21
|
129
|
|
22
|
269
|
|
23
|
166
|
|
24
|
31
|
|
25
|
61
|
|
26
|
104
|
|
27
|
161
|
|
m
|
(m)
|
|
28
|
176
|
|
29
|
64
|
|
30
|
251
|
|
31
|
286
|
|
32
|
94
|
|
33
|
331
|
|
34
|
276
|
|
35
|
25
|
|
36
|
220
|
|
37
|
181
|
|
38
|
157
|
|
39
|
98
|
|
40
|
330
|
|
41
|
83
|
|
42
|
234
|
|
43
|
6
|
|
44
|
230
|
|
45
|
68
|
|
46
|
339
|
|
47
|
164
|
|
48
|
318
|
|
49
|
207
|
|
50
|
141
|
|
51
|
67
|
|
52
|
185
|
|
53
|
58
|
|
54
|
178
|
|
55
|
294
|
|
56
|
69
|
|
57
|
228
|
|
58
|
15
|
|
59
|
215
|
|
60
|
93
|
|
61
|
304
|
|
62
|
320
|
|
63
|
213
|
|
64
|
105
|
|
65
|
97
|
|
66
|
301
|
|
67
|
264
|
|
68
|
116
|
|
69
|
71
|
|
70
|
88
|
|
71
|
137
|
|
72
|
110
|
|
73
|
283
|
|
74
|
310
|
|
75
|
154
|
|
76
|
149
|
|
77
|
280
|
|
78
|
309
|
|
79
|
26
|
|
80
|
201
|
|
81
|
338
|
|
82
|
28
|
|
83
|
324
|
|
84
|
140
|
|
85
|
76
|
|
86
|
90
|
|
87
|
109
|
|
88
|
300
|
|
89
|
279
|
|
90
|
262
|
|
91
|
261
|
|
92
|
188
|
|
93
|
238
|
|
94
|
60
|
|
95
|
9
|
|
96
|
50
|
|
97
|
272
|
|
98
|
193
|
|
99
|
123
|
|
100
|
340
|
|
101
|
268
|
|
102
|
329
|
|
103
|
319
|
|
104
|
326
|
|
105
|
205
|
|
106
|
51
|
|
107
|
307
|
|
108
|
260
|
|
109
|
248
|
|
110
|
306
|
|
111
|
34
|
|
112
|
244
|
|
113
|
337
|
|
114
|
57
|
|
115
|
202
|
|
116
|
65
|
|
117
|
89
|
|
118
|
92
|
|
119
|
131
|
|
120
|
55
|
|
121
|
46
|
|
122
|
125
|
|
123
|
226
|
|
124
|
163
|
|
125
|
75
|
|
126
|
315
|
|
127
|
138
|
|
128
|
113
|
|
129
|
259
|
|
130
|
237
|
|
131
|
313
|
|
132
|
179
|
|
133
|
232
|
|
134
|
128
|
|
135
|
281
|
|
136
|
278
|
|
137
|
77
|
|
138
|
249
|
|
139
|
245
|
|
140
|
335
|
|
141
|
155
|
|
142
|
302
|
|
143
|
54
|
|
144
|
297
|
|
145
|
53
|
|
146
|
10
|
|
147
|
219
|
|
148
|
274
|
|
149
|
233
|
|
150
|
151
|
|
151
|
334
|
|
152
|
169
|
|
153
|
254
|
|
154
|
173
|
|
155
|
275
|
|
156
|
43
|
|
157
|
187
|
|
158
|
273
|
|
159
|
211
|
|
160
|
204
|
|
161
|
136
|
|
162
|
86
|
|
163
|
322
|
|
164
|
311
|
|
165
|
37
|
|
166
|
284
|
|
167
|
252
|
|
168
|
217
|
271
|
|
170
|
191
|
|
171
|
-
|
|
172
|
21
|
|
173
|
102
|
|
174
|
49
|
|
175
|
85
|
|
176
|
118
|
|
177
|
214
|
|
178
|
147
|
|
179
|
159
|
|
180
|
266
|
|
181
|
317
|
|
182
|
44
|
|
183
|
52
|
|
184
|
115
|
|
185
|
30
|
|
186
|
229
|
|
187
|
120
|
|
188
|
19
|
|
189
|
101
|
|
190
|
17
|
|
191
