Компания MEDIAPRINT: развитие системы программ лояльности в Московском регионе
ФЕДЕРАЛЬНОЕ АГЕНТСТВО ПО ОБРАЗОВАНИЮ
ГОСУДАРСТВЕННОЕ ОБРАЗОВАТЕЛЬНОЕ
УЧРЕЖДЕНИЕ
ВЫСШЕГО ПРОФЕССИОНАЛЬНОГО ОБРАЗОВАНИЯ
«РОССИЙСКИЙ ЭКОНОМИЧЕСКИЙ
УНИВЕРСИТЕТ ИМ. Г.В. ПЛЕХАНОВА»
ФАКУЛЬТЕТ МАРКЕТИНГА
Кафедра маркетинга Специальность
08.01.11 «Маркетинг»
ДИПЛОМНАЯ РАБОТА
ТЕМА: Компания MEDIAPRINT: развитие системы программ
лояльности в Московском регионе
Студента факультета маркетинга
Ситникова Ирина Сергеевна гр. 1508
Научный руководитель выпускной
работы Ивашкова Н.И., к.э.н., проф.
Москва - 2011
Содержание
Введение
Глава 1. Обзор основных видов
и методов лояльности
1.1 Понятие и классификация
лояльности
1.2 Основные этапы разработки
программ лояльности
1.3 Основные виды программ
лояльности клиентов
1.4 Методы оценка
эффективности программ лояльности
Глава 2. Анализ развития
программ лояльности потребителей в Москве и Московском регионе
2.1 Бонусные программы
лояльности
2.2 Дисконтные программы
лояльности
2.3 Коалиционные программы
лояльности
Глава 3. Программа развития
дисконтной системы «Удачная покупка» в Московском регионе
3.1 Общие сведения по
программе развития дисконтной системы «Удачная покупка» в Московском регионе
3.2 Основные этапы разработки
дисконтной системы «Удачная покупка»
Заключение
Список использованной
литературы
Приложение
Введение
В современных условиях развития рыночной среды многие компании понимают,
что выгоднее удерживать постоянных клиентов, основным фактором успеха любого
предприятия является верность и доверие потребителей, то есть лояльность
потребителей.
Лояльностью является благоприятное отношение потребителей к данной
компании, и является основой для стабильного объема продаж. Лояльность является
успешным показателем компании на рынке.
Существует несколько видов лояльности: лояльность потребителей, лояльность
дистрибьюторов и лояльность персонала. В каждой лояльности лежат свои основные
цели и своя целевая аудитория. Для формирования лояльности потребителей
компании создают специальные программы лояльности.
Существует несколько видов программ лояльности клиентов: бонусная,
коалиционная и дисконтная программа и розыгрыши призов. Бонусные, дисконтные
программы и розыгрыши призов направлены на привлечение клиентов в компанию.
Коалиционные программы направлены на привлечение клиентов и на привлечение
новых партнеров в данную программу.
Целью дипломной работы является предложение по развитию системы программ
лояльности компании MEDIAPRINT.
Основными задачами дипломной работы являются:
. Обзор основных видов и методов лояльности.
2. Анализ развития программ лояльности потребителей в Москве и
Московском регионе.
. Предложение по развитию дисконтной системы «Удачная покупка» в
Московском регионе компании «MEEDIAPRINT».
В дипломной работе использованы специализированные источники литературы,
периодические издания, специализированные интернет-источники, данные
исследовательских компаний и данные полученные в ходе прохождения практики от
компании «MEDIAPRINT». Основными методами решения задач
являются изучение специализированных источников литературы и использования
аналитических моделей в изучение лояльности и программы лояльности, разработка
основных этапов дисконтной системы в Московском регионе.
Глава 1.
Обзор основных видов и методов лояльности
.1 Понятие и
классификация лояльности
В современном мире компании стараются быть ближе к своему потребителю, и
такая тенденция не является добровольным выбором самих компаний, так как этому
способствует рыночная среда. Многие компании осознали, что выгоднее удерживать
постоянного клиента, чем искать новых клиентов. На рынке где постоянно растет
конкуренция, компании для удержания клиентов недостаточно просто сделать
хорошее предложение. Некоторые специалисты компаний считают, что основным
фактором успеха любого предприятия является верность и доверия потребителей, то
есть лояльность потребителей. Лояльностью является благоприятное отношение
потребителей к данной компании, продукту и является основой для стабильного
объема продаж. Лояльность является успешным показателем компании на рынке.
Лояльность (англ. loyalty - верность) - характеристика клиента,
покупателя, определяющая его приверженность определенному продавцу, бренду.
В маркетинговой литературе выделяют три типа лояльности:
. Транзакционная лояльность, рассматривающая изменения в поведении
покупателей (например, показатели повторной покупки, доля определенной торговой
марки в общих объемах покупок по товарной категории, количество купленных
марок). Но при этом не указываются факторы, вызывающие данные изменения.
2. Перцепционная лояльность, главным аспектом являются субъективные
мнения потребителей и их оценки, которые включают в себя достаточно широкий
спектр чувств по отношению к марке, таких как удовлетворенность,
заинтересованность, хорошее отношение, чувство гордости, дружба, доверие. Этот
тип лояльности измеряется с помощью опросов покупателей и позволяет
прогнозировать изменения спроса на продукцию в будущем.
. Комплексная лояльность, рассматривающая комбинацию двух
перечисленных выше аспектов. В пределах комплексной лояльности можно выделить
несколько подтипов:
· истинная лояльность - возникает тогда, когда потребитель удовлетворен
маркой и регулярно покупает ее. Эта часть клиентуры наименее чувствительна к
действиям конкурентов;
· ложная лояльность - проявляется тогда, когда потребитель
покупает марку, но при этом не испытывает ни удовлетворения, ни эмоциональной
привязанности к ней. Данная группа потребителей покупает марку в связи с
сезонными или накопительными скидками или же в связи с временной недоступностью
марки, которая ему больше нравится. При первом удобном случае подобный
потребитель сразу же перестанет пользоваться этим брендом и перейдет на бренд,
к которому он испытывает чувство привязанности;
· латентная (скрытая) лояльность - проявляется в ситуациях,
когда потребитель высоко оценивает марку, но не имеет возможности часто
приобретать ее, однако, когда у него появляется такая возможность, он
приобретает именно ее;
· отсутствие лояльности - состояние, при котором потребитель не
удовлетворен маркой и не покупает ее.
В современном маркетинге различают несколько видов лояльности:
. Лояльность персонала(B2B).
2. Лояльность дистрибьюторов (B2D).
. Лояльность потребителей или лояльность клиентов (B2C).
Лояльность персонала (B2B) - это характеристика персонала,
определяющая его приверженность организации, одобрение ее целей, средств и
способов их достижения, открытость своих трудовых мотивов для организации. В
разных источниках литературы используется несколько терминов раскрывающие
разные аспекты лояльности персонала. Такое понятие как «благонадежность» можно
подразумевать в широком смысле слово как законопослушность, так же в отношениях
с компанией превращается в соблюдение норм, целей и ценностей данной компании,
следовать требованиям и регламентам. Существует несколько понятий лояльности
персонала:
. Приверженность организации (обязательства) - описывает, насколько
люди чувствуют свою принадлежность и привязанность к организации,
подразделениям.
Существует три основных компонента приверженности организации:) Аффективная
приверженность - это когда люди остаются в организации, потому что хотят этого.
При аффективной приверженности может быть ситуация когда принадлежность к
компании воспринимается как принадлежность к семье.
b) Нормативная приверженность - сотрудники убеждены, что обязаны
сделать это. В нормативной приверженности морально-этические нормы не позволяют
сотруднику уйти из компании.) Обязательная приверженность - когда
сотрудники ориентированы на последствия, люди остаются в организации, так как
считают, что должны делать это. В обязательной приверженности сотрудник
просчитывает затраты, которые может понести с уходом из компании.
2. Идентификация организации - безграничная привязанность сотрудников к
организации.
3. Вовлеченность как форма идентификации - это идентификация с
деятельностью, когда человек вовлекается в работу и становится смыслом жизни.
Для определения лояльности сотрудников HR-менеджерам следует выяснить, что лежит в основе
взаимоотношений с компанией, и предпринять для возникновения и укрепления
лояльности каждого сотрудника. Необходимо спрогнозировать организационное
поведение персонала, на этапе перемен и изменений в компании. Сотрудник может
так же имитировать лояльность организации, так как на данном этапе жизненного
пути ему выгодно. Или сотрудник обладает значительной лояльностью, привержен
данной организации, но организация игнорирует сотрудника и не дает раскрыться,
не подкрепляет его лояльностью грамотной системой мотивации, стимулирования
труда.
Для компании идеальный вариант это лояльность, основанная на мотивации,
приверженности.
Существует несколько параметров лояльности сотрудников:
. Высокие показатели трудовой деятельности.
2. Стаж работы в организации.
. Инициативность.
. Общественная деятельность.
. Отсутствие нареканий.
Лояльность дистрибьюторов (B2D) ориентирована на создание
партнерских отношений, ориентированных на повышение прибыльности совместного
бизнеса. Её участники более рациональны и менее эмоциональны в оценке
привилегий, но они должны затрагивать как компанию, так и ее сотрудников.
Лояльность дистрибьюторов стимулирует переход дистрибьюторов конкурентов, что
дает новые ресурсы в борьбе за рыночные позиции. Для формирования лояльности
дистрибьюторов необходимо знать, что представляет наибольшую ценность при
реализации продукции компании производителя. Существуют факторы формирования
лояльности дистрибьюторов:
· Экономические факторы: цена, скидка, бонусы, условия оплаты.
· Товарно-ассортиментные факторы: качество товаров, ширина и
глубина ассортимента.
· Сервисные факторы: условия доставки, сроки и гарантии, комплектация,
техническая поддержка.
Для измерения степени удовлетворенности дистрибьюторов в качестве
жизненного важного инструмента руководству организации необходимо организовать
процесс запроса информации, измерения и мониторинга обратной связи по
удовлетворенности партнеров, чтобы предоставлять информацию на постоянной
основе и учитывать требования дистрибьюторов и определять ценность при
реализации продукции. Ценность является важным элементом организационной
культуры. В систему ценностей предприятия входит морально-нравственные ценности
работников, клиентов и дистрибьюторов. Лояльностью дистрибьюторов и
организационной культурой существуют точки соприкосновения, которые становятся
ключевыми факторами воздействия на посредников для повышения уровня лояльности
компании. Организационная культура предприятия может воздействовать на
формирование лояльности и повышение уровня удовлетворенности дистрибьюторов
посредством разработки и провозглашение определенных ценностей.
Лояльность потребителей (B2C) обозначают положительное отношение
клиентов к компании, услугам, персоналу и имиджу, а так же фирменному стилю.
Преданный бренду потребитель тратит больше, не обратит внимания на повышение
цен, будет рассказывать о любимой марке знакомым, тем самым привлекая к ней новых
покупателей.
Существуют меры по повышению лояльности потребителя:
· увеличивающие полезность услуги,
· усиливающие интенсивность контактов.
Феномен лояльности потребителей в чистом виде можно рассматривать как с
позиции «входа»- предпосылок, так и с позиции «выхода» - результатов.
Содержание понятия «лояльность потребителя» с позиции «входа-выхода»:
Подход с позиции «входа», увеличивающий полезность услуги. Имеется в виду
систематический выбор и организация компанией мероприятий, воздействующих на
группы клиентов таким образом, чтобы после первой покупки были совершены и
повторные. Вариантом управления лояльностью клиента на практике являются
технические или экономические мероприятия, которые вынуждают клиента сохранять
деловые связи со своим первым поставщиком благодаря так называемым «барьерам
мобильности» - например, невозможности повторного использования продукции при
смене партнера.
