Конкурентоспособность регионов России
Содержание
Введение
Глава 1. Понятие и составляющие
конкурентоспособности регионов
.1. Конкурентоспособность регионов в
процессе социально-экономического развития
.2. Методики оценки
конкурентоспособности регионов России
Глава 2. Повышение конкурентоспособности
регионов
.1. Факторы социально-экономического
развития и конкурентоспособности регионов
.2. Направления повышения
конкурентоспособности российских регионов
Глава 3. Конкурентоспособность
Волгоградской области
.1. Конкурентоспособность
Волгоградской области (экономическая оценка)
.2. Проблемы повышения
конкурентоспособности Волгоградской области
Заключение
Список литературы
Приложения
Введение
Актуальность темы исследования.
В настоящее время повышение конкурентоспособности наряду с ускоренной диверсификацией
экономики поставлено в центр Концепции долгосрочного социально-экономического
развития России до 2020 г.. Переход России на концепцию устойчивого развития в
условиях усиления процессов глобализации мирового хозяйства обуславливает
необходимость дальнейшего совершенствования методов оценки и управления
конкурентоспособностью, прежде всего, в региональных экономических системах.
В начале ХХI
в. российский регион стал предметом интереса и исследования, как
географическая, административная, экономическая, культурно-историческая,
этнокультурная единица. Сегодня в России наступило время, когда регионам
приходится конкурировать буквально за все: за инвестиции, информационные,
транспортные и туристические потоки, экологические, экономические, социальные и
культурные проекты, креативные эксклюзивные идеи и, конечно же, за
специалистов, способных всем этим управлять.
Степень разработанности темы.
Проблема конкурентоспособности регионов национальной экономики стала объектом
внимания сравнительно недавно. Можно назвать работы таких авторов, как
Абдульманов И.М., Ахметова Д.Ф., Бердникова А.Е., Бушуева М.А., Землянская
И.А., Землянухина С.Г., Калюжнова Н.Я., Карачурина Г.Г., Краснов Г.И.,
Круглякова В.М., Кузеванов В.Я., Кузьмин О.М., Лемдяев А.В., Мясникова В.М.,
Новоселова И.А., Перфилов В.А., Печаткин В.В., Положенцева Ю.С., Трещевский
Ю.И., Уланова И.А., Шеховцева Л.С., Эйтингон В.Н. и др. Однако вопросы,
касающиеся методов оценки конкурентоспособности регионов, проработаны не в
полной мере как на теоретическом, так и практическом уровнях.
Целью
настоящей работы является исследование современных факторов и форм повышения
конкурентоспособности региона.
Для реализации поставленной цели необходимо
решить следующие задачи:
дать понятие конкурентоспособности регионов;
изучить методику оценки конкурентоспособности
регионов России;
исследовать факторы социально-экономического
развития и конкурентоспособности регионов;
определить направления повышения
конкурентоспособности российских регионов;
провести анализ конкурентоспособности
Волгоградской области;
проанализировать проблемы повышения
конкурентоспособности Волгоградской области
Объект
исследования: конкурентоспособность регионов в процессе
социально-экономического развития.
Предмет
исследования: факторы и формы повышения конкурентоспособности региона.
Теоретической основой
работы являются зарубежные и отечественные теоретические и методологические
разработки в области конкурентоспособности регионов.
Основными методами, использованными в
ходе исследования, являются сравнительный, функциональный и структурный анализ.
Для обработки результатов эмпирических исследований применялись
математико-статистические методики.
Информационную базу
исследования составили материалы специализированных печатных изданий, данные
отчетности Росстата и Волгоградской области, данные сети Интернет.
Структура
работы. Работа состоит из введения, трех глав, заключения, списка
использованной литературы, приложений.
Глава
1. Понятие и составляющие конкурентоспособности регионов
.1
Конкурентоспособность регионов в процессе социально-экономического развития
Вопрос о понятии конкурентоспособности региона
сложный, поскольку "само понятие регион в России неоднозначное: с одной
стороны, регион - это субъект федерации, но с другой, регион - это понятие
географическое". По мнению Л.С. Шеховцевой, в экономическом смысле можно
говорить только о развитии регионов как территорий. Но, считает она, диалог
местных властей с федеральным центром по вопросу регионального развития
затруднен из-за отсутствия у Минэкономразвития России "географически
осмысленного представления страны, с восприятием регионов только как строчки
таблицы".
Однако прежде всего исследуем понятие
конкурентоспособности в целом.
Конкурентоспособность как экономическое явление
- это сложный, многоуровневый и противоречивый процесс, содержащий как
объективные, так и субъективные признаки общественных отношений. На всех
последовательно сменяемых исторических этапах конкурентоспособность
экономических систем, претерпевая процесс эволюции, объективно обусловливает
развитие производительных сил и производственных отношений, НТП, рост
производительности труда, персонифицированное накопление финансового капитала,
расширение материальной и рыночной инфраструктуры.
Термин "конкурентоспособность" - многоаспектное
понятие и может быть исследовано на различных иерархических уровнях в
зависимости от объекта исследования. Иерархия уровней конкурентоспособности
представлена на рис. 1 (приложение 1).
Современные экономисты вводят в понятие
конкурентоспособности формирование и удержание устойчивых конкурентных
преимуществ. А.А. Анучин и О.Н. Беленов пишут, что конкурентоспособность - это
"обладание свойствами, создающими преимущества для хозяйствующего субъекта
одержать победу в экономическом соревновании. Эти свойства могут относиться к
различным по своей природе объектам: видам продукции, предприятиям,
организациям, осуществляющим коммерческую деятельность (микроуровень), их
группам, образующим отраслевые или конгломератные объединения (мезоуровень),
наконец, к отдельным странам (макроуровень)". Достоинство данного
определения видится в том, что в нем подчеркивается конкурентный
(состязательный) характер конкурентоспособности как экономического явления,
активные действия хозяйствующих субъектов. Назван объектно-субъектный состав
данной категории, носящий, как видим, сложный, многоуровневый характер. В
соответствии с приведенным определением возможность успешно конкурировать на
рынке определяется наличием или отсутствием у субъекта конкурентных преимуществ
по сравнению с другими субъектами. Иначе говоря, конкурентное преимущество
составляет основу конкурентоспособности на любом уровне, включая региональный.
Однако определение понятия конкурентоспособности
в приведенном варианте, как представляется, не лишено недостатков. Прежде
всего, авторы рассматривают данную категорию вне пространства. Между тем
конкурентоспособность проявляется на вполне определенном конкурентном поле -
это может быть рынок товаров, услуг, финансовый рынок, иностранные инвестиции и
т.д. Кроме того, не указана цель, ради которой конкурентоспособность создается
и существует. Она может быть самой различной: обеспечение устойчивого,
надежного положения промышленно-финансовых групп, отраслей и других субъектов
хозяйствования на конкурентном поле; укрепление экспортной позиции на мировом
рынке товаров; улучшение жизненного уровня населения и т.д..
Развернутое определение конкурентоспособности
экономической системы дано С.Г. Землянухиной. Основываясь на системном анализе
множества известных теоретических и институциональных характеристик
конкурентоспособности по их элементам (объектам, субъектам, свойствам, сферам,
условиям и др.) и последующей композиции интегральных элементов, автор
синтезировал селективное (обобщенное) понятие конкурентоспособности субъектов
или видов экономик. Конкурентоспособность экономических систем, по мнению С.Г.
Землянухиной, - "это отношения по поводу товарного производства и
рыночного сравнения полезностей, затрат и прибыльностей их (экономических
систем) товаров и услуг среди аналогов, субститутов (заменителей) и суррогатов,
реализованных на конкретном рынке в условиях свободной конкуренции и отсутствия
протекционизма".
Обобщая сказанное выше, можно сделать вывод, что
конкурентоспособность - это способность экономического субъекта и (или) товара
сохранять и улучшать позиции в среде других экономических субъектов и (или)
товаров.
Перейдем к рассмотрению категории
"конкурентоспособность региона". Речь идет именно о
конкурентоспособности, а не об участии региона в реальной конкуренции. Эта
проблема вторична, поскольку определяется конкурентоспособностью региона.
В отечественной литературе, посвященной
проблемам региональной экономики, к настоящему времени еще недостаточно хорошо
проработан вопрос о конкурентоспособности регионов как экономической категории.
Так, в некоторых работах категория "конкурентоспособность регионов"
отсутствует вовсе. Г.В. Копанев делает основной акцент на конкуренцию как общую
экономическую категорию; по его мнению, конкуренция - это "своеобразная
рыночная принудительная сила, заставляющая товаропроизводителей повышать
производительность труда на своих предприятиях, расширять производство,
осваивать новые технологии, материалы, модели".
По мнению Р.И. Шнипера, пока существуют
региональные различия в "потенциальных возможностях развития производства
в степени влияния природно-экономических и ресурсных факторов на экономическую
структуру региональных систем, место и значение каждого региона в рыночном
пространстве будут определять специализация и территориальное разделение
труда". Внутренняя конкурентоспособность регионов страны - способность
экономики регионов России сохранять и улучшать позиции в национальном
хозяйстве.
