Концепции ценообразования

  • Вид работы:
    Курсовая работа (т)
  • Предмет:
    Маркетинг
  • Язык:
    Русский
    ,
    Формат файла:
    MS Word
    127,2 Кб
  • Опубликовано:
    2012-11-02
Вы можете узнать стоимость помощи в написании студенческой работы.
Помощь в написании работы, которую точно примут!

Концепции ценообразования

Введение

Актуальность работы заключается в том, что цены являются важнейшим инструментом управления экономикой. Особенно возросла их роль в современных условиях, когда они стали одним из главных инструментов регулирования рыночной экономики. Решение данной задачи требует постоянного совершенствования стратегий, форм и методов формирования цен, усиления их роли в стимулировании научно-технического прогресса, рациональном использовании ресурсов, ограничении темпов инфляции.

Цена является важным рыночным индикатором пропорциональности развития спроса и предложения и служит исходным моментом в планировании всей финансовой деятельности предприятия. Установленные цены - ключ к настоящей и будущей рентабельности предприятия. Роль цены постоянно возрастает.

Цены, тарифы, тарифная политика из-за важности и значимости должны быть постоянно в поле зрения первого руководителя предприятия, так как ценовые решения оказывают огромное влияние на кратко- и долгосрочную прибыльность предприятия. Поэтому разработку ценовой политики относят к компетенции высших должностных лиц предприятия.

К проблемам ценообразования различные предприятия подходят по-разному. В малых предприятиях цены часто устанавливает само высшее руководство. В крупных фирмах проблемы ценообразования обычно решают управляющие ассортиментом производства и реализации продукции, работы, услуги. Но и здесь высшее руководство не самоустраняется от проблем ценообразования, а определяет общие цели и установки ценообразования, утверждает цены, предложенные руководителями низших звеньев Совершенствование ценообразования должно быть научно обоснованным, опираться на хорошо разработанные теорию и методологию.

Работникам российских организаций полезно воспользоваться опытом работы западных фирм с ценами, подходами к определению внешнеторговых цен, к проведению целенаправленной ценовой политики в рамках их маркетинговой стратегии. Хорошее знание уровня цен, действующих на рынках определенных видов продукции, позволяет организации оптимизировать выручку за готовую продукцию, а при закупках избегать переплат за сырье, материалы и комплектующие изделия.

Успешное функционирование механизма ценообразования возможно только на основе постоянного развития и совершенствования основных составных элементов, блоков или подсистем общей системы цен. Для решения данной задачи необходимо установить их место и роль в системе цен, взаимодействие между собой, а также их влияние на развитие рыночных отношений. Продолжительные и существенные тенденции движения (повышения или снижения) цен в той или иной сфере неизбежно вызывают изменения цен в других сферах или требуют применения финансовых методов регулирования, что должно быть сведено до минимума в условиях рыночной экономики.

Экономический анализ товарной политики является неотъемлемым элементом маркетинговых исследований. Это главный элемент в оценке конкурентных преимуществ организации. Предметом экономического анализа товарной политики в организации является определение эффективности целенаправленных действий, ориентированных на установленный платежеспособный спрос целевых групп потребителей (сегментов рынка), благодаря которым обеспечивается эффективное с коммерческой точки зрения формирование номенклатуры и ассортимента товаров и запланированные объемы продаж.

Разработка и эффективное проведение товарной политики должно базироваться не только на хорошем знании рынков (внешней среды), но и реальных возможностей предприятия (внутренний рынок) в области НИОКР, производственных мощностей, технологических обеспечений и т.п. Эти знания организация в состоянии получить только в результате осуществления полномасштабной аналитической функции маркетинга.

Задачи поставлены в работе следующие:

. Определить место цены в рыночной деятельности предприятия;

. Показать функции цены;

. Провести классификацию цен;

. Выявить влияние различных факторов на уровень устанавливаемой цены;

. Отразить основные современные концепции ценообразования: постановка целей ценообразования; определение спроса на свои продукции, работы, услуги; оценка издержек производства; анализ цен и продукции, работ, услуг конкурентов; выбор метода ценообразования; определение окончательной цены продукции, работ, услуг.

1. Место и роль цены в рыночной системе

.1 Место цены в рыночной деятельности предприятия

Определение цены, ценообразование, ценовая политика - важные элементы рыночной деятельности предприятия. Для предприятия, фирмы важно не только произвести, но и сбыть товар - продукцию, работы, услуги (ПРУ) с выгодой для себя, возместить все расходы и получить прибыль.

Изучение цен и самого механизма ценообразования важны и интересны не только с теоретической, но и практической точек зрения как для крупных, средних, малых фирм любых форм собственности, так и для физических лиц, которые даже в течение одного дня неоднократно сталкиваются с ценами.

Цена - это денежная сумма, за которую покупатель готов купить конкретные ПРУ, а производитель - продать [8, с.72].

Цена - обычно является наиболее контролируемым элементом в маркетинге предприятия. Определить оптимальную цену очень сложно, так как при этом необходимо учитывать значительное количество факторов.

Маркетинговый подход в ценообразовании предусматривает цепочку: цена спроса - цена продажи - желаемая прибыль - издержки.

Цена является важным рыночным индикатором пропорциональности развития спроса и предложения и служит исходным моментом в планировании всей финансовой деятельности предприятия. Установленные цены - ключ к настоящей и будущей рентабельности предприятия. Роль цены постоянно возрастает.

Например, если в 60-е годы руководители американских компаний ставили ценообразование на шестое по значимости место из 12 рассматриваемых маркетинговых факторов (после планирования, маркетинговых исследований, управления сбытом, рекламы и стимулирования сбыта, обслуживания потребителей), то с 80-х годов ценообразование было поставлено на первое место уже из 14 важнейших факторов, как ключевой фактор деятельности в условиях рынка. Ведь цена стала господствующим орудием в борьбе за благосклонность потребителей, а ценовая политика часто рассматривается как решающий инструмент рыночной деятельности.

Важной задачей любого предприятия является не продажа единицы продукции, работ, услуг по высокой цене, а их реализация в широком диапазоне предлагаемой номенклатуры и интересующем предприятие объеме по цене, доступной для клиента и достаточной для предприятия для организации расширенного воспроизводства продукции, работ, услуг.

Цены, тарифы, тарифная политика из-за важности и значимости должны быть постоянно в поле зрения первого руководителя предприятия, так как ценовые решения оказывают огромное влияние на кратко- и долгосрочную прибыльность предприятия. Поэтому разработку ценовой политики относят к компетенции высших должностных лиц предприятия [11, с.19].

Первоначальную цену устанавливает часто сам производитель и здесь обычной интуиции и опыта бывает недостаточно - необходимы глубокие знания современных подходов ко всему комплексу вопросов ценообразования. Не только студенты, но и практические работники предприятий и фирм часто не имеют необходимой профессиональной подготовки в вопросах ценообразования, разработки и определения ценовой стратегии предприятия. Окончательная цена, как правило, устанавливается и проверяется рынком в ходе переговоров между покупателем и продавцом. Продавцы при этом обычно запрашивают цену выше той, которую рассчитывали получить, а покупатели - ниже той, которую собирались заплатить. В ходе взаимных торгов под воздействием рыночных и нерыночных факторов и устанавливается окончательный взаимоприемлемый уровень цен. Если список потребителей начинает расти слишком быстро, это должно настораживать, не слишком ли занижены цены.

Знание факторов, подходов, тенденций, закономерностей ценообразования и является основой ценообразования, чтобы, когда дело доходит до установления цены.

1.2 Функции цены

Всего насчитывается пять функций, характерных для каждой конкретной цены без исключения [6, с.31].

