Проектирование и разработка цифровой системы передачи с временным разделением каналов
Содержание
Техническое задание
Введение
. Выбор частоты дискретизации первичного сигнала
. Расчет количества разрядов в кодовом слове
. Определение защищенности от шумов квантования на
выходе ЦСП
.1 Определение защищенности от шумов квантования для широкополосного
сигнала
.2 Определение защищенности от шумов квантования для
узкополосного сигнала
. Разработка структуры временных циклов первичной ЦСП
и определение тактовой частоты проектируемой ЦСП
. Расчет основных параметров цикловой синхронизации
первичного цифрового потока
. Формирование агрегатного цифрового потока с
использованием асинхронного объединения на основе ИКМ-120
. Разработка укрупненной структурной схемы ЦСП
. Выбор типа линейного кода сигнала ЦСП
. Разработка структурной схемы линейного регенератора
Заключение
Список литературы
Техническое задание
- Протяженность линии тракта: 700 км;
количество переприемных пунктов: n=4;
количество каналов передачи в первичном цифровом
потоке: nр=2;
а)диапазон частоты f=(5... 26) кГц;
б)коэффициент активности источника К=0,5;
г)максимальная мощность сигнала Рmах = 1500мк Вт0;
д)средняя мощность сигнала Рср =100 мкВт0;
е)средняя мощность помехи Рпом =200000 пВт0;
количество каналов двухстороннего действия в первичном
цифровом потоке: nd=24;
а)диапазон частоты f= (0,4...3,4) кГц;
б)коэффициент активности источника К=0,25;
г)максимальная мощность сигнала Рmах =2200 мкВт0;
д)средняя мощность сигнала Рср =88 мкВт0;
е)средняя мощность помехи Рпом =178000 пВт0;
количество первичных каналов в агрегатном цифровом потоке:
N=7;
защищенность от шумов квантования на выходе канала Акв
= 20 дБ;
среднее время восстановления циклового синхронизма Тв
= 6 мс;
допустимая вероятность ошибки на один километр
линейного тракта:
Р0 = 10-10;
количество выделений цифровых потоков различной
иерархии в промежуточном пункте (пункт располагается по середине линейного
тракта):
для np: кр=0
для nd: kd=15;
кодовая последовательность для построения примера
сигнала на выходе регенератора: S=101000011000000111000100.
Введение
Тенденции развития телекоммуникаций в XXI веке
показывают, что человечество движется по пути создания глобального
информационного общества (то есть общество, в котором информатизация и
телекоммуникации будут определять новую ступень развития экономики, социальной
сферы, культуры и науки).
Передача и обработка сигналов в цифровой форме имеет
следующие существенные преимущества перед передачей и обработкой аналоговых
сигналов:
унификация различных видов передаваемой информации;
компьютеризация телекоммуникационного оборудования;
высокая помехоустойчивость;
высокие технико-экономические показатели.
Исторически сложилось так, что многоканальные
телекоммуникационные системы строятся по иерархическому принципу. То есть в
первичной системе передачи объединяются a исходных сигналов в первичный
групповой сигнал, во вторичной системе b групповых первичных сигналов
объединяются во вторичный групповой сигнал и так далее. В 1980-х разработано
три плезиохронные цифровые иерархии (Японская, Американская, Европейская).
Технология PDH (плезиохронная) была разработана для
более эффективной передачи оцифрованных голосовых потоков по кабелю из
скрученной пары проводников. Технология PDH позволила существенно упростить
системы передачи.
Основными направлениями в развитии систем передачи
являются: повышение эффективности использования линий связи, увеличение
дальности связи, повышение её качества и надежности, постоянное техническое
совершенствование элементов и узлов аппаратуры.В данном курсовом проекте
необходимо разработать многоканальную систему передачи, которая позволяет
передавать 24 канала тональной частоты и 2 широкополосных канала.
В связи с нестандартностью системы необходимо
рассчитать количество разрядов в кодовой комбинации, чтобы система отвечала
заданным параметрам защищенности от шумов квантования, но при этом использовала
наименьшие ресурсы оборудования, т.е. осуществить выбор вида квантования. Так
как количество уплотняемых каналов отлично от стандартных систем передачи, а
также в групповой тракт вводятся широкополосные каналы, скорость первичного
цифрового потока будет отличаться от стандартной скорости, в связи с этим и
скорость вторичного потока будет отличаться от стандартной. Поэтому необходимо
разработать структуру циклов первичного и агрегатного потоков, синхросигналов,
структуру агрегатного цифрового потока, рассчитать время восстановления
синхронизма.
.
Выбор частоты дискретизации первичного сигнала
По теореме Котельникова можно определить минимальную
частоту дискретизации, при которой обеспечивается неискаженное восстановление
первичногосигнала.Смыслданнойтеоремывтом, что частота дискретизации должна быть
больше либо равна удвоенной верхней частоте исходного сигнала:

;
Совместная передача узкополосного и широкополосного
сигнала накладывает дополнительные требования к выбору частоты дискретизации и
определяется равенством:

;
Д.np - частота дискретизации широкополосного сигнала;Д.nd
- частота дискретизации узкополосного сигнала; к - целое число;
Таким образом, частоты дискретизации сигналов должны
быть кратными, что необходимо для согласования скоростей в цикле ИКМ.
При
выборе частоты дискретизации необходимо иметь ввиду, что при восстановлении
первичного сигнала используется фильтр низких частот (ФНЧ) и необходимо иметь
запас для полосы расфильтровки (
).
Значение
частот дискретизации выбирается из соотношения:

;
Исходные
данные для выбора частоты дискретизации:
диапазон
частоты широкополосного сигнала f=(5...26) кГц;
диапазон
частоты узкополосного сигнала f=(0,4.. .3,4) кГц;
Частота
дискретизации широкополосного сигнала с учетом расфильтровки:
Частота дискретизации узкополосного сигнала с учетом расфильтровки:
По
теореме Котельникова 
. Возьмем
частоту 
Определим
k:

В результате расчетов частота дискретизации
широкополосного сигнала равна 56 кГц, частота дискретизации узкополосного
сигнала равна 8 кГц.
сигнал широкополосный дискретизация
регенератор
2. Расчет количества разрядов в кодовом слове и
определение защищенности от искажений квантования на выходе ЦСП
У аналогового сигнала, дискретного по уровню, амплитуды импульсов могут
иметь бесконечное множество значений, что приводит к невозможности выполнения
операции кодирования. Для устранения этого недостатка выполняют операцию
квантования по уровню, при которой истинное значение сигнала заменяют ближайшим
разрешенным значением, то есть число уровней становится конечным. При данной
операции появляется шум квантования (или ошибка квантования), и на приеме
устранить данный шум не представляется возможным.
Квантование по уровню осуществляется следующим образом. Если амплитуда
отсчета в пределах двух соседних разрешенных уровней больше половины шага
квантования, то сигнал изменяется в большую сторону, если меньше половины шага
квантования - в меньшую. В связи с этим и появляется шум квантования.
Существует два метода квантования: равномерный (линейный) и неравномерный
(нелинейный). Выбор того или иного метода, а так же числа разрядов кодовой
комбинации, зависит от помехозащищенности полученного кода от шумов
квантования.
Основной недостаток равномерного квантования заключается в том, что
мощность шума квантования не зависит от величины сигнала, тогда защищенность от
шумов квантования оказывается небольшой для слабых сигналов и возрастает при
увеличении уровня сигнала. Для увеличения защищенности необходимо уменьшать шаг
квантования, но большое число разрядов в коде приводит к усложнению аппаратуры
и увеличивает тактовую частоту. Устранить этот недостаток позволяет
неравномерное квантование.
При неравномерном квантовании для слабых сигналов выбирается наименьший
шаг квантования, и с увеличением уровня сигнала он также увеличивается. При
этом для слабых сигналов мощность шума квантования уменьшается, а для сильных
возрастает, что приводит к увеличению защищенности для слабых сигналов и
уменьшению для сильных сигналов. В результате удается снизить разрядность кода,
и обеспечить при этом выполнение требований к защищенности от шумов квантования
в широком динамическом диапазоне.
Для линейного квантования минимальное количество двоичных разрядов можно
определить по следующей формуле:
учетом наличия переприемов (n=4) формула будет иметь вид:
- минимальное количество двоичных разрядов;кв - защищенность первичного
сигнала от шумов квантования на выходе канала;количество переприемных пунктов-
динамический диапазон сигнала, вычисляется следующим образом:

или 
-
пик-фактор сигнала:

или 
При
значениях 
рекомендуется
использование нелинейного квантования. Так при использовании А-закона
компадирования оценить количество разрядов можно по формуле:
Расчет
разрядности кода для широкополосного сигнала
Исходные данные для расчета количества разрядов кодовой комбинации
широкополосного сигнала:
- количество каналов передачи в первичном цифровом потоке: nр = 2;
-_________________ диапазон частоты f = (5..26) кГц;
- коэффициент активности источника К = 0,5;
- максимальная мощность сигнала Рmах = 1500 мкВтО;
- средняя мощность сигнала Рср = 100 мкВтО;
- средняя мощность помехи Рпом = 200000 пВтО;
- защищенность от шумов квантования на выходе канала Акв = 20 дБ;
- Р0=1 мВт;
Расчет динамического диапазона и пик-фактора:
Расчет разрядности кода:
Расчет разрядности кода для узкополосного сигнала
Исходные данные для расчета количества разрядов кодовой комбинации
широкополосного сигнала:
- количество каналов передачи в первичном цифровом потоке: nd = 24;
- диапазон частоты f = (0,4...3,4) кГц;
- коэффициент активности источника К = 0,25;
максимальная мощность сигнала Рmах = 2200 мкВтО;
- средняя мощность сигнала Рср =88 мкВтО;
- средняя мощность помехи Рпом = 178000 пВтО;
- защищенность от шумов квантования на выходе канала Акв = 20 дБ;
- Р0=1 мВт;
Расчет динамического диапазона и пик-фактора:
Расчет разрядности кода:
При нелинейном методе квантования:
Таким образом, выбираем число битов в кодовом слове m = 8 и
нелинейный метод квантования АИМ сигнала, так как при этом достигается меньшая
разрядность кода.
3.
Определение защищенности сигнала от шумов квантования
По формуле (2.7) определяем минимальное значение защищенности сигнала (m
= 8, n = 1):
Известно, что ошибки квантования резко возрастают и соответственно этому
падает защищенность сигнала от шумов, когда мгновенные значения преобразуемого
сигнала попадают в зону ограничения квантующей характеристики. Поэтому в
системе следует принимать напряжение ограничения таким, чтобы при наивысшем
уровне преобразуемого сигнала мгновенные значения сигнала превышали напряжение
ограничения крайне редко.
Для расчета защищенности сигнала от шумов квантования воспользуемся формулой:

(3.1)
РС
- мощность сигнала;
Рш.кв
- мощность шумов квантования;
Преобразуем
эту формулу для более удобного расчета. Мощность шума квантования можно
определить по следующей формуле:
R=1 Ом;
δ - шаг квантования;

(3.3)
огр
- напряжение ограничения;

(3.4)
Рогр-
мощность шумов ограничения;

(3.5)
Защищенность
сигнала от шумов квантования с учетом формулы (3.2):

(3.6)
.1
Определение защищенности от шумов квантования для широкополосного сигнала
Из
ф-лы (3.5) найдем 

значит 
Из
ф-лы (3.4) найдем 
Из
ф-лы (3.3) найдем 
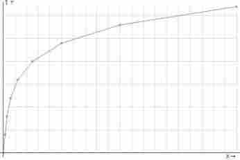
Тогда
график зависимости 
будет
выглядеть следующим образом:
Рис.
3.1 График зависимости защищенности широкополосного сигнала от шумов
квантования от уровня входного сигнала 
Уровень
входного сигнала 
, при
котором защищенность от шумов квантования остается не ниже заданной, определяем
по рис. 3.1. При 
это
значение 
3.2
Определение защищенности от шумов квантования для узкополосного сигнала
Из
ф-лы (3.5) найдем 

значит 
Из
ф-лы (3.4) найдем 
Из
ф-лы (3.3) найдем 
График
зависимости 
для
узкополосного сигнала представлен на рис. 3.2.
Рис.
3.2 График зависимости защищенности узкополосного сигнала от шумов квантования
от уровня входного сигнала 
Уровень
входного сигнала 
, при
котором защищенность от шумов квантования остается не ниже заданной, определяем
по рис. 3.2. При 
это
значение 
Рис 3.3 Широкополосный сигнал
Рис 3.4 Узкополосный сигнал
4. Разработка структуры временных циклов первичной ЦСП и определение
тактовой частоты проектируемой ЦСП
От того, каким образом построен цикл передачи, зависят такие важные
параметры ЦСП, как скорость передачи, время поиска и вхождения в синхронизм при
сбое синхронизации, коэффициент использования пропускной способности цифрового
группового тракта и т.д.
На основании этого в курсовом проекте к циклу и сверхциклу предъявляются
следующие требования.
. Длительность сверхцикла не должна превышать (2 - 3) мс из-за
ограничения максимального времени восстановления синхронизма в ЦСП
. Число битов в цикле и число циклов в сверхцикле ограничены:

2000 , 
70, где 
- число
битов в цикле; 
- число
циклов в сверхцикле. Желательно, чтобы эти числа разлагались на целочисленные
сомножители возможно меньшей величины, при этом упрощается генераторная
аппаратура ЦСП.
.
В цикле и сверхцикле должны быть предусмотрены тактовые интервалы для передачи
сигналов синхронизации. Число битов в слове циклового синхросигнала
рекомендуется принимать равным (7 - 12), а в слове сверхциклового синхросигнала
- (4 - 8).
Разработку
структуры временных циклов проектируемой ЦСП начнем с определения числа
канальных интервалов в цикле, необходимых для передачи каналов тональной
частоты, каналов широкополосного сигнала, служебных каналов: сигналов СУВ,
синхросигналов и т.д.
Период
следования канальных интервалов (КИ) для канала определяется формулой (5.1):
По
формуле (5.1) для узкополосного сигнала получаем 
для
широкополосного сигнала 
Определим
общее число КИ в цикле. Так как за основу берем структуру временных циклов
системы передачи ИКМ-30, то будем считать, что длительность цикла первичного
цифрового потока 
. Поэтому
для передачи одного канала широкополосного сигнала необходимо 
канальный
интервал. Общее число канальных интервалов определяется по формуле (5.2):

(5.2)
где
число
канальных интервалов для передачи каналов широкополосного сигнала, 
число
канальных интервалов для передачи каналов ТЧ, 
число
канальных интервалов для передачи каналов служебной связи, 
число
канальных интервалов для передачи дополнительных (резервных) каналов.
Для
проектируемой ЦСП 


а 
определяется
из условия (5.3):

(5.3)
где
число N должно быть минимальным целым.
Из
этого условия определяем
Таким
образом, 
Длительность
канального интервала определяется из соотношения:
Длительность
разрядного интервала: 
Частота
следования импульсов группового цифрового сигнала называется тактовой частотой.
Тактовая частота цифрового потока является важнейшей характеристикой любой ЦСП
с ИКМ, определяющей сложность реализации блоков ЦСП, длину регенерационного
участка, дальность передачи информации и так далее и, в конечном счете,
определяет технико-экономическую эффективность применения ЦСП с ИКМ на сетях
связи.
Тактовую
частоту первичного цифрового потока можно определить по формуле (5.4):

