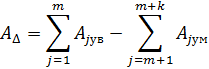
Построение размерной цепи
Оглавление
.
Исходные данные
.
Построение размерной цепи
.
Решение линейной размерной цепи, обеспечивающее при сборке изделия полную
взаимозаменяемость его собираемых составных частей
.
Решение линейной размерной цепи, обеспечивающее при сборке изделия неполную
взаимозаменяемость его собираемых составных частей
.
Сравнение результатов решений линейной размерной цепи, обеспечивающих при
сборке изделия полную взаимозаменяемость его собираемых составных частей и их
неполную взаимозаменяемость при оцененном значении риска
1. Исходные данные
Рис.1
На фрагменте сборочного чертежа (Рис. 1) представлен
ступенчатый вал, установленный в корпусе на радиально-упорных роликовых
конических подшипниках враспор. Сборочным параметром, согласно рисунку,
является зазор между торцами наружного кольца подшипника и крышки - AΔ.
Известно:
· AΔ=0,20…0,85 мм; для удобства расчета
примем: АΔ=
мм
· заданные предельные значения размера AΔ: AΔзад min= 0,3 мм, AΔ зад max= 1,1 мм;
· заданный допуск размера AΔ: TAΔ зад= 0,8 мм=800 мкм
линейная размерная цепь взаимозаменяемость
2. Построение размерной цепи
По сборочному чертежу выявлены составляющие звенья,
ответственные за точность замыкающего звена AΔ. Каждому составляющему звену присвоен индекс. Общее число
составляющих звеньев:n= 6.
На
эскизе сборочного чертежа показаны размеры замыкающего звена и деталей,
являющихся составляющими звеньями заданной размерой цепи:
Рис.2
Эскизы деталей, размеры которых являются составляющими
звеньями:

Рис. 3 Рис. 4

Рис. 5 Рис. 6
Рис. 7
Рис. 8
Представлены размеры:
· A1 - ширина подшипника;
· A2 -размер между
поверхностями шлицевого вала;
· A3 -ширина подшипника;
· A4 -высота буртика крышки;
· A5 -размер корпуса;
· A6 -высота буртика крышки;
Радиально-упорные подшипники А1 и А3-парные
детали и имеют соответственно равные размеры.
Схема рассматриваемой размерной цепи:
Рис.9
С учетом конструкторских соображений назначены номинальные
размеры составляющих звеньев:
· A1 =30 мм;
· A2 =240 мм;
· A3 =30 мм;
· A4=10мм;
· A5= 320мм;
· A6=10мм;
Для принятых номинальных значений составляющих звеньев должно
выполняться равенство:

и 
- номинальные значения j-го
увеличивающего и j-го уменьшающего звена соответственно;
m - число увеличивающих звеньев;
k - число уменьшающих звеньев.
Записываем всю принятую условную информацию о размерной цепи:
· номинальные значения всех составляющих
звеньев:
A1 =30мм; A2 = 240мм; A3
=30мм; A4
= 10мм; A5
=320мм;A6
=10мм
· предельные отклонения составляющих
звеньев:
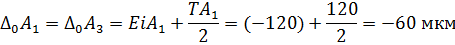
A1 =30мм: Es = 0мкм; Ei = −120мкм.3
=30мм: Es = 0 мкм; Ei = −120мкм.
· размер замыкающего звена:
AΔ = 0 мм: Es = +1100 мкм; Ei= +300 мкм.
Увеличивающие звенья: A5 = 320 мм.
Уменьшающиезвенья: A1 = 30мм; A2 = 240мм; A3 = 30 мм; A4 = 10мм;
A6 = 10мм;
Составляющее звено - А2 выбрано в качестве
согласующего звена.
. Решение линейной размерной цепи, обеспечивающее при сборке
изделия полную взаимозаменяемость его собираемых составных частей.
Размерная цепь решается методом максимума-минимума.
Решение размерной цепи методом максимума-минимума способом
равных допусков. Вычисляем среднее значение допуска TAjср составляющих звеньев,
допуски которых не заданы.