. Функция учета - показывает, во что обществу обходится удовлетворение потребностей в продукции, работе, услугах. Цена определяет сколько затрачено труда, сырья, материалов, комплектующих изделий и др. на их производство и характеризует эффективность использования труда Цена в учетной функции является базой для исчисления всех стоимостных показателей и используется для оценки эффективности производства. Она является важнейшим инструментом внутрифирменного планирования и служит важным ориентиром при принятии хозяйственных решений.

. Функция стимулирования - выражается в том, что цена оказывает поощрительное или сдерживающее воздействие на производство и потребление различных продукции, работ, услуг. Стимулирующее влияние цены на производство проявляется через величину заключенной в ней прибыли - чем выше прибыльность, тем выше у производителя стимулы для производства продукции, работ, услуг.

При практической реализации цены способствуют или препятствуют увеличению производства и потребления продукции, работ, услуг. Стимулирование реализуется посредством повышения уровня прибыли в цене, применения скидок и надбавок к ней.

. Функция сбалансирования спроса и предложения - реализуется через связь между спросом и предложением, производством и потреблением. Цена служит индикатором о наличии диспропорций между спросом и предложением и является гибким инструментом для достижения соответствия между ними. При нарушении соотношения равновесие достигается либо с помощью увеличения (сокращения) предложения, либо за счет изменения цены или при одновременном изменении обоих параметров ("ножницы Маршалла").

Производителя цены должны заинтересовывать в расширении номенклатуры и повышении качества продукции, работ, услуг, пользующихся спросом у потребителей.

. Распределительная функция - базируется на отклонении цены продукции, работ, услуг от их стоимости под воздействием различных факторов.

Реализация функции осуществляется путем участия цен в распределении и перераспределении национального дохода между отраслями экономики, регионами, секторами экономики, формами собственности, фондами накопления и потребления, социальными группами общества.

Реализация распределительной функции цены позволяет решать социальные задачи. Высокие розничные цены на предметы роскоши способствуют перераспределению денежных доходов с помощью бюджета в социальные фонды.

. Функция цены как средства рационального размещения производства - проявляется в том, что использование механизма цен позволяет осуществлять переток капитала в секторы экономики, сферы и виды производства, обеспечивающие более высокую рентабельность деятельности. Это перераспределение капиталов осуществляется под воздействием конкуренции, законов спроса и предложения. Сами предприятия и фирмы определяют для себя наиболее целесообразные и перспективные отрасли, сферы экономики, виды деятельности для вложения капитала.

Все функции цены взаимосвязаны, взаимодействуют, а иногда и вступают в противоречие между собой. Практическая реализация функциональных ценовых взаимосвязей отличается сложностью и многообразием и должна быть постоянным объектом исследования маркетинговой службы предприятия.

1.3 Классификация и виды цен

Цены, действующие в экономике, взаимосвязаны и образуют систему, состоящую из отдельных блоков цен, взаимосвязанных и взаимодействующих между собой. Взаимосвязь цен осуществляется как бы по принципу сообщающихся сосудов - изменение цен в одном из основных блоков быстро приводит к изменению цен в других блоках. Так, изменение цен на топливно-энергетические ресурсы, например на горючесмазочные материалы, быстро отражается на тарифах автотранспортных предприятий и, в конечном счете, на всех потребителях автотранспортных услуг, вынуждая и их изменять свои цены [8, с.94].

Ценовая система - это единая упорядоченная совокупность различных видов цен, обслуживающих и регулирующих экономические отношения между различными участниками национального и мирового рынков (Приложение 1).

По ряду экономических признаков цены классифицируются по следующим видам и подвидам [6, с.59].

. По отраслям и сферам экономики различают:

оптовые цены;

розничные цены;

тарифы грузового и пассажирского транспорта;

цены на строительную продукцию;

закупочные цены;

тарифы на оказываемые населению платные услуги;

цены, обслуживающие внешнеторговый оборот;

скидки, надбавки, наценки в сфере обращения.

Рассмотрим некоторые из перечисленных цен.

Оптовая (отпускная) цена предприятия - цена, с которой товар выходит с предприятия (Приложение 2).

Реализуя свою продукцию по этой цене, предприятие должно возместить все издержки производства и реализации и получить размер прибыли, позволяющей предприятию выжить. Но полной гарантии такого результата предприятию никто дать не может, ибо окончательный результат коммерческой деятельности зависит от множества рыночных факторов, правильно предугадать действие которых непросто. Следовательно, итоговый результат деятельности предприятия может быть как положительным, с прибылью, так и отрицательным, с убытками.

Оптовая (отпускная) цепа промышленности - цена, по которой предприятия-потребители оплачивают за продукции, работы, услуги оптовым сбытовым организациям (Приложение 3).

Розничные цены - цены, по которым товар приходит к конечному потребителю, т.е. реализуется в розничной торговой сети населению, предприятиям и организациям (Приложение 4).

При реализации продукции, работ, услуг конечному потребителю и расчете наличными к оптовой цене предприятия, промышленности, розничной цене может добавляться введенный в ряде регионов РФ налог с продаж.

Оптовая цена промышленности может совпадать с оптовой ценой предприятия в том случае, если предприятие, выпускающее товар, само реализует его розничной торговле.

Оптовая цена предприятия может совпадать с розничной ценой при самостоятельной реализации продукции предприятием через собственный розничный магазин.

Разновидностями розничной цены являются коммерческие и аукционные цены.

Коммерческая или свободная рыночная цена применяется к продукции, работам, услугам, реализуемым в коммерческих магазинах при наличии госцены на такие же продукцию, работы, услуги, распределяемые централизованно.

Аукционная цена применяется к товарам, реализуемым на аукционе, и отражает редкие, уникальные свойства, признаки качества товара и может существенно отличаться от рыночной цены.

. В зависимости от территории действия цены различают [6, с.73]: - единые по стране, или поясные;

региональные (зональные, местные).

Единые, или поясные, цены могут устанавливаться только на базовые виды продукции, работы, услуги, регулируемые государством: энергоносители, электроэнергию, квартплату и др.

Региональные, или местные, цены устанавливаются предприятиями-изготовителями, органами ценообразования региональных органов власти и могут быть оптовыми, розничными, закупочными. Зависят эти цены от издержек производства и реализации, складывающихся в конкретном регионе.

.По степени свободы цен от воздействия государства при их определении различают цены свободные, регулируемые, фиксированные.

Свободные цены складываются на рынке под влиянием конъюнктуры рынка и не зависят от влияния государственных органов.

Фиксируемые цены прямо устанавливаются государственными органами власти и управления.

Рыночным условиям наиболее соответствуют свободные цены, складывающиеся на рынке, но перейти только на них нельзя.

Свободное ценообразование идеально может реализовываться только на рынках, где экономические процессы полностью отвечают интересам экономики и общества в целом. Поэтому государство не может самоустраниться от процесса ценообразования, оно должно вмешиваться при необходимости в этот процесс в зависимости от изменяющейся экономической обстановки и использовать оптимальное сочетание свободных, регулируемых и фиксируемых цен.

Решениями правительства РФ или региональных органов власти перечень товаров, реализуемых по свободным, рыночным ценам, может расширяться или сужаться. С помощью регулируемых и фиксируемых цен реализуется политика социальной защиты населения от чрезмерного роста розничных цен и инфляции.

. В зависимости от степени новизны товара для рынка предусматриваются методы установления цен [6, с.80]:

на новые товары;

на товары, реализуемые на рынке относительно продолжительное время.

При выпуске на рынок нового товара руководство предприятия в основном ориентируется на одну из следующих стратегий.

Стратегия "снятия сливок".

Стратегия "проникновения и прочного внедрения на рынке".

Стратегия "средние издержки плюс прибыль".

. Стратегия следования за лидером в отрасли или на рынке - цена устанавливается с ориентировкой на цены, предлагаемые основным конкурентом - ведущим предприятием отрасли, доминирующим на рынке.

