Проектирование генераторного многолучевого клистрона на двухзазорном резонаторе
Реферат
Выполнено проектирование генераторного
многолучевого клистрона на двухзазорном резонаторе наπ-виде
колебаний.
Проектирование выполнялось на персональном
компьютере с использованием программ: синтеза и анализа электронных пушек;
оптимизации КПД.
В результате была получена конструкция
генераторного многолучевого клистрона на двухзазорном резонатореудовлетворяющая
техническому заданию.
Техническое задание
Спроектировать генераторный многолучевой
клистрон на двухзазорном резонаторе на π-виде
колебаний..
Входная мощность: Рвх=49 Вт;
Рабочая частота:f0=7 ГГц;
Напряжение: U0=700 В.
Введение
Одним из направлений развития техники приборов
СВЧ клистронного типа является переход от однозазорных резонаторов к
резонансным системам с распределенным взаимодействием. К простейшим типам таких
резонаторов относятся резонаторы с двойным взаимодействием, в которых
электронный поток проходит последовательно через два высокочастотных зазора.
На рис. 1 схематически показана конструкция
двухзазорного резонатора с использованием в качестве нагрузки резонансной
линии. На этом рисунке D1и D2 - круглые плоские диафрагмы с отверстием в центре
для прохождения электронного потока, ограничивающие протяженность резонатора по
оси; Т - отрезок проводящей трубы, расположенный между диафрагмами и
экранирующий проходящий через него электронный поток от поля резонатора; И -
изолятор. Диафрагмы D1и D2 переходят во внешний проводник подсоединяемой
коаксиальной резонансной линии, а отрезок проводящей трубы Тподключен к ее
внутреннему проводнику.
Рис. 1 - Конструкция двухзазорного резонатора и
распределение потенциала и поля в нем
В зависимости от конструкции двухзазорного
резонатора напряжения на зазорах могут быть либо синфазными, либо
противофазными. На рис. 1 напряжение в щелях двухзазорного резонатора является
противофазным. На рис.1б также дано изменение осевого поля СВЧ Еz вдоль оси
резонатора.
При π-виде
колебаний векторы напряженности электрического поля на высокочастотных зазорах
направлены в противоположную сторону, то есть сдвиг фаз между напряжениями
равен 1800. Амплитуда напряжений на высокочастотных зазорах может быть
различна. У резонатора 0-вида амплитуды напряжений на высокочастотных зазорах
могут быть различны, в отличие от резонатора на π-виде
колебаний.
Клистроны на двухзазорном резонаторе может
использоваться в качестве генератора.
В данном курсовом проекте производится расчёт
генераторно-усилительного клистрона на двухзазорном резонаторе на π-виде
колебаний.
В процессе работы лежат методики синтеза,
анализа и оптимизации, которые позволяют достичь наиболее быстрого и
оптимального решения при проектировании процесса каскадного группирования
электронов и расчета резонатора.
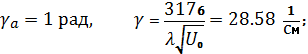
1. Предварительный расчет
. По заданной мощности источника питания и
напряжению, определим катодный ток:
. По рассчитанному току найдём значение
микропервеанса:
. Число лучей равно 7, поэтому микропервеанс для
одного луча составляет:
. Найдём длину волны:

a:
где
выбирается из интервала 0,4…1.
Меньшие значения относятся к длинноволновым клистронам, большие к клистронам
сантиметрового диапазона. Примем 
равным 1 рад.
. Определим радиус луча, выбрав
коэффициент заполнения Kз на интервале 0,5…0,8. Примем Kз равным 0,8:
. Найдём площадь пучка:
. Рассчитаем плотность тока в луче:
2. Синтез электронной пушки
.1 Методика синтеза
Метод синтеза заключается в
определении геометрии электродов и конфигурации магнитного поля, обеспечивающих
формирование пучка с известными параметрами и включает в себя решение двух
задач: внутренней и внешней. Внутренняя задача заключается в нахождении
распределения потенциала внутри пучка по заданным траекториям и магнитному
полю. Внешняя задача заключается в нахождении формы электродов и их
потенциалов, при которых внутри пучка будит распределение потенциала,
найденного при решении внутренней задачи.
