Примеры решения типовых задач
Введение
Целью изучения курса «Теория электрических и магнитных цепей»
является всестороннее ознакомление студентов с электрическими и магнитными
явлениями. Глубокое понимание электрических и магнитных явлений дает
возможность целенаправленно использовать их при эксплуатации избегая при этом
нежелательных режимов. Курс формирует у студентов практические навыки
составления электрических схем и выбора необходимых электрических приборов,
помогают понять процессы, которые происходят в электрических и магнитных полях,
их физическое и математическое обоснование.
Данный сборник содержит условия и примеры решений типовых
задач по разделам Линейные цепи постоянного тока и Цепи переменного
синусоидального тока и может быть полезен студентам при решении контрольных заданий
и подготовке к экзаменам.
1.
Линейные цепи постоянного тока
Задача №1
Исходные данные:
R1=R2=R3=R4=2 Ом;=10 B
Вычислить ток, мощность и падение напряжения на R3
Преобразуем схему:
Ом
;
;
;
(А)
Вт
(B)
Задача №2
Исходные данные:
I1 = 3 A; I2 = 2,4 A; E1 = 70 B; E2 = 20 B; R1 = 8 Ом; R2 = 5 Ом.
Найти напряжение Uab.
(В)
Задача №3
Исходные данные:
Амперметр магнитоэлектрической системы с пределом измерения 1,0 А
имеет внутреннее сопротивление 0,5 Ом (RA).
Определите сопротивление шунта (Rш) с тем, чтобы прибором можно
было измерить токи до 5 А.
По 1-му з-ну К-фа: I=IШ+IA. Отсюда: IШ=I-IA=5-1=4 A.
напряжение ток цепь электрический
Uab=IA*RA=0,5
(B)
Тогда:
(A)
Задача №4
Есть вольтметр постоянного тока с пределом измерения 50 В и
внутренним сопротивлением 800 Ом (Rv).
Какое добавочное сопротивление Rдоб нужно подключить к прибору, чтобы им
можно было измерить напряжение до 600 В?
B;
B
A
B
Задача №5
Исходные данные:
R1=1 Ом; R2=2
Ом;
R3=3 Ом; R4=4
Ом;=10 B; Е2=5 В
1.
Найти
токи по з-нам Кирхгофа.
По 1-му з-ну:
I1+I2-I3=0
По 2-му з-ну:
I1·R1-I2·R2=E1+E22·R2+I3·(R3+R4)=-E2
Подставим данные:
I1+I2-I3=0
I1-2I2=15
I2+7I3=-5
Отсюда:
I1=5,435=-4,7833=0,652
2.
Найти
токи методом контурных токов.
Записываем систему уравнений:
I11·R11+I22·R12=E11
I11·R21+I22·R22=E22
R11=R1+R2=3; R12=-R2=-2; R21=-R2=-2;
R22=R2+R3+R4=9;= E1+E2=15; E22= - E2=-5
3I11-2I22=15
Отсюда:
I11=5,434783; I22=0,6521739= I11=5,4347826
(А)=-I11+I22=-4,7826087 (А)= I22=0,65217391 (А)
Задача №6
Исходные данные:
J=10 A;
R1=R2=R3=
=R5=R6=R7=
=1 Ом.
. Найти все токи по з-нам Кирхгофа.
1-й з-н:
-й з-н:
, или:
Получим систему уравнений:
Откуда:=1,25
A; I6=2,5 A; I2=3,75 A; I5=6,25; I7=1,25.
2. Проверить, выполняется ли баланс мощностей для
полученного результата.
Ом
(Вт)
(Вт)
Таким образом:
Задача №7
Исходные данные:
R1=1 Ом; R2=2 Ом;
R3=3 Ом; R4=4 Ом;
R6=6 Ом; R7=7 Ом;
Е1=10 В; Е2=5 В;
Е3=20 В
1.
Составить
уравнения по з-нам Кирхгофа и найти все токи методом контурных токов.