(5.4)
Численно
тактовая частота совпадает со скоростью передачи (В) в ЦСП, определяемой, как
количество двоичных символов (битов) переданных в единицу времени равной 1
сек.: В =NАИМ/1сек Ч m Ч NКИ , бит/сек, где NАИМ/1сек.
= 8000, при передаче ТФ сигналов. Очевидно, что чем выше тактовая частота и
скорость передачи в ЦСП с ИКМ, тем система передачи сложнее и дороже.
На
рис. 5.1 приведена временная диаграмма распределения канальных интервалов в
одном цикле. Жирными линиями обозначены служебные КИ (КИ0, КИ21), длинными -
канальные интервалы широкополосного сигнала (КИ1, КИ7, КИ13, КИ19, КИ25, КИ31,
КИ37 - первый широкополосный канал; КИ2, КИ8, КИ14, КИ20, КИ26, КИ32, КИ38 -
второй широкополосный канал); короткими - канальные интервалы ТЧ (КИ3, КИ4,
КИ5, КИ6, КИ9, КИ10, КИ11, КИ12, КИ15, КИ16, КИ17, КИ18, КИ22, КИ23, КИ24, КИ
27, КИ28, КИ29, КИ33, КИ34, КИ35, КИ36, КИ39); пунктирными - канальные
интервалы дополнительных каналов (оставшиеся).
Рис. 5.1 Временное расположение канальных интервалов в цикле первичного
цифрового потока
Синхросигнал различают по числу разрядов, по структуре и по распределению
символов в цикле передачи. Так как за основу берется система передачи ИКМ-30,
то число символов в синхросигнале возьмем равным 7, а по способу передачи
синхросигнал многоразрядный сосредоточенный. Для определения структуры
синхросигнала рассчитаем полное среднее время поиска синхрогруппы с одной (см.
формулу 5.5) и с 7 критическими точками (см. формулу 5.6).
где

число
символов между соседними ЦСС,
число
символов в синхрогруппе, 
период
синхросигнала.
Тогда

для
синхросигнала с одной критической точкой:

для
синхросигнала с b критическими точками:
Так
как мы получили, что 
то мы
выбираем синхросигнал с одной критической точкой. Тогда вид синхросигнала будет
таким: 01111111.
Рис. 5.2 Временная структура первичной ЦСП
Структура
первичной ЦСП изображена на рис. 5.2. Каждый цикл состоит из 42 канальных
интервала, два из которых используются для передачи синхросигналов. Частота
следования канальных интервалов 
5. Расчет основных параметров цикловой синхронизации первичного цифрового
потока
Система цикловой синхронизации (СЦС) предназначена для восстановления и
удержания состояния цикловой синхронизации между передающей и принимающей
станциями ЦСП, что обеспечивает правильное распределение АИМ-сигналов по
отдельным каналам, а также синхронную работу передающего и приемного
оборудования временного группообразования.
Выбор
числа разрядов в синхрогруппе в основном определяется компромиссом между
требуемым временем восстановления синхронизма 
и
эффективной емкостью ЦСП. Поэтому для оценки правильности выбора числа символов
в синхрогруппе рассчитаем основные параметры цикловой синхронизации
разрабатываемого цифрового потока.
Время
восстановления синхронизма можно определить по формуле:
где

время
поиска синхронизма, 
время
удержания синхронизма.
Среднее
время поиска синхронизма определяется из следующего соотношения:

число
символов в цикле цифрового потока, 
период
повторения синхросигнала, 
вероятность
появления ложного синхросигнала. 
вероятность
совпадения информационного символа с символами синхросигнала, обычно
принимается равной 0,5; a=7 - число символов в синхросигнале.

число
следующих друг за другом правильных синхросигналов, необходимых для
восстановления циклового синхронизма, зависящее от типа приемника. В ЦСП ИКМ с
временным разделением каналов, которая берется за основу проектируемой,
основное применение нашли адаптивные приемники синхросигнала с одноразрядным
сдвигом. Для них 
На
рис. 6.1 изображена структурная схема адаптивного приемника синхросигнала.
Рис. 6.1 Приемник синхросигнала с задержкой контроля и одноразрядным
сдвигом
Тогда

Максимальное
значение времени поиска синхронизма 
где 
определено
по формуле (6.2), а 
стандартное
отклонение времени поиска синхронизма:
Время
удержания синхронизма:
где 
число
символов последовательно искаженных цикловых синхросигналов необходимых для
того чтобы вывести систему из состояния «цикловой синхронизации» в состояние
«выход из циклового синхронизма». Для первичного цифрового потока 
. Таким
образом, среднее время восстановления синхронизма определяется по формуле:
Максимальное
значение 
определяется
из соотношения:
Среднее
время между выходами из состояния синхронизма или время сбоя синхронизма:
где

