Бизнес-план АЭС

  • Вид работы:
    Тип работы
  • Предмет:
    Финансы, деньги, кредит
  • Язык:
    Русский
    ,
    Формат файла:
    MS Word
    59,88 kb
  • Опубликовано:
    2008-12-09
Вы можете узнать стоимость помощи в написании студенческой работы.
Помощь в написании работы, которую точно примут!

Бизнес-план АЭС

МИНИСТЕРСТВО ОБРАЗОВАНИЯ И НАУКИ УКРАИНЫ

СУМСКИЙ ГОСУДАРСТВЕННЫЙ УНИВЕРСИТЕТ









Курсовая работа

по программированию по теме:

«Решение системы линейных уравнений методом Гаусса и Жордана-Гаусса»











Сумы 2005

ПЛАН

 

Постановка задачи

Теоретическая часть

Методы решения примененные в программе

Метод Гаусса.

Метод Жордана-Гаусса.

Краткое описание среды визуальной разработки Delphi

Таблица основных обозначений программы.

Описание процедур и алгоритм роботы программы

Текст программы.

Файл-модуль unit1.pas

Файл-модуль unit2.pas

Файл проекта - Project1.dpr:

Результат работы программы.

Инструкция по работе с программой

Использованная Литература

Постановка задачи


Составить программу для решения систем линейных уравнений размером n на n методом Гауса и Жордана-Гаусса.

Теоретическая часть

Методы решения примененные в программе

 

Метод Гаусса


Метод Гаусса решения систем линейных уравнений состоит в последовательном исключении неизвестных и описывается следующей процедурой.

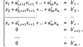
С помощью элементарных преобразований над строками и перестановкой столбцов расширенная матрица  системы  может быть приведена к виду


Эта матрица является расширенной матрицей системы


которая эквивалентна исходной системе

Заметим, что перестановка столбцов означает перенумерацию переменных. На практике обычно избегают этой процедуры, приводя расширенную матрицу к ступенчатому виду путем элементарных преобразований над строками.

Если хотя бы одно из чисел отлично от нуля, то система  несовместна. Если же , то система  совместна и можно получить явное выражение для  базисных неизвестных через  свободных неизвестных

 

Метод Жордана-Гаусса.


Элементарные преобразования этого метода аналогичны методу Гаусса, только матрица при использовании этого метода приводится к виду, тоесть столбец свободных коэффициентов превращается в столбец корней.

 

Краткое описание среды визуальной разработки Delphi


Среда Delphi - это сложный механизм, обеспечивающий высокоэффективную работу программиста. Визуально она реализуется несколькими одновременно раскрытыми на экране окнами. Окна могут перемещаться по экрану, частично или полностью перекрывая друг друга, что обычно вызывает у пользователя, привыкшего к относительной “строгости” среды текстового процессора Word или табличного процессора Excel, ощущение некоторого дискомфорта. После приобретения опыта работы с Delphi это ощущение пройдет, и вы научитесь быстро отыскивать нужное окно, чтобы изменить те или иные функциональные свойства создаваемой вами программы, ибо каждое окно несет в себе некоторую функциональность, т. е. предназначено для решения определенных задач.

Запустите Delphi - и вы увидите нечто, похожее на


На рисунке изображены шесть наиболее важных окон Delphi: главное окно, окно Дерева объектов (Object Tree View), окно Инспектора объектов, окно браузера, окно формы и окно кода программы.

Чтобы упорядочить окна так, как они показаны на рисунке, вам придется вручную изменять их положение и размеры, т. к. обычно окно кода программы почти полностью перекрыто окном формы. Впрочем, добиваться максимального сходства того, что вы видите на экране вашего ПК, с изображением, показанным на рисунке, вовсе не обязательно: расположение и размеры окон никак не влияют на их функциональностью.

Замечу, что при первом запуске Delphi поверх всех окон появится окно


С помощью этого окна вы сможете получить доступ к Web-страницам корпорации Inprise для просмотра самой свежей информации о корпорации и ее программных продуктах, копирования дополни тельных файлов, чтения ответов на наиболее часто задаваемые вопросы и т. д. При повторных запусках Delphi это окно появляется автоматически с некоторой периодичностью, определяемой настройками на странице окна Tolls | Environment Options, связанной с закладкой Delphi Direct. Вы также сможете его вызвать в любой момент с помощью опции Help | Delphi Direct главного меню.

