Составление дискретных экономических моделей и анализ сценариев развития на основе этих моделей
Введение
Особенностью функционирования промышленных предприятий в современных
условиях является их постоянная зависимость от всех субъектов совокупности
общей инфраструктуры. Предприятие в процессе производственно-хозяйственной
деятельности постоянно вступает в прямые и косвенные взаимоотношения с
поставщиками сырья (материалов), комплектующих изделий, потребителями готовой
продукции и конкурентами. Последние, исходя из цели любого предприятия, -
создать своего потребителя, стараются укрепить свое положение на рынке,
ослабляя тем самым положение других предприятий. Для того чтобы выжить в
современных условиях, предприятие должно быть экономически устойчивым.
Под экономической устойчивостью предприятия понимается -
равновесное сбалансированное состояние экономических ресурсов, которое
обеспечивает стабильную прибыльность и нормальные условия для расширенного
воспроизводства устойчивого экономического роста, в длительной перспективе
[16].
Для достижения экономической устойчивостью предприятия современному предпринимателю
Украины необходимо прогнозировать уровень рентабельности деятельности с учетом
изменения внешних экономических (нестабильность цен, налогообложения) и
природных факторов. Особенно эта задача актуальна для предпринимателей,
строящих свой бизнес на внешних инвестициях. Для такого анализа необходимо
иметь определенную математическую модель, описывающую предметную область.
Именно последней проблеме и посвящена данная дипломная работа.
Прогнозирование последствий принимаемых экономических решений наталкивается
на большие трудности [19]. Во-первых, это трудности идеологического характера,
поскольку зачастую решения принимаются именно в соответствии с идеологией, а не
с экономикой. Во-вторых, это собственно трудности прогнозирования. Большинство
математических моделей в экономике опираются на некие стандартные
представления, справедливые при относительно стабильной ситуации [20]. Кроме
того, экономические модели всегда отражают реалии той страны, для которой они
были разработаны.
В настоящее время существует множество программных продуктов для ведения
учета предпринимательской деятельности. Самым распространенным является
программа «1С Предприятие», которая имеет различные конфигурации,
удовлетворяющие все отрасли деятельности. Анализ результатов принятых решений с
помощью данной программы процесс достаточно трудоемкий и требующий глубоких
знаний не только бухгалтерского и налогового учета Украины, но и самой
программы. А прогнозирование результатов с помощью 1С в принципе не
предусмотрено Это неудобно, т.к. предприниматель не может объективно принять
решение.
Для реализации такого анализа надо иметь соответствующие динамические
экономические модели. Достаточно известными и распространенными являются,
например, динамические уравнения Леонтьева [8]. С математической точки зрения
эти уравнения есть так называемыми дифференциальными уравнениями. Аппарат
дифференциальных уравнений хорошо развит в математическом отношении и позволяет
уверенно реализовывать как этап составления модели, так и этапы решения уравнений
и анализа результатов решения.
В то же время известно, что экономические процессы носят принципиально
дискретный характер [7]. Платежи проводятся через конечные промежутки времени и
конечными суммами. Доход той или иной экономической системы - предприятия,
государства - вычисляется так же через конечные промежутки времени и конечными
суммами. Все это позволяет утверждать, что дифференциальные модели являются в
данном случае сознательно приближенными и сглаживают реальные дискретные
процессы.
Особенностью данной работы является то, что в ней показывается, каким
образом можно строить, на основании экономических законов математические модели
с обязательным условием, что для любой такой модели строится алгоритм ее
компьютерной реализации.
Подобный подход позволяет, при выработке какого-то политического решения,
строить соответствующую модель высокой степени адекватности и просчитывать на
компьютере так называемые сценарии развития в соответствии с этой моделью.
При таких условиях можно рассчитывать на то, что экономические
эксперименты будут перенесены из реальной жизни в виртуальный компьютерный мир,
а для реальности будут выбираться, по крайней мере, те решения, которые
показали свою эффективность на компьютере [11].
Работа посвящена вопросам составления дискретных экономических моделей и
анализу сценариев развития на основе этих моделей.
Дискретные модели позволяют учитывать ряд вопросов более точно, чем
дифференциальные; в то же время их реализация на компьютере проще и
естественней, чем в дифференциальном случае.
Глоссарий
Валовой доход - денежная выручка предприятий промышленности и сельского
хозяйства, полученная от реализации продукции и услуг, за вычетом материальных
затрат.
Валовая прибыль (свободный остаток) - часть валового
дохода предприятия, которая остается у него за вычетом всех расходов.
Себестоимость - это выраженные в денежной форме затраты (издержки
производства) на потребленные при изготовлении продукции средства производства,
оплату труда рабочих, услуг других предприятий, расходы по реализации
продукции, затраты по управлению и обслуживанию производства
Бухгалтерская проводка - процесс учета методом двойной записи информации о
наличии и движении активов, капитала, обязательств и фактах
финансово-хозяйственной деятельности предприятий, организаций.
Основные средства (ОС) - это та часть средств производства,
которая в процессе производства используется постепенно, в течении нескольких
циклов производства, и стоимость которой переносится на готовый продукт по
частям, постепенно поступает в обращение и постепенно возмещается из стоимости
реализованной продукции.
Амортизация - постепенное перенесение стоимости ОС на производимую
продукцию в целях накопления денежных средств для полного их восстановления.
Сектор - это существенная и относительно самостоятельная часть
определенной экономической системы.
1.
Описание предметной области
1.1 Моделирование односекторной экономической системы
Статическая
модель.
Уравнения Леонтьева дают математическую форму обычного бухгалтерского
баланса. В связи с этим их называют моделью «затраты - выпуск». Рассмотрим
вначале простейшие варианты этих уравнений.
Начнем с рассмотрения односекторной экономики в силу ее наибольшей
простоты.
Деятельность
основана на производстве пищевых изделий и их реализации. В активах предприятия
используются внешние инвестиции (кредит банка) в размере 200000 грн.
Загрузив
итоговые показатели предприятия за последние три месяца деятельности, имеем
таблицу 1 «Итоговые показатели предприятия».
Таблица 1. Итоговые показатели предприятия
|
t
|
Валовой продукт (x)
|
Производственные расходы
(w)
|
|
январь
|
231004,5
|
201374,02
|
|
февраль
|
231004,5
|
201374,02
|
|
март
|
231004,5
|
201374,02
|
Данные таблицы 1 являются характеристикой простейшей экономической
системы.
В этом случае основной составляющей производственного процесса является
величина W - это часть валового продукта x, которая возвращается
в производство в качестве сырья и других обязательных производственных
расходов. Очевидно, что в нашем случае она пропорциональна суммарной стоимости
продукции x, т.е.:
.
Величину
а, которая показывает долю оставляемой в производстве части
продукции, называют производственным коэффициентом. Из данных
таблицы определяем величину производственного коэффициента:
=
201374,02 / 231004,5 = 0,87
Зная
производственный коэффициент а и величину производственных расходов w,
прогнозируем развитие предприятия в последующие месяцы:
t =
= 201374,02 / 0,87 = 231004,5
Т.к.
w - это часть валового продукта x, то следовательно остается
свободный остаток y, используемый на непроизводственные нужды:
,
это
и есть уравнение Леонтьева для односекторной экономики [].
Изобразим
графически описанную экономическую систему (рис.1).
Рис. 1 Графическая модель
На рисунке 1 «Графическая модель» изображены факторы, которые
характеризуют производственный процесс предприятия (прямоугольник F).
Валовой продукт x распределяется в блоке Рх на часть W,
которая идет на производственное потребление, и конечный продукт y.
Для нашего случая вычисляем значения у в последующие промежутки времени
по формуле:
= 29630
грн.
Проведя
описанные расчеты, получаем прогнозируемые данные, рисунок 2 «Статическая
модель Леонтьева».
Рис. 2 Статическая модель Леонтьева
Подведем итоги:
предприятие вкладывало на протяжении года ежемесячно в производственный
процесс постоянную часть валового дохода и в итоге ежемесячно получало
постоянный доход.
Такая экономическая система является наглядным примером статической
модели Леонтьева. Описанная модель позволяет прогнозировать показатели экономической
системы только в случае их неизменности во времени.
