Проект литейного крана грузоподъемностью 100 тонн
МИНИСТЕРСТВО ОБРАЗОВАНИЯ И НАУКИ
УКРАИН
ПРИАЗОВСКИЙ ГОСУДАРСТВЕННЫЙ
ТЕХНИЧЕСКИЙ УНИВЕРСИТЕТ
КАФЕДРА ПТМ и ДМ
ПОЯСНИТЕЛЬНАЯ ЗАПИСКА
Проект литейного крана
грузоподъемностью 100 тонн
ПК1497.00.00.000ПЗ
Разработал:
студент гр. ПТМ-10М А.А. Чебанов
Руководитель:
доцент В.А. Михеев
Мариуполь, 2014
Реферат
Записка: с. 24;
рис. 3;
использованных источников 4;
ТЕЛЕЖКА, ЭЛЕКТРОДВИГАТЕЛЬ, РЕДУКТОР, БАРАБАН, ТОРМОЗ, ТРАВЕРСА, РЕЛЬС,
ХОДОВОЕ КОЛЕСО, МУФТА, МЕХАНИЗМ М, ЗУБЧАТАЯ ПАРА.
Объект проектирования - литейный кран. Цель работы - закрепление и
углубление знаний студентов по расчету и конструированию грузоподъемных машин
специального назначения.
Произведен расчет механизма главного подъема и механизма передвижения
главной тележки.
Содержание
Реферат
Введение
. Расчет механизма подъема
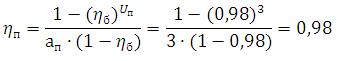
.1 Выбор кратности и схемы запасовки полиспастной системы
.2 Выбор каната
.3 Расчет барабана и блоков механизма подъема
.4 Расчет барабана на прочность
.5 Расчет крепления каната к барабану
.6 Выбор электродвигателя и редуктора механизма подъема
.7 Проверка механизма подъема в аварийном режиме
.8 Расчет открытой зубчатой пары
.9 Выбор тормоза механизма подъема
.10. Выбор соединительных муфт
. Расчет механизма передвижения тележки
.1 Выбор кинематической схемы
.2 Расчет ходовых колес
.3 Расчет сопротивления передвижению тележки
.4 Расчет мощности двигателя и выбор редуктора
.5 Проверка запаса коэффициента сцепления
.6 Проверка времени пуска
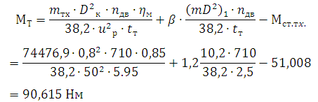
.7 Расчет тормозного момента и выбор тормоза
Список литературы
барабан
тележка механизм подъема кран
Введение
Грузоподъёмные машины являются неотъемлемой частью современного
производства, так как с их помощью осуществляется механизация основных
технологических процессов и вспомогательных работ. В автоматизированных линиях роль
ПТМ качественно возросла и они стали органической частью технологического
оборудования.
Литейные краны являются тяжело нагруженными грузоподъемными машинами,
работающими с расплавленным металлом. Их конструкция, расчет и
проектирование имеют ряд существенных особенностей, отличающих их от обычных
мостовых кранов.
Для обеспечения операций транспортирования и разливки металла, а также
повышения безопасности эксплуатации в конструкции литейных кранов
предусмотрены:
) две тележки - главная и вспомогательная;
) четырехбалочная конструкция моста;
) двухприводная конструкция механизма главного подъема с двумя
барабанами, связанными кинематически посредством зубчатых венцов, и четырьмя
тормозами (по два в каждом приводе);
) мощная полиспастная система главного подъема с четырьмя полиспастами и
большим (до 40) числом ветвей канатов подвески.
Литейные краны мостового типа применяются в мартеновских,
электроплавильных и кислородно-конверторных цехах металлургического
производства и предназначены для транспортирования, заливки или разливки
расплавленного металла, а также для выполнения ряда вспомогательных операций по
обработке ковшей, ремонту оборудования и уборке цехов.
Расчетные параметры:
Грузоподъемность Q=100т
Высота подъема груза Н=24м
Скорость подъема груза Vг=0,15 м/с
Скорость передвижения тележки Vт=0,62 м/с
Вес траверсы Gтр=9,3 т
Вес канатов Gк=1,6 т
Вес тележки Gт=64 т
Группа режима работы механизма подъема М6
Группа режима работы механизма передвижения М6
1. Расчет механизма
подъема
1.1 Выбор кратности и
схемы запасовки полиспастной системы
В соответствии с [1, c. 18] для крана грузоподъемностью Q=125т принимаем
полиспаст кратностью
.