Решение внутренней задачи для
осесимметричных пучков проводится с использованием параксиального уравнения,
написанного в криволинейной системе координат q1, q2. Семейство подобных линий
q1=const, совпадающих с траекториями электронов, и семейство линий q2=const, к
ним ортогональных, образуют ортогональную координатную сетку (рис. 2)
Рис. 2 - Ортогональная координатная
сетка
Указанные семейства линий
описывается в цилиндрических координатах r, z уравнениями:
где R(z) - некоторая базовая линия
на семействе q2=const, q - параметр подобия.
Координата q2 выражается через
параметр подобия
и
характеризует относительное расстояние линий семейства q2=const от оси
симметрии, а координата q1 определяет расстояние, на котором линии семейства
q1=const пересекает ось симметрии, q1=z. Таким образом, координата q1 имеет
равномерность длины, а q2 - величина безразмерная.
Если в качестве базовой линии R(z)
взята граница пучка, то параксиальное уравнение, описывающее его движение, с
использованием нормированных переменных имеет вид
, (2.1)
где
, u=U/Uн,
,
-
нормированные переменные; Rн, Uн, lн, Bн - нормирующие множители; U - потенциал
на оси пучка (q2=0); В - магнитное поле на оси пучка; Вк - магнитное поле на
катоде; Rк=R(0)=1 - значение функции на катоде;
.
Входящая в (1.1) постоянная i
характеризует ток пучка и связана с микропервеансом ρμ соотношением:
, (2.2) где
.
Внутреннюю задачу формирования можно
решать либо задавая траектории электронов R(z), а осевое распределение
потенциала u(z) вычислять на уравнение (1.1), либо наоборот, задавать функцию
u(z). А на уравнения (1.1) вычислять траектории R(z). При использовании второго
способа расчет пушки проводится следующим образом.
Сначала зададим осевое распределение
потенциала, удовлетворяющее условиям:
Условия (1.3) соответствуют режиму
ограничения тока с катода пространственным зарядом, условие (1.4) - движении
потока в эквипотенциальном канале на выходе из пушки.
Типичная кривая распределения
потенциала на оси может быть аппроксимирована аналитически:
, где
,
Коэффициенты k, а1-а5 с учетом
условий (1.3), (1.4) и условия обеспечения сферической формы катода
определяются
по соотношениям:
(2.5)
Далее проводится численное
интегрирование уравнения (1.1) с начальными условиями:
(2.7)
В результате интегрирования
находится функция R(z), описывающая форму, электронного пучка при заданном
распределении потенциала. Распределение магнитного поля сопровождения частично
экранированной пушки рассчитывается на условия получения равновесного
непульсирующего пучка с известной огибающей.
Решение внешней задачи также
производится в криволинейной системе координат. Потенциал вне пучка
рассчитывается по приближенной формуле:
, (2.8)
Пологая в (1.8)
, можно
определить форму соответствующей эквипотенциальной линии в координатах q1, q2 .
Для фокусирующего электрода
, для анода
.
Переход к цилиндрическим координатам
производится по формулам
2.2 Проектирование электронной пушки
методом синтеза
Расчет проводится по программе
«Sintez».
Блок - схема программы «Sintez»
приведена на рис. 3
Рис. 3 - Блок-схема программы
«Анализ»
В качестве исходных данных
используются следующие параметры:
микропервеанс: ρμ=0,54
мкА/В3/2;
ускоряющее напряжение: U0=700 В;
радиус пучка в канале: b=0,03 см;
превышение магнитного поля над
бриллюэновским: Nбр=1,5;
коэффициент заполнения: Kз=0,6;
наклон пучка у катода: Ак=-2.
Результаты расчета:
длина пушки: Zи=1,076 см;
радиус кривизны катода: Rкр=0,346
см;
глубина катода по Z: Zк=0,052 см;
высота катода по R: Rк=0,183 см;
бриллюэновское магнитное поле:
Вбр=576,586 Гс;
величина магнитного поля на катоде:
Вк=10,754 Гс;
плотность тока на катоде: jк=0,174
А/см2;
компрессия пушки: Кs=43,109
Форма электродов пушки и осевое
распределение магнитной индукции приведена на рисунке 4.
