Расчёт радиоприёмника ДВ-диапазона

  • Вид работы:
    Курсовая работа (т)
  • Предмет:
    Информатика, ВТ, телекоммуникации
  • Язык:
    Русский
    ,
    Формат файла:
    MS Word
    626,18 Кб
  • Опубликовано:
    2012-12-01
Вы можете узнать стоимость помощи в написании студенческой работы.
Помощь в написании работы, которую точно примут!

Расчёт радиоприёмника ДВ-диапазона

Управление образования Гомельского облисполкома

Учреждение образования

“Гомельский государственно профессионально-технический колледж

электротехники

Специальность 2-390231 “Техническая эксплуатация радиоэлектронных средств”






ПОЯСНИТЕЛЬНАЯ ЗАПИСКА

к курсовому проекту по дисциплине

“Радиоэлектронные устройства”

Расчёт радиоприёмника ДВ-диапазона


Выполнил: К.И. Шатило

Проверил: Е.О. Черняк




Гомель 2011 г.

Содержание

Введение

Анализ исходных данных

Окончательный расчёт

.1 Расчёт входной цепи

.2 Расчёт усилителя радиочастоты

.3 Расчёт усилителя промежуточной частоты

.4 Расчёт преобразователя частоты

.5 Расчёт детектора

.6 Расчёт усилителя звуковой частоты

Заключение

Литература

Приложение

Введение

Курсовой проект является завершающим этапом изучения дисциплины “Радиоэлектронные устройства” и имеет цель систематизации, закрепления и расширения теоретических и практических знаний по расчёту и проектированию радиоэлектронных средств, развития навыков самостоятельной работы при решении разрабатываемых проблем и вопросов; углубление навыков работы с литературой.

Проектирование приёмника осуществляют по техническим условиям, в которых отражены его основные показатели. Однако в технических условиях отсутствует ряд требований, относящихся к отдельным каскадам и цепям приёмника. Эти дополнительные требования можно получить на основе предварительного расчёта, которому должен предшествовать выбор транзисторов. Таким образом, проектирование радиоприёмника целесообразно расчленить на следующие этапы: выбор транзисторов, предварительный расчёт и окончательный расчёт.

В окончательный расчёт входят электрические расчёты отдельных цепей и каскадов, а также необходимые конструктивные расчёты.

Заключительным этапом проектирования является расчёт общих характеристик приёмника и составление его принципиальной схемы с перечнем элементов.

Выполнение курсового проекта несёт для учащихся практическую и познавательную ценность и является одним из этапов совершенствования имеющихся знаний по специальности.

1 Анализ исходных данных

.Представленный радиоприёмник является бытовым стационарным, предназначен для приёма АМ колебаний.

. Принимаемый диапазон частот , что соответствует диапазону ДВ. В соответствии с этим диапазоном задаёмся промежуточной частоте

3. Данный радиоприёмник имеет наружную (открытую) антенну, т.к. его чувствительность (Ea) задана в микровольтах. Ea=90мкВ.

. Избирательность по соседнему каналу задают значением ослабления сигнала соседней станции . Её в основном обеспечивает избирательная система тракта ПЧ (ТПЧ), выбор которой производится на основе предварительного расчёта:

;

;

.

5. Избирательность по зеркальному каналу проектируемого приёмника составляет (). Её обеспечивает избирательная система тракта сигнальной частоты (ТСЧ), выбор которой производится на основе предварительного расчёта:

;

;

.

6.Избирательность по частоте равной промежуточной, Её обеспечивает избирательная система тракта сигнальной частоты (ТСЧ), выбор которой также производится на основе предварительного расчёта:

;

;

.

7. Выходная мощность проектируемого приёмника  Она определяет выбор схемы УЗЧ, которая производится на основе предварительного расчёта.

8. Полоса частот модулируемого сигнала  Она определяет ширину полосы пропускания радиоприёмника.

9. Коэффициент частотных искажений проектируемого радиоприёмника должен составлять не более , который определяется неравномерностью частотной характеристики для верхней частоты модуляции . Он характеризует частотные искажения всех трактов радиоприёмника.

;

;

.

2 Окончательный расчёт

2.1 Расчёт входной цепи

.        Выбираем строенный блок конденсаторов переменной ёмкости. Берём строенный блок с ёмкостью .

.Определяем ёмкость контура:

; (2.1.1)

где  распределённая ёмкость;

; (2.1.2)

где -ёмкость монтажа (не превышает 5 пФ);

-входная ёмкость следующего каскада.

