Розробка схеми організації зв’язку на базі цифрових систем передавання для внутрішньозонової та магістральної мереж
МІНІСТЕРСТВО
ОСВІТИ І НАУКИ УКРАЇНИ
Національний
університет «Львівська політехніка»
Кафедра
Телекомунікації
Графічно
розрахункова робота
Розробка
схеми організації зв’язку на базі
цифрових
систем передавання для
внутрішньозонової
та магістральної мереж
Виконав:
Студент
групи ТК-31
Гриб В.М.
Перевірив:Колодій
Р.С.
Львів
2011
ЗМІСТ
1.
Розробка варіантів схеми організації зв’язку
.1
Вибір можливих варіантів типу кабелю та ЦСП
.1.1
Визначення приналежності до типу телекомунікаційної мережі
.1.2
Аналіз можливих варіантів побудови схеми організації зв’язку
.2
Методика розробки і формування структури мережі зв'язку на базі ЦСП з ІКМ
.2.1
Модель структурної схеми лінійного тракту ЦСП
.2.2
Алгоритм розрахунку кількості обладнання ЦСП в кінцевих пунктах лінійного тракту
.2.3
Формування схеми організації зв'язку для двокабельного та однокабельного
варіантів
.
Техніко-економічне порівняння схем організації зв'язку
.1.1
Визначення робочої частоти
.1.2
Визначення
максимально
допустимої довжини регенераційної ділянки
.1.3
Визначення номінальної довжини регенераційної ділянки
.2
Методика визначення номінальної довжини регенераційної ділянки
двокабельної
ЦСП
.2.1
Визначення робочої частоти
.2.2
Визначення
максимально
допустимої довжини регенераційної ділянки
.2.3
Визначення номінальної довжини регенераційної ділянки
.3
Методика визначення кількості регенераційних ділянок та місць розташування не
обслуговуваних регенераційних пунктів
.4
Розрахунок капітальних витрат та вибір найкращого варіанту схеми
організації
зв'язку
.4.1
Кількість комплектів обладнання кінцевих станцій
.4.2
Капітальні витрати для організації цифрового лінійного тракту
Висновок
цифровий зв’язок кабель телекомунікаційний
Варіант завдання:
tгр =22°C
|
№ вар
|
А-Б
|
Б-В
|
А-В
|
|
КТЧ
|
ПЦП
|
ВЦП
|
км
|
КТЧ
|
ПЦП
|
ВЦП
|
км
|
КТЧ
|
ПЦП
|
ВЦП
|
|
95
|
31
|
1
|
2
|
129
|
93
|
2
|
1
|
87
|
76
|
3
|
-
|
1. РОЗРОБКА ВАРІАНТІВ СХЕМИ
ОРГАНІЗАЦІЇ ЗВ’ЯЗКУ
1.1
Вибір
можливих варіантів типу кабелю та ЦСП
1.1.1 Визначення приналежності до
типу телекомунікаційної мережі
Визначення довжини лінії
між
двома географічними пунктами А і В:
оскільки 100 км
250 км, то дана лінія належить до ММ(магістральної мережі).
1.1.2 Аналіз можливих варіантів
побудови схеми організації зв’язку
Для визначення кількості та типу ЦСП
необхідно визначити загальну кількість каналів ТЧ з перерахунком ПЦП і ВЦП на
цифрові канали ТЧ. Схема магістралі буде мати наступний вигляд.
Для визначення кількості та типу ЦСП
проводимо наступні розрахунки:
для пункту В аналогічно:
Можливі варіанти схем організації
зв'язку для MM:
двокабельний режим
. ЦСП ІКМ-480С, кабель МКСА 1x4
. ЦСП ІКМ-480С, кабель МКСА 4x4
однокабельний режим
. ЦСП ІКМ-480, кабель МКТ-4
Надалі розрахунки будуть проводитись
для таких систем:
ЦСП ІКМ-480С, кабель МКСА 1x4
ЦСП ІКМ-480, кабель МКТ-4
1.2 Методика розробки і формування
структури мережі зв'язку на базі ЦСП з ІКМ
1.2.1 Модель структурної схеми
лінійного тракту ЦСП
1.2.2 Алгоритм розрахунку кількості
обладнання ЦСП в кінцевих пунктах лінійного трату
А)Кількість комплектів
аналого-цифрового обладнання визначається за формулою:
Кількість комплектів вторинного
часового групоутворення визначається за формулою:
Кількість компонентів третинного
часового групоутворення визначається за формулою:
Б)Для пункту В проводяться
аналогічні розрахунки:
В) Для пункту Б розрахунки
проводяться окремо для кожного напрямку:
.2.3 Формування схеми організації
зв'язку для двокабельного та однокабельного варіантів
В результаті обчислень встановлено:
. Кількість каналів:
,
. Доцільно використати систему
ІКМ-480С.