1.2 Выбор каната
Общая суммарная нагрузка на канаты:
где
- вес груза;
- вес траверсы;
- вес канатов.
Максимальное натяжение в ветви каната, набегающей на барабан, при подъеме
груза определяется по формуле [1, c. 19]:
где
- кратность полиспаста
- КПД
полиспаста, определяемый по [1, c. 20]:
где
- КПД блока с учетом жесткости каната [1, c. 20].

где
- коэффициент запаса прочности каната для режима работы М7.
Принимаем канат типа ЛК-З двойной свивки конструкции (ГОСТ 7667-80) с
разрывным усилием
и пределом прочности
. Диаметр каната d=28 мм [1, c. 58].
1.3 Определение
размеров барабана и блоков
Диаметр рабочего блока:
где
- минимальный коэффициент выбора диаметра рабочего блока для
режима работы М6.
Окончательно принимаем
.
Рисунок 1.1. Схема барабана
В зависимости от Q=100т и Н=24м по [1, c. 23] принимаем
Длина каната одного полиспаста равняется:
Количество витков каната:
Шаг нарезки барабана
Принимаем
Длина гладкого участка барабана:
длина нарезанной части одной половины барабана:
Тогда длина барабана:
.
число рабочих витков:
длина крепления:
1.4 Расчет барабана
на прочность
Принимается литой барабан, материал барабана - Сталь 45Л.
Толщина стенки барабана:
Выполняем проверочный расчет барабана.(рисунок 1.2)
Проверяем стенку барабана на смятие по формуле [2, c. 66]:
где
=95510
- максимальное усилие в канате, набегающем на барабан;
- шаг нарезки барабана;
=22 мм- толщина стенки барабана;
- допускаемые напряжения для Сталь 45Л.
Условие прочности на смятие стенки барабана выполняется.
Рисунок 1.2
Проверяем барабан на совместное действие изгиба и кручения .
Максимальный крутящий момент, передаваемый барабаном, определяем по [2,
с. 66]:
м
где
- расчетный диаметр барабана по
центру навиваемого каната.
Максимальный изгибающий момент
где
- расстояние от точки приложения усилия Smax до середины торцового диска.
Экваториальный момент сопротивления поперечного сечения барабана определяем по
формуле [2, с. 67]:
где
- соответственно диаметр барабана по дну канавки и
его внутренний диаметр.
Суммарные
напряжения от изгиба и смятия:
Касательные напряжения будут равны:
Эквивалентные напряжения определяем по третьей теории прочности и
сравниваем их с допускаемыми напряжениями на сжатие, рассчитанными
Итак, условие прочности барабана на совместное действие изгиба и кручения
выполняется.
1.5 Расчет крепления
каната к барабану
Натяжение каната перед прижимной планкой [4, с. 64]:
где e=2,72 - основание натурального логарифма,- коэффициент трения между
канатом и барабаном (f=0,10...0,16);
- угол обхвата канатом барабана;
Суммарное усилие растяжения болтов [4, с. 65]:
где
- приведенный коэффициент трения между планкой и канатом;
при угле заклинивания каната
- угол обхвата барабана канатом при переходе от одной
канавки планки к другой,
.
Суммарное напряжение в болте при затяжке крепления с учетом растягивающих
и изгибающих усилий [4, с. 66]:
где n - коэффициент запаса надежности крепления каната к барабану; n≥1,5;-
число болтов;
- диаметр сечения болта М30;
- усилие,
изгибающие болты (шпильки):
-
плечо изгиба болта:
- предел прочности болтов из Сталь 4.
Тогда:
Принимаем по 2 прижимных планки, по 2 болта М30 в каждой. Материал болтов
- Сталь 4. ,d1=25 мм
1.6 Выбор
электродвигателя и редуктора механизма подъема
Общая статическая мощность механизма главного подъема [2, с. 77]:
где
- вес поднимаемого груза, канатов и траверсы;
- заданная скорость подъема груза;
- КПД механизма подъема.
где
- соответственно КПД полиспаста, барабана, редуктора,
открытой зубчатой пары и муфты.
