Синтез 4-нитро-2-(фенилэтинилсульфонил)анилина

  • Вид работы:
    Курсовая работа (т)
  • Предмет:
    Химия
  • Язык:
    Русский
    ,
    Формат файла:
    MS Word
    1,26 Мб
  • Опубликовано:
    2012-09-13
Вы можете узнать стоимость помощи в написании студенческой работы.
Помощь в написании работы, которую точно примут!

Синтез 4-нитро-2-(фенилэтинилсульфонил)анилина












Курсовая работа

по курсу: Органическая химия

тема: Синтез 4-нитро-2-(фенилэтинилсульфонил)анилина

Введение

Химия сульфонов тщательно изучена и широко используется в органическом синтезе на протяжении последних нескольких десятилетий. Сульфоны с различными ненасыщенными углеводородными заместителями, как правило, с винилом, часто используют в различных синтезах в качестве активирующей группы, от которой впоследствии можно избавиться десульфонилированием. Однако, в настоящее время все больше внимания привлекают ранее мало изученные ацетиленовые сульфоны.

Сульфонильная группа обладает сильной электроноакцепторной способностью и поэтому способна активировать соседние группы и стабилизировать α-карбанион. Поэтому ненасыщенные сульфоны способны к реакциям сопряженного присоединения нуклеофилов в β-положение и к последующему электрофильному присоединению к α-карбаниону. А ацетиленовые сульфоны в этом плане выигрывают по сравнению с виниловыми, поскольку ацетиленовые сульфоны более реакционно-способны к одинарному присоединению, а также способны, в отличие о виниловых, к двойному присоединению нуклеофилов в β-положение и, соответственно, к одинарному или двойному электрофильному присоединению к α-карбаниону.

Свойства ацетиленовых сульфонов применяют не только в химии, но и в медицине. Так высокая способность к нуклеофильным присоединениям и малая токсичность делает их хорошими противоопухолевыми и противогрибковыми препаратами. Лечебные свойства ацетиленовых сульфонов делают их важными органическими соединениями. И именно поэтому на сегодняшний день эта область химии бурно развивается.

Целью курсовой работы является синтез 4-нитро-2-(фенилэтинил-сульфонил)анилина, который ранее нигде не описан и возможно обладает лечебными свойствами.

Глава 1. Литературный обзор

.1 Получение ацетиленовых сульфонов

Одними из первых способов получения ацетиленовых сульфонов были реакции окисления соответствующих сульфидов. Необходимые сульфиды получают действием тиолят-ионов на галогениды ацетиленов (с последующей основно-катализируемой изомеризацией), сульфонилированием ацетиленидов (дисульфидами, сульфонилхлоридами, дихлоридом серы [с получением бисацетиленовых сульфидов], тиофталимидами, тиосульфонатами или тиоцианатами), алкилированием ацетиленидов соответствующих терминальных ацетиленовых сульфидов, дегидрогалогенированием галогенвинил производных сульфидов.


В качестве окислителей используют м-хлорнадбензойную кислоту, пероксид водорода, пербензойную кислоту, надуксусную кислоту и др. При использовании одного эквивалента окислителя получают ацетиленовые сульфоксиды.

Свободно-радикальное присоединение сульфонил хлоридов, бромидов и иодидов к терминальному ацетилену приводит к β-галогенвиниловым сульфонам, дегидрогалогенированием которых основаниями, такими как триэтиламин, основной оксид алюминия или фторида калия в ацетонитриле получают ацетиленовые сульфоны.


Присутствие хлорида или бромида меди (II) выступает катализатором присоединения соответствующих сульфонил галогенидов, а присоединению сульфонил йодида может способствовать фотоинициирование.