Ряд авторов, стремясь дать характеристики
конкурентоспособности региона, в основном обращали внимание на географические
признаки либо на признаки своеобразия хозяйствования. Так, в экономической
литературе последних лет широко распространено применение теории М. Портера,
который характеризовал конкурентные преимущества стран. Речь же у Портера идет
не о конкурентоспособности, а о конкуренции и ее характеристиках. Но в
отечественной экономической литературе это выдается за характеристики
конкурентоспособности. Если принять эту посылку, то конкурентоспособность
региона (понимая под регионом страны), по Портеру, характеризуется степенью
развитости технологии, овладения факторами производства и сбыта, глобализацией
стратегий как опережения в действиях своих конкурентов. Все названные
характеристики действительно определяют реализацию конкурентоспособности
региона, но не дают характеристику содержания самой конкурентоспособности
региона.
Г.Л. Азоев исходит из позиции, согласно которой
категория "конкуренция" является интегральным элементом, лежащим в
основе понятия категории "конкурентоспособность" любой экономической
системы, включая региональную: свойства, присущие свободной конкуренции,
присущи и конкурентоспособности. Однако понятия "конкуренция" и
"конкурентоспособность", являясь сопряженными, не тождественны. Если
конкуренция - это динамические действия хозяйствующих субъектов, то
конкурентоспособность - это обладание субъекта свойствами, дающими ему
возможность осуществлять эти действия. Если субъект лишен таких свойств, он
неконкурентоспособен, т.е. не способен вступить в конкурентные отношения, борьбу
на соответствующем рынке.
А.З. Селезневым предложено следующее определение
конкурентоспособности региона: "Конкурентоспособность региона - это
обусловленное экономическими, социальными, политическими и другими факторами
положение региона и его отдельных товаропроизводителей на внутреннем и внешнем
рынках, отражаемое через показатели (индикаторы), адекватно характеризующие
такое состояние и его динамику".
Анализируя приведенные выше точки зрения, можно
придти к выводу, что под конкурентоспособностью региона понимается, прежде
всего, наличие и реализация конкурентного потенциала данного региона. При этом
конкурентный потенциал является многоплановым и формируется как многообразные
характеристики возможности участия региона в конкурентных отношениях как между
регионами, так и в общегосударственных конкурентных отношениях, взаимодействуя
с другими странами мира. Конкурентоспособность региона в названном выше смысле
слова описывается такими характеристиками, как конкурентные преимущества
региона в самых различных сферах и отраслях экономики и социальной сфере,
условия существования региона (климат, географическое положение), наличие
природных богатств, интеллектуальный уровень развития населения.
Можно построить следующую логическую цепочку:
региональный рынок - механизм ценообразования - конкурентоспособность региона
(рис. 2, приложение 1).
Конкурентоспособность, как и конкурентный
потенциал, обладает рядом признаков, в частности базовых и обеспечивающих.
К базовым признакам конкурентоспособности
относятся наличие у региона развитой системы производительных сил, включающей в
себя природные богатства (разведанные, используемые), научный потенциал,
уровень применения достижений технического прогресса на предприятиях региона,
что создает общий уровень технико-технологического обеспечения хозяйствования в
определенном регионе, степень развитости интеллекта жителей определенной
территории и др.. Обеспечивающие признаки конкурентоспособности региона - это
система хозяйствования в нем: эффективность управления экономикой, скорость и
простота протекания экономических процессов, в том числе финансовых, товарных и
др. К этим же признакам относится весь процесс формирования и осуществления
хозяйственного механизма, который включает в себя не только чисто экономические
составляющие, но и политическое оформление и социальные характеристики.
К обеспечивающим признакам конкурентоспособности
относят и институциональную ее составляющую - наличие разного вида
инфраструктур региона, от производственной до рыночной. Именно полная обеспеченность
региона инфраструктурами означает, что потенциальные возможности региона могут
превратиться в его реальную конкурентоспособность и затем уже реализоваться в
конкурентных преимуществах данного региона перед другими регионами.
Институциональная составляющая конкурентоспособности региона необходима для
упорядочения взаимоотношений между хозяйствующими субъектами региона и
эффективного использования базовых составляющих этой конкурентоспособности.
Базовые и обеспечивающие характеристики
конкурентоспособности постоянно взаимодействуют, создавая синергетический
эффект осуществления этих характеристик в реальной действительности.
Институциональная же характеристика конкурентоспособности региона оформляет
названное выше взаимодействие ее базовых и обеспечивающих признаков.
Одновременно чрезмерная развитость институциональной составляющей
конкурентоспособности региона несет в себе угрозу самодостаточности
функционирования, независимости от того, реализуется конкурентоспособность
региона или нет. Иначе говоря, институциональная составляющая
конкурентоспособности региона представляет собой форму взаимодействия названных
выше признаков конкурентоспособности.
Конкурентоспособность региона включает в себя
понятие риска как важнейшей характеристики хозяйственных процессов региона.
Поэтому конкурентная позиция и характеристика конкурентоспособности как
совокупности потенциалов вбирает в себя обоснование риска, присущего данному
региону. Риск наличествует во всей системе потенциалов, характеризующих
конкурентоспособность, и в конкурентной позиции региона, поскольку эта позиция
может нести в себе разную степень риска хозяйствования, политического и
социального поведения региона.
Исходя из вышеизложенного, предлагается
следующая теоретическая модель конкурентоспособности региона (рис. 3,
приложение 2). В основе конкурентоспособности региона лежат факторы
ценообразования, имеющие как определенную специфику для каждого типа
регионального рынка, так и тесно связанные между собой (рис. 4, приложение 2).
В общем виде конкурентоспособность можно
представить в форме лучевой модели (рис. 5, приложение 3), образованной
субъектно-объектными отношениями. Отсюда, объектом в данном процессе является
потребность, выраженная в виде группы потребителей, образующих интересующий
сегмент российского рынка (в данном случае это жители региона). Субъектом
выступает производитель. Российских бизнес-единиц может быть бесконечное
множество.
Для определения природы российской конкуренции
выделим из субъектно-объектной модели конкурентоспособности одну пару
субъектно-объектных взаимодействий. Тогда в общем виде, процесс российской
конкурентоспособности можно представить как систему векторов, образуемых
действием структуры процессов, как представлено на рис. 6 (приложение 3). Если
рассматривать данную модель с точки зрения конкурентоспособности регионов, то
векторы В1, В2, В3 будут характеризовать их внутренний потенциал.
Итак, конкурентоспособность региональной
экономики - это способность реализовать основную целевую задачу ее
функционирования - устойчивое социально-экономическое развитие региона с
обеспечением высокого качества жизни его населения. Конкурентоспособность
региона - это экономическая категория, выражающая отношения взаимодействия
системы производительных сил определенной территории, хозяйственных отношений и
институциональной формы протекания названных процессов, осуществляющихся как
синергетический эффект такого взаимодействия.
1.2
Методики оценки конкурентоспособности регионов России
Проведенный выше анализ дает основания понимать конкурентоспособность
региона как способность экономики региона стабильно производить и потреблять
товары и услуги в условиях конкуренции с товарами и услугами, производимыми в
других региона за счет наиболее полного и эффективного использования конкурентных
преимуществ, инновационного развития, при условии соблюдения экологических
стандартов и обеспечения постоянного роста качества жизни населения.
В соответствие с алгоритмом исследования ниже
приведен анализ подходов к оценке конкурентоспособности регионов.
Белякова Г.Я. выделяет следующие основные
показатели, характеризующие региональную конкурентоспособность: валовой
региональный продукт (ВРП) на душу населения и его динамика;
экспортно-импортная ориентация экономики региона (удельный вес экспорта в ВРП);
структура экспорта, его динамика, и стабильность; отраслевая структура
экономики региона; отраслевая структура убыточных предприятий и ее динамика;
бюджет региона, его доходная и расходная структура, стабильность бюджетного
наполнения; покупательная способность населения; малое предпринимательство и
тенденции его развития; заработная плата по отраслям региональной экономики и
ее удельный вес в доходах населения; безработица и ее структура; удельный вес
наукоемких технологий и наукоемкой продукции в общем объеме выпускаемой
продукции.
В качестве примера оценки региональной
конкурентоспособности можно привести также разработки А.И. Татаркина, согласно
которым "конкурентоспособность региона зависит от сравнительных
преимуществ территории, во-первых, природного характера, во-вторых,
эффективности организации и регионального управления, в-третьих, от уровня
развития науки и техники, технологий и организации производственных процессов,
и, наконец, от уровня жизни населения региона, социального обслуживания и развития
инфраструктуры".
Комарова М.А. предлагает методику оценки на
основе 3 групп коэффициентов, для характеристики конкурентного положения
региона включающего построение 3 матриц: 1. Уровень эффективности использования
ресурсов - уровень жизни. 2. Уровень инвестиционной привлекательности -
эффективности использования ресурсов. 3. Уровень инвестиционной
привлекательности - уровень жизни. Сравнивая уровень эффективности
использования ресурсов и уровень жизни населения, она делает выводы по оценке
насколько предприниматели и государство заботятся о благосостоянии работающего
у них и проживающего на их территории населения. При этом выявляются источники
благосостояния и возможности его роста.
