Проект литейного крана г.п. 100т
ПРОЕКТ
ЛИТЕЙНОГО КРАНА
г.п. 100т
ПОЯСНИТЕЛЬНАЯ
ЗАПИСКА
ПК1276.00.00.000ПЗ
Мариуполь,
2012
Реферат
Записка: с. 25; рис. 3; использованных источников 4;
ТЕЛЕЖКА, ЭЛЕКТРОДВИГАТЕЛЬ, РЕДУКТОР, БАРАБАН, ТОРМОЗ, ТРАВЕРСА, РЕЛЬС,
ХОДОВОЕ КОЛЕСО, МУФТА, МЕХАНИЗМ ПОДЪЁМА, ЗУБЧАТАЯ ПАРА.
Объект проектирования - литейный кран. Цель работы - закрепление и
углубление знаний студентов по расчету и конструированию грузоподъемных машин
специального назначения.
Произведен расчет механизма главного подъема и механизма передвижения
главной тележки.
Содержание:
Реферат
Введение
1. Расчет механизма подъема
1.1 Выбор кратности и
схемы запасовки полиспастной системы
1.2 Выбор каната
1.3 Расчет барабана и
блоков механизма подъема
1.4 Расчет барабана на
прочность
1.5 Расчет крепления
каната к барабану
1.6 Выбор электродвигателя
и редуктора механизма подъема
1.7 Проверка механизма
подъема в аварийном режиме
1.8 Расчет открытой
зубчатой пары
1.9 Выбор тормоза
механизма подъема
1.10 Выбор соединительных
муфт
2. Расчет механизма
передвижения тележки
2.1 Выбор кинематической
схемы
2.2 Расчет ходовых колес
2.3 Расчет сопротивления
передвижению тележки
2.4 Расчет мощности
двигателя и выбор редуктора
2.5 Проверка запаса
коэффициента сцепления
2.6 Проверка времени пуска
2.7 Расчет тормозного
момента и выбор тормоза
Список литературы
Введение
Грузоподъёмные машины
являются неотъемлемой частью современного производства, так как с их помощью
осуществляется механизация основных технологических процессов и вспомогательных
работ. В автоматизированных линиях роль ПТМ качественно возросла и они стали
органической частью технологического оборудования.
Литейные краны являются
тяжело нагруженными грузоподъемными машинами, работающими с расплавленным
металлом. Их конструкция, расчет и проектирование имеют ряд существенных
особенностей, отличающих их от обычных мостовых кранов.
Для обеспечения операций
транспортирования и разливки металла, а также повышения безопасности
эксплуатации в конструкции литейных кранов предусмотрены:
) две тележки - главная и
вспомогательная;
) четырехбалочная конструкция
моста;
) двухприводная конструкция
механизма главного подъема с двумя барабанами, связанными кинематически
посредством зубчатых венцов, и четырьмя тормозами (по два в каждом приводе);
) мощная полиспастная система
главного подъема с четырьмя полиспастами и большим (до 40) числом ветвей
канатов подвески.
Литейные краны мостового типа
применяются в мартеновских, электроплавильных и кислородно-конверторных цехах
металлургического производства и предназначены для транспортирования, заливки
или разливки расплавленного металла, а также для выполнения ряда
вспомогательных операций по обработке ковшей, ремонту оборудования и уборке
цехов.
Расчетные параметры:
Грузоподъемность Q=100т
Высота подъема груза Н=24м
Скорость подъема груза Vг=0,15
м/с
Скорость передвижения
тележки Vт=0,62 м/с
Вес траверсы Gтр=9,6 т
Вес канатов Gк=1,6
т
Вес тележки Gт=64
т
Группа режима работы
механизма подъема М7
Группа режима работы
механизма передвижения М6
1. Расчет механизма подъема
1.1 Выбор кратности и схемы запасовки полиспастной системы
В
соответствии с [1, c. 18] для крана грузоподъемностью Q=100т принимаем
полиспаст кратностью 
.
1.2 Выбор каната
Общая суммарная нагрузка на канаты:
где

- вес
груза;

- вес
траверсы;

- вес
канатов.
Максимальное
натяжение в ветви каната, набегающей на барабан, при подъеме груза определяется
по формуле [1, c. 19]:
где

-
кратность полиспаста
- КПД
полиспаста, определяемый по [1, c. 20]:
где

- КПД
блока с учетом жесткости каната [1, c. 20].
Разрывное
усилие в канате определяем по формуле [1, c. 20]:
где