2.  Рассчитываем индуктивность катушки контура:

; (2.1.3)

где -максимальная частота диапазона.

. Выбираем ёмкость конденсатора связи :

;

Принимаем . (2.1.4)

5. Определяем общую ёмкость антенны:

; (2.1.5)

Принимаем .

6. Определяем индуктивность катушки связи:

; (2.1.6)

где -частота антенного контура, которая должна быть чуть меньше минимальной частоты диапазона <.

7. Находим напряжение на входе первого транзистора:

; (2.1.7)

где -чувствительность приёмника (см. исходные данные);

-добротность контуров на частоте ;

-коэффициент включения контура во входную цепь следующего каскада. =;

-коэффициент связи контура. ;

-частота антенного контура;

-максимальная частота диапазона;

-индуктивность катушки связи;

-индуктивность катушки контура.

2.2 Расчёт усилителя радиочастоты

. Определяем волновое сопротивление контура на крайних частотах диапазона (на минимальной  и максимальной  частотах):

; (2.2.1)

;

L-индуктивность контура ВЧ тракта.

2. Определяем коэффициент устойчивости усиления на максимальной частоте:

; (2.2.2)

где -полная проводимость прямой передачи;

-максимальная частота диапазона;

-ёмкость перехода коллектор-база транзистора.

.        Проверяем возможность выполнения условия при заданном транзисторе и параметрах контура (для этого необходимо, чтобы произведение ):

; (2.2.3)

где -добротность контура на максимальной частоте;

Т.к. 1>>0,01, транзистор выбран правильно.

. Рассчитываем коэффициент включения контура  в цепи базы последующего транзистора из условия обеспечения полосы пропускания (коэффициент включения ):

; (2.2.4)

где =1/=1/50=0,02-эквивалентное затухание на минимальной частоте;

=1/Q=1/100=0,01-собственное затухание контура;

-активная составляющая выходной полной проводимости;

-активная составляющая входной полной проводимости;

=0,046*0,271=0,012;

Т.к. произведение  не превышает значения, полученного в формуле (2.2.3), расчёт произведён правильно.

. Определяем резонансные коэффициенты усиления на крайних частотах:

; (2.2.5)

;

Полученные значения должны обеспечивать:

>=7,9>5; (2.2.6)

;

-требуемый коэффициент усиления УРЧ;

-коэффициент устойчивого усиления на максимальной частоте.

6. Рассчитываем индуктивности связи  и :

=L=0,1*0,00427=0,427 мГн; (2.2.7)

=L=0,027*0,00427=0,115 мГн.

7. Рассчитываем сопротивление резистора в цепи эмиттера :

= (2.2.8)

здесь =(0,150,2)*=0,15*12=1,8 В;

-напряжение питания схемы;

Принимаем =1,8 кОм.

. Определяем сопротивление резистора  цепи делителя:

=; (2.2.9)

Принимаем =20 кОм;

 В. (2.2.10)

9. Находим сопротивление резистора :

; (2.2.11)

Принимаем =3,9 кОм.

10. Определяем ёмкость блокировочного конденсатора:

; (2.2.12)

Принимаем =120 нФ.

2.3 Расчёт усилителя промежуточной частоты

2.3.1 Расчёт широкополосного каскада УПЧ

1. Определяем полосу пропускания ШУПЧ:

; (2.3.1)

где - полоса пропускания приёмника

.

2. находим эквивалентную добротность контура:

. (2.3.2)


. (2.3.3)

4. Выбираем схему ШУПЧ, для этого определяем ;

для ШУПЧ1: , т.к. отношение больше единицы, то каскад неустойчив и выбираем схему без нейтрализации (каскад устойчив);

для ШУПЧ2: , т.к. отношение больше единицы, то каскад неустойчив и выбираем схему с нейтрализации (каскад неустойчив).

5. Определяем коэффициент подключения  контура к входу последующего каскада, полагая при этом :

для ШУПЧ1: ; (2.3.4.1)

для ШУПЧ2: .

. Рассчитываем характеристическое сопротивление контура из условия обеспечения усиления

для ШУПЧ1: ; (2.3.5)

для ШУПЧ2: .

. Определяем эквивалентную проводимость контура:

для ШУПЧ1: ; (2.3.6)

для ШУПЧ2: .

. Рассчитываем собственную проводимость:

для ШУПЧ1: g = Gэ-2g"22э =0,000135-20,000009 =0,00011 См; (2.3.7)

для ШУПЧ2: g = Gэ-2g"22э =0,000119- 20,000009 =0,000101 См.