а)
1-й з-н К-фа:
-й з-н К-фа:
б)
Рассчитаем коэффициенты данной системы:
R11=R1+R2+R7=10 R12=-R2=-2 R13=-R7=-7
R21=-R2=-2 R22=R3+R4+R2=9
R23=-R4=-4 R31=-R7=-732=-R4=-4
R33=R7+R4+R5+R6=2211= - E3=-20
E22= E1-E2=5
E33= E2=5
Запишем формализованную систему уравнений для метода
контурных токов.
I11·R11+I22·R12+I33·R13=E11
I11·R21+I22·R22+I33·R23=E2211·R31+I22·R32+I33·R33=E33
Подставим полученные коэффициенты в исходную систему
10I11-2I22-7I33=-20
I11+9I22-4I33=5
I11-4I22+22I33=5
11=-2,48091622=-0,2671756
I33=-0,610687
Выразим искомые токи ветвей через контурные токи:
I1= I22=-0,26717557
(А)2= I22-I33=0,34351145 (А)3=-I11+I33=1,870229
(А)4= I11-I22=-2,2137405 (А)6= I33=-0,61068702
(А)7= I11=-2,480916 (А)
2) Найти все токи методом узловых потенциалов.
Запишем
формализованную систему уравнений для метода
контурных токов.
j1·G11+j2·G12+j3·G13=I11
j1·G31+j2·G32+j3·G33=I33
Рассчитаем коэффициенты данной системы
G11=1/R3+1/R2+1/R1=1,83333=-1/R3=-0,333333
G13=-1/R2=-0,5=1/R3+1/R4+1/(R5+R6)=0,674242=-1/R4=-0,25
G33=1/R4+1/R7+1/R2=0,892857=-E1/R3-E3/R1=-23,333322=E1/R3+E2/R4=4,58333
I33=-E2/R4=-1,25
Подставим полученные коэффициенты в исходную систему
1,8333j1-0,33333j2-0,5j3=-23,333
-0,33333j1+0,67424j2-0,25j3=4,5833
-0,5j1-0,25j2+0,89286j3=-1,25
j1=
-17,519
j2=
-6,7176
j3=
-13,092
j4=0
I3=(j2-j1-E1)/R3=0,267176 (А)
I4=(j2-j3-E2)/R4=0,343511 (А)
I7=(j4-j3)/R7=1,87023 (А)
I2=(j1-j3)/R2=-2,21374 (А)
I5=(j2-j4)/(R5+R6)=-0,610687
(А)
I1=(j4-j1-E3)/R1=-2,48092 (А)
3) Проверить, выполняется ли баланс мощностей для
полученного результата.
РН=I23·R3+I24·R4+I27·R7+I22·R2+I25·R5+I25·R6+I21·R1=0,214148+0,472+
+24,4843+9,80129+1,86469+2,23763+6,15494=45,229
(Вт)
Рист =E1·I3+E2·I4+E3·I1=-2,67176+-1,71756+49,6183=45,229
(Вт)
Задача №8
Исходные данные:
R1 = 10 Oм; R2= 20 Oм; R3= 15 Oм;'4 = 11
Oм; R''4= 14 Oм; R5= 32.5 Oм;
R'6 = 650 Oм; R''6= 26 Oм;
E2
= 35 В; E3= 37.5 В; J2 = 2 A
. Упростить схему, заменив
последовательно и параллельно соединённые резисторы четвёртой и шестой ветвей
эквивалентными. Дальнейший расчёт вести для упрощённой схемы
2. Составить
на основании законов Кирхгофа систему уравнений для расчета токов во всех
ветвях схемы
3. Определить токи во всех ветвях схемы методом контурных
токов
·
Упростим
схему заменив источник тока J2 дополнительной ЭДС.
·
Запишем
формализованную систему уравнений для метода контурных токов.
·
Рассчитаем
коэффициенты данной системы
·
Подставим
полученные коэффициенты в исходную систему
·
Выразим
искомые токи ветвей через контурные токи
4. Определить
токи во всех ветвях схемы методом узловых потенциалов
·
Примем
потенциал узла «с» равным нулю: jс=0.
