|
Внешний вид
|
Тёмно-серые кубические
кристаллы
|
|
Молекулярная масса
|
144.64 а.е.
|
|
Постоянная решётки
|
0.56533 нм
|
|
Кристаллическая структура
|
цинковой обманки
|
|
Точка плавления при н. у.
|
1513 K
|
|
Ширина запрещённой зоны при
300 K
|
1.424 эВ
|
|
Электроны, эффективная
масса
|
0.067 m
|
|
Лёгкие дырки, эффективная
масса
|
0.082 m
|
|
Тяжёлые дырки, эффективная
масса
|
0.45 m
|
|
Подвижность дырок при 300 K
|
400 см²/(В·с)
|
|
Подвижность электронов при
300 K
|
8500 см²/(В·с)
|
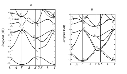
Достоинства GaAs в качестве базового материала для полупроводниковых
приборов определяются особенностями структуры его энергетических зон. На рис.
1.3 приведены зонные диаграммы GaAs и Si. Зонная диаграмма построена
традиционным образом. По оси абсцисс отложены значения волнового вектора для
нескольких его направлений в зоне Бриллюэна, по оси ординат - значения энергии
электронных состояний.
Рис.1.3. Зонные диаграммы: а) GaAs, б) Si.
Существенные отличия GaAs от Si заключаются в характере зависимости энергии зон проводимости от
волнового вектора. Из-за большей ширины запрещённой зоны собственная
концентрация электронов и дырок в GaAs меньше, чем в Si,
поэтому GaAs может обладать очень высоким значением удельного сопротивления.
Это позволяет использовать такой материал в качестве диэлектрика в ИС,
предназначенных для работы в сантиметровом и миллиметровом диапазонах длин
волн, и для изоляции структур в цифровых ИС.
Также бόльшая ширина запрещённой зоны позволяет создавать приборы,
работоспособные при более высоких температурах, чем кремниевые.
Для создания гетероструктур материалов АIIIВV на
подложках GaAs, предназначенных для изготовления высококачественных приборов,
были разработаны сложные методы выращивания эпитаксиальных плёнок. Оптические
свойства таких гетероструктур открывают перспективы создания на одном кристалле
GaAs элементов цифровых, сверхвысокочастотных и оптических устройств.
Однако имеются причины, затрудняющие практическую реализацию тех
преимуществ, которые может дать применение GaAs в технологии микроэлектроники.
Определённый недостаток арсенида галлия заключается в том, что он является в
том, что он является двухкомпонентным соединением. В связи с этим приходится
понижать максимальные температуры во время технологических процессов,
предотвращая тем самым диссоциацию состава поверхности структур. Легирование с
помощью процесса диффузии, нашедшее широкое применение при производстве
кремниевых приборов, оказалось практически неприемлемым при переходе к GaAs. У
арсенида галлия не существует и стабильного, легко формируемого естественно
окисла, возможность получения которого у кремния явилась важным фактором при
создании технологии производства кремниевых МОП (металл-оксид-проводник)
транзисторов. Поверхность GaAs более восприимчива к воздействию различных
химических веществ, используемых в технологических процессах, что требует в
ряде случаев разработки нового подхода к реализации этих процессов. Кроме того,
GaAs весьма хрупкий материал и подвержен разрушению при технологической
обработке.
2.Получение GaAs
В настоящее время существуют несколько способов изготовления больших
полуизолирующих слитков GaAs.
Самые распространённые из них - это метод Бриджмена и модификации метода
Чохральского, метод ионной имплантации, метод зонной плавки и метод
молекулярно-лучевой эпитаксии.
2.1 Выращивание кристаллов методом Бриджмена
При использовании этого метода жидкий галлий помещают в лодочку с
затравочным каналом в одном из ее концов. Обычно лодочка имеет D-образное сечение и располагается в
трубе из плавленого кварца, где находится и сосуд, содержащий твердый мышьяк.
Затем трубу устанавливают в многозонную печь. Зона, в которой расположен
галлий, нагревается до точки плавления GaAs (1250°С), а мышьяк доводится до температуры
сублимации (613°С). Парообразный мышьяк достигает галлия, и в результате
реакции образуется расплавленный GaAs.
Под действием движущегося градиента температуры происходят затвердевание
расплава и рост кристалла в месте контакта расплава с затравкой. Фронт
кристаллизации движется от затравки к другому концу лодочки. Градиент
температуры может быть создан как движением печи относительно лодочки, так и
путем создания многозонной печи, в которой различные зоны меняют свою
температуру по заданному во времени закону.
Рисунок 2.1 1 - печь
- теплоизоляция
- расплав
- контейнер
- теплоизоляционная прокладка
- растущий кристалл
- холодильник
- затравочный "носик"
- перемещающийся шток
Метод Бриджмена - это первый промышленный метод изготовления
полуизолирующих подложек на GaAs.
Данному методу присущ ряд недостатков. Во-первых, возможно выращивание слитков
лишь в кристаллографическом направлении (111), а для изготовления подложек с
ориентацией (100) эти слитки приходится резать под углом 54° к главной оси
роста. Отсутствие совпадения между направлением роста слитка и нормалью к плоскости
поверхности подложки ведет к значительному изменению количества
кристаллизовавшейся расплавленной фракции вдоль плоскости поверхности подложки.
Эта неоднородность, а также неоднородность сегрегации примесей могут стать
причиной неоднородности активации имплантированной примеси и, следовательно,
разброса приборных характеристик. Во-вторых, подложки, получаемые методом
Бриджмена, имеют характерную D-образную
форму, так что для придания им круглой формы требуется дополнительная
обработка. В-третьих, получение полуизолирующего материала требует
дополнительного подлегирования хромом. Хром может перераспределиться в объеме GaAs в результате силовых воздействий,
что может привести к отказу приборов.