|
183
|
|
192
|
1
|
|
193
|
84
|
|
194
|
126
|
|
195
|
72
|
|
196
|
206
|
|
197
|
250
|
|
198
|
153
|
|
199
|
253
|
|
200
|
160
|
|
201
|
14
|
|
202
|
195
|
|
203
|
106
|
|
204
|
111
|
|
205
|
282
|
|
206
|
142
|
|
207
|
146
|
|
208
|
336
|
|
209
|
99
|
|
210
|
47
|
|
211
|
182
|
|
212
|
107
|
|
213
|
130
|
|
214
|
327
|
|
215
|
11
|
|
216
|
189
|
|
217
|
292
|
|
218
|
39
|
|
219
|
103
|
|
220
|
3
|
|
221
|
267
|
|
222
|
277
|
|
223
|
12
|
|
224
|
316
|
|
225
|
314
|
|
226
|
291
|
|
227
|
87
|
|
228
|
285
|
|
229
|
224
|
|
230
|
132
|
|
231
|
265
|
|
232
|
196
|
|
233
|
139
|
|
234
|
152
|
|
235
|
200
|
|
236
|
287
|
|
237
|
100
|
|
238
|
222
|
|
239
|
216
|
|
240
|
227
|
|
241
|
167
|
|
242
|
240
|
|
243
|
24
|
|
244
|
95
|
|
245
|
175
|
|
246
|
296
|
|
247
|
256
|
|
248
|
308
|
|
249
|
145
|
|
250
|
96
|
|
251
|
170
|
|
252
|
172
|
|
253
|
190
|
|
254
|
212
|
|
255
|
22
|
|
256
|
4
|
|
257
|
333
|
|
258
|
56
|
|
259
|
241
|
|
260
|
288
|
|
261
|
257
|
|
262
|
121
|
|
263
|
289
|
|
264
|
231
|
|
265
|
203
|
|
266
|
73
|
|
267
|
79
|
|
268
|
236
|
|
269
|
210
|
|
270
|
38
|
|
271
|
66
|
|
272
|
18
|
|
273
|
2
|
|
274
|
48
|
|
275
|
197
|
|
276
|
235
|
|
277
|
32
|
|
278
|
41
|
|
279
|
150
|
|
280
|
258
|
|
281
|
243
|
|
282
|
33
|
|
283
|
156
|
|
284
|
299
|
|
285
|
171
|
|
286
|
13
|
|
287
|
239
|
|
288
|
124
|
|
289
|
5
|
|
290
|
133
|
|
291
|
16
|
|
292
|
91
|
|
293
|
158
|
|
294
|
270
|
|
295
|
117
|
|
296
|
293
|
|
297
|
23
|
|
298
|
186
|
|
299
|
305
|
|
300
|
192
|
|
301
|
42
|
|
302
|
290
|
|
303
|
59
|
|
304
|
119
|
|
305
|
144
|
|
306
|
184
|
|
307
|
332
|
|
308
|
242
|
|
309
|
298
|
|
310
|
62
|
|
311
|
255
|
|
312
|
221
|
|
313
|
35
|
|
314
|
148
|
|
315
|
134
|
|
316
|
78
|
|
317
|
36
|
|
318
|
7
|
|
319
|
143
|
|
320
|
247
|
|
321
|
108
|
|
322
|
321
|
|
323
|
63
|
|
324
|
27
|
|
325
|
246
|
|
326
|
312
|
|
327
|
112
|
|
328
|
209
|
|
329
|
122
|
|
330
|
8
|
|
331
|
29
|
|
332
|
198
|
|
333
|
168
|
|
334
|
295
|
|
335
|
218
|
|
336
|
174
|
|
337
|
194
|
|
338
|
70
|
|
339
|
162
|
|
340
|
323
|
|
341
|
80
|
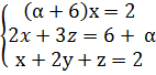
1.5 В поле GF(pn)
решить систему линейных уравнений
Учитывая, что:
а - количество букв в фамилии (Суворов) = 7 (mod
7) = 0
b - количество букв
в имени (Никита) = 6