Рис. 4 - Форма электродов пушки и
осевое распределение магнитной индукции
2.3 Анализ электронной пушки
Метод анализа состоит в
последовательном изменении геометрии электродов пушки и формы магнитного поля
до тех пор, пока параметры формируемого пушкой пучка не будут близки к
заданным. Этот процесс включает в себя следующие основные этапы: выбор
исходного варианта геометрии пушки и конфигурации магнитного поля, траекторный
анализ, по результатам которого определяются параметры формируемого пушкой
пучка, внесение изменений в исходную геометрию и последующий траекторный анализ
нового варианта и т.д.
Анализ электронной пушки
основывается на решении самосогласованной задачи электронной оптики,
математическая модель которой включает:
уравнение поля
, (2.10)
уравнение движения частиц
, (2.11)
уравнение неразрывности потока
. (2.12)
Здесь U - потенциал, ρ - плотность
заряда, m,e - масса и заряд электрона,
- напряженность электрического поля,
- индукция
магнитного поля,
- скорость
частицы.
Совместное решение уравнений (2.1) -
(2.3) выполняется методом последовательных приближений. В первом приближении
производится расчет поля электронной пушки без учета пространственного заряда.
На втором и последующих приближениях внешнее поле и траектории рассчитываются с
учетом пространственного заряда. Процесс последовательных приближений
продолжается до тех пор, пока результат последующего n - го приближения не
будут достаточно близки к результатам предыдущего (n-1)-го приближения. В
качестве критерия сходимости процесса могут служить относительные изменения
радиальных координат r и скоростей Vr контрольных электронов в конце расчетной
области пушки:
. (2.13)
где
- заданная погрешность расчета
траекторий.
Распределение пространственного
заряда в пучке учитывается с помощью дискретной модели потока из деформируемых
элементов. Электронный поток разбивается в поперечном сечении на слои. Каждый
слой образуется движением одного деформируемого элемента. Формирование
элементов проводится из условия получения одинакового заряда каждого элемента,
и, следовательно, одинакового тока каждого слоя. Площади с учетом
неравномерного распределения плотности тока на катоде будут различными.
Заряд деформируемого элемента
находится по формуле:
,
где I0 - ток пучка, Nсл - число
слоев. Δt
- шаг
интегрирования.
Разнесение по узлам сетки заряда
деформируемого элемента производится с помощью разбиения его на отдельные части
и применении в нем алгоритма «частица в ячейке».
Ток пучка определяется суммированием
токов с элементарных пучков катода:
, (2.14)
где М - число дроблений эмитирующей
поверхности катода (M=100…200).
Токи с элементарных участков
вычисляются по найденному из уравнения (2.1) распределению потенциала вблизи
поверхности катода с использованием закона «степени 3/2» для плоского диода:
, (2.15)
где Um - потенциал точки, лежащей по
нормали напротив центра элементарного участка на расстоянии d от катода, Sm -
площадь элементарного участка катода.
Для ускорения сходимости
последовательных приближений применяется корректировка катодного тока по
способу нижней релаксации:
, (2.16)
где In, In-1 - токи на n-м и (n-1)-м
приближении;
<1 -
параметр нижней релаксации.
Расчет электрических полей,
описываемых уравнением (1), проводится методом конечных разностей с
использованием итерационной формулы последовательной релаксации. В граничных
узлах сетки, находящихся на электродах пушки, задается условие Дирихле, а на
открытых участках - условие Неймана.
Уравнение движения (2.2) для
контрольных электронов решается методом Рунге-Кутта 4-го порядка с
автоматическим выбором шага интегрирования. Начальные условия - стартовые
координаты и скорости контрольных электронов на катоде определяются при
формировании слоев.
Необходимые для решения уравнения
(2.2) составляющие напряженности электрического поля находится по потенциалам
ближайших узлов сетки с применением численного дифференцирования. Составляющие
индукции магнитного поля рассчитывается в параксиальном приближении по формуле:
где B(z) - магнитное распределение
продольной составляющей магнитной индукции на оси пушки.
2.4 Проектирование электронной пушки
методом анализа
Анализ электронной пушки проводился
по программе «Analiz».
Блок - схема программы «Analiz»
приведена на рисунке 5.