Главным достоинством метода Бриджмена является низкая концентрация
дефектов (особенно дислокаций) по сравнению с методом Чохральского. Снижение
плотности дислокаций есть результат уменьшения градиента температуры,
направленного по нормали к поверхности растущего кристалла.
2.2 Метод Чохральского
В отличие от метода Бриджмена данный метод позволяет выращивать материал
с ориентацией (100) и не требует подлегирования хромом для получения
полуизолирующих подложек на GaAs.
В обычном методе Чохральского тигли с расплавом помещают в камеру (чаще всего с
холодными стенками), содержащую источник тепла, поддерживающий материал в
расплавленном состоянии. Нагрев может быть либо резистивным, либо
высокочастотным. Обычно камера позволяет проводить процесс, как в вакууме, так
и под давлением. Рост кристалла достигается погружением затравки, укрепленной
на тросике или жесткой оси, в расплав и затем ее медленным вытягиванием, в то
время как температура расплава поддерживается в режиме, обеспечивающем
стабильный рост.
Рис.2.2
- тигель с расплавом
- кристалл
- печь
- холодильник
,6 - механизм вытягивания
Давление паров GaAs,
соответствующее точке плавления, составляет 9,8·104 Па. Основной
компонентой пара является мышьяк. Поэтому, если не предотвратить испарение
мышьяка, расплав будет быстро обогащаться галлием. Один из способов решить эту
проблему - покрыть расплав слоем жидкой защитной пленки. Эта пленка должна быть
прозрачной и химически стабильной при температуре плавления GaAs, также менее плотной, чем GaAs, не смешиваться с расплавленным GaAs, а пары мышьяка не должны в ней
растворяться. Оксид бора удовлетворяет большинству из вышеизложенных
требований, кроме одного: мышьяк, хотя и слабо, но растворяется в оксиде, что
приводит к потерям As. Как только
пленка покрыла расплав, любое давление, превышающее 9,8·104 Па,
замедляет потери As.
2.3
Направленная кристаллизация. Зонная плавка
Зонная плавка (зонная перекристаллизация) - метод очистки твёрдых
веществ, основанный на различной растворимости примесей в твердой и жидкой
фазах. Метод является разновидностью направленной кристаллизации, от которой
отличается тем, что в каждый момент времени расплавленной является некоторая
небольшая часть образца. Такая расплавленная зона передвигается по образцу, что
приводит к перераспределению примесей. Если примесь лучше растворяется в жидкой
фазе, то она постепенно накапливается в расплавленной зоне, двигаясь вместе с
ней. В результате примесь скапливается в одной части исходного образца. По
сравнению с направленной кристаллизацией этот метод обладает большей
эффективностью. Загрузку, состоящую из затравочного кристалла определенной
ориентации, поликристаллического арсенида галлия и набольшего количества
металлического мышьяка, помещают в лодочку. Обычно кварцевые лодочки
предварительно обрабатывают, покрывая углеродом и затем обжигая при 1300°С в
течении 2ч.
- индукционные катушки
- расплавленные зоны
- очищенный GaAs
- сверхчистый германий
- GaAs с повышенным содержанием примесей
- графитовая лодочка
Рис. 2.3. Схема устройства для зонной плавки
Лодочку с загрузкой помещают в кварцевую ампулу, которую запаивают под
вакуумом. Нагрев системы осуществляется с помощью трех печей: печи для
расплавления арсенида галлия и двух печей для управления температурными
градиентами: температура одной 800°С, а другой 600°С. Скорость прохода зоны
изменяется в пределах 0,5 - 5см/ч.
При зонной плавке арсенида галлия при достижении концентрации носителей
заряда 1016см-3 дальнейшая очистка этим методом не дает
эффекта.
Метод обладает рядом недостатков. Основной недостаток - невозможность
масштабирования, так как скорость процесса определяется скоростью диффузии
примеси. Поэтому метод применяется для конечной стадии очистки при получении
особо чистых веществ. Максимальные габариты лодочки - длина 50 см, толщина 2-3
см, длина расплавленной зоны 5 см.
2.4 Ионная имплантация
Одним из наиболее выдающихся достижений полупроводниковой технологии
явилось развитие ионной имплантации как контролируемого и воспроизводимого
метода создания проводящих слоев в полуизолирующих подложках. С учетом
ограничений, накладываемых статистикой пробегов, глубина залегания и
концентрация внедренной примеси могут регулироваться энергией и дозой
имплантации. Воспроизводимость результатов имплантации и сохранение морфологии полированной
поверхности, характерные для данного процесса, являются факторами,
способствующими достижению приемлемого выхода годных ИС.
Другим существенным достоинством ионной имплантации как метода
легирования является возможность селективного достижения различных уровней
легирования путем имплантации пластин через окна в маскирующих покрытиях. Это
позволяет получать локальные области р- и п-типа проводимости, а также
сохранять участки полуизолирующего материала, используя стандартную планарную
технологию изготовления ИС. Кроме легирования ионная имплантация может
использоваться для селективной изоляции активных областей в процессе создания
ИС. В обоих случаях методы ионной имплантации пригодны для массового
производства, что они нашли широкое применение в технологии изготовления
приборов и ИС на основе GaAs.
Каналирование
Если ускоренный ион внедряется в кристаллическую решетку под углом к
главной кристаллографической оси, не превышающим некоторой критической
величины, то происходит его захват в канал кристаллической решетки. В
результате такого захвата, или аксиального каналирования, распределения
пробегов будут отличаться от распределения пробегов при внедрении ионов при
произвольном угле падения, что связано с отсутствием энергетических потерь на
ядерное взаимодействие при движении иона в канале кристаллической решетки.
