Розробка локальної інформаційно-комунікаційної мережі
ДЕРЖАВНИЙ
УНІВЕРСИТЕТ ІНФОРМАЦІЙНО-КОМУНІКАЦІЙНИХ ТЕХНОЛОГІЙ
Курсова
робота
з
навчальної дисципліни
«Інформаційні
та комунікаційні системи»
на
тему
«Розробка
локальної інформаційно-комунікаційної мережі»
студента 3 курсу, групи
спеціальності «Захист інформації в
комп’ютерних системах та мережах »
Київ
- 2012
Завдання на курсовий проект
Курсовий проект полягає в розробці локальної
інформаційно-комунікаційної мережі. Вона повинна бути побудована на основі
заданої модифікації мережних технологій Ethernet та об’єднання будівель за
допомогою бездротового зв’язку. Структура комп’ютерної мережі, вживані кабелі,
комунікаційне і інше обладнання і всі бракуючі параметри вибираються самим
студентом.
Початкові дані:
Локальна комп’ютерна мережа повинна
об’єднати комп’ютери встановлені в будівлях 3 і 5. Будівля 3: розмір 24х18м,
етажність 2. Будівля 5: розмір 80х64м, етажність 10. Висота поверху 3м.
Відстань між будинками 3 і 5: 480м +
370м = 850м.
Задана модифікація (стандарт)
мережної технології -1000Base-T.
На 1 та 2 поверсі 3 будівлі по 12
хостів.
На 9 та 10 поверсі 5 будівлі по 32
хостів.
Швидкість передачі даних у
бездротовій мережі - 48 Мбіт/с.
Канал передачі даних у бездротовій
мережі - 2.
Зміст
1.
Вступ
.
Основна частина
.1
Вибір розміру мережі та її структури
.2
Огляд і аналіз комп’ютерних мереж, використаних в курсовій роботі
.
Реалізація проекту
3.1
Побудова мережі і розрахунок вартості
3.2
Недоліки мережі, побудованої на основі заданої модифікації мережної технології,
рекомендації по їх усуненню
.3
Розрахунки, підтверджуючі коректність побудови комп’ютерної мережі
Висновок
Література
Графічна
частина. (Схеми)
1. Вступ
Метою роботи є створення локальної
інформаційно-комунікаційної мережі.
Для того щоб спроектувати і
встановити комп’ютерну мережу, в першу чергу потрібно визначити, скільки людей
буде працювати в мережі. Від цього рішення, по суті, і будуть залежати всі
наступні етапи створення мережі. По початковим даним стає зрозумілим що потрібно
побудувати мережу в 3-му будинку для 24 користувачів, в 5-му будинку для 64
користувачів. Іншим фактором який часто не враховується при проектуванні, є
ієрархія компанії. Для фірми з горизонтальною структурою, де всі співробітники
повинні мати доступ даних один до одного, оптимальним рішенням є проста
однорангова мережа. Але при цьому варто зважити всі її недоліки і переваги.
Фірмі, побудований за принципом вертикальної структури, у якій точно відомо,
який співробітник і до якої інформації повинний мати доступ, варто
орієнтуватися на більш дорогий варіант мережі - з виділеним сервером. Тільки в
такій мережі існує можливість адміністрування прав доступу. В цій курсовій
використовуються проста однорангова мережа. Одним з головних етапів планування
мережі є створення попередньої схеми. При цьому в залежності від типу мережі,
труднощі, з якими доведеться зіштовхнутися, будуть різні. Найбільш очевидна і
загальна з них це обмеження довжини кабельного сегмента. Це може бути несуттєво
для невеликого офісу, однак якщо мережа охоплює кілька поверхів будинку,
проблема з'являється. План приміщення впливає на вибір топології мережі значно
сильніше, ніж це може здатися на перший погляд.
Мережа Gigabit Ethernet - це
природний, еволюційний шлях розвитку концепції, закладеної в стандартній мережі
Ethernet. Безумовно, вона успадковує й всі недоліки своїх прямих попередників,
наприклад, негарантований час доступу до мережі. Однак величезна пропускна
здатність приводить до того, що завантажити мережу до тих рівнів, коли цей фактор
стає визначальним, досить важко. Зате збереження наступності дозволяє досить
просто з'єднувати сегменти Ethernet, Fast Ethernet й Gigabit Ethernet у мережу,
і, саме головне, переходити до нових швидкостей поступово, уводячи гігабітні
сегменти тільки на самих напружених ділянках мережі. До того ж далеко не скрізь
така висока пропускна здатність дійсно необхідна. У мережі Gigabit Ethernet
зберігається метод доступу CSMA/CD, використовуються ті ж формати пакетів
(кадрів) і ті ж їхні розміри. Не потрібно ніякого перетворення протоколів у
місцях з'єднання із сегментами Ethernet й Fast Ethernet.
Єдине, що потрібно, - це узгодження
швидкостей обміну, тому головною областю застосування Gigabit Ethernet стане в
першу чергу з'єднання концентраторів Ethernet й Fast Ethernet між собою.
З появою швидкодіючихих серверів і
поширенням персональних комп'ютерів класу "high-end" переваги Gigabit
Ethernet стають усе більш явними. Так, 64-розрядна системна магістраль PCI, уже
фактичний стандарт, цілком досягає необхідної для такої мережі швидкості
передачі даних.