С.В. Казанцев предлагает оценивать
конкурентоспособности регионов по отношению ВРП региона к ВВП страны в душевом
исчислении. Оценка факторов конкурентоспособности основана на относительных
показателях: территория региона, капиталовложения, основные фонды, денежные
доходы, плотность железных дорог и автодорог, кредиты, количество занятых в
НИОКР и т.п..
Р.А. Фатхутдинов предлагает оценивать
конкурентоспособность региона на основе показателей с применением системного,
стратегического и комплексного подходов. Системность перечня заключается в том,
что регион является, с одной стороны, подсистемой системы более высокого
уровня, а с другой - глобальной системой входящих в нее подсистем. В перечне
показателей включены факторы, характеризующие технические, экономические,
экологические, организационные, социальные, международные аспекты. Для каждого
из блоков факторов экспертным методом найдена весомость каждого из 19
показателей.
А.З. Селезнев предлагает определять конкурентные
позиции регионов на уровне рынков на основе 13 показателей. К ним относятся
показатели: мощности производимого на территории региона сырья, материалов,
топливно-энергетических ресурсов; обеспеченности производственной, рыночной и
социальной инфраструктурой; степени износа оборудования и перспективы его
замены; отдаленности поставщиков и потребителей основной массы ввоза-вывоза (не
менее 60% объема); наличия транспортных скоростных магистралей, морских и
речных портов, инфраструктуры международной связи; экологической обстановки;
обеспеченности высококвалифицированными кадрами и др..
Однако, как отмечает М. Портер в своем труде
"Конкуренция", достаточно большое число показателей, характеризующих
конкурентоспособность региональной экономики, ставит проблему интегрального
показателя, отражающего реальное состояние экономики региона. конкурентоспособность регион волгоградская область
Основываясь на вышесказанном, целесообразно
выделить три проблемно-содержательных блока: 1) способность региона производить
товары и услуги в условиях конкуренции с другими регионами; 2) способность
региона удовлетворять потребности населения; 3) финансовая устойчивость
региона.
Экологическую составляющую конкурентоспособности
(показатели экологического благополучия региона) целесообразно учитывать при
оценке качества жизни населения. Для оценки способности региона удовлетворять
потребности населения предлагается использовать показатели, характеризующие
качество жизни.
Для оценки качества жизни предлагается
использовать следующие блоки показателей, характеризующих уровень и условия
жизни населения: показатели, характеризующие объем потребления населения;
показатели, характеризующие условия жизни населения (обеспеченность населения
потребительскими благами, экологическое благополучие региона,
социально-экономическую безопасность); показатели, характеризующие движение
денежных средств и социальную дифференциацию населения; финансовое благополучие
населения; косвенные показатели (миграционный прирост населения, ожидаемую
продолжительность жизни).
Для осуществления рейтинговой оценки финансовой
устойчивости региона необходимо использовать и финансово-бюджетные показатели.
При этом их величину необходимо скорректировать на величину регионального
прожиточного минимума, что позволит в некоторой степени нивелировать ценовые
диспропорции между различными территориями.
В.В. Печаткин и В.А. Перфилов в качестве
результирующего признака для первого проблемно-содержательного блока выбрали
показатель ВРП в расчете на душу населения, поскольку он в наибольшей степени
характеризует способность региона производить товары и услуги. Результирующим
показателем второго блока авторы выбрали ожидаемую продолжительность жизни,
поскольку эта характеристика в наиболее полной мере отражает качество жизни
населения. В качестве результирующего показателя финансовой устойчивости
региона было определено отношение доходов консолидированного бюджета на душу
населения к величине прожиточного минимума в регионе, поскольку именно доходы
бюджета в наибольшей степени влияют на финансовое благополучие региона. При
этом из дальнейших расчетов исключались те факторы, влияние которых
незначительно. Ограничение числа включаемых в рассмотрение факторов-признаков
проводилось с использованием аппарата многошагового регрессионного анализа.
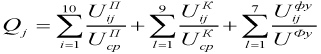
Для расчета интегрального показателя
конкурентоспособности региона В.В. Печаткин и В.А. Перфилов предлагают
использовать такую формулу:
где Qj - интегральный показатель
конкурентоспособности j-го региона;П - значение i-го показателя j-го региона,
характеризующего способность региона производить товары и услуги в условиях
конкуренции;срП - среднероссийское значение показателей способности регионов
производить товары и услуги;- значение i-го показателя j-го региона,
характеризующего качество жизни населения;Фу - значение i-показателя j-го
региона, характеризующего финансовую устойчивость региона;срK -
среднероссийское значение показателей качества жизни населения;срФу -
среднероссийское значение показателей финансовой устойчивости регионов.
j - номер региона.
Использование данной формализованной записи
интегрального показателя оценки уровня конкурентоспособности региона является
методически правомерной, поскольку позволяет получить достоверные сведения о
вариации показателей. Осуществление оценки конкурентоспособности по данной
методике видится перспективной и по причине относительной простоты математических
вычислений. Далее на основе полученного интегрального показателя
конкурентоспособности субъекту Российской Федерации присваивается ранг.
Схема оценки уровня конкурентоспособности
региона представлена на рис. 7 (приложение 4).
В настоящей работе при оценке
конкурентоспособности Волгоградской области мы воспользуемся комплексным
показателем конкурентоспособности региона (предложен профессором Ярославского
государственного университета В.Е. Андреевым ), который складывается
из двух групп:
|
RC
=
|
{
|
Y-показатель
уровня жизни
|
|
|
I-инвестиционная
привлекательность региона
|
Соответственно каждый из них включает в себя:=
PC + G + L , где PC - покупательная способность населения; G - коэффициент
концентрации доходов (коэффициент Джини); L - уровень безработицы.= Ip + Ir +
Iq + Q , где Ip - инвестиционный потенциал региона; Ir - инвестиционный риск;
Iq - реальные объемы инвестиций; Q - число убыточных предприятий в регионе.
Итак, критериями оценки конкурентоспособности
региона могут быть положение на рынке, темпы развития, возможность
расплачиваться за полученные заемные средства, потребительские свойства по
отношению к цене товара и др. Возможны также различные методы оценки
конкурентоспособности, построенные на основе статистических показателей,
экспертных оценок, рангов. Самыми разработанными к настоящему времени являются
методы оценки конкурентоспособности, применяемые на макроуровне, т.е. при
межрегиональных сопоставлениях.
Глава
2. Повышение конкурентоспособности регионов
.1
Факторы социально-экономического развития и конкурентоспособности регионов
В литературе понятие "факторы" часто
отождествляется с понятием "источники" конкурентоспособности региона.
Разграничим эти понятия следующим образом. Источники - это ресурсы региона.
Факторы - всё то, что может обеспечить и влияет на наилучшее использование
имеющихся ресурсов, актуализацию потенциальных ресурсов и создание новых
ресурсов, т.е. всё то, что влияет на превращение ресурсов в конкретные
преимущества.
По поводу факторов, обеспечивающих конкурентоспособность
региона, обозначим три группы взглядов: кластерный подход; инновационная
система регионов; все остальные факторы создания конкурентоспособного региона.
В соответствии с кластерной концепцией
конкурентоспособность определённого региона зависит от наличия кластера
взаимосвязанных отраслей. Кластеры - сконцентрированные по географическому
признаку группы взаимосвязанных предприятий, специализированных поставщиков
услуг, а также связанные с их деятельностью некоммерческие организации и
учреждения в определенных областях, конкурирующие, но и взаимодополняющие друг
друга.
Вторую группу взглядов объединяет связывание
конкурентоспособности региона с наличием инновационной системы. Они отражают
факт накопления знания и роль исторического пути развития в обеспечении
жизнеспособности (которая в эволюционной экономике отождествляется с
конкурентоспособностью) регионов. Накопление знаний и институтов,
способствующих нововведениям, согласно эволюционным теориям, повышает
жизнеспособность регионов и имеет первостепенное значение в обеспечении
национальной конкурентоспособности. Суть подхода в том, что взаимодействие
институтов, связей поставщиков-потребителей и других агентов вызывает
критическую массу знаний. Подход содержит интегральную роль институтов в накоплении
технологических возможностей и в экономических изменениях, а также роль
нововведений в создании и сохранении конкурентоспособности.
Ставка на инновации в конкурентной борьбе
представляется сегодня перспективным подходом. В конечном счёте, победу в конкурентной
борьбе одерживают те участники рынка, которые занимают атакующую позицию в
инновационной войне. Дело в том, что как бы ни был высок риск нововведений,
неспособность к их осуществлению порождает ещё больший риск.
Ко всем остальным факторам создания
конкурентоспособного региона в специальной литературе относят: 1. Территория.
2. Инвестиции в основной капитал. 3. Основные фонды. 4. Денежные доходы
населения. 5. Кредиты, предоставленные экономике, банкам и населению. 6.