Таблица основных обозначений программы.

Обозначение

Описание

Модуль

maxr

Константа для ограничения максимального размера системы

Unit2

arys, ary2s

Типы данных для переменных, в которых хранятся значения коэффициентов системы

Unit2

Gauss1

Процедура для решения системы линейных уравнений методом Гаусса

Unit2

Gaussj

Процедура для решения системы линейных уравнений методом Жордана-Гаусса

Unit2

i,j,l

Счетчики

Unit1

prover

Промежуточная переменная типа String, используется для проверки наличия букв среди коэффициентов системы, а также для замены «.» на «,».

Unit1

S

Переменная для хранения размера матрицы

Unit1

k

Переменная для хранения длины строчки хранящейся в переменной prover.

Unit1

dl

Переменная для проверки размера системы.

Unit1

MainMenu1

Меню программы.

Unit1

 File1, New1, Save1, Exit1

Пункты меню.

Unit1

Matrix, Coef, Gauss, Jgauss

Таблицы для ввода элементов системы и вывода результатов расчета.

Unit1

XPManifest1

Компонент, который дает программе возможность использовать оформление Windows.

Unit1

SaveDialog1

Диалоговое окно для сохранения результатов.

Unit1

 Button1, Button2

Кнопки для запуска процедур решения системы.

Unit1

New1Click

Процедура, которая выполняется после выбора пункта меню New.

Unit1

Button1Click

Процедура, которая выполняется после нажатия кнопки Gauss.

Unit1

Button2Click

Процедура, которая выполняется после нажатия кнопки J-Gauss.

Unit1

Save1Click

Процедура, которая выполняется после выбора пункта меню Save.

Unit1

Exit1Click

Процедура, которая выполняется после выбора пункта меню Exit.

Unit1

Form1

Собственно окно программы.

Unit1


Описание процедур и алгоритм роботы программы


В программу включены следующие процедуры : «gauss1», «gaussj», «New1Click», «Button1Click», «Button2Click», «Save1Click», «Exit1Click». С каждой из них мы ознакомимся ниже.

Процедура «gaussвыполняет проверку системы на сходимость и решение методом Гаусса.

Процедура «gaussj» выполняет проверку системы на сходимость и решение методом Жордана-Гаусса.

Процедура «New1Click» выполняется после выбора пункта меню «New» или сразу после запуска программы и выполняет чтение размера системы и устанавливает размер таблиц для ввода коэффициентов системы.

Процедура «Button1Click» считывает коэффициенты системы, проверяет корректность ввода коэффициентов и заменяет при необходимости «.» на «,». Потом запускает процедуру «gaussдля решения системы и выводит результаты.

Процедура «Button2Click» считывает коэффициенты системы, проверяет корректность ввода коэффициентов и заменяет при необходимости «.» на «,». Потом запускает процедуру «gaussj» для решения системы и выводит результаты.

Процедура «Save1Click» запускает диалог сохранения файлов и выполняет сохранение результатов.

Процедура «Exit1Click» - Выход из программы.

 

Текст программы.

Файл-модуль unit1.pas

unit Unit1;

interface

uses

 Windows, Messages, SysUtils, Variants, Classes, Graphics, Controls, Forms,

 Dialogs, Menus, XPMan, StdCtrls, Grids, unit2;

type

 TForm1 = class(TForm)

 Coef: TStringGrid;

 Gauss: TStringGrid;

 Jgauss: TStringGrid;

 Button1: TButton;

 Button2: TButton;

 XPManifest1: TXPManifest;

 SaveDialog1: TSaveDialog;

 MainMenu1: TMainMenu;

 File1: TMenuItem;

 New1: TMenuItem;

 Save1: TMenuItem;

 Exit1: TMenuItem;

 Matrix: TStringGrid;

 procedure New1Click(Sender: TObject);

 procedure Button1Click(Sender: TObject);

 procedure Button2Click(Sender: TObject);

 procedure Save1Click(Sender: TObject);

 procedure Exit1Click(Sender: TObject);

 private

 { Private declarations }

 public

 { Public declarations }

 end;

var

 Form1: TForm1;

 s:integer;

implementation

{$R *.dfm}

procedure TForm1.Exit1Click(Sender: TObject);

begin

close;

end;

procedure TForm1.New1Click(Sender: TObject);

 var i,dl:integer;

 prover:string;

begin

 form1.Enabled:=false;

