Теплові процеси при зварюванні. Металургійні процеси зварювання. Джерела зварювального нагріву
Реферат
температурний поле
зварюваний метал
Мета роботи: оволодіти методикою
розрахунку температурних полів при ручному дуговому зварюванні масивних
виробів, і навчитися практично використовувати отримані навики при вирішенні
прикладних завдань.
У роботі приводиться опис
математичної моделі, яка відповідає процесу ручному наплавлення валика на
масивне тіло: рухоме точкове джерело. В рамках роботи проводилися розрахунки
температурних полів граничного стану вздовж і поперек зварного шва, будувалися
поверхневі ізотерми, термічний цикл точок і розподіл максимальних температур в
поперечному перетині шва.
Найбільший інтерес представляє
отриманий розподіл максимальних температур в поперечному перетині шва і гілка
охолоджування термічного циклу зварювання точок, що нагріваються до температури
1350
оскільки по ним можна визначити протяжність і структуру зони термічного впливу.
У роботі визначена протяжність ЗТВ і
її структура. Відзначається вірогідність утворення холодних тріщин, і проводяться
технологічні рекомендації по їх попередженню.
Вступ
В даний час зварювання широко
застосовують для з'єднання майже всіх металів і їх сплавів, скла, пластмас,
кераміки. Тому її потрібно вважати найважливішою із способів з'єднання твердих
тіл. Майже всі види зварювання засновані на місцевому концентрованому нагріві
деталі до температури плавлення або до температури пластичного стану.
Не правильно вибраний режим
зварювання плавлення є причиною появи таких дефектів як, наприклад, підрізи,
пори, тріщини.
Тепловий стан металу шва, і
околошовній зони, шлаку, що утворюється в процесі зварювання, обумовлює
характер, напрям і швидкість протікання всіх процесів в зоні зварювання.
Характер деформацій конструкції залежить від циклів нагріву і охолоджування, характеру
температурних полів. Слід зазначити, що з тепловими процесами пов'язані такі
показники, як швидкість нагріву і розплавлення, продуктивність зварювання, її
ефективність.
По цьому, пояснити більшість явищ,
що виникають в процесі зварювання неможливо без долі теплового стану металу.
Точність теплових процесів залежить від вибору розрахункової схеми, що
ідеалізується.
У заданій курсовій роботі буде
визначена розрахункова картина розмірів зони проплавлення, швидкості
охолоджування, визначена протяжність деяких зон. Буде дана оцінка зварюваності,
схильності до утворення холодних тріщин, буде також охарактеризований процес
розпаду аустеніту.
Визначення всіх вище вказаних вимог
допоможе кращому засвоєнню курсу «Теорія зварювальних процесів», представивши матеріал
з практичної точки зору.
Розрахунок температурного поля
граничного стану по вісі переміщення джерела нагрівання. Побудова ізотерм
Температурним полем називається
сукупність точок з різними температурами в певний момент часу. Якщо простежити
за зміною температурного поля в зварюваному виробі при зварюванні зосередженим
джерелом тепла, то можна встановити, що на початку його дії, область підвищених
температур менша, потім воно зростає до певних розмірів. Після припинення дії
такого джерела, охолоджування металу відбувається інтенсивніше, оскільки,
додаткового введення тепла немає, таке введене тепло розповсюджується в тілі.
У зв'язку з цим розрізняють три
стадії:
теплонасичення, коли розміри,
пов’язаної з джерелом зони збільшуються;
граничні стани, коли температурне
поле постійне, і переміщається разом з джерелом тепла.
вирівнювання температури, коли
джерело припиняє діяти.
Розрахуємо процес розподілу тепла
при ручному дуговому наплавленні валика на масивне тіло, яке вважатимемо
нескінченним, оскільки розміри її такі, що всі наявні граничні поверхні не
спотворюють температурне поле. Зварювальну дугу приймемо за точкове, рухоме
джерело тепла, що постійно діє, Теплову потужність приймемо постійною.
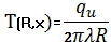
Рівняння граничного стану для
процесу розподілу тепла від точкового джерела, рухомого з постійною швидкістю
по поверхні напівнескінченного тіла, віднесене до рухомої системи координат,
має наступний вигляд:

*
(1.1)
R - відстань від заданої
точки, в якій визначається температура, від початку координат.
Х - абсциса точки, м-
швидкість зварювання, м/г
Температура при заданій
потужності джерела (
) у певному металі залежить тільки
від відстані (R).