Плотность железных дорог. 7. Плотность автомобильных дорог. 8. Численность
занятых в исследованиях и разработках. 9. Трудоемкость ВРП. 10. Фондоемкость
ВРП. 11. Электроемкость ВРП. 12. Доходоемкость ВРП. К отдельной группе отнесём
факторы, которые либо представлены лишь в постановочном варианте, либо ещё не
стали объектом внимания исследователей. Например, роль государства в
обеспечении конкурентоспособности региона. Есть мнение, что создание
конкурентного преимущества региона осуществляется путём особой политики,
которая благоприятствует определённым отраслям в момент, когда они становятся
слабыми.
Возрастание в мире ценностей здорового образа
жизни и подходов устойчивого развития повышает рекреационную ценность регионов,
где для этого имеются условия, давая шанс обеспечения преимуществ этим
регионам.
В качестве отдельного фактора выделяют образ
региона, или в терминах экономической психологии, имидж региона, его репутация.
Регион как специфический "товар" также является объектом выбора
целевых потребителей: инвесторов (как места размещения капитала), бизнесменов
(как места размещения торговых и производственных операций), жителей (как места
жительства), работников (как места работы), руководящих деятелей (как места
проведения деловых и политических мероприятий), туристов и т.д. Имидж региона
может оказывать как стимулирующее, так и тормозящее воздействие на поведение
целевых потребителей. Управление имиджем служит повышению конкурентоспособности
региона.
Ряд исследователей утверждают, что качество
продукции, производимой предприятиями региона, является значимым фактором
конкурентоспособности региона: "Наступивший век должен стать веком
качества в противоположность ушедшему веку производительности. Именно качество
может обеспечить высокую конкурентоспособность, постоянный рост рынка сбыта и увеличение
прибыли. Оно (качество) - самый точный и обобщающий показатель
научно-технического прогресса, культуры и дисциплины труда".
Опыт оценки конкурентоспособности регионов
России, проведенный разными авторами, показывает: суровые природно-климатические
условия и географическое положение регионов не являются непреодолимой преградой
на пути к высокому уровню внутренней конкурентоспособности (пример -
Ханты-Мансийский округ, Якутия); внутренняя конкурентоспособность большинства
российских регионов достигалась в результате работы реального сектора
экономики; структура отраслей промышленности регионов с конкурентоспособной
экономикой менее разнообразна и более однобока, чем других регионов России;
регионы с конкурентоспособной экономикой обладают большим, чем другие регионы,
числом конкурентных преимуществ.
Конкурентоспособность как важный элемент
экономики региона обусловливается действием не одного, а, как правило, группы
факторов. Поэтому, во-первых, суждение о конкурентоспособности, вынесенное на
основании одного-двух факторов, может оказаться ошибочным. Во-вторых,
отсутствие конкурентного преимущества по одному или группе факторов не означает
неизбежную неконкурентоспособность экономической системы.
На одни из факторов конкурентоспособности,
действующих на территории региона, хозяйствующие субъекты могут влиять, на
другие - нет. К первым относятся, например, инвестиции в основной капитал и
трудоемкость продукции, ко вторым - природные богатства территории, политика
правительства, конъюнктура мирового рынка. Отсюда следует: Во-первых,
внутренняя конкурентоспособность экономики региона зависит не только от его
экономического потенциала и эффективности его использования, но и от состояния
экономической системы в целом. Во-вторых, общество способно целенаправленно
формировать конкурентные преимущества и тем самым противостоять негативному
воздействию на конкурентоспособность не находящихся в данное время под его
влиянием факторов и возникающим угрозам социально-экономическому развитию.
Экономика может быть конкурентоспособной при
разных сочетаниях факторов конкурентоспособности. В экономической борьбе можно
опираться на свой, специфический набор конкурентных преимуществ, а не стараться
превзойти характеристики конкурентных преимуществ других участников рынка.
Итак, факторы конкурентоспособности региона -
обстоятельства и условия, обусловливающие его конкурентоспособность. Поскольку
набор факторов конкурентоспособности меняется во времени и
конкурентоспособность региона зависит не только от экономического потенциала
этого региона и эффективности его использования, но и от состояния
экономической системы в целом, выход на уровень конкурентоспособности и
безопасности не гарантирует его сохранения. Сохранение и тем более повышение
уровня конкурентоспособности региона требует совершенствования множества
факторов конкурентоспособности, расширения набора конкурентных преимуществ.
2.2
Направления повышения конкурентоспособности российских регионов
По поводу направлений повышения
конкурентоспособности российских регионов среди экономистов можно встретить
различные мнения. Прежде всего, эти мнения касаются проблемы выравнивания
развития российских регионов. И.М. Абдульманов считает, что в
постиндустриальном государстве равномерного развития регионов быть не может.
В.И. Ксенофонтов и В.П. Зайков полагают, что
"нам нужны сильные регионы, сильные элиты и экспертные сообщества и их
взаимодействие между собой и с федеральным центром". При этом данные
авторы высказывают мысль, что с учетом ассиметричности российских регионов
"накладывание клише конкурентоспособности на тот или иной регион -
неправильное направление экономической политики". В.И. Ксенофонтов и В.П.
Зайков делят страну на две составляющие: "регионы-локомотивы и объективно
неконкурентоспособные регионы". Первым, по их мнению, необходимо
наращивать успех и давать возможность капиталу интенсивно приближаться к
мировым стандартам: "Такие регионы завязаны на мировой рынок и требуют
особо тонкой настройки на работу с крупными корпорациями". При этом
конкуренция тех или иных отраслей в таких регионах обусловлена обыкновенной
логикой: высокие зарплаты населения стимулируют рост строительства и торговых
сетей. Дотационные регионы, по их мнению, требуют большой заботы со стороны
федеральных властей.
А.Е. Бердникова предостерегает от ошибки сводить
вопросы конкурентоспособности регионов к борьбе за завоевание различных групп
потребителей и местных ресурсов: "В стране должны быть отношения
кооперации, а не конкуренции. И конкурировать должны не регионы, а форма
организации власти в них, поэтому конкурентоспособный регион - это регион,
имеющий высокоэффективную власть".
По мнению автора настоящей работы, для
определения направлений повышения конкурентоспособности российских регионов
следует обратиться к материалам Конференции "Конкурентоспособность
регионов РФ: инновации, инвестиции, партнерство", которая прошла 23 ноября
2011 г. в здании Правительства Москвы. Участники Конференции обсудили новые
подходы к оценке конкурентоспособности регионов и инструментов повышения
региональной конкурентоспособности, которые применяются на региональном уровне
в Европе и ряде субъектов РФ, включая развитие конкуренции в регионах; роль
малого и среднего бизнеса; место кластеров в региональном развитии; возможности
земельно-имущественных отношений для долгосрочного кредитования региональных
проектов; роль институтов развития в повышении инвестиционной привлекательности
и конкурентоспособности регионов РФ и стран СНГ; привлечение прямых иностранных
инвестиций как инструмента повышения конкурентоспособности российских регионов
и модернизации экономики России и стран СНГ. Участники Конференции приняли
резолюцию, в которой отмечено, что:
Конкурентоспособность региональной экономики -
это способность реализовать основную целевую задачу ее функционирования - устойчивое
социально-экономическое развитие региона с обеспечением высокого качества жизни
его населения. Конкурентоспособность России непосредственно зависит от
конкурентоспособности составляющих страну регионов. Значительная дифференциация
уровней развития российских регионов становится препятствием модернизации
страны и дальнейшему росту предпринимательства в России, особенно малого и
среднего, снижает конкурентоспособность России в мире и может явиться угрозой
территориальной целостности страны.
Несмотря на предпринимаемые усилия, сохраняется
отсутствие положительных сдвигов в повышении конкурентоспособности России в
мире. Вызывает озабоченность тот факт, что несмотря на рост кредитования малого
и среднего бизнеса в 2010 г., на практике развитие малого и среднего
предпринимательства, "локомотива" инноваций, не стало приоритетным
направлением региональной политики и существует значительный дисбаланс между
спросом со стороны предпринимателей на качественные условия и тем, что
региональные власти могут сегодня предложить.
Основой конкурентоспособности регионов является
конкурентоспособность местных предприятий, конкуренция между которыми и их
конкуренция с внешнерегиональными компаниями является необходимым условием
существования и фундаментом всей рыночной системы в стране. Развитие
конкуренции - комплексная задача, стоящая перед системой органов
государственной власти в целом. Экономическая активность крупных компаний,
заинтересованных в максимизации прибыли, неизбежно порождает угрозы
конкуренции. Не следует переоценивать масштабы таких угроз, но и недооценивать
их крайне опасно.
В современных условиях глобализации и жесткой
мировой конкуренции обеспечить высокий уровень развития всех сфер
жизнедеятельности и, как следствие, благополучия граждан может лишь страна,
обладающая конкурентоспособной экономикой. Во многих странах малый и средний
бизнес является естественной основой формирования конкурентной среды, полигоном
для испытания технологических и экономических проектов.
На развитие малого и среднего предпринимательства
и повышение его доли в экономике регионов влияют условия спроса в регионе,
специфика отраслевой структуры экономики региона и региональный бизнес-климат.