Роботи зі створення мережі Gigabit
Ethernet ведуться з 1995 року. В 1998 році прийнятий стандарт, що одержав
найменування IEEE 802.3z (1000BASE-SX, 1000BASE-LX й 1000BASE-CX). Розробкою
займається спеціально створений альянс (Gigabit Ethernet Alliance), у який,
зокрема, входить така відома компанія, що займається мережними апаратурами, як
3Com. В 1999 році прийнятий стандарт IEEE 802.3ab (1000BASE-T).Номенклатура
сегментів мережі Gigabit Ethernet у цей час містить у собі наступні типи:
BASE-SX - сегмент на мультимодовому
оптоволоконому кабелі з довжиною хвилі світлового сигналу 850 нм (довжиною до
500 метрів). Використовуються лазерні передавачі.
BASE-LX - сегмент на мультимодовому
(довжиною до 500 метрів) і одномодовому (довжиною до 2000 метрів)
оптоволоконому кабелі з довжиною хвилі світлового сигналу 1300 нм.
Використовуються лазерні передавачі.
BASE-CX - сегмент на екранованій
крученій парі (довжиною до 25 метрів).
BASE-T (стандарт IEEE 802.3ab) -
сегмент на зчетвереній неекранованій крученій парі категорії 5 (довжиною до 100
метрів). Використовується 5-рівневе кодування (PAM-5), причому в
повнодуплексному режимі передача ведеться по кожній парі у двох напрямках.
. Основна частина
Першим етапом проектування мережі
повинен стати аналіз існуючої ситуації і завдань, які вирішуватиме мережа. Має
бути приблизно визначений розмір мережі і її структура.
2.1 Вибір розміру мережі та її
структури
Під розміром мережі в даному випадку
розуміється як кількість об'єднуваних в мережу комп'ютерів, так і відстані між
ними. Потрібно чітко уявляти собі, скільки комп'ютерів (мінімально і
максимально) потребує підключення до мережі. У будь-якому випадку потрібно
залишати можливість для подальшого росту кількості комп'ютерів в мережі, хоч би
відсотків на 20-50.
Необхідна довжина ліній зв'язку
мережі грає не меншу, а іноді і велику роль в проектуванні мережі, чим
кількість комп'ютерів. Наприклад, якщо відстані дуже великі, може знадобитися
використання дуже дорогого або рідкісного устаткування. До того ж зі
збільшенням відстані різко зростає значущість захисту ліній зв'язку від
зовнішніх електромагнітних завад. Від відстані залежить і швидкість передачі
інформації по мережі. Доцільно при виборі відстаней закладати невеликий запас
для різних непередбачених обставин.
Під структурою мережі розуміється
спосіб розділення мережі на частини (сегменти), а також спосіб з'єднання цих
сегментів між собою. Мережа підприємства може включати робочі групи
комп'ютерів, мережі підрозділів, опорні мережі, засоби зв'язку з іншими
мережами. Для об'єднання частин мережі можуть використовуватися повторювачі,
концентратори, комутатори, мости і маршрутизатори. Причому у ряді випадків
вартість цього об'єднувального устаткування може навіть перевищити вартість комп'ютерів,
мережевих адаптерів і кабелю. Тому вибір структури мережі виключно важливий. У
ідеалі структура мережі повинна відповідати структурі будівлі або комплексу
будівель підприємства.
Як і в інших випадках, при виборі
структури доцільно залишати можливості для подальшого розвитку мережі.
Наприклад, краще придбати комутатори або маршрутизатори з кількістю портів,
трохи більшою необхідного зараз. Це дозволить при необхідності легко підключити
в мережу новий сегмент або декілька сегментів. Адже будь-яке підприємство
завжди прагне до росту, і цей ріст не повинен призводити до необхідності
проектувати мережу підприємства наново.
2.2 Огляд і аналіз комп’ютерних
мереж, використаних в курсовій роботі
1000Base-T - електричний інтерфейс
на витій парі (4 пар дротів) категорії 5е (і навіть 5) при обмеженні на довжину
лінії в 100 м. Фізичне кодування - 5-рівень.
Сигнал передається одночасно по
чотирьох парах дротів, причому для повного дуплексу передача ведеться по кожній
парі відразу в обох напрямках. Кінцеві ланцюги виділяють з суміші сигнал
протилежного передавача. Рішення цієї задачі на надвисоких частотах стало
можливим завдяки застосуванню сучасних сигнальних процесорів. Для задоволення
вимогам до середовища передачі рекомендується застосування в кабельній системі
компонентів категорії 5е (розетки, шнури, 4-парні кабелі стаціонарної
проводки). Кількість з’єднань в каналі повинна бути мінімальною. В
телекомунікаційних приміщеннях рекомендується схема безпосереднього
підключення, без кроспанелі. В горизонтальній кабельній системі виключається
з’єднання двох шматків кабелів в одній лінії в точці переходу.
Ці чотири пари кабелю UTP категорії
5 утворюють канал, по якому з швидкістю 1000 Мбіт за секунду дані можуть
передаватися в обох напрямках. Оскільки максимальна допустима швидкість
передачі даних по кабелю UTP категорії 5 складає не більше 125 МГц, канал 1000
Base T повинен забезпечувати передачу 8 біт даних в кожний період зміни сигналу
(8 нс).
Для формування лінійного коду в
технології 1000 Base T використовується метод, який називається 4D-PAM - 5
чотиривимірна амплітудна модуляція з використанням 5 - рівневих символів. Число
вимірювань відповідає кількості пар, які використовуються для передачі даних,
розмірність N кожного символу повинна задовольняти співвідношенню: N4
> 256
Мінімальним значенням N, яке
забезпечує виконання цього співвідношення, є 5 (54 = 625).
Використання службових кодувань фактично знімає необхідність в додатковому
службовому полі кадру - преамбулі, оскільки функція забезпечення взаємної синхронізації
тактових генераторів покладається на поток типу Idle. Крім цього, наявність
додаткових незайнятих кодувань дозволяє використовувати сучасні методи
кодування, які забезпечують знаходження помилок, що виникають при передачі
даних.