. Стратегия престижной цены применяется для изделий высокого качества и уникальных свойств - цены устанавливаются высокие по сравнению с аналогичными непрестижными товарами.

На товары, реализуемые продолжительное время на рынке, могут применяться следующие виды цен.

Скользящая - устанавливается почти в прямой зависимости от соотношения спроса и предложения; она снижается постепенно по мере насыщения рынка. Применяется к изделиям массового спроса, когда увеличивающийся объем производства позволяет предприятию снизить издержки производства, а за ними и цены.

1.4 Влияние различных факторов на уровень устанавливаемой цены

Основным фактором, определяющим выбор покупателя, всегда была цена. В последние десятилетия довольно сильное воздействие на покупательский выбор стали оказывать различные неценовые факторы, такие как психология ценовосприятия, стимулирование сбыта, организация распределения продукции, работы, услуги для потребителя.

К проблемам ценообразования различные предприятия подходят по-разному. В малых предприятиях цены часто устанавливает само высшее руководство. В крупных фирмах проблемы ценообразования обычно решают управляющие ассортиментом производства и реализации продукции, работы, услуги. Но и здесь высшее руководство не самоустраняется от проблем ценообразования, а определяет общие цели и установки ценообразования, утверждает цены, предложенные руководителями низших звеньев [8, с.139].

По степени влияния различных факторов на уровень устанавливаемой цены фирмы ранжируют их в такой последовательности (Приложение 5) [11, с.27]:

себестоимость, издержки производства;

цены-тарифы конкурентов;

величина спроса на продукции, работы, услуги;

транспортные издержки;

надбавки и скидки в пользу посредника или клиента;

ввозные пошлины и иные сборы;

)затраты на рекламу и другие элементы стимулирования сбыта.

Выводы по главе 1:

Основным принципом рационального ведения рыночного хозяйства является быстрый, надежный, полный, точный и постоянный учет трудовых и материальных ресурсов с использованием цен. Поэтому механизм ценообразования имеет важнейшее значение для выполнения функций управления экономикой. Это обусловлено тем, что цена отражает взаимосвязь процесса производства с общественным и индивидуальным потреблением. Чем точнее и оперативнее цены отражают затраты трудовых и материальных ресурсов на производство товаров, тем эффективнее будет регулирующее воздействие механизма ценообразования на протекание экономических процессов и тем меньше потребуется затрат на управление экономикой.

Цена является важным рыночным индикатором пропорциональности развития спроса и предложения и служит исходным моментом в планировании всей финансовой деятельности предприятия. Установленные цены - ключ к настоящей и будущей рентабельности предприятия. Роль цены постоянно возрастает.

Важной задачей любого предприятия является не продажа единицы продукции, работ, услуг по высокой цене, а их реализация в широком диапазоне предлагаемой номенклатуры и интересующем предприятие объеме по цене, доступной для клиента и достаточной для предприятия для организации расширенного воспроизводства продукции, работ, услуг.

2. Концепции ценообразования

.1 Цели ценообразования

Предприятиям необходимо иметь упорядоченную методику установления цен-тарифов на свои продукции, работы, услуги, состоящую из последовательно реализуемых этапов. В развернутом виде методика расчета исходной цены состоит из шести этапов [10, с.244]:

постановка целей ценообразования;

определение спроса на свои продукции, работы, услуги;

оценка издержек производства;

анализ цен и продукции, работ, услуг конкурентов;

выбор метода ценообразования;

определение окончательной цены продукции, работ, услуг.

На первом этапе необходимо решить, каких целей желает достигнуть предприятие с помощью ценовой политики при реализации конкретных продукции, работ, услуг. Наиболее приемлемый метод должен учитывать те цели ценообразования, которые поставило перед собой конкретное предприятие. Ценообразование может преследовать ряд целей. Стратегия ценообразования предприятия должна поддерживать стратегию позиционирования продукции, работ, услуг на рынке, служить достижению финансовых целей предприятия, соответствовать реалиям конкурентной рыночной среды.

Основная цель ценообразования состоит в том, чтобы получить такой доход, который обеспечивал бы возврат вложенных средств.

В конкурентной рыночной среде может рассматриваться четыре типа рынка [10, с.246].

Рынок идеальной или чистой конкуренции, когда имеется много производителей и потребителей аналогичных продукции, работ, услуг, свободный выход на рынок и уход с него и каждое конкретное предприятие не может оказать воздействие на уровень устанавливаемых цен.

В рынке монополистической конкуренции много производителей и потребителей аналогичных или схожих продукций, работ, услуг. Каждый производитель стремится выделиться своими продукцией, работой, услугами за счет качества, сервиса, дизайна, марочного названия, стимулирования сбыта и других факторов, привлекая с их помощью к себе потребителей. За счет этих особенностей производитель может оказать некоторое воздействие на уровень устанавливаемых на рынке цен.

На олигополистическом рынке доминируют два-шесть крупных производителей. Другим предпринимателям трудно пробиться на такой рынок, где олигополисты уже имеют приоритетный доступ к сырью, трудовым ресурсам, рынкам сбыта, патентам на продукцию, работы, услуги. Олигополисты могут оказывать более мощное воздействие на уровень устанавливаемых цен на рынке.

На монополистическом рынке всего один производитель, выпускающий один продукт. Из-за монопольного положения он диктует рынку свои условия и цены.

На практике рынок идеальной конкуренции и монополии встречается довольно редко. Рассмотрим наиболее часто встречающиеся на практике цели ценообразования[6, с.148].

Обеспечение выживаемости. Такая цель ставится при острой конкуренции на рынке, когда производителей много, а продукция, работы, услуги предприятия ничем особенным среди аналогичных не выделяется. Эта же цель реализуется и в том случае, когда резко меняются потребности клиентуры, что приводит к существенному снижению спроса. Чтобы обеспечить производство и сбыт продукции, работ, услуг и саму работу предприятия в такой рыночной ситуации, предприятие в порядке самозащиты и предупреждения утери конкурентоспособности вынуждено устанавливать низкие или минимально возможные цены.

Максимизация текущей прибыли в кратчайший срок. Цена устанавливается максимально возможная, которая с учетом спроса и издержек обеспечит максимальное поступление текущей наличности и прибыли. Высокие цены поддерживаются как можно дольше. Цель в общем-то нормальная, рыночная, если только не ставится задача достигнуть ее любой ценой, так как ее практическая реализация приводит к следующим отрицательным последствиям:

в рыночных условиях главное действующее лицо - потребитель и его нужды, а здесь фирма о них начисто забывает;

маркетинг нацеливает на приоритет долгосрочных перспектив, а здесь на первом месте текущие заботы фирмы;

фирму мало заботит настоящий и будущий ее имидж.

Достижение лидерства по показателям доли рынка. Добиваясь этой цели, предприятие идет на максимально возможное снижение цен, вытесняя с их помощью часть конкурентов. Оно считает, что большая доля рынка позволит иметь самые низкие издержки и самую высокую долговременную прибыль. Ведь по закону Паретто удвоение валового производства обеспечивает производителю снижение издержек на единицу продукции, работ, услуг на 20-30 %.

Цена здесь используется как оружие агрессии для завоевания доли рынка или внедрения на него. Поэтому ее еще называют ценой проникновения.

Завоевание лидерства по показателям качества товара - предприятие добивается, чтобы его продукция, работы, услуги были самыми высококачественными из предлагаемых на рынке. Цены устанавливаются высокие, чтобы обеспечить покрытие издержек на достижение высокого качества.

Потребители, отдающие приоритет именно высокому качеству продукции, работы, услуги, с пониманием относятся к высоким ценам предприятия.

Выход на новые рынки часто заставляет предприятие применять лояльные к потребителю цены, способствующие привлечению внимания потребителей и проникновению на этот рынок. Целью ценообразования при внедрении на рынок является завоевание рыночной доли и получение прибыли из будущих повторных продаж, чему и должно способствовать укрепление на рынке репутации продукции, работы, услуги.