·
Запишем
формализованную систему уравнений для метода контурных токов.
·
Рассчитаем
коэффициенты данной системы
·
·
Подставим
полученные коэффициенты в исходную систему
5. Результаты
расчёта токов, проведённого двумя методами, свести в таблицу и сравнить между
собой
|
|
I1
|
I2
|
I3
|
I4
|
I5
|
I6
|
|
метод
контурных токов (ток в Амперах)
|
-1,361
|
2,435
|
1,926
|
-0,852
|
1,074
|
-0,509
|
-1,3606
|
2,4345
|
1,9263
|
-0,85236
|
1,074307
|
-0,50816
|
|
относительная
погрешность. (в процентах)
|
0,02
|
0,02
|
0,015
|
0,042
|
0,028
|
0,165
|
6. _____Составить баланс мощностей в исходной
схеме (схеме с источником тока), вычислив суммарную мощность источников и
суммарную мощность нагрузок (сопротивлений).
7. _____Определить ток I1 в заданной по условию схеме с источником
тока, используя метод эквивалентного генератора.
·
Определим
напряжение холостого хода на зажимах разомкнутой ветви.
·
Определим
входное сопротивление двухполюсника заменив исходную схему эквивалентной
преобразовав схему соединения треугольником в схему соединения звездой.

·
Подсчитаем
ток через сопротивление R1
Начертить потенциальную диаграмму для любого замкнутого
контура, включающего в себя обе ЭДС
Контур ‘cambkc’.
2. Основы символического метода
Электрические цепи, в которых действуют изменяющиеся во времени
синусоидальные токи и напряжения называются цепями переменного тока.
Любая синусоидальная функция времени a(t) может быть однозначно
задана тремя параметрами: амплитудой, частотой и начальной фазой. Ее значение в
любой момент времени t определяется выражением вида
a(t) = a = Amsin (wt+ya), где (1)
Am - максимальное значение функции или ее амплитуда;
w - угловая частота или скорость изменения
аргумента функции, выраженная в [радиан/с];
ya - начальная фаза (аргумент функции в
момент времени, принятый за начало отсчета, т.е. при t = 0) в [радиан].
Аргумент синусоидальной функции t+a,
называется фазой или фазовым углом. Он определяет значение функции a(t)
в любой момент времени.
Кроме угловых величин, аргумент синусоидальных функций можно
представить также через временные величины, используя связь угловой частоты с
частотой f [Гц=1/с] или с периодом T=1/f [с] в виде w =2p
f =2p
/T.
Тогда wt+ya = 2p(t+yaT/2p)/T. Этому представлению
соответствуют верхние обозначения оси абсцисс на рис. 1.
В электрических цепях переменного тока синусоидальными
функциями времени являются ток, падение напряжения и ЭДС
i = Imsin (wt+yi); u = Umsin (wt+yu); e = Emsin (wt+ye).
Для этих величин принят ряд соглашений по обозначениям,
имеющим нормативную силу.
Мгновенные значения токов, напряжений и ЭДС
следует обозначать строчными буквами в виде i, u и e.
Максимальное значение или амплитуда
обозначается соответствующей прописной буквой с индексом m (Im, Um,
Em).
Помимо этих величин в цепях переменного тока широко
используют т.н. действующие значения. Величина постоянного тока эквивалентного
переменному току по количеству выделяемого тепла называется действующим или
среднеквадратичным значением переменного тока. Действующие значения
обозначаются прописными буквами без индекса.
Кроме действующих значений для синусоидальных величин иногда
используются также средние значения.
Описание электромагнитных процессов в цепях переменного тока
с помощью синусоидальных функций времени возможно только для простейших
случаев. Уже при смешанном соединении элементов выражения получаются настолько
сложными, что решение их крайне затруднительно.
Задача существенно упрощается, если синусоидальные функции
времени представить в виде векторов. Из курса математики известно, что
синусоидальная функция времени a(t) = Amsin (wt+ya) является проекцией на
ось ординат вектора длиной Am, вращающегося с угловой частотой .