Система уравнений приобретает вид:
Решение:
1) x(α
+ 1) = 2= 2(α
+ 1)-1 = 2(α2+6α+2)
= 2α2
+
5α +
4
) 2x + 3z = 6 + α=
(6 + α
+ 5x) * 3-1 = (6 + α
+ 5(2α2
+ 5α + 4)) * 5 =
(6 + α
+ 3α2
+ 4α + 6) *5 = =
(3α2
+ 5α + 5) * 5 = α2
+ 4α + 4
) x + 2y + z = 2= (2 + 6x +
6z) * 2-1 = (2 + 6(2α2
+ 5α + 4) + 6(α2
+ 4α + 4)) * 4 =
(2 + 5α2
+ 2α + 3 + + 6α2
+ 3α +3) * 4 = (4α2
+ 5α + 1) * 4 = 2α2
+ 6α + 4
Ответ: (2α2
+ 5α + 4, 2α2
+ 6α + 4, α2
+ 4α + 4)
1.6. В поле GF(pn)
найти элемент обратный по умножению к α
+ c (mod
p) при помощи
примитивного элемента и перепроверить по методу Евклида.
α + с = α
+ 2
(α + 2)-1
= 4α2
+ 6α
+ 6
Проверка алгоритмом Евклида:
f(α)
= α3
+ α
+ 1
g(α)
= α
+ 2
f(α)
= (α2+5α+5)
* g(α)
+ 5
g(α)
= 3α
* 5 + 2
= 2 * 2 + 1
= 5 - 2 * 2
= g(α)
- 3α
* 5
= f(α)
-
(α2+5α+5)
* g(α)
1 = 5 - 2 * 2 = 5 - 2 * (g(α)
- 3α
* 5) = (6α+1) * 5 + 5 * g(α)
= (6α+1)
* (f(α)
-
(α2+5α+5)
* * g(α))
+ 5 * g(α)
= (6α+1)
* f(α)
+ (α3+5α2+5α+6α2+2α+2+5)
* g(α)
= 0
+ (4α2+6α+6)
* * g(α)
= (g(α))-1
* g(α)
(g(α))-1
= 4α2+6α+6
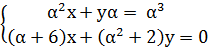
1.7 В поле GF(pn),
используя примитивный элемент и логарифм Якоби, решить систему уравнений
При а = 7, b
= 6, c = 9, система
приобретает вид:
1) α2х
+ αу
= α3
αх + у = α2
у = α2
+ 6αх
2) (α + 6)х + (α2
+2 )у = 0
(α + 6)х + (α2
+2 ) * (α2
+ 6αх)
= 0
αх + 6х + α4
+ 6α3х
+ 2α2
+ 5αх
= 0
6α2
+ 6α
+ 5α
+ 5 + 2α2
+ 6αх
+ 6х = 0
α2
+ 4α
+ 5 + х * (6α + 6) = 0
х * (6α
+ 6) = 6α2
+ 3α
+ 2
х = (6α2
+ 3α
+ 2) * (6α
+ 6)-1 = (6α2
+ 3α
+ 2) * (6α2
+ α
+ 5) = 2α2
+ 6α
у = α2
+ 6αх
= α2
+ 5α3
+ α2
= 2α2
+ 2α
+ 2
Ответ: (2α2
+ 6α,
2α2
+ 2α
+ 2)
.8 По формуле быстрого возведения в степень
вычислить αb+c
(mod 701)
α6+9
= α15
= α
* α2
* α4
* α8
Вероятно, в задании под α
подразумевался примитивный элемент в поле GF(701),
так как число 701 не является степенью другого числа, то есть это поле
не является расширением меньшего поля, и, следовательно, в нем не может быть
элемента α. В таком случае,
примитивный элемент для этого поля будет:
α = 2
α2
= 4
α4
= 16
α8
= 256
α15
= α
* α2
* α4
* α8
= 2 * 4 * 16 * 256 (mod
701) = 522
Задание 2
Над полем GF(2)
методом Гаусса найти определитель матрицы А размера n
x n,
состоящей из младших разрядов двоичного разложения числа abс,
сдвинутого циклически.