Возможен и другой, более тонкий подход - на продукцию, работы, услуги может устанавливаться высокая- базисная цена, но с использованием скидок, что позволяет получить два преимущества:

высокая базисная цена свидетельствует о высоком качестве продукции, работ, услуг (чтобы потребитель не усомнился в их качестве);

прекращение в дальнейшем действия скидок для первых покупателей будет встречено с меньшим недовольством, чем последующий рост цен.

Установление цены, ориентированной на желаемый возврат от инвестиций. Здесь предприятие определяет цену, обеспечивающую желаемый возврат от инвестиций - например 15 %-ный возврат с инвестиций. Этот результат будет достигнут только в том случае, если затраты и объем продаж совпадут с ожидаемыми. А это в значительной степени зависит от реакции покупателей на устанавливаемую цену продукции, работы, услуги.

Недостаток метода - игнорирование запросов потребителей.

2.2 Ценовые стратегии

Ценовые стратегии - обоснованный выбор из нескольких вариантов цены (или перечня цен), направленный на достижение максимальной (нормативной) прибыли для фирмы на рынке в рамках планируемого периода (Приложение 6)[8, с.182].

Стратегии дифференцированного ценообразования основаны на неоднородности покупателей и возможности продажи одного и того же товара по нескольким ценам.

Стратегии конкурентного ценообразовании строятся на учете конкурентоспособности фирмы посредством цен.

Стратегии ассортиментного ценообразования применимы, когда у фирмы имеется набор аналогичных, сопряженных или взаимозаменяемых товаров.

Ценовой стратегический выбор - это выбор стратегий ценообразования, основанный на оценке приоритетов деятельности фирмы (Приложение 7) [10, с.192].

2.3 Определение спроса на продукцию, работы, услуги

На втором этапе фирме необходимо определить зависимость объема спроса от цены. Зависимость между ценой фирмы на продукцию, работы, услуги и уровнем спроса на них можно представить на графике кривой спроса, показывающей, какое количество продукции, работ, услуг будет реализовано на рынке за конкретное время по разным ценам. Для замера объема спроса проводится его оценка при различных ценах (Приложение 8) [16, с.136].

Для обычных продукции, работ, услуг спрос и цена находятся в обратно пропорциональной зависимости - чем выше цена, тем ниже спрос на продукцию, работы, услуги (аналогично - чем ниже цена, тем выше спрос).

Для престижных товаров кривая спроса иногда имеет положительный наклон - с ростом цены растет и спрос. Это происходит, когда потребители считают более высокую цену показателем более высокого качества или большей желательности этих продукции, работ, услуг. Но при дальнейшем росте цен спрос начинает падать (Приложение 9) [16, с.138].

Как правило, спрос растет по мере снижения цены. Но если цену снижать и снижать, спрос может начать падать, так как потребители начинают сомневаться в качестве товара, продаваемого так дешево.

Кроме цены, на спрос могут оказывать существенное влияние и другие факторы. Установлено, что под влиянием неценовых факторов (удвоение рекламного бюджета, улучшение экономической ситуации и др.) происходит не изменение кривой спроса, а ее сдвиг вправо и спрос становится равным. При ухудшении экономической ситуации кривая спроса сдвигается влево и спрос снижается (Приложение 10) [16, с.142).

2.4 Оценка издержек продукции, работ, услуг

Такая оценка необходима для определения базовой точки отсчета ценообразования - минимально возможной цены продукции, работ, услуг, которая определяется издержками предприятия. А максимальную цену, которую фирма может запросить за свои продукцию, работы, услуги, как правило, определяет спрос. Предприятие стремится назначить на свои продукцию, работы, услуги такую цену, чтобы полностью покрывались все затраты по производству, распределению и сбыту, включая желаемый уровень прибыльности-рентабельности за свои усилия и риск. Маркетолог должен разбираться в структуре издержек конкретных продукции, работе, услугах и знать причину их возникновения, так как от этого будет зависеть долгосрочный прогноз прибыльности рассматриваемых вариантов цены. Мероприятия по снижению издержек основываются на понимании их структуры и способствуют повышению конкурентоспособности продукции, работ, услуг [10, с.327].

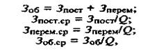
Все издержки предприятия делятся на два вида - постоянные и переменные.

Постоянные или накладные расходы присутствуют всегда и не зависят от объема производства. Это затраты на отопление, электричество, почтово-канцелярские расходы, на аренду оборудования, подвижного состава, помещений и др.

Переменные затраты изменяются в прямой зависимости от объема производства. На единицу продукции, работ, услуг эти затраты обычно не меняются, а общая их сумма меняется в зависимости от объема производимых продукции, работ, услуг.

Общие или валовые издержки определяются суммой постоянных и переменных затрат[16, с.155].


где Зоб - общие, валовые издержки, руб.; Зпост - постоянные издержки, руб.; Зперем - переменные издержки, руб.; 3пост.ср, Зперем.ср., Зоб.ср - удельные затраты постоянные, переменные и средние на единицу продукции, работ, услуг, руб./ед.; Q - объем производимых или реализуемых единиц ПРУ,

Предприятие за свои продукцию, работы, услуги старается брать такую цену, которая как минимум покрывала бы все общие издержки производства.

Предприятие с наименьшими издержками обладает внушительным конкурентным преимуществом на любом рынке.

3. Практическая часть

Под термином «продукт» понимается все, что можно предложить на рынке для приобретения, использования или потребления с целью удовлетворения определенных потребностей. Как только продукту назначена цена и он поступил на рынок, он становится товаром. Поэтому термин «товар» используется наравне с термином «продукт». Таким образом, товар является сердцевиной всей маркетинговой деятельности организации.

Экономический анализ товарной политики является неотъемлемым элементом маркетинговых исследований. Это главный элемент в оценке конкурентных преимуществ организации. Предметом экономического анализа товарной политики в организации является определение эффективности целенаправленных действий, ориентированных на установленный платежеспособный спрос целевых групп потребителей (сегментов рынка), благодаря которым обеспечивается эффективное с коммерческой точки зрения формирование номенклатуры и ассортимента товаров и запланированные объемы продаж.

Разработка и эффективное проведение товарной политики должно базироваться не только на хорошем знании рынков (внешней среды), но и реальных возможностей предприятия (внутренний рынок) в области НИОКР, производственных мощностей, технологических обеспечений и т.п. Эти знания организация в состоянии получить только в результате осуществления полномасштабной аналитической функции маркетинга.

Вопросы позиционирования: изучение разновидностей продукции, ее качества, характеристик, сопровождающих ее услуг и степени отличия от аналогичных продуктов (услуг) конкурентов, новизны продукции, цен и т. д. являются предметом маркетинга. Однако выводы маркетологов основаны, в первую очередь, на показателях комплексного анализа хозяйственной деятельности, а также на комплексных показателях. Все вместе они помогают оценить, насколько выгодной является позиция организации на рынке того или иного товара [15,с.184].

В стратегическом плане товарная политика организации должна исходить из концепции жизненного цикла товара (ЖЦТ), т. е. из того факта, что каждый товар имеет определенный период рыночной устойчивости, характеризующийся объемами его продаж во времени.

При формировании структуры товарного ассортимента организации возникает потребность в методах его выбора для получения максимальной прибыли в условиях неопределенности. Выбор товарной номенклатуры можно осуществлять на основе увязки перспектив реализации товаров с возможностями товарообеспечения, спросом и прибыльностью. При этом каждая группа товаров оценивается по балльной системе, т. е. с помощью ранжировки. Количество баллов, присваиваемое исследуемым группам товаров по показателям товарообеспечения, реализации и прибыльности, определяется экспертным путем на основе учета различных факторов.