Последний в большей степени может определяться политикой региональных властей,
а его качество - служить одной из оценок эффективности работы региональной
администрации.
Основными слабыми сторонами предпринимательского
климата в российских регионах признаны нехватка инженеров и квалифицированных
рабочих, дефицит финансирования, высокие тарифы на электроэнергию при низкой
доступности новых энергетических мощностей.
Региональная экономика может обеспечивать рост
благосостояния растущего населения региона только создавая принципиально новые
отрасли и сектора экономики и модернизируя традиционные. Только в этом случае
оказывается возможным более интенсивное использование ограниченного
пространственного ресурса региона, создание дополнительных рабочих мест и рост
валового регионального продукта. В свою очередь создание новых отраслей и
модернизация традиционных невозможны без инвестиций. Нарастающая глобализация
мировой экономики проявляется в том числе и в увеличении масштабов и темпов
перемещения капиталов. Создание сети международного производства на основе
прямых иностранных инвестиций (ПИИ) открыло возможности для быстрого размещения
мощностей по выпуску стандартизованной продукции в различных регионах мира. В
России до сих пор нет государственной системы привлечения ПИИ в лице единого
федерального органа с отделениями в субъектах Федерации и с представительствами
в посольствах или торгпредствах РФ в странах потенциальных инвесторов. В
регионах ощущается отсутствие специалистов по привлечению ПИИ, которые были бы
способны координировать подготовку и квалифицированный отбор инвестиционных
проектов на уровне региона, продвигать проекты среди потенциальных иностранных
инвесторов, а также разрабатывать схемы финансирования проектов. У большинства
предпринимателей, прежде всего малых и средних, отсутствуют навыки подготовки и
работы (поиск партнеров и инвесторов) с инвестиционными проектами.
Устойчивость российской экономики в настоящее
время во многом определяется проводимой государством политикой в области
регионального развития. В условиях дефицита государственного бюджета и
ограниченных возможностей регионов по привлечению внутреннего и внешнего
долгового финансирования использование долгосрочных инвестиционных инструментов
национальных институтов развития для реализации крупных региональных
инвестиционных проектов становится важнейшей задачей инвестиционной политики
государства на региональном уровне.
Выдержки из резолюции Конференции по поводу
повышения конкурентоспособности предприятий в регионе и по вопросам роли
региональных администраций в создании конкурентной среды и благоприятного
инвестиционного климата представлены в приложении 5.
В целом сделаем следующие выводы. Анализ
проблемы повышения региональной конкурентоспособности показывает, что одним из
главных направлений её решения является переход на стратегическое управление.
Стратегическое управление региональной конкурентоспособностью - это процесс
принятия и осуществления стратегических решений, центральным звеном которого
является стратегический выбор, основанный на сопоставлении собственного
конкурентного потенциала с возможностями и угрозами внешнего окружения региона.
Сущность стратегического управления регионом состоит в формировании и
реализации стратегии его развития на инновационной основе, непрерывного
мониторинга и оценки происходящих изменений во внешней среде и его деятельности
с целью поддержания способности не только к выживанию в условиях нестабильности
в настоящее время финансово-экономического кризиса, но и эффективному
функционированию и дальнейшему развитию.
Глава
3. Конкурентоспособность Волгоградской области
.1
Конкурентоспособность Волгоградской области (экономическая оценка)
Волгоградская область является регионом -
российским лидером в ряде отраслей и секторов экономики (металлургия,
нефтехимия, сельское хозяйство), но при этом в последние годы демонстрирует
относительно невысокие ключевые показатели социально-экономического развития.
Занимает площадь 112,9 тыс. кв. километров.
При общей численности населения области 2 673.07
тыс. человек (1,9% от общей численности населения РФ), объем ВРП области
составляет 1,2% от общероссийского ВВП (в 2010 г. ВРП по оценке вырос в
сопоставимых ценах на 7% к уровню 2009 г. и составил 475,5 млрд. рублей). Это
свидетельствует об отставании области по условной производительности труда от
показателей более развитых регионов, таких как Москва, Санкт-Петербург,
Ленинградская область и ряда других. Учитывая, что объем промышленной продукции
области составляет ~ 2% от общероссийского, такая разница в показателях
свидетельствует об отставании области в развитии сферы услуг, составляющую в
целом по стране существенную часть ВВП. Это предопределяет сложности в
конкурентной борьбе за частные инвестиции (распределение государственных
инвестиций осуществляется на основании планов развития регионов).
В то же время имеется целый ряд факторов
существенно влияющих на конкурентоспособность области в сторону ее повышения,
это, прежде всего:
- удобное географическое положение области в
центральной части страны (область является главными воротами на юг России с
выходом на Иран, Ирак через Кавказ и на Индию через Республику Казахстан);
- наличие развитой транспортной инфраструктуры
(железнодорожная сеть, перекресток водных путей, соединяющих северо-западную и
центрально-европейскую часть страны со странами прикаспийского региона, крупный
аэропорт);
- достаточное количество минерально-сырьевых
ресурсов; из которых необходимо выделить месторождения нефти (среднегодовая
добыча составляет около шести миллионов тонн),
- наличие высококвалифицированных кадров и
инновационного потенциала.
- развитое промышленное производство (в
Волгоградской области производится около 2% от общероссийского объёма и более
28% - от выпуска промышленной продукции Южного федерального округа (ЮФО), при
этом на долю областного центра приходится 65% всего промышленного потенциала
области);
- к благоприятным факторам следует отнести и
развивающийся агропромышленный комплекс региона (Волгоградская область входит в
первую десятку субъектов РФ по производству зерна).
Все это позволяет привлекать не только
российских инвесторов, но и достаточно крупные западные фирмы. Так, немецкий
концерн "Цанрадфабрик Фридрихсхафен" ("ZF") (ведущая в мире
компания-поставщик приводной и ходовой техники для автомобильной
промышленности) участвует в реализации инвестиционного проекта Волгоградской
области "Машиностроительный индустриальный парк".
Среди крупных промышленных предприятий области
необходимо выделить предприятия, входящие в состав вертикально-интегрированных
компаний и, прежде всего, ООО "ЛУКОЙЛ-Волгограднефтепереработка",
входящий в НК ЛУКОЙЛ. В секторе нефтепереработки компания продолжает
реконструкцию ООО "ЛУКОЙЛ-Волгограднефтепереработка", где закончено
строительство установки изомеризации и комплекса каталитического риформинга.
По оценке общий объем всех видов освоенных на
территории Волгоградской области инвестиций в 2010 г. (финансовых и
нефинансовых) составил более 300 млрд. рублей. Из них инвестиции в нефинансовые
активы (инвестиции в основной капитал) по всем организациям и малым (микро)
предприятиям и индивидуальным предпринимателям за 2010 г. достигли 110 млрд.
рублей.
В приложении 6 представлены выдержки из
Стратегии, где изложены основные показатели конкурентной позиции Волгоградской
области.
Итак, в связи с тем, что Волгоградская область
обладает значительным экономическим потенциалом, регион способен успешно
осуществить переход к экономике будущего. Определенное количество региональных
активов дает уникальные преимущества с точки зрения конкурентоспособности.
Данные активы, к которым относятся развитые промышленность и сельское
хозяйство, система обучения, обеспечивают высококачественные исходные
экономические преимущества бизнесу. Такие преимущества могут рассматриваться
как экономическая основа региона. Путем укрепления такой экономической основы и
решения поставленных задач, регион станет более конкурентоспособным участником
на российском рынке.
3.2
Проблемы повышения конкурентоспособности Волгоградской области
По материалам Стратегии социально-экономического
развития региона до 2020 года (далее - Стратегия), наиболее вероятным для
нашего региона будет сценарий комплексного подхода, который предполагает
получение экономической выгоды от сбалансированного развития транспортной
инфраструктуры, основных видов промышленной деятельности, сельского хозяйства.
Наряду с нефтедобычей, нефтепереработкой, металлургическим и химическим
производством большое внимание предлагается уделить развитию машиностроения и
АПК. В целом основная часть производств будет ориентирована на выпуск конечной
конкурентоспособной продукции. В этой связи планируется увеличить долю
перерабатывающих производств. Большое значение приобретёт развитие
строительного комплекса.
К числу основных проблем повышения
конкурентоспособности Волгоградской области в Стратегии выделено следующее:
· низкая эффективность региональных
органов исполнительной власти - сопоставление с другими регионами показывает,
что численность занятых в органах исполнительной власти Волгоградской области и
расходы на их содержание в несколько раз превышают аналогичные показатели в
регионах с большей численностью населения;
· низкая инвестиционная
привлекательность - серьезной проблемой экономики является относительно малый
объем инвестиций в основной капитал, при этом в регион практически не поступают
иностранные инвестиции;
· неэффективная структура экономики -
в структуре экономики преобладают сырьевые отрасли и сектора первичной
переработки сырья. В долгосрочной перспективе их доля существенно не
сократится, вместе с тем темпы роста будут определяться исключительно планами
крупных компаний - основных отраслевых игроков, темпы роста этих отраслей будут
умеренными;
· относительно низкий уровень жизни
населения - уровень доходов населения отстает от среднероссийских показателей;
· низкая обеспеченность и качество
базовой инфраструктуры;
· экологические проблемы в
промышленных центрах области.
