Изучение лояльности потребителей к услугам Интернет-магазинов
«Маркетинговые
исследования»
Изучение
лояльности потребителей к услугам интернет-магазинов
Содержание
Резюме
Введение. Постановка задач
исследования
Идентификация проблемы
Выявление объекта и предмета
исследования
Формулировка целей
Определение рабочей гипотезы
Задачи исследования
Выбор метода исследования и
методов сбора информации. Планирование исследования
План формирования выборки
Планирование концепции и
разработка рабочих документов
Формирование бюджета на
проведение исследования
Пилотажное исследование.
Результаты исследования
Рекомендации
Заключение
Список использованной
литературы
Приложения
Резюме
В данной работе представлено маркетинговое исследование поведения
потребителей услуг интернет-магазинов.
Эта тема является актуальной, так как интернет-магазины очень популярны в
странах Европы и США, а в России пока так и не нашли широкого применения.
Цель курсовой работы заключается в изучении поведения потребителей в
Интернет-магазинах.
Для изучения поведения потребителей были разработаны рабочие документы:
вопросник и анкета, проведено глубинное интервью и количественное исследование.
Результаты работы подтвердили выдвинутые в начале исследования гипотезы о
причинах непопулярности интернет-магазинов, которые заключаются в ощущение высоких
рисков потребителем и его неуверенности в качестве товаров.
В ходе выполнения работы были выявлены условия и стимулы, способствующие
росту доверия потребителей к интернет-магазинам, главными из которых являются
наличие положительно опыта со стороны покупателей, советы знакомых и
популярность магазина. Большинство респондентов отметили главные недостатки
интернет-магазинов: сложность процедуры покупки и отсутствие возможности
рассмотреть товар со всех сторон, а также их достоинства: экономия времени и сил,
наличие доставки и более низкие цены.
Результат исследования такой, что в целом, потребители хотели бы посещать
интернет-магазины, при наличии сопутствующих условий, но большая часть
потребителей относится к интернет-магазинам нейтрально, и только незначительная
из них часть мотивирована прочно укрепившейся привычкой покупки товаров/услуг в
интернет-магазинах.
На основе анализа полученных данных были даны рекомендации относительно
надлежащих будущих действий владельцев интернет-магазинов. Наиболее важными из
них являются приведение в исполнение законов о защите прав потребителей рынка
виртуальных услуг, создание удобного интерфейса сайта и создание трехмерной
навигации товаров, которая позволит рассмотреть их с любой стороны.
Введение
В настоящее время все более актуальной темой обсуждения является
интеграция глобальной сети Интернет с реальным экономическим миром. Большинство
товаров, которые продаются в магазинах города, можно приобрести через
интернет-магазины. Более того, через интернет можно купить продукцию из других
городов и стран. Воспользовавшись данной услугой, потребитель сможет сэкономить
время, деньги и силы, ведь покупка товаров через интернет это удобно, быстро и
намного выгодней, чем покупка в магазинах города. Но Интернет-магазин это услуга,
которая появилась недавно на российском рынке. В связи с этим, она пока не
пользуется широким спросом со стороны потребителей, так как их отношение к
данному виду услуг весьма неоднозначное. Сомнения по поводу качества товара,
ощущение высоких рисков, отсутствие личного контакта с продавцом, опасение быть
обманутым и просто отсутствие возможности доступа в Интернет: все это не
позволяет потребителю воспользоваться услугами интернет-магазина. В связи с
этим тема моей курсовой работы - «Изучение лояльности потребителей к услугам
интернет-магазинов».
1. Постановка задач исследования
Идентификация проблемы
Интернет-магазины это виртуальная форма торговли, российские потребители
относятся к данному виду услуг с недоверием, опасением и с некоторой долей
консерватизма.
Данная проблема является гносеологической, порождённой недостатком знаний
о состоянии или тенденциях изменения поведения потребителей. Потребности
потребителей быстро меняются и переходят на более высокий уровень, поэтому
конкуренция между различными компаниями становиться все сильнее, особенно на
виртуальном рынке. Поэтому компании, предлагающие свои услуги и товары в
Интернете, стремящиеся к лидерству и развитию, должны постоянно изучать
потребителей и удовлетворять их потребности.
К тому же, не всегда можно полностью доверять предоставляемой в Интернете
информации, что заранее может обуславливать, в какой - то степени, негативное
отношение как к Глобальной Сети в целом, так и к Интернет-магазинам в
частности.
Данная проблема является долгосрочной, так как её возникновение, действие
и окончание обусловлено весьма длительными сроками. Должно пройти много
времени, прежде чем Интернет-магазины станут неотъемлемой частью
жизнедеятельности людей.
По масштабу распространения проблема является общенациональной, а по
глубине проблематики - одноплановой, так как мы рассматриваем отношение
потребителя к Интернет-магазинам.
Выявление объекта и предмета исследования
Выявление объекта и предмета исследования тесно связано с формулировкой
рассматриваемой проблемы.
Объект исследования - индивидуальный потребитель
Предмет исследования: покупательское поведение потребителей в Интернете.
Формулировка целей
Цель моего исследования - изучение поведения потребителей в
Интернет-магазинах.
Изучив поведение потребителей Интернет магазинов, можно будет сделать
вывод об их отношении к данному виду услуг и понять, какие меры необходимо
предпринять, чтобы увеличить спрос.
Данная цель является описательной, так как данное исследование
предусматривает описание существующего явления, выявление возможностей и угроз
и ориентировано на получение характеристик поведения потребителей по отношению
к интернет-магазинам.
маркетинговый
потребитель услуга магазин
Определение рабочей гипотезы
Для формирования рабочей гипотезы воспользуемся одним из логических
методов - методом контрольных вопросов. Это самый подходящий метод для
генерирования рабочей гипотезы по данной проблеме, так как он не требует
привлечения экспертов и с помощью вопросов, относящихся к данной проблеме можно
найти пути её решения.
. Генерирование формулировок всех возможных вопросов, относящихся к
решаемой проблеме:
· Кто является потребителем Интернет-магазинов?
· Что готов покупать потребитель в интернет-магазине?
· Почему покупка товаров через Интернет слабо развита в России
· Почему потребители не доверяют Интернет - магазинам?
· Влияет ли на покупку товаров в Интернете уровень образования
потребителей?
· Сколько времени занимает у потребителя процесс выбора и
оформление услуги или товара в Интернет - магазине?
· Что наиболее важно для потребителя при выборе и покупке
товаров?
· Возможно ли изменить отношение потребителей к Интернет
магазинам?
· Как сделать Интернет-магазины популярными?
· Является ли Интернет-магазин хорошей альтернативой обычным
магазинам?
· Существует ли популярная товарная категория на данный момент
в Интернет-магазинах?
· Что можно изменить в Интернет-магазинах и зачем?
. Поиск ответов и предположений на поставленные вопросы:
Посетителями Интернет - магазинов являются лица, которые экономят своё
время и стремятся к удобству, имеют доступ к данной услуге.
Интернет-магазины непопулярны по нескольким причинам: отсутствие
возможности выхода в Интернет, ощущение высоких рисков потребителем, нет
уверенности в качестве товаров, нет практики покупок со стороны окружающих.
Делая покупку в Интернет-магазине, потребитель тратит намного меньше
времени, так как ему не нужно никуда ехать и искать товар или его альтернативы
по городу.
Для потребителя очень важно иметь возможность связаться с продавцом, иметь
возможность реализовать свои права потребителя. Быть уверенным в том, что
товары в Интернет не хуже по качеству тех, что продаются в магазинах города.
Важно наличие гарантии на товар и информации о магазине, а также его репутация.