Другим аспектом каналирования является возможность увеличения глубины
имплантации. Имплантация в режиме каналирования также дает возможность
уменьшить количество радиационных дефектов.
Рис. 2.4. Ионная имплантация
Отжиг
Высокотемпературный отжиг является неотъемлемой частью технологии ионной
имплантации, так как позволяет понизить уровень радиационных повреждений,
вносимых в подложку. Твёрдофазная рекристаллизация начинается при достаточно
низких температурах (порядка 250°С) и приводит к восстановлению
монокристалличности материала. Следует также отметить, что при высоких
температурах галлий также уходит с поверхности, хотя и не столь интенсивно, как
мышьяк. Еще до того как нарушение морфологии поверхности удается зафиксировать
визуально, происходит деградация оптических и электрических свойств
приповерхностного слоя. Поэтому, необходимо принимать меры по предохранению
поверхности GaAs или создавать избыточное давление паров As и Ga в процессе
отжига.
Для защиты поверхности в процессе отжига, идеальная плёнка должна
обладать следующими свойствами:
1) Температура осаждения защитной пленки должна быть ниже
температуры испарения элементов, входящих в состав подложки.
2) В процессе осаждения, а также последующего отжига .пленка не
должна вступать в химическую реакцию с подложкой, а также с имплантированными
атомами.
3) Пленка должна быть стабильна и иметь хорошую адгезию при
комнатной и повышенной температурах.
4) Пленка не должна вносить в подложку напряжений, обусловленных
как собственными напряжениями, так и различными коэффициентами термического
расширения пленки и подложки.
.5 Метод молекулярно-лучевой эпитаксии
Структуры арсенида галлия, пригодные для создания приборов, могут быть
получены либо посредством ионной имплантации в GaAs, либо посредством
выращивания эпитаксиальных слоев на подложках GaAs. Однако для изготовления
гетероструктур на основе GaAs можно использовать только методы эпитаксиального роста
плёнок. Из четырех получивших распространение методов эпитаксиального роста
пленок, таких, как эпитаксия из паровой и жидкой фазы, эпитаксия из паров
металлорганического соединения и молекулярно-лучёвая эпитаксия, только три
последних метода позволяют создавать гетероструктуры. Для изготовления
биполярных гетероструктур наиболее часто используется метод молекулярно-лучевой
эпитаксии. Это объясняется тем, что основой всех интегральных схем с
биполярными транзисторами, изготовленных до настоящего времени, являлись
структуры, полученные с использованием этого метода.
Молекулярно-лучевая эпитаксия является существенно усовершенствованным
способом вакуумного осаждения, в котором направленный термический пучок атомов
или молекул сталкивается с нагретой подложкой в условиях сверхвысокого вакуума.
Метод МЛЭ появился в конце шестидесятых годов в результате проведения
исследований кинетики взаимодействия пучков атомов Ga и As с подложками из
GaAs. Появление этого метода является одним из наиболее важных прикладных
результатов исследований поверхности в области технологии.
На рисунке 2.5 представлено схематическое изображение процесса МЛЭ при
выращивании пленок GaAs и AlGaAs. Пучки соответствующих атомов формируются из
веществ, помещенных в испарительные ячейки Кнудсена, рост пленок происходит в
условиях сверхвысокого вакуума.
Рис. 2.5. Молекулярно-лучевая эпитаксия
Особенности процесса молекулярно-лучевой эпитаксии:
) Интенсивности пучков всех компонент могут независимо
регулироваться путем изменения температуры нагревателей и управления
заслонками. Это позволяет учесть разницу коэффициентов прилипания веществ. В
результате становится относительно просто легировать пленки практически любыми
примесями и управлять профилем концентрации различных компонент пленки по
глубине.
) Скорость роста пленок посредством МЛЭ находится обычно в
пределах от 0,1 до 1 мкм/ч, благодаря чему достигается очень точный контроль их
толщины.
) Так как процесс МЛЭ является неравновесным, удается
осуществлять сильное легирование выращиваемых пленок примесями как n-, так и
р-типа.
) C помощью МЛЭ могут быть получены эпитаксиальные пленки,
обладающие высокой однородностью состава и структуры. Это достигается
использованием источников большого размера или составных источников
молекулярных пучков либо вращением подложки во время процесса роста.
3. Структура границ раздела
Положение атомов в области межфазной границы определяет свойства
полученных в приборах барьеров. Определение структуры межфазной границы - одна
из наиболее сложных задач, как с теоретической, так и с практической точки
зрения.
В широком смысле границы раздела можно разделить на два класса: с резко
выраженной слоевой структурой и с диффузно размытой границей. Резкие границы
характеризуются небольшим, порядка нескольких атомных слоев, отклонением от
объемной структуры в контактирующих материалах. В отличие от этого диффузные
границы имеют размеры, по крайней мере, в несколько десятков атомных слоев и
значительно отличаются по атомному составу и (или) положению атомных частиц по
сравнению с объемом исходных материалов. Такие отклонения могут быть
обусловлены не только присутствием атомов вещества, образующего границу
раздела, но и наличием дефектов в объеме материала.
3.1 Формирование границ раздела
Тип
и свойства границ раздела в полупроводниковых структурах определяют назначение
и характеристики приборов и ИС. С особенностями границ раздела GaAs с другими
материалами связаны и большие возможности, и узкие места технологии изготовления
приборов. Наиболее важным для микроэлектроники являются границы раздела GaAs с
металлами, диэлектриками и другими полупроводниками, а также р-n-переходы в
GaAs. Особое место среди них занимают гетеропереходы GaAs с другими
полупроводниками, прежде всего с 
,
позволяющие создать принципиально новый класс приборов.