коэффициент
ошибок. Это время достаточно большое, чтобы можно было практически не считаться
с вероятностью сбоя системы цикловой синхронизации из-за воздействия одиночных
помех с худшим случаем 
, когда
срабатывает аварийная сигнализация.
Время
защитное: 
Результаты
расчета параметров системы сведены в табл. 6.1.
Таблица 6.1
Рассчитанное
время вхождения в состояние «цикловой синхронизации» не превышает допустимое (
, поэтому
нет необходимости менять схему приемника (см. рис. 6.1), и число символов в
синхросигнале оставляем равным 7, вид синхросигнала оставляем как в п.3.
6. Формирование агрегатного цифрового потока с использованием
асинхронного объединения на основе ИКМ-120
При
любом способе объединения цифровых потоков зависимость между тактовой частотой
объединяемых цифровых потоков 
и
тактовой частотой объединенного цифрового потока 
выражается
в виде:
где
q - отношение числа дополнительных символов в цикле объединенного
цифрового потока к числу информационных символов, М - количество
объединяемых цифровых потоков.
За
основу берется система, где во вторичный цифровой поток объединяется 7
первичных, и используется асинхронный способ объединения потоков, тогда будем
считать М = 7. В этой системе в каждом компонентом потоке содержится 14
служебных символов, а в проектируемой ЦСП в каждом компонентном первичном
цифровом потоке передается 42
информационных символов, поэтому 
По
формуле рассчитаем скорость 
и
тактовую частоту вторичного цифрового потока 
,
учитывая что fT1=2688 кГц:
и
соответственно 
Мбит/сек.
Число
символов, передаваемых во вторичном цифровом потоке:

где

число
символов в первичном цифровом потоке. Тогда 
Структура
цикла передачи вторичного потока приведена в табл. 7.1, а также на рис. 7.1 для
наглядности.группа: на позициях 1 - 8 передается синхросигнал вида 0011 1111.
Таблица
7.1
|
Виды передаваемой
информации
|
Номер позиции в цикле
|
Номер группы в цикле
|
|
Синхросигнал
|
1 - 8
|
I
|
|
Обратный сигнал аварии
|
9
|
|
|
Бит для служебного
использования
|
10 - 14
|
|
|
Информационные символы
|
15 - 350
|
|
|
Биты положительного
согласования скоростей
|
II
|
|
Информационные символы
|
8 - 350
|
|
|
Биты положительного
согласования скоростей
|
1 - 7
|
III
|
|
Информационные символы
|
8 - 350
|
|
|
Биты положительного
согласования скоростей
|
1 - 7
|
IV
|
|
Информационные символы
|
8 - 350
|
|
|
Биты положительного
согласования скоростей
|
1 - 7
|
V
|
|
Информационные символы
|
8 - 350
|
|
|
Биты положительного
согласования скоростей
|
1 - 7
|
VI
|
|
Информационные символы
|
8 - 350
|
|
|
Биты положительного
согласования скоростей
|
1 - 7
|
VII
|
|
Позиции стаффинга
|
8 - 14
|
|
|
Информационные символы
|
15 - 350
|
|
Данная структура потока (положение служебной информации в потоке)
отвечает требованиям, предъявляемым к структуре объединенного цифрового потока:
длительность цикла должна быть по возможности минимальной, чтобы
уменьшить время вхождения в синхронизм;
число следующих подряд служебных символов должно быть
минимальным, чтобы минимизировать память ЗУ в ОВГ;
распределение служебных символов в цикле должно быть
равномерным, что минимизирует объем памяти ЗУ в ОВГ и т. д.
Рис. 7.1 Структура цикла вторичного цифрового потока проектируемой ЦСП
- информационные биты
ЦСС - цикловой синхросигнал(первые 8 бит первого потока)- обратный сигнал
аварии- бит для служебного использования- позиции стаффинга- биты
положительного согласования скоростей
. Разработка укрупненной структурной схемы ЦСП
Так как проектируемая ЦСП строится на основе асинхронного метода
объединения потоков (временное группообразование), то за основу можно взять
схему временного группообразования системы европейского стандарта ПЦИ. Она имеет