Причем, положение этого вектора в начальный момент времени t = 0 должно
составлять угол ya с осью абсцисс (рис. 2 а) и б)).
Для построения изображающих векторов можно использовать любую
координатную систему на плоскости, однако наиболее удобной для проведения
расчетов является комплексная плоскость (рис. 2 в)). В этом случае изображающий
вектор Am сопоставляется с комплексным числом и его можно
определить четырьмя различными способами или формами записи:
1. алгебраическая форма - Am =
p + jq соответствует записи комплексного числа в виде вещественной p = ReA
и мнимой q = ImA составляющих (в отличие от математики, в электротехнике
буквой i обозначают ток, поэтому мнимую единицу принято записывать символом j);
. тригонометрическая форма - Am =
Am(cosy a+jsin y a) является
результатом записи вещественной и мнимой составляющих через модуль Am
и аргумент комплексного числа y a в виде p= Amcosy a и q= Amsiny a;
. показательная форма - Am =
Am e j a получается применением к
тригонометрической форме формулы Эйлера cosy a+jsin y a = e j
a;
. полярная форма - Am =
Am Ð y a является краткой записью модуля и аргумента
комплексного числа и не может использоваться для математических операций с
комплексными числами.
Между различными формами записи комплексных чисел или
изображающих векторов существуют очевидные соотношения, которые для наглядности
сведены в таблицу.
Таблица 1
|
Формы записи
|
Am = p + jq
|
Am=Am(cosya+jsinya)
|
Am = Am e jy a
|
|
Am = p + jq
|
-
|
p= Amcosy a q= Amsiny a
|
p= Amcosy a q= Amsiny a
|
Am =Am(cosya+jsinya)
-Am = Am
Am = Am e jy a
Am = Am
Замена синусоидальных функций a(t) комплексными числами и
изображающими их векторами A позволяет перейти от тригонометрических
функций времени к алгебраическим. При этом исходные синусоидальные функции
времени можно считать оригиналами, а комплексные числа и векторы их
изображениями или символами. Поэтому метод расчета электрических цепей,
использующий такое представление функций называется символическим.
Таблица 2.
|
Оригинал
|
Изображение
|
|
a(t)=Amsin
(w t+y a)
|
A=p+jq=Ae ja
|
|
|
C× a(t)=С× Amsin (w t+y a)
|
C× A=C (p+jq)=C× Ae ja
|
|
|
b(t)=a1(t)+a2(t)
|
B=A1+A2=
=(p1+p2)+j(q1+q2)
|
|
|
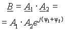
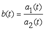
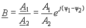
b(t)=a1(t)a2(t)
|
B=A1 A2= =(p1 p2)+j(q1 q2)
|
|
|
b(t)=a1(t)× a2(t)
|

|
|
|
 
|
|
|
|
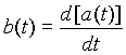
b(t)=[a(t)]n
|
B=An= Ane
jna
|
|
|
B=jw A= w × Ae j(y a+p /2)
|
|
|
|
 
|
|
|
При операциях с комплексными числами и изображающими их
векторами большую роль играют числа, модуль которых равен единице. Они
называются операторами поворота. Наиболее распространенными операторами
поворота являются числа 1, j, -1 и - j. Результаты умножения произвольного
комплексного числа A на эти числа показаны в таблице 3.
Таблица 3.
|
E
|
E× A
|
|
1
|
ej0
|
Ae jy
|
|
|
j
|
ej
/2
|
Ae j(y +p /2)
|
|
|
-1
|
ej
|
Ae j(y ± p)
|
|
|
-j
|
e j /2
|
Ae j(y - p /2)
|
|
Для исследования взаимных отношений различных величин,
векторы токов, напряжений и ЭДС строятся совместно на одной комплексной
плоскости и такая совокупность векторов называется векторной диаграммой.