Рис. 5 - Блок-схема программы анализа
электронной пушки
Исходные данные для расчета:
Длина пушки - 1,076 см
Ускоряющее напряжение - 700 В
Число линий первого порядка - 8
Шаг магнитного поля - 0,07 см
Геометрия и потенциалы электродов, и осевое
распределение магнитной индукции приведены в таблицах 1 и 2.
В связи с тем, что используется многолучевая
пушка, в ней должен использоваться прямоточный поток, без фокусировки. Поэтому
результаты расчёта методом синтеза пушки не удовлетворяют параметрам
проектируемой пушки. По этой причине геометрия пушки взята из следующих
соображений, радиус катода был равен радиусу пролётной трубы, катод выбирался
плоским.
Таблица 1
|
N
|
Zн,см
|
Zк,см
|
rк,см
|
U,В
|
Z0,см
|
r0,см
|
R0,см
|
|
1
|
0
|
0
|
0,01
|
0,03
|
0
|
0,5
|
0
|
0,5
|
|
2
|
-0,1
|
0,03
|
0,01
|
0,07
|
0
|
|
|
|
|
3
|
-0,1
|
0,047
|
0,025
|
0,07
|
0
|
|
|
|
|
4
|
0,025
|
0,07
|
0,025
|
0,6
|
0
|
|
|
|
|
5
|
0,48
|
0,22
|
0,48
|
0,6
|
1
|
|
|
|
|
6
|
0,48
|
0,22
|
0,6
|
0,04
|
1
|
|
|
|
|
7
|
0,6
|
0,05
|
1,2
|
0,04
|
1
|
|
|
|
|
8
|
1,2
|
0
|
1,2
|
0,05
|
1
|
|
|
|
Таблица 2
|
Z,
см
|
0
|
0,07
|
0,14
|
0,21
|
0,28
|
0,35
|
0,42
|
0,49
|
|
B,Гс
|
10,754
|
10,754
|
10,754
|
10,754
|
10,754
|
12
|
17
|
|
№
|
0,56
|
0,63
|
0,7
|
0,77
|
0,84
|
0,91
|
0,98
|
1,05
|
|
B,Гс
|
25
|
32
|
53
|
76
|
110
|
150
|
220
|
275
|
Результаты расчета в соответствии с таблицами 1
и 2 приведены на рисунке 6.
Рис. 6 - Геометрия электродов с потоком
электронов после проведения анализа
3. Оптимизация электронного КПД
Нахождение максимального значения электронного
КПД осуществлялась при помощи программы KPDcalc.
СВЧ генератор может возбуждаться на различных
зонах генерации и условием самовозбуждения является попадание центра сгустка в
максимум тормозящего поля второго зазора. Для π-вида
расстояние между центрами зазоров Lв режиме малого сигнала будет выполняться
при:
,(3.1)
где n=0,1,2... - номер зоны
генерации, D1 - угол пролета электронов первого зазора, L1 -нормированная длина
пролетной трубы, D2 - угол пролета электронов второго зазора.
Расчёт производился следующим
образом, задавались приблизительные размеры D1, D2, L и нормированное
напряжение на зазорах ξ
двухзазорного
резонатора. Затем производилось изменение одного из этих параметров, и
рассчитывалось КПД, затем опять производилось изменение одного из параметров, и
снова производился расчёт КПД. Расчёт продолжался до тех пор, пока новое
значение КПД не стало отличаться на 1 % от предыдущего.
Исследование максимального
электронного КПД проводилось на первой зоне генерации. Первый и второй зазоры
предварительно имели значение
, а начальное значение L выбиралось
из соотношения (3.1) при n=1, которое будет равно 7.85,ξ=1.4,при таких
параметрах КПД составляло около 10 процентов. После этого изменялись
параметрыL,D1,ξ,аD2
оставляли без изменения равным 1.5. Сначала производилось изменение параметра
D1. На рис.7 представлена зависимость электронного КПД от D1.
Рис. 7 - Зависимость электронного КПД от длины
первого зазора при D2=1,5, L=7,85 и ξ=1.4
После определения нового значения D1=1
определялось новое значение L. На рис.8 представлена зависимость электронного
КПД от L.
Рис. 8 - Зависимость электронного КПД от
межзазорного расстояния при D1=1, D2=1.5 и ξ=1.4
Новое значение Lсоставило значение равное 8.