- сумма заданных допусков составляющих звеньев;

- общее число составляющих звеньев;

- число составляющих звеньев, допуски которых заданы.
Примем 
равным140 мкм.
Для всех рассчитываемых составляющих звеньев допуски назначаем
равными вычисленному значению 
.

140 мкм.
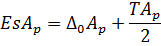
Допуск согласующего звена вычисляем по выражению:

- согласующее звено с порядковым номером p;

- сумма допусков всех рассчитываемых составляющих звеньев без
учета допуска согласующего звена.
Схема расположения заданного поля допуска замыкающего звена:
Рис. 10
Схемы
расположения полей допусков всех звеньев (кроме согласующего звена). Поля
допусков для звеньев A1, A3, A5назначим как для основного вала, так как эти
звенья охватываемые; для прочих размеровA4,A6симметрично относительно
номинала.

A1A3
Рис. 11Рис. 12

A4A5
Рис. 13Рис.14
6
Рис. 15
Определение координат середин полей допусков всех звеньев:
Координата середины поля допускабудетопределятся по формуле:

- координата середины поля допуска j-го звена

- нижнее предельное отклонение j-го звена

- значение поля допуска j-го
звена
Запись соотношения, связывающего координаты середин полей
допусков замыкающего и составляющих звеньев.
В общем виде соотношение имеет вид:

- координата середины поля допуска замыкающего звена;

и 
- координаты середин полей допусков j-го увеличивающего и j-го
уменьшающего звена соответственно.
Подставляя в уравнение числовые значения координат середины
заданного поля допуска замыкающего звена и числовые значения координат середин
полей допусков всех составляющих звеньев (кроме согласующего звена), вычисляем
значение координаты середины поля допуска согласующего звена 
.
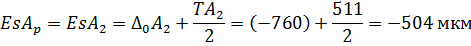
Вычисление предельных отклонений согласующего звена согласно
выражениям:
Построение схемы расположения поля допуска согласующего
звена, с указанием на ней координаты середины его поля допуска.
А2
Рис.16
Проверка выполнения условия взаимозаменяемости. При сборке
методом полной взаимозаменяемости должно соблюдаться условие:
120+140+120+140+140+140=800 мкм
Проверка выдерживания замыкающего звена в заданном
диапазоне:) Вычисление возможных значений предельных отклонений замыкающего
звена по выражениям:

и 
- возможные значения верхнего и нижнего отклонений замыкающего
звена соответственно;

и 
- принятые верхнее и нижнее отклонения Aj-го увеличивающего звена;

и 
- принятые верхнее и нижнее отклонения Aj-го уменьшающего звена.
б) Построение схемы расположения поля допуска возможных
значений замыкающего звенаAΔ, предельные отклонения
которого вычислены только что в предыдущем пункте.
Рис. 17
в) Вычисленные возможные значения предельных отклонений
замыкающего звена не выходят за пределы заданных значений.
Запись окончательно принятых размеров всех составляющих
звеньев размерной цепи.
Решение размерной цепи методом максимума-минимума способом
назначения допусков одного квалитета.
Вычисление среднего значения числа единиц допуска аm, содержащееся в допусках
рассчитываемых составляющих звеньев.

- сумма заданных допусков составляющих звеньев. Число таких
звеньев 
;

- сумма единиц допусков составляющих звеньев, допуски которых
вычисляются. Число таких составляющих звеньев: 
.

- среднегеометрическое крайних значений каждого интервала
номинальных размеров.

: Размерный интервал от 180 до 250.

: Размерный интервал от 10 до 18.

: Размерный интервал от 315 до 400.
По ГОСТ 25346-82 устанавливаем, что полученное выше числовое
значение аm находится в интервале между 10 и
11квалитетами.
Для всех составляющих звеньев, допуски которых вычисляются (кроме
согласующего звена), назначаем допуски: для звеньев А4, А5,
А6назначаем допуски по 10-ому квалитету.