3. Расчет цепей символическим методом
Индуктивность L и емкость C называются реактивными
элементами электрической цепи. Реактивными называются также соответствующие
сопротивления и проводимости. Это связано с тем, что падение напряжения на
индуктивности и ток через емкость появляются только как следствие или реакция
на изменение тока или разности потенциалов.
В резисторе падение напряжения не связано с изменением тока,
поэтому его сопротивление, в отличие от реактивного, называется активным или
резистивным сопротивлением.
Величина Z = r+j(xL xC)
= r+jx = Ze j называется комплексным
сопротивлением. Его вещественная часть r называется резистивным
сопротивлением, а мнимая x = xL xC
- реактивным сопротивлением. Комплексное сопротивление является
отношением комплексного падения напряжения к комплексному току
Поэтому его модуль Z можно определить через отношение модулей
напряжения и тока Z=U/I или через резистивную и реактивную составляющую.
Модуль комплексного сопротивления называется полным сопротивлением.
Соотношение между напряжением и током в электрической цепи
можно выразить также величиной обратной сопротивлению
Величина Y называется комплексной проводимостью
Вещественная составляющая комплексной проводимости называется
резистивной проводимостью, а мнимая - реактивной проводимостью.
Понятие потенциала или разности потенциалов u позволяет
определить работу, совершаемую электрическим полем при перемещении элементарного
электрического заряда dq, как dA = udq. В то же время, электрический ток равен
i = dq/dt. Отсюда dA = ui dt, следовательно, скорость совершения работы, т.е.
мощность в данный момент времени или мгновенная мощность равна
где u и i - мгновенные значения напряжения и тока.
Мгновенная мощность является переменной величиной и для ее
оценки используется понятие средней мощности за период.
Величина cosj называется коэффициентом
мощности.
Из этого выражения следует, что средняя мощность в цепи
переменного тока зависит не только от действующих значений тока I и напряжения
U, но и от разности фаз между ними. Максимальная мощность
соответствует нулевому сдвигу фаз и равна произведению UI. При сдвиге фаз между
током и напряжением в 90 средняя мощность равна нулю.
Среднюю мощность P называют также активной мощностью и
измеряют в ваттах [Вт].
Переменная
составляющей мгновенной мощности определяется по формуле
Q = UIsinj и называется реактивной
мощностью. Она равна среднему за четверть периода значению энергии, которой
источник обменивается с магнитным и электрическим полями нагрузки. Реактивная
мощность не преобразуется в тепло или другие виды энергии, т.к. ее среднее
значение за период равно нулю.
В отличие от всегда положительной активной мощности, реактивная
мощность положительна при j > 0 и отрицательна при j < 0.
Для реактивной мощности единицами измерения являются
вольт-амперы реактивные [ВАр].
Величина S называется полной или кажущейся мощностью.
Полную мощность можно представить гипотенузой прямоугольного
треугольника с углом , катетами которого являются активная и реактивная
мощности. Треугольник мощностей можно описать также с помощью комплексных чисел
и изобразить векторами на комплексной плоскости в виде
где S - комплексная полная мощность, - сопряженный
комплексный ток.
Задача 2.1. Найти выражение для комплексного сопротивления Z и комплексной проводимости Y, если
Oм,
мГн,
с-1
Решение
, Ом.
.
Задача 2.2. Найти выражение для комплексного сопротивления Z и комплексной проводимости Y, если
Oм,
c-1,
мкФ.
Решение
.
Задача 2.3. Определить комплекс полной мощности, если
, В,
, А.
Решение
;
, В,
, А,
, А;
.
Задача 2.4. Определить активную и реактивную мощности, если
, В,
, В,
, А.
Решение
;
, В,
, А,
, А;
.
Отсюда
, Вт,
, вар.
Рекомендуемая
литература
1.
Методическое
пособие для самостоятельной работы студентов по курсу «Теория электрических и
магнитных цепей». Файнштейн В.Г., Супрунова Ю.А.
2.
Теоретические
основы электротехники. А.А. Бессонов. Издательство «Высшая школа», Москва, 1967
г.