следующие ступени временного группообразования:
- вторичное временное группообразование с коэффициентом
мультиплексирования равным q = 7;
- третичное временное группообразование с коэффициентом
мультиплексирования равным k = 4;
четверичное временное группообразование с коэффициентом
мультиплексирования равным l = 4;
Схема временного группообразования для проектируемой ЦПС приведена на
рис. 8.1. Обозначения: ПЦП - первичный цифровой поток, ВЦП - вторичный цифровой
поток, ТЦП - третичный цифровой поток, ЧЦП - четверичный цифровой поток.
Рис. 8.1 Схема временного группообразования
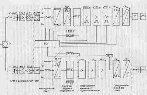
ЦПС имеет следующие основные составляющие: индивидуальное оборудование
(ИО), оборудование формирования первичного цифрового потока (ОФПЦП), оборудование
временного группообразования (ОВГ), оборудование линейного тракта передачи
(ОЛТпер) и приема (ОЛТпр), генераторное оборудование.
Оборудование объединения цифровых потоков называется оборудованием
временного группообразования (ОВГ). Обобщенная структурная схема ОВГ приведена
на рис. 8.2. Обозначения:
БЦСпер - блок цифрового сопряжения тракта передачи ОВГ. Здесь скорости
компонентных цифровых потоков приводятся с их соотношением с тактовой частотой
группового потока и устанавливаются необходимые временные положения
объединяемых потоков.
БЦСпр - блок цифрового сопряжения тракта приема ОВГ.
Рис. 8.2 Структурная схема ОВГ
Пер СС - передатчик сигнала ЦСС для соответствующей ступени временного
группообразования.
ФГЦП - формирователь группового цифрового потока.
ВТЧ - выделитель тактовой частоты.
Пр СС - приемник сигналов ЦСС.
ГОпер, ГОпр - генераторное оборудование тракта приема и тракта передачи.
Индивидуальное оборудование предназначено для преобразования аналогового
первичного сигнала в АИМ-сигнал для дальнейшей его обработки. Структурная схема
ИО приведена на рис. 8.3. Обозначения:
ДС - дифференциальная система, УНЧ - усилитель нижних частот, ФНЧ -
фильтр нижних частот, КАИМ - канальный амплитудно-импульсный модулятор, ПУ -
переменный удлинитель, ГО - генераторное оборудование, КС - канальный селектор.
Рис. 8.3. Структурная схема ИО (тракт передачи и тракт приема)
Групповой тракт АИМ-сигнала предназначен для объединения АИМ-сигналов
отдельных каналов в групповой АИМ-сигнал и преобразование сигнала АИМ-1 на
выходе ИО в сигнал АИМ-2 и его квантования (это осуществляется в АЦП). Схема
оборудования группового АИМ тракта приведена на рис. 8.4. Обозначения:
УОКС - устройство объединения канальных сигналов (АИМ) для индивидуальных
АИМ-1 сигналов,
АИМ-1/АИМ-2 - устройство преобразования индивидуальных АИМ-1 сигналов в
групповой АИМ-2 сигнал.
Рис. 8.4 Схема оборудования группового АИМ тракта
Аналого-цифровое оборудование (АЦО), подключаемое на выход группового
АИМ-2 сигнала, предназначено для кодирования отсчетов сигнала АИМ-2 в тракте
передачи ЦСП и обратного преобразования отсчетов в сигнал АИМ-2 в тракте приема
ЦСП. Кроме того, АЦО тракта передачи осуществляет формирование первичного
цифрового потока, содержащего кроме кодовых групп канальных отсчетов, символы
управления и вызова (СУВ), сигналы цикловой синхронизации (ЦС). Схема
устройства нелинейного кодирования АЦП и ЦАП приведены на рис. 4.2 и 4.3
соответственно.
Оборудование линейного тракта (ОЛТ) предназначено для формирования
линейного кода цифрового сигнала, амплитуды, длительности и формы импульсов
линейного кода. Основными элементами ОЛТ являются преобразователи кода приема и
передачи ПКпр и ПКпер, станционные регенераторы трактов передачи и приема СРпер
и СРпр.
Обобщённая структурная схема ЦСП приведена на рис. 8.5. В нее входят все
основные составляющие, перечисленные выше.