Напомним, что предприятие осуществляет свою деятельность, используя
внешние инвестиции в сумме 200000 тыс. грн. Наша модель наглядно
проиллюстрировала, что по истечении срока займа на балансе предприятия не будет
нужной суммы свободных средств на погашение кредита, так как свободный остаток
держится на уровне 29630 грн.
Таким образом, данная модель не подходит для деятельности предприятия с
имеющимися экономическими показателями.
Динамическая
модель.
Избавление от внешних инвестиций.
Для того чтобы повысить уровень свободного ежемесячного остатка, надо
уменьшить валовые расходы предприятия, т.е. себестоимость продукции. Я
предлагаю избавиться от внешних инвестиций за счет свободного остатка.
Предположим, что ежемесячный валовой доход предприятия (Х) - величина
постоянная.
Изобразим графически описанную экономическую систему (рис. 3).
Рис. 3 Динамическая модель
Процесс погашения ссуды будет происходить следующим образом:
· ежемесячно часть свободного остатка (у), допустим 50%, будет уходить на
погашение тела кредита;
· выделим из ежемесячной величины производственных расходов (wt),
сумму процентов (∆w), начисляемых банком на тело кредита (Iт)
согласно договора ссуды:
,
т.к.
, и доходы не меняются, то
.
Т.е.,
погашение кредита повлечет за собой уменьшение производственного коэффициента
(а). Тогда, прирост прибыли, свободного остатка (у), будет описываться
следующим дискретным уравнением:
.
Это
уравнение позволяет вычислить увеличение свободного остатка
при известном
.
Повторяя эти вычисления циклически, получаем дискретную зависимость
от времени .
В таблице 2 и на рисунке 4 отражены результаты, полученные после выше описанных
вычислений. Расчеты основывались на показателях нашей экономической системы.
Таблица 2. Погашение внешних инвестиций
|
время (t)
|
валовой продукт (x)
|
Производственные расходы
(w)
|
Производственный
коэффициент (а)
|
Прибыль (у)
|
|
Январь 07
|
231004
|
201374
|
0,87173
|
14815
|
|
февраль 07
|
231004
|
201085
|
0,87066
|
14938
|
|
март 07
|
231004
|
200794
|
0,86958
|
15063
|
|
апрель 07
|
231004
|
200501
|
0,86850
|
15188
|
|
май 07
|
231004
|
200205
|
0,86740
|
15315
|
|
июнь 07
|
231004
|
199907
|
0,86629
|
15443
|
|
июль 07
|
231004
|
199606
|
0,86518
|
15571
|
|
август 07
|
231004
|
199303
|
0,86406
|
15701
|
|
сентябрь 07
|
231004
|
198997
|
0,86292
|
15832
|
|
октябрь 07
|
231004
|
198688
|
0,86178
|
15964
|
|
Ноябрь 07
|
231004
|
198377
|
0,86063
|
16097
|
|
декабрь 07
|
231004
|
198064
|
0,85947
|
16231
|
|
январь 08
|
231004
|
198041
|
0,85730
|
32963
|
|
февраль 08
|
231004
|
198041
|
0,85730
|
32963
|
Рис. 4 Погашение внешних инвестиций
Рисунок 4 наглядно демонстрирует, что с уменьшением себестоимости,
увеличивается прибыль (чистый доход).
Подведем итоги:
1) полное погашение кредита;
2) снижение себестоимости продукции (w);
) рост свободного остатка;
) сэкономили 16758 грн. на выплате %-в инвестору.
Таким образом, мы видим, как на двенадцатом шаге дискретного времени,
система опять вошла в стабильное статическое состояние с величиной свободного
остатка большей, чем в рассмотренной ранее стадии деятельности.
Развитие на собственных инвестициях.
В настоящее время считается, что для расширения производства обязательно
нужны какие-то внешние инвестиции. Однако это совсем необязательно и так было
не всегда. Например, знаменитый автомобильный магнат Генри Форд начинал с сарая
на ферме, где он своими руками строил свои первые автомобили и постепенно,
исключительно за счет вкладывания собственных средств, расширил производство до
размеров гигантской промышленной империи.
Во втором варианте динамической модели рассмотрим именно такую ситуацию
расширения за счет использования части свободного остатка (рис. 5).
Рис. 5 Развитие на внутренних инвестициях
Избавившись от внешних инвестиций в случае статических показателей
внешней экономической среды, мы получили неизменный производственный
коэффициент а.
Допустим, что для непроизводственных расходов достаточно половины суммы
свободного остатка в размере C = yt*50%, грн. в месяц. Тогда в единицу времени инвестиции будут равны:
,
а
прирост инвестиций в момент времени равен:
.
Соответственно
прирост валовых расходов:
.
Объем
валового дохода в определенный момент времени равен:
,
тогда
его прирост равен:
,
т.к.,
С - величина постоянная.
Учитывая,
что
и,
то:
.
Таким
образом, прирост валового дохода в дискретном времени равен величине
инвестиций, вкладываемых в производство.
Практически
описанная модель даст результаты, предоставленные в таблице 3 и
графически на рисунке 6.
Таблица 3 Внутреннее инвестирование
|
t
|
 
|
|
|
|
1
|
246125
|
35121
|
15121
|
|
2
|
263763
|
37638
|
17638
|
|
3
|
284337
|
40574
|
20574
|
|
4
|
308335
|
43998
|
23998
|
|
5
|
336327
|
47992
|
27992
|
|
6
|
368979
|
52652
|
32652
|
|
7
|
368979
|
52652
|
32652
|
|
8
|
368979
|
52652
|
32652
|
|
9
|
368979
|
52652
|
32652
|
|
10
|
368979
|
52652
|
32652
|
|
11
|
368979
|
52652
|
32652
|
|
12
|
368979
|
52652
|
32652
|
|
13
|
368979
|
52652
|
32652
|
|
14
|
368979
|
52652
|
32652
|
Рис. 6 Внутреннее инвестирование
Подведем итоги:
Таким образом, ограничение непроизводственных расходов (20000 в месяц)
было только временным, и это временное ограничение привело в результате к росту
этих расходов, т.е. к росту уровня жизни тех, кто занят в данной экономической
системе.
Кроме того, значительно выросла месячная величина валового дохода. Это
привело к укреплению предприятия на рынке. Более того, по объему выпуска
продукции предприятие подошло до так называемой точки насыщения рынка. Это
значит следующее:
· развитие в этой отрасли достигло своей наивысшей точки;
· величина свободного остатка (непроизводственных расходов)
освободилась, т.к. производство налажено. Таким образом, повысился уровень
жизни сотрудников, занятых в данной экономической системе;
· появилась возможность начать развитие новой сферы
деятельности за счет величины свободного остатка.
1.2 Моделирование двухсекторной
экономической системы
Предложим предпринимателю начать развитие второй отрасли предприятия за
счет части величины свободного остатка, например, оптовой торговлей двигателями
к сельскохозяйственной технике.
Схематически двух отраслевая модель предприятия изображена на рисунке 7.
Рис. 7 Двух отраслевая модель 1
Если учесть, что производство первого сектора полностью налажено, чего мы
достигли в предыдущем подпункте, то можно упростить приведенную схему. Будем
считать, что инвестирование пока необходимо только второму сектору.
Двухсекторная модель для рассматриваемого предприятия изображена схематически
на рисунке 8.
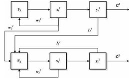
Рис. 8 Двух отраслевая модель 2
На рисунке 8 изображены факторы, которые характеризуют производственный
процесс: в блоки распределения F1 и F2 поступают производственные ресурсы w11
и w22, возвращенные в производство как часть валового дохода xt1 и xt2 соответственно. На первом этапе часть
свободного остатка первого сектора (I21) уходит на инвестирование основных
фондов второго сектора, а оставшаяся часть (С1)
остается в первом секторе на непроизводственные расходы, т.е.:
.
Развитие
второго сектора будет происходить следующим образом:
1. Накопление необходимой для деятельности величины ОПФ2,
допустим 59360 грн.;
.
На
рисунке 9 «Начальная стадия развития второго сектора» наглядно демонстрируется
рентабельность каждого сектора в отдельности и всего предприятия в целом во
время формирования основного капитала, необходимого для деятельности второй
отрасли.