Подход с позиции «выхода», усиливающий интенсивность контактов. Выявление
фактических моделей поведения, которые отражают действительно достигнутую
предприятием степень лояльности клиента. В качестве объекта повторной покупки
может выступать как отдельная услуга, так и разные услуги, которые предлагаются
предприятием. Ориентация на клиента означает принципиальную позицию предприятия,
которая отражает в деятельности всех его подразделений и сотрудников.
Лояльность потребителя с обеих точек зрения не может быть выражена
пороговой величиной, перешагнув которую клиент мог бы быть однозначно
квалифицирован в качестве лояльного клиента. Ее нельзя рассматривать в строгом
смысле как результат позиции и поведения клиента, поскольку со временем
интенсивность благожелательности может сильно измениться. В целевой системе
предприятия лояльности клиента придается большое значение, так как предполагается,
что она помогает увеличивать продажи и повышать цены, а также снижать сбытовые
издержки, позитивно влияя тем самым на прибыльность.
Существуют также свои программы лояльности потребителей, подробнее о
каждом виде будет рассмотрено чуть дальше.
1.2 Основные
этапы разработки программ лояльности
Программа лояльности - это заключение долгосрочных взаимовыгодных
программ сотрудничества между клиентами и компанией.
Существует несколько целей программ лояльности: ключевые, основные и
второстепенные цели. На рисунке 1.1 представлены ключевые и основные цели
программы лояльности.
Рис.1.1 Цели программы лояльности клиентов.
Второстепенные цели программы лояльности это:
. Улучшение имиджа продукта, торговой марки и компании в целом.
2. Повышение количества посещений точек продажи клиентами путем
проведения распродаж, рекламных акций.
. Стимулирование потребителей к совершению частых повторных
покупок путем постоянного напоминания.
. Способствование поддержанию постоянных связей с общественностью
благодаря постоянным отчетам о программе лояльности в СМИ.
. Оказание дополнительной поддержки клиентам, кроме поддержки,
предоставляемой дилерами.
. Поддержание дилерской сети, проведение специальных презентаций.
Ключевая цель программы лояльности является финансовая составляющая. Ф.
Райхельд рассматривает экономический эффект, который дает лояльность компаниям.
Он считает, что, повысив коэффициент удержания потребителей всего на 5%,
компании могут повысить пожизненную стоимость покупок на 35 - 95%. Выделяются
такие экономические составляющие лояльности как: затраты на приобретение
клиента, на базовую прибыль, рост дохода на одного потребителя,
эксплуатационные/операционные затраты, прибыль от упоминания/рекомендации, ценовая
премия. Райхельд отмечает определенные экономические выгоды: легкость
обслуживания потребителей при долгосрочном взаимодействии, что ведет к снижению
эксплуатационных/операционных затрат, прибыль от упоминания/рекомендации.
Райхельд полагает, что «потребители, появляющиеся после личных рекомендаций,
обычно более привлекательны как клиенты, т. е. обеспечивают большую доходность
и остаются взаимодействовать с компанией дольше, чем клиенты, реагирующие на
рекламу, распродажи и ценовое продвижение». Наконец, лояльные потребители менее
чувствительны к цене, им хорошо известны все продуктовые линии компании, и они
не стремятся экономить на покупках.
Существуют четыре этапа разработки программы лояльности:
Первый этап это ситуационный анализ входит:
· Выявление групп ключевых потребителей компании.
· Анализ предложения компании.
· Определение стратегии удержания ключевых потребителей.
Второй этап это разработка концепции программы:
· Постановка целей программы лояльности (финансовых и нефинансовых,
связанных с удержанием клиентов или предполагающих использование программ для
привлечения потребителей).
· Выделение целевых групп программы лояльности.
· Определение типа программы лояльности.
Третий этап это экономическая оценка:
· Выбор типа вознаграждения (определение конкретных привилегий в рамках
дисконтных и бонусных схем, либо клубных программ).
· Разработка экономического обоснования программы лояльности.
Расчет затрат по внедрению и разработки программы, определение ежегодных
расходов на предоставление привилегий и расчет предполагаемого экономического
эффекта от программы.
Четвертый этап это подготовка к внедрению:
· Информационное обеспечение.
· Технологическая платформа.
· Организационные аспекты.
· Маркетинговые коммуникации.
· Показатели эффективности программы лояльности.
Отношение оценки эффективности программы лояльности нужно отметить, что
анализ успешности большинства из них опирается на поведенческие показатели
лояльности (прежде всего рост объема продаж или увеличение повторных покупок).
Подход не принимает во внимание эмоциональных компонентов лояльности, без
которой формирование истинной приверженности невозможно. Неудачные внедрения
программы лояльности обусловлены действием двух факторов связанных между собой:
недостаточного понимание потребителей и плохое планирование программы.
При разработке программы лояльности и внедрения программы лояльности
необходимо соблюдать «12 законов клиентской лояльности»:
1) Выстройте лояльность персонала: угодите своим сотрудникам, а они, в
свою очередь, угодят вашим клиентам.
2) Применяйте правило 20/80: приблизительно 80% ваших доходов вы
получаете от 20% ваших клиентов.
) Создайте стадии лояльности и следите за тем, чтобы ваши клиенты
продвигались от одной к другой: клиент становится лояльным компании, а так же
её продуктам и услугам постепенно, пошагово.
) Сначала обслужите, а потом продавайте: потребители считают, что
приходят к вам, потому что ваши услуги приятны, продуктивны и адресованы лично
им; если это не так - они уходят.
) Тщательно выискивайте жалобы клиентов: хуже всего, негативные
отзывы о вас клиентами.
) Будьте отзывчивы: скорость ответа тесно связана с
представлениями потребителей о хорошем сервисе. Всё больше клиентов
рассчитывают на круглосуточное обслуживание.
) Знайте, что ценно для ваших клиентов: вложите деньги в
исследования клиентской лояльности, которые позволят вам понять, насколько вы
удовлетворяете запросам клиента.
) Возвращайте утраченных клиентов: вернуть старого клиента в 2
раза более вероятно, чем завоевать нового.
) Используйте различные каналы для того, чтобы хорошо обслужить
клиента: клиенты часто меняют каналы связи, но всюду ждут хорошего
обслуживания.
) Займитесь обучением специалистов по работе с клиентами.
) Сотрудничайте с партнерами: контролируя всю цепочку снабжения с
целью обеспечить качественную услугу конечному потребителю, вы оказываетесь вне
досягаемости конкурентов.
) Храните информацию в одной централизованной базе данных: данные
из всех точек контакта с клиентами должны храниться в одной централизованной
клиентской базе данных.
1.3 Основные
виды программ лояльности клиентов
Программа лояльности бывает открытого и закрытого типа. Открытые
программы лояльности не делают жестких ограничений на участников, потенциальным
клиентам легче получить доступ к ним. Наличие мотивации к участию в программе
не является обязательным условием. Аудитория подобных программ шире, что
приведет к размыванию программы. Закрытые программы лояльности предназначены
для ограниченного круга участников, поскольку для вступления в программу клиент
должен соответствовать определенным критериям. Для участия в программе может
быть уплата вступительного взноса, заполнение анкеты, совершение определенного
количества покупок. В закрытой программе участие предполагает наличие мотивации
потребителей.
Принятие решение об основание закрытой или открытой программы лояльности
определяется на, каких клиентов ориентируется компания, на новых или
привлеченных. Преимуществом открытых программ является: большое число
участников, более полная база данных (возможность сегментации), легкость
подключения (более низкий уровень ожиданий потребителей), покрытие затрат на
программу за счет числа участников.
Преимущество закрытых программ является: концентрация на целевой группе,
ограничение участия нежелательных клиентов, взаимодействие более эффективно
(выше ожидания потребителей), покрытие затрат на программу за счет членских
взносов.
Так же существуют другие виды программ лояльности клиентов:
. Дисконтная программа.
2. Розыгрыш призов.
. Бонусная программа.
. Коалиционная программа.
1. Дисконтная программа. Предоставляет клиенту скидку в момент совершения
покупки. Скидки предоставляются по дисконтной карте, которые могут быть
фиксированные или накопительные. В накопительной системе размер скидки зависит
от предыдущих трат клиента - чем больше клиент потратил за все время
использования услуги компании, тем более существенную скидку получит на все
последующие покупки.
Плюс дисконтной программы, является заложения в нее принцип
предоставления клиенту льгот на постоянной основе, стимулирует покупателя
использовать услуги только одной определенной компании.
Минус дисконтной программы является то, что если покупатель получает
меньший дисконт, то предложение для него становится просто не интересно. Если
ориентироваться только на клиентские предпочтения, то дисконтная программа
может стать убыточной.
. В розыгрыше призов приветствуются материальные выгоды, но больше
всего является основная выгода это эмоциональная. Клиент получает приз,
полученный в результате «счастливого случая». Эффективность розыгрыша призов не
слишком высока участие является пассивным. Механизм определения победителя
непрозрачен и поэтому усиливает пассивность «участников».
3. Бонусная программа подразумевает накопление клиентов специальных
баллов, которые в дальнейшем он может обменять на ценные подарки из каталога
компании. Основной плюс бонусной программы является использования материального
стимула накопления баллов, что может обеспечить экономическую целесообразность
акции. Данное стимулирования оказывает экономически целесообразным, чем
предоставление дисконтной программы, так как соотношение потребителем
полученных бонус и стоимости сделанных им покупок может оказаться для компании
выгоднее. Бонусные программы являются более эмоциональными, клиент принявший предложение
к участию в программе будет заинтересован в накопление бонусов, а значимость
стоимости предлагаемых товаров снизится для него. Данная программа стимулирует
потребителя пользоваться услугами только того поставщика, который предоставляет
ему льготы.
Основным минусом в бонусной программе является сложность составления
каталога подарков для клиентов. При формировании важно найти соотношение между
покупательским интересом и выгодой компании. Потребитель будет участвовать в
программе только в том случае, если он будет иметь возможность обменять
накопленные баллы на что-то ценное для себя. Наилучшим подарком в рамках одной
компании будет являться продукт данной компании, за который клиент платит в
любом случае деньги. Компании придется выводить из оборота свою часть
популярных товаров, для того чтобы раздавать их бесплатно в качество подарков в
обмен на бонусы. Если формировать подарочный каталог по остаточному принципу,
то предлагать потребителю в качестве подарков не слишком популярные товары, то
можно считать что бонусная программа потеряет свою привлекательность для
клиентов и перестанет работать.
. Коалиционная программа объединяет в себе несколько компаний, не
конкурирующих между собой, но нацеленных на одну целевую аудиторию.
Данная программа может быть построенная на дисконтной программе или
бонусной программе. Коалиционная программа может управлять двумя типами
операторов: «якорные» и независимые операторы. «Якорные» операторы - это
компании, которые являются организаторами программ лояльности, программа
создается для развития бизнеса «якорного» оператора привлекающих к участию
партнеров. Независимые операторы - это компании, специализирующие на оказание
услуг в области разработки и внедрения, поддержке программ лояльности.
Плюсом коалиционной программы является объединение клиентских баз
различных программ. Программа объединяет различные сферы деятельности и
позволяет получить синергетический эффект от перекрестного использования
клиентской базы. Объединение баз данных дает возможность для планирования
различных бонусных акций, в качестве использование поощрительного подарка в
обмен на бонусы можно использовать продукцию своих партнеров, таким образом,
продвигая их бизнес среди своих клиентов и повышая их лояльность без ущерба для
собственного бюджета.
Участие в такой программе дает компании возможность продвигать свой товар
через дополнительные каналы, которые обладает высокой динамикой и которые можно
считать высокопотенциальным для проведения кросс-маркетинговой деятельности.
Коалиционной программе важным моментом является соблюдение принципа не
пересечения коммерческих интересов участников программы.