Типичный
процесс формирования границы раздела GaAs с каким-либо материалом начинается с
подготовки поверхности пластины, которая должна быть очищена от посторонних
загрязнений в соответствии с требованиями, принятыми в технологии
микроэлектроники. Иначе говоря, поверхность подвергается воздействию различных
травителей и очищающих составов и, конечно, воздуха. Если нанести на чистую
поверхность GaAs какой-нибудь материал, то свойства переходной области со
стороны подложки должны соответствовать чистому GaAs: уровень Ферми в GaAs в
области границы раздела должен находиться около середины запрещенной зоны. При
нанесении металла формируется контакт с барьером Шоттки. Если необходимо
изготовить омический контакт, то обычно производят плавление или спекание
материала контакта с GaAs для того, чтобы ввести в область границы раздела
примесь (и, возможно, дефекты). Если на поверхность GaAs наносится
диэлектрическое покрытие, граница раздела должна обеспечить образование
пассивирующей переходной области. При этом уровень Ферми занимает такое
положение, что возникающее электрическое поле отталкивает от границы раздела
основные носители, а это приводит к образованию обедненного слоя.
Для
изготовления омических контактов к GaAs n-типа
используют систему, состоящую из сплава золота с германием и слоя никеля.
Контакты такого типа вплавляются в GaAs при температуре ~400°С.
В
технологии изготовления приборов на GaAs диэлектрические покрытия чаще всего
используются для защиты поверхности структур от механических повреждений и от
воздействия химических веществ, а не в качестве активного элемента структуры
прибора. Для целей пассивации поверхности обычно применяют пленки нитрида или
диоксида кремния.
Важным
элементом структуры некоторых типов приборов на GaAs являются р-n-переходы.
За исключением двух существенных отличий, свойства р-n-переходов на GaAs и Si
совпадают. Первое отличие состоит в том, что в GaAs возможны прямые межзонные
переходы, и, следовательно, эффективная излучательная рекомбинация носителей
позволяет использовать р-n-переходы в GaAs, смещенные в прямом направлении, в
качестве источников оптического излучения. Кроме того, так как величина прямого
смещения р-n-перехода зависит от ширины запрещенной зоны
полупроводника, диоды на GaAs имеют большие падения напряжений в прямом
направлении, чем кремниевые диоды.
3.2 Формирование гетеропереходов
Одно
из наиболее перспективных направлений развития технологии изготовления приборов
на GaAs связано с возможностью создания высококачественных гетеропереходов
между GaAs и 
. Таким
образом, можно изготовить приборы, в которых будут целенаправленно использованы
различия в структуре энергетических зон, свойствах явлений переноса носителей и
коэффициентах преломления GaAs и 
.
Рис.3.1.
Зонная диаграмма гетероперехода AlGaAs - GaAs
На
рисунке 3.1 показаны зонные энергетические диаграммы гетероперехода AlGaAs
- GaAs. В гетероструктурах разрывность кривых энергетических
зон используется для пространственного разделения подвижных электронов и
заряженных доноров. При этом производят легирование AlGaAs, имеющего большую
ширину запрещенной зоны, чем GaAs, а пленку GaAs создают возможно большей
степени чистоты и структурного совершенства. Разрывность энергетической кривой
дна зоны проводимости заставляет электроны переходить на уровни с меньшей
энергией, перемещаясь в область GaAs. Этот процесс продолжается до тех пор,
пока не выровняются уровни Ферми полупроводников, находящихся по обе стороны
гетероперехода. В переходной области гетероперехода в GaAs образуется тонкий
слой, аккумулирующий захваченные из AlGaAs электроны.
.3 Воспроизводимость и стабильность
Для технического использования структуры прибора необходимо выполнение
ряда требований, предъявляемых к границам раздела: воспроизводимость границ и
их стабильность в течение длительного периода времени. Однако, наибольший успех
в этом отношении достигнут в кремниевой технологии, где вопроизводимость от
прибора к прибору и от подложки к подложке почти идеальная. Долговременная
стабильность границ раздела приводит к тому, что срок службы приборов
измеряется годами.
Вопрос воспроизводимости в значительной степени связан с процессом
изготовления прибора. Достижение требуемой стабильности границ раздела,
используемых в приборах, приводит к необходимости проведения довольно сложных и
дорогостоящих операций, таких как перемещение, формирование и удаление точечных
дефектов и дислокаций.
Успехи в изучении границ раздела связаны с применением электронно-спектроскопических
методов и новых методов изготовления образцов, которые позволяют формировать
границу раздела путём моноатомного слоевого наращивания.
4. Приборы на основе GaAs
Различные приборные структуры на GaAs и AlGaAs, которые могут использоваться при создании аналоговых и
цифровых интегральных схем имеют самые разные назначения. Наиболее часто
используемым элементом при разработке как цифровых, так и аналоговых ИС,
безусловно, является полевой транзистор на GaAs.
Приборы на GaAs можно разделить на несколько подгрупп. Различные
приборные структуры представлены на схеме 4.1.
Схема
4.1
4.1 Диоды
На основе GaAs изготавливаются диоды трёх типов. Среди них диоды Ганна и
лавинно-пролётные диоды, предназначенные для применения в СВЧ диапазоне и
диапазоне миллиметровых волн, а также диоды Шоттки, используемые в качестве
варакторов, смесителей и для изменения уровней сигналов.
