Интегральные микросхемы
Содержание
Введение
. Разработка дискретного устройства
.1 Генератор импульсов
.2 Синтез счетчика импульсов
.3 Синтез дешифратора и шифратора
.3.1 Синтез дешифратора
.3.2 Синтез шифратора
.4 Синтез мультиплексора
.5 Выбор микросхем
. Синтез абстрактного автомата
.1 Разработка асинхронного автомата
.2 Выбор микросхем
Заключение
Список литературы
генератор импульс дешифратор
асинхронный
Введение
Современный этап научно-технического прогресса
характеризуется повсеместным внедрением принципиально новой техники. Ускорение
научно-технического прогресса в значительной степени зависит от успехов
современной микроэлектроники, являющейся современной элементной базой
электронных устройств автоматики, телемеханики и связи.
Интегральные микросхемы значительно расширили
диапазон применения электронных устройств на железнодорожном транспорте. Они
создали возможность для совершенствования систем автоматического регулирования
движения поездов, радиосвязи, учета и планирования технологических процессов на
железнодорожном транспорте, автоматической локомотивной сигнализации и ряда
других.
Развитие науки и ускорение технического
прогресса немыслимо без совершенствования вычислительной техники, средств связи
и систем сбора, передачи и обработки информации. Решение этого вопроса
невозможно без создания цифровых систем и сетей связи.
Наиболее широкое распространение получили в
настоящее время многоканальные системы с импульсно-кодовой модуляцией,
обеспечивающие организацию по одной линии связи большого числа одновременно и
независимо действующих каналов.
Цифровыми называются такие устройства, в которых
измеряемая величина автоматически в результате квантования и цифрового
кодирования представляется кодовым сигналом, соответствующим измеряемой
величине.
Основными преимуществами цифровых систем связи
по сравнению с аналоговыми являются высокая помехоустойчивость за счет передачи
сообщений двоичными сигналам. Так как в цифровых системах передачи
информационные параметры переносчиков в процессе модуляции принимают конечное
количество разрешенных значений. Причем переход от одного разрешенного значения
к другому осуществляется через конечные промежутки времени. Цифровые методы
передачи позволяют значительно повысить помехоустойчивость и уменьшить
накопление помех вдоль тракта передачи путем восстановления сигнала.
Возможность использования сравнительно простых методов запоминания и хранения
сообщений путем записи их в различного рода цифровых регистрах и запоминающих
устройствах.
Поэтому, развитие и совершенствование систем
автоматики, телемеханики и связи в значительной степени определяется широким
внедрением цифровой техники. Для построения систем АТС и управления этими
объектами используются управляющие логические устройства, представляющие собой
последовательные или комбинационные схемы.
Исторически первыми были созданы
релейно-контактные схемы ЛУ, которые и в настоящее время широко применяются в
промышленности, особенно на железнодорожном транспорте. Затем появились ЛУ на
бесконтактных элементах, которые в своем развитии прошли путь от диодных и
ферротранзисторных схем до интегральных. Степень интеграции микросхем
непрерывно повышается. Различают микросхемы малой, средней, большой и
сверхбольшой интеграции.
ЛУ реализованные на микросхемах, делятся на две
группы:
·
с
жесткой логикой;
·
с
программируемой логикой.
ЛУ с жесткой логикой отличаются тем, что при их
реализации необходимо создавать проводные связи между отдельными элементами,
что приводит к значительным габаритам, трудностями при изменении алгоритмов
функционирования, сложностям диагностирования и ремонта.
Программируемые ЛУ, совершенствование которых
осуществляется на основе микропроцессоров, в последние годы находят все более
широкое применение. Использование программируемых ЛУ становится целесообразным
уже в том случае, когда они реализуют задачу, эквивалентную схеме, содержащей
30 реле.
Таким образом, в настоящее время инженеру
необходимо знать не только принципы работы дискретных устройств, но знать
принципы построения таких устройств. Это необходимо для того, чтобы уметь находить
неисправности, знать способы реализации таких устройств в имеющемся элементном
базисе. Этой цели служит данный курсовой проект.