В процессе оценки перспектив реализации товара ранжировку следует провести по степени спроса или прогнозируемых темпов роста реализации товара. В основу оценок можно положить жизненный цикл товара от появления его на рынке до роста, зрелости, старения. Наиболее верным ориентиром вероятного обеспечения перспективной реализации могут быть полученные заявки, договоры, любая информация о спросе и результаты маркетинговых исследований[15,с.186].

Ранжировка по степени спроса составляется следующим образом:

продукция (товар), спрос на который будет возрастать (перспективы сбыта хорошие), - 4 балла;

продукция (товар), спрос на который остается на прежнем уровне, - 3 балла;

продукция (товар), спрос на который ухудшается, - 2 балла;

продукция (товар), почти не находящий спроса, - 1 балл.

Анализ возможностей товарообеспечения предусматривает изучение поставщиков, их возможностей и условий поставки, наличие счетов к оплате, что позволяет сократить издержки обращения на оптовые закупки. Ранжировка товарообеспечения может выглядеть так:

продукция (товар), на которую имеются устойчивые поставки на длительный срок, - 4 балла;

продукция (товар), по которой поставки устойчивые, но не на длительный срок, - 3 балла;

продукция (товар), обеспеченная только разовыми поставками, - 2 балла;

продукция (товар), по которой потребители не определены, - 1 балл.

Затем составляют ранжировку товара по прибыльности:

балла присваиваются товарной группе, у которой имеются возможности повышения рентабельности;

балла - товарной группе, у которой рентабельность можно сохранить на существующем уровне;

балла - товарной группе, которая имеет тенденцию к снижению рентабельности;

балл - товарной группе, в настоящий момент убыточной. На основе анализа степени спроса на товары, товарообеспечения и прибыльности составляют так называемый баланс выживания по наиболее интересующим товарам в разрезе рассматриваемой совокупности критериев выбора (Приложение 11) [15,с.188].

В таблице 2 представлена схема расчета. На основе баланса выживания выберем по наибольшей сумме баллов оптимальный вид товара. В данном случае таким товаром являются стиральные двигатели (10 баллов).

Организация с целью получения дополнительной прибыли может заниматься реализацией не только оптимальных видов товаров, но и товаров, получивших меньшее количество баллов. При этом согласно расчету (таблица 2) их продажа будет менее приоритетна для торговой деятельности.

Если при выборе модели или марки товара в торговле возникает вопрос о том, какое сочетание достоинств предмета реализации наиболее приемлемо для максимального повышения конкурентоспособности продаж, следует выделить эти достоинства и оценить их по степени важности для покупателей с помощью баллов (ранжировки). Количественную балльную оценку достоинств можно провести на основе опроса покупателей при совершении покупки, показаний опытных специалистов, работающих в непосредственной связи с покупателями, экспертов.

Очень важной для планирования производственно-финансовой деятельности является информация о спросе на рынке данного товара. Известный закон спроса гласит, что количество товара, которое готовы приобрести покупатели, находится в обратной зависимости от его цены.

Цена на продукцию (работы, услуги) является одним из важнейших элементов комплекса маркетинга, и ее определение производится с учетом выбора стратегий относительно других элементов маркетинга. Цена - это денежное выражение соотношения спроса и предложения продукции. Цены обеспечивают организации запланированную прибыль, спрос на продукцию, конкурентоспособность продукции и организации в целом.

Организация, проводя определенную политику в области ценообразования, активно воздействует как на объем продаж, так и на величину получаемой прибыли. Как правило, организация не руководствуется получением сиюминутной выгоды, реализуя продукт по максимально высокой цене, а проводит гибкую ценовую политику.

На величину цены оказывают воздействие внутренние факторы (цели предприятия и маркетинга, стратегия по отношению к отдельным элементам комплекса маркетинга, издержки, формирование ценообразования) и внешние факторы (объем рынка, оценка соотношения между ценой и ценностью продукта, осуществляемая потребителем конкуренция, экономическая ситуация, возможная реакция посредников, государственное регулирование).

Ценовая политика организации состоит в том, что оно устанавливает цены на таком уровне и так изменяет их в зависимости от ситуации на рынке, чтобы обеспечить достижение краткосрочных и долгосрочных целей (завоевание определенной доли рынка, завоевание лидерства на рынке, получение запланированной суммы прибыли, максимизация прибыли, выживание организации) и решение оперативных задач, связанных с реализацией товара в определенной фазе его жизненного цикла, деятельностью конкурентов и т. п. [15,с.193].

Работникам российских организаций полезно воспользоваться опытом работы западных фирм с ценами, подходами к определению внешнеторговых цен, к проведению целенаправленной ценовой политики в рамках их маркетинговой стратегии. Хорошее знание уровня цен, действующих на рынках определенных видов продукции, позволяет организации оптимизировать выручку за готовую продукцию, а при закупках избегать переплат за сырье, материалы и комплектующие изделия.

Для установления оптимального уровня реализационных цен многие организации применяют определенные методы расчетов цен, ориентированные на затраты и фиксированную прибыль, или же устанавливают цены административно, т. е. с ориентацией на объективно складывающееся на рынке положение, зависящее от позиции основных конкурентов или одного конкурента - лидера в ценах, а также от позиции (предпочтения и вкусов) потребителей.

При анализе ценовой политики организации рассматриваются следующие основные вопросы:

чем отличается политика ценообразования организации от соответствующей политики конкурентов;

как устанавливаются цены на стандартную и новую (обновленную, усовершенствованную) продукцию;

насколько цены организации соответствуют уровню издержек на производство продукции;

какова вероятная реакция потребителей на изменение уровня цен (эластичность спроса);

привлекательны ли цены организации в сравнении с ценами конкурентов;

как действует организация при изменении цен конкурирующими компаниями.

Ценовая политика организации, как правило, корректируется с учетом стадий жизненного цикла продукции[15,с.198]. Так, на стадии проникновения на рынок организация может применять стратегию проникновения на рынок, а затем стратегию роста проникающей цены. Поэтому на этом этапе наблюдается некоторое снижение цен на продукцию, а после захвата определенной доли рынка - их резкое повышение.

На стадии роста политика ценообразования должна ориентироваться на долгосрочную перспективу. В зависимости от состояния конкуренции на рынке организация может применить стратегию «снятия сливок» и «проникающего ценообразования» для максимизации прибыли, стратегию среднерыночных цен, стратегию следования за конкурентом. В целом цены на услуги достаточно высокие.

Стратегия «снятия сливок» предусматривает установление высокой первоначальной цены на новую продукцию с последующим ее прогрессивным снижением по мере перехода рынка в стадию зрелости. Стратегия «проникающего ценообразования» предполагает установление низкой первоначальной цены в целях достижения быстрого массового признания продукции уже на первой стадии ее жизненного цикла.

На стадии зрелости ценовая политика нацелена, как правило, на удержание завоеванных позиций на рынке. Поэтому рост цен на продукцию на этой стадии замедляется. Организация может применять стратегию стабильных цен, рассчитанную на постоянных клиентов. Однако на этом этапе организация может попытаться максимизировать прибыль в краткосрочном периоде, чтобы затем осуществить уход с рынка. На стадии спада цены на услуги, как правило, снова возрастают. Но для стимулирования сбыта следует применять гибкую систему скидок до тех пор, пока не появится новая (обновленная, усовершенствованная) продукция.

При всех прочих условиях производства, затрат на изготовление готовой продукции (работ, услуг), цены должны стимулировать систему продаж товара.

Современная товарная структура рынков готовых изделий характеризуется в значительной мере не единичными товарами, а товарными комплексами. Так, организации, производящие сельскохозяйственное оборудование, предлагают к трактору различные навесные и прицепные орудия. Снижая цену на трактор, они стимулируют тем самым продажу всего комплекса оборудования, обеспечивая получение запланированной прибыли. Ценовая политика, стимулирующая системные продажи, получила название политики «убыточного лидера», хотя, в конечном счете, она приводит к увеличению прибыльности.