Обозначения:
НРП - необслуживаемый регенерационный пункт,
ОРП - обслуживаемый регенерационный пункт,
УВТЧ - устройство выделения тактовой частоты,
УРКС - устройство разделения канальных сигналов АИМ группового тракта
приема,
РПЦС - распределитель первичного цифрового сигнала,
ФСС - формирователь сигналов различных видов синхронизации,
ФСУВ - формирователь сигналов управления и вызова и их ввода в первичный
цифровой поток,
Пр.СС - приемник синхросигналов различного назначения,
Пр.СУВ - приемник сигналов управления и вызова,
ОВВГпр, ОВВГпер - оборудование вторичного временного группообразования
трактов передачи и приема.
Организация сетей невозможна без выделения из цифровых потоков
составляющих, относящихся к низшим ступеням иерархии, для целей их ответвления,
транзита или доступа к служебной информации. Для систем передачи ПЦИ процесс
выделения потоков осуществляется путем последовательного расформирования
группового цифрового сигнала. На рис. 8.6 показаны основные преобразовательные
операции при выделении цифровых потоков различной иерархии в промежуточном
пункте.
Структурная схема оборудования выделения цифровых потоков приведена на
рис. 8.7.
Рис. 8.6 Схема выделения первичного цифрового потока из вторичного в
промежуточном пункте
Рис. 8.7 Схема выделения цифровых потоков
В линейный тракт последовательно включают преобразователи кода ПКпр,
ПКпер и логические элементы НЕТ и ИЛИ. Остальная часть аппаратуры включается
параллельно к линейному тракту в точках, расположенных на выходе ПКпр и входе
ПКпер. В приемнике синхросигнала определяется временное положение позиций,
соответствующих выделяемому (или вводимому) цифровому потоку. С помощью
логического элемента НЕТ передача информации на этих позициях запрещается, а
информация, передаваемая на других позициях, транслируется непосредственно к
следующему регенерационному пункту. С помощью логического элемента ИЛИ
осуществляется объединение невыделяемого и вводимого цифрового потока.
. Выбор типа линейного кода сигнала ЦСП
Для уменьшения искажений при передаче ИКМ сигналов по линейному тракту их
структуру необходимо изменить в соответствии с особенностями данного тракта.
Для формирования линейного цифрового сигнала (ЛЦС) в ПКпер и ПКпр предназначено
оборудование линейного тракта оконечного пункта (ОЛТ-ОП). ЛЦС должен отвечать
ряду требований:
Энергетический спектр должен быть сосредоточен в узкой полосе
частот. Сигнал не должен содержать постоянную составляющую;
Структура ЛЦС должна быть такой, чтобы можно было легко выделить
тактовую частоту на оконечной станции и в каждом линейном регенераторе;
Уменьшение при необходимости тактовой частоты передаваемого
сигнала по сравнению с ИКМ сигналом;
Используемые линейные коды должны иметь простую аппаратную
реализацию и не приводить к увеличению ошибок.
Для линейных трактов ЦСП, использующих электрические кабели, основные
типы кодов и соответствующие им ЛЦС приведены на рис. 9.1. На рис. 9.1.а)
приведена случайная реализация ИКМ сигнала S на выходе регенератора, указанная
в техническом задании (см. п.1). На рис. 9.1. б) представлен биимпульсный
сигнал (АБС). Он обладает повышенной помехозащищенностью, однако частота
следования биимпульсного сигнала фактически приводит к увеличению тактовой
частоты ЛЦС. Во многих средах передачи может оказаться невозможным определение
абсолютной полярности абсолютной фазы, что требуется для АБС. Поэтому применяют
код ОБС (рис. 9.1.к).
В ЦСП значительное распространение нашли алфавитные коды вида nBkM.
Простейший алфавитный код - кож ЧПИ представлен на рис. 9.1 в). Он имеет
высокую избыточность, но основным его недостатком является трудность выделения
тактовой частоты при длинных сериях нулей в исходной двоичной
последовательности.
Рис. 9.1 Линейные коды ЦСП по электрическим кабелям
От этого недостатка в некоторой степени свободны модифицированные коды
ЧПИ (МЧПИ), также называемые кодами с высокой плотностью единиц порядка N
(код КВП-N). Среди них наибольшее распространение получил код КВП-3
(рис. 9.1 г). При использовании этого кода существенно улучшаются условия
выделения тактовой частоты, он является основным в первичной, вторичной и
третичной ЦСП ИКМ с временным разделением каналов.
Разновидностью кодов МЧПИ является код с подстановкой альтернативных
блоков В3ZS (рис. 9.1. ж). Выбор одной из указанных комбинаций (B0V или 00V)
выполняется с таким расчетом, чтобы число импульсов вида В между
соседними импульсами вида V было нечетным.
Энергетический спектр ЛЦС на основе кода ПИТ (рис. 9.1 ж) близок
энергетическому спектру сигнала с ЧПИ, т. е. они не отличаются по величине
достижимого отношения сигнал/шум (ОСШ). Недостатком его является необходимость
синхронизации по парам символов исходного сигнала S.
При передаче цифровых сигналов с более высокими скоростями относительно
широкое распространение получили алфавитные коды типа nBkT, особенно код
4B3T.
На основе вышеприведенного анализа основных недостатков и преимуществ
линейных кодов можно заключить, что для проектируемой ЦСП наилучшим вариантом
линейного кодирования будет использование кода КВП-3. Энергетический спектр
кода КВП-3 подобен энергетическому спектру кода ЧПИ, т. е. не содержит
постоянной составляющей и максимум энергии приходится на область частот,
близких к половине тактовой частоты. В коде КВП-3 также возможен контроль
ошибок, возникающих при передаче ЦЛС по линейному тракту. Этот код также широко
применяется как стыковой код в оконечной аппаратуре при соединении цифровых
потоков разной иерархии.
Упрощенная структурная схема преобразователя униполярного двоичного
сигнала в код КВП-3 приведена на рис. 9.2.
Преобразуемый униполярный ИКМ-сигнал поступает в 4-разрядный регистр
сдвига. Если в ИКМ-сигнале отсутствуют последовательности из 4-х и более
«нулей», то ИКМ-сигнал, задержанный в регистре сдвига, поступает в устройство
разделения, где разделяется на две последовательности - последовательность
импульсов нечетных (нчт) и последовательность импульсов четных (чт) разрядов.
Эти последовательности без нарушения полярности импульсов поступают на вход
формирователя биполярного сигнала. Если же обнаружитель последовательности 0000
определит наличие в регистре последовательности из четырех «нулей», то он
(обнаружитель) выдает в регистр сигнал, который переводит регистр из