1. Разработка дискретного устройства
.1 Генератор импульсов
Генератор импульсов служит для генерации
последовательности импульсов синхронизации, необходимые для работы любого
дискретного устройства.[7,c.45]
Генератор собран на логических элементах
микросхемы К155ЛН1. Для стабилизации взят распространённый кварц на 100кГц. Для
облегчения запуска используется цепочка R1=220 Ом и C1=1600 пФ.
Рисунок 1.1.1 - Тактовый генератор с кварцевой
стабилизацией
Рисунок 1.1.2 - Времяимпульсная диаграмма работы
генератора тактовых импульсов
Исходя из того, что частота кварца
100 кГц, период импульсов будет равен
с.
1.2 Синтез счетчика импульсов
Счётчиком называют устройство, на
выходе которого сигналы в определённом коде отображают число импульсов,
поступивших на счётный вход (пришедших с генератора импульсов). По заданию
необходимо разработать двоичный, вычитающий счетчик с коэффициентом счета 9. В
качестве устройств памяти необходимо использовать JK- триггеры.
Разработаем счетчик с параллельным
тактирующим входом.
Для разработки данного счетчика
составим таблицы состояний для разрядов счётчика. Данные таблицы имеют
следующий вид:
·
во
втором столбце - текущее состояние выходов счетчика до подачи на вход тактового
импульса;
·
в
третьем столбце - последующее состояние выходов счетчика после подачи на его
вход тактирующего импульса;
·
в
четвертом столбце - состояния на информационных входах JK
- триггеров, которые должны быть на J-
и K- входах триггеров,
чтобы с приходом тактирующего импульса триггеры переключились в следующее
состояние.
Реализуем данный алгоритм работы счетчика на
логических элементах «И-ИЛИ-НЕ».
Для минимизации функций информационных
воздействий на входы триггеров воспользуемся методом Мак-Класки.
Таблица 1 - Таблица состояний разрядов счетчика
|
№
|
Текущее
состояние
|
Последующее
состояние
|
Сигналы
на информационных входах J - K
триггеров.
|
|
Qn4
|
Qn3
|
Qn2
|
Qn1
|
Qn+14
|
Qn+13
|
Qn+12
|
Qn+11
|
J4
|
K4
|
J3
|
K3
|
J2
|
K2
|
J1
|
K1
|
|
8
|
1
|
0
|
0
|
0
|
1
|
1
|
1
|
~
|
1
|
1
|
~
|
1
|
~
|
1
|
~
|
|
7
|
0
|
1
|
1
|
1
|
0
|
1
|
1
|
0
|
0
|
~
|
~
|
0
|
~
|
0
|
~
|
1
|
|
6
|
0
|
1
|
1
|
0
|
0
|
1
|
0
|
1
|
0
|
~
|
~
|
0
|
~
|
1
|
1
|
~
|
|
5
|
0
|
1
|
0
|
1
|
0
|
1
|
0
|
0
|
0
|
~
|
~
|
0
|
0
|
~
|
~
|
1
|
|
4
|
0
|
1
|
0
|
0
|
0
|
1
|
1
|
0
|
~
|
~
|
1
|
1
|
~
|
1
|
~
|
|
3
|
0
|
0
|
1
|
1
|
0
|
0
|
1
|
0
|
0
|
~
|
0
|
~
|
~
|
0
|
~
|
1
|
|
2
|
0
|
0
|
1
|
0
|
0
|
0
|
0
|
1
|
0
|
~
|
0
|
~
|
~
|
1
|
1
|
~
|
|
1
|
0
|
0
|
0
|
1
|
0
|
0
|
0
|
0
|
0
|
~
|
0
|
~
|
0
|
~
|
~
|
1
|
|
0
|
0
|
0
|
0
|
0
|
1
|
0
|
0
|
1
|
~
|
0
|
~
|
0
|
~
|
0
|
~
|
Таблица 2 - Таблица
переходов
триггера.
