Анализ аварии на подстанции
Задание на домашнюю работу
Основные пункты выполнения задания
1. Открыть файл аварийного режима
программой «Oscill2k.exe», уточнить название подстанции и ознакомиться с
составом зарегистрированных переменных.
2. Программой AutoCAD
открыть файл схемы Свердловэнерго, найти свою подстанцию и найти её на схеме
соответствующей РЭС.
. Ознакомиться со схемой подстанции, её
связями с соседними подстанциями и питающими станциями. Сделать вырезку района
подстанции для анализа аварии и отчета по заданию.
. По материалам программы «Oscill2k.exe»
выполнить предварительный анализ вида и места аварии, определить направление
токов КЗ и остаточные значения напряжений, используя фазы и модули токов и
напряжений.
. Перейти к программе «Waveform.exe».
Предварительно программу переписать на рабочий стол. Детализировать режим по
пункту 4, используя временные метки начала и конца отдельных режимов, векторные
диаграммы и спектр сигналов. Все доводы иллюстрировать осциллограммами токов и
напряжений. Использовать при анализе законы Кирхгофа.
. В пункте 5 обратить внимание на сложные
виды КЗ, переход из одного вида в другой, каскадное отключение КЗ. Объяснить
появление токов и напряжений обратной и нулевой последовательности, построить
векторные диаграммы фазных, линейных и симметричных составляющих для шин и
линий заданной подстанции.
. При оформлении отчета использовать
сервисные функции программ Бриза и стандартный Word.
В конце отчета сформулировать краткие выводы. Титул отчета - стандартный.
Анализ аварии
Аварийная ситуация - Сухой Лог 18, используется
регистратор аварийных событий, установленный на подстанции Сухой Лог-110.
Вырезка сети, относящейся к данной подстанции, приведена на рисунке 1. Согласно
данным программы «Oscill2k.exe» происходит однофазное замыкание на землю фазы
В, данный вывод обусловлен тем, что происходит в момент аварии происходит
резкое увеличение тока в фазе В почти по всем линиям, кроме того снижается
напряжение в фазе В. Так же появляется большая нулевая составляющая тока,
появление «земляных» токов говорит о присутствии однофазного замыкания на
землю. Местом аварии является фаза В линии Сухой Лог - Фарфоровая-2. Данный
вывод объясняется следующими факторами - лишь по линиям в сторону подстанции
Фарфоровая токи отстают в от напряжения, по остальным линиям ток напротив
опережает напряжение, что говорит о том, что по линиям в сторону Фарфоровой ток
вытекает, а в по остальным линиям втекает на подстанцию. Так же данные вывод
подтверждает направление тока через ШСВ (соответствует от СШ 1 к СШ 2), что
говорит о том, что идет подпитка в сторону Фарфоровой. Меньшее (в 2 раза)
значение тока в фазе В по линии Фарфоровая-1 говорит о том, что КЗ происходит
не на этой линии, много возросшее значение тока объясняется тем, что через
подстанцию Фарфоровая ток, текущий по линии Фарфоровая -1 утекает к месту КЗ на
линии Фарфоровая-2 ( с противоположной стороны). Меньшее значение тока
обусловлено большим сопротивлением до места КЗ по пути по линии Фарфоровая-1.
Данные токи наблюдаются до момента времени t=100мс.
Затем ток именно в линии Фарфоровая-2 исчезает (что так же подтверждает то, что
КЗ именно на этой линии; небольшой ток в размере 1-2 А объясняются
погрешностями и емкостными токами). В момент времени порядка t=2900
мс происходит АПВ линии, причем со стороны Фарфоровой (так как токи выросли по
Фарфоровой -1 и остальным линиям, но не по контролируемому концу фарфоровой-2),
но оно неуспешно, КЗ на линии Фарфоровая-2 продолжается, поэтому ее снова
отключаем. Затем в момент времени t=4750
мс происходит успешное АПВ линии, она возвращается в работу, после чего ее
загружают (в несколько раз больше, чем Фарфоровую-1, видимо, отключая ШСВ на
п/с Фарфоровая). Скрины из программы «Oscill2k.exe», приведенные ниже,
подтверждают приведенные выше выводы.
Токи и напряжения в фазе В при КЗ приведены на
рисунке 2.
Детализируем полученные результаты с помощью
«Waveform.exe». Правильность определения фаз токов относительно напряжения шин
в момент первого КЗ подтверждается скриншотом, приведенным ниже:
Проверим выполнение закона Кирхгофа для шин ПС
Сухой Лог в режиме первого КЗ:
0,069+j1,084
кА.
Невыполнение закона Кирхгофа обусловлено тем
фактом, что присутствуют погрешности работы у ТТ, ТН и самом регистраторе
аварийных событий, видимо, это особенно касается правильности определения фазы,
точно определяется только взаимоположение векторов.
После неуспешного АПВ:
Проверим выполнение закона Кирхгофа для шин ПС
Сухой Лог в режиме «второго» КЗ, Фарфоровую-2 не учитываем, так как со стороны
Сухого Лога она отключена, указание на наличие тока в линии обусловлено
погрешностями в работе регистратора.
= 0,171-j0,59 кА.