Рис. 9 Начальная стадия развития второго сектора
Т.е., первые три месяца, как видно с рисунка 9, деятельность второго
сектора убыточна. Это объясняется тем, что продажи еще нет, но минимальные
расходы уже существуют (например, зарплата менеджеру, изучающему рынок спроса и
предложения товара), т.е.:
так как
,
(уравнение
Леонтьева [] для односекторной экономической системы), то при нулевых доходах
второго сектора:
его
свободный остаток будет отрицательным:
.
На
эти расходы деятельности второго сектора выделяется часть валового дохода x2t1
первого сектора. Обозначим указанную часть через
. Тогда
деятельность нашей двухсекторной экономической системы на данном этапе можно
описать следующей системой уравнений:
Поэтому в целом деятельность предприятия прибыльна за счет первого
сектора.
. После приобретения ОПФ2 часть свободного остатка первого
сектора (I21) будет уходить на потребительские ресурсы (закупку товара)
второго сектора (w22). Так же на потребительские ресурсы второго сектора (w22) будет уходить и часть свободного
остатка второго сектора (I22).
Допустим, нам известна величина а2, которая показывает долю
дохода второго сектора оставляемую на приобретение товара. Тогда:
Таким образом, динамическая модель второго сектора приобретает вид
системы уравнений:
;
.
Таким
образом, предприятия для дискретного времени опишем следующей системой
уравнений:
,
налаженное
производство первого сектора описывается статическим уравнением Леонтьева;
-
прирост валового дохода второго сектора,
;
;
.
Положим
величины свободных остатков (Сt1,
Сt2) равными соответственно величинам инвестиций (It1, It2).
Практически
описанная модель даст результаты, предоставленные в таблице 4 и графически на
рисунке 10 «Двухсекторная система»
Подведем итоги.
19 За четырнадцать шагов дискретного времени предприятие на собственных,
внутренних, инвестициях сможет организовать и «твердо поставить на ноги» вторую
отрасль деятельности, которая уже на одиннадцатом шаге будет приносить валовой
доход в трехкратном размере, превышающий доход первой отрасли.
19 Рентабельность предприятия, которое имеет более одного вида
деятельности надо рассматривать как сумму рентабельностей секторов. Разбиение
единой экономической системы на сектора позволяет выявить и решить ряд проблем,
которые без такого разбиения не видны.
Таблица 4 Двухсекторная система
|
2-й сектор а = 0,65696666666
|
1-й сектор а = 0,86449699464
|
|
t
|
wt2
|
xt2
|
I22t
|
Ct2
|
wt1
|
xt1
|
I21t
|
Ct1
|
|
4
|
29965
|
34568
|
2301
|
2301
|
289773
|
335192
|
22710
|
22710
|
|
5
|
54976
|
72638
|
8831
|
8831
|
289773
|
335192
|
22710
|
22710
|
|
6
|
70645
|
96490
|
7650
|
7650
|
289773
|
335192
|
6838
|
6838
|
|
7
|
101006
|
142702
|
20848
|
20848
|
289773
|
335192
|
22710
|
22710
|
|
8
|
144564
|
209004
|
32220
|
289773
|
335192
|
22710
|
22710
|
|
9
|
183542
|
268335
|
19198
|
19198
|
289773
|
335192
|
6759
|
6759
|
|
10
|
225450
|
332125
|
53338
|
53338
|
289773
|
335192
|
22710
|
22710
|
|
11
|
301498
|
447881
|
73191
|
73191
|
289773
|
335192
|
22710
|
22710
|
|
12
|
381374
|
569464
|
0
|
79005
|
289773
|
335192
|
0
|
13370
|
|
13
|
381374
|
569464
|
0
|
188090
|
289773
|
335192
|
0
|
45420
|
|
14
|
381374
|
569464
|
0
|
188090
|
289773
|
335192
|
0
|
45420
|
Рис. 10 Двухсекторная система
моделирование экономический инвестиция график
1.3
Неформальная постановка задачи
Требуется разработать программный продукт, анализирующий экономические
показатели предприятия.
Анализ показателей покажет:
· прибыльность (рентабельность) предприятия;
· прогноз рентабельности при различных начальных параметрах
системы;
· поиск более рентабельных вариантов работы;
· причины убыточности;
· на каком этапе (при каких показателях) предприятие может себе
позволить расширение (приобретение нового оборудования; развитие новой отрасли
деятельности);
· преимущество внутренних инвестиций над внешними;
· какими должны бать параметры системы, чтобы она выстояла
конкуренцию.
Полученные характеристики преимуществ и недостатков помогут руководителю
более объективно сравнить варианты решения и принять наилучшее.
В приложении Б приведена диаграмма использования (Use Case).
2. Обзор существующих методов решения
2.1 Аналогичные (конкурирующие) решения
В настоящее время существует достаточно разнообразных программных
продуктов для управления предприятиями, причем, каждое предприятие использует
свой вид программного обеспечения. Однако эти ПО предусмотрены в основном для
учета деятельности.
Рассмотрим программный комплекс «1С Предприятие» [], который ныне
используется на большинстве предприятий. Эта программа делает расчёты и
ведет учет, что необходимо при работе на предприятии. Она значительно упрощает
работу бухгалтеров. Но для анализа деятельности и тем более прогнозирования
развития она неудобна. Рассмотрим подробнее причины неудобств.
1 Для анализа необходимо наличие данных. Необходимо ввести приход или
расход товара по всем наименованиям, и только после этого происходит сохранение
информации и необходимые проводки. Это достаточно трудоемкий процесс, если
прогнозировать результаты работы, так как необходимо сделать множество
проводок.
2 Итоговые данные за дискретный период формируются в оборотно -
сальдовую ведомость (ОСВ). Для наглядности я предлагаю пример ОСВ в приложении
А. Руководителям такая сводная таблица данных нечитабельна и непонятна, потому
что несет много дополнительной, специфической информации и зависимости
показателей непрозрачны.
Учитывая все эти недостатки на предприятии ООО «Агро-Двор» было решено
создать приложение к программе 1С-предприятие, в котором были бы учтены все
вышеописанные моменты. Данный проект более удобен и понятен для пользователя и
позволяет выполнять разные функции, необходимые в работе.
2.2
Существующие методы решений
Моя работа посвящена изложению классических результатов лауреата
Нобелевской премии по экономике Василия Леонтьева []. В теории Леонтьева можно
отметить следующие важные обстоятельства. Во-первых, ему удалось представить
важные экономические соотношения в виде хорошо оформленных математических
уравнений. Во-вторых, он на практике показал, как составлять и решать эти
уравнения в конкретных экономических задачах. Это тем более важно, что нередко
математики составляют некие уравнения, якобы имеющие экономический смысл, и в
то же время никому неизвестно, как применить эти уравнения к решению реальных
экономических задач. Леонтьев был категорическим противником подобного подхода.
Он считал, что математические уравнения только тогда могут быть полезны в
экономике, когда соответствующий пользователь - экономист может задать
параметры, входящие в эти уравнения и решить уравнения с целью получения
конкретного экономического результата.
Теория Леонтьева полностью удовлетворяет указанным требованиям.
За основу при описании динамики экономических систем принят аппарат
дифференциальных уравнений [], как хорошо развитый в математическом отношении и
позволяющий уверенно реализовывать как этап составления модели, так и этап
решения уравнений и анализа результатов решения.
В то же время, известно, что экономические процессы носят принципиально
дискретный характер. Платежи происходят через конечные промежутки времени и
конечными суммами. Доход той или иной экономической системы - предприятия,
государства - исчисляется также через конечные промежутки времени и конечными
суммами. Все это позволяет утверждать, что континуальные модели, опирающиеся на
аппарат дифференциальных уравнений, являются в данном случае заведомо
приближенными, сглаживающими реальные дискретные процессы (рис. 11).
Рис. 11 Существующие методы решений
На рисунке 11 наглядно демонстрируется разница представления результатов
анализа с помощью континуальной (экспоненциальная кривая) и дискретной (ломаная
кривая) моделей.
Данная работа посвящена вопросам использования дискретных экономических
моделей и анализу сценариев развития на базе этих моделей.
Дискретные модели позволяют учесть ряд вопросов более точно, чем
дифференциальные; в то же время их реализация на компьютере более проста и
естественна, чем в дифференциальном случае [4].