Тогда
Расчетная статическая мощность одного электродвигателя: 
, что допускается
Где
Требуемое число оборотов барабана в минуту рассчитываем по [2, с. 77]:
Тогда требуемое передаточное число механизма определяется по формуле [1,
с. 31]:
Расчетное передаточное число редуктора должно находиться в пределах:
В соответствии с [3, с. 292-294] выбираем редуктор типа ГК-1000-15,21
передаточное число которого Up=15.21; передаваемая мощность Рред=256 кВт.
1.7 Проверка
механизма подъема в аварийном режиме
Из [1, с.33] определяется коэффициент перегрузки:
Вращающий момент от груза, приведенный к валу двигателя при нормальной
работе:
Вращающий момент от груза на валу барабана при аварийной работе одним
двигателем:
Вращающий момент от груза, приведенный к валу двигателя при нормальной
работе:
Вращающий момент о груза, приведенный к валу двигателя при аварийной
работе (работа с перегрузкой γ):
Максимальный вращающий момент, развиваемый двигателем, должен быть больше
вращающего момента от груза, приведенного к валу двигателя при аварийной
работе:
Выбранный двигатель удовлетворяет условиям аварийной работы.
Редуктор должен удовлетворять следующим условиям:
) Частота вращения входного вала редуктора должна быть равна или больше
частоты вращения двигателя:
2) Номинальная мощность редуктора, подводимая к входному валу должна быть
равна или больше статической мощности от груза, приведенной к входному валу
редуктора:
) Редуктор должен допускать кратковременную передачу максимального
момента от груза в аварийном режиме работы, т.е.:
где Мред.max - максимально допускаемый момент на входном валу
редуктора при кратковременной работе;
Мред.ав - максимальный статический момент от груза в аварийной
ситуации, приведенный к входному валу редуктора:
Редукторы допускают кратковременное превышение номинального момента с коэффициентом
кратности m=1,6.
где Рред.вх и nред.вх - мощность, подводимая к
входному валу (кВт), и частота его вращения (мин-1).
1.8 Расчет открытой
зубчатой пары
Параметры открытой передачи определяются модулем m, числом зубьев
шестерни z1, диаметром шестерни d1 и ее шириной b1,
приведенными в каталоге на редукторы типа ГК [3, с. 292-294].
Для ГК-1000 m=24мм; z1=13; d1=312мм; b1=350мм.
Число зубьев колеса:
Диаметр делительной окружности колеса:
Ширина зубчатого венца колеса:
Диаметры окружности впадин:
Межосевое расстояние передачи:
При аварийном режиме работы механизма зубчатая пара работающего механизма
будет нагружена аварийным моментом. Зубья колеса проверяются на прочность по
изгибающим напряжениям, возникающим от аварийного вращающего момента,
приведенного от груза к валу барабана - Мб(ав), рассчитанному по
формуле [1, с. 36]:
Принимаются материалы передачи:
Материал шестерни - ст. 40 ХН, HRC42-50.
Материал колеса - ст. 40 Х, HB 280-370.
По [5] расчетные напряжения изгиба в зубьях колеса будут:
где: YF - коэффициент формы зуба, для z2>60,
коэффициент YF=3,4-3,8;
KFβ - коэффициент неравномерности распределения нагрузки по
ширине венца, может быть принят KFβ=1-1,2;Fν - коэффициент динамической нагрузки,
может быть принят KFν=1,1-1,2;
Допускаемые напряжения на изгиб определяются по формуле:
где
- предел выносливости зубьев при изгибе при базовом
числе нагружений (МПа);
SF =1,7…2 - коэффициент безопасности;FL =1,011 -
коэффициент долговечности;FC - коэффициент характера нагружения для
реверсивных передач KFC=0,7-0,8.
Возникающие в зубьях колеса напряжения при аварийном режиме работы не
превышают допускаемые напряжения:
1.9 Выбор тормоза
механизма подъема
Тормозной момент определяют в предположении, что весь груз удерживается
одним тормозом. Необходимый тормозной момент выбирают с запасом торможения Кт,
исходя из условия обеспечения надежного удержания груза на весу в статическом
состоянии.
Необходимый расчетный тормозной момент [1, с. 38]:
где
- коэффициент запаса торможения при наличии двух тормозов на
каждом приводе механизма по правилам Госгорпромнадзора Украины.