Минусом данной программы является для достижения эффективности необходимо
реализовать большой объем вспомогательной деятельности и формировать отдельный
бренд самой программы. Бренд должен ассоциироваться у потребителя не только с
компаниями, но и самой программой.
В частном случаи коалиционной программы является совмещение дисконтной
карты компании с кредитной картой банка. Означает выполнение банковской картой
роли бонусной или дисконтной. Банки стимулируют держателей карт использовать
ими для оплаты своих покупок, а для остальных участников программы смысл
остается прежним. Подобные программы действуют по бонусной схеме или по
принципу возращения части потраченных средств на счет держателя крат.
1.4 Методы
оценка эффективности программ лояльности
Для компании основной целью является получение стабильной прибыли в
долгосрочном периоде. Необходимо оценить будет ли приносить программа
лояльности прибыль и приблизительно знать размер ожидаемой прибыли.
Руководителям компании необходимо осознать, в каком выражение должно быть
вознаграждение участников программы лояльности: денежном или ином выражение.
Необходимо осознать с какой суммы будет начинаться вознаграждение клиента
участвующего в программе лояльности. Для того чтоб не потерять интерес своих
потребителей размер вознаграждения не должен быть значительный, так как
потребитель может перейти к конкурирующей программе лояльности. Но так, же
вознаграждение не должно быть большим, так как приведет к нерентабельной
программе. Большинство компаний инициирует, программы лояльности считая более
эффективными и прибыльными с экономической точки зрения. Для определения
эффективности программы лояльности существуют несколько критериев:
Чистая прибыль, которая получает компания за определенный период после
запуска программы лояльности. Рассчитав чистую прибыль, за определенный период
времени после запуска программы лояльности можно увидеть является ли программа
прибыльной или убыточной в целом.
Коэффициент возврата по инвестициям (ROI) дает информацию, с какой скоростью были возращены,
инвестируемы средства в программу.
Два показателя не могут дать информацию какое количество потребителей
принесли прибыль, узнать были повторные покупки и с какой регулярностью.
Показатели так же не показывают, какое количество потребителей стали
участниками программы лояльности и не стали участвовать в дальнейшем.
Показатели чистой прибыли и коэффициента эффективности возврата по инвестициям
должны рассматриваться в совокупности с показателями лояльности: процента
прироста привлеченных и удержанных потребителей за определенный период.
Составить представление об эффективности программы лояльности можно при
объединении показателей за определенный отчетный период. Коэффициент удержания
потребителей должен превышать процент привлеченных потребителей. Коэффициент
удержания выражается в процентах.
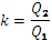
Коэффициент удержания рассчитывается по формуле:

(1)
Где
k -коэффициент удержания; Q2- число
потребителей за второй год; Q1 - число потребителей за первый год.
Оценка
эффективности программы лояльности на стадии планирования и внедрения
используется другие методики. На стадии планирования, оценке компанией
прибыльности программы лояльности определяется по формуле:

(2)
Где
Sd- допустимый усреднений размер скидки в процентах,
который может дать компании, не получив убытков при условии увеличение продаж; P-
средний размер маржинального дохода или норма прибыли; k- коэффициент
увеличения продаж в результате действия программы лояльности. Ориентировочно k=1,2
, то есть позволяет предположить, что оборот увеличится на 20%.
Многие
компании не лимитируют срок действия своих программ лояльности и сроков
перехода с одного уровня скидок на более высокий. Каждая компания сама решает
срок ограничения программ лояльности, решение принимается о виде деятельности и
виде продукции и услуги которые предоставляет компания. Компании, продающие
товары повседневного спроса и предоставляющие услуги на постоянной основе
необходимо устанавливать лимитированные сроки повышения статуса карт программ.
На товары и услуги, не предоставляющие данные модели нет интереса,
распространять программу лояльности с лимитированными сроками перехода с одного
уровня скидок на другой или лимитировать во времени. Данный метод расчета имеет
ограничения, которые не позволяет регулировать потребительские предпочтения.
При
внедрении компания необходимо оценить эффективность программы, включать не
только полученную прибыль, и отдачу от внедрения и ведения программы
рассчитывается по формуле:

(3)
Где
E- эффективность программы лояльности, E˃1
программа рентабельна, если E˂1 то программа не рентабельна, x -
оборот компании до введения программы лояльности за период, в который
предполагается окупить затраты на программу лояльности; x1 -
величина в денежных единицах, на которую воздействует оборот компании за тот же
период при условии введения программы; P -маржинальный
доход; Y- расходы на внедрения и ведения программы в денежных
единицах; S - усредненный размер скидки.
Каждая
программа должна рассчитать тираж карт лояльности, величина зависит от общего
числа клиентов. Тираж карт бывает равным 5-10% от общего числа потребителей
компании. Число потребителей приходит примерно 40-50% всего оборотов компании,
при увеличении оборота на 30-40% по данному сегменту дает 10-15% увеличения
общего оборота компании. Данные клиенты лояльны к компании и часто привлекают в
программу лояльности знакомых, и рекомендуют услуги и товары компании.
При
реализации программы лояльности компании применяется формула, для которой
необходима более точная информация:

(4)
Где
Nп - число постоянных потребителей; Nо -
число потребителей в месяц в одной торговой точке; ТТс- количество торговых
точек в спальных районах; Кс - доля постоянных потребителей в спальных районах;
ТТц -количество торговых точек в центральных районах; Кц -постоянные
потребители/ случайные потребители для центральных районов.
Кроме
этого учитывается торговая наценка, тираж карт лояльности, количество карт,
распространяемых в одной торговой точке за день, количество карт
распространяемых за месяц, средний чек потенциальных в виде процентного
соотношения, допустимая и усредненная скидки, расходы на рекламу, оборудование,
карты, программное обеспечение и данные представлены по месяцам.
Любой программе по повышению лояльности нужен аудит и видимый
экономический эффект от внедрения комплекса мер по повышению лояльности.
Аудит программы лояльности к клиентам сводится:
1. Адекватности системы льгот. Необходимо регулярно проверять, продолжают
ли заложенные в программу ценности иметь спрос у потребителей с учетом действий
конкурентов.
2. «Доступности» призов. Необходимо сделать систему розыгрыша
многоступенчатой, где первый уровень вознаграждений должен быть низким, чтобы
люди чувствовали, что они могут легко этого достичь, и чтобы у них возникала
потребность в реванше в случае проигрыша.
. Обратная связь с потребителем. Необходимо включать в базу не
только телефон, электронный адрес, но и другие идентификаторы клиента.
. Учету жалоб и претензий. Именно в жалобах потребителя могут быть
спрятаны главные ресурсы повышения ее конкурентоспособности.
. Сегментации потребителей. Сегментация может проводиться по
различным критериям, которые определяются для каждого потребителя в
отдельности. Чтобы корректировать свою маркетинговую и рекламную активность,
компания должна видеть профиль своего потребителя: постоянного и
потенциального. Настороженность должны вызывать резкое изменение в качественном
составе участников, появление новых, не проектируемых групп потребителей. Очень
плохим признаком считается миграция их из одного потребительского сегмента в
другой, особенно когда они переходят из верхнего по доходности сегмента в
нижний.
. Динамике выданных бонусов. Показатель прироста или уменьшения
количества выданных бонусов за определенный период позволяет анализировать
тренд покупательской активности, корректировать бюджеты и планы продаж.
. Динамике потребителей. Регулярный анализ прироста или уменьшения
количества активных бонусных карт, а также динамика выдачи их за определенный
период позволяет уловить неэффективные точки в управлении программой.
. Динамике годового дохода. Прямой финансовый показатель качества
бонусной программы.
. Динамике средней стоимости одной покупки. При анализе этого
показателя необходимо отслеживать динамику изменения цен по товарным группам.
. Частоте совершения покупки. Сколько раз в месяц, квартал или год
потребители покупают товары или услуги, что позволяет компании иметь реальный
повод для поддержания коммуникации с ними и настраивать свою программу под эти
периоды для отдельных групп.
Экономический эффект от внедрения комплекса мер по развитию лояльности:
1) по мере привлечения наиболее ценных потребителей объем продаж, и доля
рынка растут, увеличивается доля повторных покупок. Поскольку компания
постоянно предлагает потребителям уникальную ценность, она может позволить себе
выбирать самых выгодных потребителей и инвестировать средства в выполнение
самых рентабельных и потенциально возобновляемых заказов;
2) устойчивый рост позволяет компании привлекать на работу и
мотивировать наиболее квалифицированных и энергичных персонала. Устойчиво
долговременное создание уникальной ценности для потребителей мотивирует
персонала, поскольку внушает им чувство гордости за компанию и повышает
удовлетворенность собственным трудом. Давно работающие сотрудники лучше
понимают постоянных потребителей, в результате растет лояльность их и
потребителей;
) лояльные и давно работающие в компании сотрудники накапливают
большой опыт по снижению издержек, улучшению качества продуктов, что еще больше
увеличивает их ценность для потребителей и повышает производительность труда.
Последний показатель используется как база для выплаты конкурентной заработной
платы, внедрения различных форм премирования, вложения средств в обучение
персонала и роста уровня его лояльности;
) повышение производительности труда в совокупности с растущей
эффективностью хозяйственной деятельности приносит компании особого рода
лидерство по издержкам, которое трудно копируется;
) устойчивое лидерство по издержкам в сочетании с ростом объемов
продаж обеспечивает высокую рентабельность, что привлекает инвесторов-клиентов
и дает возможность выбирать источник капитала;
) лояльные инвесторы считают себя партнерами компании. Они
стремятся к стабильности бизнеса, снижают цену капитала и не предъявляют
чрезмерных требований к выплате дивидендов, поскольку заинтересованы в
направлении достаточного денежного потока для расширения бизнеса.
Программы лояльности разрабатываются для формирования и повышения
лояльности. Существуют несколько видов лояльности: лояльность персонала,
лояльность партнеров, лояльность покупателей.
В лояльности персонала целевой аудиторией является сотрудники компании,
основная цель компания при формировании лояльности персонала повысить интерес
сотрудника к деятельности фирмы, дать возможность развиваться. В лояльности
дистрибьюторов основной целевой аудиторией выступает партнеры компании,
основной целью компании при формировании лояльности дистрибьюторов это
расширение дистрибьюторов и партнеров при сотрудничестве предоставляются
скидки, бонусы и т.д. В лояльности потребителей основной целевой аудиторией
являются клиенты компании, основной целью являются повысить интерес клиента к
совершению покупки именно в этой компании. Для формирования лояльности
потребителей существуют основные программы лояльности клиентов, а именно
бонусные программы, дисконтные программы, коалиционные программы и розыгрыш
призов. Бонусные программы, дисконтные программы и розыгрыши призов направлены
на привлечение клиентов в компанию. Коалиционные программы направлены на
привлечение клиентов и на привлечение новых партнеров в данную программу
лояльности.
Глава 2.
Анализ развития программ лояльности потребителей в Москве и Московском регионе
.1 Бонусные
программы лояльности
В первой главе были рассмотрены более подробно основные виды программ
лояльности клиентов: бонусные программы, дисконтные программы и коалиционные
программы, и розыгрыши призов. В данной главе на примерах будут рассмотрены
бонусные, дисконтные и коалиционные программы лояльности.
Бонусная программа лояльности позволяет клиенту накапливать баллы при
совершении покупок, которые в дальнейшем можно обменять на ценные призы.
В Москве и Московской области наиболее известны бонусные программы
являются «Связной Клуб», «Красный куб», «Спортмастер», «М.Видео-Бонус»,
«Волшебная карта Карусель».
. Программа лояльности «Связной-Клуб» создана в 2005 году. Программа
«Связной-Клуб» это бонусная программа для постоянных клиентов. Программа
лояльности «Связной - Клуб» действует в Москве и Московской области, и в других
городах России. Программа «Связной - Клуб» позволяет использовать базу данных
для каналов коммуникации. «Связной - Клуб» использует следующие каналы
коммуникаций e-mail и sms-рассылок.