Изменить отношение потребителей к Интернет-магазинам возможно с помощью
рекламы, пропаганды использования Интернет-магазинов. Необходимо дать понять
потребителям, что это безопасно, удобно и практично. Возможно, высылать
каталоги с продукцией по почте. Потребитель должен чувствовать свою
защищенность.
Наиболее популярными товарами в Интернете являются книги, бытовая техника
и электроника, различные товары для дома и электронные пособия. Наличие
положительного опыта покупок товаров в Интернет-магазинах позволит расширить
перечень данных товаров.
Данные вопросы и выдвинутые гипотезы способствуют решению существующей
проблемы.
Задачи исследования
Решение задач исследования поможет достичь поставленной цели.
Задачи данного исследования:
. Определить отношение потребителей к Интернет-магазинам.
. Выявить барьеры, возникающие у потребителей при использовании услуг
Интернет-магазина.
.Описать комплекс побудительных факторов, действующих на потребителя при
посещении интернет - магазина.
. Выявить уровень лояльности потребителей к услугам Интернет-магазина и
при необходимости методы его увеличения.
. Определить минусы и плюсы Интернет-магазинов.
. Определить наиболее востребованные категории товаров и услуг,
предлагаемых Интернет - магазином.
Выбор метода исследования и методов сбора информации
Проводить данное исследование необходимо эмпирическим методом, так как
изучается непосредственно действительный объект, а не его модель (как
предполагает экономико-математический метод).
Для сбора информации будет использован полевой метод исследования. С
помощью данного метода мы получим первичную информацию непосредственно от
пользователей сети Интернет для анализа и выполнения поставленных задач.
Регистрация получаемых данных будет осуществляться посредством опроса:
качественного и количественного. Методы качественного исследования - глубинное
интервью, количественного - опрос (анкетирование) пользователей сети Интернет.
Качественное исследование поможет ответить нам на поставленный круг
вопросов, относящийся к решаемой проблеме. С помощью количественного
исследования опрашивается выборочная совокупность. Это позволит получить
выраженную количественно информацию от большого числа людей и статистически
выверенные численные данные, что позволяет распространять результаты на всех
потребителей.
2. Планирование исследования
Планирование программы исследования предусматривает следующие решения:
· Подготовка плана исследования.
· Определение объема и процедуры отбора единиц выборки.
· Разработка концепций измерения и подготовка рабочих
документов.
Подготовка плана исследования включает в себя основные процедурные
мероприятия, их продолжительность и последовательность выполнения.
Необходимо отметить, что данная работа выполняется одним студентом,
поэтому он является единственным ответчиком за исполнение плана маркетингового
исследования.
План исследования представлен в приложении 1.
План формирования выборки
План формирования выборки включает следующие этапы:
· Выделение генеральной совокупности.
· Определение метода обследования.
· Определение процедуры формирования выборки.
· Определение объема выборки.
Генеральной совокупностью при исследовании поведения потребителей услуг
интернет-магазинов является население Санкт-Петербурга.
В данной работе целесообразнее будет использовать метод выборочного
обследования, так как определенная генеральная совокупность содержит
большое число единиц.
Для изучения поведения потребителей услуг, предоставляемых интернет -
магазинами, нам необходимо из генеральной совокупности отобрать респондентов в
возрасте от 18 до 50 лет, являющиеся пользователями Интернета. Так как примерно
в 18 лет у потребителя появляется собственный доход, и он может самостоятельно
принимать решения о покупке в интернете товаров или услуг. Потребители старше
50 лет, как правило, не все знакомы с компьютером настолько, чтобы совершать
покупки через интернет. Характеристики потребителей младше 18 и старше 50 могут
отличаться от характеристик единиц выборочной совокупности, поэтому мы не может
допустить попадание данных элементов генеральной совокупности в выборочную
совокупность.
В связи с этим процедура составления выборочной совокупности является неслучайной
- в выборку отбираются только респонденты в возрасте от 18 до 50 лет, и
которые являются пользователями интернета.
Мы имеем четкое суждение о характеристиках респондентов: определённый
возраст, умение пользоваться Интернетом. Также при проведении данного
исследования необходимо учесть мнения респондентов, которые совершают покупки
через интернет и тех, которые не пользуются услугами интернет-магазинов.
Поэтому необходимо использовать квотированный тип выборки.
На официальном портале администрации Санкт-Петербурга численность
населения Санкт-Петербурга на 1 июля 2011 года составляет 4587,0 тыс.
Генеральная совокупность, которую предстоит исследовать, превышает 5000 единиц,
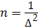
поэтому для расчета выборки может быть использована упрощенная формула:

, где
n - объем
выборочной совокупности;
∆
- ошибка выборки, определяющая надежность полученных результатов.
Ошибка
может возникать в силу того обстоятельства, что опрошена не вся генеральная
совокупность, поэтому её обязательно нужно учитывать при определении объема
выборки. В учебных целях возьмем приближенную ошибку выборки равную 10%.
n = 
= 100
Мы
получили, что необходимо опросить сто единиц генеральной совокупности при
проведении количественного исследования.
Планирование концепции и разработка рабочих документов
Методология исследования лояльности потребителей к услугам
интернет-магазинов предполагает использование качественных и количественных
методов опроса. Для определения приоритетов, выявления базовых ценностей
потребителей и получения развернутых вопросов необходимо сначала провести
глубинное интервью, для которого разрабатывается рабочий документ - вопросник.
Способ регистрации информации - вербальный. Метод проведения
опроса - личный и индивидуальный. Опрос респондентов проводиться на дому
или в установленном респондентом месте (кафе, парк и др.)
Опрос проходит не по строгому сценарию и предполагает индивидуальный
подход к каждому респонденту, что позволяет поддержать атмосферу доверия и
делает возможным получение дополнительной информации.
Проведение глубинного интервью осуществляется по методу постепенного
перехода. Обсуждается, чем отличаются интересующий исследователя объект от
других: от магазинов города. Рассматривается каждая выявленная характеристика с
точки зрения ее важности для респондента. Выясняется, почему это важно,
разговор переводится от характеристик к его влиянию на человека.
Вопросы в сценарии расположены в такой последовательности, чтобы избежать
влияния одного вопроса на другой. Все они помогают найти ответы на поставленные
задачи, и соответствую целям исследования. В процессе проведения интервью
вопросы могут немного изменяться, дополняться. Это зависит от того, насколько
подробно и охотно респондент даёт ответы на вопросы.
Для того чтобы понять подходит ли респондент для опроса задаётся первый
фильтрующий вопрос о регулярности посещения Интернета. Также данный вопрос
одновременно является вводным - настраивает респондента на обсуждение заданной
темы.
Нам необходимо узнать пользуется ли респондент интернет-магазинами, для
чего он это делает. Это можно сделать с помощью вопросов о поведении
респондента: вопросы №2, 3 в сценарии. Также с помощью вопросов данного вида мы
можем установить, почему респондент не посещает интернет-магазины или не
покупает там товары, какие стимулы могут способствовать совершению покупки и
какие характеристики товара для респондента наиболее важные (вопросы №4, 5, 7,
8).
Выяснить мнение респондента об интернет-магазинах и его отношение к ним
помогут вопросы о достоинствах, недостатках интернет-магазинов и о возможности
заменить ими магазины города (вопросы №9, 10, 12).
Для достижения поставленных задач, необходимо также выяснить, готов ли
респондент делать покупки в интернет-магазинах и что именно (вопрос №6, 13).
Знание респондента о каком-либо интернет-магазине (вопрос №11), поможет
установить конкурентные преимущества магазина и причины его известности.
Вопросы такие, как: с какой целью, почему, являются уточняющими, для
выяснения дополнительной информации.