последовательного в параллельный режим работы, тем самым разрешает запись в его
ячейки комбинации К001.
Рис. 9.2 Формирователь кода КВП-3
Обнаружитель четности постоянно формирует кодовую комбинацию К001 в
параллельном коде. Значение К может быть равно 0 или 1. Значение К=1 при четном
числе импульсов на выходе регистра и К=0 - при нечетном (что соответствует
правилу формирования кода КВП-3). Кроме того, импульс с выхода обнаружителя
последовательности 0000 поступает в устройство нарушения полярности, где после
задержки на временной интервал между позициями В и V импульсов (равный 2-м
тактовым) формируется соответствующий сигнал для нарушения чередования
полярности импульсов на выходе формирователя биимпульсного сигнала. С выхода
формирователя биимпульсного сигнала линейный сигнал поступает в линию связи.
. Разработка структурной схемы линейного регенератора
Для устранения или уменьшения деформаций ЛЦС в линейном тракте через
определенные расстояния устанавливаются линейные регенераторы (ЛР), задача
которых состоит в усилении сигналов, коррекции постоянных и переменных
амплитудно-частотных искажений, восстановлении амплитуды, формы и длительности
импульсов ЦЛС, а также временных соотношений между соседними символами.
Процесс регенерации ЛЦС, в широком смысле, состоит в опознавании
переданных символов на фоне помех, восстановлении в соответствии с опознанными
символами формы, амплитуды, временного положения импульсов и пробелов и
передачи их на вход следующего РУ.
Наибольшее распространение получили регенераторы прямого действия с
полным восстановлением временных соотношений. Типовая схема такого регенератора
приведена на рис. 10.1.
Рис. 10.1 Структурная схема типового регенератора
В процессе регенерации искаженного ЦЛС выполняются следующие основные
функции:
Усиление регенерируемых импульсов и коррекция их формы;
Сравнение значения амплитуд откорректированных импульсов с
эталонным (пороговым) значением;
Стробирование откорректированных импульсов, в результате чего
создаются такие условия, при которых импульсы на выходе регенератора
формируются в строго определенные моменты времени;
Формирование новых импульсов с заданными параметрами и
временными соотношениями.
На входе РУ, т. е. на выходе предыдущего регенератора одна из реализаций
ЦЛС имеет вид (рис. 10.2.а). После прохождения регенерационного участка на вход
ЛР подается искаженный сигнал (рис. 10.2 б). Через линейный трансформатор ЛТр1
этот сигнал поступает на вход усилителя корректора, в состав которого входят:
регулируемая искусственная линия РИЛ, обеспечивающая коррекцию переменных
амплитудно-частотных искажений, корректирующий усилитель КУс,
предназначенный для компенсации затухания регенерационного участка и коррекции
постоянных частотных искажений, схема автоматической регулировки усиления АРУ,
необходимая для изменения параметров РИЛ в соответствии с изменениями затухания
регенерационного участка. Вид сигнала на выходе КУс изображен на рис.
10.2 в).
Рис. 10.2. Временные диаграммы работы линейного регенератора
К
выходу КУс через трансформатор подключено устройство выделения
тактовой частоты УВТЧ, на выходе которого формируется
последова-тельность коротких стробирующих импульсов (рис. 10.2 г). Стробирующие
импульсы подаются на решающие устройства РУ1 и РУ2 каналов
реге-нерации положительных и отрицательных символов ЛЦС соответственно. Кроме
того, на РУ через Тр подаются скорректированные и усиленные
импульсы (рис. 10.2 д, е), смещенные на величину порогового напряжения 
.
Вырабатываемого устройством формирования порога ФП.
В
РУ осуществляется стробирование (опробывание) в каждом такте поступающих
символов. Если в момент прихода на РУ стробирующего импульса входной
сигнал имеет положительную полярность (т. е. разность между выходным сигналом КУс
и 
положительна),
то на выходе РУ формируется импульс, поступающий на вход
соответствующего формирова-теля выходных импульсов ФВИ (рис. 10.2 ж,з).
Если указанная разность отрицательна, то на выходе РУ импульс не
формируется.
В
ФВИ при поступлении импульсов с выхода РУ формируются импульсы соответствующей
формы, амплитуды и длительности, следующие с тактовой частотой. Поскольку ФВИ1
и ФВИ2 подключены к линии через дифференциальный трансформатор, то
импульсы на выходе ЛТр2 будут иметь разную полярность (рис. 10.2 и).
Заключение
В ходе выполнения данной курсовой работы были получены в результате
инженерных расчетов основные характеристики цифровой системы передачи с
временным разделением каналов. Эта система позволяет передавать 24 каналов ТЧ и
2 широкополосных канала с тактовой частотой 8 кГц и 56 кГц соответственно. При
этом кодирование отсчетов АИМ-сигнала осуществляется 8-разрядным кодовым словом
в нелинейном АЦП с формированием симметричного кода. Структура временных циклов
первичной ЦСП определена на основе аналогичной для системы ИКМ-30, когда
сигналы СС равномерно распределены в цикле. Также определена тактовая частота
первичного цифрового потока спроектированной ЦСП и соответствующие частоты
следующих по иерархии потоков. В последних пунктах курсовой работы приведена
схема проектируемой ЦСП, а также структурная схема линейного регенератора.
Таким образом, можно сделать вывод о том, что поставленные цели данной
курсовой работы выполнены, а в процессе выполнения задеты все основные вопросы,
касающиеся разработки и проектирования ЦСП с временным разделением каналов.
Список литературы
1. Крухмалев В.В., Адамович Л.В., Лепнина Е.Н. Основы
проектирования цифровых систем передачи: Учебное пособие к выполнению курсовых
и дипломных работ по курсу. - Самара ПГАТИ, 1999 - 110 с.: ил.
2. Крухмалев В.В., Гордиенко В.Н., Моченов А.Д.
Цифровые системы передачи. - Москва: Горячая линия - Телеком, 2007.
. Трофимов Б.Е., Кулева Н.Н., Сосновский И.Е.,
Федорова Е.Л. Методические указания по курсовому проектированию цифровых систем
передачи / СПбГТУ, - СПб, 2001.
. Хатбуллин Р.А. Методические указания для выполнения
курсового проекта по дисциплине «Многоканальные системы передачи. - Ижевск:
Изд-во ИжГТУ, 2002 г.
. Четкин С.В. Методические указания и задания на
курсовой проект «Цифровая многоканальная система передачи с ИКМ по
металлическому кабелю» по курсу «Многоканальные системы передачи». - Москва,
МИС, 1990 г.
. Гордиенко В.Н., Тверецкий М.С. «Многоканальные
телекоммуникационные системы». - Москва: Горячая линия - Телеком 2005 г.