После этого значение ξбыло
уменьшено до 1. ПриD1=1, L=1,5, ξ=1 и
L=8 электронное КПД составило 17%.Затем снова было определено новое значение
D1, которое осталось без изменения.
На рис.9 представлена зависимость электронного
КПД от Lпри D1=1, D2=1.5 и ξ=1. По
этому графику было определено новое значение L, которое составило значение 6,6.
Рис. 9 - Зависимость электронного КПД от
межзазорного расстояния при D1=1, D2=1.5 и ξ=1
Значение ξ было
оставлено без изменений. ПриD1=1, L=1,5, ξ=1 и
L=6,6 электронное КПД увеличилось, и составило 23%.
Рис. 10 - Зависимость электронного КПД от длины
первого зазора при D2=1,5, L=6,6 и ξ=1
После определения нового значения длины зазора
первого резонатора (рис. 10), оно составило значение равное D1=3.
На рис. 11 представлена зависимость электронного
КПД от Lпри D1=4, D2=1.5 и ξ=1. Новое
значение межзазорного расстояния, составило значение 5,2. После этого было
увеличен параметр ξ до значения
1.1.
Рис. 11 - Зависимость электронного КПД от
межзазорного расстояния при D1=3, D2=1.5 и ξ=1
При таких значенияхD1=3, L=1,1, ξ=1
и
L=5,2 электронное КПД составляло 52%.
Следующим шагом, был поиск новых значение D1и L.
Новые значения длины зазора первого резонатора и межзазорного расстояния
составило D1=4 (Рис.12) и L=4,5 (Рис.13) соответственно.
Рис. 12 - Зависимость электронного КПД от длины
первого зазора при D2=1,5, L=5,2 и ξ=1
Из этой зависимости
Рис. 13 - Зависимость электронного КПД от
межзазорного расстояния при D1=4, D2=1.5 и ξ=1
Было увеличено ξ до
значения 1.3, КПД при таких параметрах составило 64%.
При следующем изменении значений D1и L, новые
значения длины зазора первого резонатора и межзазорного расстояния составило
D1=4,5 (Рис.14) и L=4,2 (Рис.15) соответственно.
Рис. 14 - Зависимость электронного КПД от длины
первого зазора при D2=1,5, L=4,5 и ξ=1,3
Рис. 15 - Зависимость электронного КПД от
межзазорного расстояния при D1=4,5, D2=1.5 и ξ=1,3
Значение ξ было
оставлено без изменений. КПД уменьшился и составил 50%.
При следующем изменении значений D1новое
значение длины зазора первого резонатора составило D1=4,7 (Рис.16) и L=4,2
(Рис.17) соответственно. Межзазорное расстояние осталось без изменения.
Значение ξ было оставлено без
изменений.
Рис. 16 - Зависимость электронного КПД от длины
первого зазора при D2=1,5, L=4,2 и ξ=1.3
При D1=4.7, L=4.2, ξ=1.3
было
получено максимальное значение электронного КПД 50% . После этого определялось
значениеD2. На рис 2.1.11 представлен график зависимости электронного КПД от
D2. Значение D2 составило 1.3. При последующих определениях значений
параметров, их значения оставались неизменными. Таким образом, значение длины
зазоров первого и второго резонаторов, межзазорное расстояние приведённое
напряжение имеют следующие геометрические значения:
D1=4.7 рад;
D2=1.3 рад;
L=4.2 рад;
максимальное значение электронного КПД
составляет 50,4%.
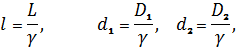
По найденным значениям L,D1,D2 найдём размеры
межзазорного расстояния, размеры первого и второго зазора соответственно.
Где 
Откуда получим l=0.15 см, d1=0.16
см, d2=0.04см.
Рис. 17 - Зависимость электронного КПД от длины
второго зазора при D1=4.7, L=4.2 и ξ=1.3
Рассчитаем значение напряжения на каждом зазоре.
гдеU0=700 В.
В итоге получим 
.
Таким образом, результаты расчёта
имеют вид:
первый зазор d1=0.16 см;
второй зазор d2=0.04 см;
напряжение на первом зазоре 910 В;
напряжение на втором зазоре 910 В;
межзазорное расстояние 0,15 см;
электронный КПД 50,4 %.