Целью данной дипломной работы является создание именно такого продукта,
на основе экономических показателей предприятия, который будет наглядно
представлять результаты анализа данных экономической системы.
3.
План работ
Процесс изучения предметной области и разработки программного продукта
состоит из нескольких этапов. На каждом из этапов разработчики программы
выполняют определенный объем работ. Сроки выполнения каждого этапа зависят от
многих факторов. При анализе и проектировании дипломного проекта было выделено
5 этапов. Эти этапы отвечают подразделам дипломной работы. Каждый из этапов
несет определенное содержание.
План работ и содержание этапов приведенные ниже, в таблице 5.
Таблица 5. План работ
|
Наименование этапа
|
Содержание этапа
|
|
1. Подготовительный этап
|
Сбор, изучение и анализ
экономических показателей предприятия. Систематизация данных. Постановка
задачи.
|
|
2. Создание системы анализа
данных.
|
Подбор набора данных,
необходимых для анализа. Подбор способа отображения анализируемых данных.
Проектирование формы выведения отчетов.
|
|
3. Теоретические
исследования
|
Математическое
моделирование
|
|
4. Подбор средств
реализации
|
Выбор языка
программирования
|
|
5. Написание программной
части
|
Создание приложения.
|
|
6. Завершающий этап
|
Разработка окончательного
интерфейса программного продукта. Тестирование программного комплекса.
Внедрение в работу.
|
4.
Требования к окружению
4.1 Требования
к аппаратному обеспечению
Необходимый минимальный состав ПК:
· Процессор с частотой 800 MHz.
· ОЗУ: 256 Mb.
· НЖМД: 10 GB свободного пространства.
· Видеоадаптер: VGA/SVGA совместимый, разрешение экрана
800*600, 16 бит цвет.
· Клавиатура, мышь.
· Монитор: 15`` - 17``.
Оптимальные требования:
· Процессор с частотой 1500
MHz.
· ОЗУ: 512 Mb.
· НЖМД: 40 GB
свободного пространства.
· Видеоадаптер: VGA/SVGA совместимый, разрешение экрана
1024*768, 32 бит цвет.
· Клавиатура, мышь.
· Монитор: 17`` -
19``.
4.2 Требования
к программному обеспечению
· Одна из ОС семейства Win32: Windows 9x/Me/NT4/2000/XP;
· Программа 1С с конфигурацией «Бухгалтерский учет Украины»
4.3
Требования к пользователям
Данную программу необходимо применять для решения конкретной задачи.
Поэтому от пользователя требуется понимание специфики задачи, знание
конкретных входных параметров для получения промежуточных и конечных
результатов. А так же требуются базовые навыки работы с компьютером, умение
пользоваться элементами Windows-интерфейса.
Кроме этого для бухгалтера требуются хорошие знания бухгалтерии, налогового
законодательства и программы 1С-бухгалтерия.
5.
Архитектура системы
(общие требования)
Разработанный программный продукт изображенный на рисунке 1 представляет
собой двухуровневую систему:
· программа 1С-бухгалтерия;
· приложение «Анализ Предприятия» на базе Borland
Delphi 7.
С помощью программы 1С «Бухгалтерский учет Украины», которая представляет
собой комплексное решение по ведению бухгалтерского учета на предприятии,
производится выгрузка данных в типизированный файл.
Приложение «Бизнес Анализ» выполняет загрузку данных из файла и проводит над ними автоматизированный
анализ с выводом на экран понятных пользователю таблиц и графиков,
(рис. 12).
Рис. 12 Диаграмма развертывания системы
6.
Спецификация данных
Для хранения информации и передачи ее между 1С «Бухгалтерский учет
Украины» и приложением выполняющий анализ предприятия происходит при помощи
стандартного файл обмена с использованием типизированного файла стандарта dBase
IV.
6.1 Описание
формата или структуры данных
Проанализировав предметную область, были выявлены данные необходимые для
анализа. В связи с чем был сформирован файл имеющий структуру, представленную в
таблице 6.
Таблица 6 Структура файла
|
Наименование поля
|
Тип данных
|
Описание
|
|
MONTH
|
string
|
Дискретный шаг (месяц)
|
|
KOVR
|
float
|
Валовые расходы
|
|
KO6416
|
float
|
Налог на прибыль
|
|
KOVD
|
float
|
Валовые доходы
|
|
DO94
|
float
|
Прочие расходы
|
|
KO131
|
float
|
Амортизация
|
|
SNDCO2
|
float
|
Балансовая стоимость ОС
группы 2
|
|
SNDCO3
|
float
|
Балансовая стоимость ОС группы
3
|
|
DO20
|
float
|
Расходы на приобретение
сырья, товаров
|
|
DO951
|
float
|
Проценты по кредиту
|
|
KO66
|
float
|
Тело кредита
|
|
KO6852
|
float
|
Расходы на приобретение
услуг
|
|
SKK60
|
float
|
Расходы по заработной плате
|
7.
Функциональные требования
7.1 Функциональные
требования к аппаратной части
Система должна обладать достаточным быстродействием дисковой подсистемы
для нормального обмена данными между 1С «Бухгалтерский учет Украины» и
приложением «Анализ Предприятия» выполняющий анализ.
7.2 Функциональные
требования к программной части
Программная часть должна:
· быть простой в использовании (иметь удобный интерфейс);
· иметь возможность руководителю, бухгалтеру и экономисту
просматривать исходные данные в соответствии с их полномочиями;
· иметь программные инструменты для создания и редактирования
данных:
· предоставлять пользователям итоговые и статистические данные
о деятельности а также о перспективе предприятия которые должны обеспечить
быструю оценку положения и упростить процесс принятия решения.
В приложении Б изображена диаграмма вариантов использования программной
части комплекса, а в приложении В - диаграмма последовательности действий
пользователей.
Библиотека подпрограмм (классов)
Элементы
управления составляют суть пользовательского интерфейса Windows. Всеми
программами и задачами можно управлять с помощью элементов управления, которые
имеют свои функциональные возможности и которыми можно "украсить"
разрабатываемые приложения. Они приподносят для пользователей интуитивно
понятный интерфейс. Увеличивая наглядность данных на экране, чем уменьшается
количество вносимых ошибок. Поэтому в составе ОС имеется набор типовых кнопок,
списков, таблиц, меню и т.д. Которые дают возможность просматривать и
редактировать данные, а также предоставляют удобную навигацию. Перечень этот
постоянно пополняется. Во-первых, не дремлет фирма Microsoft. С новыми версиями
ее продуктов (главным образом с MS Internet Explorer) поставляются новые
элементы управления; содержатся они в библиотеке ComCtl32.dll []. Во-вторых, на
ниве их создания подвизаются многочисленные сторонние фирмы, оформляющие свои
элементы управления в виде элементов ActiveX. И. в-третьих, достаточное
количество элементов написано прямо в Delphi - как в фирме Borland, так и
независимыми разработчиками.
Поэтому,
учитывая специфику поставленной задачи альтернативы стандартным элементам
управления на данный момент не найти.
8.
Требования к
интерфейсу
Комплекс должен иметь стандартный Windows - интерфейс, позволяющий в удобной форме работать с
приложением. На основной форме должны находиться закладки, по которым
осуществляется переход во все части комплекса. Некоторые из частей комплекса
могут иметь возможность управления при использовании только клавиатуры.
Манипулирование данными должно происходить с помощью кнопок и индикаторов.
При отсутствии файла во время применения команды о загрузке данных
пользователю должно быть выведено диалоговое окно для поиска необходимого
файла.
Информация должна представляться в табличной форме для удобного
восприятия пользователем. Вывод анализированных данных также должны быть
представлены в табличной форме, но для наглядности также желательно
организовать вывод в виде графиков.
Каждый элемент управления, если это необходимо должен иметь всплывающую
подсказку.
При возникновении ошибки или неправильных действий пользователя на экране
должно появляться диалоговое окно с сообщением об ошибке.
9.
Проект программной
системы
Программная часть состоит из 2 модулей:
· модуль принадлежит 1С «Бухгалтерский учет Украины»;
· главный модуль формы .
9.1 Средства
реализации
Наиболее важным этапом при разработке системы является этап анализа
предметной области и формулирование требований к программе.