- статический момент от груза, приведенный к валу
торможения,
где
- общий наибольший КПД механизма,
где
- КПД одного механизма подъема;
Тогда:
В соответствии с величиной расчетного тормозного момента и заданным
режимом работы механизма по [3, с. 304] выбираем тормоз ТКП-600, наибольший
тормозной момент Мт=5000Нм, при ПВ25%; диаметр тормозного шкива DШ=600
мм. Тормоз отрегулировать на расчетный тормозной момент.
1.10 Выбор
соединительных муфт
Соединительные муфты выбираются исходя из указанного в технической
характеристике значения допускаемого крутящего момента по условию:
,
где
- допускаемый крутящий момент, передаваемый муфтой;
Мн - расчетный момент муфты, Нм.
-
статический момент от груза при аварийной работе, приведенный к валу
торможения;
К1=1,3…1,8 -коэффициент, учитывающий степень ответственности
механизма;
К2=1,1 -коэффициент, учитывающий режим работы механизма [1, с.
39].
К3=1…1,75 - коэффициент, учитывающий угловое смещение;
Диаметр выходного конца двигателя
(Д-814)
Выбираю муфту М38-К140-Н140 ГОСТ 5006-83; максимальный крутящий момент,
передаваемый муфтой
; маховый момент mD2=16,5 кгм2.
И муфту МЗП8 ГОСТ 5006-83; максимальный крутящий момент, передаваемый
муфтой
.
2. Расчет механизма
передвижения тележки
2.1 Выбор
кинематической схемы
Тележка имеет восемь ходовых, из них четыре приводных колеса. Механизм
передвижения выполняется с центральным приводом. Кинематическая схема такого
механизма представлена на рисунке 2.1.
Рисунок 2.1. - Схема кинематическая механизма передвижения тележки
литейного крана. 1- электродвигатель; 2 - зубчатая муфта типа МЗ; 3 - тормоз; 4
- редуктор типа ВКУ; 5 - зубчатая муфта типа МЗП; 6 - ходовое колесо.
Нагрузка
на одно ведущее колесо при условии равномерного распределения нагрузки между
всеми четырьмя ходовыми колесами:
Расчетная
нагрузка на колесо [4, c.116]:
где
- коэффициент, учитывающий режим работы механизма для
режима М6 [4, c.116];
-
коэффициент, учитывающий переменность нагрузки [4, c.116]:
Колеса испытывают напряжения смятия при линейном контакте, которые
рассчитываются по формуле [1, c.117]:
где
- радиус колеса;
- приведенный модуль упругости для стального рельса и
колеса;
- рабочая ширина плоского рельса
где В = 100мм - ширина рельса;
r =
8мм - радиус закругления ребра рельса;
Условие прочности по смятию колес выполняется.
2.3 Расчет
сопротивления передвижению тележки
- вес
поднимаемого груза;
- вес
незагруженной тележки;
-
диаметр ходовых колес тележки;
-
диаметр цапфы колеса по [2, c.106];
-
коэффициент трения в подшипниках колес (подшипники качения шариковые
однорядные) [4, c.106];
-
коэффициент трения качения колеса по рельсу с выпуклой головкой [4, c.107];
-
коэффициент, учитывающий сопротивление от трения реборд колес о рельсы и от
трения токосъемников о троллеи [2, c.107];
-
расчетный уклон подтележечного пути [2, c.107];
2.4 Расчет мощности
двигателя и выбор редуктора
Двигатель механизмов передвижения тележек выбирается по пусковому
моменту. Значение пускового момента должно быть таким, при котором отсутствует
пробуксовка ведущих колес незагруженной тележки крана по рельсам, а коэффициент
запаса должен быть не менее 1,2
Для предварительного выбора двигателя определяем сопротивление
передвижению загруженного крана в пусковой период [2, c.119]:
где
- среднее значение ускорения тележек кранов,
транспортирующих расплавленный металл [2, c.108].
Мощность
предварительно выбираемого двигателя с учетом инерционных нагрузок [4, c.120]:
где Vтел=0,62 м/с - скорость передвижения тележки ;
-
ориентировочное значение КПД механизма передвижения моста крана;
-
средняя кратность пускового момента для асинхронного двигателя переменного тока
с фазовым ротором [2, c.109].
кВт
По каталогу [2, c.489] предварительно выбираем электродвигатель MTН-412-8
с мощностью на валу Рдв=26 кВт при ПВ=25%. Частота вращения
. Маховый момент ротора
кгм2. Максимальный
вращающий момент, развиваемый двигателем
d1=65 мм.