|
Тип
перехода
|
Вход
J
|
Вход
K
|
|
0®0
|
0
|
~
|
|
0®1
|
1
|
~
|
|
1®0
|
~
|
1
|
|
1®1
|
~
|
0
|
K4 =
1J4 =
3 =
J3 =
K2 =
J2 =
K1 = 1J1 =
.3 Синтез дешифратора и шифратора
.3.1 Синтез дешифратора
Дешифратором (декодером) называется устройство,
распознающее различные кодовые комбинации. Сигналы четырехэлементной комбинации
подаются на входы дешифратора. В зависимости от вида кодовой комбинации на
входе сигнал логической единицы появится только на одном определённом выходе, а
на всех других будет сигнал логического нуля. Таким образом, каждой кодовой
комбинации на входе соответствует свой выход.[1, с.74]
Нам необходимо синтезировать декодер
преобразующий двоичную комбинацию в соответствующее десятичное число. Для этого
воспользуемся таблицей.
Таблица 1.3-таблица соответствия двоичных
комбинаций десятичным числам
|
Десятичное
число
|
Q4
|
Q3
|
Q2
|
Q1
|
|
0
|
0
|
0
|
0
|
0
|
|
1
|
0
|
0
|
0
|
1
|
|
2
|
0
|
0
|
1
|
0
|
|
3
|
0
|
0
|
1
|
1
|
|
4
|
0
|
1
|
0
|
0
|
|
5
|
0
|
1
|
0
|
1
|
|
6
|
1
|
1
|
0
|
|
7
|
0
|
1
|
1
|
1
|
|
8
|
1
|
0
|
0
|
0
|
Теперь запишем логические выражения,
определяющие значения выходных переменных:
Схема декодера приводится в
приложении 1.3.1
.3.2 Синтез шифратора
Шифратором (кодером) называется
устройство, производящее преобразование сигнал логической единицы на одном из
входов в соответствующую кодовую комбинацию на выходной шине. Шифраторы,
например, используют в устройствах ввода информации в цифровые системы. В таких
устройствах при нажатии выбранной клавиши подаётся сигнал на определённый вход
шифратора и на его выходе возникает двоичное число, соответствующее данной
клавише.
Нам необходимо построить шифратор
для представления десятичного числа в двоичном коде «с избытком 3». Для этого
воспользуемся выше приведенной таблицей 1.3, в которой приведено соответствие
между значениями на входе и выходе и получим следующие логические выражения:
Схема шифратора приведена в
приложении 1.3.2.
.4 Синтез мультиплексора
В качестве преобразователя
параллельной формы представления числа в последовательную будем использовать
мультиплексор.
Мультиплексор является устройством,
которое осуществляет выборку одного из нескольких входов и подключает его к
своему выходу. Мультиплексор имеет несколько информационных входов (Dо,D1,...),
адресные входы (A0, A1) и один выход Q. Каждому информационному входу
присваивается номер, называемый адресом. Мультиплексор выбирает один из входов,
адрес которого задается двоичным кодом на адресных входах, и подключает его к
выходу.[1,c.78]
Таким образом, подавая на адресные
входы адреса различных информационных входов, можно передавать цифровые сигналы
с этих входов на выход Q. Число информационных входов Nинф и число
адресных входов Nадр связаны соотношением Nинф≤2Nадр. В данном
курсовом проекте мультиплексор имеет четыре информационных входа.
Следовательно, число адресных входов равно двум.
Функционирование мультиплексора
определяется таблицей 9.
Таблица 9 - Таблица функционирования
мультиплексора
|
Адресные
входы
|
Выход
|
|
А1
|
А2
|
Y
|
|
0
|
0
|
D4
|
|
0
|
1
|
D3
|
|
1
|
0
|
D2
|
|
1
|
1
|
D1
|
Следовательно, логическое выражение для выхода Y
мультиплексора будет иметь вид:
Для последовательного изменения
адресного кода от состояния 00 до 11 мы должны синтезировать двоичный,
суммирующий счётчик с коэффициентом счёта ксч = 4. Составим таблицу
изменения состояний триггеров счётчика.