 repeat

 prover:=inputbox('Введите размер системы','Значение между 2 и 20','2');

 dl:=length(prover);

 if dl=0 then showmessage('Введите размер системы') else

 begin

 if (dl=1) and (prover<'9') and (prover>'0') then s:=trunc(strtofloat(prover))

 else

 begin

 for i:=1 to dl do

 begin

 if prover[i]>'9' then

 begin

 showmessage('Введите число');

 break;

 end

 else if i=dl then s:=trunc(strtofloat(inputbox('Введите размер системы','Значение между 2 и 20','2')));

 end;

 end;

 end;

 until (s>=2) and (s<=maxr);

 form1.Enabled:=true;

 matrix.RowCount:=s+1;

 matrix.ColCount:=s+1;

 gauss.colCount:=s+1;

 coef.rowCount:=s+1;

 jgauss.colCount:=s+1;

 coef.Cells[1,0]:='B';

 gauss.Cells[0,1]:='Gauss';

 jgauss.Cells[0,1]:='J-Gauss';

 for i:=1 to s do

 begin

 matrix.Cells[0,i]:=floattostr(i);

 matrix.Cells[i,0]:='A'+floattostr(i);

 coef.Cells[0,i]:=floattostr(i);

 gauss.Cells[i,0]:='X'+floattostr(i);

 jgauss.Cells[i,0]:='X'+floattostr(i);

 end;

 end;

procedure TForm1.Button1Click(Sender: TObject);

 var a:ary2s;

 x,y:arys;

 error:boolean;

 i,j,l,K:integer;

 prover:string;

begin

{Считывание массивов с исходными данными и проверка '.' или ','}

{***********************************************}

 for i:=1 to s do

 for j:=1 to s do

 begin

 prover:=matrix.Cells[j,i];

 k:=length(prover);

 if k=0 then

 begin

 showmessage('Вы не ввели один или несколько элементов системы.');

 exit;

 end;

 for l:=1 to length(prover) do

 if prover[l]='.' then prover[l]:=','

 else if prover[l]>'9' then

 begin

 showmessage('В качестве одного или нескольких элементов системы введена буква. Замените их на числа!');

 exit;

 end;

 matrix.Cells[j,i]:=prover;

 a[i,j]:=strtofloat(matrix.cells[j,i]);

 end;

 for i:=1 to s do

 begin

 prover:=coef.cells[1,i];

 for l:=1 to length(prover) do

 if prover[l]='.' then prover[l]:=','

 else if prover[l]>'9' then

 begin

 showmessage('В качестве одного или нескольких элементов системы введена буква. Замените их на числа!');

 exit;

 end;

 coef.cells[1,i]:=prover;

 y[i]:=strtofloat(coef.cells[1,i]);

 end;

{***********************************************}

{Решение и вывод результатов}

{***********************************************}

 gauss1(a,y,x,s,error);

 if not error then

 for i:=1 to s do

 gauss.cells[i,1]:=floattostr(x[i])

 else

 begin

 showmessage('Система решения не имеет');

 new1.Click;

 end;

{***********************************************}

end;

procedure TForm1.Button2Click(Sender: TObject);

 var a:ary2s;

 x,y:arys;

 error:boolean;

 i,j,l,k:integer;

 prover:string;

begin

{Считывание массивов с исходными данными}

{***********************************************}

{Считывание массивов с исходными данными и проверка '.' или ','}

{***********************************************}

 for i:=1 to s do

 for j:=1 to s do

 begin

 prover:=matrix.Cells[j,i];

 k:=length(prover);

 if k=0 then

 begin

 showmessage('Вы не ввели один или несколько элементов системы.');

 exit;

 end;

 for l:=1 to length(prover) do

 if prover[l]='.' then prover[l]:=','

 else if prover[l]>'9' then

 begin

 showmessage('В качестве одного или нескольких элементов системы введена буква. Замените их на числа!');

 exit;

 end;

 matrix.Cells[j,i]:=prover;

 a[i,j]:=strtofloat(matrix.cells[j,i]);

 end;

 for i:=1 to s do

 begin

 prover:=coef.cells[1,i];

 for l:=1 to length(prover) do

 if prover[l]='.' then prover[l]:=','

 else if prover[l]>'9' then

 begin

 showmessage('В качестве одного или нескольких элементов системы введена буква. Замените их на числа!');

 exit;

 end;

 coef.cells[1,i]:=prover;

 y[i]:=strtofloat(coef.cells[1,i]);

 end;