-
коэффициент запаса прочности каната для режима работы М7.
Принимаем
канат типа ЛК с металлическим сердечником (ГОСТ 7667-88). Каната 34-Г-Ж-Н
1764(180) ГОСТ 7667-80 с разрывным усилием 
[1, c.
58].
где

-
минимальный коэффициент выбора диаметра рабочего блока для режима работы М7.
Окончательно
принимаем 
.
Рисунок
1.1. Схема барабана
В
зависимости от Q=100 т и Н=24м по [1, c. 23] принимаем 
Длина
каната одного полиспаста равняется:
Количество
витков каната на одной половине барабана:
Шаг
нарезки барабана 
Принимаем

Длина гладкого участка барабана:
длина нарезанной части одной половины барабана:
Тогда длина барабана:

.
число
рабочих витков:
длина
крепления:
1.4 Расчет барабана на прочность
Принимается литой барабан, материал барабана - Сталь 09Г2С.
Толщина стенки барабана:
Выполняем проверочный расчет барабана.(рисунок 1.2)
Проверяем стенку барабана на смятие по формуле [2, c. 66]:
где

=
-
максимальное усилие в канате, набегающем на барабан;

- шаг
нарезки барабана;

=24 мм-
толщина стенки барабана;

-
допускаемые напряжения для Сталь 09Г2С.
Условие
прочности на смятие стенки барабана выполняется.
Рисунок
1.2
Проверяем
барабан на совместное действие изгиба и кручения .
Максимальный
крутящий момент, передаваемый барабаном, определяем по [2, с. 66]:
где
-
расчетный диаметр барабана по центру навиваемого каната.
Максимальный
изгибающий момент
где

-
расстояние от точки приложения усилия Smax до середины
торцового диска.
Экваториальный
момент сопротивления поперечного сечения барабана определяем по формуле [2, с.
67]:
где
- соответственно диаметр барабана по дну канавки и
его внутренний диаметр.
Суммарные
напряжения от изгиба и смятия:
Касательные
напряжения будут равны:
Эквивалентные
напряжения определяем по третьей теории прочности и сравниваем их с
допускаемыми напряжениями на сжатие, рассчитанными
Итак,
условие прочности барабана на совместное действие изгиба и кручения
выполняется.
1.5 Расчет крепления каната к барабану
Натяжение каната перед прижимной планкой [4, с. 64]:
где e=2,72 - основание натурального логарифма,- коэффициент трения между
канатом и барабаном (f=0,10...0,16);

- угол
обхвата канатом барабана; 
Суммарное
усилие растяжения болтов [4, с. 65]:
где

-
приведенный коэффициент трения между планкой и канатом; при угле заклинивания
каната 

- угол
обхвата барабана канатом при переходе от одной канавки планки к другой, 
.
Суммарное
напряжение в болте при затяжке крепления с учетом растягивающих и изгибающих
усилий [4, с. 66]:
где
n - коэффициент запаса надежности крепления каната к барабану; n≥1,5;-
число болтов;

-
диаметр сечения болта М30;

-
усилие, изгибающие болты (шпильки):

- плечо
изгиба болта:

- предел
прочности болтов из Сталь 4.
Тогда:
Принимаем
по 2 прижимных планки, по 2 болта М30 в каждой. Материал болтов - Сталь 4.
,d1=25 мм
1.6 Выбор электродвигателя и редуктора механизма подъема
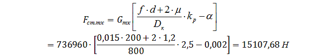
Общая статическая мощность механизма главного подъема [2, с. 77]:
где

- вес
поднимаемого груза, канатов и траверсы;

-
заданная скорость подъема груза;

- КПД
механизма подъема.
где

-
соответственно КПД полиспаста, барабана, редуктора, открытой зубчатой пары и
муфты.
Тогда
Расчетная
статическая мощность одного электродвигателя:
Выбираем
по [1, с. 60] электродвигатель ближайшей мощности при ПВ40% (режим М7).
Принимаем двигатель постоянного тока Д-818 номинальной мощностью Рдв=106
кВт, максимальным моментом 
,
частотой вращения nдв=500 мин-1.
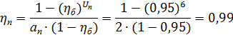
Коэффициент загрузки двигателя:

, что
допускается
где

Требуемое число оборотов барабана в минуту рассчитываем по [2, с. 77]:
Тогда требуемое передаточное число механизма определяется по формуле [1,
с. 31]:
Расчетное передаточное число редуктора должно находиться в пределах:
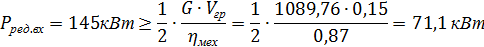
В соответствии с [3, с. 292-294] выбираем редуктор типа ГК-1300-40,06
передаточное число которого Up=17,96; передаваемая мощность Рред=145 кВт.
1.7 Проверка механизма подъема в аварийном режиме
Из [1, с.33] определяется коэффициент перегрузки:
Вращающий момент от груза, приведенный к валу двигателя при нормальной
работе:
Вращающий момент от груза на валу барабана при аварийной работе одним
двигателем:
Вращающий момент от груза, приведенный к валу двигателя при нормальной
работе:
Вращающий момент груза, приведенный к валу двигателя при аварийной работе
(работа с перегрузкой γ):
Максимальный вращающий момент, развиваемый двигателем, должен быть больше
вращающего момента от груза, приведенного к валу двигателя при аварийной
работе:
Выбранный двигатель удовлетворяет условиям аварийной работы.
Редуктор должен удовлетворять следующим условиям:
) Частота вращения входного вала редуктора должна быть равна или больше
частоты вращения двигателя:
) Номинальная мощность редуктора, подводимая к входному валу должна быть
равна или больше статической мощности от груза, приведенной к входному валу
редуктора:
) Редуктор должен допускать кратковременную передачу максимального
момента от груза в аварийном режиме работы, т.е.:
где
Мред.max - максимально допускаемый момент на входном валу редуктора
при кратковременной работе;
Мред.ав
- максимальный статический момент от груза в аварийной ситуации, приведенный к
входному валу редуктора:
Редукторы
допускают кратковременное превышение номинального момента с коэффициентом
кратности m=1,6.
где
Рред.вх и nред.вх - мощность, подводимая к входному валу
(кВт), и частота его вращения (мин-1).
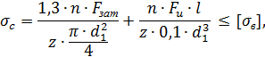
1.8 Расчет открытой зубчатой пары
Параметры открытой передачи определяются модулем m, числом зубьев
шестерни z1, диаметром шестерни d1 и ее шириной b1,
приведенными в каталоге на редукторы типа ГК [3, с. 292-294].
Для ГК-1300 m=24мм; z1=13; d1=312мм; b1=290мм.
Число зубьев колеса:
Диаметр делительной окружности колеса:
Ширина зубчатого венца колеса:
Диаметры окружностей впадин:
Диаметры окружностей выступов:
Межосевое расстояние передачи:
При аварийном режиме работы механизма зубчатая пара работающего механизма
будет нагружена аварийным моментом. Зубья колеса проверяются на прочность по
изгибающим напряжениям, возникающим от аварийного вращающего момента,
приведенного от груза к валу барабана - Мб(ав), рассчитанному по
формуле [1, с. 36]:

Материал шестерни - ст. 40 ХН, HRC42-50.
Материал колеса - ст. 40 Х, HB 280-370.
По [5] расчетные напряжения изгиба в зубьях колеса будут:
где: YF - коэффициент формы зуба, для z2>60,
коэффициент YF=3,4-3,8;
KFβ - коэффициент неравномерности распределения нагрузки по
ширине венца, может быть принят KFβ=1-1,2;Fν - коэффициент динамической нагрузки,
может быть принят KFν=1,1-1,2;
Допускаемые напряжения на изгиб определяются по формуле:
где
- предел выносливости зубьев при изгибе при базовом
числе нагружений (МПа);
F =1,7…2 - коэффициент безопасности;FL =1 - коэффициент
долговечности;FC - коэффициент характера нагружения для реверсивных
передач KFC=0,7-0,8.
Возникающие в зубьях колеса напряжения при аварийном режиме работы не
превышают допускаемые напряжения:
1.9 Выбор тормоза механизма подъема
Тормозной момент определяют в предположении, что весь груз удерживается
одним тормозом. Необходимый тормозной момент выбирают с запасом торможения Кт,
исходя из условия обеспечения надежного удержания груза на весу в статическом
состоянии.
Необходимый расчетный тормозной момент [1, с. 38]:
где

-
коэффициент запаса торможения при наличии двух тормозов на каждом приводе
механизма по правилам Госгорпромнадзора Украины.

