Планирование кинозала
1. Планировочные решения
зрительного зала
Зрительный зал кинотеатра является
основным помещением и от его формы и размеров зависит экономическая часть и
техника кинопоказа из-за дешевизны в строительстве выбирается прямоугольная
форма зала.
киноэкран оборудование помещение
фокусный
1.1 Определение
основных размеров зрительного зала
Основные размеры зрительного зала
определяются по ВСН-45-86. Для того чтобы обеспечить высококачественный
кинопоказ и оптимальное восприятие речи и музыки, размеры зрительного зала
определяются согласно ОСТ 191 54-84
Технологические параметры
зрительного зала
Расчетная длинна зала от центра
киноэкрана до спины кресло последнего ряда по продольной горизонтальной
плоскости определяются по формуле:
где 
- расчетная длинна зала,
М;
N
- задаточное число зрительских мест;
- коэффициент для определения
расчетной длины прямоугольного зала
Полная длинна зала определяется:

где 
- полная длинна зала м;
Т-расстояние между экраном и поверхностью акустического материала отделки стены
за экранном, м.
Т=0,9 м- для
широкоэкранного экрана
Ширина зала должна быть
достаточной, чтобы разместить заданное число зрительских мест с соблюдением
необходимых нормативов по условиям неискаженной видимости экрана и с учетом
рационального использования площади зала.
Учитывая число
зрительских мест, ширину зала определяют следующим образом:
Площадь зала
определяется:
Где 
Ш = 22 м
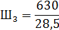
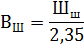
Высота зала
определяется:
В = Н + Вш + К.
Где высота зала, м:
Н - превышение нижней
кромки рабочего пола киноэкрана над уровнем пола у первого ряда Согласно по ВСН
45-86 для широкого экрана.
К - расстояние от верхних
проекционных лучей до выступающих конструкций потолка зала.
Согласно РТМ-19-77-77
для широкого экрана
К - не менее 0,5 м

Где 
,35,0,43 - коэффициент
для определения высоты широкого экрана
В= 7,5
1.2 Расчет фокусных
расстояний объективов размеров, выбор типа и формы киноэкрана и их уточнения
Чтобы размер экрана соответствовал
расчетной длине зала, необходимо правильно выбрать фокусное расстояние. Ширина рабочего
поля киноэкрана определятся:
Где Шш - ширена рабочего поля, М:
,43 - коэффициент для определения
ширены широкого экрана:
Шш = 11,8 м
Проекционное расстояние т.е.
расстоянеие от киноэкрана до выступающей части кинопроектора определяется:
П = Др+tсм + r
Где П - проекционное расстояние М:
T см толщина передней степи кинопроекционной для блочной стены.
T см=0,5
R - расстояние от передней стены до выступающей части кинопроектора
(без объектива) = М
Согласно BCH 45-86 для 35 мм
кинопроектора
R = 0,35 м
П= 27,6 + 0,5 + 0,35
П= 28,45 м
Фокусное расстояние объектива
определяется:
Где S - фокусное расстояние, ММ
А - ширина проекцируемого поля
изображение для 35 мм широкоэкранных и камитериванных фильмов а=21 мм для для
35 мм обычных фильмов а=20,4 мм
m - коэф. Принимаемый ровным для 35 мм широкоэкранных и
кашетированных фильмов:
а=20,9 мм
М = коэффициент, принимаемый ровным
для 35 мм широкоэкранных фильмов m=2, для 35 мм остальных фильмов m = 1
S=100,9mm
По рассчитанному фокусному
расстоянию объектива выбирается стандартное фокусное расстояние
S станд = 100 мм
По найденному стандартному фокусному
расстоянию выбирается соответствующая группа объективов:
ОКП1-100:
Для кашетированных
кинопоказа ОК 
-66-7;
Для обычного кинопоказа
ОК
Уточнение размеры
киноэкрана определяется: для циликурических киноэкранов (по хорде)

2
Где 
- ширина
цилиндрического киноэкранов м;
Ширина Рабочего поля для
широкого киноэкрана М:
Ширина рабочего поля для
широкого киноэкрана