Рис.4.2 Диодные структуры:
а) диоды Ганна, б) лавинно-пролётные, в) диоды с барьером Шоттки
а) Диоды Ганна
Диод Ганна был изобретён Джоном Ганном в 1963 году. Это тип
полупроводниковых диодов, использующийся для генерации и преобразования
колебаний в диапазоне СВЧ. В отличие от других типов диодов, принцип действия
диода Ганна основан не на свойствах p-n-переходов, а на собственных объёмных
свойствах полупроводника.
Схематичное
представление прибора представлено на рис. 4.2,а. Диод состоит из активной
области длиной L, в которой концентрация легирующей смеси равна n, и
двух омических контактов. Зависимость скорости переноса электронов от
напряжённости, при которой возникает отрицательная дифференциальная
проводимость в такой структуре, составляет 3,2 кВ/см, пиковая величина скорости
электронов равна при этом 22·
см/с.
При
выполнении условия n·L>

в
области катода образуются дипольные домены пространственного заряда. Эти домены
перемещаются в область анода и исчезают там. Частота генерации диода
определяется временем переноса домена через активную область. В зависимости от
схемы включения, величины nL и величины напряжения смещения возможны и другие
режимы работы диода. Наиболее распространенным применением диодов Ганна
являются генераторы сигналов высоких частот, однако разрабатывались и усилители
на их основе.
Диоды
Ганна были первыми важными для практического использования приборами СВЧ
диапазона на GaAs. Тем не менее они нашли лишь ограниченное применение при
создании ИС. До разработки технологии изготовления высокочастотных полевых
транзисторов на GaAs предпринимались последовательные усилия, направленные на
использование диодов Ганна в качестве активных элементов цифровых ИС.
Возможной
областью использования диодов Ганна в интегральных схемах является генерация
сигналов в миллиметровом диапазоне длин волн.
б)
Лавинно-пролётные диоды
В
ЛПД так же, как и в диодах Ганна, используется существование области
отрицательной дифференциальной проводимости на вольтамперной характеристике
приборов. Однако механизм возникновения такой области в ЛПД отличается от
такового в диодах Ганна. Обычно ЛПД состоит из барьера Шоттки или р-n-перехода,
смещенных в обратном направлении до возникновения лавинного пробоя, дрейфовой
области и омического контакта. На рис. 4.2,б схематически показаны структуры
ЛПД с одной и двумя дрейфовыми областями. В диодах с одной дрейфовой областью
носители возникают вблизи барьера Шоттки и электроны движутся в направлении к
омическому контакту. В диодах с двумя дрейфовыми областями генерация носителей
происходит около центра структуры, затем электроны движутся по направлению к
контакту, а дырки - по направлению к контакту р+. Возникновение отрицательного
сопротивления связано с существованием конечных величин времени формирования
лавины и дрейфа носителей. Эти времена определяют запаздывание изменений тока
через структуру по отношению к напряжению на ней и создают условия
возникновения отрицательной дифференциальной проводимости диода в СВЧ диапазоне
и в диапазоне миллиметровых длин волн.
Наиболее
перспективным направлением применения ЛПД в ИС является создание устройств
генераторов сигналов миллиметрового диапазона для аналоговых схем. ЛПД так же,
как и диоды Ганна, удобно использовать для генерации СВЧ сигналов, однако в
качестве усилителей их применять значительно труднее, так как необходимо
обеспечить развязку входных и выходных цепей схемы с помощью циркуляторов или
гибридных ответвлений. Включение таких элементов в состав ИС СВЧ диапазона не
является целесообразным. Поэтому ЛПД находят широкое применение лишь в качестве
генераторов относительно мощных сигналов.
в) Диоды Шоттки
Диоды Шоттки на GaAs являются важным элементом аналоговых и цифровых ИС.
Это определяется в значительной степени относительной простотой изготовления
контактов Шоттки к GaAs. На рис. 4.2,в показаны три типа структуры диодов
Шоттки, которые могут быть реализованы при изготовлении ИС.
Первым типом является обычная вертикальная структура, которая в основном
аналогична структуре ЛПД с одной дрейфовой областью. Такая структура чаще всего
применяется при изготовлении дискретных диодов, предназначенных для работы в
качестве варакторов, варикапов или смесителей. Её можно использовать и при
изготовлении ИС на подложках из полуизолирующего GaAs, что приводит, однако, к
некоторому усложнению технологического цикла из-за необходимости обеспечения
доступа к контактным областям со стороны подложки.
Вторым типом структуры диодов Шоттки является планарная структура,
применяемая главным образом при изготовлении диодов, предназначенных, для
смещения уровня сигналов и выполнения логических функций в цифровых ИС.
Величина прямого падения напряжения таких диодов определяется их площадью и
протекающим током.
Третья структура диодов Шоттки используется при изготовлении
перестраиваемых варакторов для схем генераторов на полевых транзисторах в
интегральном исполнении. Применение диодов такого типа позволяет за счет
больших, чем у обычных варакторов, пределов изменения емкости, соответственно
увеличить и диапазон перестройки частот генераторов. Расширение пределов изменения
ёмкости у диодов на основе такой структуры объясняется тем, что при изменении
величины обратного смещения изменяется и толщина обедненной области, и
эффективная площадь диода.
4.2 Полевые транзисторы
На основе GaAs также изготавливаются полевые транзисторы. В их числе
разновидности транзисторов с затвором Шоттки и р-n-переходом, ПТ с
гетеропереходами, проницаемой базой и вертикальной структурой. Структуры
полевых транзисторов схематически изображены на рис.4.3.