Таблица 10 - Таблица изменения
состояний триггеров счётчика
|
№
|
A1
|
A2
|
|
0
|
0
|
0
|
|
1
|
0
|
1
|
|
2
|
1
|
0
|
|
3
|
1
|
1
|
Согласно полученной таблице построим схему
счётчика. Функциональная схема счётчика, управляющего адресными входами
мультиплексора, представлена на рисунке 11.
Схема мультиплексора приведена в приложении 1.5.
1.5 Выбор микросхем
В качестве JK-триггера
выберем микросхему К555ТВ9. Микросхема K555ТВ9 содержит 2 независимых JK-триггера,
имеющих общую цепь питания. У каждого триггера имеются JK-информационные
входы и входы синхронизации С. Триггеры также содержат инверсные асинхронные S
и R входы для установки в «1» и «0» соответственно. У микросхемы К555ТВ9 вывод
8 - общий, 14 - питание.
В качестве логических элементов будем
использовать микросхемы К155ЛЛ1 («2ИЛИ», 3 шт.), К155ЛИ1 («2И», 2 шт.), К155ЛИ3
(«3И», 2 шт.), К555ЛИ6 («4И», 5 шт.), К155ЛН1 («НЕ», 2 шт.). У этих микросхем
вывод 7 - общий, 14 - питание. Используемые в дискретном устройстве микросхемы
показаны на рис. 1.6.1.

2. Синтез абстрактного автомата
.1 Разработка асинхронного автомата
Автоматом называется дискретное устройство,
способное принимать различные состояния, под воздействием входных сигналов
переходить из одного состояния в другое и вырабатывать выходные сигналы.
Математической моделью дискретного устройства,
обладающего памятью, является абстрактный автомат, который задается
совокупностью пяти конечных множеств:
S = {A, Z, W, d, x },
где А = {а0,а1... аМ}
- множество состоянии автомата, причем
а0
- начальное состояние;
Z
= {Z1,Z2...
Zf} - множество входных сигналов;
W
= {W1,W2... WС}
- множество выходных сигналов;
d - функция
переходов, обеспечивающая выработку последующего состояния aS
автомата в зависимости от существующего состояния аM и входного
воздействию Zf ;
x - функция
выходов, обеспечивающая выработку выходного сигнала автомата в зависимости от
его состояния и входного сигнала Zf.
Абстрактный автомат имеет один входной и один
выходной каналы, и каждой букве входного алфавита Z ставит в
соответствие букву или слово выходного алфавита W. Наибольшее
распространение получили автоматы Мили и Мура. Закон функционирования автомата
Мили:
a( t + 1) = d ( a( t ) ; Z(
t )) ;
W(
t ) = x ( a( t ) ; Z( t ) ).
Работу автомата Мура определяется следующими
уравнениями:
a( t + 1 ) = d((a(t),Z(t));
W(
t ) = x ( a( t ) ), где
t = 0,1,2...
Автомат может задаваться несколькими способами,
однако все они должны конкретизировать функции переходов и выходов. Задание
автомата табличным способом заключается в построении таблиц переходов (ТП) и
выходов (ТВ), в которых показываются внутренние состояние и состояния выходов
автомата в соответствии с функциями переходов и выходов. Графическое
представление автомата осуществляется с помощью графа, вершины которого
соответствуют внутренним состояниям автомата. Переходы из одного состояния в
другое показывают стрелками, соответствующими ветвям графа.
Для синтеза данного автомата использовался
графический метод. Зададим в соответствии с заданием таблицу переходов и
таблицу выходов (соответственно табл. 2.1.1, табл. 2.1.2).
Таблица 2.1.1ТВ
|
A
|
|
а1
|
а2
|
|
S
|
S0
|
1
|
1
|
|
S1
|
1
|
1
|
|
S2
|
0
|
0
|
|
S3
|
0
|
0
|
|
S4
|
0
|
0
|
Таблица 2.1.2ТП
|
A
|
|
а1
|
а2
|
|
S
|
S0
|
S1
|
S0
|
|
S1
|
S2
|
S1
|
|
S2
|
S0
|
S3
|
|
S3
|
S3
|
S4
|
|
S4
|
S4
|
S2
|
Закодируем внутренние состояния, входные и
выходные воздействия автомата:
S0 = 011; S1 = 001; S2 = 010; S3 =
110; S4 = 100 = a1;
x = a2;
y=1; y
= 0
Для кодирования используем число переменных
исходя из соотношения: k£2N,
где k-количество
состояний автомата,
N- количество
переменных.