Відзначимо, що для точок,
лежачих на осі х, відстань R від точки 0 рівно (+х) якщо, точка розташована
перед дугою, і (-х) якщо вона за дугою. Загальна картина температурного поля
граничного стану при наплавленні валика на масивний виріб показана на листі 1 і
2 графічних частини. Ізотерма викреслена для:

=η*
*
=0.75*320*28=6720 ВТ
Отже, розрахуємо розподіл
температури по осі х і осі у, для розрахунку нагріву тепла даним джерелом
використовується формула (1.1).
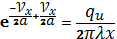
Розрахуємо температури точок
лежачих на осі позаду рухомої дуги R= -x, тоді:
Т(х)=
*
(1.2)
Тут () не залежить від
швидкості руху джерела. Характер задньої гілки кривої температур при зміні
швидкості наплавлення залишиться постійним.
Розрахункові величини
температур вказані в табл.1
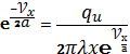
При визначенні температур
точок лежачих на осі вперед рухомої дуги матимемо на увазі, що для них
R2=x2+у2. Тоді:
Т(х)=
*
(1.3)
Тобто із збільшенням
швидкості наплавлення передня гілка буде крутішою. По заданих значеннях х
обчислимо температури і заносимо їх в таблицю 1. Відзначимо, що максимум
температур в точках, віддалених від осі переміщення дуги, досягається не в той
момент, коли дуга знаходиться в площині, проведеній через точку перпендикулярну
осі х, а трохи нижче.
Розподіл температур тіла по
осі х знайдемо на підставі наступних міркувань. Скористаємося для розрахунку
формулою (1.1) враховуючи, що для точок осі х в рухомій системі координат,
начало якої суміщено з джерелом тепла, завжди х=0.
Значить.
=
*
0C
Задаючись різними значеннями
R які для точок, лежачих на осі у, рівні у, визначимо температуру.
Результати приведених
розрахунків приведені в таблиці 1. Слід зазначити, що тепло валика
розподіляється рівномірно на всі боки, завдяки чому ізотерми будуть мати вигляд
крапель.
Таблиця 1 - Розрахункові
значення температури точок лежачих на осі рухомої дуги.
|
Х,м
|
Y,м
|
|
0.00
|
0,005
|
0,01
|
0,015
|
0,02
|
0,025
|
|
1
|
18872.95
|
1992
|
477.978
|
150.405
|
53.082
|
19.963
|
|
2
|
6972.01
|
1552
|
395.963
|
126.532
|
44.952
|
16.966
|
|
3
|
3439.18
|
1152
|
320.538
|
104.966
|
37.694
|
14.311
|
|
4
|
1902.62
|
827.271
|
254.111
|
85.915
|
31.304
|
11.981
|
|
5
|
1123.7
|
582.135
|
197.79
|
69.435
|
25.756
|
9.958
|
|
6
|
693.8
|
405.168
|
151.565
|
55.458
|
21.001
|
8.218
|
|
7
|
441.45
|
280.544
|
114.641
|
43.817
|
16.979
|
6.735
|
|
8
|
284.11
|
193.928
|
85.795
|
34.28
|
13.616
|
5.483
|
|
9
|
187.3
|
134.101
|
63.66
|
26.582
|
10.837
|
4.435
|
|
-1
|
25538.51
|
2695
|
646.762
|
203.516
|
71.826
|
27.012
|
|
-2
|
12769.25
|
2842
|
724.982
|
231.671
|
82.305
|
31.064
|
|
-3
|
8512.83
|
2855
|
794.127
|
260.052
|
93.385
|
35.454
|
|
-4
|
6384.63
|
2773
|
851.864
|
288.014
|
104.941
|
40.165
|
|
-5
|
5107.7
|
2641
|
897.198
|
314.963
|
116.83
|
45.171
|
|
-6
|
4256.41
|
2487
|
930.29
|
340.393
|
128.904
|
50.44
|
|
-7
|
3648.35
|
2330
|
952.131
|
363.91
|
141.015
|
55.936
|
|
-8
|
3192.31
|
2179
|
964.174
|
385.24
|
153.019
|
61.619
|
|
-9
|
2837.61
|
2039
|
968.042
|
404.225
|
164.786
|
67.446
|
|
-10
|
2553.55
|
1911
|
965.325
|
420.809
|
176.2
|
73.373
|
|
-15
|
1702.56
|
1429
|
896.244
|
470.521
|
225.202
|
103.031
|
|
-20
|
1276.92
|
1129
|
799.261
|
479.638
|
258.01
|
129.655
|
|
-25
|
1021.54
|
929.451
|
708.861
|
467.358
|
276.14
|
150.912
|
|