После разработки сценария глубинного интервью, необходимо разработать
анкету, для проведения количественного исследования.
Каждый вопрос в анкете содержит в себе необходимую для получения от респондента
информацию, с помощью которой будет достигнуто решение поставленных задач.
Вопросы о регулярности посещения Интернета и интернет-магазинов в частности
являются фильтрующими, с помощью которого отбираются респонденты,
характеристики которых совпадают с характеристиками выборки и разделяются на
две исследуемые группы.
Третий вопрос является по содержанию вопросом о поведении и помогает
установить поведение тех потребителей, которые пользуются интернет-магазинами.
Четвертый вопрос помогает выявить барьеры потребителей, которые не
посещают интернет-магазины, а вопрос №8 ещё и тех, кто делает покупки в
Интернете.
Вопросы №5 и 6 дают понять установки всех потребителей, которые покупают
и не покупают товары в Интернете, их отношение к процессу покупки вообще, что
также необходимо учесть в деятельности интернет-магазинов.
Вопрос №7 - вопрос о намерениях потребителей. Готовность потребителей
покупать в интернет-магазинах разные дорогостоящие и технически сложные товары
(такие как телевизоры и холодильники) будет говорить о высоком уровне доверия.
Контрольным является вопрос №12 (оценка уровня потребности по
пятибалльной шкале), который показывает правильность ответов респондента (если
респондент пользуется интернет-магазинами, то, скорее всего, его потребность в
них не будет очень высокой), а также помогает установить уровень лояльности
потребителей, которые совершали покупки.
Все остальные вопросы необходимы для выявления отношения и мнения
потребителей, относительно интернет-магазинов, и для достижения поставленных
задач исследования.
Вопросы с 15 по 20 для идентификации личности респондента.
Формирование бюджета на проведение исследования
Для проведения данного исследования необходимыми являются следующие
пункты затрат, отраженные в таблице 1.
Таблица 1. Бюджет на проведение исследования.
|
Статья затрат
|
Сумма (руб.)
|
Обоснование включения
статьи затрат
|
|
1.Оплата Интернет трафика
|
900 руб.: 450 руб. -
фиксированная плата за месяц использования Интернета компании InterZet, который был нужен на протяжении двух месяцев. Таким образом, 450
руб.*2 мес. = 900 руб.
|
Данные затраты были
необходимы для поиска и разработки проблемы исследования.
|
|
2. Тиражирование рабочих
документов
|
404 руб.: 100 шт.+1
шт.*4руб/шт.=400 руб.
|
Необходимо было напечатать
анкеты для полевого опроса (100шт.) и вопросник для глубинного интервью
(1шт.).
|
|
3. Канцелярские
принадлежности и материалы для интервьюеров
|
15 руб.: 1 ручка стоит 15
руб/шт. В исследовании был задействован 1интервьюер, соответственно, 1 шт.
*15 руб. = 15 руб.
|
Необходимо было обеспечить
интервьюеров канцелярскими принадлежностями.
|
|
4. Оплата проезда
интервьюеров
|
500 руб.: Фиксированная
плата за проездной льготный билет сроком действия один месяц.
|
Необходимо было обеспечить
возможность интервьюера добраться до места проведения опроса.
|
Исследование проводиться единолично автором данной работы, поэтому такие
статьи расходов, как заработная плата, аренда помещений, амортизация
оборудования исключены.
Итого: бюджет исследования составил 1819 рублей.
Пилотажное исследование
Пилотажное исследование было проведено с целью проверки качества
вопросника и анкеты, для заблаговременного выявления слабых мест и устранения
недостатков.
По итогам пилотажного исследования было установлено, что не все вопросы
глубинника оказались понятными респонденту, а некоторые повторяются.
На вопрос № 2 респондент ответил, что посещает интернет магазины, так как
он покупает в них различные товары. Поэтому вопрос №3 заставил его повториться,
что вызвало некоторое недовольство. В связи с этим вопросы были подвержены
корректировке.
На вопрос №9 «В чём на Ваш взгляд заключаются преимущества
интернет-магазинов?» респондент стал называть плюсы существования
интернет-магазина для его владельца: меньше издержек, нет оплаты аренды. Вопрос
на самом деле, подразумевал плюсы для самого респондента, поэтому вопрос также
был переконструирован с упором на характеристики потребителя.
Также необходимо отметить тот факт, что ответ на вопрос №5 (факторы
препятствующие покупке товаров в интернет-магазине) оказывает сильное влияние
на ответ респондента на следующий вопрос (что он готов приобрести в Интернете).
Респондент, перечисляя негативные стороны интернет-магазина и свойства своего
характера, вызывающие недоверие, не может ответить на шестой вопрос. Поэтому я
сочла необходимым поменять вопросы местами. Перед вопросом о покупках через
Интернет будет задан вопрос о стимулах покупки, чтобы потребитель настроился
положительным образом и намерено не искажал свои ответы.
В целом анкета, судя по реакции респондента и по его высказываниям,
оставляет хорошее впечатление, большинство вопросов было понятно.
Пилотажное исследование анкеты, подготовленной для количественного
исследования, также выявило некоторые ошибки.
В пилотажном исследовании принимали участие десять представителей выборочной
совокупности. Ни один из них не ответил на вопрос №5 в соответствии с условием:
«Расставьте, пожалуйста, приоритетность показателей при покупке товаров (1-
очень важно, 5- не важно)». Респонденты отмечали выбранные варианты галочками.
Данный вопрос бал перефразирован, для четкого понимания условий.
Также условие «отмечать не более трех вариантов вопросах №3 и 8» не было
замечено большинством респондентов, поэтому на данные условия были подчёркнуты,
чтобы привлекали внимание респондентов. Вопрос о сочетаниях качества и цены в
интернет-магазинах по сравнению с магазинами города (№11) содержал ограниченное
количество вариантов ответов (только 3). Замечания респондентов были учтены, а
варианты ответов расширены.
Были выявлены ошибки в конструкции вопроса №9 «Перечислите, пожалуйста,
главные преимущества интернет-магазина перед магазинами города (не более
трех)?». Потребители, которые не посещают интернет-магазины, оказались
некомпетентными отвечать на данный вопрос. В связи с этим, он был заново
сконструирован так, чтобы представители выборочной совокупности, которые не
покупают товары в Интернете, могли высказать своё мнение.
3.
Результаты исследования
Ограничения данного исследования:
. Выборка носит неслучайный характер
. Исследованию подвергались квотированные выборочные совокупности:
49 респондентов не использующие услуги интернет-магазинов, 51 респондентов,
использующие.
С помощью глубинного интервью удалось выявить основные барьеры,
препятствующие респондентам покупать товары в интернет-магазинах, главными из
которых являются ощущение высоких рисков, отсутствие опыта и непривычность
услуги, а также неуверенность в качестве товаров.
Наличие положительно опыта со стороны покупателей, советы знакомых и
популярность магазина - это стимулы потребителей для совершения покупок в
интернет-магазинах.
Основные условиями, при которых они бы совершали покупки: упрощение
процедуры покупки, наличие гарантий качества предоставляемых услуг и товаров,
онлайн консультации и система скидок, бонусов и подарков.
Большинство респондентов отметили главные недостатки интернет-магазинов:
сложность процедуры покупки и отсутствие возможности рассмотреть товар со всех
сторон, а также их достоинства: экономия времени и сил, наличие доставки и
более низкие цены.
Данные полученные при проведении глубинного интервью легли в основу
количественного исследования.