Селенсульфонаты также присоединяются к ацетиленам по свободно-радикальному механизму. Реакция инициируется фотохимически (солнечным светом или лампой солнечного света) или нагреванием с азобисизобутиронитрилом (AIBN). В результате аддукты с терминальными ацетиленами образуются с высокой регио- и стереоселективностью, предоставляя продукты анти-присоединения. Поскольку фенилселеновая группа и виниловый атом водорода цис-ориентированы, окисление и син-элиминирование селеноксида протекает в мягких условиях, часто обеспечивая почти количественный выход ацетиленовых сульфонов.


Селенсульфонаты получают окислением бензолселеновой кислотой сульфонилгидразидов или сульфиновых кислот.

Ацетиленовые трифлаты (трифторметилсульфоны) получают реакцией ацетиленида лития с трифлатовым ангидридом.


Реакция ацетиленового реактива Гриньяра с трифлатовым ангидридом приводит к соответствующему ацетиленовому галогениду в качестве основного продукта, а не к трифлату.

Ацетиленовые сульфоны получают из полностью обезвоженных соответствующих β-кетосульфонов их реакцией с трифлатовым ангидридом и диизопропилэтиламином или же реакцией с диэтилхлорфосфатом и трет-бутилатом калия.


Для получение арилпроизводных ацетиленовых сульфонов используют сульфонилфосфонат в реакции Виттига-Хорнера.


Другой подход основан на превращении β-кетосульфона в его семикарбазон, с последующим окислением диоксидом селена. В результате селендиазол может быть подвергнут пиролизу для получения желаемого ацетилена.


Кроме того, диазотированием 5-аминоизоксазолов, полученных из сульфонилацетонитрилов, также получают ацетиленовые сульфоны.



Реакцией ацетилендикарбоксилата с HgCl2 и арилсульфинатом натрия получают β-сульфанилвинил производные ртути, которые подвергают окислительной демеркуризации и декарбоксилированию, образуя тем самым соответствующие ацетилены.


Йодид ацетилена переводят в ацетиленовые сульфоны сульфинатом меди (II) в ТГФ под действием ультразвука.


Широко используется метод получения арилсульфонилацетиленов катализируемой AlCl3 реакцией арилсульфонилхлоридов с ди(триметилсилил)ацетиленом, с последующим гидролизом оставшихся силильных остатков.


При гидролизе используют силикагель или NaF.

.2 Химические свойства ацетиленовых сульфонов

Для ацетиленовых сульфонов характерны реакции присоединения нуклеофилов (AdN) по тройной С-С связи. Этому способствует стягивание электронной плотности смежной электронно-дефицитной сульфонильной группой и стабилизация ею полученного аниона. Однако такие процессы часто осложнены основно-катализируемой прототропной изомеризацией ацетиленовых сульфонов до атаки нуклеофила.


Пропаргиловый сульфон, который содержит неактивированную тройную связь, реагирует с нуклеофилами, образуя сначала более активный алленовый изомер. В результате образуются продукты анти-присоединения, а в кинетическом режиме - цис-аддукты (цис положение нуклеофила относительно сульфон группы), которые часто переходят в более стабильные транс-изомеры.

.2.1 Присоединение N-нуклеофилов

Из-за основно-катализируемой прототропной изомеризации ацетиленовый и пропаргиловый сульфоны оказываются синтетическими эквивалентами, и реакция аминов с каждым типом сульфона приводит к одному енамин продукту.


Исследование стереохимии присоединения к ацетиленовым сульфонам показали, что первичные амины обычно образуют цис-аддукты анти-присоединением в кинетическом режиме, после частичной изомеризации получается смесь цис- и транс-изомеров.


Соотношение геометрических изомеров в конечном продукте зависит от растворителя, температуры и от природы заместителей в исходных реагентах. Стабилизация цис-аддукта происходит за счет внутримолекулярной водородной связи протонов NH с атомом кислорода сульфона. Вторичные амины преимущественно образуют транс-аддукты из-за отсутствия такой водородной связи и из-за дипольного и пространственного отталкивания между амином и сульфоном.


Присоединение азиридина является аномальным, потому что он иногда образует кинетический цис-аддукт преимущественно или полностью в результате подавления изомеризации.