-30
|
851.28
|
788.77
|
631.874
|
445.745
|
283.51
|
166.41
|
|
-35
|
729.67
|
684.551
|
567.696
|
421.044
|
283.782
|
176.807
|
|
-40
|
638.46
|
604.404
|
514.197
|
396.228
|
279.664
|
183.103
|
|
-45
|
567.52
|
540.92
|
469.278
|
372.612
|
272.976
|
186.279
|
|
-50
|
510.77
|
489.428
|
431.206
|
350.705
|
264.89
|
187.161
|
|
-60
|
425.64
|
411.04
|
370.464
|
312.333
|
247.193
|
184.476
|
|
-70
|
364.83
|
354.226
|
324.371
|
280.54
|
229.675
|
178.51
|
|
-80
|
319.23
|
311.178
|
288.307
|
254.129
|
213.431
|
171.131
|
|
-90
|
283.76
|
277.441
|
259.369
|
231.996
|
198.754
|
163.318
|
|
-100
|
255.38
|
250.294
|
235.658
|
213.254
|
185.622
|
155.571
|
|
-110
|
237.16
|
227.98
|
215.888
|
197.22
|
173.906
|
148.135
|
|
-120
|
212.82
|
209,315
|
199.158
|
183.367
|
163.443
|
141.122
|
|
-130
|
196.45
|
193,473
|
184.821
|
171.293
|
154.076
|
134.568
|
Порівняння температур точок тіла в
період тепло насичення і граничного температурного стану
Період процесу розповсюдження тепла
до досягнення граничного стану називається тепло насиченням. В зонах поблизу
джерела тепла, в місцях, нагрітих до більш високих температур, граничний стан
настає раніше, ніж в більш віддалених зонах.
Коефіцієнт тепло насичення
розраховується за часом тепло насичення (часу дії джерела), координатами точки,
теплофізичними властивостям металу. На основі даних таблиці 2 будуємо графік
мал.3 розповсюдження температур в поперечному перетині шва при встановленому
температурному полі. Визначення температури точки в період тепло насичення Тн
відбувається з предпосилань:
Тн = ψ3
* Тпр
де: Тпр - температура роздивляючої
точки при встановлює чому температурному полі
ψ3 - коефіцієнт
тепло насичення.
Температура в поперечному перетині
зварного шва для граничного температурного поля:
(1.4)
де r=
Результати розрахунків
занесені в таблицю 2.
Таблиця 2 - Результати
розрахунку температур в поперечному преретині шва
|
Y
|
X= 5
|
X=10
|
X=30
|
X=50
|
|
X
|
Tпред
|
Tпред
|
ψ
|
Tн
|
Tпред
|
Tпред
|
ψ
|
Tн
|
|
1
|
4934
|
2532
|
0.62
|
1564
|
848.67
|
509.897
|
0.605
|
308.488
|
|
2
|
4474
|
2430
|
0.62
|
1507
|
840.888
|
507.286
|
0.605
|
306.908
|
|
3
|
3863
|
2289
|
0.62
|
1419
|
828.11
|
502.968
|
0.605
|
304.296
|
|
4
|
3226
|
0.62
|
1308
|
810.613
|
496.993
|
0.605
|
300.681
|
|
5
|
2641
|
1911
|
0.61
|
1166
|
788.77
|
489.428
|
0.6
|
293.657
|
|
6
|
2138
|
1703
|
0.61
|
1039
|
763.032
|
480.358
|
0.6
|
288.215
|
|
7
|
1722
|
1499
|
0.61
|
914.39
|
733.912
|
469.883
|
0.6
|
281.93
|
|
8
|
1385
|
1305
|
0.61
|
796.05
|
701.962
|
458.115
|
0.6
|
274.869
|
|
9
|
1114
|
1126
|
0.49
|
551.74
|
667.757
|
445.179
|
0.6
|
267.107
|
|
10
|
897.198
|
965.325
|
0.49
|
473.009
|
631.874
|
431.206
|
0.6
|
258.724
|
|
13
|
475.316
|
591.51
|
0.48
|
283.925
|
519.629
|
384.465
|
0.6
|
230.679
|
|
16
|
257.266
|
354.1
|
0.48
|
169.968
|
410.245
|
333.458
|
0.58
|
193.406
|
|
19
|
141.927
|
209.928
|
0.14
|
29.39
|
312.585
|
281.751
|
0.58
|
163.416
|
|
22
|
|
124.087
|
0.14
|
17.372
|
231.033
|
232.281
|
0.58
|
134.723
|
|
25
|
|
|
|
|
166.41
|
187.161
|
0.58
|
108.553
|
При X = 10 при X=50

при X=50
Розрахунок термічного циклу точки
нагрітої до температури 13500С
Термічним циклом даної точки
називається зміна температури її в часі повного циклу зварювання. Цикл
складається з двох гілок - гілка нагріву, і гілка охолоджування точки тіла.