Анализ данных после проведения количественного исследования
По результатам количественного исследования было установлено, что в
опросе принимало участие 63% женщин и лишь 37% мужчин. Из таблицы 2 видно, что
при этом почти все опрошенные мужчины пользуются услугами интернет-магазинов,
по сравнению с женщинами, больше половины которых не пользуются услугами
интернет-магазинов.
Таблица 2 «Доля респондентов, пользующихся услугами интернет-магазинов, в
общей численности опрошенных респондентов»
|
Характеристики респондентов
|
Мужчины
|
Женщины
|
В совокупности
|
|
Пользуются услугами
интернет-магазинов
|
21%
|
30%
|
51%
|
|
Не пользуются услугами
интернет-магазинов
|
16%
|
33%
|
49%
|
На основе данных таблицы 2 видно, что число респондентов, пользующихся
услугами интернет-магазинов незначительно, но больше числа респондентов ими не
пользующихся.
После того, как мы установили точное число респондентов в каждой
опрошенной группе, можно сделать анализ полученных данных по каждой группе
отдельно.
Анализ ответов потребителей разных опрашиваемых групп
1. Респонденты посещающие интернет-магазины
Анализ ответов представителей данной группы потребителей выявил, что все
они посещают интернет-магазины с разной целью.
Диаграмма
1 «Распределение ответов респондентов на вопрос "Цели посещения
интернет-магазина"».
Только
26% участников опроса совершают в интернет-магазинах покупки. Остальные либо
интересуются различной информацией (14%) либо сравнивают цены (11%). Данные
выводы построены на основе данных диаграммы 1.
Оказалось,
что среди тех, кто посещает интернет-магазины, только 3% не испытывают
внутренних препятствий при совершении покупки. Большинство потребителей все же
не могут преодолеть барьер ощущения высоких рисков.
Основными
причинами, по которым респонденты не делают покупки через интернет-магазин,
опрошенные назвали неуверенность в качестве товара/услуги (33%), ощущение риска
быть обманутыми (28%), а также 6% не испытывают потребности в покупке товаров.
Также
были выявлены основные стимулы, которые направят респондентов на совершение
покупки через Интернет, главными из которых 29% респондентов назвали -
предоставление бонусов, скидок и подарков, личная потребность в товаре движет
23% респондентов, а также день рождение друга является стимулом для 22%
опрошенных.
В
ходе анализа полученных данных были установлены достоинства (диаграмма 2) и
недостатки интернет-магазинов (диаграмма 3).
Диаграмма
2 «Достоинства интернет-магазинов».
Основным
преимуществом покупки товара через интернет магазин более половины опрошенных
назвали экономию времени и сил, а также наличие доставки на дом 46%. Более
низкие цены указали 42% респондентов.
Кроме
достоинств интернет-магазинов респонденты отметили их недостатки, главные из
которых отсутствие возможности осмотреть подробно повар перед покупкой 35%
(диаграмма 3). Дополнительными недостатками 19% респондентов назвали указание
стоимости товара в иностранной валюте, неудобные способы оплаты.
Диаграмма
3 «Недостатки интернет-магазинов».
%
потребителей, которые посещают интернет-магазины, готовы приобретать в них
билеты на самолеты, концерты, в кино и на другие мероприятия. 41% респондентов
готовы приобретать книги и канцтовары.
В
ходе анализа данных была выявлена отличительная черта данной группы. Так как
респонденты посещают интернет-магазины, а некоторые совершают там покупки, то
25% из них готовы приобретать бытовую технику, а 20% респондентов электронику.
Это может быть показателем некоторого доверия к интернет-магазинам, которое
отсутствует у представителей второй группы опрашиваемых.
На
вопрос о соотношении качества и цены в интернет-магазинах, 54% респондентов
ответили, что цены ниже, а качество такое же как в магазинах города. Но 22%
утверждают, что при равных ценах, товары в интернет-магазинах уступают по
качеству товарам в магазинах города. Данные ответы можно объяснить наличием у
респондентов барьера ощущения неуверенности в качестве товаров
интернет-магазинов.
Диаграмма
4 показывает, что если товар отсутствует в магазинах города, то 35%
респондентов полностью согласны приобрести его в интернет-магазине, 24% -
скорее согласны и 21%-скорее не согласны. Никто из респондентов не ответил -
полностью не согласен, что является логичным исходя из того, что анализ делался
по группе респондентов посещающих и совершающих покупки в интернет-магазинах.
Диаграмма
4 «Намерения респондентов относительно покупки товаров в интернет-магазинах».
2. Респонденты не посещающие интернет-магазины
Анализ ответов респондентов данной группы показал наличие сходства с
ответами предыдущей группой респондентов на вопрос о барьерах, препятствующих
посещению интернет-магазинов или совершению в них покупок. Общими барьерами
являются неуверенность в качестве товаров (у 39% представителей данной группы)
и риск быть обманутым - (42%).
Уровень других барьеров у респондентов, не посещающих
интернет-магазины, немного выше: 12% - отсутствие опыта и 19% непривычность
данной услуги.
Основными стимулами для покупки товара в интернет-магазине могут стать
советы знакомых, так ответило 23% респондентов, а также известность и репутация
магазина для 13% опрошенных. День Рождение друга и личная потребность не
являются движущими факторами для совершения покупки в интернет-магазине в
отличие от первой группы респондентов.
Несмотря на то, что представители данной группы не посещают
интернет-магазины, они высказывали свои предположения об их достоинствах и
недостатках. 40% респондентов предположили, что главным достоинством
интернет-магазина является экономия времен и сил, по сравнению с посещением
магазинов города. 24% считают достоинством наличие доставки, 20% - отсутствие
очередей в интернет-магазине. Почти все опрошенные считают, что у
интернет-магазинов есть преимущества перед магазинами города. Лишь 11%
респондентов ответило, что интернет-магазины преимуществ перед магазинами
города не имеют.
Главным недостатком интернет-магазинов 51% из всех опрошенных считают
отсутствие возможности посмотреть реально товар перед покупкой, а 30%
респондентов предполагают, что недостаток заключается в сложности процедуры покупки.
Последние предположения респондентов могут быть обоснованы их
неосведомленностью о деятельности интернет-магазинов и о процедуре покупки в
Интернете. Сегодня проблемы с оформлением заказов возникают очень редко, что
подтверждают ответы респондентов, посещающих интернет-магазины: только 11% из
них сталкивались с какими-либо трудностями.
Анализ данных показал, что в отличие от представителей первой группы,
данные респонденты не готовы приобретать в интернет-магазинах бытовую технику и
электронику. Но согласны покупать книги и канцтовары (55% из всех опрошенных),
а также билеты на различные мероприятия - 57%.
В силу того, что респонденты данной группы характеризуются большим
недоверием к интернет-магазинам (чем представители первой группы), 28% из них
считает, что качество товаров в интернет-магазинах хуже, чем в магазинах
города, при равных ценах. Лишь 14% полагают, что цена и качество одинаковы в
любом виде магазина, но всё же, большинство респондентов воздержалось.
Несмотря на то, что 49% респондентов не посещают интернет-магазины, 27%
из них скорее согласны приобрести товар через интернет-магазин, чем отказаться
от него совсем. И только 9% откажутся от товара.
Диаграмма
5 «Намерения респондентов относительно покупки товаров в интернет-магазинах».
Полного
согласия на приобретение товара в интернет-магазине никто из респондентов не
дал, что вполне логично, так как представители данной группы не посещали
интернет-магазины и не могут сразу быть полностью согласными на покупку товара
неизвестным им способом.
Общий
анализ данных, полученных от респондентов
Для
того чтобы сформировать выводы, необходимо проанализировать данные по различным
категориям.