. Ділянки А-Б та Б-В довші довжини
секції дистанційного живлення, тому потрібно використовувати ОРПДЖ.
. У такому випадку результати
розрахунку комплектації обладнання кінцевих пунктів КПА, КПВ та проміжної
станції в напрямку Б-А ОРПБА та в напрямку Б-В ОРПБВ наступні:
КПА:
,
,
,
КПВ:
,
,
,
ОРПБА:
,
,
ОРПБВ:
,
,
,
2. ТЕХНІКО-ЕКОН0ОМІЧНЕ ПОРІВНЯННЯ
СХЕМ ОРГАНІЗАЦІЇ ЗВ'ЯЗКУ
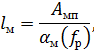
2.1.1 Визначення робочої частоти
Для ІКМ-480
.1.2 Визначення
максимально
допустимої довжини регенераційної ділянки
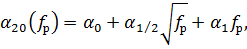
а) коефіцієнт ослаблення
де
,
б) коефіцієнт ослаблення кабелю при
заданій температурі
де
в) максимальний коефіцієнт
ослаблення
г) Максимально допустиму довжину
регенераційної ділянки (км)

.1.3 Визначення номінальної довжини
регенераційної ділянки
а) рівень передавання
де Uвих = 3 В, Z0х = 75 Ом
б) рівень власних теплових шумів
в) захищеність системи
де
г) Допустиму захищеність системи
визначають так (дБ):
Для однокабельної ЦСП, що працює по
коаксіальному кабелю, розрахункова довжина регенераційної ділянки залежить лише
від власних шумів кабелю. При цьому рівняння довжини буде мати вигляд:
Очікувану захищеність регенераційної
ділянки можна представити у такому вигляді:
-коефіцієнти
апроксимуючої функції
=
) Графічний спосіб визначення
розрахункової довжини регенераційної ділянки
З графіку видно що
) Визначення розрахункової довжини
регенераційної ділянки згідно формули:
Враховуючи неточність формули і
графічного методу надалі будемо при розрахунках використовувати
.
2.2
Методика
визначення номінальної довжини регенераційної ділянки двокабельної ЦСП
.2.1 Визначення робочої частоти
Для ІКМ-480
.2.2 Визначення
максимально
допустимої довжини регенераційної ділянки
а) коефіцієнт ослаблення
де
,
,
б) коефіцієнт ослаблення кабелю при
заданій температурі
де
в) максимальний коефіцієнт
ослаблення
г) Максимально допустиму довжину
регенераційної ділянки (км)
де
,
2.2.3 Визначення номінальної довжини
регенераційної ділянки
а) рівень передавання
де Uвих = 3 В, Z0х = 150 Ом
б) рівень власних теплових шумів
в) допустиму захищеність системи
визначають так (дБ):
Для двокабельної ЦСП, що працює з
симетричним кабелем, розрахункова довжина регенераційної ділянки залежить як
від власних шумів кабелю (нормальна завада), так і від шумів, обумовлених
лінійними переходами на дальньому кінці (обмежена завада). Таким чином, шуми в
симетричний лінії зв’язку є сумою нормальної та обмеженої завад. Тому для
симетричної лінії рівняння довжини приймає вигляд:

Для симетричного кабелю розрахункова
довжина регенераційної ділянки дорівнює:
Знаючи максимально-допустиму довжину
регенераційної ділянки
та розрахункову
довжину регенераційної ділянки
, визначаємо
номінальну довжину регенераційної ділянки
.