При
реализации программной части проекта использовался язык программирования Object Pascal и среда визуального программирования Delphi 2006
[Ошибка! Источник ссылки не найден.] и встроенный язык 1С с
использованием также встроенным Конфигуратором.
На
большинстве предприятий Украины и на предприятии-заказчике для ведения
бухгалтерского и налогового учета используется программа 1С. В связи с этим для
получения начальных данных был использован встроенный конфигуратор 1С, с
помощью которого был дописан выгружаемый модуль.
Для реализации приложения было решено использовать стандартный
графический интерфейс. Поэтому лучшим вариантом среды разработки является среда
визуального программирования, которая совмещает в себе возможности разработки
приложения языком программирования высокого уровня, таким как Pascal, C++ или Basic, которые предоставляют пользователю широкую палитру
быстрой разработки решения. Такими средами визуального программирования являются продукты Microsoft Visual C++,
Microsoft Visual Basic for Application и продукт Borland Delphi.
Среда визуального программирования Visual Basic for Application (VBA)
довольно проста для освоения, языком
программирования в ней служит язык Basic. Как известно, большинство программных продуктов фирмы Microsoft
поддерживают этот язык, в некоторых из них этот язык интегрирован. Но
недостатками данного языка всегда считалась недостаточная гибкость и малая
скорость при разработке приложений. А также величина полученных с его помощью
исполняемых файлов не всегда удовлетворяет
разработчиков.
Визуальная среда программирования Visual C++ основана на языке
программирования C++. Основными плюсами данной среды является то, что при
использовании данного языка более всего просто использовать стандартные функции
Windows API, а также размер исполняемого файла очень мал. Но основным недостатком среды программирования
является медленное создание оболочки и трудоемкая обработка данных. Поэтому при
разработке клиентских частей программ придется отказаться от этого среды
программирования.
Среда визуального программирования Borland Delphi содержит в себе
два инструмента: стандартный язык программирования высокого уровня Object
Pascal, что отвечает всем требованиям комитета по стандарту ANSI, и инструмент
быстрой разработки приложения RAD. Также благодаря компонентной идеологии среды
облегчено создание интерфейса пользователя и упрощена обработка данных и
файлов.
На основе всего вышесказанного можно заключить, что хотя Visual C++ и
имеет большое количество достоинств, но из-за сложностей создания
пользовательского интерфейса и обработки данных было принято решение не
использовать данную среду. Поэтому для создания приложения было решено
использовать среду визуального программирования Borland Delphi 6. Также данная
среда была избрана исходя из субъективных соображений.
9.2 Модули
и алгоритмы
В таблице 7 приведён перечень используемых модулей и файлов с кратким
описанием назначения и содержания.
Таблица 7 Перечень используемых модулей
|
Название модуля
|
Описание модуля
|
|
ExportDBF.ert
|
Модуль выгрузки данных
|
|
Main.pas
|
Главный модуль формы и
обработки и вывода аналитических данных
|
|
OPT.ini
|
Конфигурационный файл
приложения
|
Модуль
выгрузки данных
Для реализации выгрузки данных с помощью встроенного языка 1С:
Конфигуратора был написан модуль:
Процедура Сформировать()
ДБФ=СоздатьОбъект("XBASE");
Ф=СоздатьОбъект("ФС");
Файл= "Export.dbf";
Если Ф.СуществуетФайл(ПутьВыгрузки+"\"+Файл)=1 Тогда
Если Вопрос("Файл с таким именем уже существует!!!
Перезаписать?",4)=7 Тогда
Возврат;
КонецЕсли;
КонецЕсли;
//ДобавитьПоле(<Название>, <Тип>, <Длина>,
<Точность>)
//<Название> Строковое выражение - имя создаваемого поля.
//<Тип>Строковое или числовое выражение - тип создаваемого поля.
Допустимые значения:
ДБФ.ДобавитьПоле("Month","S",10,0);
ДБФ.ДобавитьПоле("KVR","N",12,2);
ДБФ.ДобавитьПоле("K6416","N",12,2);
ДБФ.ДобавитьПоле("KVD","N",12,2);
ДБФ.ДобавитьПоле("K6414","N",12,2);
ДБФ.ДобавитьПоле("K131","N",12,2);
ДБФ.ДобавитьПоле("SNDCO2","N",12,2);
ДБФ.ДобавитьПоле("SNDCO3","N",12,2);
ДБФ.ДобавитьПоле("DO20","N",12,2);
ДБФ.ДобавитьПоле("DO951","N",12,2);
ДБФ.ДобавитьПоле("KO66","N",12,2);
ДБФ.ДобавитьПоле("KO6852","N",12,2);
ДБФ.СоздатьФайл(ПутьВыгрузки+"\"+Файл);
Ит = СоздатьОбъект("БухгалтерскиеИтоги");
Ит.ИспользоватьРазделительУчета(0);
ДБФ.Добавить();
ДБФ.Month = "Январь";
//Валовый расход
Если Ит.ВыполнитьЗапрос("01.01.07", "31.01.07",
"ВР") = 0 Тогда
Сообщить("Ошибка вывода за Январь по счету = ВР!!!");
Возврат;
КонецЕсли;
ДБФ.KVR = Ит.КО();
// СКД
// Налог на прибыль
Если Ит.ВыполнитьЗапрос("01.01.07", "31.01.07",
"6416") = 0 Тогда
Сообщить("Ошибка вывода за Январь по счету = 6416!!!");
Возврат;
КонецЕсли;
ДБФ.K6416 = Ит.КО();
//Валовые доходы
Если Ит.ВыполнитьЗапрос("01.01.07", "31.01.07",
"ВД") = 0 Тогда
Сообщить("Ошибка вывода за Январь по счету = ВД!!!");
Возврат;
КонецЕсли;
ДБФ.KVD = Ит.КО();
//коммунальный налог
Если Ит.ВыполнитьЗапрос("01.01.07", "31.01.07",
"6414") = 0 Тогда
Сообщить("Ошибка вывода за Январь по счету = 6414!!!");
Возврат;
КонецЕсли;
ДБФ.K6414 = Ит.КО();
//износ основных средств
Если Ит.ВыполнитьЗапрос("01.01.07", "31.01.07",
"131") = 0 Тогда
Сообщить("Ошибка вывода за Январь по счету = 131!!!");
Возврат;
КонецЕсли;
ДБФ.K131 = Ит.КО();
//амортизация основных средств втора группа(налоговый учет)
Если Ит.ВыполнитьЗапрос("01.01.07", "31.01.07",
"ОС2") = 0 Тогда
Сообщить("Ошибка вывода за Январь по счету = ОС2!!!");
Возврат;
КонецЕсли;
ДБФ.SNDCO2 = Ит.СНД();
//амортизация основных средств третья группа(налоговый учет)
Если Ит.ВыполнитьЗапрос("01.01.07", "31.01.07",
"ОС3") = 0 Тогда
Сообщить("Ошибка вывода за Январь по счету = ОС3!!!");
Возврат;
КонецЕсли;
ДБФ.SNDCO3 = Ит.СНД();
//производственные запасы
Если Ит.ВыполнитьЗапрос("01.01.07", "31.01.07",
"20") = 0 Тогда
Сообщить("Ошибка вывода за Январь по счету = 20!!!");
Возврат;
КонецЕсли;
ДБФ.DO20 = Ит.ДО();
//проценты по кредиту
Если Ит.ВыполнитьЗапрос("01.01.07", "31.01.07",
"951") = 0 Тогда
Сообщить("Ошибка вывода за Январь по счету = 951!!!");
Возврат;
КонецЕсли;
ДБФ.DO951 = Ит.ДО();
//зарплата
Если Ит.ВыполнитьЗапрос("01.01.07", "31.01.07",
"66") = 0 Тогда
Сообщить("Ошибка вывода за Январь по счету = 66!!!");
Возврат;
КонецЕсли;
ДБФ.KO66 = Ит.КО();
//приобретение услуг (в т.ч.НДС)
Если Ит.ВыполнитьЗапрос("01.01.07", "31.01.07",
"6852") = 0 Тогда
Сообщить("Ошибка вывода за Январь по счету = 6852!!!");
Возврат;
КонецЕсли;
ДБФ.KO6852 = Ит.КО();
ДБФ.Записать();
ДБФ.ЗакрытьФайл(); ("Выгрузка закончена!!!");
КонецПроцедуры
Главный
модуль формы
Модуль предназначен для загрузки и анализа данных.