В
ходе анализа полученных данных было обнаружено, что посещение респондентами
интернет-магазинов зависит от их возраста (таблица 3) и уровня дохода на члена
семьи (таблица 4).
Таблица
3 «Зависимость посещения респондентами интернет-магазинов от их возраста»
|
Характеристики респондентов
|
18-20
|
21-30
|
30-50
|
В совокупности
|
|
Посещают интернет-магазины
|
28%
|
16%
|
7%
|
51%
|
|
Не посещают
интернет-магазины
|
13%
|
15%
|
21%
|
49%
|
В таблице 3 отражена обратно пропорциональная зависимость между числом
посещений интернет-магазинов респондентами и их возрастом.
Чем старше респонденты, чем меньшее их число являются пользователями
услуг интернет-магазинов, о чем свидетельствует 7% опрошенных в возрасте от 30
до 50 лет. Наиболее активными пользователями являются студенты, в возрасте от
18 до 20 лет.
Также удалось установить, что число пользователей услугами
интернет-магазинов сокращается с увеличением доходов респондентов. Данная
зависимость показана в таблице 4.
Таблица 4 «Зависимость посещения респондентами интернет-магазинов от их
уровня дохода»
|
Характеристики респондентов
|
До 5000
|
5000-15000
|
15000-30000
|
Свыше 30000
|
В совокупности
|
|
Посещают интернет-магазины
|
7%
|
24%
|
15%
|
5%
|
51%
|
|
Не посещают
интернет-магазины
|
2%
|
15%
|
21%
|
11%
|
49%
|
Наиболее активными пользователями услуг интернет-магазинов являются
потребители с уровнем дохода на члена семьи от 5000 до 15000. Далее видно, что
с ростом дохода число посетителей интернет-магазинов сокращается с 24% до 5%.
Таким образом, можно сделать вывод, что чем больше уровень дохода потребителя,
тем меньше вероятность того, что он станет клиентом интернет-магазина.
Таблица 5 «Зависимость посещения респондентами интернет-магазинов от
частоты посещения Интернета»
|
Характеристики респондентов
|
Раз в месяц
|
Раз в неделю
|
Более 1 раза в неделю
|
Каждый день
|
В совокупности
|
|
Посещают интернет-магазины
|
0%
|
0%
|
13%
|
38%
|
51%
|
|
Не посещают интернет-магазины
|
0%
|
8%
|
18%
|
23%
|
49%
|
Из таблицы 5 видно, что подавляющее большинство респондентов посещают
Интернет каждый день (61%). Из них 38% респондентов посещают интернет-магазины.
Несмотря на то, что четкой зависимости параметров не наблюдается, можно сделать
вывод, что чем чаще потребители пользуются Интернетом, тем больше вероятность
того, что они воспользуются услугами интернет-магазинов. Данный вывод
подтверждает и то, что 8% респондентов, которые посещают Интернет всего раз в
неделю, не посещают вовсе интернет-магазины.
По результатам анализа данных стало ясно, что для большинства опрошенных
респондентов, независимо от того, являются ли они покупателями
интернет-магазинов или нет, главным барьером, который встает на пути покупки
товара в интернет-магазине, является неуверенность в качестве товара (так
ответило 36% из всех опрошенных). Существование данного барьера влечёт за собой
появление следующего по значимости барьера - для 35% респондентов это ощущение
риска быть обманутыми. Выводы сделаны на основе данных таблицы 6.
Таблица 6 «Распределение ответов на вопрос «Почему Вы не посещаете
интернет-магазины или не совершаете там покупки?»».
|
Причины
|
Отсутствие опыта
|
Риск быть обманутым
|
Неуверенность в качестве
товара/услуги
|
Непривычность услуги
|
Препятствий не существует
|
|
Посещают интернет-магазины
|
6%
|
28%
|
33%
|
11%
|
3%
|
|
Не посещают
интернет-магазины
|
12%
|
42%
|
39%
|
19%
|
0%
|
|
В совокупности
|
14%
|
35%
|
36%
|
16%
|
1,5%
|
Таблица 7 Распределение ответов на вопрос «Какие стимулы могут привести
Вас к совершению покупки в интернет-магазине?»».
|
Стимулы
|
Советы знак-ых
|
Личная потр-сть
|
День Рождение друга
|
Желание приобрести
необычный товар
|
Скидки
|
репутация магазина
|
Более низкие цены
|
|
Посещают интернет-магазины
|
14%
|
23%
|
22%
|
11%
|
29%
|
6%
|
24%
|
|
Не посещают
интернет-магазины
|
23%
|
7%
|
4%
|
8%
|
12%
|
13%
|
12%
|
|
В совокупности
|
18,5%
|
15%
|
13%
|
9,5%
|
20,5%
|
9,5%
|
18%
|
Чаще всего стимулом для совершения покупки через Интернет для 20,5%
респондентов является наличие скидок и подарков в интернет-магазине. Советы
знакомых и близких могут стать стимулом для 18,5% опрошенных, более низкие цены
могут привлечь 18% респондентов.
Таблица 8 Распределение ответов на вопрос, какие товары готовы
приобретать потребители в интернет-магазинах».
|
Товары
|
Книги, канц-ры
|
Бытовая техника
|
Косметика \парфюмерия
|
Продукты питания
|
Обувь \одежда
|
Товары для дома
|
Эл-ка
|
|
Посещающие
интернет-магазины
|
41%
|
25%
|
32%
|
0%
|
9%
|
26%
|
|
Не посещающие
интернет-магазины
|
55%
|
3%
|
14%
|
2%
|
5%
|
10%
|
2%
|
|
В совокупности
|
48%
|
14%
|
23%
|
1%
|
7%
|
18%
|
11%
|
Из таблицы 8 видно, что больше половины респондентов, как и предполагалось,
готовы покупать в интернет-магазинах билеты на различные мероприятия, 48%
респондентов - книги и канцтовары. Косметику и парфюмерию приобрели бы 23% из
всех опрошенных, в 18% - товары для дома. Данные товары не являются
высокотехнологичными и очень дорогостоящими, что может свидетельствовать об
общем низком уровне доверия к данным магазинам.
Таблица 9 «Соотношение цены и качества товаров в интернет-магазинах с
ценой и качеством товаров в магазинах города».
|
Соотношение цена-качество
|
Менее качественная, более
дорогая
|
Одинаковое качество и цена
|
Одинаковое качество, ниже
цены
|
Одинаковые цены, ниже
качество
|
Затруднились ответить
|
|
Посещающие
интернет-магазины
|
4%
|
18%
|
54%
|
22%
|
2%
|
|
Не посещающие
интернет-магазины
|
8%
|
14%
|
12%
|
28%
|
38%
|
|
В совокупности
|
6%
|
16%
|
33%
|
25%
|
20%
|
Большинство опрошенных респондентов (33%) считают, что качество
одинаковое, а цены в интернет-магазинах ниже, чем в магазинах города, но 25% из
всех опрошенных всё-таки сомневаются в качестве товаров в интернет-магазинах.
Качество товара, как и его цена, является для потребителя самой важной
характеристикой при совершении покупки (таблица 10), так как по сумме баллов у
данного показателя самый маленький результат. На втором месте наличие гарантии,
затем ассортимент продукции, на четвёртом месте известность магазина и потом
только наличие доставки.
Таблица 10 «Распределение ответов респондентов на вопрос «Проранжируйте в
порядке возрастания (1-очень важно, 5-совсем неважно) важность данных
характеристик для Вас при совершении покупки?»».
|
Показатели
|
Качество и цена товара
|
Ассортимент продукции
|
Наличие гарантии
|
Наличие доставки
|
Известность магазина
|
|
Посещающие
интернет-магазины
|
35
|
104
|
92
|
124
|
92
|
|
Не посещающие
интернет-магазины
|
41
|
104
|
78
|
126
|
138
|
|
Сумма баллов
|
76
|
208
|
107
|
250
|
230
|
Диаграмма 6 «Реакция респондентов на рекламу в Интернете».