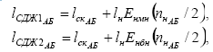
.3 Методика визначення кількості
регенераційних ділянок та місць розташування не обслуговуваних регенераційних
пунктів
Однокабельна система
Кількість регенераційних ділянок
номінальної довжини
на магістралі між
пунктами А та Б довжиною 1АБ з урахуванням двох скорочених ділянок не перевищує
Довжина скороченої регенераційної0
ділянки:
Аналогічний розрахунок проводимо для
магістралі БВ
Розрахувати довжини i -х секцій
дистанційного живлення lСДЖ iАБ та lСДЖ iБВ після визначення скорочених ділянок
окремо для ділянок lАБ і lБВ.
Довжини 1-ї та 2-ї секцій
дистанційного живлення lСДЖ 1АБ та lСДЖ 2АБ ділянки lАБ дорівнюють
Для проміжку БВ
Обраховуємо кількість НРП на
проміжку
Аналогічно для БВ
Кількість НРП на всьому проміжку
становить:
Результати розрахунку кількості та
розташування НРП
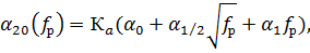
Двокабельна система:
Кількість регенераційних ділянок
номінальної довжини
на магістралі між
пунктами А та Б довжиною 1АБ з урахуванням двох скорочених ділянок не перевищує
Довжина регенераційних ділянок:
Аналогічний розрахунок проводимо для
магістралі БВ
Розрахувати довжини i -х секцій
дистанційного живлення lСДЖ iАБ та lСДЖ iБВ після визначення скорочених ділянок
окремо для ділянок lАБ і lБВ.
Довжини 1-ї та 2-ї секцій
дистанційного живлення lСДЖ 1АБ та lСДЖ 2АБ ділянки lАБ дорівнюють
Для проміжку БВ
Обраховуємо кількість НРП на
проміжку
Аналогічно для БВ
Кількість НРП на всьому проміжку
становить:
Результати розрахунку кількості та
розташування НРП
.4 Розрахунок капітальних витрат та
вибір найкращого варіанту схеми організації зв'язку
2.4.1 Кількість комплектів
обладнання кінцевих станцій
Обчислення проводяться по формулі:
Де Кі капітальні витрати.
Сума капітальних витрат становить:
2.4.2 Капітальні витрати для
організації цифрового лінійного тракту
Однокабельна система
АБ
Капітальні витрати на трасу від
пункту А до Б
Капітальні витрати на наявні ОРПдж
на побудову ділянки А - Б в грн.
Капітальні витрати на регенераційні
пункти на ділянці
БВ
Капітальні витрати на трасу від
пункту Б до В
Капітальні витрати на наявні ОРПдж
на побудову ділянки А - Б в грн.
Капітальні витрати на регенераційні
пункти на ділянці
Двокабельна система:
АБ
Капітальні витрати на трасу від
пункту А до Б
Капітальні витрати на наявні ОРПдж
на побудову ділянки А - Б в грн.
Капітальні витрати на регенераційні
пункти на ділянці
БВ
Капітальні витрати на трасу від
пункту Б до В
Капітальні витрати на наявні ОРПдж
на побудову ділянки А - Б в грн.
Капітальні витрати на регенераційні
пункти на ділянці
Розраховані капітальні витрати для
двокабельного та однокабельного варіанту схеми організації зв’язку заносимо в
таблицю
|
Варіант
|
KКПА , тис. грн.
|
KКПБ , тис. грн.
|
KКПВ , тис. грн.
|
KЦЛТ ,тис. грн.
|
K , тис. грн.
|
|
|
|
|
|
KТР , тис. грн.
|
KРП , тис. грн.
|
|
|
Двокабельний
|
95,9
|
130,1
|
130,1
|
712,8
|
1956,9
|
|
Однокабельний
|
95,9
|
130,1
|
130,1
|
310,8
|
636,7
|
1613,7
|
Висновок: В даній розрахунковій
роботі ми провели всі етапи розрахунку мережі між трьома пунктами, починаючи з
розрахунку станційного обладнання і закінчуючи капітальними витратами на
реалізацію даного проекту. Встановили що доцільніще використовувати двокабельну
систему.
1.