Зростання або зниження температури точки можуть бути викликані двома причинами:
часу дії нерухомого джерела;
проходження джерела тепла поблизу
точки.
Джерело тепла має достатньо велику
потужність. Тому гілка нагріву круто піднімається вгору і досягає свого, а
потім плавно опускається вниз.
Нагріваючи і охолоджування будь-якої
точки зварного з'єднання при зварюванні характеризується термічним циклом.
Перехід від однієї гілки до
іншої здійснюється при
термічного
циклу. Розрахунок
термічного
циклу дозволяє побічно судити про фізичні процеси, які протікають в металі при
зварюванні змінюються його механічні властивості.
Повнота протікаючих процесів
визначається тривалістю перебування металу в заданому інтервалі часу.
Формула для визначення
термічного
циклу точки має вигляд:
Де 
- ефективна теплова потужність
джерела.
швидкість зварювання. r -
відстань.
Будуємо криві Т=f(х)
представляючи їх в іншому масштабі.
При цьому використовується
залежність:
(2.2)
Результати розрахунків
зводимо в таблицю 3.
За даними таблиці 3 будуємо
графік залежності Т=f(х) представлений на рисунку 4.
Таблиця 3 - Результати
розрахунків
|
t,с
|
1
|
2
|
3
|
4
|
5
|
10
|
20
|
30
|
40
|
50
|
|
Т,0С
|
649.92
|
1256
|
1314
|
1234
|
1130
|
740.72
|
423.97
|
295.67
|
226.81
|
183.92
|
Розрахунок розподілу максимальних
температур. Визначення протяжності ділянок ЗТВ.
Кожна точка металу має свою
максимальну температуру
і тим далі
знаходиться точка від джерела нагріву, тим менше її максимальна температура
нагріву. Поблизу шва метал має дуже високу температуру нагріву, і тому
піддається термічній обробці. З віддаленням від осі шва температура нагріву
зменшується
і тому, метал на різних відстанях від осі шва піддається різним видам
термообробці. Саме тому, різні ділянки металу шва і околошовній зони мають
різну структуру і властивості.
Зона термічного впливу - це
зона, прилегла до металу шва, яка отримує значні зміни структури і
властивостей. Зона термічного впливу складається з п’яти характерних для неї
ділянок. Наше завдання полягає в тому, щоб нами були проведені розрахунки
розподілу максимальних температур в поперечному перетині шва.
У розрахунках
використовуватимемо формулу:
=4.8*106 (Дж/м3*К);=y
=0,001;0,002;0,003…0,025.
При цьому отримані
розрахункові величини зводимо в таблицю 4. За даними цієї таблиці будуємо
графік розподілу максимальних температур для точок зони термічного впливу (мал.
5). Поряд, в тому ж температурному масштабі побудуємо діаграми стану залізо-вуглець.
Розміри зон визначаємо по формулі і по вмісту вуглецю в сталі, а також
еквівалентному вмісту вуглецю:
Складаючи ці два графіки,
визначаємо протяжність характерніших ділянок околошовной зони, якими є:
Зона неповного розплавлення.
Зона гартування.
Зона неповного гартування.
Зона відпуска.
Основний метал.
Зона неповного розплавлення
тонка перехідна смужка від металу шва до основного металу. У зоні є як тверда,
та і рідка фази, що забезпечують розвиток крупного зерна. Структура
ферритно-перлитная з околошовній перлітових виділень ферритными прошарками.
Ширина зони складає 3 мм.
Ділянка металу, що
нагрівається під час зварювання вище температури Ас3, в наслідок наступного
достатньо швидкого охолодження набуває структуру гартування. Кінцева структура
цієї ділянки може бути отримана або повністю мартенситної, або зі змішаною
структурою з тим чи іншим кількістю більш стабільними продуктами розпаду
аустеніту. Протяжність 
1.5 мм.
Ділянка зони термічного
впливу, який під час зварювання нагрівався в температурному інтервалі
Ас1-Ас3,після охолодження отримують структуру частинного гартування. Ширина
зони
3 мм.