Ацетиленовые бисульфоны способны к двойному присоединению первичных и вторичных аминов, в том числе анилина. Второе присоединение амина сопровождается отщеплением сульфинат аниона.

 



Ацетиленовые трифлаты, обладающие сильной электрофильностью образуют енамин аддукты с простыми аминами, а также с фталимидом, где амид образует дипольный интермедиат, который подвергаются трансацилированию.


Присоединением аминоацеталя к ацетиленовому трифлату получают енамин, при внутримолекулярной конденсацией которого образуется пиррол.


Селенацетиленовый сульфон отражает аномальную региохимию в его реакции с пирролидином, предоставляя анти-Михаэля (по отношению к сульфону) аддукт, в качестве основного продукта, что обусловливается влиянием фенилселенильной группы в преобладании над фрагментом сульфона в регулировании положения атаки.


А присоединение диэтиламина к алкинилфосфонату идет в β-положение сульфона

ацетиленовый сульфон синтез анилин

Сопряженное присоединение аминов к ацетиленовым сульфонам также используется в сочетании с дальнейшими превращениями, чтобы получить более сложное нужное соединение. Таким образом, различные пиперидины, пирролизидины, индолизидины и хинолизидины были получены сопряженным присоединением соответствующих β- или γ-хлораминов к ацетиленовым сульфонам, с последующим внутримолекулярным алкилированием.

.2.2 Присоединение спиртов и карбоновых кислот

Как и в случае аминов, алкоксиды могут реагировать с изомерными ацетиленовым или пропаргиловым сульфонами с образованием идентичных продуктов сопряженного присоединения из-за основно-катализируемой изомеризации. Оба изомера (где Ar=Ph) реагируют с метоксидом натрия с образованием β-(винилметокси)сульфона, а прямое присоединение алкоксида к сульфонам в кинетическом режиме, с последующей изомеризацией дает транс-продукт β-метоксивинил сульфон. В более принужденных условиях в результате двойного присоединения алкоксидов к ацетиленовым сульфонам образуются соответствующие кетали.


Карбоксилаты присоединяются аналогично, образуя енольные эфиры, которые функционируют, как активные агенты ацилирующие нуклеофилы, такие как амины. Терминальный ацетиленовый сульфон образует цис-изомер прямым анти-присоединением алкоксида.


Присоединение же уксусной кислоты дает аддукт, полученный преимущественно в виде цис-изомера, в присутствии катализатора.




В случае β-арилацетиленового сульфона, также наблюдается дальнейшая реакция с алкоксидом с замещением сульфонильного фрагмента.

Сопряженное присоединение хирального эпоксидного спирта к ацетиленовому сульфону при условии энантиоселективного пути приводит к смеси региоизомеров. Внутримолекулярным алкилированием основного транс-аддукта получают соответствующий дигидрофуран.

.2.3 Присоединение тиолов

Как и в случае с азотными и кислородными нуклеофилами, сценарий с серными нуклеофилами вновь осложняется равновесием исходных компонентов и их изомерами. Присоединение тиолов к ацетиленовым сульфонам в присутствии каталитического количества амина дает цис-продукт, анти-присоединение в кинетическом режиме, а затем изомеризация дает преимущественно или исключительно соответствующий транс-аддукт.


Дальнейшее окисление продуктов в соответствующие β-сульфонилвиниловые сульфоны может быть достигнуто перекисью водорода в уксусной кислоте, или перфталевой кислотой. анти-Михаэль региохимия наблюдается в присоединениях тиолятов к ацетиленовым сульфонам содержащих β-арильную или неактивированную группу, такую как фенил.

Ацетиленовые сульфоны можно использовать в качестве защитной группы тиола. Восстанавливают оригинальный тиол из аддукта пирролидином.


Соответствующие гетероциклические продукты были получены, когда фосфинилацетилен обработали тиомочевиной,


или когда халькогенид натрия был присоединен к бис(ацетиленовому) сульфону.