Успешное АПВ и раздельная работа на ПС
Фарфоровой:
Проверим выполнение закона Кирхгофа для шин ПС
Сухой Лог после успешного АПВ:
0,036-j0,001
кА.
Как видно, уменьшившаяся погрешность говорит о
том, что погрешности ТТ, ТН и регистратора аварийных событий растут при росте
токов.
Симметричные составляющие
Система шин
Первое КЗ (t=100мс)
Неуспешное АПВ (t=3000
мс)
Успешное АПВ (t=5000
мс)
Отсутствие КЗ подтверждается фактическим
отсутствием напряжения нулевой последовательности.
Сирень-2
Первое КЗ (t=100мс)
Неуспешное АПВ (t=3000
мс)
Успешное АПВ (t=5000
мс)
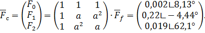
Проверим правильность расчета симметричных
составляющих, используя данные по фазам (с учетом обратного отсчета углов в
программе Waveform.exe):
Как видно из результатов расчета неправильно
определяются симметричные составляющие видимо в виду того, что не учитывается
тот факт при программном расчете, что фазы величин в данной версии программы
берутся с обратным знаком. Расхождения по углам так же обусловлены приведенным
выше фактом, а так же более точным расчетом («тянут» больше знаков) и более
точными исходными данными (величинами).
Сирень-1
Первое КЗ (t=100мс)
Неуспешное АПВ (t=3000
мс)

Успешное АПВ (t=5000
мс)
Дубровный
Первое КЗ (t=100мс)
Неуспешное АПВ (t=3000
мс)
Успешное АПВ (t=5000
мс)
км
Первое КЗ (t=100мс)
Неуспешное АПВ (t=3000
мс)
Успешное АПВ (t=5000
мс)
Фарфоровая-1
Первое КЗ (t=100мс)
Неуспешное АПВ (t=3000
мс)
Успешное АПВ (t=5000
мс)
Фарфоровая-2
Первое КЗ (t=100мс)
Неуспешное АПВ (t=3000
мс)
Успешное АПВ (t=5000
мс)
Линейные напряжения СШ
Первое КЗ (t=100мс)
Неуспешное АПВ (t=3000
мс)
Успешное АПВ (t=5000
мс)
Выводы
. Появление токов и напряжений обратной
последовательности объясняются тем, что в следствии несимметричного режима в
сечении на землю ток только в поврежденной фазе, а в остальных фазах нет,
поэтому раскладывая на симметричные составляющие мы получим 3 составляющих
тока: нулевой, прямой и обратной последовательности. Наличие нулевой
последовательности обусловлено существованием контура для протекания тока
нулевой последовательности (иначе говоря - наличием нормально заземленных
нейтралей). Так же есть и контур для протекания токов обратной
последовательности (как правило, примерно равен сопротивлению прямой
последовательности).
. Можно сделать вывод о том, что при
использовании функции векторная диаграмма программы «Waveform.exe» на экран
выводится не значение 3I0, а значение
I0, данный вывод основан на том, что
согласно выводам из граничных условиях I1=
I2=
I0, поэтому невозможно предположить,
что бы по все линиям текло 3I0
сопоставимое с I1
и I2.
3. Согласно представленному выше расчету и
результатам анализа по симметричным составляющим, при анализе симметричных
составляющих программой «Waveform.exe» происходит не правильное разложение,
программа путает обратную и прямую последовательности, что обусловлено тем, что
программа не учитывает тот факт, что в этой программе фазы берутся с обратным
знаком. Расхождения по углам так же обусловлены приведенным выше фактом, а так
же более точным расчетом («тянут» больше знаков) и более точными исходными
данными (величинами).
4. В целом результаты анализа по данным
программы «Waveform.exe» соответствуют результатам анализа по данным программы
«Oscill2k.exe», различия обусловлены работой программ.
5. Первый закон Кирхгофа не выполняется в виду
неточностей работы программ, а так же погрешностями измерений. Можно
предположить, что в виду фактической невозможности как чисто емкостных, так и
чисто емкостных токов в сети можно предположить, что в программе не учтена схема
соединения трансформаторов тока (группа соединений трансформаторов тока), что
приводит к уменьшению угла опережения на 30° или 60°. Кроме того, можно
предположить, что ввиду неправильного коэффициента трансформации (возможно и
вероятно - именно на этой линии в виду наименьших значений токов по этим
линиям) и возникает невыполнение I
закона Кирхгофа.
6. Можно предположить, что предполагаемой
отключение секционника при успешном АПВ объясняется либо неправильными
действиями оперативного персонала при аварии, либо эти действия выполнены по
указанию вышестоящих организаций и обусловлено режимом сети. Высокий уровень
токов по линии Фарфоровая-2 при успешном АПВ, с уменьшением в 3 раза токов во
всех 3 фазах обусловлены, по всей видимости, затяжным пуском АД потребителей,
питающихся от ПС Фарфоровая.
7. Тот факт, что АПВ не действует со стороны ПС
Сухой Лог обуславливается, по всей видимости, блокировкой АПВ со стороны Сухого
Лога, она снимается только при успешном АПВ со стороны ПС Фарфоровая, что и
произошло при 2 АПВ.