Рис. 4.3. Полевые транзисторы:
а) с затвором Шоттки;
б) с p-n-переходом;
в) с гетеропереходом;
г) с проницаемой базой;
д) с вертикальной структурой
Несмотря на существенные различия, принцип действия всех типов
транзисторов основан на управлении величиной тока основных носителей в канале
прибора с помощью напряжения, приложенного к затвору. Данные полевые
транзисторы могут быть изготовлены как приборы, работающие или в режиме
обогащения, или в режиме обеднения. Область канала у транзисторов, работающих в
режиме обогащения (нормально закрытые транзисторы), при нулевом потенциале на
затворе полностью обеднена, и для обеспечения проводимости канала необходимо
использовать прямое смещение. У транзисторов, работающих в режиме обеднения
(нормально открытые транзисторы), ток в канале протекает и при нулевом смещении
на затворе, и требуется приложить обратное смещение для того, чтобы достичь
режима отсечки и перекрыть канал.
В цифровых ИС используются полевые транзисторы, работающие как в режиме
обеднения, так и обогащения, однако в монолитных ИС СВЧ диапазона применяют
исключительно приборы первого типа. Транзисторы, работающие в режиме
обогащения, имеют меньшую потребляемую мощность по сравнению с транзисторами в
режиме обеднения, но вместе с тем их частотные и шумовые свойства хуже.
Как в цифровых, так и в аналоговых ИС СВЧ чаще всего применяют полевые
транзисторы с затвором Шоттки. Полевые транзисторы с р-n-переходом могут применяться при создании устройств с малой
потребляемой мощностью, но одновременно и с меньшим быстродействием.
а) Полевые транзисторы с затвором Шоттки и с p-n-переходом
Типичные структуры ПТ с затвором Шоттки и р-n-переходом с планарным
расположением областей истока, затвора и стока, изготовленных на подложках из
полуизолирующего GaAs, показаны на рис.4.3, а и б соответственно. Активная
область структур может формироваться посредством ионной имплантации
непосредственно в подложку, в процессе эпитаксиального роста или ионной
имплантацией в эпитаксиальный слой. По ряду причин все большее распространение
при изготовлении цифровых ИС и ИС СВЧ диапазона на полевых транзисторах
приобретает использование ионной имплантации непосредственно в подложку. Это
обусловлено хорошей воспроизводимостью процесса, возможностью осуществлять
селективное легирование, сохранять высокое качество поверхности и возможностью
организации массового выпуска недорогих изделий.
Различия структур полевых транзисторов связаны с использованием обычного
или заглубленного затвора, а также со способом формирования n+-контактов к областям истока и
стока, которые можно изготовить эпитаксиальными методами или ионной
имплантацией (рис. 4.3,а). Структуры с заглубленным затвором, с n+-контактами к областям истока и
стока или без таких контактов широко используют при изготовлении как мощных ПТ,
так и полевых транзисторов с низким уровнем шума. Свойства областей
заглубленного затвора и омических контактов к истоку и стоку в значительной
степени определяют частотные характеристики и напряжение пробоя полевых
транзисторов. При изготовлении цифровых ИС предпочтительнее использовать
приборы с планарной геометрией, так как при этом упрощаются проблемы, связанные
с покрытием ступеней в системе металл - диэлектрик при создании многоуровневой
металлизации.
Выполнено значительное число исследований, посвященных моделированию
процессов работы полевых транзисторов и электронных схем на их основе. Первая
модель ПТ, в которой использована ступенчатая аппроксимация канала, была
предложена Шокли. Впоследствии были разработаны значительно более сложные модели.
Рис.4.4. Моделирование работы ПТ с затвором Шоттки.
Сплошные линии - значения отношения плотности электронов к концентрации
легирования активного слоя
Штриховые линии - распределение электростатического потенциала
Стрелки - распределение электрического тока
На рис. 4.4 представлены результаты математического моделирования работы
полевого транзистора с затвором Шоттки, проведенного на основе подхода,
предложенного Френели. На рисунке показаны плотность электронов, распределения
электростатического потенциала и электрического тока в структуре транзистора.
Отчетливо видно существование обедненной области под затвором прибора.
Увеличение плотности эквипотенциальных линий в области между затвором и стоком,
соответствующее существованию больших напряженностей электрического поля,
подтверждает тот экспериментально наблюдаемый факт, что выход приборов из строя
связан с электрическим пробоем именно в этой области.
б) Полевые транзисторы на гетероструктурах
Геометрия полевых транзисторов с гетеропереходами схожа с геометрией
обычных ПТ, однако свойства используемых материалов резко отличаются. Из рис.
4.3,в видно, что в подзатворной области полевых транзисторов с
гетероструктурами находится сильнолегированный слой AlGaAs, а перенос
электронов осуществляется в прилежащей к этому слою области нелегированного
GaAs. Так как при этом значительно снижается интенсивность рассеяния электронов
на примесях, удается получить очень высокую подвижность электронов, в частности
при температуре 77 К.
Структуры для изготовления полевых транзисторов на гетероструктурах
получают методом молекулярно-лучевой эпитаксии. Для облегчения создания
омических контактов после выращивания слоев нелегированного GaAs и AlGaAs
формируют n+-слой. При этом слой AlGaAs можно
использовать в качестве слоя, останавливающего травление при удалении n+-слоя между областями стока и
истока. Наличие двух слоев AlGaAs, разделенных тонким слоем GaAs, позволяет на
одной и той же пластине формировать транзисторы, работающие и в обедненном, и в
обогащенном режиме.
На начальном этапе разработки полевых транзисторов на гетероструктурах
предполагалось создание на их основе новых цифровых ИС. Однако полевые
транзисторы на гетероструктурах оказались перспективными и для использования в
области сверхвысоких частот. Результаты показывают, что полевые транзисторы на
гетеропереходах применяются и в цифровых ИС, и в ИС СВЧ диапазона.