Волгоградская область находится ниже
среднероссийского уровня по показателям величины и динамики ВРП, среднедушевых
доходов и расходов населения, доли экспорта в ВРП на одного занятого, доли
иностранных инвестиций в ВРП, заработной платы, износа основных фондов.
Сценарий развития Волгоградской области увязан с
инновационным сценарием Концепции долгосрочного социально-экономического
развития Российской Федерации на период до 2020 года и опирается на наиболее
полное использование конкурентного преимущества экономики, природно-ресурсного
и транзитного потенциала территории, устойчивое наращивание экспорта
конкурентных видов продукции и модернизацию транспортной инфраструктуры.
Предполагается снятие ограничений инерционного
развития за счет реализации конкурентного потенциала отраслей промышленности,
сельскохозяйственного производства, электроэнергетики и транспорта. Развитие
действующих и формирование новых производств, а также масштабное применение
инновационных технологий будут способствовать качественным изменениям в
структуре экономики. Инновационный сценарий развития Волгоградской области
предусматривает:
· создание высокой добавленной
стоимости в экономике в ряде отраслей - пищевой промышленности, туризме,
отдельных видах машиностроения, логистических услугах. При обеспечении
соответствующего финансирования вырастет доля социальных секторов;
· решение проблемы энергодефицита за
счет строительства новых объектов генерации и объектов сетевого хозяйства, что
будет обусловлено возрастающим спросом экономики региона на электроэнергию;
· обеспечение эффективных условий для
ведения бизнеса - как малого, так и крупного;
· повышение эффективности бюджетного
сектора с сокращением расходов на содержание имущества, повышением
эффективности оказания государственных и муниципальных услуг, совершенствование
государственной службы, преобразованием системы государственных учреждений;
· обеспечение населения необходимыми
услугами социальной сферы;
· сокращение уровня износа жилого
фонда и инфраструктуры в первую очередь в муниципалитетах, являющихся
производственными центрами и целевыми зонами для инвестиционных проектов, в
особенности в области высоких технологий и туризма.
Важнейшим фактором повышения
конкурентоспособности Волгоградской области следует признать развитие сектора
малого бизнеса. При этом следует учесть, что имеет место крайний перекос развития
малого предпринимательства в сторону торговли и явный недостаток других видов
деятельности. Кроме того, сдерживающими факторами развития малого бизнеса
Волгоградской области сегодня являются несовершенство законодательства,
налогообложения и финансово-кредитных механизмов. Важным условием развития
малого бизнеса является возможность арендовать и выкупать производственные и
офисные площади и землю. В настоящее время собственное помещение есть только у
15% малых предприятий, работающих менее трех лет, и у 32% - более трех лет.
Основными препятствиями в доступе к производственным площадям представителей
малого бизнеса отмечаются: высокие цены на объекты недвижимости - 55,4%;
отсутствие долгосрочных кредитов - 13,1%; возможность приобретения только через
чиновников - 15,6%. Более половины предпринимателей расходуют на аренду 30%
всех издержек предприятия.
Основными проблемами использования недвижимости
для малого бизнеса являются: острый дефицит внешнего финансирования, в
частности, банковских кредитов; недостаточное предложение, следствием чего
являются высокие цены; незаконная деятельность на рынке недвижимости
представителей органов региональных и местных властей. Достаточно серьезную
проблему для малого бизнеса также представляют большие затраты на аренду земли
под производственные помещения. Ее суть кроется в неадекватной разработке
критериев, выбранных за основу проведения кадастровой оценки земли в различных
районах Волгоградской области, что также является компетенцией органов
региональной власти.
В настоящее время в источниках финансирования
предприятий малого бизнеса в целом по России кредиты банков занимают всего 6%,
что недостаточно для его развития. В частности, источниками финансирования
предприятий малого бизнеса Волгоградской области являются: реинвестирование
прибыли предприятия (60,4%), личные средства собственника предприятия (30,5%),
кредиты банков (16,2%). Высокая процентная ставка за пользование кредитом,
предоставление залога, оформление финансовых документов и слишком короткие сроки
кредитования, - основные причины невостребованности банковских кредитов.
Следовательно, создание в регионе специализированных учреждений, выступающих
гарантом для небольших частных банков, кредитных и других учреждений, по
обслуживанию малого бизнеса, является перспективным направлением его
региональной поддержки.
Особо следует отметить, что развитие малого
предпринимательства тормозится многочисленными административными барьерами,
особенно при регистрации предприятий, лицензировании видов деятельности, выделении
и аренде производственных и торговых помещений, осуществлении контролирующими
организациями контрольно-ревизионных функций, многочисленными и не всегда
оправданными проверками. Среди проблем - не только эффективное взаимодействие
власти и малого бизнеса, но и специальные режимы налогообложения, вопросы
финансирования и кредитования малого бизнеса, а также проблемы трудовых
отношений и социальной защиты предпринимателей и наемных работников. Причем не
все перечисленные проблемы могут быть решены районной администрацией, т.к.
большинство из названных действий осуществляется на основе федерального
законодательства.
Для дальнейшего развития малого
предпринимательства Волгоградской области и повышения эффективности его
деятельности необходима помощь этому сектору экономики по следующим
направлениям: разработка и реализация предпринимателями совместно с научными
работниками области инвестиционных проектов в сфере науки, высоких технологий и
инноваций в целях обеспечения на малых предприятиях региона более высокого
уровня организации производственных процессов, получения ими существенных
конкурентных преимуществ на межрегиональном и международном рынках; проведение
анализа кадрового обеспечения, состояния подготовки кадров в малом
предпринимательстве; создание перечня научно-исследовательских разработок,
выполненных вузами г. Волгограда по проблемам малого бизнеса; обобщение опыта и
полученных результатов реализации программ поддержки малого предпринимательства
в других городах России; проведение семинаров, конференций, круглых столов по
вопросам деятельности малого предпринимательства при совместном участии
предпринимателей, ученых, представителей администрации Волгоградской области и
общественных организаций региона; осуществление периодического мониторинга по
выявлению проблем, возникающих в деятельности субъектов малого
предпринимательства области. Данные мониторинга дают возможность администрации,
а также другим участникам рыночных отношений при адаптации к рынку осуществлять
меры регулирующего характера.
Итак, развитие малого предпринимательства в
Волгоградской области в среднесрочной перспективе должно быть направлено на
повышение его роли в укреплении социально-экономического партнерства,
обеспечение взаимодействия органов государственной власти местного самоуправления
(администрации области) с субъектами предпринимательской деятельности.
Важнейшей задачей является улучшение взаимоотношений власти и малого бизнеса.
Выполнение в полном объеме всех описанных мероприятий должно существенно
повысить конкурентоспособность Волгоградской области, как одного из передовых
регионов России.
Заключение
Россия должна стать конкурентоспособной - это
один из наиболее часто повторяемых призывов, из которого следует, что вопросы
регионального экономического развития и конкурентоспособности регионов стали
сегодня одними из важнейших для Российской Федерации. Конкурентоспособность
региональной экономики - это способность реализовать основную целевую задачу ее
функционирования - устойчивое социально-экономическое развитие региона с
обеспечением высокого качества жизни его населения. Конкурентоспособность
региона - это экономическая категория, выражающая отношения взаимодействия
системы производительных сил определенной территории, хозяйственных отношений и
институциональной формы протекания названных процессов, осуществляющихся как
синергетический эффект такого взаимодействия.
Экономический, научно-технический, кадровый
потенциал - та база, на которой формируется конкурентоспособность региона, того
или иного субъекта Федерации. Посредством воздействия факторных условий эта
база из состояния потенции трансформируется в новую действительность -
конкурентную позицию региона. Под конкурентной позицией региона понимается
совокупность конкурентных преимуществ, детерминированных факторами и условиями,
создающими региону благоприятное положение на соответствующем конкурентном поле
(рынках товаров, услуг, капиталов, инвестиций). Конкурентная позиция региона
будет благоприятной, если отвечает таким качественным параметрам, как
устойчивость, надежность, стабильность, привлекательность для инвесторов
(отечественных, иностранных). Формирование конкурентоспособности региона
ориентируется на указанные параметры.
К важнейшим условиям, характеризующим
конкурентную позицию региона, можно отнести:
• удобное географическое положение региона;
• наличие природных ресурсов (сырьевых,
гидроэнергетических), свободных земель для новых и реконструкции действующих
производственных мощностей;
• рациональное размещение производительных сил;
• соответствие экономической структуры региона
современным требованиям отечественных и мировых рынков;
• наличие трудового потенциала,
интеллектуального капитала в регионе;
• наличие развитой материальной и рыночной
инфраструктуры;
• устойчивость межрегиональных и хозяйственных
связей;
• наличие научно-технического потенциала и
научно-информационной базы для сопровождения производственной и коммерческой
деятельности;
• стратегию региона на выпуск продукции,
пользующейся надежным спросом в России и за рубежом; высокую долю такой
продукции в общем объеме производства;
• эффективность существующих схем
товародвижения;
• сбалансированность бюджетно-финансовой системы
региона;
• наличие высокого внешнеэкономического
потенциала, расширение торгово-экономических связей;
• емкость регионального рынка, приближенность
его к мировым рынкам;
• стабильность политической обстановки в
регионе;
• доверие населения региональным лидерам;
• наличие в регионе социально ориентированной
программы;
• протекционизм местных властей в отношении
приоритетных направлений развития экономики региона.