9. Определяем параметры контура

Для ШУПЧ1:

; (2.3.8)

Принимаем С=390пФ:

;

;

для ШУПЧ2:

;

Принимаем С=390пФ

;

.

. Если каскады неустойчивы, то находим элементы цепи нейтрализации:

для ШУПЧ1:

; (2.3.9)

Принимаем Сн= 2,7 мкФ из ряда Е12 ±10%

;

Принимаем RH= 5,6 кОм из ряда Е24 ±5%;

где ;

;

для ШУПЧ2:

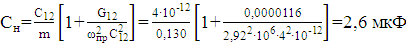
; (2.3.10)

Принимаем Сн= 1,1 мкФ из ряда Е12 ±10%;

;

Принимаем RH= 1,2 кОм из ряда Е24 ±5%; где .

 

11. Рассчитываем индуктивности катушек связи для ШУПЧ1:

; (2.3.11)

для ШУПЧ2:

. (2.3.12)

.3.3 Расчет параметров фильтра сосредоточенной селекции (ФСС)

1. Определяем расчетную добротность контура Qp;

Qp=l,41fпp/F=l,41465103/8650=75. (2.3.19)

2. Задаемся конструктивной добротностью контура Q так, чтобы она была значительно больше Qp;

Q= 100.

.        Вычисляем полосу пропускания фильтра 2FP:

Fp=2F/xп = 28650/0,9 = 19222; (2.3.20)

где хп - обобщенная расстройка, соответствующая полосе пропускания Задаваться хп= 0,9.

. Рассчитываем вспомогательные величины:

а) обобщенную расстройку, соответствующую избирательности по соседнему каналу:

хс=2f/2Fp=220000/19222=2,1; (2.3.21)

где f- расстройка по соседнему каналу (f = 15 кГц).

б) обобщенное затухание

. (2.3.22)

. Определяем избирательность и по соседнему каналу, создаваемому одним звеном фильтра:и = 10 дБ.

. Находим частотные искажения, вносимые одним звеном: м = 2 дБ.

. Вычисляем число звеньев  фильтра из условий обеспечения заданной избирательности и заданных частотных искажений. (Se - избирательность по соседнему каналу, Мтпч - частотные искажения ТПЧ:

;

;

Так как , расчет произведен правильно и число звеньев фильтра принимаем равным, округлив его до большего целого числа: пф=4.

. Рассчитываем избирательность по соседнему каналу и частотные искажения, создаваемые фильтром в целом:

;

. (2.3.23)

. Находим коэффициент передачи  с помощью графика по числу звеньев фильтра  и значению обобщенного затухания Кф = 0,2.

2.4 Расчет преобразователя частоты


2.4.1 Расчет элементов контура гетеродина

Элементы контура гетеродина рассчитывают из условий обеспечения сопряженной настройки контуров при помощи одной ручки. Этот расчет производим графическим методом. В контуре гетеродина используется такой же конденсатор переменной емкости Ск, как во входной цепи; С2 - емкость последовательного сопрягающего конденсатора, СЗ - емкость параллельного сопрягающего конденсатора.

. Определяем максимальную емкость контура гетеродина:

; (2.4.1)

где Ск max - максимальная емкость блока переменного конденсатора, выбираемого при расчете входной цепи;

Ссх - емкость схемы, равная емкости схемы входной цепи.

2. Находим вспомогательный коэффициент:

; (2.4.2)

где:

. (2.4.3)

. Рассчитываем индуктивность контура гетеродина: (2.4.4)

;

Значение коэффициента  находим по графику  = 0,8.

. Определяем емкость последовательного конденсатора С2 по графику.С2 = 200 пФ;

Принимаем С2 = 200 пФ.

. Находим емкость параллельного конденсатора СЗ по графику на рис. (2.4.4) СЗ = 30 пФ;

Принимаем СЗ = 27пФ.

2.4.2 Расчет смесительной части преобразователя

1. Находим значение сопротивления :

; (2.4.5)

Принимаем R=5,4 кОм;

где RBX =l/g"11э = 1/0,5310-3 = 1887 Ом;

Sпp -полная проводимость прямой передачи в режиме преобразования Sпp=|Y21пр|=0,013;

Кпр - коэффициент усиления преобразователя равный 7.

Так как R < Rвых преобразователя, то для обеспечения принятого условия p1=l (Rвых.пр=R) выход преобразователя следует зашунтировать резистором:

; (2.4.6)

Принимаем Rш= 5,6 кОм;

где Rвыхпр=l/g22пр = 1/4,5210-6 = 221 кОм;

Пересчитываем R и получаем:

; (2.4.7)

Принимаем  =5,6 кОм.