мкм

мкм
Вычисление допуска согласующего звена по выражению:

- сумма допусков всех составляющих звеньев без допуска
согласующего звена.
Схема расположения заданного поля допуска замыкающего звена
:
Рис.18
Схемы расположения полей допусков всех звеньев (кроме
согласующего звена). Поля допусков для звеньев A1, A3, A5назначим как для
основного вала, так как эти звенья охватываемые; для прочих размеров A4,A6симметрично относительно
номинала.

A1A3
Рис. 19Рис. 20

A4A5
Рис.21 Рис. 22
6
Рис.23
Определение координаты середин полей допусков всех звеньев:
Координата середины поля допуска будет определятся по формуле:

- координата середины поля допуска j-го звена

- нижне предельное отклонение j-го звена

- значение поля допуска j-го
звена
Запись соотношения, связывающего координаты середин полей допусков
замыкающего и составляющих звеньев.
В общем виде соотношение имеет вид:

- координата середины поля допуска замыкающего звена;

и 
- координаты середин полей допусков j-го увеличивающего и j-го
уменьшающего звена соответственно.
Подставляя в уравнение числовые значения координат середины
заданного поля допуска замыкающего звена и числовые значения координат середин
полей допусков всех составляющих звеньев (кроме согласующего звена), вычисляем
значение координаты середины поля допуска согласующего звена 
.
Вычисление предельных отклонений согласующего звена согласно
выражениям:
Построение схемы расположения поля допуска согласующего звена, с
указанием на ней координаты середины его поля допуска.
А2
Рис. 24
Проверка выполнения условия полной взаимозаменяемости. При сборке
методом полной взаимозаменяемости должно соблюдаться условие:
+190+120+70+230+70=800 мкм
Проверка выдерживания замыкающего звена в заданном диапазоне.
a) Вычисление возможных значений предельных отклонений
замыкающего звена по выражениям
б) Построение схемы расположения поля допуска возможных
значений замыкающего звенаAΔ, предельные отклонения
которого вычислены только что в предыдущем пункте.
Рис. 25
в) Вычисленные возможные значения предельных отклонений
замыкающего звена не выходят за пределы заданных значений.
Запись окончательно принятых размеров всех составляющих
звеньев размерной цепи:
4. Решение линейной размерной цепи, обеспечивающее при сборке
изделия неполную взаимозаменяемость его собираемых составных частей
Решение размерной цепи теоретико-вероятностным методом
способом равных допусков.
Поскольку законы действительных размеров составляющих звеньев
неизвестны, то принимаем (что обычно в проектных условиях и делают), что эти
распределения для всех составляющих звеньев одинаковы и близки к закону
Симпсона (закону треугольника). Поэтому коэффициент относительного рассеивания Kj для всех составляющих
звеньев принимается одинаковым и равным 1,2 (Kj = 1,2).
При числе составляющих звеньев 
закон распределения действительных размеров замыкающего в
пределах его поля допуска близок к нормальному. Поэтому для такого замыкающего
звена коэффициент относительного рассеивания принимается равным 1.
KΔ = 1
При 
распределение действительных размеров замыкающего звена в
пределах его поля допуска отличается от нормального. В этом случае значение
коэффициента можно подсчитать по эмпирической формуле, имеющей вид:
Этой формулой пользуются в проектных условиях, когда (как было
показано выше) для всех составляющих звеньев принимаются одинаковые значения Kj, равные 1,2.
Передаточное отношение ξj вводится для звеньев, образующих угловые
размерные цепи, а также для звеньев с векторными погрешностями. Для звеньев,
образующих линейную размерную цепь: ξj =1.
Среднее значение допуска ТАjср
составляющих звеньев (допуски которых вычисляются) определяем из соотношения:

- принимаем равным 1,2;

- принимается равным 1, так как общее число составляющих звеньев
составляет 6;

- квадратичное суммирование заданных допусков составляющих
звеньев;

- число составляющих звеньев, допуски которых заданы.
Из отношения получаем:
Примем
.
Для всех рассчитываемых составляющих звеньев допуски назначаем
равными вычисленному значению 
.