.2.4 Алкилирование ацетиленовых сульфонов

Некоторые металлоорганические реагенты служат для введения алкильных групп и других заместителей в β-положение ацетиленовых сульфонов. Реактивы Гриньяра с CuBr, органокупраты (R2CuLi), Me3SiCH2Cu, и диэтилцинк в присутствии Cu(BF4)2 присоединяются к ацетиленовым сульфонам образуя продукты преимущественно син-присоединения.


Медьорганические реагенты RCu присоединяются так же к ацетиленовым трифлатам. Двойное присоединение к терминальному ацетиленовому сульфону, может быть достигнуто последовательным присоединением двух медных реагентов.


Присоединением RCu к ацетиленовым сульфоксидам, с последующим окислением м-хлорнадбензойной кислотой, синтезированы те же продукты, что и полученные от подобных присоединений к соответствующим сульфонам. Силилацетиленовый сульфон с Me2CuLi дает продукт нормального присоединения, но его реакция с реактивами Гриньяра или литийорганическими соединениями дает продукт замещения сульфонильного фрагмента.


Присоединением терминального ацетилена к ацетиленовому сульфону при помощи стереоселективного палладиевого катализатора получают соответствующий енин.


Альдегиды реагируют с ацетиленовыми трифлатами с образованием ацетиленовых кетонов и дизамещенных ацетиленов,


а алкилиодиды дают алкилтриизопропилсилилацетилен при восстановлении соответствующих ацетиленовых трифлатов в присутствии гексабутилдистанната.



Ацетиленовые сульфоны могут быть подвержены пиролитической экструзии S02 и рекомбинации, с образованием соответствующих ацетиленов.

.2.5 Присоединение галогенов

Ацетиленовые трифлаты реагируют с LiBr в трифторуксусной кислоте, с LiI в уксусной или с HF в пиридине, образуя соответствующие β-галогенвинил сульфоны, преимущественно в Z-конфигурации, которые можно перевести в Е-форму фотохимической изомеризацией аддуктов.


Сухой HCl или HBr присоединяется к ацетиленовому сульфону в присутствии галогенида меди (I) образуя соответственно β-хлор- или β-бромвиниловый сульфон. Селенилхлорид присоединяется аналогично и оба процесса регио- и стереоселективные.

.2.6 Гидролиз ацетиленовых сульфонов

Ацетиленовые сульфоны подвергаются кислотно-катализируемому гидролизу с образованием β-кето сульфонов.


Ацетиленовые трифлаты гидролизуются в отсутствии катализатора. Предварительный перевод ацетиленовых сульфонов в их кеталь или енамин производные сопряженного присоединения алкоксидов или аминов, с последующим гидролизом в более мягких условиях также приводит к соответствующим β-кетосульфонам. Окислительное расщепление ацетиленовых сульфонов до соответствующей кислоты идет через оксирановый интермедиат.

.2.7 Восстановление ацетиленовых сульфонов

Гидрирование ацетиленовых сульфонов в присутствии катализатора (палладий на угле) обычно приводит к насыщенным сульфонам.


Восстановление различных ацетиленовых сульфонов до соответствующих цис-виниловых сульфонов осуществляют с помощью MeEt2SiH/Cu(BF4)2, TaCl5/Zn/пиридин, (Cod)2Ni и затем уксусной кислотой или с использованием катализатора Lindlar.



Тогда как использование натрийборгидрида, диизобутилалюмогидрида (DIBAL) или гидроцирконирование с последующей обработкой водой, приводит, как правило, к транс-винил сульфонам.


Танталвиниловые интермедиаты, полученные восстановлением TaCl5/Zn присоединяются к карбонильному углероду альдегидов или кетонов с образованием соответствующего карбинола.


Гашением винилциркониевого интермедиата, полученного гидроцирконированием ацетиленового сульфона, аллил- или ацилгалогенидом, или N-галогенсукцинимидом получают виниловый сульфон с соответствующим аллил-, ацил- или галоген-заместителем в β-положении.