На основе данных диаграммы 6 можно сделать вывод, что большинство
респондентов обращают внимание на рекламу в Интернете.
По результатам проведённого маркетингового исследования можно сделать
следующие выводы:
. Отношение респондентов к интернет-магазинам скорее нейтральное,
чем положительное, поэтому лояльность находиться на низком уровне.
. Основными внутренними барьерами потребителя перед совершением
покупки являются ощущение высокого риска быть обманутым, отсутствие опыта
приобретения товаров через интернет, общее недоверие к нетрадиционным формам
торговли.
. Внешние барьеры - барьеры ближнего окружения, накладываемые
самим производителем. Невозможность осмотреть товар со всех сторон, отсутствие
указанного в каталоге товара, дорогостоящие доставки, плохо отлаженные связи с
поставщиками и складами, отсутствие адекватной нормативно-правовой базы,
механизмов страхования рисков и разрешения конфликтов и споров.
. Чем больше доход потребителя и его возраст, тем меньше
вероятность того, что он станет клиентом интернет-магазина.
. Четверть респондентов посещает интернет-магазины для получения
подробной информации о товаре и магазине, а также для сравнения цен и товаров.
. Даже те респонденты, которые не пользуются услугами
интернет-магазинов, считают, что последние обладают рядом преимуществ:
интернет-магазин доступен огромному количеству пользователей, позволяет
продавать товары при существенном сокращении издержек и гарантирует
пользователям существенную экономию времени выбора товара и трудовых ресурсов
потребителя. Также в интернет-магазине продаются необычные и интересные товары.
. Для большинства респондентов важна не только цена товара, но и
его качество, сопутствующие гарантии, а уж потом только ассортимент и доставка.
. Потребители не готовы покупать дорогостоящие и технически
сложные товары в интернет-магазине, в связи с ощущением рисков и недоверия.
. Основные стимулы для совершения покупки - наличие положительного
опыта покупателей, советы друзей, известность магазина и его хорошая репутация,
и гарантия качества товара и возможности его замены.
. Для большинства респондентов покупка товара это праздник и
положительные эмоции, а также они обращают внимание на интересную рекламу.
Поэтому у производителей услуг интернет-магазинов есть все шансы привлечь
покупателей и повысить уровень лояльности к интернет-магазинам.
Рекомендации
Сегодня низкая цена - это не залог того, что покупатель будет
возвращаться снова и снова. Интернет-магазинам необходимо ориентироваться на
построение надежных и успешных отношений с клиентами. Поэтому, прежде всего,
продавец интернет-магазина должен представить покупателю полную информацию о
способах разъяснения споров, гарантии на товар и возможности использования
законов защиты прав потребителей, которые распространяются теперь и на
виртуальную торговлю - «Дистанционный способ продажи товара».
Также необходимо составлять текст договора, в котором будут определены
все условия покупки, гарантии и методы решения вероятных споров. Данные меры
обеспечат потребителю возможность в суде отстаивать свои права, гарантию
заключаемой сделки и качества товаров, которая так важна потребителю. А также
снизят недоверие покупателей к интернет-магазинам.
Владельцам интернет-магазинов следует тщательно продумывать и
организовывать удобный интерфейс сайта.
Наличие 3D навигации станет
реальным преимуществом интернет-магазина, так как потребитель сможет осмотреть
товар со всех сторон.
Повышение качества сервиса: быстрая налаженная система доставки,
обеспечение различных способов оплаты, онлайн консультация специалистов.
Владельцам интернет-магазинов необходимо создавать интересную, яркую
рекламу и распространять её не только в сети Интернет, но и за его пределами
(телевидение, улицы города). Так владелец сможет донести до потребителя
преимущества интернет-магазинов, простоту и безопасность его использования.
Массовая реклама сделает интернет-магазин известным, что для потребителя станет
дополнительным стимулом для совершения покупки.
Заключение
В результате выполнения курсовой работы были решены все поставленные
задачи и достигнута главная цель исследования - изучение поведение потребителей
в Интернет-магазинах. Установлено, что поведение потребителей зависит от многих
факторов и условий, при обеспечении которых владелец интернет-магазина сможет
привлечь клиентов и сформировать высокий уровень лояльности.
Информация, полученная в ходе исследования, не только подтвердила все
выдвинутые предположения в рабочей гипотезе о поведении потребителей услуг
интернет-магазинов, но и значительно расширила данный перечень.
В процессе исследования были отработаны навыки по предварительной
постановке задач исследования, по подготовке рабочих документов, навыки по
сбору, систематизации и обработке информации.
Список использованной литературы
1. Божук
С.Г. Маркетинговые исследования: Основные концепции и методы. - СПб.: Вектор,
2005
. Каменева
Н. Г., Поляков В. А. Маркетинговые исследования: Учеб. Пособие. - М.: Вузовский
учебник, 2005
. Голубков
Е.П. Маркетинговые исследования: Теория, методология и практика. - М.: Изд-во
"Финпресс", 1998
. #"579519.files/image001.gif">
, где
n - объем
выборочной совокупности;
∆
- ошибка выборки, определяющая надежность полученных результатов.
В
учебных целях возьмем приближенную ошибку выборки равную 10%.
n = 
= 100
Мы
получили, что необходимо опросить сто единиц генеральной совокупности при
проведении количественного исследования.
Приложение 3
Вопросник для проведения глубинного интервью.
Здравствуйте!
В настоящее время проводится маркетинговое исследование лояльности к
интернет-магазинам пользователей Интернета. Результаты данного опроса будут
использованы для определения методов усовершенствования работы
интернет-магазинов с учетом ваших потребностей. Вы окажете нам неоценимую
помощь, ответив на следующие вопросы:
. Как часто Вы пользуетесь интернетом?
2. Посещаете ли Вы интернет-магазины? С какой целью? Если нет, то
почему?
3. Как давно Вы совершали покупки в интернет-магазинах? Расскажите
подробнее: что, предпосылки покупки? Если не совершали, то почему?
4. Повлияет ли на Вас наличие положительного опыта или отзыва о
покупке через Интернет? Если, да - то каким образом? Если нет - то почему?
5. Назовите, пожалуйста, факторы или причины, которые мешают или
могут помешать Вам совершить покупку товара через Интернет?
6. Какие стимулы могут направить Вас на совершение покупки в
интернет-магазине?
7. Что Вы готовы приобретать в интернет-магазинах?
8. Продолжите фразу: «Когда я выбираю товар, для меня самым главным
является…»?
9. В чем, на ваш взгляд, заключаются преимущества интернет -
магазинов?
10. Как Вы считаете, существуют ли недостатки в интернет-магазинах?
Ответ обоснуйте.
11. Назовите, пожалуйста, известные Вам интернет-магазины? Откуда они
Вам известны?
12. Как Вы думаете, могут ли интернет-магазины заменить магазины
города? Ответ обоснуйте.
13. Собираетесь ли Вы совершить покупку в интернет-магазине в
ближайшее время?
Спасибо большое за ваши ответы!
Приложение 4
Анкета для проведения количественного исследования.
Здравствуйте!
В настоящее время проводится маркетинговое исследование лояльности к
интернет-магазинам пользователей Интернета. Результаты данного опроса будут
использованы для определения методов усовершенствования работы интернет-магазинов
с учетом ваших потребностей. Вы окажете нам неоценимую помощь, ответив на
следующие вопросы:
. С какой регулярностью вы посещаете Интернет?