abc = 101111010
А =
|A|
= 1 * 1 * 1 = 1
Методом Гаусса найти характеристический
многочлен матрицы А.
Характеристический многочлен f(λ):
(λ)
= |A - λE|
=
=
λ3
+ 0 + 1 - 0 - λ - λ
= λ3
+ 1
Разложить многочлен f(λ)
над полем GF(2) на
неприводимые множители и найти его корни.
(λ) = λ3
+ 1 = (λ2
+ λ
+ 1)( λ
+ 1)
λ2
+ λ
+ 1 = 0 - корней не имеет
λ + 1 = 0
λ = 1
Ответ: 1.
Найти собственные вектора для всех собственных
значений матрицы А.
А =
Определим координаты собственного вектора:
= λ3
+ 1
Находим корни:
λ3+1=0
λ = 1
Подставляем в систему:
Ранг матрицы системы линейных уравнений = 2,
следовательно, зависимых переменных две, свободная одна.
Пусть
-
свободная переменная, тогда:
логарифм линейный уравнение вектор
Ф.С.Р:
Таким образом, все собственные векторы матрицы
А:
(1, 1, 0), (0, 0, 0)
Разложить на неприводимые множители над полем GF(2)
многочлен f(x).
задание разложить многочлен есть, а самого
многочлена в задании нет
Найти элемент, обратный по умножению
к элементу
в поле GF(27).
λ(α) = α7 + α6 + α9
Построим поле, используя элемент α7 + α3 + 1
(x) = x7 + x3 + 1
f(x) ≠ 0
f(α) = 0
α7 + α3 + 1 = 0
α7 = α3 + 1
α8 = α4 + α
α9 = α5 + α2
α10 = α6 + α3
α11 = α4 + α3 + 1
Элемент, которому ищем обратный,
будет иметь вид:
λ(α) = α7 + α6 + α9 = α6 + α5 + α3 + α2 + 1
Найдем обратный, используя алгоритм
Евклида:
f(α) = (α + 1) * λ(α) + (α5 + α4 + α3 + α2 + α)
λ(α) = α * (α5 + α4 + α3 + α2 + α) + (α4 + 1)
(α5 + α4 + α3 + α2 + α) = (α + 1) * (α4 + 1) + (α3 + α2 + 1)
(α4 + 1) = (α + 1) * (α3 + α2 + 1) + (α2 + α)
(α3 + α2 + 1) = α * (α2 + α) + 1
= (α3 + α2 + 1) + α * (α2 + α)
1 = (α3 + α2 + 1) + α * (α2 + α) = (α3 + α2 + 1) + α * [(α4 + 1) + (α + 1) * (α3 + α2 + 1)] = = α * (α4 + 1) + (α2 + α + 1) * (α3 + α2 + 1) = α * (α4 + 1) + (α2 + α + 1) * [(α5 + α4 + α3 + α2 +
+ α) + (α + 1) * (α4 + 1)] = (α2 + α + 1) * (α5 + α4 + α3 + α2 + α) + (α3 + α + 1) * (α4 + 1) =
= (α2 + α + 1) * (α5 + α4 + α3 + α2 + α) + (α3 + α + 1) * [λ(α) + α * (α5 + α4 + α3 + α2 + α)] =