.        Определяем коэффициент включения ФСС со стороны базы:

. (2.4.8)

. Находим элементы фильтра:

; (2.4.9)

Принимаем C1=56 пФ:

; (2.4.10)

Принимаем C2=2700 пФ:

; (2.4.11)

Принимаем C3=15пФ:

; (2.4.12)

Принимаем C4=1,2пФ

; (2.4.13)

; (2.4.14)

Здесь емкость в пФ, R' - в КОм, L - в мкГн, fпp и 2FP в КГц.

2.5 Расчет детектора

. Выбираем тип диода Д9В, предназначен для детектирования высокочастотных модулированных колебаний.

Обратное сопротивление Rобр=400 КОм;

Дифференциальное сопротивление д=10 мСм.

. Выбираем схему амплитудного детектора с разделенной нагрузкой.

Вычисляем общее сопротивление нагрузки детектора:

 (2.5.1)

где - допустимое входное сопротивление.

Принимаем Rд.вx=10 КОм.

. Выбираем сопротивление R2 схемы детектора:

 (2.5.2)

Принимаем R2 = 3,3 кОм

где RBX - входное сопротивление каскада УЗЧ.

Принимаем RBX=10 КОм.

. Находим сопротивление R1:

R1=RH - R2 = 10000 - 3300 =6700 Ом (2.5.3)

Принимаем R1 =6,8 кОм

.        Рассчитываем емкость конденсатора С из условия получения допустимых нелинейных искажений:

 (2.5.4)

где Fв - максимальная частота модулирующего сигнала (см. исходные данные).

. Задаемся емкостью С1, которая должна быть не больше емкости С.

Выбираем С1 = 1,6 нФ

. Находим емкость С2:

 (2.5.5)

Принимаем С2 = 1,8нФ


 (2.5.6)

Принимаем Ср = 0,22 мкФ

где Fh - минимальная частота модулирующего сигнала;

Мнч - частотные искажения в низкочастотной части приемника.

. Задаемся амплитудой напряжения несущей частоты UH= 0,7 В.

. Определяем действительный коэффициент передачи детектора:

 (2.5.7)

где Кд - коэффициент передачи детектора.

Принимаем Кд=0,4.

R - сопротивление цепи, с которого снимается модулирующее напряжение низкой частоты:

 (2.5.8)

. Рассчитываем коэффициент частотных искажений в области верхних частот:

 (2.5.9)

где  

 

2.6 Расчет усилителя звуковой частоты

2.6.1 Расчет предварительного усилителя звуковой частоты

1. Выбираем тип транзистора КТ361А, так как допустимое напряжение между коллектором и эмиттером больше напряжение источника питания:

UKЭ>Eucm (2.6.1)

> 12

Граничная частота транзистора при включении по схеме с общим эмиттером больше верхней частоты диапазона:

>FВ (2.6.2)

> 8800

Справочные данные для транзистора КТ361 А:

UКЭ = 25В;

h11Э= 40 Ом;

h12Э=10-7;

h21Э = 50 на fиз = 250 МГц;

h22Э=0,3 мкСм;

IКЭ =50 мкА;

СКЭ=10пФ;

 

. Определяем значение постоянной составляющей тока коллектора. Выбираем минимальную величину тока коллектора IK MIN:

 (2.6.3)

 (2.6.4)

где 1Н = 1мА

7.       Выбираем минимальное напряжение между коллектором и эмиттером:

.       

(2.6.5)

Принимаем

4. Определяем напряжение между коллектором и эмиттером:

UКЭО>UКЭMIN+Uн=0,8 + 0,5 = 1,ЗВ (2.6.6)

где Uн = 0,5В

. Находим ток базы Iбо транзистора:

 (2.6.7)

. Выбираем напряжение на сопротивлении RЭ в цепи эмиттера:

URЭ = (0,15  0,2) =0,15 12 = 1,8В (2.6.8)

где Eист- напряжение источника питания.

. Вычисляем сопротивление в цепи коллектора:

 (2.6.9)

Принимаем RK = 6,8 кОм

. Для учета влияния сопротивления Rк на амплитуду переменной составляющей тока на выходе каскада определяем более точное значение тока в цепи коллектора:

 (2.6.10)

. Рассчитываем сопротивление в цепи эмиттера:

 (2.6.11)

Принимаем R3 =6,8 кОм.