procedure TForm1.ButtonDownloadClick(Sender:
TObject);bool:boolean;:integer;:=false;:=true;:=ExtractFilePath(Application.EXEName);:=
ReadIniFile('DBF','Path');bool donot FileExists(DBFDir+'\'+FileOPT)
then:='';not SelectDirectory(DBFDir, [sdAllowCreate,sdPerformCreate],0)
then:=false;.Terminate;if DBFDir[Length(DBFDir)]='\' then
SetLength(DBFDir,Length(DBFDir)-1);.DatabaseName:= DBFDir;.TableName:=
FileOPT;.Active:=true;('DBF','Path',DBFDir);:= 1;not HDS1.Eof do
//KOVR,KO6416,KOVD,DO94,KO131,SNDCO2,SNDCO3,DO20,DO951,KO66,KO6852,SKK60(Mas,i);[i-1].n:=i;[i-1].KOVR:=Trunc(HDS1.FloatGet('KOVR'));[i-1].KO6416:=Trunc(HDS1.FloatGet('KO6416'));[i-1].KOVD:=Trunc(HDS1.FloatGet('KOVD'));[i-1].DO94:=0;
//HDS1.FloatGet('DO94');:= Trunc(HDS1.FloatGet('KO131'));[i-1].KO131:=
Amort;[i-1].SNDCO2:=Trunc(HDS1.FloatGet('SNDCO2'));[i-1].SNDCO3:=Trunc(HDS1.FloatGet('SNDCO3'));[i-1].DO20:=Trunc(HDS1.FloatGet('DO20'));[i-1].DO951:=Trunc(HDS1.FloatGet('DO951'));[i-1].KO66:=Trunc(HDS1.FloatGet('KO66'));[i-1].KO6852:=Trunc(HDS1.FloatGet('KO6852'));[i-1].SKK60:=Trunc(HDS1.FloatGet('SKK60'));[i-1].w:=
Trunc(Mas[i-1].KOVR + Mas[i-1].KO6416 + Mas[i-1].DO94 + Mas[i-1].KO131);i = 1
then EditA.Text:= FloatToStr(Mas[0].w / Mas[0].KOVD);.Next;:=
i+1;;:=i-1;(@SG1);:=false;:=true;;;;
Структуры
данных
Загруженные и расчетные данные для анализа хранятся в структуре MyInvoice,
показанной в таблице 8:
Таблица 8. Структура данных
|
Наименование поля
|
Тип данных
|
Описание
|
|
MONTH
|
string
|
Дискретный шаг (месяц)
|
|
KOVR
|
float
|
Валовые расходы
|
|
KO6416
|
float
|
Налог на прибыль
|
|
KOVD
|
float
|
Валовые доходы
|
|
DO94
|
float
|
Прочие расходы
|
|
KO131
|
float
|
Амортизация
|
|
SNDCO2
|
float
|
Балансовая стоимость ОС
группы 2
|
|
SNDCO3
|
float
|
Балансовая стоимость ОС
группы 3
|
|
DO20
|
float
|
Расходы на приобретение
сырья, товаров
|
|
DO951
|
Проценты по кредиту
|
|
KO66
|
float
|
Тело кредита
|
|
KO6852
|
float
|
Расходы на приобретение
услуг
|
|
SKK60
|
float
|
Расходы по заработной плате
|
|
w
|
float
|
Валовые расходы
(рассчитываемые данные)
|
|
y
|
float
|
Валовая прибыль (свободный
остаток)
|
|
a
|
float
|
Производственный
коэффициент
|
|
I
|
float
|
Сумма инвестиций
|
|
C
|
float
|
Свободный остаток
|
Проект
интерфейса
Интерфейс программного продукта реализован таким образом, чтобы
максимально облегчить работу пользователя.
Для получения аналитических данных пользователь должен в программе 1С
перебросить текущие экономические показатели в файл Export.DBF. Сделать это он
сможет с помощью кнопки «выгрузка данных в DBF», находящейся на панели инструментов, (рис. 13).
При запуске приложения «Бизнес-Анализ» откроется главное окно,
изображенное на рисунке 14. При нажатии пользователем кнопки «Загрузка данных»,
расположенной на правой панели, загрузятся экономические показатели
анализируемого предприятия. При нажатии кнопки «Прогнозирование» в верхней
части диалогового окна построится спрогнозированная графическая модель
деятельности предприятия, а в нижней части - таблица прогнозируемых
экономических показателей анализируемой системы.
Рис. 14 Диалог приложения
Если прогнозируемые данные не удовлетворяют пользователя, он может
перейти на закладку «Уменьшение себестоимости», (рис. 15) .
Рис. 15 Диалог: Уменьшение себестоимости
Для прогнозирования экономических показателей системы, развивающейся за
счет собственных средств (доходов) открываем закладку «Внутреннее
инвестирование», (рис. 16).
Рис. 16 Диалог: Внутреннее инвестирование
Спрогнозировать расширение деятельности предприятия (создание нового
сектора) поможет закладка «двухсекторная система», (рис. 17).
Рис. 17 Диалог: Двухсекторная система
Интерфейс проекта построен таким образом, чтобы работа с ним не вызвала
затруднений даже у неопытных пользователей. Цветовая гамма закладок подобрана
согласно требованию сосредоточения пользователя на рабочих моментах.
10.
Реализация и
тестирование
Программа «Бизнес-Анализ» была введена в эксплуатацию на предприятии ООО
«Агро-Двор» в трех экземплярах на компьютерах бухгалтера, экономиста и
руководителя в мае 2007 года (акт о введении в эксплуатацию в приложении В). В
ходе эксплуатации выявились некоторые недостатки и ошибки, которые были
устранены.
Физические характеристики текущей версии системы " Бизнес-Анализ
" имеют вид представленный в таблице 9:
Таблица 9 Характеристики системы
|
Характеристика
|
Параметры
|
|
Объём кода внешнего модуля
1С
|
28,0 Кб
|
|
Количество строк модуля 1С
|
290
|
|
Объём кода модуля
приложения
|
1,19 Мб
|
|
Количество строк модуля
приложения
|
708
|
|
Фактическое количество
пользователей
|
3
|
11.
Охрана труда
11.1
Анализ потенциально опасных и вредных факторов производственной среды
Рассматриваемый объект: помещение экономического отдела предприятия
«Агропром».
Опасные и вредные производственные факторы по природе возникновения
делятся на следующие группы [4]:
физические;
химические;
психофизиологические;
биологические.
Возникновение, в результате ионизации воздуха при работе компьютера,
активных частиц - это химически опасный фактор, постоянно действующий на
оператора ПК.
Биологические вредные производственные факторы в данном помещении отсутствуют.
К психологически вредным факторам, воздействующим на оператора в
течение его рабочей смены, относятся:
нервно - эмоциональные перегрузки;
умственное напряжение;
перенапряжение зрительного анализатора.
Поэтому:
при 8 часовой рабочей смене и работе на ЭВМ, регламентированные перерывы
следует устанавливать через каждые 2 часа продолжительностью 15 минут каждый;
во время перерывов проветривать помещение.
Характеристика микроклимата помещения экономического отдела предприятия
«Агропром» отражена в таблице 10 «Карта условий труда».
11.2
Организация рабочего места экономиста
Организация рабочего места пользователя ЭВМ должна обеспечивать
соответствие всех элементов рабочего места и их расположения эргономическим
требованиям [5]; характеру и особенностям трудовой деятельности.
· Размеры
помещения составляют:
· длина = 8 м;
· ширина = 5 м;
· высота = 3,5 м.
Таким образом, общая площадь помещения равна 140 м3. В
помещении работают 4 сотрудников, работающих за ЭВМ. Т.е. на каждого приходится
35 м3, что соответствует санитарным нормам (не менее 15 м3),
[4].
· Рабочие
места сотрудников относительно окон расположены под прямым углом, так, что
естественный свет падает слева.
· Расстояние
между боковыми поверхностями мониторов составляет 1,3 м; ширина проходов между
рабочими местами - 1м.