Клиент может накапливать баллы за повседневные покупки, приобретать любые
товары и услуги в «Связном» и у партнеров. Так же для клиента действует
привилегии программы и специальные предложение. Бонусная программа лояльности
«Связной-Клуб» направлена на привлечение клиентов, так же на привлечение новых
партнеров в свою программу лояльности.
Существует несколько преимуществ использования программы лояльности
«Связной - Клуб» для клиентов:
· Накапливать баллы при совершении покупки товаров у партнеров программы.
· Участие в специальных акциях и предложений.
· Оплачивать банковские и страховые услуги.
· Персональное информирование клиента.
· Бесплатный телефон на время экспертизы.
Существует несколько партнеров программы «Связной- Клуб»:
· Центр мобильной связи «Связной».
· Сеть аптек «Ригла»,
· Шинные центры Наколесах.ru
· «Купибонус.ру»
· Сеть уютных кофеен «Шоколодница»
· Сеть кафе японской кухни «Ваби-Саби»
· Московский Ювелирный Завод,
· Магазин одежды и аксессуаров COLIN’S,
· Автомобильные супермаркетиы AGA АВТОМАГ,
· Товары для дома, красоты ОЛ!ГУД,
· Сеть продуктовых магазинов Магнолия,
· Магазин итальянской кожгалантереи и багажных сумок «VELARS»,
· Магазин одежды и аксессуаров SELA,
· Магазин одежды и аксессуаров «Снежная Королева» и т.д.
Преимущество программы лояльности «Связной-Клуб» для партнеров:
· Передовые инструменты сбора и обработки информации, обеспечивающие
эффективность анализа базы данных «Связной-Клуб»,
· Богатейшая база данных потребителей, включающая
демографические сведения и информацию о транзакциях в различных секторах,
· Недорогие каналы коммуникаций (цифровые медиа, SMS, реклама в
местах продаж),
· Высокая узнаваемость бренда на целевом рынке.
Преимущество программы лояльности «Связной-Клуб»:
· Профессиональный персонал.
· Бесплатный телефон на время экспертизы.
· Специальные цены на второй год дополнительной гарантии.
· Льготные условия оформления талона «Пожизненная гарантия» на
бессрочное сервисное обслуживание товаров, приобретенных в «Связном».
· Бесплатный доступ к каталогу «Загрузка» (мелодии, картинки,
java-игры и прочее) на 2 недели.
· Удобное
погашение кредитов
<http://www.sclub.ru/ProgrammAdvantages/CreditRepayment/tabid/282/Default.aspx>.
· Денежные
переводы в любую страну мира.
· Персональное
информирование
<http://www.sclub.ru/ProgrammAdvantages/PersonalAlerting/tabid/284/Default.aspx>.
· Можно
оплатить всю покупку или ее часть баллами с карты.
Недостатки программы лояльности «Связной-клуб»:
· Проблемы с выходом в кабинет клиента.
Участник программы «Связной-Клуб» получает возможность совершать покупки
товаров, оплачивать услуги, накапливать баллы и пользоваться привилегиями
программы в любом из 1500 центров мобильной связи «Связной» более чем в 363
городах России, а также в магазинах-партнерах «Связной-Клуб». Участниками
программы «Связной-Клуб» стали уже свыше 11 миллионов человек в
Северо-Западном, Поволжском, Центральном федеральных округах, в городах Москве,
Санкт-Петербурге, Московской и Ленинградских областях. Целевая аудитория
программы лояльности «Связной - Клуб» это молодые активные люди, в большинстве
мужчины. Распределение по гендерному признаку: 54% - мужчины, 46% - женщины
(кстати, не характерное для программ лояльности).
Больше 40% находятся в возрастной группе 22-35 лет. Основная целевая
аудитория это 40% семейные люди, а 29% это холостые. Основная численность
держателей карт составляет около 6.67 миллионов участников на 1 марта 2009
года. Процент оборота, приходящийся на держателей карт Связной-Клуб, от общего
оборота Связного ежемесячно - 59%. Для сравнения - годовая выручка сети
«Связной» в 2008 году составила 2,938 млрд. долларов США. Параметры,
характеризующие качественность базы:
· превышение среднего платежа за услуги сотовой связи держателем карты
+128%;
· превышение средней стоимости GSM при повторной покупке к
средней цене GSM - 15%;
· количество карт, совершающих повторную покупку в течение 1
месяца, свыше 750 тысяч карт ежемесячно.
В течение 2008 года только держателям карты программы «Связной-Клуб» было
отправлено более 4,8 млн. sms
-сообщений и 2,8 млн. e-mail сообщений, и свыше 200 000 почтовых
сообщений. Преимущества сотрудничества с программой «Связной-Клуб» высоко
оценили наши партнеры: розничные сети и мировые производители, совместно с
которыми было реализовано свыше 50 акций в течение 2008 года. Мы заслужено
гордимся проектами, реализованными совместно с компаниями Nokia, Samsung, Sony,
Sony Ericsson, Acer, Лаборатория Касперского, LVMH (Louise Vuitton), Henderson,
AIG.
2. Программа лояльности «Красный куб» создана в 2004 году. Программа
лояльности «Красный куб» это бонусная программа для постоянных клиентов.
Программа «Красный куб» действует в Москве и Московской области и других
городах России. Программа лояльности «Красный куб» позволяет накапливать баллы
клиенту при совершении покупки и оплачивать баллами свою покупку. Программа
«Красный куб» позволяет использовать базу данных для каналов коммуникации.
«Красный куб» использует следующие канал коммуникации sms-рассылку. Для клиента действует специальные акции и
предложения. Красный Куб - крупнейшая сеть магазинов подарков в России.
Розничное направление представлено 252 магазинами: 69 в Москве и 183 в других
городах России - Санкт-Петербурге, Нижнем Новгороде, Екатеринбурге, Казани,
Ростове-на-Дону, Волгограде, Новосибирске и др., а также в Украине и
Белоруссии. В ближайшее время открывается еще семь магазинов. А в программе
лояльности «Красный куб» свыше более 1 500 000 активных участников.
Преимущество использования программы лояльности для клиентов «Красный
куб»:
· Подробности о состояние счета, на каждом чеке и в личном кабинете клиента
на сайте, или по телефону.
· Накопленными бонусами можно оплатить покупку.
· Участие в специальных акциях и предложениях.
· Персональное информирование клиента.
Ранее «Красный куб» использовал дисконтную программу лояльности. В
результате маркетинговых исследований стало ясно, что для рынка подарков не
совсем корректно употреблять понятие «скидка», так как у конечного потребителя
может возникнуть негативная ассоциация с экономией на подарке. Поэтому с
октября 2004 года во всей сети магазинов «Красный куб» начала действовать
бонусная накопительная система.
После запуска новой программы в компании отметили следующие положительные
изменения в поведении покупателей:
· увеличилась доля тех, кто раньше не покупал в «Красном кубе» ни разу, а
стал покупать регулярно. Это первый из источников дополнительной выручки.
· большая частота покупок с использованием бонусной карты, в
сравнении с прежней дисконтной.
· в бонусной программе стали участвовать те покупатели, которые
ранее считали условия дисконтной программы не привлекательными.
Дополнительными финансовыми преимуществами программы является то, что
«уступка» покупателю получается отложенной во времени и оборотные средства не
уменьшаются за счет дисконта. Кроме того, по статистике, часть держателей карт
так и не воспользуются своими баллами.
Преимущество программы лояльности «Красный куб»:
· Профессиональный персонал.
· Персональное информирование клиента.
· Оплата покупки баллами с карты.
· Увеличение клиентов.
· Подробности о состояние счета можно узнать на чеке или в
кабинете клиента.
· Технологическое оснащение сайта.
Недостатки программы лояльности «Красный куб»:
· Во время проведения специальных акций и распродаж на товары, участвующие
в них, бонусы могут не начисляться, а могут и начисляться по иной ставке
(больше или меньше 11%).
· Накопленные бонусы обмениваются на товар спустя три рабочих
дня после совершения покупки по этой карте.
· Для получения бонусной карты «Красный куб» необходимо
совершить покупку на сумму более 1000руб.
3. Программа лояльности «Спортмастер» создана в 2007 году. Программа
«Спортмастер» это бонусная программа лояльности для постоянных клиентов.
Программа лояльности «Спортмастер» действует в Москве и Московской области, и
других городах России. Программа лояльности «Спортмастер» позволяет
использовать базу данных для каналов коммуникации: sms и e-mail рассылку. Клиенты может накапливать
баллы при совершении покупки и оплачивать баллами свою покупку. Для клиентов
действует привилегии и специальные акции.
Существует несколько преимуществ использования программ лояльности
«Спортмастер» для клиентов:
· накапливать бонусы и оплачивать бонусами любые товары в магазинах сети;
· получать скидки на определенные товары и категории товаров;
· накапливать сумму покупок для перехода к картам большего
номинала.
· персональный кабинет клиента,
· возможность резервирования товара,
· скидки в сервисных центрах,
· возможность консультации с экспертами по телефону.
Ранее «Спортмастер» использовал дисконтную программу лояльности. В
результате маркетинговых исследований стало ясно, что для рынка спорттоваров не
совсем корректно употреблять понятие «скидка», так как у конечного потребителя
может возникнуть негативная ассоциация с экономией на спорттовары. Поэтому с
2007 года во всей сети магазинов «Спортмастер» начала действовать бонусная
накопительная система.
В программе лояльности «Спортмастер» существует три вида карт:
стандартная, серебряная, золотая. Каждая карта выдается в зависимости от
накопленной суммы на карте.
Преимущество программы лояльности «Спортмастер»:
· Программ лояльности «Спортмастер» объединяет в себе реализацию бонусной,
накопительной и дисконтной программ одновременно.
· Бонусами можно оплатить любой товар из розничного
ассортимента сети, с одним ограничением - оплатить бонусами можно до 30% от
общей стоимости покупки
· Персональное информирование клиента.
· Можно зарезервировать товар в любом магазине.
Недостатки программы лояльности «Спортмастер»:
· Оплатить бонусами можно до 30% от общей стоимости покупки.
· Несвоевременное начисление бонусов.
· Каждой карте присваиваются свои дополнительные сервисы.
4. Программа лояльности «М.Видео-Бонус» создана в 2009 году. Программа
«М.Видео» бонусная программа лояльности для постоянных клиентов. Существует два
вида программы лояльности «М.Видео-Бонус» и «М.Видео - Бонус-Альфа-Банк».
Программа лояльности «М.Видео-Бонус» действует в Москве и Московской области, и
других городах России.
Программа «М.Видео-Бонус» позволяет клиенту накапливать баллы при
совершении покупки и оплачивать покупку бонусами. Для клиента действует
специальные акции и предложения. Программа «М.Видео - Бонус-Альфа-Банк»
позволяет клиенту не только накапливать баллы и оплачивать баллами покупки в
магазине и использовать карту по всему миру.
Преимущество использования программы лояльности для клиентов
«М.Видео-Бонус» и «М.Видео-Бонус-Альфа-Банк»:
· Накопленными бонусами можно оплатить покупку.
· Участие в специальных акциях и предложениях.
· Персональное информирование клиента.
· можете частично или полностью оплачивать покупки бонусными
рублями в магазинах М.Видео.
Преимущество программы лояльности «М.Видео-Бонус» и
«М.Видео-Бонус-Альфа-Банк»:
· Профессиональный персонал.
· Персональное информирование клиента.
· Оплата покупки баллами с карты.
· Увеличение клиентов.
· Позволяет оплачивать покупку в кредит.
Недостатки программы лояльности «М.Видео-Бонус»:
· Нельзя оплатить баллами товары, приобретаемые в кредит по программе
"0% переплаты за товар в кредит".