Використання одночасного
приймання/передачі даних по всіх парах в кабелі UTP призводить до виникнення
додаткових джерел перешкод, якими в даному випадку є:
Відбитий від неузгодженого
закінчення передаючий сигнал (ECHO)
Сигнали, що передаються по
паралельних каналах (NEXT)
Для забезпечення можливості
відновлення коду, який був спотворений у процесі передачі, в технології
1000BaseT використовуються методи конволюціонного кодування і декодування
(Trellis Code, Viterbi Decoder). При використанні таких методів кодування
значення формованого коду залежить не тільки від віддаваючого символу, але і
від одного, або декількох символів, які були сформовані і передані перед ним.
Таким чином, після отримання невірного кодування, система може не тільки
розпізнати наявність помилки, але і спробувати відновити правильний код,
використовуючи для цього значення вже прийнятих кодувань.
Для того, щоб всі компенсуючі
процедури та компоненти працювали нормально, особливо важлива наявність
взаємної синхронізації між тактовими генераторами взаємодіючих компонентів
мережі 1000 Base T. Причому в даному випадку синхронізація повинна бути
абсолютною і односторонньою - джерелом синхронізуючих імпульсів є тільки один
компонент, який використовує свої імпульси для синхронізації переданого і
прийнятого потоків 1000 Base T, цей компонент називається MASTER. Другий
компонент, який називається SLAVE, використовує зовнішні імпульси, які він
відновлює з прийнятого сигналу для синхронізації свого переданого сигналу.
Узагальнені характеристики
технології 1000 Base T представлені в таблиці: Швидкість передачі даних 1000
Мбіт / сек
|
Тип використовуваного кабеля
|
UTP категории 5е
|
|
Тип використовуваного раз’єму
|
RJ45
|
|
Максимальна довжина сегмента
|
До 100 м
|
|
Тип лінійного кода
|
(скорочено від Worldwide
Interoperabily for Microwave Access) - це технологія безпровідної передачі
даних, розроблена на основі стандарту IEEE 802.16. Ця технологія дозволяє
створювати мережі з радіусом до 70-100 км при роботі однієї точки доступу
(максимальна швидкість до 70 Мбіт/с). В порівняні з технологією Wi-Fi, точка
доступу WiMax створює значно більшу зону стабільного прийому сигналу. Всередині
будинків хости об’єднуються з сервером і мережним обладнанням за допомогою
витої пари кат. 5е .
.16-2005 (відомий також як 802.16d і
мобільний WiMAX). Специфікація затверджена в 2005 році. Це - новий виток
розвитку технології фіксованого доступу (802.16d). Оптимізована для підтримки
мобільних користувачів версія підтримує ряд специфічних функцій, таких як
хендовер, «idle mode» та роумінг. Застосовується масштабований OFDM-доступ
(SOFDMA), можлива робота при наявності або відсутності прямої видимості.
Плановані частотні діапазони для мереж Mobile WiMAX такі: 2,3; 2,5; 3,4-3,8
ГГц. У світі реалізовані кілька пілотних проектів, а нещодавно оператор Sprint
анонсував старт проекту національного масштабу. Конкурентами 802.16e є всі
мобільні технології третього покоління (наприклад, EV-DO, HSXPA).
У загальному вигляді WiMAX мережі
складаються з наступних основних частин - базових і абонентських станцій, а
також обладнання, що зв'язує базові станції між собою, з постачальником
сервісів і з Інтернетом.
Для з'єднання базової станції з
абонентською використовується високочастотний діапазон радіохвиль від 1,5 до 11
ГГц. В ідеальних умовах швидкість обміну даними може досягати 70 Мбіт / с, при
цьому не вимагається забезпечення прямої видимості між базовою станцією і
приймачем.
Як вже говорилося вище, WiMAX
застосовується як для вирішення проблеми «останньої милі», так і для надання
доступу в мережу офісним та районним мережам.
Між базовими станціями
встановлюються з'єднання (прямої видимості), що використовують діапазон частот
від 10 до 66 ГГц, швидкість обміну даними може досягати 120 Мбіт / c. При
цьому, принаймні одна базова станція підключається до мережі провайдера з
використанням класичних дротових з’єднань. Однак, чим більше число БС
підключено до мереж провайдера, тим вища швидкість передачі даних і надійність
мережі в цілому.
Структура мереж сімейства стандартів
IEEE 802.16 схожа із традиційними GSM мережами (базові станції діють на
відстанях до десятків кілометрів, для їх встановлення не обов'язково будувати
вежі - допускається установка на дахах будинків при дотриманні умови прямої
видимості між станціями).
Основна відмінність двох технологій
полягає в тому, що фіксований WiMAX дозволяє обслуговувати тільки «статичних»
абонентів, а мобільний орієнтований на роботу з користувачами, що пересуваються
зі швидкістю до 120 км / год. Мобільність означає наявність функцій роумінгу і
«безшовного» перемикання між базовими станціями при пересуванні абонента (як
відбувається в мережах стільникового зв'язку). У окремих випадках мобільний
WiMAX може застосовуватися і для обслуговування фіксованих користувачів.
3. Реалізація проекту
Кабельна структура визначає час
життя мережі - всі інші компоненти залежать від неї. Для нових і існуючих мереж
кабельна структура (кабельна ділянка) є основою для з'єднання локальної мережі
з глобальною.
Використовуються для витої пари
конектори RJ-45. Їх простіше встановлювати, ніж, наприклад, BNC-роз'єми, вони
більш надійні після декількох підключень/відключень.
Структурована кабельна система
В даний час багато мереж створюються
з використанням ідеології структурованих кабельних систем (структурована
розводка, structured wiring).