Совокупность этих (и других) условий
обеспечивает региону реальную возможность осуществления собственных
социально-экономических программ, эффективного участия в межрегиональном
разделении труда, выхода на международные рынки, успешного формирования
конкурентного поведения.
Факторы конкурентоспособности - обстоятельства и
условия, обусловливающие конкурентоспособность. Конкурентные преимущества -
факторы, которые выгодно отличают конкурирующего субъекта (товар) от других.
Экономика региона считается внутренне конкурентоспособной, если показатель
относительной конкурентоспособности этого региона больше единицы, т.е. если ВРП
(валовой региональный продукт) на душу населения в регионе больше, чем ВВП
(валовой внутренний продукт) на душу населения в стране. Экономику региона
считается внутренне неконкурентоспособной, если показатель относительной
конкурентоспособности региона меньше единицы.
Одним из основных факторов, определяющих
конкурентные позиции регионов, выступает уровень развития институциональной
среды. Повышение качества институциональной среды способствует формированию и
реализации региональных конкурентных преимуществ, так как в значительной
степени позволяет снизить трансакционные издержки и повысить эффективность
хозяйственной деятельности. В долгосрочной перспективе конкурентоспособность
регионов должна определяться способностью общественных и рыночных институтов
создавать эффективные механизмы для постоянного развития и совершенствования
региональных конкурентных преимуществ.
Конкретную оценку конкурентоспособности региона,
применительно к российским условиям, мы в данной работе рассмотрели на примере
Волгоградской области. Область является одним из регионов - доноров российской
экономики и, как следствие, определяет конкурентоспособность страны в целом.
Волгоградская область по такому параметру конкурентоспособности, как высокое
качество развития и устойчивость текущего положения попадает в число лидеров
российских регионов. Вместе с тем, имеются и значительные неиспользованные
возможности. Выполнение в полном объеме всех вышеописанных мероприятий должно
существенно повысить конкурентоспособность Волгоградской области, как одного из
передовых регионов России.
В заключение подчеркнем, что концепция конкурентоспособности
должна выстраиваться во взаимосбалансированности всех принципов
социально-экономического развития региона. Хотя экономический аспект
конкурентоспособности является ведущим и определяющим, такие составляющие, как
территориальная (географическая), эколого-природная, социальная и т.п., должны
быть обязательно учтены при её построении.
Список
литературы
1. Концепция долгосрочного
социально-экономического развития России до 2020 г. Утверждена Распоряжением
Правительства РФ от 17.11.2008 № 1662-р (ред. от 08.08.2009) // Собрание
законодательства РФ. 2008. № 47. Ст. 5489; 2009. № 33. Ст. 4127.
2. Абдульманов И.М. Проблемы
повышения конкурентоспособности регионов // Актуальные проблемы экономики и
права. 2008. № 1. С. 4-7.
3. Азоев Г.Л., Челенков А.П.
Конкурентные преимущества фирмы / Г.Л. Азоев, А.П. Челенков. М.: ОАО
"Типография НОВОСТИ", 2007. 256 с.
. Анучин А.А., Беленов О.Н.
Конкурентоспособность стран и регионов. Учебное пособие. М.: КноРус, 2011. 144
с.
. Ахметова Д.Ф. Методика
оценки конкурентоспособности регионов // Вестник экономической интеграции.
2011. № 5. С. 107-110.
. Бердникова А.Е. Современные
методы оценки конкурентоспособности регионов // Международный журнал
экспериментального образования. 2011. № 8. С. 199-199.
. Бушуева М.А. Кластеризация
как способ инновационного развития региона и повышения его
конкурентоспособности // Наука и экономика. 2010. № 1. С. 40-43.
8. Важенина И.С., Важенин С.Г.
Имидж, репутация и бренд территории // ЭКО. 2008. № 8. С. 3-16.
9. Григорьев Л.М. Российские
регионы: экономический кризис и проблемы модернизации / Под ред. Л.М.
Григорьева, Н.В. Зубаревич, Г.Р. Хасаева. М.: ТЕИС, 2011. 354 с.
10. Дулесов А.Н., Краснов Г.И.
Маркетинговые подходы к оценке конкурентоспособности регионов // Научные труды
Вольного экономического общества России. 2010. Т. 130. С. 327-332.
. Евдокимов С.И.
Конкурентоспособность Псковской области и соседних регионов Северо-Запада
России // Псковский регионологический журнал. 2010. № 9. С. 3-12.
. Забродин А.Л. Штрихи к
портрету... : программы управления качеством как инструмент повышения
региональной конкурентоспособности и прогнозирования развития отраслей
экономики региона // Российское предпринимательство. 2008. № 9-1. С. 114-117.
. Землянская И.А.
Конкурентоспособность регионов // Деловой Волгоград. 2009. №5(21). С. 2-3.
14. Землянухина С.Г. Некоторые
концептуальные аспекты повышения конкурентоспособности российских регионов //
Каспийский регион: политика, экономика, культура. 2011. № 1. С. 135-140.
15. Калинина А.Э. Разработка и
реализация мер по выходу из кризиса экономики Юга России: опыт Волгоградской
области // Национальные интересы: приоритеты и безопасность. 2010. № 12. С.
120-123.
16. Калюжнова Н.Я., Кузеванов В.Я.
Роль экологического фактора в конкурентоспособности региона // Экономика
региона. 2010. № 3. С. 54-62.
17. Карачурина Г.Г., Мясникова
В.М. Методика рейтинговой оценки инновационной конкурентоспособности регионов
Российской Федерации // Экономические науки. 2010. № 63. С. 222-226.
. Конференция
"Конкурентоспособность регионов РФ: Инновации, Инвестиции,
Партнерство" (21.11.2011) // #"579280.files/image002.gif">
Рис. 1. Иерархия уровней
конкурентоспособности в зависимости от объекта исследования
Источник: Печаткин В.В., Перфилов В.А.
Теоретические и методические аспекты оценки конкурентоспособности регионов
России // Проблемы современной экономики. 2010. № 3. С. 286.
Рис. 2. Взаимосвязь
конкурентоспособности региона, механизма ценообразования и регионального рынка
Источник: Дулесов А.Н., Краснов Г.И.
Маркетинговые подходы к оценке конкурентоспособности регионов // Научные труды
Вольного экономического общества России. 2010. Т. 130. С. 327.
Приложение
2

Источник: Дулесов А.Н., Краснов Г.И. Указ.
статья. С. 328.
Рис. 4. Составляющие
конкурентоспособности региона
Источник: Дулесов А.Н., Краснов Г.И. Указ.
статья. С. 328.
Приложение
3
- Cn - российские
регионы; О - основные зоны российской конкуренции: 1- тотальная; 2- сильная; 3-
средняя; 4- слабая.
Рис. 5. Субъектно-объектная модель
конкурентоспособности
где К1, К2, К3 - вектор российской конкуренции
К1 < К2 < К3; А1, А2, А3 - вектор удовлетворения потребности А1 < А2
< А3; В1, В2, В3 - вектор соперничества В1 < В2 < В3
Рис. 6. Схема субъектно-объектных
отношений процесса конкурентоспособности российских регионов
Приложение
4
Рис. 7. Схема оценки уровня
конкурентоспособности региона
Источник: Положенцева Ю.С. Роль кластерных
технологий в стимулировании повышения конкурентоспособности регионов в
Российской Федерации // Регион: системы, экономика, управление. 2010. Т. 9. №
2. С. 91.
Приложение
5
Выдержка из резолюции Конференции
"Конкурентоспособность регионов РФ: инновации, инвестиции,
партнерство" (23 ноября 2011 г.)
По вопросам новых подходов к повышению
конкурентоспособности предприятий в регионе участники Конференции пришли к
заключениям, что для этого необходимо:
. Создать постоянно работающую информационную
площадку для обмена опытом между регионами;
. Предоставление консультативных услуг органам
власти и предпринимателям по следующим вопросам:
· Непрерывное обучение в соответствии с
потребностями региона
· Обучение руководителей предприятий и
представителей власти, современные методы повышения квалификации
· Создание региональной платформы в области
предпринимательства
· Конкурс учебников и программ по обучению и
информированию предпринимателей
. Учитывать, что конкурентоспособность предприятия
зависит от стратегического планирования деятельности компании, продвижения
бренда и т.д.;
. На уровне региона создать систему
информирования и обучения предпринимателей;
. Стимулирование к предпринимательской
деятельности в регионе, в т.ч. за счет создания системы диалога между бизнесом
и властью, формирования предпринимательской идеологии, установления единых
правил для всех, облегчения системы подсчета показателей эффективности
деятельности руководителей регионов.