· Конструкция
рабочего места пользователя ЭВМ в помещении экономического отдела предприятия
«Агропром»:
· стол (высота = 800 мм, ширина = 1200 мм, глубина = 900 мм; пространство
для ног высотой = 700 мм, шириной = 500 мм, глубиной на уровне колен = 700 мм,
глубиной на уровне вытянутой ноги = 700 мм);
· подставка для ног (поверхность рифленая; ширина = 300 мм;
глубина = 450 мм; регулируемая высота в пределах 150 мм и угол наклона в
пределах 20 град.);
· расстояние от экрана монитора до глаз работника = 700 мм;
стул подъемно-поворотной конструкции со стационарными подлокотниками и
регулируемой спинкой (поверхности сидения и спинки с нескользящим не
электризующимся покрытием).
Таким образом, рабочее место обеспечивает поддержание оптимальной рабочей
позы.
11.3 Отопление и вентиляция рабочего помещения
Исходя из категории выполняемых работ по тяжести (легкая 1 б) и
характеристики помещения по избыткам явного тепла с учетом периодов года, в
соответствии с требованиями Санитарных норм [12] установлены параметры для
воздушной среды помещения экономического отдела, таблица 11.
Таблица 11 Значения принятых допустимых (оптимальных) параметров
воздушной среды в рабочей зоне экономического отдела.
|
Характеристика помещения по
избыточным тепловыделениям
|
Категория работы по тяжести
|
Период года (теплый,
холодный, переходной)
|
Температура воздуха вне
постоянных рабочих мест, С0
|
|
|
на постоянных рабочих
местах
|
|
|
|
температура воздуха, С0
|
относительная влажность
воздуха, %
|
скорость движения воздуха,
м/с
|
|
|
административное помещение
|
Легкая 1 б
|
20-24
|
не более 75
|
0,1-0,2
|
25-30
|
Установленные параметры поддерживаются благодаря наличию 3-х окон
(130см*200см) и установленному кондиционеру. Кондиционер представляет собой
вентиляционную установку, которая с помощью приборов автоматического
регулирования поддерживает в помещении необходимые параметры воздушной среды.
11.4 Освещение
рабочего помещения
· Характеристика работы в экономическом отделе: средней точности;
· разряд работы: ІV;
· подразряд работы: в;
· контраст: средний;
· фон: светлый.
Т.к. в экономическом отделе постоянно работают люди, то система освещения
помещения: естественное освещение сбоку - наличие трех окон (в ясную погоду,
светлое время суток) плюс искусственное освещение - два ряда оп два
светильников с люминесцентными лампами, которых достаточно в темное время суток
[18].
Для обеспечения нормируемых значений освещенности в помещениях
использования ПЭВМ следует проводить чистку стекол оконных рам и светильников
не реже двух раз в год и проводить своевременную замену перегоревших ламп.
11.5 Производственный шум, производственная вибрация
Источниками шумовых помех и вибрации в рассматриваемом помещении могут
стать вентиляционные установки, кондиционеры или периферийное оборудование для
ЭВМ (плоттеры, принтеры и др.). Длительное воздействие этих шумов отрицательно
сказываются на эмоциональном состоянии персонала.
Согласно ГОСТ 12.1.005-86 [3] эквивалентный уровень звука не должен
превышать 50 дБА. Для того чтобы добиться этого уровня шума рекомендуется
применять звукопоглощающее покрытие стен. В качестве мер по снижению шума можно
предложить следующее:
· облицовка потолка и стен звукопоглощающим материалом (снижает шум на 6-8
дБ);
· экранирование рабочего места (постановкой перегородок,
диафрагм);
· установка в компьютерных помещениях оборудования, производящего
минимальный шум;
· рациональная планировка помещения.
Поэтому я предлагаю для уменьшения шума в помещении использовать вместо
матричного принтера, который производит много шума, более тихий - лазерный
принтер.
11.6 Мероприятия по технике безопасности
Техника безопасности - это система организационно-технических мероприятий и
средств, предотвращающих воздействие на работающих опасных производственных
факторов [9].
При работе с ПЭВМ обслуживающий персонал может столкнуться с такими
вредными факторами как:
· электромагнитное излучение;
· удар электрическим током;
· поражение молнией.
Электрический ток, проходя через тело человека, парализует мышцы его
тела.
При поражении электрическим током необходимо:
· обесточить электрооборудование;
· освободить пострадавшего от соприкосновения с токоведущими частями
оборудования;
· вызвать скорую медицинскую помощь;
· если у пострадавшего замедлилось или совсем прекратилась сердечная
деятельность, то вместе с искусственным дыханием нужно делать массаж сердца.
К работе с ПЭВМ допускаются лица, предварительно прошедшие инструктаж по
технике безопасности и расписавшиеся в журнале регистрации инструктажа по
технике безопасности.
В случае обнаружения неисправностей электропроводки, нарушения изоляции
проводов, пробоя на корпусе и других отклонения от правил безопасной
эксплуатации следует обязательно довести до сведения ответственных лиц.
Требование к персоналу, обслуживающему ЭВМ и указание мер
безопасности при работе.
ü К работе допускаются лица, изучившие инструктаж по ТБ на
рабочем месте и имеющие квалификационную группу по ТБ не ниже I -для
эксплуатации, не ниже III - для технического обслуживания и ремонта
электрооборудования.
ü При работе за невыполнение правил ТБ несут ответственность,
как руководитель работ, так и обслуживающий персонал.
ü Руководитель лаборатории несет ответственность за:
· проведение мероприятий по созданию безопасных условий учебного процесса,
· инструктаж и организацию обучения персонала технике
безопасности при выполнении работ;
· контроль над выполнением “Правил и инструкций по ТБ”;
· обеспечение персонала инструкциями, правилами, нормами.
ü Корпус ЭВМ перед эксплуатацией должен быть заземлен.
ü Не допускается эксплуатировать ЭВМ при отсутствии или
неисправности заземления, при открытой крышке корпуса, а также при
неисправности сетевой вилки и шнура питания.
ü Включение в сеть и отключение от сети стенда производить при
отключенном сетевом выключателе, запрещается выключение выдергиванием вилки из
розетки за шнур.
Не допускается установка и эксплуатация ЭВМ в помещениях с повышенной
опасностью и особо опасных без принятия мер, исключающих возможность
прикосновения людей к корпусу. В случае установки в непосредственной близости к
отопительным приборам, последние должны быть ограждены деревянными
декоративными щитами.
11.7
Меры пожарной безопасности
Здание, в котором находится рассматриваемое помещение, по пожарной
опасности строительных конструкций относится к категории K1 (мало
пожароопасное), поскольку здесь присутствуют горючие (книги, документы, мебель,
оргтехника и т.д.) и трудно-сгораемые вещества (сейфы, различное оборудование и
т.д.), которые при взаимодействии с огнем могут гореть без взрыва.
Пожарная безопасность обеспечивается системой предотвращения пожара и
системой пожарной защиты. В служебных помещениях вывешены «Планы эвакуации
людей при пожаре», регламентирующие действия персонала в случае возникновения
очага возгорания и указывающий места расположения пожарной техники. В
необходимых местах размещены ручные огнетушители (углекислотные ОУ-8 в
количестве 2шт). Средствами обнаружения и оповещения о пожаре являются
автоматические датчики-сигнализаторы о пожаре типа ДТП, реагирующие на
повышение температуры.
Одно из условий обеспечения пожарной безопасности - ликвидация возможных
источников воспламенения. В рассматриваемом помещении источниками воспламенения
могут быть:
· неисправное электрооборудование,
· неисправности в электропроводке, электрических розетках и
выключателях.
Необходимые меры для исключения пожара включают в себя своевременный
ремонт электроприборов, качественное исправление поломок, не использование
неисправных электроприборов; обогревание помещения электронагревательными
приборами с открытыми нагревательными элементами [17]. Открытые нагревательные
поверхности могут привести к пожару, так как в помещении находятся бумажные
документы и справочная литература в виде книг, пособий, а бумага -
легковоспламеняющийся предмет. В целях профилактики пожара в помещениях
«Агропром» не используются открытые обогревательные приборы.
Короткое замыкание в электропроводке. В целях уменьшения вероятности
возникновения пожара вследствие короткого замыкания необходимо, чтобы
электропроводка была скрытой.