Це поняття означає спосіб прокладки
кабелю, при якому він сходиться по горизонталі у вигляді зірки, в центрі якої
знаходиться один або декілька стійкових концентраторів або комутаторів,
розташованих в телекомунікаційних кімнатах або монтажних шафах. Часто стійкові
концентратори або комутатори знаходяться на одному поверсі і розміщуються в
монтажній шафі.
Для реалізації структурованої
кабельної системи необхідні наступні компоненти і умови:
· гнучкий кабель
(наприклад, на основі витої пари);
· розводка у вигляді
фізичної зірки;
· відповідність
стандартам EIA/TIA-568-A і EIA/TIA-568-B на горизонтальну розводку;
· централізоване
підключення кабельної ділянки до стійкових концентраторів або комутаторів;
· наявність
"інтелектуальних здібностей" у концентраторів і комутаторів для
виявлення несправностей у вузлах;
· можливість
ізолювання хостів і серверів в своєму кабельному сегменті;
· наявність
високошвидкісних каналів до хостів і серверів, а також до інших мережних
пристроїв.
Однією з переваг принципу
горизонтальної розводки є те, що вона спрощує проектування, розділяючи кабельну
структуру на окремі модулі (подібно тому, як програміст створює в програмі
підпрограми і зв'язує їх в цілий функціональний модуль).
Вертикальна розводка і структуровані
мережі
Структуровані мережі дозволяють
мережному адміністратору вирішувати наступні задачі:
· централізувати або
розподіляти управління мережею;
· об'єднувати
вертикальні і горизонтальні мережні структури за допомогою високошвидкісної
магістралі;
· перебудовувати
фізичну і логічну топологію мережі;
· сегментувати
мережу, використовуючи модель груп і віртуальні локальні мережі (VLAN);
· забезпечувати
надмірність;
· швидко розширювати
мережу і створювати нові високошвидкісні канали;
· здійснювати
профілактичний моніторинг мережі, а також швидко знаходити і усувати виникаючі
проблеми.
Компоненти вертикальної розводки
структурованої мережі включають кабелі і мережне обладнання, що
використовується між поверхами будівлі і часто фізично зв'язуючи
телекомунікаційні кімнати суміжних поверхів. Вертикальна розводка
використовується як логічна магістраль, до якої підключаються горизонтальні
кабелі всіх поверхів будівлі. При реалізації вертикальної розводки мережі
потрібно керуватися наступними принципами:
· для зв'язку пристроїв
використовуйте розширену зіркоподібну топологію (монтажні шафи, розташовані на
поверхах, іноді можна сполучати в ланцюжок);
· застосовуйте
високошвидкісний кабель, краще всього багатоходове оптоволокно, щоб зменшити
вірогідність перевантаження магістралі і для захисту від радіо- і
електромагнітних перешкод;
· дотримуйте
стандарти EIA/TIA-568-A і EIA/TIA-568-B на вертикальну і магістральну розводку;
· використовуйте
сертифікований висхідний кабель (кабель, придатний для прокладки між поверхами)
для сегментів, що проходять по кабельних каналах і вертикальних шахтах; цей
кабель повинен відповідати стандартам Underwriters Laboratories, Inc. (UL) і
National Electric Code (NEC) на вогнестійкість;
· застосовуйте
вогнестійкі матеріали для захисту відрізків кабелю між поверхами (якщо є більше
двох поверхів або відповідно до стандартів UL і NEC, а також з урахуванням
місцевих будівельних нормативів).
3.1 Побудова мережі і розрахунок
вартості
В середині будинків буде
використовуватися модифікація (стандарт) мережної технології -1000Base-T. Для
зв’язку пристроїв використовується зіркоподібна топологія. Вертикальна розводка
між поверхами робиться за допомогою багатомодового оптоволокна. Застосування
оптоволокна для вертикальної розводки дозволяє підвищити швидкість магістралі
для реалізації високошвидкісних комунікацій, але і захистить магістраль від
радіо- і електромагнітних перешкод. Величина затримки для оптоволоконного
кабеля становить близько 4-5 нс/м. Між будинками буде використовуватись WiMax.
Міжповерхові комутатори приєднуються
до маршрутизатора, який знаходиться на останньому поверсі в спеціальній
кімнаті. В якості маршрутизатора оберемо NETGEAR WNR3500L.
L поєднує велике покриття
бездротової мережі і високу швидкість портів Gigabit Ethernet з доступом до
USB-пристроїв зберігання (ReadyShare). Він оснащений п'ятьма Ethernet-портами
10/100/1000 (один порт WAN і чотири порти LAN) з автоматичним визначенням
швидкості. Він також обладнаний бездротовою точкою доступу 802.11n з режимом
повторювача для збільшення покриття. Три внутрішні антени забезпечують
розширення покриття бездротової мережі і стабільність зв'язку. Крім цього
WNR3500L обладнаний хост-портом USB 2.0 для мережевих запам'ятовуючих
USB-пристроїв і для інших застосувань, включаючи віддалений доступ, підтримку
DLNA / UPnP Media Server і підтримку USB-модемів для високошвидкісних
стільникових мереж 3G/WiMax.
В якості комутатора в будівлі 3
використаємо 4 комутатора D-Link DGS-1210. Цей концентратор з 8 портами.