= (α3 + α + 1) * λ(α) + (α4 + 1) * (α5 + α4 + α3 + α2 + α) = (α3 + α + 1) * λ(α) + (α4 + 1) *
* [f(α) + (α + 1) * λ(α)] = (α4 + 1) * f(α) + (α5 + α4 + α3) * λ(α) = 0 + (α5 + α4 + α3) * λ(α) =
= (λ(α))-1 * λ(α)
Обратный по умножению для α6 + α5 + α3 + α2 + 1 будет α5 + α4 + α3
Проверка:
(α6 + α5 + α3 + α2 + 1) * (α5 + α4 + α3) = α11 + α10 + α8 + α7 + α5 + α10 + α9 + α7 + α6 +
+ α4 + α9 + α8 + α6 + α5 + α3 = α11 + α4 + α3 = α4 + α3 + 1 + α4 + α3 = 1
Проверка показала, что найденный
элемент является искомым
Найти порядок элемента λ(α)
α7 = α3 + 1
α8 = α4 + α
α9 = α5 + α2
α10 = α6 + α3
α11 = α4 + α3 + 1
α12 = α5 + α4 + α
α20 = (α6 + α3) * (α6 + α3) = α12 + α9 + α9 + α6 = α6 + α5 + α4 + α
α21 = α20 * α = (α6 + α5 + α4 + α) * α = α7 + α6 + α5 + α2 = α3 + 1 + α6 + α5 + α2 =
= α6 + α5 + α3 + α2 + 1
λ(α) = α21
Найти в какой степени элемент αс станет
равным элементу α
αс = α9
(α9)2
= α6 + α4 + α3
(α9)4
= α6 + α5
(α9)8
= (α9)4
* (α9)4
= α6 + α5 + α4 + α3 + α
(α9)16
= (α9)8
* (α9)8
= α5 + α3 + α2
(α9)32
= (α9)16
* (α9)16
= α4 + α3
(α9)64
= (α9)32
* (α9)32
= α6 + α4 + 1
(α9)96
= (α9)64
* (α9)32
= α6 + α2 + α + 1
(α9)112
= (α9)96
* (α9)16
= α6 + α5 + α
(α9)113
= (α9)112
* α9 = α
(α9)113
= α
Ответ: в 113 степени.
Задание 3
sn+b
=
sn+b-2
+
sn
sn+6
=
sn+4
+ sn
Нарисовать электронную схему последовательности.
Найти характеристический многочлен
последовательности и разложить его на множители.
n+6 =
Sn+4 + Sn
Sn+6 - Sn-4 -
Sn = 0
В таком случае характеристическое уравнение
будет иметь вид:
х6 - х4 - 1 = 0
Вероятнее всего (учитывая последующие задания и
использование регистров сдвига для моделирования последовательности), все
вычисления проводятся не в поле действительных (или комплексных) чисел, а в
поле GF(2k+1),
то есть в поле GF(27).
В задании явно не указано, в каком поле проводить вычисления. Данный многочлен
имеет в поле действительных чисел 2 корня, и 4 корня в поле комплексных чисел.
Решение последующих заданий (а именно 3.4, 3.5, 3.6) возможно только в поле GF(27),
поэтому дальнейшее решение будет представлено для этого поля.