Фотохимическое присоединение алкилиодидов к терминальному ацетиленовому сульфону в присутствии гексабутилдистанната приводит к α-йодвиниловым сульфонам, которые переводят в виниловые сульфоны цинком в уксусной кислоте.

.3 Биологическая активность ацетиленовых сульфонов

Лечебные свойства сульфонов обусловлено сильным антигрибковым действием против возбудителей болезней кожи, а также за счет противовоспалительного, мягчительного, сосудорасширяющего действия. Установлено, что сульфоны, обладая достаточно высокой противогрибковой активностью, не проявляют антимикробной активности и мало токсичны.

Некоторые бисацетиленовые сульфоны выступают в качестве ДНК-расщепляющих агентов, что делает их потенциальными, представляющими интерес противоопухолевыми препаратами. Расщепление ДНК достигается двумя путями. В первом случае прототропной изомеризацией до соответствующего алленового сульфона с последующим алкилированием ДНК путем сопряженного присоединения к электрофильному аллену. Во втором случае, циклизацией алленового сульфона, что дает бирадикальный интермедиат, который оказывает цитотоксическое действие.


Некоторые стероидные пропаргиловые сульфоны рассматривают в качестве потенциальных ингибиторов фермента глюкозо-6-фосфатдегидрогеназы (Г6ФДГ), изомеризация которых в соответствующие алленовые сульфоны с последующим сопряженным присоединением к ферменту, приводит к его деактивации. Снижение уровня Г6ФДГ является профилактическим эффектом на некоторые виды рака.

.4 Стратегия синтеза


Получать 4-нитро-2-(фенилэтинилсульфонил)анилин будем из п-нитроанилина 7-и стадийным синтезом. На первой стадии синтезируем 2-бром-4-нитроанилин. На второй - защитим тозилом аминогруппу. Третья и четвертая стадии заключаются в нуклеофильном замещении бромида на дисульфид с образованием ди[5-нитро-2-(п-толуолсульфоамино)фенил] дисульфида и его окислении бромом в присутствии воды, получив тем самым 5-нитро-2-(п-толуолсульфоамино)бензолсульфобромид. На пятой стадии присоединим сульфобромид к фенилацетилену, получив β-бромвиниловый сульфон, а на шестой - проведем элиминирование гидробромида триэтиламином. Заключительная стадия - снятие тозильной защиты с ацетиленового сульфона.

Глава 2. Экспериментальная часть

.1 Синтез 2-бром-4-нитроанилина


В литровой круглодонной колбе растворили 34,5 г (0,25 моль) п-нитроанилина в 500 мл уксусной кислоты. Колбу снарядили обратным холодильником и поместили ее в кипящую водяную баню. В колбу с реакционной смесью начали приливать небольшими порциями раствор 13,4 мл (0,26 моль) брома в 36 мл уксусной кислоты через выходное отверстие холодильника, при этом наблюдалось обесцвечивание брома и выделение осадка. После перенесения всего раствора брома реакционную колбу нагревали на водяной бане 40 мин, а затем остудили при комнатной температуре. Осадок отфильтровали и промыли небольшим количеством воды. Полученный продукт растворили при нагревании в растворе 350 мл изопропилового спирта и 350 мл воды и оставили кристаллизоваться в холодильнике. Выпавший желтый осадок отфильтровали и отжали между листами фильтровальной бумаги. При внесении продукта на прокаленной медной проволоке в пламя горелки наблюдалось зеленое окрашивание пламени, что свидетельствует о наличие галогена в составе соединения. Выход 73%, т.пл.104. ИК-спектор получившегося соединения представлен в приложении.