Можливості продукту:комутатор з 8
портами 10/100/1000Base-T 2 комбо-портами 1000Base-T/Mini GBIC (SFP), функцією
енергозбереження і підтримкою PoE
Опис:
Серія комутаторів D-Link DGS-1210
включає в себе комутатори Web Smart наступного покоління з підтримкою
технології D-Link Green. Комутатори цієї серії поєднують в собі функції
розширеного управління і безпеки, що забезпечують кращу продуктивність і
масштабованість. Розширений функціонал включає комбо-порти Gigabit, підтримку
Power over Ethernet1, QoS, а також функції гнучкого багатофункціонального
управління. Підтримка Power over Ethernet дозволяє спростити установку
бездротових точок доступу, мережевих камер, телефонів VoIP та іншого мережного
обладнання. Завдяки сумісності зі стандартами 802.3af і 802.3at, цей комутатор
здатний забезпечити живлення пристроїв до 30 Вт. Функції управління включають
SNMP, управління на основі Web-інтерфейсу, утиліту SmartConsole і Compact
Command Lines. Комутатори цієї серії також підтримують такі функції, як
фільтрація ACL і D-Link Safeguard Engine. Більше того, серія комутаторів
DGS-1210 підтримує функцію Auto Voice VLAN, забезпечуючи максимальний пріоритет
для «голосового» трафіку. DGS-1210-10P виконаний в компактному 13-дюймовому
корпусі, DGS-1210-16 і DGS-1210-24 - у металевому корпусі для установки в
19-дюймову стійку, комутатори оснащені інноваційною пасивною системою
охолодження. DGS-1210-48 оснащений двома безшумними інтелектуальними
вентиляторами, які здатні змінювати швидкість обертання залежно від
температури, що дозволяє економити енергію і збільшити час життя пристрою.
В якості комутатора в будівлі 5
використаємо 4 комутатора D-Link DGS-1100. Цей концентратор з 24 портами.
Можливості продукту:
Настроюється компактний комутатор
EasySmart з 24 портами 10BASE-T/100BASE-TX/1000BASE-T
Опис:
Серія комутаторів D-Link DGS-1100 є
новітньою в лінійці комутаторів EasySmart. Комутатори цієї серії підтримують
технологію D-Link Green. Оснащені 16 і 24 портами 10/100/1000 Мбіт / с,
комутатори серії DGS-1100 виконані в компактному металевому корпусі шириною 11
дюймів для настільної установки або монтажу в стійку. Дані комутатори
відповідають стандарту IEEE802.3az Energy Efficient Ethernet і споживають менше
електроенергії в періоди простою. Комутатори серії DGS-1100 підтримують
технологію D-Link Green, яка дозволяє скоротити споживання електроенергії в
залежності від статусу з'єднання і довжини кабелю. Управління комутатором
виконується через Web-інтерфейс або за допомогою утиліти SmartConsole. Серія
DGS-1100 підтримує функції рівня 2, включаючи IGMP Snooping для скорочення
багатоадресного трафіку і збільшення продуктивності мережі. Використання
пасивної системи охолодження забезпечує безшумну роботу і дозволяє продовжити
термін експлуатації пристрою.
Комутатор серії DGS-1100 є недорогим
рішенням для підприємств малого та середнього бізнесу (SMB) і організацій, в
штаті яких немає IT-фахівців. DGS-1100 є підходящим рішенням для організації
мережі підприємств, наприклад, для філій і приміщень для ділових зустрічей, де
потрібно просте управління.
Основою спосіб росту мереж -
об'єднання незалежних сегментів в єдиний комплекс. Також це може знадобитися,
якщо вам не вистачає мережевих портів, або кілька комп'ютерів розташовані щодо
поруч (наприклад, в межах однієї квартири / під'їзду), а центральний вузол
знаходиться досить далеко. У цьому випадку зручніше не тягнути від кожного
комп'ютера кабель, а придбати новий комутатор і вже до нього простягнути виту
пару від локальних машин.
Комутатори, що випускаються в
останні час, з'єднуються звичайної стандартно обтиснень кручений парою: просто
з'єднайте комутатори кабелем.
Якщо у вас більш стара модель, то
вам буде потрібно кросовер вита пара. Кросовер-кабелем можна об'єднати 2 або
більше комутаторів, використовуючи будь-які однакові порти. Як варіант, у
комутаторів може бути спеціальний Uplink-роз'єм (він часто поєднується з першим
портом). Через Uplink-роз'єми можна об'єднати комутатори за допомогою
стандартно обтиснень кручений пари.
Використаємо кабель вита пара ExaLan
EX01-101 [1720]
Опис: Неекранований мідний 4-х
парний одножильний кабель UTP для внутрішньої прокладки чудово узгоджений з
компонентами СКС Exalan Plus і може бути використаний для поверхової розводки,
а також в магістралях будівлі. Характеристики кабелю визначені в діапазоні 100
МГц, що як відповідні вимогам категорії 5е/Class D. Кабель відповідає
стандартам ISO / IEC 11801:2002 і IEC 61156-5:2002. Вогнестійкість кабелю
визначається відповідно до IEC 60332-1 (1992-03). Застосування даного кабелю
дозволяє забезпечувати високі параметри кабельного з'єднання.

Відповідність стандартам:/ IEC
11801:2002 (category 5e), ANSI/TIA/EIA-568-B.2, IEC 61156-6:2002, LS0H: IEC
60332-1
Матеріали:
Матеріал жил: дріт з м'якої
відпалений електролітичної міді
Ізоляція жил: поліетилен високої
щільності
Зовнішня оболонка: ПВХ
(полівінілхлорид)
Конструкція кабелю:
Діаметр провідника (жили): 0,52 мм
(24 AWG)
Діаметр провідника з оболонкою: 0,95
± 0,02 мм
Зовнішній діаметр (розмір) кабелю:
5,6 ± 0,2 мм
Технічні характеристики:
Мінімальний радіус вигину: 44.8 мм
при експлуатації; 22.4 мм при монтажі
Подовження жили: не менше 14%
Розтягуюче зусилля: 92 H
Температура прокладки: 0 ° C - +50 °
C
Робоча температура: -60 ° C - +75 °
C
Електричні характеристики:
Макс. опір провідника при 20 ° C: 19
Ом/100 м
Хвильовий опір (Impedance): 100 Ом +
/ - 15 Ом
Макс. робоча ємність: 56 пФ / м
Відносна швидкість поширення (NVP):
0,68
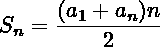
Необхідна довжина кабелю вита пара в
будинках буде вирахувана за допомогою арифметичної прогресії. За відстань між
комп’ютерами візьмемо 2 метри.