· Проблемы с регистрацией карточек и баллов персоналом
компании.
· Сбои в базе данных.
· Частичное использование баллы нельзя, остаток суммы сгорает.
· Накапливать баллы и оплачивать покупку баллами по
заблокированной или недействительной карте невозможно.
Программа лояльности «М.Видео-Бонус» работает в 160 магазинах компании в
69 городах России, число участников приблизилось к двум миллионам человек.
Успешное развитие в Москве позволило осуществить запуск программы в
региональных магазинах. Всего лишь за 3 месяца (с 16.03 по 17.06) программа
стартовала в 68 городах России более чем в 135 гипермаркетах «М.Видео».
Инвестиции в проект составили около 170 млн. рублей, включая инвестиции в IT инфраструктуру (оборудование и
лицензии), так и рекламно-маркетинговое сопровождение программы. Развитие
программы лояльности «М.Видео-Бонус» в региональных магазинах
продемонстрировало большой интерес со стороны покупателей к новому проекту, что
нашло свое отражение в росте ключевых показателей в среднем на 15-20%.
Каждая 3-4 покупка совершается с использованием карты «М.Видео-Бонус».
Десятки тысяч покупателей уже воспользовались вознаграждениями, полученных в
рамках новой бонусной программы. Общая сумма вознаграждений, начисленная
покупателям, составляет сотни миллионов рублей и увеличивается с ростом числа
повторных покупок клиентов.
Результаты работы программы в московском регионе в 2008 году позволяют
уверенно заявлять о том, что развитие программы «М.Видео-БОНУС» на федеральном
уровне позволит компании увеличить товарооборот сети за счет роста числа
повторных покупок, связанного с использованием начисленных вознаграждений
участниками программы. Также программа позволит достичь существенного роста
эффективности продаж и конкурентоспособности на розничном рынке электроники.
В ходе реализации проекта в компании «М.Видео» было внедрено CRM-решение
Oracle Siebel Loyalty Management, а также произведена настройка ключевых
параметров системы в соответствии с бизнес - требованиями, определенных
стратегией и маркетинговой концепцией программы «М.Видео-БОНУС». На базе
системы Oracle Siebel Loyalty Management была построена корпоративная система
эффективного управления взаимоотношениями с клиентами. «М.Видео-Бонус»
разработана на основе лучших мировых практик реализации бонусных программ. Она
призвана повысить эффективность взаимодействия клиента и компании. В основе
программы лояльности лежит прогрессивная модель начисления бонусных баллов и их
использования, персональный учет истории покупок и предоставление дополнительных
материальных преимуществ для участников.
5. Программа лояльности «Волшебная карта Карусель» создана в 2010 году.
Программа лояльности «Волшебная карта Карусель» это бонусная программа
лояльности для постоянных клиентов. Программа лояльности «Волшебная карта
Карусель» действует в Москве и Московской области и других городах России.
Программа лояльности «Волшебная карта Карусель» использует каналы коммуникации:
персональный чек; личный кабинет сайта; call center; sms-рассылку и e-mail-рассылку.
Клиент может накапливать баллы при совершении покупки, и оплачивать
баллами покупку. Бонусная программа лояльности «Волшебная карта Карусель»
направлена на привлечение клиентов.
Основные преимущество использования программы лояльности «Волшебная карта
Карусель»:
· Большая сумма покупки, начисляется больше суммы баллов.
· Персональное информирование клиента.
· Накапливать баллы могут все члены семьи.
· Накапливать баллы и оплачивать баллами любые товары в
магазинах сети;
· Получать скидки на определенные товары и категории товаров
· Персональный кабинет клиента.
Преимущество использования программы лояльности «Волшебная карта
Карусель»:
· Отслеживания покупательского поведения.
· Персональное информирование клиента.
· Накопление баллов происходит по прогрессивной шкале.
· Программа «Волшебная карта Карусель» позволяет слушать и
понимать клиентов.
· Предоставление скидки клиенту « В День Рождение».
Недостатки программ лояльности «Волшебная карта Карусель»:
· Несвоевременное начисление бонусов.
· Проблемы с выходом в кабинет клиента.
· Для получения карты необходимо оплатить стоимость.
Проведем сравнительный анализ бонусных программ лояльности представленные
нами. В табл.1.1.
Табл.1.1.Сравнительный анализ бонусных программ лояльности
|
«Связной-Клуб»
|
«Красный куб»
|
«Спортмастер»
|
«М.Видео-Бонус»
|
«Волшебная карта Карусель»
|
|
Наличие партнеров
|
+
|
-
|
-
|
-
|
-
|
|
Персональное информирование
клиентов
|
+
|
+
|
+
|
+
|
+
|
|
Предоставление карты другим
лицам
|
+
|
+
|
+
|
+
|
+
|
|
Несколько видов бонусных
карт
|
-
|
+
|
-
|
-
|
|
Оплачивать баллами покупку
|
+
|
+
|
+
|
+
|
+
|
Бонусные программы лояльности отличается друг от друга своими
особенностями. Каждая бонусная программа лояльности дает определенные
преимущества своему клиенту, тем самым показывает значимость клиента их
компании. Был проведен сравнительный анализ бонусных программ лояльности в
Москве и Московской области. В бонусной программе лояльности «Связной-Клуб»
участвуют не только клиент, но и партнеры программы лояльности. Программа
«Связной-Клуб» предоставляет клиенту возможности, накапливать бонусы, совершая
покупки у партнеров программы лояльности. В каждой бонусной программе
лояльности существует персональное информирование клиентов с помощью каналов
коммуникации. В каждой бонусной программе лояльности есть возможность
предоставление карты другим лицам.
В одной из бонусных программ лояльности существует несколько видов
бонусных карт. Это бонусная программа лояльности «Спортмастер». Несколько видов
карт зависит от накопленной суммы на карте. В остальных бонусных программах
лояльности наличие несколько видов карт не существует. Иметь одну карту и не
менять ее при накопленной сумме баллов удобнее, чем менять карту от
накапливаемой суммы баллов. Часть клиентов могут не знать о таких особенностях
бонусных программ лояльности.
В каждой бонусной программе лояльности клиент может оплачивать баллами
свою покупку. Но у каждой бонусной программы есть своя особенность при оплате
баллами покупки, это может частичное оплата покупки или полноценное оплата
покупки.
Каждая бонусная программа удобна для использования её клиентом.
2.2
Дисконтные программы лояльности
Дисконтная программа лояльности предоставляет клиенту скидку при
совершении покупки. Скидки могут быть фиксированные или накопительные.
В Москве и Московской области наиболее известны бонусные программы
являются:
«Л' Этуаль», «Стокманн», «ИЛЬ ДЕ БОТЭ», «Мир кожи и меха».
1. Программа
лояльности «Л' Этуаль» была создана в 2001 году. Программа «Л' Этуаль» это
накопительная дисконтная программа для постоянных клиентов. Программа
лояльности «Л' Этуаль» действует в Москве и Московской области, и других
городах России. «Л'Этуаль» - крупнейшая в России сеть парфюмерно-косметических
магазинов.
На
сегодняшний день в Москве насчитывается более 150 магазинов, а на территории
России число магазинов <http://www.letoile.ru/retail/> превышает 600,
открытых более чем в 160 городах
<http://www.letoile.ru/retail/?change_city>. Мы одни из первых ввели в
своих магазинах систему самообслуживания, популярную во всем мире, отказавшись
от прилавков, которые часто психологически мешали клиентам самостоятельно
сделать правильный выбор.
Количество
постоянных покупателей неуклонно растет, на сегодняшний день их более 4
миллионов.
Клиент получает скидки при совершении покупки, так же получает
дополнительные скидки, может участвовать в рекламных акциях.
Программа лояльности «Л' Этуаль» позволяет использовать базу данных для
каналов коммуникации: sms и e-mail рассылку. В программе лояльности «Л' Этуаль»
существует четыре вида карт: рубиновая карта (скидка 10%), сапфировая карта
(скидка 15%), аметистовая карта (скидка 20%), бриллиантовая карта (скидка 25%).
Компания «Л' Этуаль» проводить для постоянных клиентов различные
мероприятия, клубные вечеринки, концерты, презентации новинок, обслуживание
постоянных покупателей косметологами и визажистами фирм-производителей или
наших магазинов бесплатно или со скидками.
Основные преимущества программы лояльности «Л' Этуаль» для клиентов:
· При утере клиент может восстановить карту.
· Счет карты можно проверить на сайт и в магазине.
· Получать sms-
рассылку от клуба.
· Участия в различных мероприятиях, клубных вечеринках,
презентаций новинок.
Преимущества программы лояльности «Л' Этуаль»:
· Повышение статуса дисконтной карты при достижении суммы.
· Восстановление карты при утере.
· Создание специальных мероприятий, клубных вечеринок,
презентаций новинок.
· Использование карты в интернет-магазине.
· Возможность использования карты любого члена семьи или друга.
Недостатки программы лояльности «Л' Этуаль»:
· Сбои в базе данных.
· Скидки по дисконтным картам могут быть ограничены
дополнительными условиями.
· Скидки по карте на товары в рамках акции не распространяются.
· Для получения карты нужно совершить покупку на сумму 399 руб.
2. Программа лояльности «Постоянный Покупатель Стокманн» создана в 2004
году.
Программа лояльности «Постоянный Покупатель Стокманн» это дисконтная
программа для постоянных покупателей. Программа лояльности «Постоянный
Покупатель Стокманн» действует в Москве, Санкт-Петербурге, Екатеринбурге и так
же в Финляндии, Эстонии, Латвии. Программа лояльности «Постоянный Покупатель
Стокманн» позволяет использовать базу данных для каналов коммуникации: sms рассылку и рассылку по почте.
Клиенты получают скидку при совершении покупки в магазинах «Стокманн».
Программа лояльности «Постоянный Покупатель Стокманн» направлена на привлечение
клиентов, и партнеров.
Существует несколько преимуществ использования программы лояльности
«Постоянный Покупатель Стокманн» для клиентов:
· Участие в специальных мероприятиях и акциях.
· Приобретение товаров со скидкой в 20%
· В день постоянного покупателя действует специальные скидки,
сюрпризы, и розыгрыш призов.
· Покупка товаров в других странах.
· Услуги портного.
· Персональное информирование клиента.
· Скидки в день приобретения карты.
· Существует несколько партнеров программы «Постоянный
Покупатель Стокманн»:
· Туристическая компания «Время-тур».
· Государственный комплекс «Дворец конгрессов».
· Таллинк Силья.
· Остров Европа.
· Сеть семейных развлекательных центров Fun City.
· Кулинарная школа "Гастрономъ".
· Сеть фитнес клубов «СпортЛэнд».
· Медицинский диагностический центр McNamara LifeCheck.
Преимущество программы лояльности «Постоянный Покупатель Стокманн» для
партнеров:
· Большая база данных потребителей.
· Привлечение новых клиентов.
· Новые каналы коммуникаций.
Преимущество программы лояльности «Постоянный Покупатель Стокманн»:
· Профессиональный персонал в магазинах «Стокманн».
· Персональное информирование клиента.
· Специальные акции и мероприятия для клиентов.
· Приобретение товаров со скидкой в 20%.
· В день постоянного покупателя действует специальные скидки,
сюрпризы, и розыгрыш призов для участников программы «Постоянный Покупатель
Стокманн».
· Покупка товаров в других странах мира.
· Предоставление услуг портного.
· Предоставление скидки в день оформления карточки.
· Предоставление каталога по почте постоянному клиенту.
Недостатки программы лояльности «Постоянный Покупатель Стокманн»:
· Стоимость карты «Постоянный Покупатель Стокманн» - 150 рублей.
· Скидки действует на ограниченный ассортимент товаров.