. Автоматизация процедурного документооборота,
отход от субъективизма;
. Использовать и реализовывать человеческий
потенциал в развитии региона;
. Мотивировать преемственность кадров и знаний;
. Осуществлять аудит инноваций, создать системы
показателей;
. Внедрять латеральный ("нешаблонный")
маркетинг;
. Использовать независимое подтверждение уровня
квалификации человека через механизмы сертификации;
. Обсуждать нормативно-правовую базу на уровне
"государство-бизнес";
. Выделять средства из федерального бюджета на
разработку концепций социально-экономических стратегий развития регионов.
По вопросам роли региональных администраций в
создании конкурентной среды и благоприятного инвестиционного климата -
двигателя повышения региональной конкурентоспособности участники Конференции
пришли к заключениям, что для этого необходимо:
. Создание стратегического инвестиционного
генерального плана территории;
. Создание крепкой финансовой системы региона;
. Контроль просматриваемости любых
инвестиционных стратегий "вниз" (муниципальный уровень);
. Активизировать полномочия и ответственность
стратегических инвестиционных институтов;
. Разрабатывать целенаправленные программы
повышения инвестиционной привлекательности региона;
. Поддерживать усилия Агентства Стратегических
Инициатив по созданию унифицированных требований к инвестиционным стратегиям;
. Обеспечить бережное отношение к уже
существующим инвесторам на территории РФ;
. Создание референций как метода обеспечения
высокотехнологичного экспорта;
. Обеспечить равные возможности для приходящих
инвесторов с местными предпринимателями;
. Использовать комплексные технологии для
стратегий улучшения инвестиционного климата;
. Обуздать коррупцию и бюрократию на местах;
. Увеличить прозрачность условий ведения
бизнеса;
. Создавать инновационные кластеры и электронные
паспорта объектов.
Источник: Конференция
"Конкурентоспособность регионов РФ: Инновации, Инвестиции,
Партнерство" (21.11.2011) // http://www.innovbusiness.ru/PressReleas.
Приложение
6
Конкурентные преимущества
Волгоградской области
Благоприятный бизнес-климат
Волгоградская область характеризуется
благоприятными условиями для деловой активности с точки зрения сравнительных
затрат и эффективности бизнес-сделок. Волгоградская область обладает
определенными преимуществами в отношении производственных издержек по сравнению
с другими субъектами Российской Федерации. Сильные стороны региона, касающиеся
бизнес-климата, являются важнейшим моментом в стратегических усилиях,
направленных на то, чтобы регион занял ведущие позиции на ключевых рынках.
Минерально-сырьевые ресурсы
Конкурентными преимуществами Волгоградской
области являются наличие в регионе углеводородного сырья - нефти с
незначительным содержанием сероводорода и других минерально-сырьевых ресурсов,
благоприятная конъюнктура внешнего рынка и высокий экспортный потенциал
добывающих предприятий.
Накопленный промышленный и
научно-образовательный потенциал
Волгоградская область характеризуется
дифференцированной структурой промышленного комплекса, которая базируется на
высокой доле обрабатывающих производств (более 82 процентов), в том числе
нефтепереработки, химического, металлургического и машиностроительного
производств.
За прошедшее десятилетие экономический рост
обеспечивался благодаря инновациям при ведущей роли частного сектора в области
научных исследований и разработок научно-исследовательских организаций в
нефтедобывающих, обрабатывающих отраслях, отраслях телекоммуникационной связи.
Необходимо развитие на региональном уровне фармацевтического, патриотического
кластеров и медиахолдинга. Предлагаются меры поддержки инноваций в регионе и
создания новых автономных организаций, способных реализовывать программные
мероприятия и претворять их в жизнь, чтобы сделать их достоянием экономики
Волгоградской области.
Волгоградская область располагает высококвалифицированной
рабочей силой, эффективной региональной системой высшего и среднего
специального образования (университетские структуры и колледжи). Опираясь на
прочную базу, а также на действенные программы в профильных областях, регион
хорошо оснащен для осуществления подготовки и переподготовки рабочей силы на
всех уровнях. Однако, в последнее время имеется проблема нехватки
квалифицированных работников по определенным специальностям.
Реализация инновационных проектов позволит в
несколько раз сократить материалоемкость и энергоемкость производств,
существенно увеличить производительность общественного труда. Возможен быстрый
рост в химии и нефтехимии, обрабатывающей промышленности. Потенциал
машиностроительного комплекса может быть восстановлен и превзойден в условиях
растущей экономики. Значительные резервы для роста имеют строительный и
агропромышленный комплексы.
После укрепления материальной базы и
определенной переориентации образовательный комплекс Волгоградской области
способен обеспечить потребности развивающейся экономики в квалифицированных
кадрах.
Сельское хозяйство
Волгоградская область имеет развитое
сельскохозяйственное производство и является одним из крупнейших производителей
сельскохозяйственной продукции в Российской Федерации. Волгоградская область
располагает значительными водными ресурсами Волго-Донского бассейна и
возможностями их использования для интенсивного рыбоводства, производства и
транспортировки продукции и сырья. Уникальные почвенно-климатические условия
региона позволяют организовать крупное производство высококачественного
продовольственного зерна, крупяных культур, семян масличных культур, овощей,
фруктов, бахчевых. Результатом повышения эффективности использования пашни за
последние годы стало увеличение объемов производства зерна, подсолнечника.
Отмечается рост производства овощной продукции, бахчевых культур.
Транспортная инфраструктура
Потенциал Волгоградской области, предназначенный
для поддержки инфраструктуры и постоянно меняющихся потребностей промышленности
региона, уже в течение долгого времени был положительным фактором его
конкурентоспособности. Благодаря сети автомобильных и железных дорог, водных
путей, проходящих через Волгоград и прилегающую к нему зону, регион открывает
путь на север, юг, запад и восток, а также представляет собой важнейший
транспортный узел оживленной южной магистрали. В то же время растет потребность
в прямых авиарейсах, связывающих Волгоград с другими городами. Сеть
трубопроводов соединяет Волгоград с нефтяными и газовыми месторождениями
области. Кроме того, через ее территорию пролегли магистральные нефтепроводы.
Поддержание на высоком техническом уровне и
постоянное совершенствование авто - и железнодорожной сети, обслуживание
воздушных и водных перевозок в регионе в целях обеспечения оптимального доступа
пассажиров, товаров и услуг - всё это составляет важнейший компонент Стратегии.
Информационно-телекоммуникационная
инфраструктура
Волгоградская область обладает достаточно
развитой информационно-телекоммуникационной инфраструктурой, представленной
крупнейшими операторами магистральных каналов передачи данных, операторами
беспроводной связи "большой тройки" и региональным оператором
беспроводной связи. Услуги проводной телефонной связи и передачи данных
оказывают на территории Волгоградской области, как федеральные операторы связи,
так и региональные. В настоящее время несколькими операторами обеспечено
доведение высокоскоростных оптических каналов передачи данных до всех
муниципальных районов Волгоградской области, покрытие беспроводными сетями
передачи данных 3-го поколения 3G обеспечено во всех муниципальных и сельских
поселениях на территории Волгоградской области.
Дальнейшее развитие сетей передачи данных на
территории Волгоградской области, в том числе беспроводных сетей четвертого поколения
по технологии LTE, позволит обеспечить доступность информационных ресурсов для
населения и организаций, мобильность граждан ("дойти до каждого
дома") и преодолеть цифровое неравенство. Формирование современной
информационно-телекоммуникационной инфраструктуры имеет принципиальное значение
для обеспечения и эффективной реализации важнейших экономических проектов,
направленных на переход к инновационному этапу развития общества.
Финансовые ресурсы
Уникальный туристско-рекреационный
потенциал
Волгоградская область располагает уникальными
природными комплексами озера Эльтон, разнообразными источниками минеральных
вод, запасами лечебных грязей, лесными массивами, развитой гидрографической
сетью, многочисленными памятниками истории, археологии и культуры, живописными
ландшафтами, разнообразными видами животных и промысловых рыб, а также
территориями с благоприятными и относительно благоприятными климатическими
условиями для рекреационного развития. Развитие индустрии отдыха и туризма
имеет ярко выраженную социальную направленность и должно стать одной из
важнейших региональных точек роста Волгоградской области.
Реально достижимое качество жизни
Волгоградская область располагает достаточно
развитой социальной сферой для обеспечения высокого качества жизни населения.
Это - благоприятное место для проживания. Развита система образования,
здравоохранения, строится жилье. Жителям региона обеспечиваются самые
разнообразные виды и условия отдыха и досуга. Волгоградская область славится
своими фестивалями и успехами профессионального спорта в различных дисциплинах.
Качество жизни является существенным источником настоящего и будущего
экономического развития. Стратегия нацелена на повышение качества жизни
населения и на стимулирование развития промышленного, сельскохозяйственного,
строительного секторов экономики и социальной сферы.
Источник: Стратегия социально-экономического
развития Волгоградской области до 2020 года (Администрация Волгоградской
области, Комитет экономики) // Официальный сайт Администрации Волгоградской
области // http://www.volganet.ru/irj/avo.html.