Номинальный момент электродвигателя:
Коэффициент перегрузки:
Частоту вращения колеса определяем по формуле [1, c.120]:
Расчетное передаточное число редуктора
Тогда по каталогу [3, c.299-300] выбираем редуктор типа ВКУ-765м-50-12 и ВКУ-765м-50-21(передаточное число 50; схема сборки 12 и 21).
; Рред=12…75,5 кВт;
Фактическая частота вращения колеса:
Фактическая скорость передвижения крана с номинальным грузом [2, c.109]:
Отклонение фактической скорости от заданной:
2.5 Проверка запаса
коэффициента сцепления
Статический момент сопротивления передвижению незагруженной тележки,
приведенный к валу двигателя, рассчитываемый по [2, c.110]:


где:
- передаточное число редуктора;
- КПД механизма передвижения тележки без груза, определенный
по [2, c.79];
Средний коэффициент перегрузки двигателя [2, c.109]:
Средний пусковой момент предварительно выбранного двигателя:
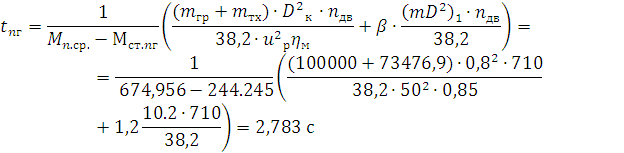
Время пуска двигателя с незагруженной тележкой [2, c.111]:
где
;
=1,15...1,25 - коэффициент, учитывающий влияние масс
привода, расположенных на втором и последующем валах;
(mD2)1 ,кгм2 - маховый момент
вращающихся масс, расположенных на валу двигателя
(mD2)1 =(mD2) Д +(mD2)
M +(mD2) Т =2(3,0+1.8+0,3)=10,2 кгм2
здесь: (mD2) Д - маховый момент ротора двигателя;
(mD2) M - маховый момент соединительной муфты,
принятой предварительно по валу двигателя;
(mD2) Т - маховый момент тормозного шкива;
Фактический коэффициент запаса сцепления приводных колес с рельсами [2,
c.111]:
где


Условие по величине коэффициента сцепления выполняется.
2.6 Проверка времени
пуска
Статический момент сопротивления передвижению загруженной тележки,
приведенный к валу двигателя, рассчитываемый по [2, c.110]:


Время пуска двигателя [2, c.111]:
Ускорение при пуске загруженной тележки [2, c.111]:
Для обеспечения
время пуска необходимо увеличить до
, тогда:
2.7 Расчет тормозного
момента и выбор тормоза
Время торможения тележки без груза, исходя из максимально допустимого
ускорения [1, c.113]: 
Сопротивление передвижению незагруженной тележки при торможении:


Тормозной
момент равен:
Принимаем колодочный тормоз типа ТКТ-200 с максимальным тормозным
моментом 160 Нм и диаметром тормозного шкива 200 мм;
[2, c.521]. Тормоз отрегулировать на
расчетный тормозной момент.
Сопротивление передвижению загруженной тележки при торможении:


Статический момент сопротивления передвижению, приведенный к валу
двигателя при торможении загруженной тележки [2, c.110]:
Время торможения загруженной тележки [2, c.110]:
Ускорение при торможении загруженной тележки:
что допустимо.
Список литературы
1)Конструкция и расчет литейных кранов. Учебное пособие по
курсовому проектированию по дисциплине “Специальные краны” для студентов
специальности 7.090.214 дневной и заочной форм обучения / Сост. В.А. Михеев. -
Мариуполь.: ПГТУ. 2006. - 59с.
)Расчеты грузоподъемных и транспортирующих машин. Иванченко
Ф.К. и др.- К.: Высшая школа, 1978.- 576с.
)Курсовое проектирование грузоподъемных машин: Учеб. пособие
для студентов машиностр. спец. вузов/ С.А. Казак, В.Е. Дусье, Е.С. Кузнецов и
др.; Под ред. С.А. Казака.- М.: Высшая школа, 1989.- 319 с.: ил.
)Грузоподъемные машины. Учебное пособие по расчету и
конструированию грузовых тележек мостовых кранов общего назначения./Сост. В.П.
Четверня, Ю.Г. Сагиров, Р.В. Суглобов. - Мариуполь.: ПГТУ, 2008. - 111с.