Попадание в здание молнии. В летний период во время грозы возможно попадание
молнии вследствие чего возможен пожар. Во избежание этого я рекомендую
установить на крыше здания молниеотвод (расчет приведен ниже, п.9.8).
Несоблюдение мер пожарной безопасности и курение в помещении также может
привести к пожару. Для устранения возгорания в результате курения в помещении
лаборатории предлагаю категорически запретить курение, а разрешить только в
строго отведенном для этого месте.
В целях предотвращения пожара предлагаю проводить с инженерами,
работающими в организации, противопожарный инструктаж, на котором ознакомить
работников с правилами противопожарной безопасности, а также обучить
использованию первичных средств пожаротушения.
В случае возникновения пожара необходимо отключить электропитание,
вызвать по телефону пожарную команду, эвакуировать людей из помещения, согласно
плану эвакуации, и приступить к ликвидации пожара огнетушителями. При наличии
небольшого очага пламени можно воспользоваться подручными средствами с целью
прекращения доступа воздуха к объекту возгорания.
11.8 Расчет
молниезащиты здания
Молниеотвод - устройство, воспринимающее удар молнии и отводящее ее ток
в землю [15].
Все здания и сооружения по степени требования к молниезащите делятся на
три категории. Здания и сооружения первой категории подлежат защите в любом
районе расположения. Здания и сооружения второй и третей категории защищаются
от ударов молнии в зависимости от интенсивности грозовой деятельности.
Рабочее помещение, в котором будет использоваться мой программный
продукт, находится в прямоугольном высотном здании, со следующими параметрами:
hx = 35, м - высота защищаемого здания;
h =
40, м - наибольшая высота здания;
L =
20, м - длина здания;
S = 8,
м - ширина здания.
Грунт, на котором построено здание, суглинок с удельным сопротивлением ρ
= 100 Ом*м.
В Запорожской области среднегодовая продолжительность гроз составляет 20
- 40 часов в год, отсюда n = 2.
Подсчет ожидаемого количества N поражений молнией в год для зданий и
сооружений прямоугольной формы производится по формуле:
,
где
h - наибольшая высота здания или сооружения, м; , L - соответственно ширина
и длина здания или сооружения, м; - среднегодовое число ударов молнии в 1 км
земной поверхности (удельная плотность, ударов молнии в землю) в месте нахождения
здания или сооружения.
Учитывая
имеющиеся данные, рассчитаем количество поражений молнией в год для нашего
здания:
N = [(8 + 6 *
40)(20 + 6 * 40) - 7,7 * 402] * 2 * 10-6
0,1 грозовых часов/год.
Таким
образом:
· данное здание подлежит защите по ІІ категории;
· для молниеотводов установлена форма защиты типа Б.
Защита от прямых ударов молнии зданий и сооружений II категории с
неметаллической кровлей должна быть выполнена отдельно стоящими или
установленными на защищаемом объекте стержневыми или тросовыми молниеотводами.
Зона защиты одиночного стержневого молниеотвода высотой h представляет
собой круговой конус, вершина которого находится на высоте h0<h.
На уровне земли зона защиты образует круг радиусом r0. Горизонтальное
сечение зоны защиты на высоте защищаемого сооружения hx представляет
собой круг радиусом rx (рис. 18).
Рис. 18 Зона защиты одиночного стержневого молниеотвода:1 - граница
зоны защиты на уровне hx, 2 -то же на уровне земли.
При этом радиус зоны защиты на высоте защищаемого здания,
равняется:
rx =
/ 2 =
/ 2 = 17,95 м.
Высота
одиночного стержневого молниеотвода:
= (rx + 1,63hx) / 1,5 = 50,0 м;
0
- высота вершины конуса защиты, h0 = 0,92 h = 46 м;0 - радиус
зоны защиты на уровне земли, r0 = 1,5 h = 75,0 м.
Для защиты здания достаточно одного стержневого молниеотвода.
В данном разделе дипломного проекта я рассмотрела вопросы, освещающие
условия труда на предприятии «Агропром». В соответствии с принятыми нормами, в
экономическом отделе обеспечивается: необходимый микроклимат, минимальный
уровень шума. Созданы удобные и правильные, с точки зрения эргономики, рабочие
места, соблюдены требования технической эстетики и требования к ЭВМ.
Специальные мероприятия обеспечивают электробезопасность и пожаро -
безопасность сотрудников.
В целом условия труда в экономическом отделе предприятия «Агропром»
соответствуют общепринятым нормам, сотрудникам обеспечены комфорт и
благоприятные условия труда.
Выводы
Таким образом, в процессе выполнения дипломной работы автором был
разработан программный продукт, анализирующий экономические показатели
предприятия.
Анализ показателей наглядно показывает:
· прибыльность (рентабельность) предприятия;
· прогноз рентабельности при различных начальных параметрах
системы;
· поиск более рентабельных вариантов работы;
· причины убыточности;
· на каком этапе (при каких показателях) предприятие может себе
позволить расширение (приобретение нового оборудования; развитие новой отрасли
деятельности);
· преимущество внутренних инвестиций над внешними;
· какими должны бать параметры системы, чтобы она выстояла
конкуренцию.
Главный результат работы - демонстрация того, как с помощью несложных, но
очень результативных математических моделей предоставляется возможность
прогнозировать развитие экономической системы в сложных условиях экономики
переходного периода. Приведенные модели позволяют, с помощью компьютера,
рассматривать последствия решений, которые принимают соответствующие
руководители.
Необходимо особенно подчеркнуть, что использование дискретных уравнений
увеличило уровень адекватности моделей и уменьшило сложность их практического
использования.
Приведенные примеры показывают реальную ценность предложенного подхода.
Список источников
1. Акоф Р., Сасиени М. Основы исследования операций. М.:
Мир, 1971.
2. Ващенко В.С., Ройтман А.Б., Шамровский А.Д. Проблемы
инвестирования в Украине. Материалы докладов V Международного конгресса
украинских экономистов: Украина в XXI век: концепции и модели экономического
развития. 2000.
3. ГОСТ 12.1.005-86. Шум. Общие
требования безопасности .-М.1984.
4. ГОСТ 12.1.005-88. Общие
санитарно-гигиенические требования к воздуху рабочей зоны. - М., 1989, - 48 с.
. ГОСТ 12.2.032. ССБТ. Рабочее
место при выполнении работ сидя. Общие эргономические требования.
. Законодательство Украины по
охране труда. Сб. нормативных документов. - Киев, 1995.
7. Ивахненко А.Г. Непрерывность и дискретность. К.: Наук.
думка, 1990.
8. Интрилигатор М. Математические методы оптимизации и
экономическая теория. М.: Прогресс, 1975.
9. Крикунов Г.Н., Беликов А.С.,
Золунин В.Ф. Безопасность жизнедеятельности , - Днепропетровск, 1992.
10. Маленво Э. Статистические методы эконометрии: В 2 вып.
М.: Статистика, 1975. Вып. 1; 1976, Вып 2.
11. Оптнер С.Л. Системный анализ для решения деловых и
промышленных проблем. М.: Сов. радио, 1969.
12. Панасейко С.П. Методические
указания к практическим занятиям по курсу "Вентиляция и кондиционирование
воздуха", Запорожье, ЗИИ, 1984.
13. Питерс Т., Уотермен Р. В поисках эффективного управления
(опыт лучших компаний). М.: Наука, 1986.
14. Пределы роста/ Д.Х. Медоуз, Д.Л. Медоуз, Й Рендерс, В
Беренс III. М.: Изд-во МГУ, 1991.
15. РД 34.21.122-87. Инструкция по
устройству молниезащиты зданий и сооружений. - М.: Стройиздат, 1988, - 27 с.
16. Самуельсон П. Економіка. Львів: Світ, 1993.
17. Санитарные нормы и правила
выполнения работ в условиях действия электрических полей промышленной частоты .
18. СниП ІІ - 4 - 79. Строительные нормы и правила. Часть ІІ. Нормы проектирования. Глава 4.
Естественное и искусственное освещение.
19. Стерлинг А.Р., Тулин И.В. Стратегия планирования в
промышленных корпорациях США. М.: Наука, 1990.
20. Экланд И. Элементы математической экономики. М.: Мир,
1983.