Проводимая организациями ценовая политика в известных пределах оказывает воздействие на уровни и пропорции цен, складывающиеся на рынке. Это происходит тогда, когда реализационные цены, являющиеся оптимальными для организации при существующих условиях производства, определенном качестве товаров и доле, занимаемой организацией на рынке, признаются покупателями исходя из затрат на производство аналогичных или близких по назначению товаров, производимых другими продуцентами, и существующей в связи с этим на рынке конкуренции между ними.

Наряду с техническим уровнем, качеством, сроками поставки и другими существенными условиями сделки (условия платежа, период гарантии и т. п.) цена является одним из основных факторов, определяющих конкурентоспособность продукции на соответствующем рынке товаров.

Безусловно, естественно желание продавца выручить максимально высокие цены, а покупателя - получить товар по минимально возможной цене. При этом продавец и покупатель учитывают наличие альтернативных возможностей как продажи, так и покупки аналогичного или близкого по назначению товара, т.е. конкуренцию на рынке среди поставщиков и реальный спрос на данный товар среди покупателей. Поэтому при наличии других продавцов и покупателей данного товара на данном или других рынках сделка купли-продажи становится возможной при обоюдном желании сторон придти к разумному компромиссу в установлении уровня цены на товар с учетом его количества и качества, с одной стороны, и наличия на рынке альтернативы для покупки или продажи аналогичного товара, с другой стороны.

С ростом конкуренции на рынке при прочих равных условиях цены на товар снижаются. При монопольном положении на рынке продуцента, особенно при выходе с новой наукоемкой продукцией, продавец, проводя ценовую политику «снятия сливок», может реализовать новый товар по монопольно высоким ценам до появления на рынке товаров с аналогичными функциональными характеристиками, предлагаемых организациями-конкурентами. Когда положение на подавляющем большинстве товарных рынков характеризуется наличием многих поставщиков и покупателей, так называемая рыночная цена товара формируется в результате действия закона стоимости в его национальном (внутренняя цена) или интернациональном (внешнеторговая цена) выражении и постоянно влияющей на рынок конкуренции.

Каждый из поставщиков товара стремится по крайней мере сохранить долю рынка, которую он занимает. Основные методы конкурентной борьбы, как уже отмечалось, - это цена, технический уровень изделия и другие качественные показатели, сроки поставок, условия платежа, объемы и сроки гарантий, объем и качество сервиса, реклама, «паблик рилейшнз» и другие мероприятия системы формирования спроса и стимулирования сбыта.

Надо отметить, что считается общепринятым, что неценовые факторы в конкурентной борьбе стали преобладающими.

Тем не менее, ценовые методы конкурентной борьбы не утратили своего значения, хотя они теперь в большей степени, чем раньше, связаны с качеством продукции и другими потребительскими свойствами товара. Если раньше понижение цен на товары одним из поставщиков неизбежно приводило к снижению цен другими поставщиками, то в настоящее время многие организации предпочитают улучшить потребительские свойства своего изделия при сохранении или некотором повышении реализационных цен. Такая «скрытая» скидка с цены товара при соответствующей рекламе, как правило, вызывает положительную реакцию у современного просвещенного потребителя, который к тому же, как было сказано выше, часто связывает низкую цену с неудовлетворительным качеством товара.

При проведении товарной и ценовой политики необходимо ориентироваться на проверенные коммерческой практикой подходы [15,с.227]:

принципиально важно, особенно если речь идет о серийных и массовых товарах, добиться того, чтобы они в глазах покупателя выгодно отличались от товаров конкурирующих организаций благодаря фирменному стилю, упаковке, оригинальной окраске (это относится в том числе к серийным изделиям машиностроения), особым элементам дизайна и другим, на первый взгляд, малозначительным деталям;

из ряда товаров, выпускаемых организацией, в определенных ситуациях целесообразно выбрать один товар, который может быть привлекательным для многих покупателей, и обеспечить этому товару так называемый концентрированный (недифференцированный) маркетинг. Удачно введенный на рынок таким образом товар может, как локомотив, «вывезти» на рынок другие товары организации, заранее создав им благоприятный имидж;

весьма плодотворным может оказаться поиск новых областей применения для уже выпускаемого товара, поддержанный широкой рекламной кампанией и другими мероприятиями по стимулированию сбыта;

желательно выйти на рынок с новым товаром (рыночная новизна);

можно добиться особого внимания покупателей к товарам предприятия на рынке за счет их подчеркнуто высокого качества, надежности и удобства в эксплуатации;

можно разработать и выйти на рынок с принципиально новым товаром, который может быть лидером в течение определенного периода времени, обеспечивая превосходство над конкурентами и создавая организации репутацию новатора;

при разработке ценовой политики необходимо основываться на концепции жизненного цикла товара.

3.1 Анализ цен и продукции, работ, услуг конкурентов

Кроме себестоимости производства и реализации продукции, работ, услуг, а также наличия спроса на них важное влияние на уровень устанавливаемых предприятием цен оказывают цены и качество продукции, работ, услуг конкурентов.

Если продукция, работы, услуги предприятия идентичны продукции, работам, услугам основного конкурента, то предприятие, чтобы не потерять сбыт, вынуждено будет назначить цену, близкую к цене конкурента. Спрос будет определяться только тем, какова его цена - выше или ниже цены конкурента [10, с.333].

Если же продукция, работы, услуги ниже по качеству, чем у конкурента, предприятие, чтобы существенно не снижать сбыт, не сможет запросить такую же цену, как у конкурента.

Более высокую цену, чем у конкурента, предприятие может запросить только за более качественные продукции, работы, услуги, либо когда ее продукция, работы, услуги обладают какими-то уникальными достоинствами, которых нет в продукции, работах, услугах конкурента.

Таким образом, цены и качество продукции, работ, услуг конкурентов являются необходимыми данными для назначения цен на продукции, работ, услуг предприятия.

Качество и уникальные достоинства продукции, работ, услуг конкурентов наиболее существенно оцениваются по реакции покупателей-потребителей, либо с помощью экспертов.

3.2 Выбор метода ценообразования

В своей практической деятельности предприятия могут использовать широкий выбор методов ценообразования (Приложение 12) [11, с.175].

Затратные методы ценообразования основаны преимущественно на учете издержек производства и реализации продукции, параметрические методы ценообразования - на учете технико-экономических параметров товаров.

Ценовой метод полных издержек - способ формирования цен на основе всех затрат. Метод применяется предприятиями, положение которых близко к монопольному и сбыт продукции практически гарантирован.

Ценовой метод стандартных издержек позволяет формировать цены на основе расчета затрат по нормам с учетом Отклонений фактических затрат от нормативных. Ценовой метод стандартных издержек, в отличие от простого отражения затрат, дает возможность пофакторного их анализа.

Ценовой метод прямых издержек - способ формирования цен на основе определения прямых затрат исходя из конъюнктуры рынка. Данный метод называют также методом формирования цен по сокращенным затратам Основное преимущество метода заключается в возможности выявления наиболее выгодных видов продукции.

Метод стандартных прямых издержек совмещает преимущества методов стандартных и прямых затрат.

Ценовой метод стандартных прямых издержек позволяет управлять сокращенными затратами по отклонениям (Приложение 13) [11, с.179].

. Расчет цены по методу "средние издержки плюс прибыль" базируется на определении цены на основе издержек. Это один из самых простых и распространенных методов ценообразования, заключающийся в начислении определенной наценки на себестоимость продукции, работ, услуг. Размеры наценок могут варьироваться в широких пределах в зависимости от вида продукции, работ, услуг, целей предприятия, конкретных рыночных условий реализации. Обычно они выше на продукцию, работы услуги, более подверженные риску, - сезонные, специальные, профессиональные товары, товары, нуждающиеся в аккуратной транспортировке и дорогостоящем хранении и обращении [6, с.202].