322 мкм.
Вычисление допуска согласующего звена по выражению:

- квадратичное суммирование заданных допусков составляющих
звеньев. 
- число составляющих звеньев, допуски которых заданы. 
- указывает на то, что квадратичное сложение назначенных допусков
производится без учета согласующего звена.
Примем предельные значения у симметричных допусков целыми
значениями, что приведет к уменьшению их допуска на 1 мкм (это не будет
существенно влиять, так как допуск большой).
Принимаем 
Схема расположения заданного поля допуска замыкающего звена:
Рис. 26
Схемы расположения полей допусков всех звеньев (кроме
согласующего звена). Поля допусков для звеньев A1, A3, A5назначим как для
основного вала, так как эти звенья охватываемые; для прочих размеров A4,A6симметрично относительно
номинала.

1A3
Рис.27 Рис.28

A4A5
Рис.29 Рис.30
A6
Рис.31
Определение координаты середин полей допусков всех звеньев:
Координата середины поля допуска будет определяться по
формуле:

- координата середины поля допуска j-го звена

- нижне предельное отклонение j-го звена

- значение поля допуска j-го
звена
Запись соотношения, связывающего координаты середин полей допусков
замыкающего и составляющих звеньев.

+0+0
Вычисление предельных отклонений согласующего звена согласно
выражениям:
Построение схемы расположения поля допуска согласующего звена, с
указанием на ней координаты середины его поля допуска.
А2
Рис.32
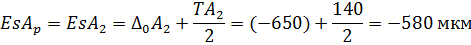
Процент риска при сборке т. е. процент выхода ожидаемых значений
замыкающего звена (при сборке рассматриваемой сборочной единицы) за пределы его
заданного поля допуска, будет равен 0,27%, т.к
принимается равным 1.
Проверим выполнение условия неполной взаимозаменяемости при
оцененном проценте риска. Таким условием является выполнение соотношения:
Проверка, обеспечения в процессе сборки при оцененном выше
проценте риска выдерживания замыкающего звена в заданном диапазоне.
a) Вычисление ожидаемого значения координаты середины
поля допуска замыкающего звена)
б) Вычисление возможных значений предельных отклонений
замыкающего звена
в) Построение схемы расположения поля допуска возможных
значений замыкающего звенаAΔ
Рис.33
г) Вычисленные возможные значения предельных отклонений
замыкающего звена не выходят за пределы заданных значений.
Запись окончательно принятых размеров всех составляющих
звеньев размерной цепи.
Решение размерной цепи теоретико-вероятностным методом способом
назначения допусков одного квалитета. Среднее значение единиц допуска 
, одинаковое для допусков всех составляющих звеньев (кроме
составляющих звеньев, допуски которых заданы).

- квадратичное суммирование заданных допусков составляющих
звеньев. Число таких звеньев: 

- квадратичное суммирование единиц допусков составляющих звеньев,
допуски которых вычисляются. Число таких составляющих звеньев: 
Выражение получено из соотношения:
С использованием замены:
Окончательно выражение для определения 
примет вид:

- единица допуска 
для каждого составляющего звена, подсчитываемая по формуле:

- среднегеометрическое крайних значений каждого интервала
номинальных размеров.

: Размерный интервал от 180 до 250.

: Размерный интервал от 10 до 18.

: Размерный интервал от 315 до 400.