в) Полевые транзисторы с вертикальной структурой
Интерес к созданию полевых транзисторов с вертикальной структурой
определяется тем, что приборы такого типа могут быть изготовлены с очень
короткой длиной затворов даже при весьма умеренных требованиях к точности
процесса литографии. Длина затвора в таких структурах определяется толщиной
металлической пленки, образующей затвор.
Существуют два способа реализации ПТ с вертикальной структурой. К первому
классу таких приборов относятся транзисторы с проницаемой базой. О создании
такого транзистора впервые было сообщено в 1989 г.
В структуре прибора в активном слое были захоронены металлические
островки (см. рис. 4.3, г), которые аналогично затвору (или проницаемой базе)
используются для управления интенсивностью потока электронов между истоком и
стоком. Самым сложным этапом в процессе производства таких транзисторов
является выращивание пленки GaAs поверх металлических островков. С помощью
сканирующей просвечивающей электронной микроскопии удается наблюдать дефекты,
возникающие в переходном слое между GaAs и металлом. Эти дефекты оказывают
неблагоприятное воздействие на протекание тока между металлическими островками.
Существует еще один тип полевых транзисторов с вертикальной структурой.
Структура этих транзисторов (см. рис. 4.3, д) напоминает структуру транзисторов
с проницаемой базой, однако в отличие от последних при изготовлении такого типа
полевых транзисторов с вертикальной структурой не требуется выращивать пленку
GaAs над затворными металлическими островками. Затвор примыкает к вертикальным
сторонам канала в области между контактами к стоку и истоку.
Параметры изготовления транзисторов в СВЧ диапазоне оказались весьма
низкими. Транзистор с характерной шириной линии 0,5 мкм имел граничную частоту
генерации 12 ГГц. Однако сложность технологических процессов их производства
делает создание ИС на их основе очень дорогостоящим.
4.3
Биполярные транзисторы
Впервые структура биполярного транзистора с гетеропереходами была
предложена в 1957 г. Было показано, что при прочих равных условиях у
транзистора, в котором область эмиттера сформирована в полупроводниковом материале
с большей шириной запрещенной зоны, можно получить более высокие значения
коэффициента усиления по сравнению с обычным биполярным транзистором.
Наиболее характерный БТ с гетеропереходами состоит из эмиттера n-типа на AlGaAs, области базы р-типа
на GaAs и области коллектора n-типа
на GaAs. В настоящее время для цифровых ИС разработаны два различных типа
структур транзисторов с гетеропереходами - обычная и инвертированная (рис.
4.5).
Рис.4.5. Биполярные транзисторы:
а) обычная структура, б) инвертированная структура
а) Обычная структура БТ
В обычной структуре, показанной на рис. 4.5, а, область эмиттера
находится у поверхности кристалла, а между слоем AlGaAs и металлическим
контактом к области эмиттера сформирован слой GaAs n-типа, предназначенный для облегчения создания омического
контакта. Для изоляции области коллектора приборы такого типа изготовляют на
подложках полуизолирующего GaAs. При этом для обеспечения доступа к
коллекторному слою при изготовлении омических контактов необходимо
протравливать окна через слои AlGaAs-GaAs. Для изготовления контакта к области
базы можно использовать ионную имплантацию. Биполярные транзисторы с такой
структурой были использованы в ИС с эмиттерно-связанной логикой.
б) Инвертированная структура БТ
На рис. 4.5,б показана структура инвертированного транзистора, в которой
область эмиттера заглублена. На основе приборов с такой структурой удобно
создавать ИС с инжекционной логикой, так как для формирования области эмиттера
может использоваться подложка n+-типа.
Слой AlGaAs n-типа выращивают при этом прямо на
подложке. Контакт к области базы формируется с помощью ионной имплантации.
Основное достоинство инвертированной структуры транзистора заключается в том,
что подложка n+-типа может служить контактом к
области эмиттера. Благодаря этому в технологическом цикле устраняется операция
протравливания окон для изготовления контакта к эмиттеру, что позволяет
применить планарную технологию при изготовлении ИС. На базе биполярных транзисторов
с инвертированной структурой создают матрицы логических элементов.
4.4
Оптоэлектронные приборы
а) Светодиоды
Излучаемый свет лежит в узком диапазоне спектра, его спектральные
характеристики зависят от степени легирования GaAs.
Стоимость мощных светодиодов, применяемых в портативных прожекторах и
автомобильных фарах, на сегодняшний день довольно высока. Однако светодиоды, по
сравнению с другими источниками света имеют высокую световую отдачу и
длительный срок службы - от 30000 до 100000 часов ( при работе 8 часов в день -
34 года).
б) Солнечные батареи
Солнечная батарея - это совокупность фотоэлементов прямо преобразующих
солнечную энергию в постоянный электрический ток на основе фотоэффекта.
Основной характеристикой материала, из которого изготовлен фотоэлемент,
является коэффициент фотоэлектрического преобразования. Для GaAs этот
показатель равен 25,1 %, когда для Si он составляет 24,7%.
Для производства современных солнечных фотоэлементов используется
структура GaInP, для которого КФП равняется 32%.
4.5 Новые приборы на GaAs
Технология производства приборов на основе полупроводниковых материалов
типа АIIIВV позволяет применить ряд способов улучшения
параметров изделий. Исследования в этой области, проводимые в настоящее время,
направлены на разработку новых материалов, совершенствование технологических
процессов, использование особенностей переноса носителей в полупроводниках.