2
Шц = 11,66 м
Ширина рабочего поля для
обычного киноэкрана:

2
Ширина рабочего поля для
кашетированного киноэкрана

2
Шц = 9,03 м
По размерам ширины
рабочего поля киноэкрана уточняется размер высоты киноэкрана
Где Вш - высота широкого
киноэкрана
Шш - ширина рабочего
поля широкого экрана, М;
:35 - коэффициент для
определения
Высота широкого экрана
Вш =
Вш=4,95 м
Вк=
Где Вк - высота
кошетированного киноэкрана
Вк=
Вк=4,88 м
Во=
Где Во-высота обычного
киноэкрана.
Во=
Во=5,05 м
В зависимости от вида
кино показа и ширины киноэкрана выбирается размер для экранного полотнища
согласно ОСТ 19-32-83 в большую сторону по сравнению рассчитанными размеры
рабочего поля экрана, что необходимо для закрепления киноэкрана к раме.
Для широкоэкранного
кинопоказа 12,40х5,20.
1.3
Планировка зрительских мест и построение плана зала
Планировка зрительских мест
выполняется относительно размещенного в зале киноэкрана с соблюдением всех норм
ОСТ 19-154-84, что обеспечило бы более благоприятные условия видения и
рационально использовать площадь зала.
В залах средней вместимости
применяется планировка мест непрырывочными рядами с двухсторонней эвокуацией из
ряда и с размещением зрителей из затошон друг другу
Расстояние от экрана до первого ряда
определяется
Г= 0,36 Др
Где r - расстояние от экрана до спины
сидения первого ряда, М;
,36 - коэффициент для определения
расстояния широкоэкранного показа от экранного до спинки сидений первого ряда
Г= 0,36 * 27,6
Г= 9,9 м
Широко прохода определяется
Шм=
Шм - ширина прохода
общая М;
,6 - коэффициент для
определения ширины эвакуационных проходов для зданий и степени ынестой
плоскости согласно «Правилам пожарной безопасности для кинотеатров и
киноцветоновок»
Шпр = 
Шпр = 3,75
Количество мест в ряду
определяется:
Пм=
Где Пм - число
зрительных мест в ряду
Шенд = ширина сидения
0,55 м
Пм = 
Пм = 33,10=33
Число рядов в зрительном
зале определяется
Пр=
Где Пр - число рядов в
зрительном зале
d
- расстояние между рядами 1.0 м
Пр=18,9 = 19
Основные размеры
зрительного зала кинотеатра
Планировка мест
непрерывными рядами с двухсторонней эвакуации из ряда НС размещением зрителей в
затылок друг другу.
Выбор вспомогательного
кинотехнического оборудования
В кинотеатрах со
стационарным киноустановками при вместимости зала 200 м более зрителских мест
удобно оборудоваются
темнителями света
ПДУ
ПМЗ
противопожарными
заслонками
огрегат водяного
охлаждения
центр устройство
автоматизации кинопоказа в пределах киносеанса
|
№ пr
|
Наименование оборудования
|
Тип
|
количество
|
|
1
|
Противопожарные заслонки
|
3ПКУ-1
|
3
|
|
2
|
Пульт дистанционного управления
|
55ПДУ - 1
|
3
|
|
3
|
Механизм под экранного занавеса
|
МПЗ-1
|
1
|
|
4
|
Темнительные ус-во
|
ТСТ-3
|
1
|
|
5
|
Ус-во для сигнальных шеток
|
55П-5 м
|
1
|
|
6
|
Электроперематыватель
|
35П - 5 м
|
1
|
|
7
|
Фильмостат
|
ФС - 35
|
1
|
|
8
|
Пресс для солитан фильмов
|
35т-1
|
1
|
2. Разработка плана
разрезов помещений киноаппаратной с размещением элементов комплекса
кинотехнического оборудования
2.1 Определение состава
и площадей помещений киноаппаратного комплекса
В зависимости от комплекса
кинотехнологического оборудование количество кинопроекторов и вида кинопоказа
выберается состав и площадь помещений киноаппаратной согласно ВСН-45 86.
2.2