Для металу у вихідному
гартованному стані ділянки зони термічного впливу, характерні максимальною
температурою нагріву при зварюванні нижче Ас1, отримують відпуск при різних
температурах і витримках. Так, ділянка, прилягаюча к ділянці гартування,отримає
високий відпуск. Він зазвичай характеризується структурою сорбіта відпуску. По
мірі віддалення від шва температура відпуска знижується, тому ступінь відпуска
загартованого металу знижується, а твердість підвищується. Протяжність 
7 мм.
Загальна ширина зони
термічного впливу приблизно рівна 25 мм.
Таблиця 4 - Розрахунок
розподілу максимальних температур в поперечному перетині шва
|
Y, м
|
0.001
|
0.002
|
0.003
|
0.004
|
0.005
|
0.006
|
0.007
|
0.008
|
0.009
|
0.01
|
|
T,0С
|
124700
|
31180
|
13860
|
7795
|
4989
|
3465
|
2545
|
1949
|
1540
|
1247
|
|
Y, м
|
0.011
|
0.012
|
0.013
|
0.014
|
0.015
|
0.016
|
0.017
|
0.018
|
0.019
|
0.02
|
|
T,0С
|
1031
|
866.1
|
738.02
|
636.355
|
554.336
|
487.21
|
431.6
|
384.9
|
345.5
|
311.8
|
|
Y, м
|
0.021
|
0.022
|
0.023
|
0.024
|
0.025
|
|
|
T,0С
|
282.8
|
257.7
|
235.8
|
216.537
|
199.561
|
|
Визначення структури зварюваного
металу по точці нагрітою до Т=1350
Для визначення структури зварюваного
металу по крапці нагрітою до Т=1350
необхідно скласти графіки термічного циклу точки і діаграму стали 40ХС.
Схильність сталі до отримання
гартівних структур при розпаді аустеніту, визначається за допомогою діаграми
ізотермічного аустенітного розпаду. Ця діаграма показує залежність структури
сталі, від швидкості охолоджування. Структура, що утворюється, залежить від
хімічного складу основного металу. Максимальний вплив робить швидкість
охолоджування, яка визначається:
де
=41,9 Вт/м*град - коефіцієнт
теплопровідності;
=7,5 м/ч = 0,002 м/с -
швидкість зварювання;
Швидкість охолодження в таких
умовах перевишує допустиму, тому знаходимо температуру підігріву T0.
Т0 =
≤[W]=(4…8)
(°С/с);
Тоді швидкість охолодження
Починаємо будувати криву
охолодження с ТА3=840°С с цієї температури, будуємо криву охолодження, при
цьому визначаємо час охолодження.
Таблиця 5 - Залежність
температури від швидкості охолодження
|
t,c
|
5
|
10
|
30
|
50
|
80
|
100
|
|
T,0C
|
860
|
830
|
710
|
590
|
410
|
290
|
Висновки
1. З графіка залежності Т=
f(x) (мал.1)
можна зробити висновок про те, що тепло при зварюванні розповсюджується
попереду джерела нагрівання. Крива розповсюдження температур на поверхні вздовж
осі шва складається з двох гілок - нагріву і охолодження, причому крива
охолодження більш полога, ніж крива нагріву. Ці криві мають свої фіксуємо
максимуми.
. З графіка на мал. 2 видно,
що в поперечному перетині розповсюдження температур на поверхні тіла
симетричне, в наслідок того, що тепло від швидкорухаючогося джерела
розповсюджується рівномірно в усі сторони. З віддаленням від осі нагріву
температура зменшується. Причому, чим вище температура, тим менша площа,
відокремлена відповідною ізотермою.
. З графіка на мал. 3 слідує,
що в поперечному перетині шва температура досягає свого максимуму при у=0. При
цьому зі збільшенням відстані х цей максимум зменшується.
. З графіка мал.5 слідує, що
дана сталь 40ХС така,що гартується і тому схильна до утворення холодних тріщин
. В зоні термічного впливу
зварювальних з’єднань гартівних сталей в процесі охолодження або через деякий
час після повного охолодження часто виникають холодні тріщини. Для запобігання
виникнення тріщин потрібно зварювання виконувати з попереднім загальним або
місцевим підігрівом.
Перелік
посилань
1. Богуцкий
А.А. Методические указания к курсовой работе по дисциплине «Теория сварочных
процессов», Краматорск 2002 г. 24 с.
2. Багрянский
К.В., Добротина З.А., Хренов К.К., «Теория сварочных процессов», 2-е издание
Киев: Высшая школа, 1966 г. 424 с.
. Петров
Г.Г., Гумарев А.С. «Теория сварочных процессов», Высшая школа, 1977 г. 528 с.
. Акулов
А.И. Технология и оборудование сварки плавления. М., Машиностроение, 1977. 346
с.