. Выбираем ток цепи смещения

I12 = (35) =4*67*10-6 = 268 мкА (2.6.12)

. Определяем значение сопротивления R2 цепи стабилизации:

 (2.6.13)

Принимаем R2 = 7,5 кОм

. Рассчитываем сопротивление R1 цепи стабилизации:

 (2.6.14)

Принимаем R1 = 30 кОм

. Вычисляем коэффициент нестабильности рабочей точки:

т (2.6.15)

где  (2.6.16)

. Рассчитываем эквивалентное сопротивление нагрузки цепи коллектора:

 (2.6.17)

где  (2.6.18)


 (2.6.19)

. Рассчитываем входное сопротивление:

 (2.6.20)

где  (2.6.21)

. Вычисляем коэффициент усиления по напряжению:

 (2.6.22)

. Определяем выходное сопротивление каскада:

 (2.6.23)

где .

. Рассчитываем емкость разделительного конденсатора С1 и С2:

 (2.6.24)

Принимаем С1,С2= 15 мкФ

где Мн1,01

. Определяем коэффициент частотных искажений на верхней частоте диапазона:

 (2.6.25)

где  (2.6.26)

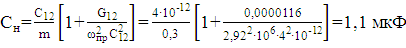
. Вычисляем емкость блокировочного конденсатора Сэ:

 (2.6.27)

Принимаем С = 12 мкФ

где

.6.2 Расчет оконечного усилителя звуковой частоты

В современных радиоприемниках, как правило, в качестве оконечных каскадов усилителей звуковой частоты устанавливают интегральные микросхемы. Благодаря применению ИМС снижаются габариты устройства, масса, а также их стоимость. Кроме того, при проектировании радиоприемных устройств нет необходимости производить расчеты оконечного У34 выполненного на ИМС.

Для данного радиоприемника выбираем ИМС К174УН11 так как ее параметры удовлетворяют основным требованиям, предъявляемым к проектируемому изделию. Микросхемы служат в качестве усилителя мощности низкой частоты с выходной мощность до 1 Вт на нагрузку 4 Ом. Основные электрические параметры ИМС К174УН11 описаны в таблице п.5.

Таблица п.5 -Электрические параметры ИМС К174УН5

1

Номинальное напряжение питания

12 В ±10%

2

Ток потребления при Un = 12 В

30мА

3

Коэффициент усиления при Un = 12 B,fex = 1 кГц

80 ... 120

4

Нестабильность коэффициента усиления напряжения при Un = 12 В, fex = 1 кГц не более

±20%

5

Коэффициент нелинейных искажений при Un = 12 B,fex = 1 кГц, Рвых = 2 Вт

<1,0%

6

Входное сопротивление при Un = 12 В, fex = 1 кГц

10кОм

7

Номинальная мощность отдаваемая в нагрузку RH = 4 Ома при Un = 12 В

2,0 Вт

8

Диапазон рабочих частот по уровню 3 дБ

30 ... 20 000Гц


Заключение

радиоприемник длинноволновой каскад цепь

В данной проделанной работе был осуществлен расчет каскадов и цепей радиоприемника ДВ диапазона, определялись их число и коэффициенты усиления, производился анализ и выбор типов транзисторов для этих каскадов. На основании предварительного расчета была составлена электрическая принципиальная схема.

Данная работа произвела практическую и познавательную ценность и была одним из этапов совершенствования имеющихся знаний по предмету.

Литература

1. Аналоговые интегральные микросхемы: Справочник /А.Л. Булычев, В. И. Галкин, В. А. Прохоренко. - 2-е издание, переработанное и дополненное - Мн.: Беларусь, 1993.

. Аналоговые интегральные микросхемы для бытовой радиоаппаратуры: Справочник /Д. И. Атаев, В. А. Болотников. - М.: Издательство МЭИ, 1991

. Баркан В.Ф., Жданов В.К. Радиоприемные устройства. М.: Сов. радио, 1978.

. Боровик С.С, Бродский М.А. Ремонт и регулировка БРЭА. Мн.: Высш. шк., 1989.

. Бобров Н.В. Радиоприемные устройства. М.: Энергия, 1976.

. Интегральные микросхемы и их зарубежные аналоги: Справочник. Том 2./А. В. Нефедов. - М.: КУБК-а, 1996.

7. Микросхемы для бытовой радиоаппаратуры: Справочник /И. В. Новачек, В. М. Петухов, И. П. Блудов, А. В. Юровский. - М.: КУБК-а, 1995.

Похожие работы на - Расчёт радиоприёмника ДВ-диапазона

 

Не нашли материал для своей работы?
Поможем написать уникальную работу
Без плагиата!
Без нейросетей!