Таблица 2.1.3ТВ
|
x
|
|
0
|
1
|
|
S
|
1
|
1
|
|
001
|
1
|
1
|
|
010
|
0
|
0
|
|
110
|
0
|
0
|
|
100
|
0
|
0
|
Таблица 2.1.4ТП
|
X
|
|
0
|
1
|
|
S
|
011
|
001
|
<011>
|
|
001
|
010
|
<001>
|
|
010
|
011
|
110
|
|
110
|
<110>
|
100
|
|
100
|
<100>
|
010
|
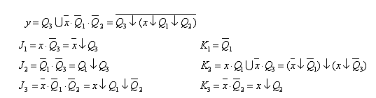
Т. о. для синтеза автомата понадобится три
JK-триггера. Составим граф автомата (рис. 2.1.1).
Рисунок 2.1.1-Граф абстрактного автомата.
По построенному графу составим функции
возбуждения входов и выхода автомата.
Минимизируем данные функции методом карт Карно.
Для простоты подбора микросхем запишем полученные функции в базисе ИЛИ-НЕ для
дальнейшей реализации автомата в этом базисе:
По заданию нам необходимо получить синхронный
автомат, для этого ко всему выше описанному добавим схему синхронизации,
собранную на JK-триггерах.
Принципиальная схема абстрактного синхронного
автомата изображена в приложении.
.2 Выбор микросхем
В качестве JK-триггера выберем микросхему
К561ТB1. Микросхема K561ТВ1 содержит 2 независимых JK-триггера, имеющих общую
цепь питания. У каждого триггера имеются J- и K- информационные входы и входы
синхронизации С. Триггера также содержат S и R входы для установки в «1» и «0»
соответственно. У микросхемы К561ТВ1 вывод 8 - общий, 16 - питание.
В качестве логических элементов ИЛИ-НЕ будем
использовать микросхемы К561ЛЕ5, К561ЛЕ10. У этих микросхем вывод 7 - общий, 14
- питание. Используемые в дискретном устройстве микросхемы показаны на рис.
2.2.1.
Рисунок 2.2.1-Разводка микросхем.
Заключение
В результате выполнения курсового проекта
разработал принципиальную схему дискретного устройства (ДУ), имеющего следующую
структуру: генератор импульсов, двоичный вычитающий счетчик с коэффициентом
счёта 9, дешифратор, шифратор, мультиплексор. В качестве элементов памяти
использовал JK-триггеры.
Дискретное устройство реализовано в базисе ИЛИ - НЕ.
Синтезировал синхронный автомат по таблицам
переходов и выходов, в качестве элементов памяти использовал JK-триггеры. Для
синтеза использовал графический метод.
Список литературы
1.
Сапожников
В. В. и др. Дискретные устройства железнодорожной автоматики, телемеханики и
связи: Учебник для вузов ж.-д. Транспорта.-М: Транспорт, 1988.-255 с.
2.
Нефёдов
А. В. “Интегральные микросхемы и их зарубежные аналоги: справочник”, Т.-3. -
М.: КУбК-А, 1997
3.
Зельдин
Е. А. “Импульсные устройства на микросхемах”
4.
“Цифровые
и аналоговые интегральные микросхемы: справочник”
5.
“Резисторы,
конденсаторы, трансформаторы и коммутирующие устройства: справочник”
6.
В.Л.
Шило, Популярные цифровые микросхемы: Московская радио-библиотека. Москва, Металлургия,
1989 г. - 352 с
7.
С.А.
Бирюков, Цифровые устройства на МОП- интегральных микросхемах: Массовая радио
библиотека. Москва: Радио и связь, 1990г.- 128с.