- принимается равным 1.
По ГОСТ 25346-82 устанавливается, что полученное выше числовое
значение аm находится в интервале между 11 и 12
квалитетами.
Принимаем ближайший квалитет 11-й. Для всех составляющих звеньев,
допуски которых вычисляются (кроме согласующего звена) назначаем допуски,
соответствующие принятому квалитету:

мкм

мкм
Вычисление допуска согласующего звена:

- квадратичное суммирование по всем составляющим звеньям (кроме
согласующего звена), включая и заданные допуски и назначенные допуски звеньев.
Принимаем 
.
Схема расположения заданного поля допуска замыкающего звена:
Рис.34
Схемы расположения полей допусков всех звеньев (кроме
согласующего звена). Поля допусков для звеньев A1,A3, A5назначим как для
основного вала, так как эти звенья охватываемые; для прочих размеровA4,A6симметрично относительно
номинала.

A1A3
Рис.35 Рис.36

4A5
Рис.37 Рис.38
A6
Рис.39
Определение координаты середин полей допусков всех звеньев:
Координата середины поля допуска будет определятся по формуле:

- координата середины поля допуска j-го звена

- нижне предельное отклонение j-го звена

- значение поля допуска j-го
звена
Запись соотношения, связывающего координаты середин полей допусков
замыкающего и составляющих звеньев.
Вычисление предельных отклонений согласующего звена согласно
выражениям:
Построение схемы расположения поля допуска согласующего звена, с
указанием на ней координаты середины его поля допуска.
А2
Рис. 40
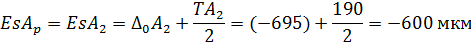
Процент риска при сборке т. е. процент выхода ожидаемых значений
замыкающего звена (при сборке рассматриваемой сборочной единицы) за пределы его
заданного поля допуска, будет равен 0.27%, т.к. 
принимается равным 1. Проверим выполнение условия неполной
взаимозаменяемости при оцененном проценте риска. Таким условием является
выполнение соотношения:
Проверка, обеспечения в процессе сборки при оцененном выше
проценте риска выдерживания замыкающего звена в заданном диапазоне.
а) Вычисление ожидаемого значения координаты середины поля допуска
замыкающего звена
б) Вычисление возможных значений предельных отклонений замыкающего
звена:
в) Построение схемы расположения поля допуска возможных значений
замыкающего звенаAΔ:
Рис.41
г) Вычисленные возможные значения предельных отклонений
замыкающего звена не выходят за пределы заданных значений.
Запись окончательно принятых размеров всех составляющих звеньев
размерной цепи.
Размеры цепи, мм
5.Сравнение результатов решений линейной
размерной цепи, обеспечивающих при сборке изделия полную взаимозаменяемость его
собираемых составных частей и их неполную взаимозаменяемость при оцененном
значении процента рискаPриска.
Результаты расчетов (размеры составляющих звеньев при 
.
Таблица 1
|
Составляющие
звенья Аj
|
Расчет методом
максимума минимума
|
Расчет
вероятностным методом
|
|
способом равных
допусков
|
способом
назначения допусков одного квалитета
|
способом равных
допусков
|
способом
назначения допусков одного квалитета
|
|
A1
|
|
|
|
|
|
A2
|
|
|
|
|
|
A3
|
|
|
|
|
|
A4
|
|
|
|
|
|
A5
|
|
|
|
|
|
A6
|
|
|
|
|
Сравнение допусков (в мкм) составляющих звеньев.
Таблица 2
|
Составляющие
звенья Аj
|
Расчет методом
максимума минимума
|
Расчет
вероятностным методом
|
|
способом равных
допусков
|
способом
назначения допусков одного квалитета
|
способом равных
допусков
|
во сколько раз
увеличился допуск
|
способом
назначения допусков одного квалитета
|
во сколько раз
увеличился допуск
|
|
ТA1
|
120
|
120
|
120
|
-
|
120
|
-
|
|
ТA2
|
140
|
190
|
323
|
2,31
|
511
|
2,69
|
|
ТA3
|
120
|
120
|
120
|
-
|
120
|
-
|
|
ТA4
|
140
|
70
|
322
|
2,3
|
110
|
2,93
|
|
ТA5
|
140
|
230
|
322
|
2,3
|
360
|
1,56
|
|
ТA6
|
140
|
70
|
322
|
2,3
|
110
|
2,93
|