Будь-який член арифметичної
прогресії можна обчислити за формулою
Сума перших n членів арифметичної
прогресії виражається формулою
В будинку номер 3 в кожній кімнаті
об’єднаємо 6 комп’ютерів з комутатором.
Відстань між комутатором і першим
комп’ютером а1 = 2 м.
а6 = 2+2·5= 12 м.=
показує
скільки кабелю необхідно використати в 1 кімнаті на будівлі 3. Оскільки в цій
будівлі 2 кімнати помножимо число S на 2:
·2 = 84 м.
В будинку номер 5 в кімнатах
об’єднаємо 16 і 17 комп’ютерів з комутатором.
Відстань між комутатором і першим
комп’ютером а1 = 2 м.
а16 = 2+2·15= 32 м.16=
Оскільки в цій будівлі 2 кімнати
помножимо число S на 2:
2 = 544 м.
Для вертикальної розводки
використаємо оптоволоконий кабель для внутрішнього прокладання V-G50/125
Infinicor 600, пігтейловий кабель, Х/125/250/900.
Характеристики оптичного кабелю
Діаметр серцевини: 50/125
Моди: Многомод (MM)
Для вертикальної розводки будинку 3
вистачить оптоволоконого кабелю 18 і 9 метрів від двох комутаторів на нижньому
поверсі плюс 3 метра різниці між поверхами. В сумі (18 + 3) + ( 9 + 3) = 33
метра.
Для вертикальної розводки будинку 5
вистачить оптоволоконого кабелю 64 і 32 метрів від двох комутаторів на нижньому
поверсі плюс 3 метра різниці між поверхами. В сумі (64 + 3) + ( 32 + 3) = 102
метра.
Тепер додамо довжини кабелів
оптоволоконого кабелю
+ 102 = 135 м.
Для об’єднання витої пари з оптоволоконим
кабелем з однієї сторони і оптоволоконого кабеля з витою парою використаємо
медіаконвертори TP-LINK MC200CM.
Опис MC200CM - це медіаконвертер,
розроблений для перетворення сигналу 1000BASE-FX в сигнал 10/100Base-TX і
1000Base-T або навпаки. Розроблене на базі стандартів IEEE 802.3u
10/100Base-TX, IEEE802.3ab 1000Base-T і IEEE802.3z 1000Base-FX пристрій
використовує Багаторежимний оптичний кабель з оптичним портом для
SC-коннектора. MC200CM підтримує специфікацію короткохвильового лазера (SX) на
повній швидкості передачі даних по кабелю. Пристрій працює на довжині хвилі 850
нм при передачі та прийомі даних.
Іншими особливостями цього модуля є
можливість використання в якості автономного пристрою (не потрібно шасі) або з
19 системою шасі TP-LINK, Авто MDI / MDI-X і автоматичне Автоматичне визначення
режиму half / full duplex для TX-порту, а також світлодіодні індикатори статусу
на передній панелі. Пристрій MC200CM передає сигнал на багаторежимних оптичному
кабелю на довжину до 0.55 км.
Один SC роз'єм і один RJ45 роз'єм
Працює при 1000Мбіт / с в режимі
full duplex для портів TX і FX
Підтримка Авто MID / MID-X для порту
TX
Забезпечує конфігурацію комутатора в
примусовому / автоматичному режимі передачі для FX-порту
Збільшує дальність оптичної передачі
до 0.5 км
Світлодіодні індикатори для контролю
з'єднання та легкого моніторингу мережевої активності
Зовнішнє джерело живлення (DC5V/2A)
Відповідає стандартам IEEE 802.3ab
IEEE 802.3z.
Рис. 2.1.2: Тракт антенного фідера з
підсилювачем.
Використаємо безпровідне
устаткування
. Точка доступу зі знімною антеною
(маршрутизатор NETGEAR WNR3500L, який виконує функції точки доступу).
. Смуговий фільтр
. Кабельна зборка SMA - RP - plug ↔
N - type - male
- кабель входить в комплект
постачання всіх зовнішніх (outdoor) антен D-Link, антени для внутрішнього
використання також комплектуються необхідними кабелями. Вносить додаткове
загасання близько 0,5 дБ.
. Інжектор живлення.
Інжектор живлення та блок живлення
входять в комплект поставки підсилювачів.
. Перехідник TLK - N - type - MM
Перехідник N-Type Male-Male
використовується для з'єднання кабельних збірок, зміни типу портів активного та
пасивного обладнання антенно-фідерного тракту з N-type-female на N-type-male.
. Кабельна зборка (наприклад, HQNf -
Nm15)
Опис D-link HQNf-Nm15
Кабель: для антени / подовжувач.
Технологія: коаксіал. Працює з: ANT24-0800, ANT24-1400, ANT24-1801. Довжина
кабелю: 15 м. Конектори: N-Type M (антена) - N-Type F (антена).