{***********************************************}

{***********************************************}

{Решение и вывод результатов}

{***********************************************}

 gaussj(a,y,x,s,error);

 if not error then

 for i:=1 to s do

 jgauss.cells[i,1]:=floattostr(x[i])

 else

 begin

 showmessage('Система решения не имеет');

 new1.Click;

 end;

{***********************************************}

end;

procedure TForm1.Save1Click(Sender: TObject);

 var f:textfile;

 i,j:integer;

begin

savedialog1.Filter:='Text files (*.txt)|*.txt|';

if savedialog1.Execute then

 begin

 assignfile(f,savedialog1.filename+'.txt');

 rewrite(f);

 for i:=1 to s do

 begin

 writeln(f);

 for j:=1 to s do

 write(f,matrix.cells[i,j]:4,' ');

 write(f,'|',coef.cells[1,i]);

 end;

 writeln(f);

 writeln(f);

 writeln(f,'Gauss');

 for i:=1 to s do

 writeln(f,'X'+floattostr(i)+'='+gauss.cells[i,1],' ');

 writeln(f);

 writeln(f,'J-Gauss');

 for i:=1 to s do

 writeln(f,'X'+floattostr(i)+'='+jgauss.cells[i,1],' ');

 closefile(f);

 end;

end;

end.

Файл-модуль unit2.pas

unit unit2;

interface

 const          maxr=20;

 type arys=array[1..maxr] of real;

          ary2s=array[1..maxr,1..maxr] of real;

 procedure gauss1(a:ary2s; y:arys; var coef:arys; ncol:integer; var error:boolean);

 procedure gaussj(var b:ary2s; y: arys; var coef:arys; ncol:integer; var error: boolean);

implementation

 {Решение системы линейных уравнений методом Гаусса}

{**********************************************************}

 procedure gauss1(a:ary2s; y:arys; var coef:arys; ncol:integer; var error:boolean);

 var    b:ary2s;

         w:arys;

          i,j,i1,k,l,n:integer;

          hold,sum,t,ab,big: real;

 begin

 error:=false;

 n:=ncol;

 for i:=1 to n do

 begin

 for j:=1 to n do

 b[i,j]:=a[i,j];

 w[i]:=y[i]

 for i:=1 to n-1 do

 begin

 big:=abs(b[i,i]);

 l:=i;

 i1:=i+1;

 for j:=i1 to n do

          begin

          ab:=abs(b[j,i]);

          if ab>big then

          begin

          big:=ab;

          l:=j

          end

 end;

 if big=0.0 then error:= true

 else

 begin

          if l<>i then

          begin

          for j:=1 to n do

          begin

 hold:=b[l,j];

                   b[l,j]:=b[i,j];

                    b[i,j]:=hold

          end;

          hold:=w[l];

          w[l]:=w[i];

 w[i]:=hold

          end;

          for j:=i1 to n do

          begin

 t:=b[j,i]/b[i,i];

 for k:=i1 to n do

                    b[j,k]:=b[j,k]-t*b[i,k];

          w[j]:=w[j]-t*w[i]

          end

          end

 end;

 if b[n,n]=0.0 then error:=true

 else

          begin

          coef[n]:=w[n]/b[n,n];

          i:=n-1;

          repeat

          sum:=0.0;

 for j:=i+1 to n do

          sum:=sum+b[i,j]*coef[j];

          coef[i]:=(w[i]-sum)/b[i,i];

          i:=i-1

          until i=0

          end

 end;

{**********************************************************}

 {Решение системы линейных уравнений методом Жордана-Гаусса}

{**********************************************************}

 procedure gaussj(var b:ary2s; y: arys; var coef:arys; ncol:integer; var error: boolean);

 var w:array[1..maxr,1..maxr] of real;

          index:array[1..maxr,1..3] of integer;

          i,j,k,l,nv,irow,icol,n,l1:integer;

          determ,pivot,hold,sum,t,ab,big:real;

{++++++++++++++++++++++++++++++++++++++++++++}

 procedure swap(var a,b: real);

 var hold:real;

 begin

 hold:=a;

 a:=b;

 b:=hold

 end;

{++++++++++++++++++++++++++++++++++++++++++++}

{@@@@@@@@@@@@@@@@@@@@@@@@@@@@@@@}

 procedure gausj2;

 var i,j,k,l,l1:integer;