4. Расчёт резонатора
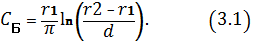
По результатам оптимизации известны
геометрические размеры резонатора: длина первого зазораd1=0.16 см, длина
второго зазораd2=0.04 см. Необходимо рассчитать высоту резонатора r2 и длину
торца резонатора h. Так как расчёт производится для двухзазорного резонатора,
то r2 и h рассчитывается для входа и выхода резонатора.
На рис.18 представлена многолучевая
конструкция генератора. Конструкция имеет 7 лучей, ширина зазора между лучами и
между лучами и боковой стороной δимело значение 0,02 см. Таким
образом, диаметр многолучевой конструкции имел значение 0,32 см. Так как это
диаметр равен диаметру внутреннего цилиндра резонатора, то отсюда 2∙r2=0,32
см.
Рис. 18 - Схематическое изображение
многолучевого генератора
резонатор электронный пушка
программа
Для расчёта r2 и h, резонатор (рис.20)
представлялся как сосредоточенная ёмкость (рис.21).
Рис. 19 - Двухзазорный резонатор
Расчёт производился следующим образом,
задавалось значение h и 2∙r2. Замет производился расчёт боковой ёмкости
СБ:
гдеd=d1/2.
Рис. 20 - Сосредоточенная ёмкость
После этого рассчитывалась торцевая ёмкость СТ:
Далее результаты (3.1) и (3.2) подставлялись
формулу:
Затем по графику из [3]по
определённому значению 
находили соответствующее значение
kh, и отсюда находили длину волны:
(3.4)
Расчёт производился до тех пор, пока
λ
λ0, так же было необходимо
выполнения условия h>2∙r2-2∙r1.
Результаты расчёта имеют вид:
для входного торца h=0.8 см, r2=0.38
см;
для выходного торца h=0.8 см,
r2=0.21см.
5. Расчёт коллектора с естественным
охлаждением
Схематическое изображение
конструкции коллектора изображено на рис. 22.
Рис. 21 - Вариант конструкции коллектора
Расчёт производился по следующим формулам:
где 
-площадьповерхности коллектора,
- мощность рассеиваемая на
коллекторе, 
-коэффициент излучения внутренней
стороны коллектора, σ
=5.7∙10-8Вт/м2∙
К4 - постоянная Стефана - Больцмана.
Площадь коллектора находится по
следующей формуле:
где 
- площадь рёбер, n - число рёбер, 
- длина коллектора, h - высота
ребра,b - внешний диаметр коллектора (рис.23).
В качестве материала коллектора был
выбран чистый никель, поэтому коэффициент излучения 
=0,12.Внутренний диаметр коллектора
равен диаметру внутреннего цилиндра резонатора a=2∙r1.
Расчёт производился следующим
образом, задавались значения длины коллектора, внешний диаметр коллектора,
высота рёбер. По этим данным производился расчёт температуры коллектора,
оптимальной считается температура, лежащая в диапазоне от 30 до 60 0С.
Рис. 22 - Схематическое представление коллектора
Исходные данные для расчёта:
мощность рассеянияPk=25 Вт;
-коэффициент излучения 
=0,85;
внутренний диаметр коллектора а=0,32
см;
внешний диаметр коллектора b=1,5см;
высота ребра h=2,5 см;
длина коллектора l=15см;
число рёбер n=10.
В результате температура коллектора
Tk=55 0C.
Заключение
В данном курсовом проекте был
спроектирован генераторный многолучевой клистрон на двухзазорном резонаторе.
Расчет проводился с помощью методов автоматизированного проектирования на ПК с
использованием пакета прикладных программ.
Исходные данные необходимые для
проектирования узлов и самого прибора, были определены в ходе предварительного
расчета. В результате проектирования была получена конструкция клистрона на
двухзазорном резонатореудовлетворяющего техническому заданию.
Спроектированный клистрон имеет
следующие параметры:
электронное КПД: η=50%;
- входная мощность: Pвх=49 Вт;
длина коллектора составила 15см;
температура коллектора Tk=55 0C.
Приложение
Конструкция генератора