. Підсилювач 2,4 ГГц NCS24XX
. Кабельна зборка HQNf - Nml, 5Nm1,5
Кабель (переходник) N-type (female) N-type (male) RG-8U 1,5м (HQ). Виробник:
TrendNet
Модуль грозового захисту
У комплект поставки зовнішньої
антени D-Link ANT24-2100 входить модуль грозозахисту (surge protector), що є
важливим аксесуаром для зовнішніх антен. Навіть при наявності на даху щогл
громовідводів, які виключають пряме попадання блискавки в антену, потужний
грозовий розряд в безпосередній близькості від зовнішньої антени може повністю
вивести з ладу всі приймально-передавальне обладнання. Модуль грозозахисту
включається до антенно-фідерний тракт і заземлюється.
. Зовнішня спрямована (D-Link
ANT24-2100)

Через кабель-перехідник SMA N-типу,
що входить в комплект поставки антени, ANT24-2100 легко підключається до
будь-яких внутріофісні точки доступу і бездротових адаптерів D-Link, зі
знімними штатними антенами. Сама антена має роз'єм для підключення N-типу
(N-type-female), що дозволяє підключати її до зовнішніх точках доступу D-Link,
а так само до активного обладнання інших виробників.
На комп’ютерах використаємо
мережевий адаптер Gigabit Ethernet DGE-560T для шини PCI Express.
Опис:
Високопродуктивний мережевий адаптер
для шини PCI Express D-Link DGE-560T дозволяє збільшити смугу пропускання,
підвищити надійність підключення і надає більшу функціональність у порівнянні з
мережевими картами PCI. Адаптер підтримує швидкість передачі даних 2 Гбіт / с в
режимі повного дуплексу, забезпечуючи високу пропускну здатність, і підтримує
розширені функції, такі як управління потоком 802.3x, SNMP для мережевого
контролю і управління, підтримка Jumbo-фреймів, а також сумісний з наявним
обладнанням і забезпечує зручність настройки мережевих параметрів.
Розширені функції та безпека
Мережевий адаптер підтримує 802.1Q
VLAN, дозволяючи сервера знаходитися в декількох VLAN-ах одночасно. DGE-560T
підтримує функцію 802.1P Priority Tagging для пріоритезації трафіка, а також
функцію 802.3ad Link Aggregation, яка дозволяє збільшити смугу пропускання для
робочих станцій і серверів. При використанні декількох карт DGE-560T
забезпечується захист від помилок у разі виникнення збоїв у роботі однієї
мережевої карти. У цій ситуації трафік від сервера або робочої станції
передається по іншим підключеним мережевим картками, гарантуючи при цьому
безперервну передачу даних при одночасній заміні іншої картки. DGE-560T
підтримує режим «гарячої заміни» для установки карти під час роботи системи. 1
DGE-560T також підтримує наступні функції: обчислення контрольних сум TCP, UDP,
IP, а також TCP Segmentation для збільшення загальної продуктивності системи.
Віддалене управлінняT має вбудовані
функції, такі як управління живленням і підтримка Wake-on-LAN. Можна вибрати
одну з 2-х схем безпечної віддаленого завантаження з серверів бездискових
робочих станцій: 1) з використанням RPL (Remote Program Load) або 2) PXE
(Pre-boot Execution Environment). Даний адаптер підтримує всі основні
операційні системи, включаючи Windows 2000, XP, 2003 і Linux 2.2/2.6, що
гарантує сумісність з ОС сервера і робочої станції. З розширеними функціями,
високопродуктивної архітектурою, і високою надійністю D-Link DGE-560T -
прекрасне рішення для будь-якої мережі, в якій необхідно високопродуктивна
з'єднання Gigabit за доступною ціною.
Система містить слоти для «гарячого
підключення». Система працює під ОС, що підтримує режимі «гарячого підключення»
В 2-х будівлях знаходяться 24 + 64 =
88 хоста (комп’ютера). Оснастимо їх мережевими адаптерами DFE-538TX.
Підтримує операційні системи:2003/2000/XP,
Linux 2.2/2.6
Інтерфейс: RJ-45
BASE-T, 100BASE-TX, 1000BASE-T.
Одінемо вартість побудови мережі:
|
Кількість
|
Елемент мережі
|
Вартість елемента (грн./шт.)
|
|
628 м.
|
Вита пару ExaLan EX01-101
|
3 ( грн./м)
|
|
86(шт.)
|
Конектор RJ 45 PRIME link (Китай*) / cat.5e
/UTP
|
0,4
|
|
135 м.
|
Оптоволоконий кабель V-G50/125 Infinicor 600
|
3 (грн./м)
|
|
4 (шт.)
|
Комутатор D-Link DGS-1210
|
1 735
|
|
4 (шт.)
|
Комутатор D-Link DGS-1100
|
1 397
|
|
4 (шт.)
|
Медіаконвертор TP-LINK MC200CM
|
465,75
|
|
88 шт.
|
Адаптер Gigabit Ethernet D-Link DGE-560T
|
580
|
|
2 шт
|
Маршрутизатор NETGEAR WNR3500L
|
780
|
|
2 шт
|
Перехідник TLK - N - type - MM
|
60
|
|
2 шт
|
Кабельна зборка D-link HQNf-Nm15
|
60
|
|
2 шт
|
Зовнішня спрямована (D-Link ANT24-2100)
|
1580
|
|
2 шт
|
Кабельна зборка HQNf - Nml, 5. Виробник:
TrendNet
|
220
|
3.2 Недоліки мережі, побудованої на
основі заданої модифікації мережної технології, рекомендації по їх усуненню
локальний інформаційний
комунікаційний мережа
Побудована мережа забезпечує високу
швидкість передачі даних-це є головним плюсом. Недоліками цієї мережі може бути
слабке устаткування - при появі яких-небудь додаткових завад можуть виникати
колізії у безпровідному зв’язку.
Завдяки додатковим портам у
комутаційному обладнанні мережа може розширюватися.