{===============================================}

 procedure gausj3;

 var l:integer;

 begin

 if irow<>icol then

 begin

 determ:=-determ;

 for l:=1 to n do

 swap(b[irow,l],b[icol,l]);

 if nv>0 then

 for l:=1 to nv do

          swap(w[irow,l],w[icol,l])

 end

 end;

{===============================================}

 begin

 error:=false;

 nv:=1;

 n:=ncol;

 for i:=1 to n do

 begin

 w[i,1]:=y[i];

 index[i,3]:=0

 end;

 determ:=1.0;

 for i:=1 to n do

 begin

 big:=0.0;

 for j:=1 to n do

 begin

 if index[j,3]<>1 then

          begin

          for k:=1 to n do

          begin

                    if index[k,3]>1 then

                    begin

                    error:=true;

                    exit;

 end;

 if index[k,3]<1 then

                    if abs(b[j,k])>big then

 begin

                    irow:=j;

                    icol:=k;

                    big:=abs(b[j,k])

                    end

          end

          end

 end;

 index[icol,3]:=index[icol,3]+1;

 index[i,1]:=irow;

 index[i,2]:=icol;

 gausj3;

 pivot:=b[icol,icol];

 determ:=determ*pivot;

 b[icol,icol]:=1.0;

 for l:=1 to n do

 b[icol,l]:=b[icol,l]/pivot;

 if nv>0 then

 for l:=1 to nv do

 w[icol,l]:=w[icol,l]/pivot;

 for l1:=1 to n do

 begin

 if l1<>icol then

          begin

          t:=b[l1,icol];

          b[l1,icol]:=0.0;

          for l:=1 to n do

          b[l1,l]:=b[l1,l]-b[icol,l]*t;

          if nv>0 then

          for l:=1 to nv do

          w[l1,l]:=w[l1,l]-w[icol,l]*t;

 end

 end

 end;

 end;

{@@@@@@@@@@@@@@@@@@@@@@@@@@@@@@@}

 begin

 gausj2;

 if error then exit;

 for i:=1 to n do

 begin

 l:=n-i+1;

 if index[l,1]<>index[l,2] then

          begin

          irow:=index[l,1];

          icol:=index[l,2];

          for k:=1 to n do

          swap(b[k,irow],b[k,icol])

 end

 end;

 for k:=1 to n do

 if index[k,3]<>1 then

 begin

 error:=true;

 exit;

 end;

 for i:=1 to n do

 coef[i]:=w[i,1];

 end;

{**********************************************************}

end.

Файл проекта - Project1.dpr:

program Project1;

uses

 Forms,

 Unit1 in 'Unit1.pas' {Form1},

 Unit2 in 'Unit2.pas';

{$R *.res}

begin

 Application.Initialize;

 Application.Title := 'Gauss&J-Gauss';

 Application.CreateForm(TForm1, Form1);

 Application.Run;

end.

Результат работы программы



Результаты сохраненные в файле:

 2 1 1 |2

 3 2 3 |6

 6 5 4 |5

Gauss

X1=-7,4

X2=1,2

X3=2,2

J-Gauss

X1=-7,4

X2=1,2

                                               X3=2,2

 

Инструкция по работе с программой


1. Сразу после запуска файла программы (pragramma.exe) перед вами появиться окно с запросом размера системы. Введите нужный размер и нажмите «ОК»(поскольку система размера n на n нужно ввести только одно число).

2. После ввода размера перед вами появится рабочее окно программы. Введите в него данные по следующей схеме:


3. Для решения нужным методом нажмите соответствующую кнопку, и в таблице возле нее будут выведены корни системы.

4. Для сохранения результатов в меню «File» выберите «Save», перейдите в нужную папку и введите имя файла. Нажмите «ОК».

5. Для начала новых рассчетов «File» выберите «New», введите новый размер системы, нажмите «ОК».

6. Для выхода в меню «File» выберите пункт «Exit».

Использованная Литература.


·   Волков Е.А. численные методы: Учебное пособие для вузов. – 2-е изд., испр. – М.:Наука, 1987. – 248 с.

·   Роганин А.М. Основные формулы высшей математики. – Х.:Торсинг, 2002

·   Справочная система Borland Delphi 7.

·   http://www.interface.ru/delphi/delphi_page.htm

·   http://pog.da.ru/


Не нашли материал для своей работы?
Поможем написать уникальную работу
Без плагиата!
Без нейросетей!