Достоинства метода:

любое предприятие занимается бизнесом для получения прибыли, объем которой зависит от разницы между ценой и издержками, вследствие чего цена должна превышать величину издержек;

издержки как прошлые, так и настоящие и будущие поддаются анализу и подсчету гораздо проще, чем информация о спросе, и, привязывая цену к издержкам, производитель упрощает для себя процесс ценообразования;

правила ценообразования на основе издержек поддаются регулированию и процедуру ценообразования можно поручить руководителям низшего звена и проводить с использованием компьютера;

широкое применение ценообразования на основе издержек способствует стабилизации рыночных цен и при известном росте издержек изменение цен становится предсказуемым.

Недостатки метода:

издержками предприятия можно манипулировать, а это дает возможность как скрывать, так и завышать свои издержки;

в момент определения цены издержки, особенно будущие, могут быть еще неизвестны и структура издержек может измениться таким образом, что ценообразование на основе издержек может привести к отрицательным последствиям;

игнорируются текущий уровень потребительского спроса, субъективная ценность, приписываемая товару потребителем, а также конкуренция.

. Расчет цены на основе анализа безубыточности и обеспечения целевой прибыли. Этот метод ценообразования также основан на учете издержек, когда предприятие стремится установить на свои продукции, работы, услуги такую цену, которая обеспечила бы ей желаемый объем прибыли. Метод базируется на тестировании цен на прибыльность и определении точки безубыточности, определяемой или с помощью графика безубыточности, или расчетным путем (Приложение 14) [16, с.159].

Постоянные издержки не зависят от объема производства и сбыта продукции, работ, услуг. К постоянным затратам добавляются переменные издержки, возрастающие по мере увеличения объема производства и сбыта и образующие вместе с постоянными затратами валовые издержки. Кривая валовых поступлений начинается с нуля и растет по мере роста сбыта. Крутизна наклона кривой валовых поступлений зависит от цены продукции, работ, услуг. Чем выше цена, тем меньше необходимо реализовывать продукции, работ, услуг для достижения точки безубыточности. Проблема только в том, нужны ли потребителям предприятия его продукция, работы, услуги по такой цене, т.е. будет ли обеспечен сбыт. Сложность подхода не в расчете издержек, а в необходимости учета зависимости реального спроса от цены.

При таком методе ценообразования предприятию необходимо рассматривать график для различных вариантов цен, их влияние на объем сбыта, необходимый для преодоления безубыточности и получения желаемой целевой прибыли, а также вероятность практической реализации рассматриваемых цен и объемов сбыта.

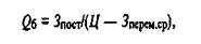
Аналитически точка безубыточности или нулевого дохода определяется формулой [16, с.160]:


где Qб - объем сбыта, обеспечивающий безубыточность; 3пост - постоянные затраты, руб.; Зперем. ср - удельные переменные затраты на единицу продукции, работ, услуг, руб./ед.; Ц - планируемая цена реализации продукции, работ, услуг, руб./ед.

Маркетологам важно сделать правильный прогноз времени достижения точки безубыточности.

После нахождения точки безубыточности определяется планируемый объем сбыта. При определении желаемого объема производства и сбыта исходят из прибыли, необходимой предприятию. На достижение точки безубыточности может быть потрачено для новых продукции, работ, услуг несколько лет, а на достижение намеченного объема целевой прибыли, еще более долгий срок. Поэтому иногда расчет ведут в обратном направлении исходя из цены, обеспечивающей возврат вложенных средств в долгосрочном периоде и основывающейся на ожидаемых объемах сбыта и издержках. Достоинства метода:

взвешенный, продуманный подход к оценке всех затрат при различных программах выпуска;

обосновывается прибыль, необходимая для обеспечения жизнедеятельности предприятия и оплаты всех затрат.

Недостатки:

использование для обоснования цены объема реализации продукции, работ, услуг, который в свою очередь зависит от цены;

отсутствие практических данных о реальной зависимости между ценой и спросом; в результате прогнозируемая цена может оказаться слишком высокой или слишком низкой.

. Установление цены посредством конкурентных торгов. Метод применяется при борьбе предприятия за подряды в ходе торгов, когда важным параметром для принятия решения по ценам служат ожидаемые ценовые предложения конкурентов. Для завоевания контракта предприятию необходимо запросить цену ниже, чем у других конкурентов. Но, чтобы не наносить себе ущерб, эта цена не может быть ниже себестоимости, а насколько выше - это часто зависит от конкретной обстановки на предприятии.

Конкурентные торги могут быть закрытыми и договорными.

При закрытых торгах контракт достается предприятию, предлагающему самую низкую цену. Но каждый из участников торгов не узнает цену других, пока не назовет свою цену (метод "запечатанного конверта"). Многим государственным и муниципальным организациям, реализующим крупные проекты и заказы, рекомендуется использовать закрытые торги, способствующие снижению затрат на реализацию контракта (производство работ, закупки продовольствия, канцтоваров и хозтоваров, оснащение инвентарем и мебелью и др.).

При договорных торгах, также проводимых для снижения цены, переговоры могут проводиться даже с двумя предприятиями-конкурентами для выбора предлагающих самую низкую цену. Такие торги проводятся чаще для частных, чем для государственных предприятий.

. Установление цены на основе ощущаемой ценности товара. При использовании этого метода ценообразования основным фактором принимаются не издержки производителя или продавца, а покупательское восприятие предлагаемых продукции, работ, услуг. Это ценообразование наиболее трудно.

Выявлено, что в различных заведениях и местах идентичные продукции, работа, услуги имеют разную цену. Здесь главная задача для предпринимателя заключается в выявлении ценностных представлений потребителя о предлагаемых продукции, работах, услугах.

Ценность продукции, работ, услуг выражается по-разному различными рыночными сегментами. Нередко фактором, влияющим на значимость для покупателя, выступает сама цена, трактуемая им как оценка продавцом значимости продукции, работ, услуг. Важным фактором при установлении значимости является возможность выбора продукции, работ, услуг, доступных потенциальному покупателю.

. Определение цены на основе уровня текущих цен. В этом случае фирма в первую очередь ориентируется на цены конкурентов и только потом на собственные издержки и спрос. Этот метод отличается популярностью. В какой-то степени его учитывают даже в том случае, когда за базу принят другой метод ценообразования. В зависимости от уровня текущих цен цены на продукцию, работы, услуги могут назначаться на уровне, выше или ниже уровня цен основных конкурентов.

На олигополистических рынках олигополисты обычно запрашивают за аналогичные продукции, работы, услуги одну и ту же цену, а более мелкие производители "следуют за лидером" повторяя его цены или изменяя их не в зависимости от колебаний спроса и собственных издержек, а при корректировке цен лидером-олигополистом.

3.3 Установление окончательной цены

После того, как на предприятии добротно поработали над предыдущими пятью этапами назначения цены, необходимо рассмотреть ряд дополнительных соображений, попытаться их учесть и "сыграть" на них.. Кроме экономических факторов, надо постараться учесть психологические факторы, такие как психология ценовосприятия [6, с.264].

. Многие потребители смотрят на цену как на показатель качества - чем выше цена, тем выше качество. Они склонны считать, что дешевые продукции, работы, услуги не могут быть качественными. Связь между ценой и качеством срабатывает как психологический фактор. Высокая цена укрепляет имидж торговой марки в отношении качества. Повышение цены на новую категорию продукции, работ, услуг служит гарантом более высокого качества.