3.3 Розрахунки, підтверджуючі
коректність побудови комп’ютерної мережі
Канал передачі даних у бездротовій
мережі - 2. F знайдемо з таблиці 2.1.
Схема 4.1.
обчислюється за формулою
де SOM (System Operating Margin) -
запас в енергетиці радіозв'язку (дБ). Враховує можливі фактори, що негативно
впливають на дальність зв'язку, такі як:
температурний дрейф чутливості
приймача і вихідної потужності передавача;
всілякі атмосферні явища: туман,
сніг, дощ;
неузгодженість антени, приймача,
передавача з антенно-фідерних трактом.
Параметр SOM зазвичай береться
рівним 10 дБ. Вважається, що 10-децібельний запас щодо посилення достатній для
інженерного розрахунку.знайдемо за формулою FLS = YдБ - 10. F=2417
Mгц.
Відстань на якій знаходяться антени
D=0,85 км за початковими даними.
Так, максимальна величина загасання
при зазначених довжинах хвиль становить 3,75/1,5 дБ/км для многомодового
оптоволокна. В проекті використано всього 135 метрів оптоволоконного кабелю
тому його величину загасання можна не враховувати.
Коефіцієнт посилення передавальної
антени 21 дБи.
Коефіцієнт посилення приймальної
антени 21 дБи.
Втрати сигналу в передавальному
тракті:t = 0,5 дБ (pigtale) + 0,5 дБ (інжектор) + 6 дБ (15-метровая
кабельна сборка (затухання на кабелі 0,3 дБ/м) + 3 розйому по 0,75 дБ) = 7,75
дБ.
Втрати сигналу в приймальному
тракті:r= 0,5 дБ (pigtale) + 0,5 дБ (інжектор) + 6 дБ (15-метровая
кабельна сборка (затухание на кабелі 0,3 дБ/м) + 3 роз'ємну по 0,75 дБ) = 7,75
дБ. Швидкість передачі даних у бездротовій мережі - 48 Мбіт/с. Значить
чутливість приймача береться з таблиці:
Схема 4.2
t
= 19 дБмВт,
Чутливість -71 дБмВт.
YДб =19 дБмВт+21 дБи+21
дБи
7,75 дБ =116,5= 116,5-10=106,5
Розрахуємо дальність зв’язку:
=
Результат D=1.4 км повністю
задовольняє умову курсової роботи, в якій задана відстань між об’єктами 850 м.
Формула для розрахунку першої зони
Френеля:
Рис.4.1: Зона Френеля
На шляху між будівлями 3 і 5 стоїть
перешкода:будівля 4.
Між будинками відстань 850 м = 0,85
км.=480 м = 0,48 км=370 м = 0,37 км=2,4 ГГц.
Розрахуємо радіус першої зони
Френеля:=
м.
Для стандартів WiMax, що працюють і
в умовах відсутності прямої видимості максимальна дальність роботи базової станції
на частоті 2,4ГГц в закритій зоні Френеля не перевищує 3км. Звичайне блокування
20% зони Френеля вносить незначне загасання в канал. Понад 40% - загасання
сигналу буде вже значним, тому слід уникати попадання перешкод на шляху
розповсюдження.
Висновок для розрахунку 1 зони
Френеля: Отже, щоб згасання сигналу було мінімальним, необхідно, щоб перешкода
не заходило в зону Френеля з радіусом
м.
Висновок
В даній курсовій роботі була
побудована інформаційно-комунікаційна мережа.
Були використанні мережна технологія
-1000Base-T і WiMax. Мережа Gigabit Ethernet, насамперед, знаходить
застосування в мережах, що поєднує комп'ютери великих підприємств, які
розташовуються в декількох будинках. Вона дозволяє за допомогою відповідних
комутаторів, що перетворюють швидкості передачі, забезпечити канали зв'язку з
високою пропускною здатністю між окремими частинами складної мережі або лінії
зв'язку комутаторів з швидкодіючими серверами. Імовірно, у ряді випадків
Gigabit Ethernet буде витісняти оптоволокону мережу FDDI, що у цей час всі
частіше використовується для об'єднання в мережу декількох локальних мереж, у
тому числі, і Ethernet. Правда, FDDI може зв'язувати абонентів, що перебувають
набагато далі друг від друга, але по швидкості передачі інформації Gigabit
Ethernet істотно перевершує FDDI. Мережа Gigabit Ethernet, насамперед,
знаходить застосування в мережах, що поєднує комп'ютери великих підприємств,
які розташовуються в декількох будинках. Вона дозволяє за допомогою відповідних
комутаторів, що перетворюють швидкості передачі, забезпечити канали зв'язку з
високою пропускною здатністю між окремими частинами складної мережі або лінії
зв'язку комутаторів з швидкодіючими серверами. Імовірно, у ряді випадків
Gigabit Ethernet буде витісняти оптоволокону мережу FDDI, що у цей час всі
частіше використовується для об'єднання в мережу декількох локальних мереж, у
тому числі, і Ethernet. Правда, FDDI може зв'язувати абонентів, що перебувають
набагато далі друг від друга, але по швидкості передачі інформації Gigabit
Ethernet істотно перевершує FDDIбув обраний для об'єднання будинків оскільки
він надає радіус покриття базової станції WIMAX в 300 разів більший, ніж Wi-Fi.
Література
1. Бройдо
В. Л. Обчислювальні системи, мережі і телекомунікації.
. Олифер
В.Г., Олифер Н.А. Компьютерные сети. Принципы, технологи, протоколы. 4-е изд.
. Танненбаум
Э. Компьютерные сети. 4-е изд.
4. <#"579585.files/image032.jpg">
Рис.6.1: перша зона Френеля.
Рис.6.2: Схема поверху в будинку 3.
Рис.6.3: Схема поверху в будинку 5.