|
|
|
|
|
|
0
|
|
|
0
|
|
1
|
|
|
|
|
3
|
|
|
|
|
5
|
|
|
|
|
7
|
|
|
|
|
9
|
|
|
|
|
11
|
|
|
|
|
13
|
|
|
|
|
15
|
|
|
|
|
17
|
|
|

|
|
|
|
|
21
|
|
|
|
6.
Рассматривая НКС как аддитивный гауссовский канал с ограниченной полосой
частот, равной ширине спектра сигнала дискретной модуляции, и заданными
спектральной плотностью мощности помехи и отношением сигнал-шум:
а) рассчитать приходящиеся в среднем на один двоичный символ
мощность и амплитуду модулированного сигнала, дисперсию (мощность) аддитивной
помехи в полосе частот сигнала, пропускную способность НКС;
Мощность
гауссовского белого шума 
в полосе
пропускания ПФ геометрически определяется как площадь прямоугольника с высотой 
и
основанием 
:
Учитывая,
что начальное соотношение сигнал-шум(ОСШ)

на входе
детектора приемника известно, находим мощность сигнала дискретной модуляции,
обеспечивающей это ОСШ:
Рассчитаем
приходящиеся в среднем на один двоичный символ мощность и амплитуду
модулированного сигнала:
Пропускная
способность НКС характеризует максимально возможную скорость передачи
информации по данному каналу. Она определяется:
б)
построить в масштабе четыре графика функций плотности вероятностей (ФПВ)
мгновенных значений и огибающих узкополосной гауссовской помехи (УГП) и суммы
гармонического сигнала с УГП.
ФПВ
мгновенных значений УГП имеют вид гауссовского распределения с числовыми
характеристиками 
-
математическое ожидание,
Огибающая
гауссовской помехи распределена по закону Рэлея:
Огибающая
принимаемой суммы гармонического сигнала + УГП подчиняется обобщенному
распределению Рэлея:
Где

модифицированная
функция Бесселя нулевого порядка от мнимого аргумента
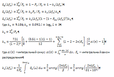
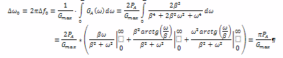
7. С учетом заданного вида
приема (детектирования) сигнала дискретной модуляции:
а) рассчитать среднюю вероятность ошибки в двоичном ДКС,
скорость передачи информации по двоичному симметричному ДКС, показатель
эффективности передачи сигнала дискретной модуляции по НКС;
За количественную меру помехоустойчивости в системах электросвязи
принимают среднюю на бит вероятность ошибки:
При
равенствах априорных вероятностей 
, а так
же условных вероятностей (условие симметричности двоичного ДКС), средняя на
бит вероятность ошибки равна
Т.к.
вероятность ошибок для различных видов сигналов зависят от 
на входе
детектора, то и 
зависит
от ОСШ. Для сравнения скорости 
при
данном виде модуляции и способе приема с пропускной способностью НКС 
вводят показатель эффективности
б)
изобразить схему приемника сигналов дискретной модуляции и коротко описать
принцип его работы, пояснить случаи, когда он выносит ошибочные решения
Приемник
сигналов ДОФМ
Фазовый
детектор, представляющий собой сравнивающее устройство, выделяет фазу
принимаемого сигнала ДОФМ и сравнивает ее с фазой сигнала пришедшего с линии
задержки, прошедшего полосовой фильтр с эффективной полосой пропускания равной
. К дискретизатору подводятся отклик детектора 
и
последовательность дискретизирующих импульсов 
с
периодом 
, которые
необходимы для взятия отсчета в середине посылки длительностью
. В РУ
(решающем устройстве) отсчеты 
сравниваются
с пороговым напряжением 
и
принимается решение - передана 1, если 
, или
передан 0, если 
. Под
действием помех в канале связи фаза сигнала изменяется и РУ может ошибаться:
при передаче 0 принимать 1 или же при передаче 1 принимать 0.
8.
Рассматривая отклик детектора ПРУ как случайный дискретный сигнал на выходе L-ичного ДКС:
а) рассчитать распределение вероятностей дискретного сигнала
на выходе детектора, скорость передачи информации по L- ичному ДКС, относительные потери в
скорости передачи информации по L- ичному ДКС;
Распределение вероятностей дискретного сигнала на выходе детектора
определяется выражением:

где
вероятность ошибки в двоичном симметричном ДКС; вероятность правильного приема
двоичного символа,
|
|
0
|
1
|
2
|
3
|
4
|
5
|
6
|
7
|
|
|
0.0037
|
0.023
|
0.136
|
0.337
|
0.337
|
0.136
|
0.023
|
0.0037
|
Для
определения скорости передачи информации 
по L -
ичному ДКС
Зная
производительность 
L -
ичного источника(скорость ввода информации в ДКС) и скорость передаваемой по
ДКС информации 
находим
величину относительных потерь в скорости:

б)
построить в масштабе график закона распределения вероятностей отклика декодера
и сравнить его с законом распределения вероятностей отклика квантователя.
9. Полагая ФНЧ на выходе ЦАП
приемника идеальным с полосой пропускания, равной начальной энергетической
ширине спектра исходного сообщения:
а) рассчитать дисперсию случайных импульсов шума передачи на
выходе интерполятора ЦАП, среднюю квадратическую погрешность шума передачи
(СКПП) суммарную начальную СКП восстановления непрерывного сообщения (ССКП),
относительную СКП (ОСКП);
Дисперсия случайных импульсов шума передачи на выходе интерполятора ЦАП
определяется:
Где вероятность ошибки в двоичном симметричном ДКС.
Найдем СКПП:
В
виду того, что погрешность фильтрации 
шум
квантования 
и шум
передачи 
-
независимые случайные процессы, то суммарная СКП восстановления непрерывного
сообщения 
будет
равна сумме СКП указанных процессов:
Тогда
относительная суммарная СКП восстановленного сообщения, очевидно будет равна:
10. Ввиду того, что выбор
начальной энергетической ширины спектра исходного сообщения не приводит к
минимуму ОСКП, решить оптимизационную задачу: с помощью ЭВМ определить
оптимальную энергетическую ширину спектра сообщения, доставляющую минимум
относительной суммарной СКП его восстановления
Относительная суммарная СКП восстановления сообщения равна:
Нетрудно
показать, что относительные СКП фильтрации 
,
квантования 
и
передачи 
зависят
от энергетической ширины спектра сообщения 
различным
образом:
Суммарная
величина относительной СКП имеет минимум при оптимально выбранной
энергетической ширине спектра исходного сообщения.
11. Структурная схема системы
связи

Источник сообщения - это некоторый объект или система, информацию, о
состояние которой необходимо передать.
ФНЧ
- ограничивает спектр сигнала верхней частотой 
.
Дискретизатор
- представляет отклик ФНЧ в виде последовательности отсчетов 
Квантователь
- преобразует отсчеты в квантовые уровни 
; 
= 0, 1,
2... ; 
, где 
- число
уровней квантования.
Кодер
- кодирует квантованные уровни двоичным безызбыточным кодом, т. е. формирует
последовательность комбинаций ИКМ 
.
БВО
- блок внесения относительности, формирует символы относительного кода.(
Модулятор
- формирует сигнал, фаза которого изменяются в соответствии с сигналом 
.
Выходное
устройство ПДУ - осуществляет фильтрацию и усиление модулированного сигнала для
предотвращения внеполосных излучений и обеспечения требуемого соотношения
сигнал/шум на входе приемника.
Линия
связи -среда или технические сооружения, по которым сигнал поступает от
передатчика к приемнику. В линии связи на сигнал накладывается помеха.
Входное
устройство ПРУ - осуществляет фильтрацию принятой смеси -сигнала и помехи.
Детектор
- преобразует принятый сигнал в сигнал ИКМ 
.
Декодер
- преобразует кодовые комбинации в импульсы.
Интерполятор
и ФНЧ восстанавливают непрерывный сигнал из импульсов -отсчетов.
Получатель
- некоторый объект или система, которому передается информация.
Список использованной литературы
цифровой сигнал помеха
1. В.Г. Санников - Методические рекомендации по выполнению
курсовой работы-М.:1996.
. Прокис Дж. Цифровая Свзяь. Перевод с английского под
редакцией Д.Д. Кловского. - М.: Радио и связь. 2000.
. Теория электрической связи под редакцией Д.Д Кловского М.:
Радио и связь 1998.
4. Конспект
лекций.