2.2 Синтез N-(2-бром-4-нитрофенил)-4-метилбензолсульфоамида


В двугорлой колбе растворили 9,8 г (0,045 моль) 2-бром-4-нитроанилина в 100 мл хлористого метилена. В стакан на 50 мл поместили 7,3 мл (0,053 моль) триэтиламина и 30 мл хлористого метилена. В стакане на 100 мл растворил 8,6 г (0,045 моль) п-толуолсульфохлорида в 40 мл хлористого метилена. Приготовленные растворы выдержали в холодильнике 4 часа. После этого колбу с раствором 2-бром-4-нитроанилина поместили в кристаллизатор со смесью льда и соли и снарядили ее термометром. Перенесли в колбу раствор триэтиламина, а затем стали приливать небольшими порциями раствор п-толуолсульфохлорида, следя за температурой, чтобы она не поднималась выше 10. После этого охлаждение убрали и оставили реакционную колбу с закрытыми горловинами при комнатной температуре на двое суток. Почерневший за это время раствор упарили на половину, охладили в холодильнике и отфильтровали выпавший осадок. Фильтрат перенесли в фарфоровую чашку и испаряли растворитель при комнатной температуре. Продукт - коричнево-красная маслянистая жидкость.

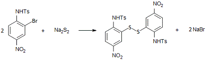
.3 Синтез ди[5-нитро-2-(п-толуолсульфоамино)фенил]дисульфида



В стакане на 100 мл смешали при нагревании 9,3 г (0,039 моль) кристаллического сульфида натрия с 50 мл этилового спирта. Затем сюда же внесли 1,3 г (0,040 моль) измельченной серы и кипятили 1 час до полного растворения. В процессе приготовления раствора дисульфида отделился более тяжелый слой его водного раствора. Верхний слой слили и в горячем состоянии перенесли его в реакционную колбу с кипящим N-(2-бром-4-нитрофенил)-4-метилбензолсульфоамидом.

.4 Синтез 5-нитро-2-(п-толуолсульфоамино)бензолсульфобромида



К раствору 3,8 г (6 ммоль) ди[5-нитро-2-(п-толуолсульфоамино) фенил]дисульфида в 50 мл безводной уксусной кислоте добавили 1,52 мл (30 ммоль) брома, при этом бром сразу обесцветился и выпал осадок. Затем к раствору прилили 10 мл воды и выдержали смесь при комнатной температуре и постоянном перемешивании 30 мин. Прилили к смеси 50 мл воды, отфильтровали осадок и промыли его 50 мл воды. Осадок зеленовато-коричневого цвета. При внесении продукта на прокаленной медной проволоке в пламя горелки наблюдалось зеленое окрашивание пламени, что свидетельствует о наличие галогена в составе соединения. Выход 70%, т. пл. 197. ИК-спектор получившегося соединения представлен в приложении.

Заключение

Ацетиленовые сульфоны содержат активированную тройную и связь, что дает большое разнообразие реакций присоединений, имеющие большую синтетическую полезность. Их легко получить с помощью различных методов. Биологическая активность ацетиленовых сульфонов мало изучена, но цитотоксическое действие оказываемое на опухолевые клетки и расщепление их ДНК дает предпосылки к созданию противораковых препаратов на основе ацетиленовых сульфонов и их изомеров.

К сожалению, из-за несовершенства методик и недостатка времени получить 4-нитро-2-(фенилэтинилсульфонил)анилин не удалось.

Литература

1. Wuts, Peter G.M. Greene’s protective groups in organic synthesis. - 4th ed. / Peter G.M. Wuts, Theodora W. Greene / A John Wiley & Sons, Inc. - 2007.

. Back T.G. The chemistry of acetylenic and allenic sulfones // Tetrahedron. -2001.-V. 57.-P. 5263-5301.

. Химия и медицина: тезисы докладов VIII Всероссийской конференции с международным участием. - Уфа: АН РБ, Гилем. - 2010. - С. 231 ISBN 978-5-7501-1124-4


Не нашли материал для своей работы?
Поможем написать уникальную работу
Без плагиата!
Без нейросетей!