-
статический момент от груза, приведенный к валу торможения,
где
- общий наибольший КПД механизма,
где

- КПД
одного механизма подъема;
Тогда:
В соответствии с величиной расчетного тормозного момента и заданным режимом
работы механизма по [3, с. 304] выбираем тормоз ТКП-500, наибольший тормозной
момент Мт=1780Нм, при ПВ40%; диаметр тормозного шкива DШ=500
мм. Тормоз отрегулировать на расчетный тормозной момент.
1.10 Выбор соединительных муфт
Соединительные муфты выбираются исходя из указанного в технической
характеристике значения допускаемого крутящего момента по условию:

,
где

-
допускаемый крутящий момент, передаваемый муфтой;
Мн
- расчетный момент муфты, Нм.

-
статический момент от груза при аварийной работе, приведенный к валу
торможения;
К1=1,3…1,8
-коэффициент, учитывающий степень ответственности механизма;
К2=1,3
-коэффициент, учитывающий режим работы механизма [1, с. 39].
К3=1…1,75 - коэффициент, учитывающий угловое смещение;
Диаметр
выходного конца двигателя 
(Д-818)
Выбираем
муфту М38-К150-Н140 ГОСТ 5006-83; максимальный крутящий момент, передаваемый
муфтой 
; маховый
момент mD2=8,3 кгм2.
И
муфту МЗП7 ГОСТ 5006-83; максимальный крутящий момент, передаваемый муфтой 
.
2. Расчет механизма передвижения тележки
2.1 Выбор кинематической схемы
Тележка имеет восемь ходовых, из них четыре приводных колеса. Механизм
передвижения выполняется с центральным приводом. Кинематическая схема такого
механизма представлена на рисунке 2.1.
Рисунок 2.1. - Схема кинематическая механизма передвижения тележки
литейного крана. 1- электродвигатель; 2 - зубчатая муфта типа МЗ; 3 - тормоз; 4
- редуктор типа ВКУ; 5 - зубчатая муфта типа МЗП; 6 - ходовое колесо.
2.2 Расчет ходовых колес
Предварительно
принимаем по [4, c.525] четыре колесами К2Р-800х150 ГОСТ 3569-74 и рельсы КР100
ГОСТ 4121-76. [4, с.540] Материал колес сталь 65Г, твердость поверхности
качения НВ320..350; допускаемые напряжения смятия при линейном контакте
.
Нагрузка
на одно ведущее колесо при условии равномерного распределения нагрузки между
всеми четырьмя ходовыми колесами:
Расчетная
нагрузка на колесо [4, c.116]:
где

-
коэффициент, учитывающий режим работы механизма для режима М6 [4, c.116];
-
коэффициент, учитывающий переменность нагрузки [4, c.116]:
Колеса испытывают напряжения смятия при линейном контакте, которые
рассчитываются по формуле [1, c.117]:
где

- радиус
колеса;

-
приведенный модуль упругости для стального рельса и колеса;

-
рабочая ширина плоского рельса
где
В = 100мм - ширина рельса;
r = 8мм - радиус
закругления ребра рельса;
Условие
прочности по смятию колес выполняется.
2.3 Расчет сопротивления передвижению тележки

- вес
поднимаемого груза;

- вес
незагруженной тележки;

-
диаметр ходовых колес тележки;

-
диаметр цапфы колеса по [2, c.106];
- коэффициент
трения в подшипниках колес (подшипники качения шариковые однорядные) [4,
c.106];
-
коэффициент трения качения колеса по рельсу с выпуклой головкой [4, c.107];
-
коэффициент, учитывающий сопротивление от трения реборд колес о рельсы и от
трения токосъемников о троллеи [2, c.107];
-
расчетный уклон подтележечного пути [2, c.107];
механизм тележка литейный кран
Двигатель механизмов передвижения тележек выбирается по пусковому
моменту. Значение пускового момента должно быть таким, при котором отсутствует
пробуксовка ведущих колес незагруженной тележки крана по рельсам, а коэффициент
запаса должен быть не менее 1,2
Для предварительного выбора двигателя определяем сопротивление
передвижению загруженного крана в пусковой период [2, c.119]:
где
- среднее значение ускорения тележек кранов,
транспортирующих расплавленный металл [2, c.108].
Мощность
предварительно выбираемого двигателя с учетом инерционных нагрузок [4, c.120]:
где
Vтел=0,62 м/с - скорость передвижения тележки ;
-
ориентировочное значение КПД механизма передвижения моста крана;
-
средняя кратность пускового момента для асинхронного двигателя переменного тока
с фазовым ротором [2, c.109].
По
каталогу [2, c.489] предварительно выбираем электродвигатель MTН-414-6 с
мощностью на валу Рдв=27 кВт при ПВ=25%. Частота вращения 
. Маховый
момент ротора 
кгм2.
Максимальный вращающий момент, развиваемый двигателем 
Номинальный
момент электродвигателя:
Коэффициент
перегрузки:
Частоту
вращения колеса определяем по формуле [1, c.120]:
Расчетное
передаточное число редуктора
Тогда
по каталогу [3, c.299-300] выбираем редуктор типа ВКУ-765м-63-12 и
ВКУ-765м-63-21(передаточное число 63; схема сборки 12 и 21). 
; Рред=35,5
кВт; 
Фактическая
частота вращения колеса:
Фактическая
скорость передвижения крана с номинальным грузом [2, c.109]:
Отклонение
фактической скорости от заданной:
2.5 Проверка запаса коэффициента сцепления
Статический момент сопротивления передвижению незагруженной тележки,
приведенный к валу двигателя, рассчитываемый по [2, c.110]:
где:

-
передаточное число редуктора;

- КПД
механизма передвижения тележки без груза, определенный по [2, c.79];
Средний
коэффициент перегрузки двигателя [2, c.109]:
Средний
пусковой момент предварительно выбранного двигателя:
Время пуска двигателя с незагруженной тележкой [2, c.111]:
где

;

=1,15...1,25
- коэффициент, учитывающий влияние масс привода, расположенных на втором и
последующем валах;
(mD2)1 ,кгм2 - маховый момент
вращающихся масс, расположенных на валу двигателя
(mD2)1 =(mD2) Д +(mD2)
M +(mD2) Т =2(2+0,21+0,3)=5,02 кгм2
здесь: (mD2) Д - маховый момент ротора двигателя;
(mD2) M - маховый момент соединительной муфты,
принятой предварительно по валу двигателя;
(mD2)
Т - маховый момент тормозного шкива;
Фактический коэффициент запаса сцепления приводных колес с
рельсами [2, c.111]:
где

Условие
по величине коэффициента сцепления выполняется.
2.6 Проверка времени пуска
Статический момент сопротивления передвижению загруженной тележки,
приведенный к валу двигателя, рассчитываемый по [2, c.110]:
Время пуска двигателя [2, c.111]:
Ускорение при пуске загруженной тележки [2, c.111]:
Для
обеспечения 
время
пуска необходимо увеличить до 
, тогда:
2.7 Расчет тормозного момента и выбор тормоза
Время торможения тележки без груза, исходя из максимально допустимого
ускорения [1, c.113]:
Статический момент сопротивления передвижению, приведенный к валу
двигателя при торможении незагруженной тележки [2, c.110]:
Сопротивление передвижению незагруженной тележки при торможении:
Тормозной момент равен:
Принимаем
колодочный тормоз типа ТКТ-200 с максимальным тормозным моментом 160 Нм и
диаметром тормозного шкива 200 мм; 
[2,
c.521]. Тормоз отрегулировать на расчетный тормозной момент.
Сопротивление
передвижению загруженной тележки при торможении:

Время
торможения загруженной тележки [2, c.110]:
Ускорение
при торможении загруженной тележки:
что
допустимо.
Список литературы
1) Конструкция
и расчет литейных кранов. Учебное пособие по курсовому проектированию по
дисциплине “Специальные краны” для студентов специальности 7.090.214 дневной и
заочной форм обучения / Сост. В.А. Михеев. - Мариуполь.: ПГТУ. 2006. - 59с.
2) Расчеты
грузоподъемных и транспортирующих машин. Иванченко Ф.К. и др.- К.: Высшая
школа, 1978.- 576с.
3) Курсовое
проектирование грузоподъемных машин: Учеб. пособие для студентов машиностр.
спец. вузов/ С.А. Казак, В.Е. Дусье, Е.С. Кузнецов и др.; Под ред. С.А.
Казака.- М.: Высшая школа, 1989.- 319 с.: ил.
) Грузоподъемные
машины. Учебное пособие по расчету и конструированию грузовых тележек мостовых
кранов общего назначения./ Сост. В.П. Четверня, Ю.Г. Сагиров, Р.В. Суглобов. -
Мариуполь.: ПГТУ, 2008. - 111с.