· Не предоставление карты новому покупателю.
· Недостатки в стимулирования персонала.
У Торгового Центра «Стокманн» существует еще одна программа лояльности
совместно с «Ситибанком» это «Кредитная Карта Стокманн-Сити». Кредитная Карта
Стокманн-Сити является кредитной банковской картой Ситибанка. Вы можете
расплачиваться картой за любые покупки и услуги по всему миру.
Преимущество использования программы лояльности «Кредитная Карта
Стокманн-Сити» для клиентов:
· Расплачиваться за покупки.
· Накапливать бонусы.
· Получать скидки.
· Использовать бонусы для частичной или полной оплаты покупок в
Торговых Центрах «Стокманн».
Преимущество использование программы лояльности «Кредитная Карта
Стокманн-Сити»:
· Начисление бонусов при совершении покупки.
· Частичное или полное оплаты покупок бонусами.
· Возможность расплачиваться за покупки в магазинах и снимать
наличные
· Получение скидки при совершении покупки.
Недостатки программы лояльности «Кредитная Карта Стокманн-Сити»:
· Наличие общегражданского паспорта и второго документа, подтверждающего
личность - загранпаспорта или водительского удостоверения, а также документа,
подтверждающего доход.
· Нет персонального кабинета клиента.
3.Программа лояльности сети «ИЛЬ ДЕ БОТЭ» была создана в 2007 году.
Программа лояльности «ИЛЬ ДЕ БОТЭ» действует в Москве и в других городах
России. Клиенты при совершении покупки получают скидку, так же получает
дополнительные скидки, может участвовать в рекламных акциях. Программа
лояльности «ИЛЬ ДЕ БОТЭ» позволяет использовать базу данных для каналов
коммуникации: sms и e-mail рассылку.
Существует
два вида карт программы лояльности «ИЛЬ ДЕ БОТЭ»: 1)стандартная карта выдается
при совершении покупки, покупки по карте суммируется и увеличивается скидка по
карте (скидка от 10% до 20%). 2) VIP карта выдается при накопленной сумме свыше
50000рублей (скидка 25%). В настоящее время сеть насчитывает 125 магазинов
<http://www.etoya.ru/company/shops/> по всей России.
Компания «ИЛЬ ДЕ БОТЭ» проводить для постоянных клиентов различные
мероприятия, клубные вечеринки, концерты, презентации новинок, обслуживание
постоянных покупателей косметологами и визажистами фирм-производителей или
наших магазинов бесплатно или со скидками. Дисконтная программа лояльности «ИЛЬ
ДЕ БОТЭ» направлена на привлечение клиентов и привлечение партнеров.
Основные преимущества программы лояльности «ИЛЬ ДЕ БОТЭ» для клиента:
· Получение скидки на оплату товаров и услуг в магазинах «ИЛЬ ДЕ БОТЭ» в
соответствии с настоящими правилами;
· Приоритетное информирование о новостях, акциях, специальных предложениях
компании и партнеров;
· Доступ к информации о накоплениях;
· Доступ к индивидуальным специальным предложениям от программы
лояльности «ИЛЬ ДЕ БОТЭ»;
· Доступ к системе удовлетворения претензий;
Существует несколько партнеров программы лояльности «ИЛЬ ДЕ БОТЭ»:
· Ресторан
Dantes <http://www.etoya.ru/company/club/partners/dantes/>
· Courvoisier
cafй <http://www.etoya.ru/company/club/partners/courvoisier/>
· Ресторан
«Паста и Баста» <http://www.etoya.ru/company/club/partners/pasta_basta/>
· Ресторан
«Огни» <http://www.etoya.ru/company/club/partners/ogni/>
· Ресторан
«Скромное обаяние буржуазии»
<http://www.etoya.ru/company/club/partners/bourgeoisie_rest/>
· Ресторан и
спорт-бар «Лига ПАП»
<http://www.etoya.ru/company/club/partners/liga_pap/>
· JANINN
FITNESS <http://www.etoya.ru/company/club/partners/janinn_fitness/>
· TERRASPORT
Радужный <http://www.etoya.ru/company/club/partners/terra_radujnii/>
· TERRASPORT
Коперник <http://www.etoya.ru/company/club/partners/terra_kopernik/>
· FITNESS
CENTER 100% <http://www.etoya.ru/company/club/partners/100fitnes/>
· ZEBRA
FITNESS Братиславская
<http://www.etoya.ru/company/club/partners/zebra_msk/>
· ZEBRA
FITNESS Волгоград
<http://www.etoya.ru/company/club/partners/zebra_volgograd/>
· ЭКСЕЛЕНТ
Красноярск <http://www.etoya.ru/company/club/partners/excelent_krasnoyarsk/>
· КОЛИЗЕЙ
Пермь <http://www.etoya.ru/company/club/partners/kolizei_perm/>
· Интернет-магазин
ювелирных украшений SILVERLIFE.RU
<http://www.etoya.ru/company/club/partners/silverlife/>
· Сеть магазинов
"Московского Ювелирного Завода"
<http://www.etoya.ru/company/club/partners/mus/>
· MENDELEEF
FITNESS Уфа <http://www.etoya.ru/company/club/partners/mendeleeff_ufa/>.
Преимущество программы лояльности «ИЛЬ ДЕ БОТЭ» для партнеров:
· Передовые инструменты сбора и обработки информации, обеспечивающие
эффективность анализа базы данных «ИЛЬ ДЕ БОТЭ»,
· Богатейшая база данных потребителей, включающая
демографические сведения и информацию о транзакциях в различных секторах,
· Недорогие каналы коммуникаций (цифровые медиа, SMS, реклама в
местах продаж).
Преимущества программы лояльности «ИЛЬ ДЕ БОТЭ»:
· Повышение статуса дисконтной карты при достижении суммы.
· Создание специальных мероприятий, клубных вечеринок,
презентаций новинок.
· Получение скидки у партнеров.
· Информирование клиента об акциях, мероприятиях.
· Доступ к системе удовлетворения претензий.
Недостатки программы лояльности «ИЛЬ ДЕ БОТЭ»:
· Нельзя передавать карту третьим лицам.
· Покупателю предоставляется скидка выше, чем соответствующая
его карте, суммы покупок на карту не зачисляются.
· Скидки, предоставляемые по Дисконтной карте, могут быть
ограничены по определенным товарам или маркам.
· Компания вправе аннулировать Дисконтную карту, если она не
используется более двенадцати месяцев подряд без уважительных причин, если
владелец нарушает правила использования дисконтной карты или в связи с
форс-мажорными обстоятельствами.
4.Программа лояльности «Мир кожи и меха» создана в 2008 году. Программа
лояльности «Мир кожи и меха» это дисконтная программа лояльности для постоянных
клиентов.
Программа лояльности «Мир кожи и меха» действует в Москве и других
городах России.
Программа лояльности позволяет использовать базу данных для
информирования клиента об акциях, скидка проводимые в магазине. Клиент получает
скидки при совершении покупки, так же получает дополнительные скидки, может
участвовать в рекламных акциях. Программа лояльности «Мир кожи и меха»
направлена на привлечение клиентов.
Основные преимущества использования программы лояльности «Мир кожи и
меха» для клиентов:
· Возможность использования карты любого члена семьи или друга.
· Персональное информирование клиента об акциях.
· Повышение статуса дисконтной карты при достижении суммы.
· Предоставление индивидуальной скидки.
Преимущества использования программы лояльности «Мир кожи и меха»:
· Профессиональный персонал в магазинах «Мир кожи и меха».
· Персональное информирование клиента.
· Специальные акции и мероприятия для клиентов.
· Повышения статуса дисконтной карты при достижении суммы.
· Возможность передавать карту членам семьи и друзьям.
Недостатки программы лояльности «Мир кожи и меха»:
· Сумма уцененной покупки не идет в накопление по Дисконтной карте.
· В случае не совершения клиентом покупок в течение двух лет
Дисконтная карта аннулируется.
· Для получения скидки и зачисления суммы покупки на счет,
владельцу необходимо предъявить кассиру дисконтную карту до проведения покупки
через кассу.
· В случае возврата и выплаты денег за товар, купленный с
использованием дисконтной карты, данная сумма будет вычтена из суммы
накопления, с последующим изменением уровня скидок, если необходимо.
· Скидки по Дисконтной карте не суммируются с другими видами
скидок.
· Скидки по Дисконтной карте не действуют на следующие группы
товаров: «Уцененный товар» - товар со скидкой, товар по специальным акциям
(купоны), товар со знаком «Fixed Price».
· Во время распродаж или действия специальных предложений скидки по
Дисконтным картам не действуют.
Проведем сравнительный анализ дисконтных программ лояльности представленными
нами в табл.1.2.
Табл.1.2.Сравнительный анализ дисконтных программ лояльности
|
«Л’Этуаль»
|
«Стокманн»
|
«ИЛЬ ДЕ БОТЭ»
|
«Мир кожи и меха»
|
|
Наличие партнеров
|
-
|
+
|
+
|
-
|
|
Персональное информирование
клиентов
|
+
|
+
|
+
|
+
|
|
Предоставление карты другим
лицам
|
+
|
+
|
-
|
+
|
|
Несколько видов дисконтных
карт
|
+
|
-
|
+
|
-
|
|
Оплата за дисконтную карту
|
-
|
+
|
-
|
-
|
Дисконтные программы лояльности отличается друг от друга своими
характеристиками. Каждая дисконтная программа лояльности дает определенные
преимущества своему клиенту, тем самым показывает значимость клиента их
компании. Был проведен сравнительный анализ дисконтных программ лояльности в
Москве и Московской области. В дисконтных программах лояльности «Стокманн» и
«ИЛЬ ДЕ БОТЭ» участвуют не только клиент, но и партнеры программы лояльности.
Программы лояльности «Стокманн» и «ИЛЬ ДЕ БОТЭ» предоставляет клиенту
возможности, получать скидки, совершая покупки у партнеров программы
лояльности.
В каждой дисконтной программе лояльности существует персональное
информирование клиентов с помощью каналов коммуникации. В дисконтных программах
лояльности «Л’Этуаль», «Спортмастер», «Мир кожи и меха» существует возможность
предоставления карты другим лицам при совершении покупки. Только в бонусной
программе лояльности «ИЛЬ ДЕ БОТЭ» нельзя предоставлять свою карту другим
лицам, так как при оплате покупки продавец может попросить удостоверение
личности.
В нескольких дисконтных программах лояльности существует несколько видов
дисконтных карты это программа лояльности «Л’Этуаль» и «ИЛЬ ДЕ БОТЭ». Несколько
видов карт зависит от накопленной суммы на карте. Только в одной дисконтной
программе лояльности существует цена, за которую продается дисконтная карта,
это дисконтная программа «Стокманн». В других дисконтных программах стоит
предел покупки, за которую клиенту вручают дисконтную карточку.
2.3
Коалиционные программы лояльности
Коалиционная программа лояльности объединяет в себя несколько компаний,
не конкурирующих между собой, нацеленных на одну целевую аудиторию.
Коалиционная программа объединяет несколько компаний под одни брендом. В Москве
и Московском регионе наиболее известные коалиционные программы лояльности
являются «Клуб Много.ру», программа «Малина», и новая программа «Кукуруза».
Ранее в Москве существовала программа лояльности «Почетный гость», сейчас
эта программа в Москве больше не действует, но данная программа действует в
других городах России. Более подробно расскажем о каждой программе лояльности.
. Программа лояльности «МАЛИНА» создана в 2006 году. Программа «МАЛИНА»
это специальная маркетинговая программа для повышения лояльности покупателей, в
которой в настоящее время участвует около 2 млн. московских семей.
Оплачивая покупки и услуги у партнеров программы, участники накапливают
баллы, которые затем можно обменять на разнообразные товары и услуги из
каталога. Карта «МАЛИНА» действует в Москве и Московском регионе, а также в
Санкт-Петербурге.