Раз в месяц
Раз в неделю
Более одного раза в неделю
Каждый день
. Посещаете ли Вы интернет - магазины?
Да
Нет - переход к вопросу №4
. С какой целью посещаете интернет - магазины?
Покупки товара
Сравнения цен интернет-магазина с ценами в городе
Получение информации о товарах и магазине
Все вышеперечисленные варианты
Другое___________________________________________
. Почему Вы не посещаете интернет-магазины или не делаете там
покупок? Назовите не более двух причин.
ÿ Я совершаю покупки в интернете
ÿ Непривычность услуги
ÿ Недостаток информации о товаре
ÿ Отсутствие опыта
ÿ Ощущение риска быть обманутым
ÿ Нет в этом необходимости
ÿ Другое___________________________________________
. Проранжируйте в порядке возрастания (от 1-очень важно до 5 -
совсем не важно) важность данных характеристик для Вас при совершении покупки.
Цена, качество
Ассортимент продукции
наличие гарантии
доставка товара
известность магазина
. Поход по магазинам для Вас это…?
Праздник, положительные эмоции
Обусловленная необходимость (замена изношенной вещи, день
рожденье друга)
Головная боль и трата времени
Другое__________________________________________
. Какой товар Вы готовы приобретать через Интернет (возможно
несколько вариантов ответа)?
Книги, канцтовары
бытовая техника
электронная техника (телевизоры, музыкальные центры)
косметика, парфюмерия, аксессуары
продукты питания
различные товары для дома
одежду, обувь
билеты в театр, кино, на концерты
другое___________________________________________
. Отметьте, пожалуйста, факторы (НЕ более 3х), которые могут
помешать Вам совершить покупку в интернет-магазине?
Препятствий не существует
Неизвестность магазина
Неуверенность в качестве товара
Отсутствие консультантов
Сложность процедуры покупки
Недостаточный ассортимент
Нельзя посмотреть товар лично до покупки
Затрудняюсь ответить
. Как Вы считаете, существуют ли преимущества интернет-магазинов
перед магазинами города?
ÿ Нет
ÿ Если да, какие (отметить НЕ более трех вариантов):
o Экономия времени и сил
o Возможность получения полной
информации о товаре
o Широкий ассортимент товаров
o Наличие доставки на дом
o Отсутствие консультантов
o Отсутствие скопления покупателей и
очередей
o Другое________________________________________
ÿ Затрудняюсь ответить
. Какой из нижеперечисленных стимулов может привести Вас к совершению
покупки в интернет-магазине:
Советы знакомых и близких
Личная потребность в товаре
День рожденье друга/родных
Желание приобрести необычный товар
Скидки, подарки и акции в интернет - магазине
Известность и репутация магазина
Более низкие цены
Другое___________________________________________
. Продолжите высказывание «Я считаю, что продукция в
интернет-магазинах (по сравнению с продукцией в магазинах города)...»?
Более качественная и более дорогая
Более качественная, но менее дорогая
Менее качественная, но более дорогая
Абсолютно одинаковое качество и цена
Одинаковое качество, но ниже цены
Одинаковые цены, но ниже качество
Затрудняюсь ответить
. Оцените Вашу потребность в Интернет-магазинах по пятибалльной
шкале (1-высокая потребность, 5 - отсутствует).
1
2
3
4
5
. Укажите степень правильности данного утверждения «Если товар
отсутствует в магазинах города, то Я скорее куплю товар в интернет-магазине,
чем откажусь от него совсем»?
Полностью согласен
Скорее согласен
Затрудняюсь ответить
Скорее не согласен
Полностью не согласен
. Вы обращаете внимание на рекламу в Интернете?
Да, всегда
Да, если реклама красивая и оригинальная
Стараюсь не обращать внимания
Нет, никогда
Пожалуйста, ответьте на несколько вопросов о себе:
. Ваш пол
М
Ж
. Ваш возраст
18-20
21-30
30-50
. Семейное положение
Женат/ замужем
Холост/не замужем
. Образование
Среднее
Средне специальное
Высшее
. Род деятельности
Студент
Менеджер
Служащий
Безработный
Предприниматель
Другое____________________________________
. Оцените Ваш уровень дохода (в месяц на члена семьи):
До 5000 руб.
5000-15000 руб.
15000-30000 руб.
Свыше 30000 руб.
Спасибо за участие!
Приложение 5
Бюджет исследования.
|
Статья затрат
|
Сумма (руб.)
|
Обоснование включения
статьи затрат
|
|
1.Оплата Интернет трафика
|
900 руб.: 450 руб. -
фиксированная плата за месяц использования Интернета компании InterZet, который был нужен на протяжении двух месяцев. Таким образом, 450
руб.*2 мес. = 900 руб.
|
Данные затраты были
необходимы для поиска и разработки проблемы исследования.
|
|
2. Тиражирование рабочих
документов
|
404 руб.: 100 шт.+1
шт.*4руб/шт.=400 руб.
|
Необходимо было напечатать
анкеты для полевого опроса (100шт.) и вопросник для глубинного интервью (1шт.).
|
|
3. Канцелярские
принадлежности и материалы для интервьюеров
|
15 руб.: 1 ручка стоит 15
руб/шт. В исследовании был задействован 1интервьюер, соответственно, 1 шт.
*15 руб. = 15 руб.
|
Необходимо было обеспечить
интервьюеров канцелярскими принадлежностями.
|
|
4. Оплата проезда
интервьюеров
|
500 руб.: Фиксированная
плата за проездной льготный билет сроком действия один месяц.
|
Необходимо было обеспечить
возможность интервьюера добраться до места проведения опроса.
|
Исследование проводиться единолично автором данной работы, поэтому такие
статьи расходов, как заработная плата, аренда помещений, амортизация
оборудования исключены.
Итого: бюджет исследования составил 1819 рублей.
Приложение 6
Заполненные первичные документы и необработанные ответы
респондентов на вопросник.
Респондент 1 специалист фотоники, 23 года
. Я пользуюсь интернетом каждый день. Это связано с моей работой.
Также я люблю смотреть там новости и проводить свой досуг.
. Я часто посещаю интернет-магазины, мне интересно знать, какой
спортивные товары продаются, по какой цене. Часто увижу в рекламе, что
продаётся что-то интересное, и подробнее выясняю на сайте магазина. Сравниваю
цены на сайтах с ценами в магазинах города.
. Не так давно (полгода назад) я купил себе в Интернете телефон. О
покупке не жалею. Купил в интернет-магазине, потому что в городе он уже не
продавался: новая модель, быстро раскупили. Ещё в е акция была: давали скидку,
при оформлении в тот день, когда я информацию начал искать о телефоне. Это и
подвигло меня на покупку. Также недавно купил другу на день рождение хоккейную
кофту. Вышло дёшево - оптом заказал сразу на всю команду 8 штук - очень
выгодно. К тому же из Москвы привезли - эксклюзивно!
. Да, повлияет, меньше будет сомнений по - поводу того, покупать
или нет. И точно буду знать, в каком интернет-магазине покупать безопасно.
. Возникает много сомнений по поводу правдивости гарантии на
товар, которую обещают на сайте интернет-магазина. Переживаю, вдруг выбранный
товар окажется с браком или не тот, что я заказывал. На некоторых сайтах нет
возможности посмотреть товар с нескольких сторон. Дорогая доставка заставляет
искать другие интернет-магазины или вовсе отказаться от покупки.
. Предстоящее День Рождение друга, отсутствие товара в магазинах
города, возможность увидеть товар во всех ракурсах, акции, скидки, бесплатные
доставки.