Установление окончательной цены с учетом престижности продукции, работ, услуг особенно эффективно срабатывает применительно к дорогим товарам, уникальным технологиям и услугам (дорогим автомобилям, одежде известнейших фирм, элитным местам отдыха и др.). Здесь повышению спроса способствуют такие психологические факторы как "эффект подражания", "эффект снобизма".

У состоятельных людей престижностью должно отличаться все, что их окружает и свидетельствует о принадлежности к элитарной группе. Непомерные суммы, которыми расплачиваются за престижные продукции, работы, услуги, и есть гарантия их исключительности.

.Стратегия неокругленных сумм также больше основана на психологии ценовосприятия, чем на экономике. . Предполагаемую окончательную цену необходимо проверить на соответствие установкам практикуемой политики цен, чтобы предприятие со своим повышением или понижением цен не смотрелось "белой вороной".. Руководство фирмы должно учитывать и попытаться спрогнозировать реакцию на предполагаемую окончательную цену со стороны других участников рыночной деятельности - поставщиков, потребителей, конкурентов, посредников, а также государственных органов. Здесь же, на этапе установления окончательной цены, предприятию необходимо определиться со своей системой скидок с цены при реализации ПРУ и разработать механизм изменения цены по ходу жизненного цикла товара.

Так, первоначальную цену устанавливает часто сам производитель и здесь обычной интуиции и опыта бывает недостаточно - необходимы глубокие знания современных подходов ко всему комплексу вопросов ценообразования. Не только студенты, но и практические работники предприятий и фирм часто не имеют необходимой профессиональной подготовки в вопросах ценообразования, разработки и определения ценовой стратегии предприятия. Окончательная цена, как правило, устанавливается и проверяется рынком в ходе переговоров между покупателем и продавцом. Продавцы при этом обычно запрашивают цену выше той, которую рассчитывали получить, а покупатели - ниже той, которую собирались заплатить. В ходе взаимных торгов под воздействием рыночных и нерыночных факторов и устанавливается окончательный взаимоприемлемый уровень цен. Если список потребителей начинает расти слишком быстро, это должно настораживать, не слишком ли занижены цены.

Здесь выделяются следующие функции цены: функция учета, функция стимулирования, функция сбалансирования спроса и предложения, распределительная функция, функция цены как средства рационального размещения производства

Цены, действующие в экономике, взаимосвязаны и образуют систему, состоящую из отдельных блоков цен, взаимосвязанных и взаимодействующих между собой. Взаимосвязь цен осуществляется как бы по принципу сообщающихся сосудов - изменение цен в одном из основных блоков быстро приводит к изменению цен в других блоках. Так, изменение цен на топливно-энергетические ресурсы, например на горючесмазочные материалы, быстро отражается на тарифах автотранспортных предприятий и, в конечном счете, на всех потребителях автотранспортных услуг, вынуждая и их изменять свои цены. Так, ценовая система - это единая упорядоченная совокупность различных видов цен, обслуживающих и регулирующих экономические отношения между различными участниками национального и мирового рынков.

Различают следующую классификацию цен: 1. По отраслям и сферам экономики различают: оптовые цены; розничные цены; тарифы грузового и пассажирского транспорта; цены на строительную продукцию; закупочные цены; тарифы на оказываемые населению платные услуги; цены, обслуживающие внешнеторговый оборот; скидки, надбавки, наценки в сфере обращения. 2. В зависимости от территории действия цены различают: единые по стране, или поясные; региональные (зональные, местные). 3. По степени свободы цен от воздействия государства при их определении различают цены свободные, регулируемые, фиксированные. 4. В зависимости от степени новизны товара для рынка предусматриваются методы установления цен: на новые товары; на товары, реализуемые на рынке относительно продолжительное время. 5. По степени влияния различных факторов на уровень устанавливаемой цены фирмы ранжируют их в такой последовательности: себестоимость, издержки производства; цены-тарифы конкурентов; величина спроса на продукции, работы, услуги; транспортные издержки; надбавки и скидки в пользу посредника или клиента; ввозные пошлины и иные сборы; затраты на рекламу и другие элементы стимулирования сбыта.

Предприятиям необходимо иметь упорядоченную методику установления цен-тарифов на свои продукции, работы, услуги, состоящую из последовательно реализуемых этапов. В развернутом виде методика расчета исходной цены состоит из шести этапов: постановка целей ценообразования; определение спроса на свои продукции, работы, услуги; оценка издержек производства; анализ цен и продукции, работ, услуг конкурентов; выбор метода ценообразования; определение окончательной цены продукции, работ, услуг.

Заключение

Таким образом, рассмотрев данную тематику, можно сделать определенные выводы.

Основным принципом рационального ведения рыночного хозяйства является быстрый, надежный, полный, точный и постоянный учет трудовых и материальных ресурсов с использованием цен. Поэтому механизм ценообразования имеет важнейшее значение для выполнения функций управления экономикой. Это обусловлено тем, что цена отражает взаимосвязь процесса производства с общественным и индивидуальным потреблением. Чем точнее и оперативнее цены отражают затраты трудовых и материальных ресурсов на производство товаров, тем эффективнее будет регулирующее воздействие механизма ценообразования на протекание экономических процессов и тем меньше потребуется затрат на управление экономикой.

Цена является важным рыночным индикатором пропорциональности развития спроса и предложения и служит исходным моментом в планировании всей финансовой деятельности предприятия. Установленные цены - ключ к настоящей и будущей рентабельности предприятия. Роль цены постоянно возрастает.

Важной задачей любого предприятия является не продажа единицы продукции, работ, услуг по высокой цене, а их реализация в широком диапазоне предлагаемой номенклатуры и интересующем предприятие объеме по цене, доступной для клиента и достаточной для предприятия для организации расширенного воспроизводства продукции, работ, услуг.

Цены, тарифы, тарифная политика из-за важности и значимости должны быть постоянно в поле зрения первого руководителя предприятия, так как ценовые решения оказывают огромное влияние на кратко- и долгосрочную прибыльность предприятия. Поэтому разработку ценовой политики относят к компетенции высших должностных лиц предприятия.

Список литературы

Рисунок 1 - Ценовая система[6, с.59]

Приложение 2

Рисунок 2 - Составные части оптовой цены предприятия [6, с.59]

Приложение 3

цена установление спрос издержка

Рисунок 3 - Составные части оптовой (отпускной) цены промышленности [6, с.59]

Приложение 4

Рисунок 4 - Составные части розничной цены [6, с.59]

Приложение 5

Рисунок 5 - Факторы установления цены последовательности[11, с.27]

Приложение 6

Рисунок 6 - Система ценовых стратегий [8, с.182]

Приложение 7

Таблица 1 - Взаимосвязь целей фирмы, характеристик покупателей и стратегий ценообразования [10, с.192]

Приложение 8

Рисунок 7 - Кривая спроса для обычных (а) и престижных (б) товаров [16, с.136]

Приложение 9

Рисунок 8 - Изменение кривой спроса при систематическом снижении цены [16, с.138]

Приложение 10

Рисунок 9 - Сдвиг кривой спроса под влиянием неценовых факторов [16, с.142)

Приложение 11

Таблица 2 - Баланс выживания, баллы [15,с.188]

Продукция (товары)

Товарообеспечение

Степень спроса

Прибыльность

Сводный показатель (гр. 1 + гр.2 + гр. 3)

Балки и швеллеры

3

3

2

8

Катанка

3

3

3

9

Заготовка для переката

3

2

2

7

Двигатели

4

3

3

10

Приложение 12

Рисунок 10 - Основные виды методов ценообразования [11, с.175]

Приложение 13

Таблица 3 - Параметрические методы ценообразования [11, с.179]

Приложение 14

Рисунок 11 - График безубыточности для определения целевой цены продукции, работ, услуг [16, с.159]

Похожие работы на - Концепции ценообразования

 

Не нашли материал для своей работы?
Поможем написать уникальную работу
Без плагиата!
Без нейросетей!