Программа лояльности «МАЛИНА» нацелена на привлечение клиентов. Так же на
привлечение новых партнеров в программу лояльности. Для клиентов созданы
условия накапливания баллов имея у себя только одну карточку объединяющие в
себя несколько компаний разных сфер деятельности.
Существуют несколько преимуществ использования программы лояльности
«МАЛИНА» для клиентов:
· появляются широкие возможности по накапливанию баллов в разных компаниях;
· есть большой выбор призов в обмен на накопленные баллы;
· открывается доступ к специальным предложениям;
· осуществляется персонализированный подход со стороны
оператора программы и ее партнеров.
Существует несколько партеров программы «МАЛИНА»:
· супермаркеты «Ситистор»;
· «Билайн»;
· Аптечная сеть «36,6»;
· автозаправочные комплексы BP;
· сеть семейных ресторанов "Росинтер Ресторантс";
· сеть кинотеатров «Формула Кино»;
· ЗАО «Райффайзенбанк»;
· ЗАО «Банк Русский Стандарт»;
· портал online бронирования туристических услуг iGlobe.ru.
Преимущества программы лояльности «МАЛИНА» для партнеров:
· Карта лояльности №1 в кошельке потребителя,
· Доступ к целевой рыночной аудитории потребителей (более 3
миллионов человек),
· Богатейшая база данных потребителей, включающая
демографические сведения и информацию о транзакциях в различных секторах,
· Передовые инструменты сбора и обработки информации,
обеспечивающие эффективность анализа базы данных «МАЛИНА»,
· Недорогие каналы коммуникаций (цифровые медиа, SMS, реклама в
местах продаж),
· Высокая узнаваемость бренда на целевом рынке.
Партнеры программы «МАЛИНА» получают в свое распоряжение стратегическое
маркетинговое решение, которое дает им возможность стать более клиентоориентированными
и эффективно проводить маркетинговые мероприятия, направленные на привлечение
новой аудитории, увеличение суммы транзакций и удержания лучших покупателей.
Специфика коалиционных программ лояльности состоит в возможности гораздо
более эффективно решать экономические задачи, связанные с созданием программы
лояльности, чем в случае, если розничная компания пытается это сделать
самостоятельно. Более того, коалиционная программа лояльности открывает каждому
партнеру уникальную возможность эффективной коммуникации с потребителями,
которые пока еще не совершают покупки в его торговых точках, но уже являются
лояльными клиентами остальных партнеров программы.
Преимущество программы лояльности «МАЛИНА»:
· Технологическое оснащение сайта.
· Электронный каталог.
· Получение до 4 карт с общим счетом.
· Получение EXPRESS-баллов.
Недостатки программы лояльности «МАЛИНА»:
· Не привлекают новых клиентов.
· Нет нематериальных мотиваторов. Накопленные баллы нельзя
потратить на товары и услуги компаний - участниц программы
· Узкий круг участников коалиции.
· Действует только призовая схема поощрения.
· Не реагирование на проблемы у клиентов связаны с баллами
центра поддержки.
2. Программа лояльности «Клуб Много.ру» создана в 2000г. Программа «Клуб
Много.ру» специально маркетинговая программа для повышения лояльности
покупателей. Оплачивая покупки и услуги у партнеров программы, участники
накапливает баллы, которые можно обменять на разнообразные товары и услуги из
каталога. Карта «Клуб Много.ру» действует в Москве и Московском регионе.
Программа «Клуб Много.ру» нацелено на привлечение клиентов. Так же на
привлечение новых партеров в программу лояльности. Клиенты накапливают баллы,
имея у себя только одну карточку объединяющие в себя несколько компаний разных
сфер деятельности. Партнеры начисляют бонусы за покупки, которые можно
потратить через каталог призов.
Несколько преимуществ использования программы лояльности «Клуб Много.ру»
для клиентов:
· открывается доступ к специальным предложениям;
· осуществляется персонализированный подход со стороны
оператора программы и ее партнеров.
· появляются широкие возможности по накапливанию баллов в
разных компаниях;
· есть большой выбор призов в обмен на накопленные баллы;
Существует несколько самых популярных партнеров программы «Клуб
Много.ру»:
· Союз - сеть
фирменных магазинов <http://mnogo.ru/enterpr/cat391/index.html>,
· «ОТТО.RU -
интернет-магазин модной одежды»,
· "Softkey.ru"
интернет-супермаркет <http://mnogo.ru/enterpr/cat391/index.html>,
· "Золотая
Вобла - сеть народных баров"
<http://mnogo.ru/enterpr/cat391/index.html>,
· «ПАРТЕР -
система бронирования и продажи билетов на все зрелищные мероприятия»
· "Технопарк.ру"
- интернет-магазин электроники"
<http://mnogo.ru/enterpr/cat391/index.html>,
· Kupibonus.ru
- скидки до 90% на красоту <http://mnogo.ru/enterpr/cat391/index.html>,
· Sapato.ru -
интернет-магазин обуви <http://mnogo.ru/enterpr/cat391/index.html>,
· Speak up -
центр изучения английского языка
<http://mnogo.ru/enterpr/cat391/index.html>,
· Бельпостель
- сеть магазинов постельного белья
<http://mnogo.ru/enterpr/cat391/index.html>,
· -ОТП Банк
крупнейший европейский банк <http://mnogo.ru/enterpr/cat391/index.html>,
· Такси 232
1111 <http://mnogo.ru/enterpr/cat391/index.html>.
Преимущества программы лояльности «Клуб Много.ру» для партеров:
· замену краткосрочных промоакций долгосрочной программой партнерства с
клиентом, которая обеспечивает участника конкурентным преимуществом (подобная
программа трудно копируема);
· сокращение затрат на маркетинговые исследования за счет
получения более глубокой, качественной и “бюджетной” аналитики от оператора
программы;
· таргетированный доступ через оператора программы к базам
данных партнеров по программе;
· выведение непрофильного бизнеса - “ведение программы
лояльности” - на аутсорсинг.
Партнеры программы «Клуб Много.ру» получают в распоряжение маркетинговые
решения, которые дают партнерам возможность клиентоориентированными и проводить
маркетинговые мероприятия ориентированные на привлечение новых клиентов, и
удержание старых клиентов.
Коалиционная программа лояльности помогает партнерам открыть уникальную
возможность коммуникаций с потребителями, которые еще не совершают покупки в
магазинах, но являются лояльными клиентами остальных партнеров программы.
Преимущество программы лояльности «Клуб Много.ру»:
· технологическое оснащение сайта.
· управление и консолидация в одних руках детализированной базы клиентов;
· несколько источников поступления доходов, что позволяет
обеспечить прибыльность проекта.
Недостатки программы лояльности «Клуб Много.ру»:
· Непривлекательные сроки накопления бонусов. Средний период накопления на
призы превышает 5 лет при среднем уровне посещения компаний-партнеров
программы.
· Сеть ритейлеров состоит из кампаний, конкурирующих в одной
отрасли.
· Большое количество партнеров, вызванное стремлением оператора
извлечь как можно большую прибыль, привело к тому, что бренды участников
программы перестали ассоциироваться с программой и заявленная цель в виде
повышения лояльности бренду партнера не выполняется.
· Многие партнеры могут не зачислить бонусы или в сбое самой
программе начисления. Но проблему можно устранить, написав по электронной почте
письмо и прикрепив фотографию чека, по которому была сделана покупка.
· На сайтах партнеров можно встретить устаревшую информацию.
3.Новая коалиционная программа лояльности «Кукуруза» создана в 2010 году.
Программа «Кукуруза» нацелена на повышения программы лояльности
покупателей.
Совершая покупки с помощью карты «Кукурузы» копите баллы и обмениваете их
на скидку у партнеров программы, так же становятся доступны дополнительные
сервисы карты. Карта работает, когда вы совершаете покупки в любых магазинах,
на АЗС, кафе и ресторанах, везде, где принимаются пластиковые карты или
покупаете товары у партнеров программы, и за каждую покупку начисляются баллы.
С помощью баллов можно оплачивать покупки, так есть специальный каталог
Кукуруза. Программа «Кукуруза» работает не только в Москве и Московском
регионе, но и в других регионах России.
Программа лояльности «Кукуруза» нацелена на привлечение новых клиентов и
новых партнеров в программу лояльности. Клиенты накапливают баллы, используя
одну карточку объединяющие в себя нескольких партнеров.
Существует несколько преимуществ использования программы лояльности
«Кукуруза» для клиентов:
· Возможности накапливать баллы в разных компаниях.
· Обмен накапливаемых баллов на подарки.
· Использования платежной системы MasterCard.
Существует несколько партеров программы лояльности «Кукуруза»:
· аптека «Доктор Столетов»,
· интернет магазин обуви Sapato,
· магазин одежды SAVAGE,
· в салонах связи Евросеть,
· интернет-магазин «Мама»,
· магазин одежды People,
· агентство «Билет Онлайн»,
· сеть салонов текстиля для дома «TOGAS»,
· международная платежная система MasterCard.
Преимущество программы лояльности «Кукуруза» для партнеров:
· замена краткосрочный промоакций долгосрочной программой партнерства,
· большая база данных потребителей,
· сокращение затрат на маркетинговые исследования от оператора
программы,
· недорогие каналы коммуникации.
Партнеры программы «Кукуруза» получают стратегическое маркетинговое
решения, которое дает возможность партнером клиентоориентированными и проводить
эффективные мероприятия на привлечение новых клиентов и удержание старых
клиентов.
Преимущество программы лояльности «Кукуруза»:
· не только бонусная карта, так же карта платежной системы MasterCard,
· позволяет отправлять денежные переводы по России и в страны
СНГ,
· оплаты регулярных платежей (сотовая и городская телефонная
связь, интернет и кабельное телевидение, ЖКХ и др.),
· появилась возможность производить оплату через платежную
систему PayPal, можно совершать покупки на eBay,
· позволяет звонить в другие города по очень выгодным тарифам с
использованием сервиса IP-телефонии,
· можно делать покупки в магазине Apple.
Недостатки программы лояльности «Кукуруза»:
· недостаточно оснащен кабинет клиента,
· недостаточно осведомлен персонал программы «Кукурузы»,
· проблемы с зачислением платежей в appstore,
· узкий круг участников коалиции,
· не современное реагирование персонала центра поддержки
программы «Кукуруза» на проблемы клиентов.
Проведем сравнительный анализ коалиционных программ лояльности
представленный нами в табл.1.3.
Табл.1.3.Сравнительный анализ коалиционных программ лояльности.
|
«МАЛИНА»
|
«Клуб Много.ру»
|
«Кукуруза»
|
|
Наличие партнеров
|
+
|
+
|
+
|
|
Персональное информирование
клиентов
|
+
|
+
|
+
|
|
Предоставление карты другим
лицам
|
+
|
+
|
+
|
|
Платежная система
|
-
|
-
|
+
|
|
Оплачивать баллами покупку
|
-
|
-
|
-
|
Каждая коалиционная программа лояльности отличается друг от друга своими
характеристиками. Каждая коалиционная программа лояльности дает определенные
преимущества своему клиенту, тем самым показывает значимость клиента их
компании. Был проведен сравнительный анализ коалиционных программ лояльности в
Москве и Московской области. В коалиционной программе лояльности участвует не
только клиент, но и партнеры программы лояльности. Коалиционная программа
лояльности объединяет под собой несколько партнеров не конкурирующих между
собой.
В коалиционной программе лояльности существует возможность персонального
информирования клиентов, предоставления клиенту информации об акциях и
мероприятиях. В коалиционных программах лояльности «МАЛИНА», «Клуб Много.ру»,
«Кукуруза» существует возможность предоставления карты другим лицам.