. В Интернете готов приобретать технику, книги, билеты на
различные мероприятия. Не купил бы дорогостоящую технику, слишком рискованно.
Продукты питания тоже опасно. Неизвестно откуда их везут, как они выгладили до
того как я их купил, где ранились. Одежду не могу приобретать в
интернет-магазинах. Трудно точно выбрать свой размер. Редко когда соглашаются
привезти несколько пар. Его качество и внешний вид. За качественную вещь не
жалко и много денег отдать.
. Его качество и цена.
. Не нужно выходить из дома и тратить время для того, чтобы
добраться до магазина. Экономит сил. Я бы не сказал, что в интернет-магазине я
совершаю покупку быстрее, наоборот, рассматривается столько вариантов, сколько
в городе уж точно не найдешь. Поэтому иногда получается даже дольше.
Нет консультантов, которые постоянно «стоят над душой» в ожидании того,
что ты что-то спросишь. Ещё я точно могу быть уверен в достоверности
информации, которую получаю о товаре, так как всегда могу её проверить
непосредственно на сайте производителя.
. Один из главных недостатков - это отсутствие возможности
просмотреть товар со всех сторон.
11. Ozon, vitagol, leonsport, «Точка отрыва» и другие, имеющие
отношение к спорту.
. Нет. Потому что не все товары можно покупать в Интернете.
. Да, хочу купить хоккейную экипировку. В Интернете будет дешевле.
Респондент 2 женщина, 31 год, бухгалтер.
. Интернетом пользуюсь только по необходимости, но довольно часто.
. не посещаю, была как-то раз на одном сайте магазина, и то только
потому, что увидела рекламу о распродаже.
. Нет, никогда ничего не покупала в подобных магазинах. Потому что
я в этом совсем не разбираюсь, и нет времени на освоение правил покупки.
. Не знаю, в моём окружении никто не пользуется интернет-магазинами.
Даже если кто-то купит что-то без последствий, то раз на раз не приходится. Тем
более, что мои близкие всегда отговаривали меня от этой идеи.
. Я не умею и не хочу разбираться в нюансах покупки, сомневаюсь в
качестве товаров, не хочу быть обманутой, поэтому даже не хочу пробовать
покупать что-либо. Не доверяю данному роду деятельности.
. Если бы точно знала, что не обманут, дадут возможность вернуть
товар, и объяснят как пользоваться сайтом.
. Может что-то не дорогое, чтобы не было серьёзных проблем.
Например, посуду или книги.
. Цена, если дорого не стану покупать. И гарантия, мне часто
приходиться возвращать вещи. Это связано зачастую не с браком, а с моим
разочарованием в вещи, характером.
. То, что ехать никуда не нужно было бы, это большой плюс. Но, к
сожалению приходиться.
. Мне кажется, что невозможно разобраться в том количестве
информации и мелькающих объявлениях, которые представлены на сайте
интернет-магазина.
. Я не помню, как он назывался.
. Нет. Я даже не могу себе этого представить.
. Нет, не планирую.
Респондент 3 студентка 19 лет
. Каждый день. Там много всего интересного.
. Да, довольно часто я посещаю интернет-магазины. Просто так я на
них не захожу, времени нет. Часто ищу подарки близким и друзьям, сравниваю цены
с ценами магазинов города. Ищу что-нибудь эксклюзивное и необычное.
. Покупала год назад подарки друзьям на День Рождение: часы и мини
казино. Для себя ничего не покупала, просто нет времени.
. Да, конечно. Я буду знать, в каком интернет-магазине лучше
покупать.
. На некоторых сайтах очень медленно загружаются странички, сил не
хватает ждать. Иногда ничего не понятно во множестве ссылок и в безразмерном
количестве информации о достоинствах магазина, а по делу ничего не найти.
Иногда бывает, что товары дороже, чем в городе, очень яркое и сумбурное
оформление сайтов.
. Если бы можно было онлайн задать вопрос консультанту и сразу
получить ответ, бесплатная доставка, возможность сравнить несколько вариантов
при доставке. Я когда часы покупала, для сравнения попросила трое привезти, в
итоге выбирать было не из чего. Привезли только два вида часов, а вторые вообще
не те, что я просила.
Конечно, разные бонусы, скидки.
. Книги, билеты на различные мероприятия, необычные товары.
. Его цена, качество и возможность реализовать свои права
потребителя.
. Ты дома заказываешь товар, и тебе его привозят - очень удобно!
Ещё в интернет-магазине можно купить неординарный подарок, который не найдёшь в
магазинах города (уточка - радио в душ =)). Также в интернет-магазинах нет
скопления покупателей перед праздниками.
. О недостатках респондент рассказал в ответе №5.
11. Swotchess, там я купила часы, Ozon - часто там друзья что-то покупают и магазин
необычных подарков «Подарки.ру»
. Думаю, что нет. Иногда хочется развлечься, прогуляться, что может
быть занятнее и веселей гулять в торговых центрах, где все так красиво, а потом
сделать покупку. Это не заменимо!
. Возможно, хочу покататься на зимней тройке, нужно купить
абонемент.
Респондент 4 домохозяйка, 41 год
. Да, часто провожу там своё свободное время.
. Бывала несколько раз на сайтах, смотрела необычные подарки.
. Нет, ничего не покупала. Не знаю, просто никогда этого не
делала.
. Да, возможно я решусь купить то, что мне понравилось.
. Я не знаю, как это правильно сделать, может потом будут что-то
требовать, какие-то доплаты, а вдруг товар не понравиться, как я его верну. Тем
более на тех сайтах, что я была, требовалась предоплата.
. Наверное, популярность магазина. Возможность оплатить в
рассрочку, а не с предоплатой.
. Необычные товары, сумки, ремни и кошельки.
. Его цена; в интернет-магазинах цены ниже, чем цены в городе, я
давно это заметила.
. В том, что они продают по более низким ценам, можно сравнить
много товаров.
. Да, я уже, кажется, упоминала про предоплату, а ещё меня смущает
виртуальность магазина. Например, то, что нельзя потрогать вещь, убедиться в её
реальности. Может, когда мне её привезут, она будет не такая, а деньги за
доставку придётся заплатить. Часто цены указаны в USD - меня это дизориентирует сразу!!
11. Ozon, знаю, потому что везде рекламирует себя, популярный. «Подарки.ру» тоже
известны очень.
. Да, я давно хотела, надо как-нибудь попробовать.
Респондент 5 мужчина, 36 лет, менеджер.
. Каждый день.
. Нет, не посещаю интернет-магазины.
. Вопрос не был задан, так как ответ очевиден.
. Да, я не исключаю такой возможности. Но в моём окружении никто
не пользуется интернет-магазинами, поэтому маловероятно, что кто-то сможет
посоветовать.
. Просто я никогда не пользовался данным видом магазинов и не
слышу о том, что кто-то там совершает покупки.
. Популярность данных магазинов или отсутствие магазинов в городе.
. Возможно, товары для автомобиля. Продукты питания точно не стал
бы покупать!! Да и многое другое можно найти в магазинах города.
. Его необходимость. Если товар очень нужен, то тогда серьёзно
подхожу к покупке, а если так, повседневная покупка, то, наверное, качество.
. Респондент затруднялся ответить. Я задала ему вопрос о низком
уровне цен.
На сайте дешевле??? Не знаю, правда ли это.
. Я так про них мало знаю, но полагаю, что главный недостаток -
это сложность оформления и оплаты покупки.
. Слышал об Ozone,
если я только не ошибаюсь.
. Вполне, в будущем. Мне, кажется, что всё к этому идет. Прогресс.
. Пока нет.