В таком случае характеристическое уравнение
примет вид:
х6 + х4 + 1 = 0
И разложится на множители до неприводимых
элементов:
(х3 + х2 + 1)2
= 0
Найти явную формулу для n-го
члена рекуррентной последовательности
Явная формула для n-го
члена рекуррентной последовательности:
n
= β1
+ β2
+ β3
+ β4
+ β5
+ β6
Где α1,
α2,
α3,
α4,
α5,
α6
- корни характеристического уравнения. В поле GF(27)
характеристическое уравнение решений не имеет, следовательно невозможно
записать явное уравнение n-го
члена через формулу. Для поля комплексных чисел, где могут быть найдены корни
уравнения х6 - х4 - 1 = 0, можно записать явную формулу n-го
члена. Корни уравнения будут:
α1
= 1,211
α2
= -1,211
α3
= 0,74 + 0,53i
α4
= 0,74 + 0,53i
α5
= 0,74 - 0,53i
α6
= 0,74 - 0,53i
Среди корней присутствуют кратные, значит явная
формула n-го члена примет
общий вид:
n
=
β1,
β2,
β3,
β4,
β5,
β6
находятся при решении системы уравнений:
Решить эту систему не представляется возможным,
так как не известны первые k
членов последовательности (S0,
S1,
S2,
S3,
S4,
S5)
- вектор инициализации. Явная формула n-го
члена последовательности в таком случае будет иметь вид:
Sn =
Найти период последовательности
«в лоб»
- шаг 1
- шаг 2
- шаг 3
- шаг 4
- шаг 5
- шаг 6
- шаг 7
- шаг 8
- шаг 9
- шаг 10
- шаг 11
- шаг 12
- шаг 13
- шаг 14
- шаг 15
- шаг 16
- шаг 17
- шаг 18
- шаг 19
- шаг 20
- шаг 21
- шаг 22
- шаг 23
- шаг 24
- шаг 25
- шаг 26
- шаг 27
- шаг 28
- шаг 29
- шаг 30
- шаг 31
- шаг 32
- шаг 33
- шаг 34
- шаг 35
- шаг 36
- шаг 37
- шаг 38
- шаг 39
- шаг 40
- шаг 41
- шаг 42
- шаг 43
- шаг 44
- шаг 45
- шаг 46
- шаг 47
- шаг 48
- шаг 49
- шаг 50
- шаг 51
- шаг 52
- шаг 53
- шаг 54
- шаг 55
- шаг 56
- шаг 57
- шаг 58
- шаг 59
- шаг 60
- шаг 61
- шаг 62
- шаг 63
- шаг 64
- шаг 65
- шаг 66
- шаг 67
- шаг 68
- шаг 69
- шаг 70
- шаг 71
- шаг 72
- шаг 73
- шаг 74
- шаг 75
- шаг 76
- шаг 77
- шаг 78
- шаг 79
- шаг 80
- шаг 81
- шаг 82
- шаг 83
- шаг 84
- шаг 85
- шаг 86
- шаг 87
- шаг 88
- шаг 89
- шаг 90
- шаг 91
- шаг 92
- шаг 93
- шаг 94
- шаг 95
- шаг 96
- шаг 97
- шаг 98
- шаг 99
- шаг 100
- шаг 101
- шаг 102
- шаг 103
- шаг 104
- шаг 105
- шаг 106
- шаг 107
- шаг 108
- шаг 109
- шаг 110
- шаг 111
- шаг 112
- шаг 113
- шаг 114
- шаг 115
- шаг 116
- шаг 117
- шаг 118
- шаг 119
- шаг 120
- шаг 121
- шаг 122
- шаг 123
- шаг 124
- шаг 125
- шаг 126
- шаг 127
- шаг 128
В теоретическом материале было указано, что
наибольший период получается при векторе инициализации (0, 0, 0, 0, 0, 0, 1).
Такой вектор называется импульсной функцией. При использовании данного вектора
инициализации, период получается равен 127, что является наибольшим возможным
периодом для данного регистра сдвига (27-1).
Найти, в какой степени матрица
последовательности станет равной единичной
Предположим, что начальное состояние
последовательности (0, 0, 0, 0, 0, 0, 1), которое соответствует максимальному
периоду рекуррентной последовательности.
Матрица при данных начальных условиях будет
иметь вид:
A =
Найдем степень, в которой матрица А станет
равной единичной, то есть Аm
= E
A2 =
A3 =
A4
=
Найти в какой степени элемент α
станет равным 1
Элемент α
в нашем регистре будет иметь запись (0, 0, 0, 0, 0, 1, 0)
Элемент 1 в нашем регистре будет иметь запись
(0, 0, 0, 0, 0, 0, 1)
Следовательно, надо найти на каком шаге регистр,
при векторе инициации α даст 1.
Учитывая, что период последовательности = 127, а элемент α
следует сразу же за элементом 1, можно утверждать что α126
= 1.