В коалиционной программе лояльности «Кукуруза» существует платежная
система MasterCard. В других коалиционных программ
лояльности не существует платежной системы. Не в одной коалиционных программах
лояльности нет возможности оплатить покупку у партнеров баллами. Но существует
возможность оплачивать баллами покупки из каталогов компании.
Проанализировав программы лояльности потребителей в Москве и Московском
регионе: бонусные, дисконтные и коалиционные программы лояльности клиентов.
Стало понятно, что каждая программа лояльности направлена на клиентов и
мотивирует их совершать покупку в своем магазине или у своих партнеров, взамен
покупатель получает баллы или скидки на карточку предоставляемую компанией
клиенту. В каждой программе есть свои уникальные особенности, которые
направлены на клиента.
Изучив все бонусные программы лояльности клиентов в Москве и Московском
регионе, были найдены одинаковые свойства программы лояльности. А именно во
всех программах существует персональное информирование клиентов об акциях,
мероприятиях компании, все компании в бонусных программах дают возможность
предоставлять карту другим лицам, тем самым увеличивают интерес к своей
компании не только владельца карты, но и его членам семьи, друзьям и коллегам.
В каждой бонусной программе лояльности клиент может оплачивать покупку баллами,
но есть одна особенность это может быть частичная оплата покупки или оплата
всеми баллами покупку. Одна из бонусных программ направлена не только на
привлечение клиентов, но и на привлечение партнеров в свою программу - «Связной
- Клуб». Так же в одной из бонусной программы лояльности существует несколько
видов бонусных карт - «Спортмастер», несколько видов карт зависят от
накопленной суммы на счету карты клиента. Бонусная программа удобна для
клиента, если клиент может тратить баллы по своему усмотрению, и если компания
будет информировать его об акциях, тем самым информировать клиента и показывать
значимость клиента для компании.
Проанализировав все дисконтные программы лояльности клиентов в Москве и
Московском регионе, были найдены несколько одинаковых свойства программ
лояльности и найдены отличия друг от друга. В дисконтной программы лояльности
«Стокманн» и «ИЛЬ ДЕ БОТЭ» участвуют не только клиент, но и партнеры программы
лояльности. Клиенты программы лояльности «Стокманн» и «ИЛЬ ДЕ БОТЭ» получают
скидки, совершая покупку у партнеров программы лояльности. В каждой дисконтной
программе существует возможность персонального информирования клиента, об
акциях и мероприятиях проводимых компанией. Нескольких дисконтных программах
лояльности существует возможность предоставлять карты другим лицам -
«Л’Этуаль», «Спортмастер» и «Мир кожи и меха», только в дисконтной программе
«ИЛЬ ДЕ БОТЭ» нельзя предоставлять карту другим лицам, а так при покупке
продавец может попросить удостоверение личности. В дисконтных программах
лояльности «Л’Этуаль» и «ИЛЬ ДЕ БОТЭ» существует несколько видов карты
программы, которые меняются при накоплении суммы на карты. В дисконтной
программе «Стокманн» для получения карты клиенту нужно оплатить стоимость
карты, в других дисконтных программах существует предел покупки, за которую
выдается карта клиенту. Дисконтные программы лояльности удобны, так как при
совершении покупки клиент получает сразу скидку, дисконтные программа проста в
использование , клиент знает сколько он может получить по карте скидку.
При изучении коалиционных программ лояльности в Москве и Московском
регионе были найдены сходства и различие в каждой из них. Все программы
направлены на привлечение клиентов и партнеров, все программы созданы для
объединения различных видов услуг и сфер деятельности, тем самым создают
клиенту возможность использовать одну карту у всех партнеров. Во всех
коалиционных программах лояльности есть партнеры, и существует персональное
информирование клиентов, есть возможность предоставлять карту другим лицам. В
коалиционных программах «МАЛИНА» и «Клуб Много.ру» не существует платежная
система как в «Кукурузе. Так же во всех трех коалиционных программах не
предоставляется возможность клиентам оплачивать баллами покупки у партнеров
программы, в данных программах баллы можно списать, выбрав понравившиеся товар
в каталоге.
Наличие карточки программы лояльности в кошельке потребителя частично
мотивирует потребителя совершать покупку в магазине, в котором ему предоставлять
скидку или начисляются бонусы. Клиенту важно чтоб программа лояльности была
понятна ему и была проста в обращение, так же приятно когда сообщают о начале
акции и специальных предложениях. Клиенту важно, когда компания прислушивается
к мнению их о недостатках программы и проблемах связанных начислением баллов и
скидок.
Компаниям создавшие программы лояльности необходимо прислушиваться к
мнению экспертов, клиентов о программе лояльности. Ведь можно узнать об
отрицательных мнениях, о программе и исправить ошибки, но так, же можно
услышать положительные мнения о программе лояльности. Каждая программа
лояльности уникальна и каждая имеет свои отрицательные и положительные
свойства. Но каждая по своему нравится клиенту и мотивирует его использовать
именно эту программу лояльности, пусть это дисконтная, бонусная или
коалиционная программа лояльности.
Некоторые программы не представлены в Московском регионе, рассмотренные
на примерах: «Постоянный Покупатель Стокманн», «ИЛЬ ДЕ БОТЭ», «Мир коже и
меха». Данные программы лояльности не могут быть представлены в городах
Московского региона, так как сами компании не открыли магазины в городах
Московской области. В Москве и Московском регионе клиентам более удобно
использовать дисконтные программы, так как не нужно беспокоиться о накопленных
баллах и списывания их со счета карточки клиентов. Клиенты, имеющие у себя
карточки коалиционных программ, чаще всего не используют карточки этой
программы, так как им трудно запомнить всех партнеров программы.
Глава3. Программа развития дисконтной системы «Удачная покупка» в
Московском регионе
.1 Общие
сведения по программе развития дисконтной системы «Удачная покупка» в
Московском регионе
Компания «MEDIAPRINT»
создала дисконтную систему «Удачная покупка». В 2008 году компания проводила
изучение потенциальных городов, отвечающих основным требованиям для выхода
дисконтной системы «Удачная покупка», в 2009 году дисконтная система вышла в
городах. В дисконтной системе «Удачная покупка» учитываются уникальные
тенденции развития субъектов малого и среднего бизнеса Российской Федерации, в
основе лежит опыт реализации подобных проектов, как в России, так и за
границей.
Дисконтная система «Удачная покупка» это новый рекламный продукт для
розничного бизнеса в городах России с населением 500 000 человек позволяющих
увеличить в объемы продаж узнаваемость брендов участников проекта за счет
эффективного распространения рекламной информации среди потенциальных клиентов.
Данный проект дисконтная система направлена на привлечение потенциальных клиентов
к партнерам-участникам программы. Дисконтная программа «Удачная покупка» это
одна из разновидностей коалиционных программ созданных в России, она отличается
от всех тем, что она не бонусная, а дисконтная программа лояльности. Данная
дисконтная система объединяет предпринимателей одного города для привлечения
новых платежеспособных клиентов из числа владельцев карт «Удачная покупка».
Программа распространяется в таких городах Московской области: Люберцы,
Серпухов, Чехов, Коломна, Балашиха.
Основная целевая аудитория дисконтной системы «Удачная покупка» это
платежеспособное население, которые могут покупать товары не первой
необходимости.
Основная миссия дисконтной системы «Удачная покупка»:
· Предоставление экономических выгод держателям карт «Удачная покупка» за
счет объединения ключевых представителей малого и среднего бизнеса конкретного
города в единую дисконтную систему.
· Повышение уровня жизни граждан России за счет экономии их
денежных средств при приобретении товаров или услуг.
Основные цели дисконтной системы «Удачная покупка»:
· Экономия бюджета: Держатель карты приобретает товары или услуги со
скидками или по специальным ценам.
· Экономия времени: Держателю карты не нужно тратить время на
изучение цен на товары и услуги, достаточно внимательно ознакомиться с брошюрой
«Путеводитель по удачным покупкам» в печатном виде или в сети интернет и
найдете информацию о ценах, скидках, проводимых акциях у компаний-партнеров
дисконтной системы
· Удобство использования: Держателю карты достаточно иметь только
одну дисконтную карту, позволяющую получать скидки почти во всех магазинах и
предприятиях вашего города, вместо десятка дисконтных карт, которые приходилось
носить с собой раньше.
· Растущие возможности: Количество участников дисконтной
системы постоянно растет, а это означает, что с каждым днем держатель карты
получает возможность приобретать все больше новых товаров и услуг со скидкой.
· Скидки без ограничений: Срок действия карты не ограничен.
· Актуальность
· Эффективность
· Прозрачность
· Доступность
· Контролируемость.
Данная программа лояльности направлена на привлечение новых партнеров -
участников и клиентов к партнерам программы. Компания «MEDIAPRINT» создала определенные схемы работы
дисконтной системы «Удачная покупка» для партнеров - участников и для
владельцев карт «Удачная покупка».
Основная схема работы дисконтной системы «Удачная покупка» для партнеров
- участников дисконтной системы следующая:
. Ежемесячно для каждого конкретного города выпускается 1000 рекламных
комплектов с информацией об уникальных предложениях участников дисконтной
системы и распространяется только среди платежеспособного населения.
Рекламный комплект состоит из следующих элементов (см. приложение 1):
· Буклет / брошюра - цветной журнал формата А5, в котором публикуется
рекламная информация участников системы о скидках или предлагаемых товарах по
специальным ценам.
· Пластиковая дисконтная карта - карта, обладатель которой
может получать скидки или приобретать товары по специальным ценам у участников
системы в соответствии с информацией в буклете.
· Полиэтиленовый пакет - пакет, в котором находятся буклет и
дисконтная карта.
2.
Помимо распространения информации о компаниях-участниках, товарах и услугах в печатном
виде в брошюре «Путеводитель по удачным покупкам» реклама также размещается в
сети интернет на сайте www.p-o-k-u-p-k-a.ru
<http://www.p-o-k-u-p-k-a.ru>.
Реклама
на сайте www.p-o-k-u-p-k-a.ru
<http://www.p-o-k-u-p-k-a.ru>
содержит:
· Логотип компании.
· Специализация компании.
· Контактная информация.
· Размер скидки владельцу карты «Удачная покупка».
Информация
о компаниях-участниках на сайте www.p-o-k-u-p-k-a.ru
<http://www.p-o-k-u-p-k-a.ru>
формируется автоматически после утверждения рекламного модуля, размещаемого в
информационной брошюре «Путеводитель по удачным покупкам».
.
Ежемесячно электронная версия информационной брошюры «Путеводитель по удачным
покупкам» направляется на e-mail всем зарегистрированным владельцам дисконтных карт
«Удачная покупка» на сайте www.p-o-k-u-p-k-a.ru
<http://www.p-o-k-u-p-k-a.ru> с
информацией об уникальных предложениях компаний-участников дисконтной системы.
.
Ежемесячно электронная версия информационной брошюры «Путеводитель по удачным
покупкам» выкладывается на социальной сети «vkontakte.ru» в
сообществах/группах созданных под каждый город и становится доступной всем
членам сообщества/группы.
Основные характеристики рекламы в брошюре «Путеводитель по удачным
покупкам»:
· Качество продукции. Брошюра «Путеводитель по удачным покупкам» печатается
на высококачественной бумаге. Дисконтные карты отличаются современным дизайном
и имеют свой уникальный штрих-код.
· 100% внимание. Благодаря высокому качеству материалов брошюры
«Путеводитель по удачным покупкам», профессиональному дизайну и уникальному
распространению рекламный комплект привлекает внимание.
· Уникальное распространение. Распространение рекламных
комплектов происходит только среди клиентов, совершивших покупку у участников
дисконтной системы, воздействуя тем самым только на целевую аудиторию
платежеспособного населения. Участники не несут никаких дополнительных расходов
по распространению.
· Эксклюзивность участия.