Полупроводниковые материалы АIIIВV, структура
которых .совместима е подложками InP, исследуются в настоящее время особенно
активно. К таким материалам относятся InGaAs и соединения InGaP. Интерес к
указанным материалам определяется возможностью изменения ширины их запрещенной
зоны, что позволяет создавать оптоэлектронные приборы, работающие на длинах
волн, оптимальных для систем связи. Кроме того, эти материалы перспективны и
для изготовления приборов для усиления и генерации, так как в ряде случаев
величина максимальной дрейфовой скорости носителей в них выше, чем в GaAs.
Разработка новых технологических процессов открывает возможности для
создания новых типов приборов микроэлектроники. Важное место среди таких
приборов занимают транзисторы с проницаемой базой, появление которых стало возможным
благодаря разработке методов эпитаксиального роста пленок. Кроме того, по мере
уменьшения размеров приборов все большее значение приобретают новые
технологические методы изготовления субмикронных структур.
Еще одним перспективным способом улучшения параметров создаваемых
приборов является разработка новых приборных структур, использующих
нетрадиционные процессы переноса носителей. Наиболее известным подходом для
реализации таких свойств является уменьшение размеров приборов, позволяющее
использовать преимущества явлений превышения скорости насыщения или
баллистических явлений переноса. В настоящее время исследуется возможность
создания таких условий переноса и в приборах с вертикальной структурой. Другая
возможность изменить процесс переноса носителей - использование сжатия
траекторий движения электронов. На этом принципе основана работа некоторых
приборов с селективно легированными гетероструктурами.
а) Приборы, работающие на основе квантового размерного эффекта
Усовершенствование технологии выращивания материалов АIIIВV
позволило создать принципиально новые типы приборных структур. Например, с
помощью методов МЛЭ и эпитаксии из паров металлоорганических соединений удается
выращивать гетероструктуры, у которых толщина слоев сравнима с длиной волны де
Бройля электронов, находящихся в зоне проводимости. Движение электронов в таких
структурах квантуется по дискретным состояниям. Использование подобных структур
с потенциальными ямами позволило значительно улучшить параметры
полупроводниковых лазеров.
б) Резонансный туннельный диод
Принцип работы диода также основан на туннельном эффекте, обусловленном
кванто-механическими явлениями.
Обычные диоды при увеличении прямого напряжения монотонно увеличивают
пропускаемый ток. В туннельном диоде квантово-механическое туннелирование
электронов добавляет горб в вольтамперную характеристику, при этом, из-за
высокой степени легирования p и n областей, напряжение пробоя уменьшается
практически до нуля.
Резонансные туннельные диоды находят широкое применение в качестве
генераторов и высокочастотных переключателей.
Заключение
Данная курсовая работа посвящена строению и свойствам полупроводникового
материала группы АIIIВV - GaAs, а также перспективам
развития технологии изготовления приборов на его основе.
История развития технологии GaAs богата яркими примерами создания новых
методов изготовления полупроводниковых материалов, новых типов приборных
структур и производственных процессов. В настоящее время развитие технологии
достигло такого уровня, который позволяет сконцентрировать основное внимание на
создании ИС на GaAs и как на интересном объекте исследований, и как на
перспективном классе приборов для будущих применений.
В работе описаны основные свойства GaAs, было проведено их сравнение со
свойствами кремния. Из проведенного анализа совершенно очевидны преимущества
материалов типа АIIIВV. Однако пока не ясно, в каких
случаях преимущества GaAs превышают такое важнейшее достоинство кремния, как
высокая степень отработки технологических процессов производства приборов на
его основе.
В последние годы достаточно большие капиталовложения направлены на
расширение исследований и разработку изделий на основе GaAs, а также на
организацию производства опытных партий новых приборов. Это позволит в
ближайшие годы хотя бы частично ответить на вопрос о целесообразности
использования приборов на GaAs в различных областях.
Сейчас можно сказать, что ИС СВЧ диапазона на основе GaAs широко
применяются в разрабатываемых военных системах и находят относительно большой
рынок сбыта в системах приёма телевизионных программ со спутников, а также в
сотовой связи. Во многих отношениях ИС СВЧ на GaAs находятся вне конкуренции.
Превосходные характеристики приборов на GaAs в СВЧ диапазоне и возможность
изготовления полуизолирующих подложек, необходимых для изготовления ИС,
обеспечивают бесспорные преимущества схем на GaAs перед кремниевыми ИС.
Существуют прикладные задачи, решение которых возможно только при использовании
таких ИС. Прекрасным примером этого является разработка активных элементов радиолокаторов.
Цифровые интегральные схемы на GaAs составляют конкуренцию кремниевым ИС.
И очевидным является тот факт, что в будущем цифровые ИС на GaAs окажутся
незаменимыми в тех областях, где требуется высокое быстродействие.
Литература
1) Н. Айнспрук, У. Уиссмен, (перев. В.Н. Мордкович):
«Арсенид галлия в микроэлектронике», Москва, «Мир», 1988.
) М. Шур, (перев. М.Е. Левинштейн): «Современные
приборы на основе арсенида галлия», Москва, «Мир», 1991.
) Д.В. Ди Лоренцо, (перев. Г.В. Петров): «Полевые транзисторы
на арсениде галлия. Принципы работы и технологии изготовления», Москва, «Радио
и связь», 1988
) В.Я. Алёшкин, Курс лекций «Современная физика
полупроводников», Нижний Новгород, 2011
) Н.С. Аверкиев, Л.П. Казакова, журнал «Физика и
техника полупроводников», выпуск 6: «Электрические свойства арсенида галлия»,
Санкт-Петербург, ФТИ им. Иоффе, 2000